新人教版初中数学二元一次方程组练习题
- 格式:docx
- 大小:104.63 KB
- 文档页数:3
人教版数学七年级下册同步单元复习卷: 第8章 二元一次方程组一、填空题(本大题共8小题,共32分) 1.写出一个解为12x y =-⎧⎨=⎩的二元一次方程组__________.2.方程mx -2y=x+5是二元一次方程时,则m________.3.若2x 2a -5b+y a-3b=0是二元一次方程,则a=______,b=______.4.若12a b =⎧⎨=-⎩是关于a ,b 的二元一次方程ax+ay -b=7的一个解,则代数式(x+y )2-1•的值是_________5.若2x 5a y b+4与-x 1-2by 2a 是同类项,则b=________.6.已知都是ax+by=7的解,则a=_______,b=______.7.甲队有x 人,乙队有y 人,若从甲队调出10人到乙队,则甲队人数是乙队人数的一半,可列方程为______________. 8.在等式y =kx +b 中,当x =1时,y =1;当x =2时,y =4,则k =__________,b =__________. 二、选择题(本大题共8小题,每小题4分,共32分。
) 9.表示二元一次方程组的是( )A 、⎩⎨⎧=+=+;5,3x z y xB 、⎩⎨⎧==+;4,52y y xC 、⎩⎨⎧==+;2,3xy y x D 、⎩⎨⎧+=-+=222,11xy x x y x 10.已知2 x b +5y 3a 与-4 x 2a y 2-4b 是同类项,则b a 的值为( ) A .2 B .-2 C .1 D .-111.若关于x 、y 的方程组⎩⎨⎧=-=+k y x ky x 73的解满足方程2x +3y =6,那么k 的值为( )A .-23B .23C .-32D .-2312.如图所示,宽为50 cm 的矩形图案由10个全等的小长方形拼成,其中一个小长方形的面积为( ).A .400 cm 2B .500 cm2C .600 cm 2D .4 000 cm 213.方程82=+y x 的正整数解的个数是( )A 、4B 、3C 、2D 、114.已知关于x ,y 的方程组⎩⎪⎨⎪⎧x +2y =m ,x -y =4m 的解为3x +2y =14的一个解,那么m 的值为( ).A .1B .-1C .2D .-215.六年前,A 的年龄是B 的年龄的3倍,现在A 的年龄是B 的年龄的2倍,A 现在的年龄是( ).A .12岁B .18岁C .24岁D .30岁16.已知下列方程组:(1)⎩⎨⎧-==23y y x ,(2)⎩⎨⎧=-=+423z y y x ,(3)⎪⎪⎩⎪⎪⎨⎧=-=+0131y x y x ,(4)⎪⎪⎩⎪⎪⎨⎧=-=+0131yx y x , 其中属于二元一次方程组的个数为( )A .1B .2C .3D .4三、解答题(本大题共6小题,共36分) 17.(1)⎩⎨⎧=+=-5253y x y x (2)⎩⎨⎧=--=523x y x y (3)⎩⎨⎧=+=-152y x y x (4)⎩⎨⎧+==-1302y x y x(5)⎩⎨⎧-=+=-14329m n n m (6)⎩⎨⎧=+-=-q p q p 45133218.若12x y =⎧⎨=⎩是关于x ,y 的二元一次方程3x -y +a=0的一个解,求a 的值.19.小华不小心将墨水溅在同桌小丽的作业本上,结果二元一次方程组31122x y x y +=⎧⎨+=-⎩中第一个方程y 的系数和第二个方程x 的系数看不到了,现在已知小丽的结果是12x y =⎧⎨=⎩,你能由此求出原来的方程组吗?20.某纸品加工厂为了制作甲、乙两种无盖的长方体小盒,利用边角余料裁出正方形和长方形两种硬纸片,长方形的宽和正方形的边长相等,现将150张正方形硬纸片和300张长方形硬纸片全部用来制作这两种小盒,可以制作甲、乙两种小盒各多少个人教版七年级数学下册 第八章 二元一次方程组 单元综合测试卷含答案一、选择题(本大题共10小题,,共30分) 1.已知方程()()026281||2=++--+mn y n x m 是二元一次方程,则m+n 的值( )A.1B. 2C.-3D.32.用代入法解方程组⎩⎪⎨⎪⎧2y -3x =1,x =y -1,下面的变形正确的是( )A .2y -3y +3=1B .2y -3y -3=1C .2y -3y +1=1D .2y -3y -1=1 3.下列方程组,解为⎩⎨⎧-=-=21y x 是( ).A .⎩⎨⎧=+=-531y x y xB .⎩⎨⎧-=+=-531y x y xC .⎩⎨⎧=-=-133y x y xD .⎩⎨⎧=+-=-533y x y x4.已知x ,y 满足方程组45x m y m+=⎧⎨-=⎩,则x ,y 的关系式是( )A .x+y=1B .x+y=-1C .x+y=9D .x+y=9 5.根据图中提供的信息,可知一个杯子的价格是( )A .51元B .35元C .8元D .7.5元6.已知21x y =⎧⎨=⎩是方程组51ax by bx ay +=⎧⎨+=⎩的解,则a b -的值是( )A. -1B. 2C. 3D. 47.在等式n mx x y ++=2中,当3.5,3;5,2=-=-===x y x y x 则时时时,=y ( )。
人教版七年级数学下册《二元一次方程组》专项练习题-附含答案知识点1-1 二元一次方程(组)1)二元一次方程:含有两个未知数 且 所含未知数的次数项的次数都是1的方程。
注:所有未知数项的次数必须是1 例: 不是 2x -3xy =2 不是 2)将几个相同未知数的一次方程联合起来 就组成了二元一次方程组。
注:①在方程组中 相同未知数必须代表同一未知量。
②二元一次方程组不一定都是二元一次方程组合而成 方程个数也不一定是两个。
例: 是 3)判断二元一次方程组的方法:①方程组中是否一共有两个未知数;②含未知数的项的次数是否都是1;③是否含有多个方程组成.例1.(2021·湖南·衡阳市华新实验中学七年级月考)下列方程中 ①;②;③;④ 是二元一次方程的有( ) A .1个 B .2个C .3个D .4个【答案】A【分析】根据二元一次方程的定义:含有两个未知数 并且含有未知数的项的次数都是1的整式方程叫做二元一次方程 即可判断出答案.【详解】解:①根据二元一次方程定义可知是二元一次方程 此项正确; ②化简后为 不符合定义 此项错误; ③含有三个未知数不符合定义 此项错误;④不符合定义 此项错误;所以只有①是二元一次方程 故选:A .【点睛】本题考二元一次方程 解题的关键是熟练运用二元一次方程的定义 本题属于基础题型.变式1.(2022·山东济南·八年级期末)下列方程中 为二元一次方程的是( ) A .2x +3=0 B .3x -y =2zC .x 2=3D .2x -y =5【答案】D【分析】根据二元一次方程的定义 从二元一次方程的未知数的个数和次数方面辨别. 【详解】解:A .是一元一次方程 故本选项不合题意; B .含有三个未知数 不是二元一次方程 故本选项不合题意;C .只含有一个未知数 且未知数的最高次数是2 不是二元一次方程 故本选项不合题意;D .符合二元一次方程的定义 故本选项符合题意.故选:D .20x y-=3235x y x y -=⎧⎨+=⎩6x y +=()16x y +=31x y z +=+7mn m +=6x y +=()16x y +=6xy x +=31x y z +=+7mn m +=【点睛】此题考查了二元一次方程的定义 含有两个未知数 并且含有未知数的项的次数都是1 像这样的整式方程叫做二元一次方程.例2.(2021·湖南·衡阳市华新实验中学七年级月考)已知是关于 的二元一次方程 则______. 【答案】4【分析】根据二元一次方程的定义 可得方程组 解得m 、n 的值 代入代数式即可.【详解】解:由题意得 解得: ∴ 4 故填:4. 【点睛】本题考查二元一次方程的定义 属于基础题型. 变式2.(2021·天津一中七年级期中)若是关于 的二元一次方程 则( )A .B .C .D .【答案】D【分析】二元一次方程满足的条件:含有2个未知数 未知数的项的次数是1的整式方程. 【详解】解:是关于的二元一次方程解得: .故选:D . 【点睛】此题主要考查了二元一次方程的定义 关键是掌握二元一次方程需满足三个条件:①首先是整式方程.②方程中共含有两个未知数.③所有未知项的次数都是一次.不符合上述任何一个条件的都不叫二元一次方程.例3.(2021·河南淇县·七年级期中)下列方程组中 是二元一次方程组的是( )A .B .C .D .【答案】C【分析】根据二元一次方程的定义 含有两个未知数 并且含有未知数的项的次数为1的整式方程对个选项进行一一排查即可.【详解】解:A. 第二个方程中的是二次的 故本选项错误;B.方程组中含有3个未知数 故本选项错误;C. 符合二元一次方程组的定义 故本选项正确;D. 第二个方程中的xy 是二次的 故本选项错误.故选C .3211203n m x y -+-=x y n m +=31211n m -=⎧⎨+=⎩31211n m -=⎧⎨+=⎩40n m =⎧⎨=⎩n m +=20193(2020)(4)2021m n m x n y---++=x y 2020m =±4n =±2020m =-4n =-2020m =4n =2020m =-4n =()()20193202042021m n m x n y ---++=x y ∴2019120200m m ⎧-=⎨-≠⎩3140n n ⎧-=⎨+≠⎩2020m =-4n =2214x y x +=⎧⎨=⎩1236x y y z ⎧-=⎪⎨⎪-=⎩225x y x y +=-⎧⎨-=⎩213xy y y +=⎧⎨=-⎩2x【点睛】:根据组成二元一次方程组的两个方程应共含有两个未知数 且未知数的项最高次数都应是一次的整式方程 判断各选项即可.