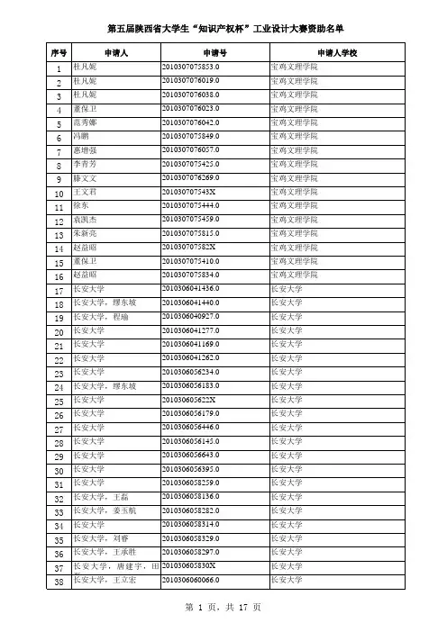
1第七届“知识产权杯”陕西省大学生工业设计大赛获奖作品名单
- 格式:doc
- 大小:114.50 KB
- 文档页数:6
知识产权杯陕西大学生工业设计大赛一.大赛主题:科技.节能.低碳.便利二.举办单位:西安建筑科技大学华清学院科技协会三.活动宗旨:“知识产权杯”陕西省大学生工业设计大赛是由陕西省知识产权局、共青团陕西省委、陕西省学联共同举办的旨在普及知识产权知识、弘扬知识产权文化,提高我省广大青年学生创新意识和能力的全省性赛事,已成功举办五届。
几年来,大赛坚持“崇尚科学、追求真知、勇于创造、勤于实践”的宗旨,吸引了大批青年学生参与科技发明活动,发现和培养了一批在科技创新上有潜力、有作为的优秀人才,营造了良好的创新氛围,大赛也逐步成为我省高校学生开展创新实践活动的一项盛事。
为进一步扩大赛事的覆盖面和影响力,为广大青年学生提供展示才能和创新创业的有效平台,陕西省知识产权局、共青团陕西省委、陕西省学联决定联合举办第六届“知识产权杯”陕西省大学生工业设计大赛。
四.参赛作品要求五.(一)参赛作品可依据各自的学习、科研活动自主选题,鼓励突出绿色环保理念,引领健康生活方式,并结合本省实际,围绕本省优势特色产业开展设计活动,可针对家电类、电子类、机械类、交通类等产品及零部件、日用品、家庭装饰以及各类工业产品的外形及包装(包括立体和平面特征)等进行设计,自由选择设计题目、设计内容。
作品必须是原创作品,杜绝抄袭他人,往届作品不得重复申报。
六.(二)参赛作品要求七.1、参赛者请填写参赛报名表。
参赛报名表“设计说明”栏内写明有关设计理念、使用功能(六面视图的特点及使用方法)或该设计所要解决的技术问题以及解决其技术问题采用的技术方案,并对照现有技术或产品写明作品的有益效果以及材质、制造工艺等方面的特点。
设计说明不超过500字。
2、每件参赛作品需要提交:(1)反映参赛作品空间结构的三维效果图或照片(A4规格)。
图上不得出现作者所在单位、姓名或与作者身份有关的任何符号、信息。
(2)体现参赛作品“视图”的图片或照片。
①就立体设计作品而言,应当提交六面正投影视图和立体图;就平面设计作品而言,可以仅提交该面正投影视图(视图可以绘制在一张A4纸上,也可以分别绘制在不同A4纸上,但视图尺寸比例必须一致)。
陕西省教育厅办公室关于公布2022年陕西省大学生工
业设计大赛获奖名单的通知
文章属性
•【制定机关】陕西省教育厅办公室
•【公布日期】2022.10.13
•【字号】陕教高办〔2022〕33号
•【施行日期】2022.10.13
•【效力等级】地方规范性文件
•【时效性】现行有效
•【主题分类】工业和信息化管理
正文
陕西省教育厅办公室关于公布2022年陕西省大学生工业设计
大赛获奖名单的通知
各高等学校:
根据陕西省教育厅办公室《关于举办2022年陕西省大学生工业设计大赛暨第六届全国大学生工业设计大赛陕西分赛的通知》(陕教高办〔2022〕14号),陕西省教育厅于2022年7月举办了陕西省大学生工业设计大赛。
经学校推荐、专家评审,共评出一等奖30件、二等奖60件、三等奖90件、优秀奖120件,优秀指导教师29名、优秀组织单位10个、优秀组织者11名,推荐参加全国赛区评审作品59件。
公示无异议,现将获奖名单予以公布(见附件),并颁发获奖证书。
望各高校再接再厉,坚持把“三全育人”落到实处,深入开展创新创业教育教学改革,以赛促学、以赛促教,引导大学生关注传统文化和科学技术发展,培养创新意识,夯实技能基础,提升实践能力。
联系人:刘天宇杨国清
联系电话:************
附件:2022年陕西省大学生工业设计大赛获奖名单
陕西省教育厅办公室2022年10月13日。
陕西省工业设计大赛导读:我根据大家的需要整理了一份关于《陕西省工业设计大赛》的内容,具体内容:工业设计是一门将工业产品加以美化与功能化的综合性学科,其目的是为使用者和生产者双方的利益进行服务。
下面我为大家整理了,希望大家喜欢。
工业设计参赛对象参赛对象为普通高校全...工业设计是一门将工业产品加以美化与功能化的综合性学科,其目的是为使用者和生产者双方的利益进行服务。
下面我为大家整理了,希望大家喜欢。
工业设计参赛对象参赛对象为普通高校全日制在校大学生,包括研究生、本科生及高职高专学生。
鼓励不同学科专业学生跨学科、跨专业报名参赛。
工业设计大赛内容参赛作品应符合大赛主题要求,按照工程制造与创新、文化传承与创意、3D打印与实现、信息交互与服务、未来生活与梦想五大类别提交原创设计作品,鼓励协同创新。