变式3.(2021·上海市建平中学西校期末)下列方程组 是二元一次方程组的是( ).A .B .C .D . 【答案】B【详解】A 选项:在中最高次数为2 故为二元二次方程组 不合题意;B 选项:为二元一次方程组 符合题意;C 选项:在中 共有3个未知数 为三元一次方程组 不合题意;D 选项:在中最高次数为2 故为二元二次方程组 不合题意.故选B . 【点睛】本题考查了二元一次方程的概念 掌握二元一次方程的概念(含有两个未知数 并且含有未知数的项的次数都是1的方程叫做二元一次方程)是解题关键.例4.(2021·日照市新营中学七年级期中)若方程组是二元一次方程组 则a 的值为________. 【答案】-3【分析】根据二元一次方程组的定义得到|a |-2=1且a -3≠0 然后解方程与不等式即可得到满足条件的a 的值.【详解】解:∵方程组是二元一次方程组 ∴|a |-2=1且a -3≠0 ∴a =-3 故答案为:-3. 【点睛】本题考查了二元一次方程组的定义:把具有相同未知数的两个二元一次方程合在一起 就组成了一个二元一次方程组.变式4.(2021·全国·七年级课时练习)若是关于 的二元一次方程组 则__ __ __. 【答案】 3或2【分析】二元一次方程组的定义:(1)含有两个未知数;(2)含有未知数的项的次数都是1 据此列式即可求解. 【详解】解:是关于 的二元一次方程组 或0 解得:或2 答案:3或2223xy x y =⎧⎨=⎩231x y y -=⎧⎨=⎩2425x y x z -=-⎧⎨+=⎩227x y y x-+=⎧⎨=⎩223xy x y=⎧⎨=⎩231x y y -=⎧⎨=⎩2425x y x z -=-⎧⎨+=⎩227x y y x -+=⎧⎨=⎩()20390a x ya x -⎧+=⎪⎨-+=⎪⎩23(3)34a b x c xy x y -+-+=⎧⎨+=⎩x y =a b =c =2-3-23(3)34a b x c xy x y -+-+=⎧⎨+=⎩x y 30c ∴+=21a -=31b +=3a =2b =-3c =-2-【点睛】本题主要考查了二元一次方程组的定义 利用它的定义即可求出代数式的解.知识点1-2 二元一次方程(组)的解1)二元一次方程的解:使二元一次方程两边的值相等的两个未知数的值(有序数对) 例:x+y=10 (1 9) (2 8) (3 7)等。
初一数学二元一次方程组练习班级_______姓名________学号_________一.选择题.1.下列方程组:① ()2312-=⎪⎩⎪⎨⎧-=+-y y x x y x ;②⎩⎨⎧=+=-2y x xy y x ;③⎪⎩⎪⎨⎧=-=-=+02323y x y x y x ;④⎩⎨⎧==23y x ;⑤⎩⎨⎧=-=by x a x (其中x .y 为未知数)中,是二元一次方程组的有( ). A .6个 B .5个 C .4个 D .3个2.在下面四个方程组中,以⎩⎨⎧-==12y x 为解的方程组是( ).3.已知y=kx +b ,当x=0时,y=1;当x=1,y=2时,则( ). A .11-==b k , B .11=-=b k , C .11==b k , D .12-==b k , 4.二元一次方程5x -11y =21,( ).A .有一个解且只有一个解B .有二个解且只有二个解C .无解D .有无数个解5.有一个二位正整数,它的十位上的数字与个位上的数字的和是6,这样的二位正整数有( ).A .3个B .5个C .6个D .无数个6.学校篮球数比排球数的2倍少3个,篮球数与排球数的比是3:2,要求这两种球的个数.若设篮球有x 个,排球有y 个,则根据题意,得到的方程组是( ).7.已知方程组⎩⎨⎧=+-=+my x m y x 32223,的解中x 与y 的和为2,则m 的值是( ). A .6 B .4 C .2 D .08.已知m 为奇数,n 是偶数,方程组 ⎩⎨⎧=+=-m y x n y x 319992000的解⎩⎨⎧==q y p x 是是整数,那么( ). A .p .q 都是偶数 B .p .q 都是奇数 C .p 偶,q 奇 D .p 奇,q 偶9.由方程组⎩⎨⎧=+-=+-0432032z y x z y x ,可得x ﹕y ﹕z 等于( ). A .1﹕2﹕1 B .1﹕(-2)﹕(-1) C .1﹕(-2)﹕1 D .1﹕2﹕(-1)10.某次数学竞赛共出了25道选择题,评分办法是:答对一道加4分,答错一道倒扣1分,不答记0分.已知小王不答的题比答错的题多2道,他的总分是74分,则他答对了( ).A .18题B .19题C .20题D .21题二.填空题.11.若x -5y =4,则用x 的代数式表示y ,得到________;当x =2时,y =________.12.若752312=+--m n m y x 是二元一次方程,则m =_________;n =________. 13.14.若⎩⎨⎧==b y a x ,是方程2x +y =0的一个解,则6a +3b +2=_______. 15.已知与的和是一个单项式,则x =_______,y =________.16.已知方程,当k =_______时,该方程为一元一次方程;当k =________时,该方程为二元一次方程.17.已知x ﹕y =1﹕2,则________________2=-+=+y x y x y y x ,. 18._______.19.若()032≠==a c b a ,则c b a c +-2=_________. 20.若,则a :b :c=________.三.解答题.21.解方程组: (1)⎩⎨⎧=+=-82573y x y x (2)⎩⎨⎧-=+=-224372y x y x (3)⎩⎨⎧=+-=-0143643y x x y(4)⎪⎪⎩⎪⎪⎨⎧=-+-=-++12131222131y x y x (5)()()()()⎩⎨⎧=---=-+-0332432423y x y x y x y x (6)22、已知a +b =17,a -b =-7,求3(a 2+b 2)-513的值。
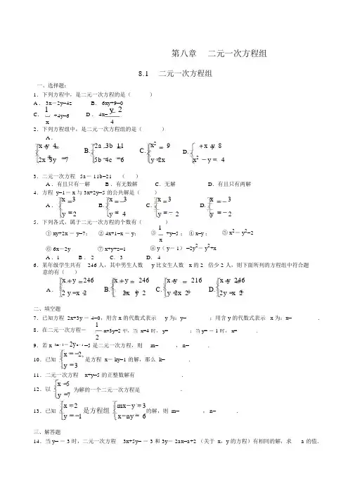
第八章 二元一次方程组8.1二元一次方程组一、选择题:1.下列方程中,是二元一次方程的是( )A . 3x -2y=4zB . 6xy+9=0C .1+4y=6D . 4x=y 2x42.下列方程组中,是二元一次方程组的是()A .x y 4B.2a 3b 11C.x 2 9x y 82x 3y76D.y45b 4cy 2xx 23.二元一次方程 5a - 11b=21 ( )A .有且只有一解B .有无数解C .无解D .有且只有两解4.方程 y=1- x 与 3x+2y=5 的公共解是()A .x 3 x3x 3x 3y 2B.4C.2D.2yyy5.下列各式,属于二元一次方程的个数有()① xy+2x - y=7;② 4x+1=x - y ;③1+y=5 ; ④ x=y ;⑤ x 2- y 2=2x⑥ 6x -2y⑦ x+y+z=1⑧ y ( y - 1) =2y 2- y 2+xA .1B . 2C . 3D . 46.某年级学生共有 246 人,其中男生人数 y 比女生人数 x 的 2 倍少 2 人,则下面所列的方程组中符合题意的有( )A .x y 246B.x y 246x y 216D.x y 246 2 y x 22x y 2C.y 2x 22y x 2二、填空题7.已知方程 2x+3y - 4=0,用含 x 的代数式表示 y 为:y=_______ ;用含 y 的代数式表示 x 为:x=________ .8.在二元一次方程-1x+3y=2 中,当 x=4 时, y=_______ ;当 y= - 1 时, x=______ .3m - 3-2y n - 129.若 x=5 是二元一次方程,则m=_____ , n=______.10.已知x2,是方程 x - ky=1 的解,那么 k=_______ .y 311.二元一次方程 x+y=5 的正整数解有 ______________. 12.以x 5 为解的一个二元一次方程是_________.y 713.已知x 2 是方程组mx y 3 的解,则 m=_______ , n=______ .y1 x ny6三、解答题14.当 y= - 3 时,二元一次方程 3x+5y= - 3 和 3y - 2ax=a+2 (关于 x ,y 的方程)有相同的解,求 a 的值.15.如果( a- 2) x+ (b+1 ) y=13 是关于 x, y 的二元一次方程,则a,b 满足什么条件?4x 3y716.二元一次方程组的解x,y的值相等,求k.kx ( k 1)y317.已知 x, y是有理数,且22(│ x│- 1) +( 2y+1) =0,则 x- y 的值是多少?18.根据题意列出方程组:( 1)明明到邮局买0.8 元与 2 元的邮票共13 枚,共花去20 元钱,问明明两种邮票各买了多少枚?( 2)将若干只鸡放入若干笼中,若每个笼中放 4 只,则有一鸡无笼可放;若每个笼里放 5 只,则有一笼无鸡可放,问有多少只鸡,多少个笼?8.2 解二元一次方程——组代入消元一、选择题:y 1 x)1. 用代入法解方程组2 y 时,代入正确的是(x 4A. x 2 x 4 B . x 2 2x 4 C . x 2 2x 4D . x 2 x 42.方程 y=1- x 与 3x+2y=5 的公共解是()A .x 3 x 3 x 3 x 3 yB.y4C.2D.22yy3. 若 5x-6 y=0,且 xy ≠ 0,则5x4 y的值等于()5x 3 yA. 2 . 3C.1D.-13B2二、填空:4.已知方程 2x+3y - 4=0,用含 x 的代数式表示 y 为:y=_______ ;用含 y 的代数式表示 x 为:x=________ . 5、若方程 x-2 y+3z=0,且当 x=1 时, y=2,则 z=______;6、方程 2x+3y=10 中,当 3x-6=0 时, y=_________;7、如果 x=1, y=2 满足方程 ax11 ,那么 a=____________;y48、若 4x+3y+5=0,则 3(8 y- x)-5( x+6y-2) 的值等于 _________; 三、用代入法解下列方程组x 3y 510.y x 39.y5y 2 x52x2x y 5 x 2 y 011.y112.3y 1x x9m 2n 3 2 p 3q 1313.m114.5 4q4n p8.2 解二元一次方程——组加减消元一、选择题(1)用加减法解方程组6x 7 y 19 6x 5y 应用( )① 17②A. ①- ②消去 y.B.① - ②消去 x.C. ② - ①消去常数项 .D. 以上都不对 .( )方程组 3x 2y13消去 y 后所得的方程是 () 2 3x 2 y 5A.6x=8.B.6x=18.C.6x=5.D.x=18.2.二、填空题3.已知方程组x 3 y 17两个方程只要两边就可以消去未知数。
初中数学七年级下册第八章二元一次方程组专项测试(2021-2022学年 考试时间:90分钟,总分100分)班级:__________ 姓名:__________ 总分:__________一、单选题(10小题,每小题3分,共计30分)1、某污水处理厂库池里现有待处理的污水m 吨.另有从城区流入库池的待处理污水(新流入污水按每小时n 吨的定流量增加).若该厂同时开动2台机组,需30小时处理完污水;若同时开动3台机组,需15小时处理完污水.若5小时处理完污水,则需同时开动的机组数为( )A .6台B .7台C .8台D .9台2、用加减法解方程组336x y x y +=-⎧⎨+=⎩①②由②-①消去未知数y ,所得到的一元一次方程是( ) A .29x = B .23x = C .49=x D .43x =3、甲、乙两城相距1120千米,一列快车从甲城出发120千米后,另一列动车从乙城出发开往甲城,2个小时后两车相遇.若快车平均每小时行驶的路程是动车平均每小时行驶的路程的一半还多5千米,则动车平均每小时比快车平均每小时多行驶的路程为( )A .330千米B .170千米C .160千米D .150千米4、己知33x k y k =⎧⎨=-⎩是关于x ,y 的二元一次方程227x y -=的解,则k 的值是( ) A .3 B .3- C .2 D .2-5、下列各式中是二元一次方程的是( )A .2327x y -=B .25x y +=C .123y x += D .234x y -=6、已知12x y =⎧⎨=⎩是二元一次方程组92mx ny nx my +=⎧⎨-=⎩的解,则m +n 的值为( ) A .294 B .5 C .254 D .527、由方程组250x m x y m +=⎧⎨+-=⎩可以得出关于x 和y 的关系式是( ) A .5x y += B .25x y += C .35x y += D .30x y +=8、已知||(1)23a a x y -+=是二元一次方程,则a 的值为( )A .±1B .1C .1-D .29、有一个两位数和一个一位数,它们的和为39,若将两位数放在一位数的前面,得到的三位数比将一位数放在两位数的前面得到的三位数大27,求这两个数.若设两位数是x ,一位数是y ,则可列方程组为( )A .3927x y xy yx +=⎧⎨-=⎩B .391027100x y x y y x +=⎧⎨++=+⎩C .39102710x y x y y x +=⎧⎨+-=+⎩D .3910(100)27x y x y y x +=⎧⎨+-+=⎩10、若x ,y 为实数,且70x y +,则y x -的立方根是( )A .2B .2-C .D 二、填空题(5小题,每小题4分,共计20分)1、某销售商十月份销售X 、Y 、C 三种糖果的数量之比2∶1∶1,X 、Y 、C 三种糖果的单价之比为1∶3∶4.十一月份该销售商为了迎接双“十一”加大了宣传力度.预计三种糖果的营业额都会增加.其中X 种糖果增加的营业额占总增加的营业额的715,此时,X 种糖果的营业额与十一月份三种糖果总营业颁之比为3∶8,为使十一月份Y 、C 两种糖果的营业额之比为2∶3,则十一月份C 种糖果增加的营业额与十一月份总营业额之比为____.2、已知3211203n m x y -+-=是关于x ,y 的二元一次方程,则n m +=______. 3、关于x 的方程350x +=与331x k +=的解相同,则k 的值为____.4、《孙子算经》是中国古代重要的数学著作,记有许多有趣而又不乏技巧的算术程式.其中记载:“今有甲、乙二人,持钱各不知数.甲得乙中半,可满四十八.乙得甲太半,亦满四十八.问甲、乙二人原持钱各几何?”译文:“甲,乙两人各有若干钱.如果甲得到乙所有钱的一半,那么甲共有钱48文.如果乙得到甲所有钱的23,那么乙也共有钱48文.问甲,乙二人原来各有多少钱?”设甲原有x 文钱,乙原有y 文钱,可列方程组为____________.5、已知关于x 、y 的二元一次方程组21x y a x y +=⎧⎨-=⎩的解为3x y b =⎧⎨=⎩,则a +b 的值为 ___. 三、解答题(5小题,每小题10分,共计50分)1、如果知道了两个数的和与差,你一定能求出这两个数吗?说说你的理由.2、解方程组:(1)3155214x y x y +=⎧⎨-=⎩ (2)231021124x y x y y +=⎧⎪⎨++-=⎪⎩ 3、(1)21(2)--(2)11233210x y x y +⎧-=⎪⎨⎪+=⎩ 4、定义.对于一个四位自然数n ,若其百位数字等于其个位数字与十位数字之和,其千位数字等于其十位数字与百位数字之和,则称这个四位自然数n 为“加油数”,并将该“加油数”的各个数位数字之和记为()F n .例如:5413是“加油数”,因为5413的个位数字是3,十位数字是1,百位数字是4,千位数字是5,且314,145+=+=,所以543是“加油数”,则()5413541313F =+++=;9734不是“加油数”,因为9734的个位数字是4,十位数字是3,百位数字是7,千位数字是9,而437+=,但37109+=≠,所以9734不是“加油数”.(1)判断8624和3752是不是“加油数”并说明理由:(2)若x ,y 均为“加油数”,其中x 的个位数字为1,y 的十位数字为2,且()()30F x F y +=,求所有满足条件的“加油数”x .5、解方程组:3214,3.x y x y +=⎧⎨=+⎩①②---------参考答案-----------一、单选题1、B【解析】【分析】设同时开动x 台机组,每台机组每小时处理a 吨污水,根据“如果同时开动2台机组要30小时刚好处理完污水,同时开动3台机组要15小时刚好处理完污水”,即可得出关于m ,n 的二元一次方程组,解之即可得出m ,n 的值(用含a 的代数式表示),再由5小时内将污水处理完毕,即可得出关于关于x 的一元一次方程,解之可得出结论.【详解】解:设同时开动x 台机组,每台机组每小时处理a 吨污水,依题意,得2303031515a m n a m n⨯=+⎧⎨⨯=+⎩, 解得:30m a n a=⎧⎨=⎩, ∵5ax =30a +5a ,∴x =7.答:要同时开动7台机组.故选:B.【点睛】本题考查的是用二元一次方程组来解决实际问题,正确的理解题意是解题的关键.2、A【解析】【分析】观察两方程发现y的系数相等,故将两方程相减消去y即可得到关于x的一元一次方程.【详解】解:解方程组336x yx y+=-⎧⎨+=⎩①②,由②-①消去未知数y,所得到的一元一次方程是2x=9,故选:A.【点睛】本题考查了解二元一次方程组,利用了消元的思想,消元的方法有:加减消元法与代入消元法.3、C【解析】【分析】设动车平均每小时行驶x千米,快车平均每小时行驶y千米,根据“一列快车从甲城出发120千米后,另一列动车从乙城出发开往甲城,2个小时后两车相遇,且快车平均每小时行驶的路程比动车平均每小时行驶的路程的一半还多5千米”,即可得出关于x,y的二元一次方程组,求出动车与快车平均每小时行驶的路程即可解答.【详解】解:设动车平均每小时行驶x千米,快车平均每小时行驶y千米,依题意得:()152********y x x y ⎧=+⎪⎨⎪++=⎩, 解得:330170x y =⎧⎨=⎩ , 330170160-= ,故选:C .【点睛】本题考查了二元一次方程组的应用,找准等量关系,正确列出二元一次方程组是解题的关键.4、A【解析】【分析】将33x k y k=⎧⎨=-⎩代入关于x ,y 的二元一次方程2x -y =27得到关于k 的方程,解这个方程即可得到k 的值. 【详解】解:将33x k y k=⎧⎨=-⎩代入关于x ,y 的二元一次方程2x -y =27得: 2×3k -(-3k )=27.∴k =3.故选:A .【点睛】本题主要考查了二元一次方程的解和解一元一次方程,将方程的解代入原方程是解题的关键.5、B【解析】【分析】根据二元一次方程的定义,即含有两个未知数,并且未知数项的次数为1的整式方程是二元一次方程判断即可;【详解】2327x y -=中x 的次数为2,故A 不符合题意;25x y +=是二元一次方程,故B 符合题意;123y x +=中1x不是整式,故C 不符合题意; 234x y -=中y 的次数为2,故D 不符合题意;故选B .【点睛】本题主要考查了二元一次方程的定义,准确分析判断是解题的关键.6、B【解析】【分析】根据方程组解的定义,方程组的解适合方程组中的每个方程,转化为关于m 、n 的方程组即可解决问题.