1. 工程制造与创新(Engineering 二等奖60项;三等奖90项;优秀奖若干。
并将30名一等奖获奖作品直接推送入选2018年"知识产权杯"全国大学生工业设计大赛陕西赛区的复赛。
(二)大赛设置优秀组织单位奖、优秀指导教师奖、最佳组织者奖若干。
工业设计作品要求根据组委会提供的版面编排格式,将每件参赛作品的相关内容(设计草图、设计说明、预想图、模型照片等)编辑出1幅A0尺寸的纵向图版(1164 mm×840mm,Jpg格式,精度150dpi),每件作品的文件大小不超过5M。
信息交互与服务应用的参赛作品需提交应用服务系统或者APP(电子版)。
工业设计参赛资料各高校参赛联系人需要线下提交如下文件:(一)纸质材料(1式1份)。
1.《20xx年"知识产权杯"陕西省大学生工业设计大赛报名汇总表》(附件4),加盖教务处公章。
2.《关于同意大赛组委会对作品申请专利的声明》(附件5)。
3.作品文件(A3尺寸竖版,200g铜版纸,精度150dpi)。
(二)电子文件。
1.《20xx年"知识产权杯"陕西省大学生工业设计大赛报名汇总表》(附件4)。
第六届陕西省“知识产权杯”大学生工业设计大赛
活动方案一览表
一、长安大学举行第六届“知识产权杯”陕西省大学生工业设计大赛
启动仪式暨作品申报工作培训会
时间:2011年5月初
地点:校本部学术报告厅(待定)
二、各高校组织学生申报作品,长安大学收集作品并汇总
时间:2011年5月初至6月10日
三、向大赛组委会报送作品
时间:2011年6月20日
四:参赛作品经组委会办公室初审后,组织专家评审委员会进行评审时间:2011年6月底至10月份
五、公布评审结果
时间:2011年11月份
六、组织总结、颁奖
时间:2011年12月份(待定)
地点:长安大学校本部学术报告厅
附件一:长安大学举行第六届“知识产权杯”陕西省大学生工业设计大赛启动仪式暨作品工作培训会
附件二:第六届“知识产权杯”陕西省大学生工业设计大赛评审(评审表、评审专家名单)
附件三:第六届“知识产权杯”陕西省大学生工业设计大赛评审说明会议程
附件四:第六届“知识产权杯”陕西省大学生工业设计大赛评审说明附件五:第六届“知识产权杯”陕西省大学生工业设计大赛评审办法附件六:第六届“知识产权杯”陕西省大学生工业设计大赛颁奖
长安大学第六届“知识产权杯”
陕西省大学生工业设计大赛组委会
2011年4月。
1第七届“知识产权杯”陕西省大学生工业设计大赛获奖作品名单附件1:第七届“知识产权杯”陕西省大学生工业设计大赛获奖作品名单“办公椅”专项设计金、银奖获奖名单金奖学校作品名称设计人西安理工大学舒尚办公椅叶旭平、童壮、崔茜子银奖序号学校作品名称西安工业大学似圈适美韩金婵、吕静、任晓敏西安工业大学想自由李渊西安理工大学劳·逸皆适办公椅周环、郑礼龙、徐海辉西北工业大学鸡蛋椅闫卧龙西安工业大学海螺椅王振华、周涛、丁佩佩—2—“自选类”参赛作品获奖名单一等奖序号学校作品名称设计人1 陕西科技大学直线辅助工具设计姚增凯、葛正浩2 西安美术学院桌上用枕头董洁3 西安美术学院搓背按摩洁身-好帮手周康康4 西安工程大学老年人“伴侣”韩耀升、蒋青青5 陕西科技大学圆规笔王涛、武嫣青—3—6 西安科技大学便携式智能输液器范奕翔、张杨7 西安石油大学不倒翁笔帽董亚西、黄艳莉8 西安工业大学二合一救灾物资刘辉、王旭歌、陶学光9 西安工程大学H点郭宝生、田渊10 西北工业大学早安——HEART艾梦雅二等奖序号学校作品名称设计人1 西安石油大学折叠伸缩镰刀赵丹丹、贾珍珠2 西安美术学院变形婴儿床董洁3 西安工程大学多功能一体化清洁机造型设杨雪—4—计4 西安科技大学老年人吃药提醒器田凯燕、赵文臻、丁浩5 陕西理工学院多合一便携泡面桶孟少博6 陕西理工学院“摩天轮”鞋柜魏军、张晶晶、杨亚玲7 西安美术学院奶奶针黄麟8 西安美术学院儿童创意灯强媚9 西安工程大学自行车停靠架吕慧10 西安工程大学“童年色彩”家具设计付惠艳11 西安科技大学涂鸦便签笔设计朱亚银12 西安科技家用咖啡机改赵文臻、郑莉—5—大学良设计莉、田凯燕13 西安工业大学自由空间游庆斌、戴鹏程、师慧然14 西安工业大学可变式榔头代鹏程、游庆斌、师慧然15 陕西理工学院“E-go”一次性折叠饭盒刘梓欣、师娜、孟少博16 西安理工大学“易叠”办公便捷折椅刘洋、郭站站、高明得17 西安工业大学“气度”空间刘强、杨艳婷、杨强强18 西安工程大学悦徐峰、周奥文、邢升19 西安理工大学哈·壳马昱、刘盼20 西安工业大学随心孙宝岩、李林坤—6—三等奖序号学校作品名称设计人1 陕西理工学院小炮兵MP3播放器徐达升、张龙岗、李阳2 西北工业大学火车上的安全便利桌南英妮、王长磊3 西安工业大学伸缩式小孩大人通用衣架毕子敬、周振华4 西安美术学院“泡泡”公园观光车孙慧敏、董静姝、陆益5 西安工程大学“随心”情趣花瓶设计孙佳6 西安工程大学“四叶草”组合电插座设计李夏骐7 陕西科技大学塑料和封口机的造型改良设计魏雪婷8 陕西科技大学“影”领时尚瞿应杰、玉腾诚9 陕西科技脚踩式衣服甩干蔺浩、曹军、—7—大学机黄新杰10 陕西科技大学“懒虫”剪刀马赞赞11 西安科技大学三头蛇--多功能笔敖伦、陈思、马学飞12 西安工程大学趣味无线鼠标概念设计申伟、陈亚翠13 西安工程大学青苹果集线器雷雨坤14 西京学院“扳手螺丝刀改良设计”樊玮15 西安美术学院ENJOY LIFE休闲沙发符琳16 西安美术学院未来感医疗推车魏山17 西安美术学院翘翘椅袁瑾18 陕西科技可折叠式儿童马王丽娜—8—大学桶架19 西安石油大学便利小勺周建波20 西安工业大学可坐拉杆箱单凯、武誉、任园园21 西安工业大学线卡的改良设计李小林、张小燕、梁配豪22 陕西理工学院含羞灯魏华、宁立民23 西安理工大学新型办公椅陈玥希24 西安工业大学折叠办公椅设计李亚丽、蒋文雅、刘敏25 西北工业大学滑轨椅傅衍胜26 西北工业大学Bumblebee-残障人士专用办公椅王长磊、南英妮—9—27 西安工业大学办公椅——实用创新设计周振华28 西安理工大学办公椅-趴椅冯悦29 西安工业大学定时震动提醒休息椅何艺云、吴光彩、郑爱良30 西安工业大学自由椅子一族梁海清、文武、刘甜优秀奖序号学校作品名称设计人1 西安科技大学地震救援仪器宋文强、李梦阳、吴金城2 陕西理工学院趣味刀架李园明、王璐、冯瑞洋3 陕西理工学院三刃菜刀郭振理、张严、延海霞4 西安工程大学会声会影王唯骁、刘思航—10—5 西安工程大学仿生向日葵盆景台灯设计许川林6 西安工程大学盘子架董风敏7 西安工程大学便携充电器插头孟祥晴8 陕西科技大学惜水长流张欢、杜鑫宇、蔺浩9 陕西科技大学多功能管道塞设计周丽先、胡志刚、赵川10 西北工业大学早餐机洪维伟11 西安美术学院日历抽纸黄麟12 西京学院时空之钥李陶13 西安工程大学自由组合化书架设计曹鑫磊14 西安工程有·无多功能家曾艳大学具设计15 陕西科技大学智能熨烫机李阳、马豪汝、丁宗建16 西安美术学院“视听”—聋哑人专用概念车吕鑫17 西安工程大学“新动力,新空间”黄晓阳18 西安工程大学智能寻找器姜立萍、黄晓阳19 陕西理工学院“爱心”桶面杨亚玲、张晶晶、潘林豐20 陕西理工学院小人纸架魏华、宁立民、延海霞21 西安美术学院置换凳-让生活更简单任俞晓22 西安工程大学肥皂盒黄勇23 陕西科技水面垃圾清理器范伟娟、金彩大学云、华阳涛24 西安工程大学创意牙签盒何倍樟25 西安工程大学家用侧吸式抽油烟机张顺26 西安工业大学刀具清洁套黎娅娅、闫丽萍、圆圆27 西安工业大学就“袋”取材何艺云、吴光彩、郑爱良28 西安工业大学自行车打气筒概念设计程宝超、徐晓磊、刘萍29 西安工业大学小型洗涤器张晓培、张孟、李斐30 西安工业大学香皂任晓敏、吕静、张梦妮31 西安交通大学水陆两用自行车汪洋32 陕西理工三防插座设计杨旭、王欣怡学院33 西安交通大学便携式电吹风李湲34 西安财经学院学生多功能床王虹力、李明坤、殷欢35 西安建筑科技大学马勺封口夹高梦阳36 陕西科技大学便携式太阳能充电器赵川、胡志刚、周丽仙37 陕西科技大学“安宝乐”智能童车孔俏然38 西安文理学院新型多功能组合衣架冯资化、王阳涛、赵瑞39 西安航空学院防漏器张进40 西北农林科技大学桌椅柜张斌、李津伟41 西京学院床椅冯婕、贺倩娅、于泳42 西京学院人机摇椅郭盼锋43 西北工业大学书架椅陈时雨44 西安理工大学Hood-snake李嘉蔚、赖奇巧45 西京学院灵动王琳46 西北工业大学蝶形办公椅李培47 西北工业大学“头脑风暴摇摇椅”高敏倬、48 陕西科技大学“stand”is“rest”范伟娟、金彩云49 西京学院“弹。
我校在第五届省大学生“知识产权杯”工业设计大赛获佳绩佚名
【期刊名称】《陕西科技大学学报:自然科学版》
【年(卷),期】2011(29)2
【摘要】第五届陕西省大学生"知识产权杯"工业设计大赛于日前揭晓比赛结果,我校共获一等奖2项、三等奖4项、优秀奖3项,并荣获"优秀组织奖",获奖总数和层次均居参赛高校前列.