【详解】解:∵12x y =⎧⎨=⎩是二元一次方程组92mx ny nx my +=⎧⎨-=⎩的解, ∴2922m n n m +⎧⎨-⎩==,解得14m n ⎧⎨⎩==, ∴m +n =5.故选:B .【点睛】本题考查二元一次方程组的解,理解方程组解的定义是解决问题的关键.7、C【解析】【分析】分别用x ,y 表示m ,即可得到结果;【详解】由25x m +=,得到52m x =-,由0x y m +-=,得到m x y =+,∴52x x y -=+,∴35x y +=;故选C .【点睛】本题主要考查了二元一次方程组的化简,准确分析计算是解题的关键.8、C【解析】【分析】根据二元一次方程的定义,即含有两个未知数,且未知数的次数均为1,即可求解.解:∵||(1)23a a x y -+=是二元一次方程, ∴1=a ,且10a -≠ ,解得:1a =- .故选:C【点睛】本题主要考查了二元一次方程的定义,解题的关键是熟练掌握含有两个未知数,且未知数的次数均为1.9、D【解析】【分析】若设两位数是x ,一位数是y ,则两位数放在一位数的前面,得到的三位数为10x +y ,将一位数放在两位数的前面得到的三位数为100y +x ,再分别根据这两数的和为39和两位数放在一位数的前面得到的三位数比将一位数放在两位数的前面得到的三位数大27,即可得出方程组.【详解】解:设两位数是x ,一位数是y ,则两位数放在一位数的前面,得到的三位数为10x +y ,将一位数放在两位数的前面得到的三位数为100y +x ,依题意得:3910(100)27x y x y y x +=⎧⎨+-+=⎩, 故选D .【点睛】此题主要考查了二元一次方程组的应用,根据已知正确的表示出两个三位数是解题关键.10、A【分析】根据非负性列出二元一次方程组求出x,y,再求出其立方根.【详解】依题意可得7060 x yx y+=⎧⎨+-=⎩解得17 xy=-⎧⎨=⎩∴y x-=8故y x-的立方根是2故选A.【点睛】此题主要考查二次根式的非负性、二元一次方程组的求解、立方根的性质,解题的关键是熟知其运算法则.二、填空题1、5:24【分析】根据三种糖果的数量比、单价比,可以按照比例设未知数,即10月份X、Y、C三种糖果的销售的数量和单价分别为2x、x、x;y、3y、4y,则10月份X、Y、C三种糖果的销售额比为2:3:4.因问题中涉及到X的10月销售数量,因此可以设11月份X增加的营业额为7x,则11月份总增加的营业额为15x;再根据X种糖果的营业额与十一月份三种糖果总营业额之比为3:8,建立等式,求出x.可以根据十一月份Y、C两种糖果的营业额之比为2:3算出十一月份C种糖果增加的营业额即可求解.【详解】解:设10月份X、Y、C三种糖果的销售的数量分别为2x、x、x;单价分别为y、3y、4y,∴10月份X、Y、C三种糖果的销售额分别为2xy,3xy,4xy;∵X种糖果增加的营业额占总增加的营业额的715,∴设11月份X增加的营业额为7x,则11月份总增加的营业额为15x;又X种糖果的营业额与十一月份三种糖果总营业额之比为3:8,∴(7x+2xy):(15x+9xy)=3:8,解得x=xy,∴十一月份X种糖果的营业额为9xy,三种糖果总营业额为24xy,∴Y,C两种糖果的营业额之和为15xy,若十一月份Y、C两种糖果的营业额之比为2:3,则Y、C两种糖果的营业额分别为6xy,9xy;∴C种糖果增加的营业额为9xy-4xy=5xy,∴十一月份C种糖果增加的营业额与十一月份总营业额之比为5xy:24xy=5:24.【点睛】本题考查了三元一次方程组的应用,掌握用代数式表示每个参数,并用整体法解题是关键.2、4【分析】根据二元一次方程的定义,可得方程组31211nm-=⎧⎨+=⎩,解得m、n的值,代入代数式即可.【详解】解:由题意得,31 211nm-=⎧⎨+=⎩,解得:4nm=⎧⎨=⎩,∴n m+=4,故填:4.【点睛】本题考查二元一次方程的定义,属于基础题型.3、2由题意根据同解方程解方程的方法联立方程可得35331x x k +=+-,进而即可得出答案.【详解】解:因为350x +=与331x k +=的解相同,且3310x k +-=,所以35331x x k +=+-,可得315k -=,解得:2k =.故答案为:2.【点睛】本题考查同解方程解方程,解答本题的关键是正确解一元一次方程.理解方程的解的定义,就是能够使方程左右两边相等的未知数的值.4、4822483y x y x ⎧+=⎪⎪⎨⎪+=⎪⎩【分析】设甲原有x 文钱,乙原有y 文钱,根据题意可得,甲的钱+乙的钱的一半=48文钱,乙的钱+甲所有钱的2348=文钱,据此列方程组可得. 【详解】解:设甲原有x 文钱,乙原有y 文钱, 根据题意,得:4822483y x y x ⎧+=⎪⎪⎨⎪+=⎪⎩. 【点睛】本题考查了二元一次方程组的应用,解答本题的关键是读懂题意,设出未知数,找出合适的等量关系,列方程组求解.5、10将3x =代入1x y -=中,求出y 的值,然后将,x y 的值代入2x y a +=求出a 的值,计算即可.【详解】解:∵关于x 、y 的二元一次方程组21x y a x y +=⎧⎨-=⎩的解为3x y b =⎧⎨=⎩, ∴将3x =代入1x y -=中得:31y -=,解得:2y =,即2b =,将3x =、2y =代入2x y a +=中得:2328⨯+=,∴8a =,∴8210a b +=+=,故答案为:10.【点睛】本题考查了二元一次方程组的解,熟知二元一次方程组的解是能使方程组成立的未知数的值.三、解答题1、能,答案不唯一,理由见解析【分析】不妨设10,5x y x y +=-=,利用加减消元法进行求解.【详解】解:(本题答案不唯一)假设这两个数分别为x 和y ,不妨设10,5x y x y +=-=,联立:155x y x y +=⎧⎨-=⎩①②,①+②得:220x =,解得:10x =,将10x =代入①中,得1015y +=,解得:5y =,10,5x y ∴==.【点睛】本题考查了求解二元一次方程组,解题的关键是掌握加减消元法.2、(1)43x y =⎧⎨=⎩;(2)123x y ⎧=⎪⎨⎪=⎩. 【分析】(1)应用加减消元法,求出方程组的解即可;(2)先把方程组化简,再应用加减消元法,求出方程组的解即可.【详解】解:(1)3155214x y x y +=⎧⎨-=⎩①②, ①×2得,6x +2y =30③,②+③得,11x =44,解得x =4,把x =4代入①得,y =3,所以方程组的解是43x y =⎧⎨=⎩;(2)231021124x y x y y +=⎧⎪⎨++-=⎪⎩, 整理得231045x y x y +=⎧⎨+=⎩①②, ①×2得,4x +6y =20③,③-②得,5y =15,解得y =3,把y =3代入①得,x =12, 所以方程组的解是123x y ⎧=⎪⎨⎪=⎩. 【点睛】本题考查了二元一次方程组的解,熟练掌握加减消元法和代入消元法解二元一次方程组是解题的关键.3、(1)13;(2)312x y =⎧⎪⎨=⎪⎩【分析】(1)先计算乘方、立方根、算术平方根,然后计算加减乘除运算即可;(2)先把方程进行整理,然后利用加减消元法解方程组,即可得到答案.【详解】解:(1)原式1410=-++13=;(2)11233210x y x y +⎧-=⎪⎨⎪+=⎩①②, 由①得:328x y -=③由②+③得:618x =,解得:3x =;把3x =代入②,解得:12y =, 所以原方程组的解为:312x y =⎧⎪⎨=⎪⎩; 【点睛】本题考查了解二元一次方程组,乘方、立方根、算术平方根,解题的关键是掌握运算法则,正确的进行计算.4、(1)8624是“加油数”;3752不是“加油数”;(2)3211或9541.【分析】(1)根据“加油数”的定义分别计算判断即可;(2)设x 的十位数为a ,y 的个位数为b ,根据“加油数”的定义分别表示出x ,y 其他位上的数,然后根据()()30F x F y +=列出方程求解即可.【详解】解:(1)∵8624的个位数字是4,十位数字是2,百位数字是6,千位数字是8,∵246,268+=+=,∴8624是“加油数”;∵3752的个位数字是2,十位数字是5,百位数字是7,千位数字是3,∵257+=,但573+≠,∴3752不是“加油数”;(2)设x 的十位数为a ,y 的个位数为b ,∴x 的百位数为a +1,千位数为2a +1,y 的百位数为b +2,千位数为4+b ,∴()211143F x a a a a =+++++=+,()42238F y b b b b =+++++=+,∵()()30F x F y +=,∴433830a b +++= ,∴4319a b +=,09,09a b ≤≤≤≤,且a 和b 为整数,∴1,5a b ==或4,1a b ==,∴满足条件的“加油数”x 为3211或9541.【点睛】本题以新定义考查了列代数式,二元一次方程的正整数解,解题的关键是根据新定义列出代数式,建立方程.5、4,1.x y =⎧⎨=⎩ 【分析】利用代入法解方程组.【详解】解:将②代入①,得()33214y y ++=,39214y y ++=,55y =,1y =.将1y =代入②,得4x =.所以原方程组的解是4,1.xy=⎧⎨=⎩.【点睛】此题考查二元一次方程组的解法:代入消元法、加减消元法,掌握解法并能根据每个方程组的特点选用恰当的解法是解题的关键.。