【总页数】1页(P92-92)
【关键词】工业设计;知识产权;大学生;陕西省
【正文语种】中文
【中图分类】TB47
【相关文献】
1.我校学子在第五届四川省“TI”杯大学生电子设计竞赛中喜获佳绩 [J],
2.我校学生在全国移动互联创新大赛中喜获佳绩/我校学生在“创青春”河北省大学生创业大赛中获奖/我校教师马英新入选第三批“河北省青年拔尖人才” [J],
3.2018年全国大学生工业设计大赛(黑龙江赛区)暨\"彩格杯\"黑龙江省大学生工业设计大赛胜利落下帷幕 [J], 黑龙江省工业设计协会;彩格设计智造集团
4.我校学生在第二届“高教杯”全国大学生先进图形技能与创新大赛中获佳绩 [J],
5.我校在吉林省第五届“互联网+”大学生创新创业大赛中喜创佳绩 [J], 徐杨
因版权原因,仅展示原文概要,查看原文内容请购买。
附件1:第七届“知识产权杯”陕西省大学生工业设计大赛获奖作品名单“办公椅”专项设计金、银奖获奖名单金奖学校作品名称设计人西安理工大学舒尚办公椅叶旭平、童壮、崔茜子银奖序号学校作品名称西安工业大学似圈适美韩金婵、吕静、任晓敏西安工业大学想自由李渊西安理工大学劳·逸皆适办公椅周环、郑礼龙、徐海辉西北工业大学鸡蛋椅闫卧龙西安工业大学海螺椅王振华、周涛、丁佩佩“自选类”参赛作品获奖名单一等奖序号学校作品名称设计人1 陕西科技大学直线辅助工具设计姚增凯、葛正浩2 西安美术学院桌上用枕头董洁3 西安美术学院搓背按摩洁身-好帮手周康康4 西安工程大学老年人“伴侣”韩耀升、蒋青青5 陕西科技大学圆规笔王涛、武嫣青6 西安科技大学便携式智能输液器范奕翔、张杨7 西安石油大学不倒翁笔帽董亚西、黄艳莉8 西安工业大学二合一救灾物资刘辉、王旭歌、陶学光9 西安工程大学H点郭宝生、田渊10 西北工业大学早安——HEART艾梦雅二等奖序号学校作品名称设计人1 西安石油大学折叠伸缩镰刀赵丹丹、贾珍珠2 西安美术学院变形婴儿床董洁3 西安工程大学多功能一体化清洁机造型设计杨雪4 西安科技大学老年人吃药提醒器田凯燕、赵文臻、丁浩5 陕西理工学院多合一便携泡面桶孟少博6 陕西理工学院“摩天轮”鞋柜魏军、张晶晶、杨亚玲7 西安美术学院奶奶针黄麟8 西安美术学院儿童创意灯强媚9 西安工程大学自行车停靠架吕慧10 西安工程大学“童年色彩”家具设计付惠艳11 西安科技大学涂鸦便签笔设计朱亚银12 西安科技大学家用咖啡机改良设计赵文臻、郑莉莉、田凯燕13 西安工业大学自由空间游庆斌、戴鹏程、师慧然14 西安工业大学可变式榔头代鹏程、游庆斌、师慧然15 陕西理工学院“E-go”一次性折叠饭盒刘梓欣、师娜、孟少博16 西安理工大学“易叠”办公便捷折椅刘洋、郭站站、高明得17 西安工业大学“气度”空间刘强、杨艳婷、杨强强18 西安工程大学悦徐峰、周奥文、邢升19 西安理工大学哈·壳马昱、刘盼20 西安工业大学随心孙宝岩、李林坤三等奖序号学校作品名称设计人1 陕西理工学院小炮兵MP3播放器徐达升、张龙岗、李阳2 西北工业大学火车上的安全便利桌南英妮、王长磊3 西安工业大学伸缩式小孩大人通用衣架毕子敬、周振华4 西安美术学院“泡泡”公园观光车孙慧敏、董静姝、陆益5 西安工程大学“随心”情趣花瓶设计孙佳6 西安工程大学“四叶草”组合电插座设计李夏骐7 陕西科技大学塑料和封口机的造型改良设计魏雪婷8 陕西科技大学“影”领时尚瞿应杰、玉腾诚9 陕西科技大学脚踩式衣服甩干机蔺浩、曹军、黄新杰10 陕西科技大学“懒虫”剪刀马赞赞11 西安科技大学三头蛇--多功能笔敖伦、陈思、马学飞12 西安工程大学趣味无线鼠标概念设计申伟、陈亚翠13 西安工程大学青苹果集线器雷雨坤14 西京学院“扳手螺丝刀改良设计”樊玮15 西安美术学院ENJOY LIFE 休闲沙发符琳16 西安美术学院未来感医疗推车魏山17 西安美术学院翘翘椅袁瑾18 陕西科技大学可折叠式儿童马桶架王丽娜19 西安石油大学便利小勺周建波20 西安工业大学可坐拉杆箱单凯、武誉、任园园21 西安工业大学线卡的改良设计李小林、张小燕、梁配豪22 陕西理工学院含羞灯魏华、宁立民23 西安理工大学新型办公椅陈玥希24 西安工业大学折叠办公椅设计李亚丽、蒋文雅、刘敏25 西北工业大学滑轨椅傅衍胜26 西北工业大学Bumblebee-残障人士专用办公椅王长磊、南英妮27 西安工业大学办公椅——实用创新设计周振华28 西安理工大学办公椅-趴椅冯悦29 西安工业大学定时震动提醒休息椅何艺云、吴光彩、郑爱良30 西安工业大学自由椅子一族梁海清、文武、刘甜优秀奖序号学校作品名称设计人1 西安科技大学地震救援仪器宋文强、李梦阳、吴金城2 陕西理工学院趣味刀架李园明、王璐、冯瑞洋3 陕西理工学院三刃菜刀郭振理、张严、延海霞4 西安工程大学会声会影王唯骁、刘思航5 西安工程大学仿生向日葵盆景台灯设计许川林6 西安工程大学盘子架董风敏7 西安工程大学便携充电器插头孟祥晴8 陕西科技大学惜水长流张欢、杜鑫宇、蔺浩9 陕西科技大学多功能管道塞设计周丽先、胡志刚、赵川10 