人教版七年级数学下册第八章二元一次方程组单元测试题(有答案)一.选择题1.下列方程中,是二元一次方程的是( )A .3x -2y =4zB .6xy +9=0C.1x +4y =6 D .4x =y -24 2.下列方程组中,是二元一次方程组的是( )A.⎩⎪⎨⎪⎧x +y =42x +3y =7B.⎩⎪⎨⎪⎧2a -3b =115b -4c =6C.⎩⎪⎨⎪⎧x 2=9y =2xD.⎩⎪⎨⎪⎧x +y =8x 2-y =4 3.方程组的解为( ) A .B .C .D .4.夏季来临,某超市试销A 、B 两种型号的风扇,两周内共销售30台,销售收入5300元,A 型风扇每台200元,B 型风扇每台150元,问A 、B 两种型号的风扇分别销售了多少台?若设A 型风扇销售了x 台,B 型风扇销售了y 台,则根据题意列出方程组为( ) A . B . C .D .5.小岩打算购买气球装扮学校“毕业典礼”活动会场,气球的种类有笑脸和爱心两种,两种气球的价格不同,但同一种气球的价格相同.由于会场布置需要,购买时以一束(4个气球)为单位,已知第一、二束气球的价格如图所示,则第三束气球的价格为( )A .19B .18C .16D .156.某文具店一本练习本和一支水笔的单价合计为3元,小妮在该店买了20本练习本和10支水笔,共花了36元.如果设练习本每本为x 元,水笔每支为y 元,那么根据题意,下列方程组中,正确的是( )A.B.C.D.7.《九章算术》中记载:“今有共买羊,人出五,不足四十五;人出七,不足三问人数、羊价各几何?”其大意是:今有人合伙买羊,若每人出5钱,还差45钱;若每人出7钱,还差3钱,问合伙人数、羊价各是多少?设合伙人数为x人,羊价为y线,根据题意,可列方程组为()A.B.C.D.8.某次知识竞赛共有20道题,规定:每答对一道题得+5分,每答错一道题得﹣2分,不答的题得0分,已知圆圆这次竞赛得了60分,设圆圆答对了x道题,答错了y道题,则()A.x﹣y=20 B.x+y=20 C.5x﹣2y=60 D.5x+2y=609.阅读理解:a,b,c,d是实数,我们把符号称为2×2阶行列式,并且规定: =a ×d﹣b×c,例如: =3×(﹣2)﹣2×(﹣1)=﹣6+2=﹣4.二元一次方程组的解可以利用2×2阶行列式表示为:;其中D=,D x=,D y=.问题:对于用上面的方法解二元一次方程组时,下面说法错误的是()A.D==﹣7 B.D x=﹣14C.D y=27 D.方程组的解为10.若二元一次联立方程式的解为x=a,y=b,则a+b之值为何?()A.24 B.0 C.﹣4 D.﹣811.为奖励消防演练活动中表现优异的同学,某校决定用1200元购买篮球和排球,其中篮球每个120元,排球每个90元,在购买资金恰好用尽的情况下,购买方案有()A.4种B.3种C.2种D.1种12.某旅店一共70个房间,大房间每间住8个人,小房间每间住6个人,一共480个学生刚好住满,设大房间有x个,小房间有y个.下列方程正确的是()A. B. C.D.二.填空题1.若关于x、y的二元一次方程3x﹣ay=1有一个解是,则a= .2.六一儿童节,某幼儿园用100元钱给小朋友买了甲、乙两种不同的玩具共30个,单价分别为2元和4元,则该幼儿园购买了甲、乙两种玩具分别为、个.3.对于实数a,b,定义运算“◆”:a◆b=,例如4◆3,因为4>3.所以4◆3==5.若x,y满足方程组,则x◆y=.4.已知x,y满足方程组,则x2﹣4y2的值为.5.我国古代数学著作《九章算术》中有一道阐述“盈不足术”的问题,译文为:“现有几个人共同购买一个物品,每人出8元,则多3元;每人出7元,则差4元.问这个物品的价格是多少元?”该物品的价格是元.6.我国明代数学读本《算法统宗》一书中有这样一道题:一支竿子一条索,索比竿子长一托,对折索子来量竿,却比竿子短一托.如果1托为5尺,那么索长为尺,竿子长为尺.7.若二元一次方程组的解为,则a﹣b= .8.已知是关于x,y的二元一次方程组的一组解,则a+b= .9.小强同学生日的月数减去日数为2,月数的两倍和日数相加为31,则小强同学生日的月数和日数的和为.三.解答题1.解方程组:.2.用消元法解方程组3.《九章算术》是中国古代数学专著,在数学上有其独到的成就,不仅最早提到了分数问题,也首先记录了“盈不足”等问题.如有一道阐述“盈不足”的问题,原文如下:今有共买鸡,人出九,盈十一;人出六,不足十六.问人数、鸡价各几何?译文为:现有若干人合伙出钱买鸡,如果每人出9文钱,就会多11文钱;如果每人出6文钱,又会缺16文钱.问买鸡的人数、鸡的价格各是多少?请解答上述问题.4.某水果店5月份购进甲、乙两种水果共花费1700元,其中甲种水果8元/千克,乙种水果18元/千克.6月份,这两种水果的进价上调为:甲种水果10元千克,乙种水果20元/千克.(1)若该店6月份购进这两种水果的数量与5月份都相同,将多支付货款300元,求该店5月份购进甲、乙两种水果分别是多少千克?(2)若6月份将这两种水果进货总量减少到120千克,且甲种水果不超过乙种水果的3倍,则6月份该店需要支付这两种水果的货款最少应是多少元?5.在端午节来临之际,某商店订购了A型和B型两种粽子,A型粽子28元/千克,B型粽子24元/千克,若B型粽子的数量比A型粽子的2倍少20千克,购进两种粽子共用了2560元,求两种型号粽子各多少千克.6.为提高市民的环保意识,倡导“节能减排,绿色出行”,某市计划在城区投放一批“共享单车”这批单车分为A,B两种不同款型,其中A型车单价400元,B型车单价320元.(1)今年年初,“共享单车”试点投放在某市中心城区正式启动.投放A,B两种款型的单车共100辆,总价值36800元.试问本次试点投放的A型车与B型车各多少辆?(2)试点投放活动得到了广大市民的认可,该市决定将此项公益活动在整个城区全面铺开.按照试点投放中A,B两车型的数量比进行投放,且投资总价值不低于184万元.请问城区10万人口平均每100人至少享有A型车与B型车各多少辆?7.为拓宽学生视野,引导学生主动适应社会,促进书本知识和生活经验的深度融合,我市某中学决定组织部分班级去赤壁开展研学旅行活动,在参加此次活动的师生中,若每位老师带17个学生,还剩12个学生没人带;若每位老师带18个学生,就有一位老师少带4个学生.现有甲、乙两种大客车,它们的载客量和租金如表所示.甲种客车乙种客车载客量/(人/辆)30 42租金/(元/辆)300 400学校计划此次研学旅行活动的租车总费用不超过3100元,为了安全,每辆客车上至少要有2名老师.(1)参加此次研学旅行活动的老师和学生各有多少人?(2)既要保证所有师生都有车坐,又要保证每辆客车上至少要有2名老师,可知租用客车总数为8 辆;(3)你能得出哪几种不同的租车方案?其中哪种租车方案最省钱?请说明理由.参考答案:一、选择题。
人教版数学七年级下册第八章《二元一次方程组》测试题一、选择题(每小题只有一个正确答案)1.下列各方程组中,属于二元一次方程组的是( )A. B. C. D.2.下列各组数中,方程2x-y=3和3x+4y=10的公共解是( )A. B. C. D.3.用代入法解方程组有以下步骤:①由(1),得y=(3);②由(3)代入(1),得7x-2×=3;③整理得3=3;④∴x可取一切有理数,原方程组有无数个解以上解法,造成错误的一步是( )A.① B.② C.③ D.④4.一船顺水航行45千米需要3小时,逆水航行65千米需要5小时,若设船在静水中的速度为x千米/时,水流速度为y千米/时,则x,y的值为( )A. B. C. D.5.|3x-y-4|+|4x+y-3|=0,那么x与y的值分别为( )A. B. C. D.6.从方程组中求x与y的关系是( )A.x+y=-1 B.x+y=1 C. 2x-y=7 D.x+y=97.如果ax+2y=1是关于x,y的二元一次方程,那么a的值应满足( )A.a是有理数 B.a≠0 C.a=0 D.a是正有理数8.已知甲数的60%加乙数的80%等于这两个数的和的72%,若设甲数为x,乙数为y,则下列方程中符合题意的是( )A. 60%x+80%y=x+72%y B. 60%x+80%y=60%x+yC. 60%x+80%y=72%(x+y) D. 60%x+80%y=x+y9.下列各组数中,不是方程2x+y=10的解是( )A .B .C .D .10.如图所示,宽为50 cm 的矩形图案由10个全等的小长方形拼成,其中一个小长方形的面积为( ).A .400 cm 2B .500 cm2C .600 cm 2D .4 000 cm 211.有大小两种货车,2辆大车与3辆小车一次可以运货15.5吨,5辆大车与6辆小车一次可以运货35吨,3辆大车与5辆小车一次可以运货为(单位:吨)( ) A . 25.5 B . 24.5 C . 26.5 D . 27.512.一文具店的装订机的价格比文具盒的价格的3倍少1元,购买2把装订机和6个文具盒共需70元,问装订机与文具盒价格各是多少元?设文具盒的价格为x 元,装订机的价格为y 元,依题意可列方程组为( )A .B .C .D . 二、填空题 13.在括号内填写一个二元一次方程,使其与二元一次方程5x -2y =1组成方程组的解是 你所填写的方程为______________.14.已知方程3x -2y =5的一个解中,y 的值比x 的值大1,则这个方程的这个解是________. 15.已知方程组则x -y =______,x +y =______.16.哥哥与弟弟的年龄和是18岁,弟弟对哥哥说:“当我的年龄是你现在年龄的时候,你就是18岁”.如果现在弟弟的年龄是x 岁,哥哥的年龄是y 岁,所列方程组为______. 17.已知方程2x 2n -1-3y 3m -n +1=0是二元一次方程,则m =______,n =______. 三、解答题18、用代入消元法解方程组 20.用加减消元法解方程组⎩⎨⎧-=-=+54032y x y x 3410,490;x y x y +=⎧⎨+-=⎩19、用适当的方法解下列方程组(1)20328x y x y -=⎧⎨+=⎩ (2)23533x yx y -⎧=⎪⎪⎨+⎪=⎪⎩20.甲、乙两人共同解方程组⎩⎨⎧-=-=+ ②by x ①y ax 24155,由于甲看错了方程①中的a ,得到方程组的解为⎩⎨⎧-=-=13y x人教版数学七年级下册同步单元复习卷: 第8章 二元一次方程组(1) 一、选择题(每小题3分,共42分)请将正确答案的代号填涂在答题卡上 1.下列各数中,既是分数又是负数的是( ) A .1B .﹣3C .0D .2.252.﹣2019的相反数是( ) A .﹣2019B .2019C .﹣D .3.“2017中国企业跨国投资研讨会”于11月17日在长沙召开,共同聚焦“‘一带一路’跨国投资与服务新时代”,该研讨会表示,在2016年,中国企业对7961家境外企业累计实现投资约170100000000美元,170100000000用科学记数法可表示为( ) A .1.701×1011B .1.701×1010C .17.01×1010D .170.1×1094.下列各组数中,互为倒数的是( ) A .2与﹣2B .﹣与C .﹣1与(﹣1)2016D .﹣与﹣5.计算﹣100÷10×,结果正确的是( ) A .﹣100B .100C .1D .﹣16.下列说法正确的是()A.整式就是多项式B.﹣的系数是C.π是单项式D.x4+2x3是七次二项式7.下列各组单项式中,不是同类项的一组是()A.x2y和2xy2B.﹣32和3C.3xy和﹣D.5x2y和﹣2yx28.下列计算正确的是()A.3a+2b=5ab B.3x2y﹣yx2=2x2yC.5x+x=5x2D.6x﹣x=69.下列运用等式的性质,变形正确的是()A.若x2=6x,则x=6B.若2x=2a﹣b,则x=a﹣bC.若3x=2,则x=D.若a=b,则a﹣c=b﹣c10.若|a+3|+(b﹣2)2=0,则a b的值为()A.﹣6B.﹣9C.9D.611.多项式2x3﹣8x2+x﹣1与多项式3x3+2mx2﹣5x+3的和不含二次项,则m为()A.2B.﹣2C.4D.﹣412.某商品的原价是每件x元,在销售时每件加价20元,再降价15%,则现在每件的售价是()元.A.15%x+20B.(1﹣15%)x+20C.15%(x+20)D.(1﹣15%)(x+20)13.有长为l的篱笆,利用他和房屋的一面墙围成如图形状的长方形园子,园子的宽为t,则所围成的园子面积为()A.(l﹣2t)t B.(l﹣t)t C.(﹣t)t D.(l﹣)t 14.按照如图所示的计算机程序计算,若开始输入的x值为2,第一次得到的结果为1,第二次得到的结果为4,…第2018次得到的结果为()A.1B.2C.3D.4二、填空题(每小题3分,共15分)15.临沂某天的最高温度为8℃,最大温差11℃,该天最低温度是.16.在数轴上,点A表示的数是5,若点B与A点之间距离是8,则点B表示的数是.17.若2a﹣3b2=5,则2018﹣4a+6b2的值是.18.关于x的方程mx+4=3x﹣5的解是x=1,则m=.19.如图是一组有规律的图案,第1个图案由4个基础图形组成,第2个图案由7个基础图形组成,…,第n(n是正整数)个图案中由个基础图形组成.三、解答题(本题共7个小题,共计63分)20.(12分)计算下列各题:(1)(﹣5)﹣(﹣6)+(+1)(2)﹣12×(﹣+)(3)﹣1100﹣(1﹣0.5)××[3﹣(﹣3)2]21.(6分)对于有理数a、b,定义一种新运算“⊙”,规定:a⊙b=|a+b|+|a ﹣b|.(1)计算2⊙(﹣4)的值;(2)若a,b在数轴上的位置如图所示,化简a⊙b.22.(12分)先化简,再求值.(1)﹣x2+5x+4﹣7x﹣4+2x2,其中x=﹣2.(2)m﹣2(m﹣n2)+(﹣m+n2),其中m=﹣2,n=﹣23.(7分)2017年12月,旗团委号召各校组织开展捐赠衣物的“暖冬行动”.某校七年级六个班参加了这次捐赠活动,若每班捐赠衣物以100件为基准,超过的件数用正数表示,不足的件数用负数表示,记录如下:(1)捐赠衣物最多的班比最少的班多多少件?(2)该校七年级学生共捐赠多少件衣物?该校七年级学生平均每人捐赠多少件衣物?24.(7分)为了有效控制酒后驾车,交警队一辆汽车每天在一条东西方向的公路上巡视.某天早晨从A地出发,晚上到达B地,约定向东为正方向,当天行驶记录如下(单位:km):+18,﹣19,﹣13,+15,+10,﹣14,+19,﹣20.问:(1)B地在A地哪个方向?距A地多少千米?(2)若该警车每千米耗油0.2L,警车出发时,油箱中有油20L,请问中途有没有给警车加油?若有,至少加多少升油?请说明理由.25.(7分)如图所示,1925年数学家莫伦发现的世界上第一个完美长方形,它恰能被分割成10个大小不同的正方形,请你计算:(1)如果标注1、2的正方形边长分别为1,2,第3个正方形的边长=;第5个正方形的边长=;(2)如果标注1、2的正方形边长分别为x,y,第10个正方形的边长=.(用含x、y的代数式表示)26.(12分)开学期间,为了打扫卫生,班主任派卫生委员小敏去轻工市场购买一些扫帚和抹布.选定一家店后,老板告诉小敏,扫帚每把25元,抹布每块5元,现为了搞促销,有两种优惠方案.方案一:买一把扫帚送一块抹布;方案二:扫帚和抹布都按定价的90%付款.小敏需要购买扫帚6把,抹布x块(x>6).(1)若小敏按方案一购买,需付款多少元(用含x的式子表示);(2)若小敏按方案二购买,需付款多少元(用含x的式子表示);(3)当x=10时,通过计算说明此时按哪种方案购买较为合算;(4)当x=10时,你能给小敏提供一种更为省钱的购买方案吗?试写出你的购买方法.2018-2019学年山东省临沂市临沭县七年级(上)期中数学试卷参考答案与试题解析一、选择题(每小题3分,共42分)请将正确答案的代号填涂在答题卡上1.下列各数中,既是分数又是负数的是()A.1B.﹣3C.0D.2.25【分析】根据有理数的分类即可求出答案.【解答】解:既是分数又是负数的是故选:B.【点评】本题考查有理数的分类,解题的关键是正确理解有理数的分类,本题属于基础题型.2.﹣2019的相反数是()A.﹣2019B.2019C.﹣D.【分析】直接利用相反数的定义分析得出答案.【解答】解:﹣2019的相反数是:2019.故选:B.【点评】此题主要考查了相反数,正确把握定义是解题关键.3.“2017中国企业跨国投资研讨会”于11月17日在长沙召开,共同聚焦“‘一带一路’跨国投资与服务新时代”,该研讨会表示,在2016年,中国企业对7961家境外企业累计实现投资约170100000000美元,170100000000用科学记数法可表示为()A.1.701×1011B.1.701×1010C.17.01×1010D.170.1×109【分析】科学记数法的表示形式为a×10n的形式,其中1≤|a|<10,n为整数.确定n的值时,要看把原数变成a时,小数点移动了多少位,n的绝对值与小数点移动的位数相同.当原数绝对值>10时,n是正数;当原数的绝对值<1时,n是负数.【解答】解:170100000000=1.701×1011.故选:A.【点评】此题考查科学记数法的表示方法.科学记数法的表示形式为a×10n的形式,其中1≤|a|<10,n为整数,表示时关键要正确确定a的值以及n的值.4.下列各组数中,互为倒数的是()A.2与﹣2B.﹣与C.﹣1与(﹣1)2016D.﹣与﹣【分析】根据倒数的定义,可得答案.【解答】解:﹣与﹣互为倒数,故选:D.【点评】本题考查了倒数,分子分母交换位置是求一个数的倒数的关键.5.计算﹣100÷10×,结果正确的是()A.﹣100B.100C.1D.﹣1【分析】直接利用有理数的乘除运算法则计算得出答案.【解答】解:﹣100÷10×=﹣10×=﹣1.故选:D.【点评】此题主要考查了有理数的乘除运算,正确掌握运算法则是解题关键.6.下列说法正确的是()A.整式就是多项式B.﹣的系数是C.π是单项式D.x4+2x3是七次二项式【分析】根据整式的定义,单项式的系数,单项式的定义以及多项式概念对各选项分析判断即可得解.【解答】解:A、整式就是多项式,错误,因为单项式和多项式统称为整式,故本选项错误;B、﹣的系数是﹣,故本选项错误;C、π是单项式,故本选项正确;D、x4+2x3是四次二项式,故本选项错误.故选:C.【点评】本题考查了多项式,单项式,熟练掌握相关概念是解题的关键.7.下列各组单项式中,不是同类项的一组是()A.x2y和2xy2B.﹣32和3C.3xy和﹣D.5x2y和﹣2yx2【分析】根据同类项的定义,所含字母相同且相同字母的指数也相同的项是同类项,可得答案.注意同类项与字母的顺序无关,与系数无关.【解答】解:A、相同字母的指数不同不是同类项,故A错误;B、所含字母相同且相同字母的指数也相同,故B正确;C、所含字母相同且相同字母的指数也相同,故C正确;D、所含字母相同且相同字母的指数也相同,故D正确;故选:A.【点评】本题考查同类项的定义,同类项定义中的两个“相同”:所含字母相同;相同字母的指数相同,是易混点,还有注意同类项定义中隐含的两个“无关”:①与字母的顺序无关;②与系数无关.8.下列计算正确的是()A.3a+2b=5ab B.3x2y﹣yx2=2x2yC.5x+x=5x2D.6x﹣x=6【分析】根据合并同类项的法则解答即可.【解答】解:A、3a与2b不是同类项,错误;B、3x2y﹣yx2=2x2y,正确;C、5x+x=6x,错误;D、6x﹣x=5x,错误;故选:B.【点评】此题考查合并同类项,关键是根据合并同类项的法则,即系数相加作为系数,字母和字母的指数不变计算进行判断.9.下列运用等式的性质,变形正确的是()A.若x2=6x,则x=6B.若2x=2a﹣b,则x=a﹣bC.若3x=2,则x=D.若a=b,则a﹣c=b﹣c【分析】根据等式的性质解答.