西北工业大学早餐机洪维伟11 西安美术学院日历抽纸黄麟12 西京学院时空之钥李陶13 西安工程大学自由组合化书架设计曹鑫磊14 西安工程大学有·无多功能家具设计曾艳15 陕西科技大学智能熨烫机李阳、马豪汝、丁宗建16 西安美术学院“视听”—聋哑人专用概念车吕鑫17 西安工程大学“新动力,新空间”黄晓阳18 西安工程大学智能寻找器姜立萍、黄晓阳19 陕西理工学院“爱心”桶面杨亚玲、张晶晶、潘林豐20 陕西理工学院小人纸架魏华、宁立民、延海霞21 西安美术学院置换凳-让生活更简单任俞晓22 西安工程大学肥皂盒黄勇23 陕西科技大学水面垃圾清理器范伟娟、金彩云、华阳涛24 西安工程大学创意牙签盒何倍樟25 西安工程大学家用侧吸式抽油烟机张顺26 西安工业大学刀具清洁套黎娅娅、闫丽萍、圆圆27 西安工业大学就“袋”取材何艺云、吴光彩、郑爱良28 西安工业大学自行车打气筒概念设计程宝超、徐晓磊、刘萍29 西安工业大学小型洗涤器张晓培、张孟、李斐30 西安工业大学香皂任晓敏、吕静、张梦妮31 西安交通大学水陆两用自行车汪洋32 陕西理工学院三防插座设计杨旭、王欣怡33 西安交通大学便携式电吹风李湲34 西安财经学院学生多功能床王虹力、李明坤、殷欢35 西安建筑科技大学马勺封口夹高梦阳36 陕西科技大学便携式太阳能充电器赵川、胡志刚、周丽仙37 陕西科技大学“安宝乐”智能童车孔俏然38 西安文理学院新型多功能组合衣架冯资化、王阳涛、赵瑞39 西安航空学院防漏器张进40 西北农林科技大学桌椅柜张斌、李津伟41 西京学院床椅冯婕、贺倩娅、于泳42 西京学院人机摇椅郭盼锋43 西北工业大学书架椅陈时雨44 西安理工大学Hood-snake 李嘉蔚、赖奇巧45 西京学院灵动王琳46 西北工业大学蝶形办公椅李培47 西北工业大学“头脑风暴摇摇椅”高敏倬、48 陕西科技大学“stand”is“rest”范伟娟、金彩云49 西京学院“弹。
全国大学生工业设计大赛获奖作品近年来,新一轮科技创新发展浪潮席卷而来,使得工业设计技能的发展变得越来越重要和突出。
为了推动国内工业设计的发展,国家教育部以及中国教育学会等机构联合主办了全国大学生工业设计大赛,致力于打造全民参与的“一带一路”智慧创造行业,培育一大批具有创新性的人才。
2020年全国大学生工业设计大赛以“智能创新、产业变革”为主题,来自全国各地12个省份和自治区的近10000名学生参加了比赛,角逐共108个奖项,其中有35个金奖、35个银奖、38个铜奖。
赛出色的代表作品,显示了学生们深厚的创新意识,广泛的设计思维和高超的工业设计能力。
其中,来自宁夏人民大学的潘淑珍作品《安全灵活的便携式社区共享电动车》,从机械结构、动力系统、控制系统、用户体验、安全性等方面进行了全面创新,有效提高了社区共享电动车的安全性、非接触式的调度服务及节能效益,荣获本届大赛金奖。
另一方面,江苏省苏州大学的马锦英作品《绿色可持续发展的智能家庭机器人》,充分考虑了家庭日常保洁、家电维修、健康照护等,提出了一种满足用户全方位需求的绿色可持续发展机器人产品,利用智能识别技术实现人机交互,其自主行为能力大大提高,荣膺本次参赛作品银奖。
此外,还有来自内蒙古科技大学的蒙育洪作品《冰雪世界节能供暖系统》,以其在节能效果、体积小、技术创新等方面的显著特点,打破了传统室内供暖模式,大大改善了居民生活质量,获得了本次大赛的铜奖。
全国大学生工业设计大赛的整体结果显示,中国大学生青年工业设计水平的总体提升,新的设计理念不断涌现,创新的灵感与思路源源不断,这一切都离不开广大学生们的努力和创意,标志着“创新、服务、共赢”的理念正在落实到现实之中。
未来,在国家重视工业设计,支持科技创新可持续发展的条件下,我们相信,中国大学生们一定可以利用自身的本领,发挥创造力和想象力,让世界大吃一惊,撼动工业设计发展的新趋势。
以上就是关于《全国大学生工业设计大赛获奖作品》的文章,由学生们的精彩创新作品构成,展现出了他们的突出的设计能力以及深厚的科技创新精神。
陕西省教育厅关于公布第十一届全国大学生机械创新设计大赛陕西赛区获奖名单的通知
文章属性
•【制定机关】陕西省教育厅
•【公布日期】2024.09.09
•【字号】陕教函〔2024〕1134号
•【施行日期】2024.09.09
•【效力等级】地方规范性文件
•【时效性】现行有效
•【主题分类】教育其他规定
正文
陕西省教育厅关于公布第十一届全国大学生机械创新设计大
赛陕西赛区获奖名单的通知
各高等学校:
第十一届全国大学生机械创新设计大赛已圆满结束。
经全国大赛组委会评审,我省高校共获得全国一等奖13项、二等奖21项、三等奖19项,陕西赛区获得优秀组织奖。
经陕西赛区竞赛组委会评审,共评出陕西赛区一等奖116项、二等奖207项、三等奖129项,受表扬单位26个、受表扬个人28人、受表扬指导教师46人。
现将获奖名单予以公布(详见附件)。
希望各高校系统总结大赛经验,坚持以赛促教、以赛促学、以赛促创,深入推动高等教育人才培养模式和实践教学改革,加大工程技术人才自主培养力度,提升拔尖创新人才培养质量,为推进陕西高等教育高质量发展作出新贡献。
联系人:杨才兴刘天宇电话:************
附件: 1. 第十一届全国大学生机械创新设计大赛陕西赛区全国竞赛获奖名单 2. 第十一届全国大学生机械创新设计大赛陕西赛区省级竞赛获奖名
单
陕西省教育厅
2024年9月9日。
陕西省教育厅、陕西省知识产权局关于举办2017年“知识产权杯”陕西省大学生工业设计大赛的通知【法规类别】知识产权综合规定教育综合规定【发文字号】陕教[2017]181号【发布部门】陕西省教育厅陕西省知识产权局【发布日期】2017.04.24【实施日期】2017.04.24【时效性】现行有效【效力级别】XP10陕西省教育厅、陕西省知识产权局关于举办2017年“知识产权杯”陕西省大学生工业设计大赛的通知(陕教〔2017〕181号)各高等学校:为搭建工业设计教育成果交流平台,弘扬知识产权文化,培养制造业、创意产业后备人才,提高学生创新创业能力,推进高校工业设计及相关专业人才培养模式改革,经研究,决定举办2017年“知识产权杯”陕西省大学生工业设计大赛。
现就有关事项通知如下:一、大赛主题大赛主题为“传承、创新、推广、服务”。
二、大赛组织本次大赛由省教育厅、省知识产权局共同主办(见附件1),大赛设竞赛组织委员会(以下简称组委会,见附件2)负责本次大赛的报名、组织、评审、表彰等工作。
组委会秘书处设在西安美术学院。
三、参赛对象参赛对象为普通高校全日制在校大学生,包括研究生、本科生及高职高专学生。
鼓励不同学科专业学生跨学科、跨专业报名参赛。
四、大赛内容参赛作品应符合大赛主题要求,按照工程制造与创新、文化传承与创意、3D打印与实现、信息交互与服务、未来生活与梦想五大类别提交原创设计作品,鼓励协同创新。
1. 工程制造与创新(Engineering & Innovation)。
A. 装备:工业生产用机械装备、检测设备、加工设备、商务活动用办公设备等。
B. 工具:生产工具、金融机具等。
2.文化传承与创意(Culture Inheritance & Originality)。
C 文博创意:以我省各级各类博物馆、纪念馆馆藏资源为设计指向,以全新的思维深入挖掘文化文物资源的价值内涵和文化元素,将陕西文化具象化,打造文博创意品牌。
附件1:第七届“知识产权杯”陕西省大学生工业设计大赛获奖作品名单“办公椅”专项设计金、银奖获奖名单金奖学校作品名称设计人西安理工大学舒尚办公椅叶旭平、童壮、崔茜子银奖序号学校作品名称西安工业大学似圈适美韩金婵、吕静、任晓敏西安工业大学想自由李渊西安理工大学劳·逸皆适办公椅周环、郑礼龙、徐海辉西北工业大学鸡蛋椅闫卧龙西安工业大学海螺椅王振华、周涛、丁佩佩“自选类”参赛作品获奖名单一等奖序号学校作品名称设计人1 陕西科技大学直线辅助工具设计姚增凯、葛正浩2 西安美术学院桌上用枕头董洁3 西安美术学院搓背按摩洁身-好帮手周康康4 西安工程大学老年人“伴侣”韩耀升、蒋青青5 陕西科技大学圆规笔王涛、武嫣青6 西安科技大学便携式智能输液器范奕翔、张杨7 西安石油大学不倒翁笔帽董亚西、黄艳莉8 西安工业大学二合一救灾物资刘辉、王旭歌、陶学光9 西安工程大学H点郭宝生、田渊10 西北工业大学早安——HEART艾梦雅二等奖序号学校作品名称设计人1 西安石油大学折叠伸缩镰刀赵丹丹、贾珍珠2 西安美术学院变形婴儿床董洁3 西安工程大学多功能一体化清洁机造型设计杨雪4 西安科技大学老年人吃药提醒器田凯燕、赵文臻、丁浩5 陕西理工学院多合一便携泡面桶孟少博6 陕西理工学院“摩天轮”鞋柜魏军、张晶晶、杨亚玲7 西安美术学院奶奶针黄麟8 西安美术学院儿童创意灯强媚9 西安工程大学自行车停靠架吕慧10 西安工程大学“童年色彩”家具设计付惠艳11 西安科技大学涂鸦便签笔设计朱亚银12 西安科技大学家用咖啡机改良设计赵文臻、郑莉莉、田凯燕13 西安工业大学自由空间游庆斌、戴鹏程、师慧然14 西安工业大学可变式榔头代鹏程、游庆斌、师慧然15 陕西理工学院“E-go”一次性折叠饭盒刘梓欣、师娜、孟少博16 西安理工大学“易叠”办公便捷折椅刘洋、郭站站、高明得17 西安工业大学“气度”空间刘强、杨艳婷、杨强强18 西安工程大学悦徐峰、周奥文、邢升19 西安理工大学哈·壳马昱、刘盼20 西安工业大学随心孙宝岩、李林坤三等奖序号学校作品名称设计人1 陕西理工学院小炮兵MP3播放器徐达升、张龙岗、李阳2 西北工业大学火车上的安全便利桌南英妮、王长磊3 西安工业大学伸缩式小孩大人通用衣架毕子敬、周振华4 西安美术学院“泡泡”公园观光车孙慧敏、董静姝、陆益5 西安工程大学“随心”情趣花瓶设计孙佳6 西安工程大学“四叶草”组合电插座设计李夏骐7 陕西科技大学塑料和封口机的造型改良设计魏雪婷8 陕西科技大学“影”领时尚瞿应杰、玉腾诚9 陕西科技大学脚踩式衣服甩干机蔺浩、曹军、黄新杰10 陕西科技大学“懒虫”剪刀马赞赞11 西安科技大学三头蛇--多功能笔敖伦、陈思、马学飞12 