【解答】解:A、当x=0时,该等式的变形不成立,故本选项错误;B、若2x=2a﹣b,则x=a﹣b,故本选项错误;C、在等式3x=2的两边同时除以2,等式仍成立,即x=,故本选项错误;D、在等式a=b的两边同时减去c,等式仍成立,即a﹣c=b﹣c,故本选项正确.故选:D.【点评】考查的是等式的性质:性质1、等式两边加同一个数(或式子)结果仍得等式;性质2、等式两边乘同一个数或除以一个不为零的数,结果仍得等式.10.若|a+3|+(b﹣2)2=0,则a b的值为()A.﹣6B.﹣9C.9D.6【分析】根据非负数的性质列式求出ab的值,然后再代入代数式进行计算.【解答】解:根据题意得,a+3=0,b﹣2=0,解得a=﹣3,b=2,∴a b=(﹣3)2=9.故选:C.【点评】本题主要考查了非负数的性质,几个非负数相加等于0,则每一个算式都等于0.11.多项式2x3﹣8x2+x﹣1与多项式3x3+2mx2﹣5x+3的和不含二次项,则m为()A.2B.﹣2C.4D.﹣4【分析】先把两多项式的二次项相加,令x的二次项为0即可求出m的值.【解答】解:∵多项式2x3﹣8x2+x﹣1与多项式3x3+2mx2﹣5x+3相加后不含x的二次项,∴﹣8x2+2mx2=(2m﹣8)x2,∴2m﹣8=0,解得m=4.故选:C.【点评】本题考查的是整式的加减,根据题意把两多项式的二次项相加得到关于m的方程是解答此题的关键.12.某商品的原价是每件x元,在销售时每件加价20元,再降价15%,则现在每件的售价是()元.A.15%x+20B.(1﹣15%)x+20C.15%(x+20)D.(1﹣15%)(x+20)【分析】先提价的价格是原价+20,再降价的价格是降价前的1﹣15%,得出此时价格即可.【解答】解:根据题意可得:(1﹣15%)(x+20),故选:D.【点评】本题考查了列代数式,解答本题的关键是读懂题意,列出代数式.13.有长为l的篱笆,利用他和房屋的一面墙围成如图形状的长方形园子,园子的宽为t,则所围成的园子面积为()A.(l﹣2t)t B.(l﹣t)t C.(﹣t)t D.(l﹣)t 【分析】表示出长,利用长方形的面积列出算式即可.【解答】解:园子的面积为t(l﹣2t).故选:A.【点评】此题考查列代数式,利用长方形的面积计算方法是解决问题的关键.14.按照如图所示的计算机程序计算,若开始输入的x值为2,第一次得到的结果为1,第二次得到的结果为4,…第2018次得到的结果为()A.1B.2C.3D.4【分析】将x=2代入,然后依据程序进行计算,依据计算结果得到其中的规律,然后依据规律求解即可.【解答】解:当x=2时,第一次输出结果=×2=1;第二次输出结果=1+3=4;第三次输出结果=4×=2,;第四次输出结果=×2=1,…2018÷3=672…2.所以第2018次得到的结果为4.故选:D.【点评】本题主要考查的是求代数式的值,熟练掌握相关方法是解题的关键.二、填空题(每小题3分,共15分)15.临沂某天的最高温度为8℃,最大温差11℃,该天最低温度是﹣3℃.【分析】直接利用有理数的加减运算法则计算得出答案.【解答】解:∵临沂某天的最高温度为8℃,最大温差11℃,∴该天最低温度是:8﹣11=﹣3(℃).故答案为:﹣3℃【点评】此题主要考查了有理数的加减,正确掌握运算法则是解题关键.16.在数轴上,点A表示的数是5,若点B与A点之间距离是8,则点B表示的数是﹣3或13.【分析】分点B在点A的左边与右边两种情况讨论求解.【解答】解:①当点B在点A的左边时,5﹣8=﹣3,②当点B在点A的右边时,5+8=13,所以点B表示的数是﹣3或13.故答案为:﹣3或13.【点评】本题考查了数轴,注意分点B在点A的左右两边两种情况讨论.17.若2a﹣3b2=5,则2018﹣4a+6b2的值是2008.【分析】首先把2018﹣4a+6b2化成2018﹣2(2a﹣3b2),然后把2a﹣3b2=5代入化简后的算式,求出算式的值是多少即可.【解答】解:∵2a﹣3b2=5,∴2018﹣4a+6b2=2018﹣2(2a﹣3b2)=2018﹣2×5=2018﹣10=2008故答案为:2008.【点评】此题主要考查了代数式求值问题,要熟练掌握,求代数式的值可以直接代入、计算.如果给出的代数式可以化简,要先化简再求值.题型简单总结以下三种:①已知条件不化简,所给代数式化简;②已知条件化简,所给代数式不化简;③已知条件和所给代数式都要化简.18.关于x的方程mx+4=3x﹣5的解是x=1,则m=﹣6.【分析】把x=1代入方程mx+4=3x﹣5,得到关于m的一元一次方程,解之即可.【解答】解:把x=1代入方程mx+4=3x﹣5得:m+4=3﹣5,解得:m=﹣6,故答案为:﹣6.【点评】本题考查了一元一次方程的解,正确掌握代入法是解题的关键.19.如图是一组有规律的图案,第1个图案由4个基础图形组成,第2个图案由7个基础图形组成,…,第n(n是正整数)个图案中由(3n+1)个基础图形组成.【分析】观察图形很容易看出每加一个图案就增加三个基础图形,以此类推,便可求出结果.【解答】解:第一个图案基础图形的个数:3+1=4;第二个图案基础图形的个数:3×2+1=7;第三个图案基础图形的个数:3×3+1=10;…∴第n个图案基础图形的个数就应该为:(3n+1).故答案为:(3n+1).【点评】本题是一道找规律的题目,这类题型在中考中经常出现.对于找规律的题目首先应找出哪些部分发生了变化,是按照什么规律变化的.三、解答题(本题共7个小题,共计63分)20.(12分)计算下列各题:(1)(﹣5)﹣(﹣6)+(+1)(2)﹣12×(﹣+)(3)﹣1100﹣(1﹣0.5)××[3﹣(﹣3)2]【分析】(1)运用加减运算律和运算法则计算可得;(2)运用乘法分配律计算可得;(3)根据有理数的混合运算顺序和运算法则计算可得.【解答】解:(1)原式=(﹣5+1)+6=﹣4+6=2;(2)原式=(﹣12)×﹣(﹣12)×+(﹣12)×=﹣4+3﹣6=﹣7;(3)原式=﹣1﹣××(3﹣9)=﹣1﹣×(﹣6)=﹣1+1=0.【点评】本题主要考查有理数的混合运算,解题的关键是熟练掌握有理数的混合运算顺序和运算法则及其运算律.21.(6分)对于有理数a、b,定义一种新运算“⊙”,规定:a⊙b=|a+b|+|a ﹣b|.(1)计算2⊙(﹣4)的值;(2)若a,b在数轴上的位置如图所示,化简a⊙b.【分析】(1)根据新定义计算可得;(2)根据数轴得出a<0<b且|a|>|b|,从而得出a+b<0、a﹣b<0,再根据绝对值性质解答可得.【解答】解:(1)2⊙(﹣4)=|2﹣4|+|2+4|=2+6=8;(2)由数轴知a<0<b,且|a|>|b|,则a+b<0、a﹣b<0,所以原式=﹣(a+b)﹣(a﹣b)=﹣a﹣b﹣a+b=﹣2a.【点评】本题主要考查有理数的混合运算,解题的关键是熟练掌握有理数的混合运算法则和运算顺序及绝对值的性质.22.(12分)先化简,再求值.(1)﹣x2+5x+4﹣7x﹣4+2x2,其中x=﹣2.(2)m﹣2(m﹣n2)+(﹣m+n2),其中m=﹣2,n=﹣【分析】(1)直接合并同类项,进而计算得出答案;(2)直接去括号进而合并同类项,再把已知代入求出答案.【解答】解:(1)﹣x2+5x+4﹣7x﹣4+2x2=x2﹣2x,当x=﹣2,原式=8;(2)原式=﹣3m+n2,当m=﹣2,n=﹣,原式=6+=.【点评】此题主要考查了整式的加减,正确合并同类项是解题关键.23.(7分)2017年12月,旗团委号召各校组织开展捐赠衣物的“暖冬行动”.某校七年级六个班参加了这次捐赠活动,若每班捐赠衣物以100件为基准,超过的件数用正数表示,不足的件数用负数表示,记录如下:(1)捐赠衣物最多的班比最少的班多多少件?(2)该校七年级学生共捐赠多少件衣物?该校七年级学生平均每人捐赠多少件衣物?【分析】(1)求出捐赠衣物最多的班额,捐赠衣物最少的班额,然后相减即可;(3)用标准捐赠衣物数加上记录的各班捐赠衣物数的和,计算即可得解.【解答】解:(1)19﹣(﹣7)=26,答:捐赠衣物最多的班比最少的班多26件;(2)18﹣3+19+14+9﹣7+6×100=50+600=650,答:该校七年级学生共捐赠650件衣物,平均每人捐赠2.6件衣物.【点评】此题主要考查了正负数的意义,解题关键是理解“正”和“负”的相对性,明确什么是一对具有相反意义的量.在一对具有相反意义的量中,先规定其中一个为正,则另一个就用负表示.24.(7分)为了有效控制酒后驾车,交警队一辆汽车每天在一条东西方向的公路上巡视.某天早晨从A地出发,晚上到达B地,约定向东为正方向,当天行驶记录如下(单位:km):+18,﹣19,﹣13,+15,+10,﹣14,+19,﹣20.问:(1)B地在A地哪个方向?距A地多少千米?(2)若该警车每千米耗油0.2L,警车出发时,油箱中有油20L,请问中途有没有给警车加油?若有,至少加多少升油?请说明理由.【分析】(1)把行驶记录求和,若结果为正,则B地在出发地的正东,若结果为负,再B地再出发点的正西;(2)计算各个记录的绝对值的和,计算出耗油量,根据邮箱里的油量判断是否需要加油,计算至少需要加多少升油.【解答】解:(1)18﹣19﹣13+15+10﹣14+19﹣20=(18+15+10)﹣(13+14+20)+(19﹣19)=43﹣47=﹣4即B地在A地的西方,距A地4千米.(2)因为(18+19+13+15+10+14+19+20)×0.2=128×0.2=25.6(L)因为25.6>20,所以途中至少加油5.6L答:途中警车需加油,至少需加油5.6L.【点评】本题考查了正负数的意义和有理数的混合运算,解决本题的关键是根据题意列出代数式,并能根据计算结果作答.25.(7分)如图所示,1925年数学家莫伦发现的世界上第一个完美长方形,它恰能被分割成10个大小不同的正方形,请你计算:(1)如果标注1、2的正方形边长分别为1,2,第3个正方形的边长=3;第5个正方形的边长=7;(2)如果标注1、2的正方形边长分别为x,y,第10个正方形的边长=3y﹣3x.