西安工程大学趣味无线鼠标概念设计申伟、陈亚翠13 西安工程大学青苹果集线器雷雨坤14 西京学院“扳手螺丝刀改良设计”樊玮15 西安美术学院ENJOY LIFE 休闲沙发符琳16 西安美术学院未来感医疗推车魏山17 西安美术学院翘翘椅袁瑾18 陕西科技大学可折叠式儿童马桶架王丽娜19 西安石油大学便利小勺周建波20 西安工业大学可坐拉杆箱单凯、武誉、任园园21 西安工业大学线卡的改良设计李小林、张小燕、梁配豪22 陕西理工学院含羞灯魏华、宁立民23 西安理工大学新型办公椅陈玥希24 西安工业大学折叠办公椅设计李亚丽、蒋文雅、刘敏25 西北工业大学滑轨椅傅衍胜26 西北工业大学Bumblebee-残障人士专用办公王长磊、南英妮椅27 西安工业大学办公椅——实用创新设计周振华28 西安理工大学办公椅-趴椅冯悦29 西安工业大学定时震动提醒休息椅何艺云、吴光彩、郑爱良30 西安工业大学自由椅子一族梁海清、文武、刘甜优秀奖序号学校作品名称设计人1 西安科技大学地震救援仪器宋文强、李梦阳、吴金城2 陕西理工学院趣味刀架李园明、王璐、冯瑞洋3 陕西理工学院三刃菜刀郭振理、张严、延海霞4 西安工程大学会声会影王唯骁、刘思航5 西安工程大学仿生向日葵盆景台灯设计许川林6 西安工程大学盘子架董风敏7 西安工程大学便携充电器插头孟祥晴8 陕西科技大学惜水长流张欢、杜鑫宇、蔺浩9 陕西科技大学多功能管道塞设计周丽先、胡志刚、赵川10 西北工业大学早餐机洪维伟11 西安美术学院日历抽纸黄麟12 西京学院时空之钥李陶13 西安工程大学自由组合化书架设计曹鑫磊14 西安工程大学有·无多功能家具设计曾艳15 陕西科技大学智能熨烫机李阳、马豪汝、丁宗建16 西安美术学院“视听”—聋哑人专用概念车吕鑫17 西安工程大学“新动力,新空间”黄晓阳18 西安工程大学智能寻找器姜立萍、黄晓阳19 陕西理工学院“爱心”桶面杨亚玲、张晶晶、潘林豐20 陕西理工学院小人纸架魏华、宁立民、延海霞21 西安美术学院置换凳-让生活更简单任俞晓22 西安工程大学肥皂盒黄勇23 陕西科技大学水面垃圾清理器范伟娟、金彩云、华阳涛24 西安工程大学创意牙签盒何倍樟25 西安工程大学家用侧吸式抽油烟机张顺26 西安工业大学刀具清洁套黎娅娅、闫丽萍、圆圆27 西安工业大学就“袋”取材何艺云、吴光彩、郑爱良28 西安工业大学自行车打气筒概念设计程宝超、徐晓磊、刘萍29 西安工业大学小型洗涤器张晓培、张孟、李斐30 西安工业大学香皂任晓敏、吕静、张梦妮31 西安交通大学水陆两用自行车汪洋32 陕西理工学院三防插座设计杨旭、王欣怡33 西安交通大学便携式电吹风李湲34 西安财经学院学生多功能床王虹力、李明坤、殷欢35 西安建筑科技大学马勺封口夹高梦阳36 陕西科技大学便携式太阳能充电器赵川、胡志刚、周丽仙37 陕西科技大学“安宝乐”智能童车孔俏然38 西安文理学院新型多功能组合衣架冯资化、王阳涛、赵瑞39 西安航空学院防漏器张进40 西北农林科技大学桌椅柜张斌、李津伟41 西京学院床椅冯婕、贺倩娅、于泳42 西京学院人机摇椅郭盼锋43 西北工业大学书架椅陈时雨44 西安理工大学Hood-snake 李嘉蔚、赖奇巧45 西京学院灵动王琳46 西北工业大学蝶形办公椅李培47 西北工业大学“头脑风暴摇摇椅”高敏倬、48 陕西科技大学“stand”is“rest”范伟娟、金彩云49 西京学院“弹。
附件1:
第七届“知识产权杯”陕西省大学生工业设计大赛
获奖作品名单
“办公椅”专项设计金、银奖获奖名单
金奖
学校作品名称设计人西安理工大学舒尚办公椅叶旭平、童壮、崔茜子
银奖
序号学校作品名称西安工业大学似圈适美韩金婵、吕静、任晓敏
西安工业大学想自由李渊
西安理工大学劳·逸皆适办公椅周环、郑礼龙、徐海辉
西北工业大学鸡蛋椅闫卧龙
西安工业大学海螺椅王振华、周涛、丁佩佩
“自选类”参赛作品获奖名单
一等奖
序号学校作品名称设计人
1 陕西科技大学直线辅助工具设计姚增凯、葛正浩
2 西安美术学院桌上用枕头董洁
3 西安美术学院搓背按摩洁身-好帮手周康康
4 西安工程大学老年人“伴侣”韩耀升、蒋青青
5 陕西科技大学圆规笔王涛、武嫣青
6 西安科技大学便携式智能输液器范奕翔、张杨
7 西安石油大学不倒翁笔帽董亚西、黄艳莉
8 西安工业大学二合一救灾物资刘辉、王旭歌、陶学光
9 西安工程大学H点郭宝生、田渊
10 西北工业大学早安——HEART艾梦雅
二等奖
序号学校作品名称设计人
1 西安石油大学折叠伸缩镰刀赵丹丹、贾珍珠
2 西安美术学院变形婴儿床董洁
3 西安工程大学多功能一体化清洁机造型设计杨雪
4 西安科技大学老年人吃药提醒器田凯燕、赵文臻、丁浩
5 陕西理工学院多合一便携泡面桶孟少博
6 陕西理工学院“摩天轮”鞋柜魏军、张晶晶、杨亚玲
7 西安美术学院奶奶针黄麟
8 西安美术学院儿童创意灯强媚
9 西安工程大学自行车停靠架吕慧
10 西安工程大学“童年色彩”家具设计付惠艳
11 西安科技大学涂鸦便签笔设计朱亚银
12 西安科技大学家用咖啡机改良设计赵文臻、郑莉莉、田凯燕
13 西安工业大学自由空间游庆斌、戴鹏程、师慧然
14 西安工业大学可变式榔头代鹏程、游庆斌、师慧然
15 陕西理工学院“E-go”一次性折叠饭盒刘梓欣、师娜、孟少博
16 西安理工大学“易叠”办公便捷折椅刘洋、郭站站、高明得
17 西安工业大学“气度”空间刘强、杨艳婷、杨强强
18 西安工程大学悦徐峰、周奥文、邢升
19 西安理工大学哈·壳马昱、刘盼
20 西安工业大学随心孙宝岩、李林坤
三等奖
序号学校作品名称设计人
1 陕西理工学院小炮兵MP3播放器徐达升、张龙岗、李阳
2 西北工业大学火车上的安全便利桌南英妮、王长磊
3 西安工业大学伸缩式小孩大人通用衣架毕子敬、周振华
4 西安美术学院“泡泡”公园观光车孙慧敏、董静姝、陆益
5 西安工程大学“随心”情趣花瓶设计孙佳
6 西安工程大学“四叶草”组合电插座设计李夏骐
7 陕西科技大学塑料和封口机的造型改良设计魏雪婷
8 陕西科技大学“影”领时尚瞿应杰、玉腾诚
9 陕西科技大学脚踩式衣服甩干机蔺浩、曹军、黄新杰
10 陕西科技大学“懒虫”剪刀马赞赞
11 西安科技大学三头蛇--多功能笔敖伦、陈思、马学飞
12 西安工程大学趣味无线鼠标概念设计申伟、陈亚翠
13 西安工程大学青苹果集线器雷雨坤
14 西京学院“扳手螺丝刀改良设计”樊玮
15 西安美术学院ENJOY LIFE 休闲沙发符琳
16 西安美术学院未来感医疗推车魏山
17 西安美术学院翘翘椅袁瑾
18 陕西科技大学可折叠式儿童马桶架王丽娜
19 西安石油大学便利小勺周建波
20 西安工业大学可坐拉杆箱单凯、武誉、任园园
21 西安工业大学线卡的改良设计李小林、张小燕、梁配豪
22 陕西理工学院含羞灯魏华、宁立民
23 西安理工大学新型办公椅陈玥希
24 西安工业大学折叠办公椅设计李亚丽、蒋文雅、刘敏
25 西北工业大学滑轨椅傅衍胜
26 西北工业大学Bumblebee-残障人士专用办公
王长磊、南英妮
椅
27 西安工业大学办公椅——实用创新设计周振华
28 西安理工大学办公椅-趴椅冯悦
29 西安工业大学定时震动提醒休息椅何艺云、吴光彩、郑爱良
30 西安工业大学自由椅子一族梁海清、文武、刘甜
优秀奖
序号学校作品名称设计人
1 西安科技大学地震救援仪器宋文强、李梦阳、吴金城
2 陕西理工学院趣味刀架李园明、王璐、冯瑞洋
3 陕西理工学院三刃菜刀郭振理、张严、延海霞
4 西安工程大学会声会影王唯骁、刘思航
5 西安工程大学仿生向日葵盆景台灯设计许川林
6 西安工程大学盘子架董风敏
7 西安工程大学便携充电器插头孟祥晴
8 陕西科技大学惜水长流张欢、杜鑫宇、蔺浩
9 陕西科技大学多功能管道塞设计周丽先、胡志刚、赵川
10 西北工业大学早餐机洪维伟
11 西安美术学院日历抽纸黄麟
12 西京学院时空之钥李陶
13 西安工程大学自由组合化书架设计曹鑫磊
14 西安工程大学有·无多功能家具设计曾艳
15 陕西科技大学智能熨烫机李阳、马豪汝、丁宗建
16 西安美术学院“视听”—聋哑人专用概念车吕鑫
17 西安工程大学“新动力,新空间”黄晓阳
18 西安工程大学智能寻找器姜立萍、黄晓阳
19 陕西理工学院“爱心”桶面杨亚玲、张晶晶、潘林豐
20 陕西理工学院小人纸架魏华、宁立民、延海霞
21 西安美术学院置换凳-让生活更简单任俞晓
22 西安工程大学肥皂盒黄勇
23 陕西科技大学水面垃圾清理器范伟娟、金彩云、华阳涛
24 西安工程大学创意牙签盒何倍樟
25 西安工程大学家用侧吸式抽油烟机张顺
26 西安工业大学刀具清洁套黎娅娅、闫丽萍、圆圆
27 西安工业大学就“袋”取材何艺云、吴光彩、郑爱良
28 西安工业大学自行车打气筒概念设计程宝超、徐晓磊、刘萍
29 西安工业大学小型洗涤器张晓培、张孟、李斐
30 西安工业大学香皂任晓敏、吕静、张梦妮
31 西安交通大学水陆两用自行车汪洋
32 陕西理工学院三防插座设计杨旭、王欣怡
33 西安交通大学便携式电吹风李湲
34 西安财经学院学生多功能床王虹力、李明坤、殷欢
35 西安建筑科技大学马勺封口夹高梦阳
36 陕西科技大学便携式太阳能充电器赵川、胡志刚、周丽仙
37 陕西科技大学“安宝乐”智能童车孔俏然
38 西安文理学院新型多功能组合衣架冯资化、王阳涛、赵瑞
39 西安航空学院防漏器张进
40 西北农林科技大学桌椅柜张斌、李津伟
41 西京学院床椅冯婕、贺倩娅、于泳
42 西京学院人机摇椅郭盼锋
43 西北工业大学书架椅陈时雨
44 西安理工大学Hood-snake 李嘉蔚、赖奇巧
45 西京学院灵动王琳
46 西北工业大学蝶形办公椅李培
47 西北工业大学“头脑风暴摇摇椅”高敏倬、
48 陕西科技大学“stand”is“rest”范伟娟、金彩云
49 西京学院“弹。
轻松”樊玮
50 西安理工大学舒椅王晨菁、是业菲、刘飞
51 西安工业大学红绿灯王俊波、李琛、张梦妮
52 西安工业大学香薰椅翟懋然、张震军、黎娅娅
53 西北工业大学REO-椅洪维伟。