(用含x、y的代数式表示)【分析】(1)根据正方形的性质即可解决问题;(2)根据各个正方形的边的和差关系分别表示出第(3)(4)(5)(6)(7),第10个正方形的边长=第7个正方形的边长﹣第一个正方形的边长﹣第3个正方形的边长;【解答】解:(1)观察图象可知第3个正方形的边长=3;第5个正方形的边长=7;故答案为3,7;(2):(1)第(3)个正方形的边长是:x+y,则第(4)个正方形的边长是:x+2y;第(5)个正方形的边长是:x+2y+y=x+3y;第(6)个正方形的边长是:(x+3y)+(y﹣x)=4y;第(7)个正方形的边长是:4y﹣x;第(10)个正方形的边长是:(4y﹣x)﹣x﹣(x+y)=3y﹣3x;故答案为3y﹣3x.【点评】本题考查了列代数式,正确理解各个正方形的边之间的和差关系是关键.26.(12分)开学期间,为了打扫卫生,班主任派卫生委员小敏去轻工市场购买一些扫帚和抹布.选定一家店后,老板告诉小敏,扫帚每把25元,抹布每块5元,现为了搞促销,有两种优惠方案.方案一:买一把扫帚送一块抹布;方案二:扫帚和抹布都按定价的90%付款.小敏需要购买扫帚6把,抹布x块(x>6).(1)若小敏按方案一购买,需付款多少元(用含x 的式子表示); (2)若小敏按方案二购买,需付款多少元(用含x 的式子表示); (3)当x =10时,通过计算说明此时按哪种方案购买较为合算;(4)当x =10时,你能给小敏提供一种更为省钱的购买方案吗?试写出你的购买方法.【分析】(1)根据题意列出算式即可;(2)根据题意列出算式即可;(3)把x =10分别代入求出结果,即可得出答案;(4)先在方案一买6把扫帚,再在方案二买4块抹布即可.【解答】解:(1)∵方案一:买一把扫帚送一块抹布,∴小敏需要购买扫帚6把,抹布x 块(x >6),若小敏按方案一购买,需付款25×6+5(x ﹣6)=(5x +120)元;(2)∵方案二:扫帚和抹布都按定价的90%付款,∴小敏需要购买扫帚6把,抹布x 块(x >6),若小敏按方案二购买,需付款25×6×0.9+5x •0.9=(4.5x +135)元;(3)方案一需:5×10+120=170元,方案二需4.5×10+135=180元, 故方案一划算;(4)其中6把扫帚6块抹布按方案一买,剩下4块抹布按方案二买,共需168元.【点评】本题考查了求代数式的值,列代数式的应用的应用,能正确根据题意列出算式是解此题的关键.人教版七年级下册 第八章二元一次方程组单元试题一、选择题(共10小题,每小题3分,共30分)1.二元一次方程组⎩⎨⎧ x +y =7,3x -y =5的解是( ) A.⎩⎨⎧ x =4,y =3B .⎩⎨⎧ x =5,y =2 C .⎩⎨⎧ x =3,y =4 D .⎩⎨⎧ x =-2,y =92.已知方程组⎩⎨⎧ 2x +y =4,x +2y =5,则x +y 的值为( )A .-1B .0C .2D .33.下列各方程中,是二元一次方程的是( )A.x 3-2y=y +5x B .3x +1=2xy C .15x =y 2+1 D .x +y =14.已知x 2m -1+3y 4-2n =-7是关于x ,y 的二元一次方程,则m ,n 的值是( ) A.⎩⎨⎧ m =2,n =1B .⎩⎨⎧ m =1,n =-32 C .⎩⎨⎧ m =1,n =52D .⎩⎨⎧ m =1,n =325.方程kx +3y =5有一组解是⎩⎨⎧ x =2,y =1,则k 的值是( )A .1B .-1C .0D .2 6.二元一次方程x +2y =10的所有正整数解有( )A .1个B .2个C .3个D .4个7.“珍爱生命,拒绝毒品”,学校举行的2017年禁毒知识竞赛共有60道题,曾浩同学答对了x 道题,答错了y 道题(不答视为答错),且答对题数比答错题数的7倍还多4道,那么下面列出的方程组中正确的是( )A.⎩⎨⎧ x +y =60,x -7y =4B .⎩⎨⎧ x +y =60,y -7x =4C .⎩⎨⎧ x =60-y ,x =7y -4D .⎩⎨⎧ y =60-x ,y =7x -48.关于x ,y 的方程组⎩⎨⎧ x +py =0,x +y =3的解是⎩⎨⎧ x =1,y =■,其中y 的值被盖住了,不过仍能求出p ,则p 的值是( )A .-12B .12C .-14D .149.若|x +y -5|与(x -y -1)2互为相反数,则x 2-y 2的值为( )A .-5B .5C .13D .1510.《九章算术》是中国古代的数学专著,下面这道题是《九章算术》中第七章的一道题:“今有共买物,人出八,盈三;人出七,不足四,问人数、物价各几何?”译文:“几个人一起去购买某物品,如果每人出8钱,则多了3钱;如果每人出7钱,则少了4钱.问有多少人,物品的价格是多少?”设有x 人,物品价格为y 钱,可列方程组为( )A.⎩⎨⎧ 8x -3=y ,7x +4=yB .⎩⎨⎧ 8x +3=y ,7x -4=yC .⎩⎨⎧ y -8x =3,y -7x =4D .⎩⎨⎧ 8x -y =3,7x -y =4二、填空题(共5小题,每小题4分,共20分)11.方程组⎩⎨⎧ x +y =1,3x -y =3的解是 .12.“六一”前夕,市关工委准备为希望小学购进图书和文具若干套,已知1套文具和3套图书需104元,3套文具和2套图书需116元,则1套文具和1套图书需 元.13.已知关于x ,y 的二元一次方程组⎩⎨⎧ 2x +y =k ,x +2y =-1的解互为相反。
人教版七年级数学下册第八章 二元一次方程组复习检测试题一、选择题1.下列各式,属于二元一次方程的个数有( ) ①xy+2x -y=7; ②4x+1=x -y ; ③1x+y=5; ④x=y ; ⑤x 2-y 2=2 ⑥6x -2y ⑦x+y+z=1 ⑧y (y -1)=2y 2-y 2+x A .1 B .2 C .3 D .42.如果方程组⎩⎪⎨⎪⎧x +y =★,2x +y =16的解为⎩⎪⎨⎪⎧x =6,y =■,那么被“★”“■”遮住的两个数分别是( ) A .10,4 B .4,10 C .3,10 D .10,33.已知二元一次方程30x y +=的一个解是x ay b=⎧⎨=⎩,其中0a ≠,那么( )A.0ba> B.0ba= C.0ba< D.以上都不对4.若满足方程组的x 与y 互为相反数,则m 的值为( ) A .1B .﹣1C .﹣11D .115今年学校举行足球联赛,共赛17轮(即每队均需参赛17场),记分办法是:胜1场得3分,平1场得1分,负1场得0分.在这次足球比赛中,小虎足球队得16分,且踢平场数是踢负场数的整数倍,则小虎足球队踢负场数的情况有( ) A .2种 B .3种C .4种D .5 种6.已知方程组5354x y ax y +=⎧⎨+=⎩和2551x y x by -=⎧⎨+=⎩有相同的解,则a ,b 的值为 ( )A.12a b =⎧⎨=⎩B.46a b =-⎧⎨=-⎩ C.62a b =-⎧⎨=⎩D.142a b =⎧⎨=⎩7.某文具店一本练习本和一支水笔的单价合计为3元,小妮在该店买了20本练习本和10支水笔,共花了36元.如果设练习本每本为x 元,水笔每支为y 元,那么根据题意,下列方程组中,正确的是( )A.⎩⎪⎨⎪⎧x -y =320x +10y =36B.⎩⎪⎨⎪⎧x +y =320x +10y =36 C.⎩⎪⎨⎪⎧y -x =320x +10y =36 D.⎩⎪⎨⎪⎧x +y =310x +20y =368.某年级学生共有246人,其中男生人数y比女生人数x的2倍少2人,•则下面所列的方程组中符合题意的有()A.246246216246... 22222222 x y x y x y x yB C Dy x x y y x y x+=+=+=+=⎧⎧⎧⎧⎨⎨⎨⎨=-=+=+=+⎩⎩⎩⎩9.某商店有两进价不同的耳机都卖64元,其中一个盈利60%,另一个亏本20%,在这次买卖中,这家商店()A、赔8元B、赚32元C、不赔不赚D、赚8元10.如图,宽为50cm的长方形图案由10个相同的小长方形拼成,其中一个小长方形的面积为()A.400cm2B.500cm2C.600cm2D.300cm2二、填空题1.将方程3y﹣x=2变形成用含y的代数式表示x,则x=.2.为了开展“阳光体育”活动,某班计划购买甲、乙两种体育用品(每种体育用品都购买),其中甲种体育用品每件20元,乙种体育用品每件30元,共用去150元,请你设计一下,共有____种购买方案.3.已知│x-1│+(2y+1)2=0,且2x-ky=4,则k=_____.4.《孙子算经》是中国古代重要的数学著作,其中有一段文字的大意是:甲、乙两人各有若干钱.如果甲得到乙所有钱的一半,那么甲共有钱48文;如果乙得到甲所有钱的,那么乙也共有钱48文.甲、乙两人原来各有多少钱?设甲原有x文钱,乙原有y文钱,可列方程组是.三、解答题1.解方程组:2.定义一个非零常数的运算,规定:a*b=ax+by,例如:2*3=2x+3y,若1*1=8,4*3=27,求x、y的值.3.甲、乙两位同学在解方程组时,甲把字母a看错了得到方程组的解为;乙把字母b看错了得到方程组的解为.(1)求a,b的正确值;(2)求原方程组的解.4.某工厂第一季度生产甲、乙两种机器共550台,经市场调查决定调整两种机器的产量,计划第二季度生产这两种机器共536台,其中甲种机器产量要比第一季度增产12%,乙种机器产量要比第一季度减产20%.该厂第一季度生产甲、乙两种机器各多少台?5.某校准备去楠溪江某景点春游,旅行社面向学生推出的收费标准如下:已知该校七年级参加春游学生人数多于100人,八年级参加春游学生人数少于100人.经核算,若两个年级分别组团共需花费17700元,若两个年级联合组团只需花费14700元.(1)两个年级参加春游学生人数之和超过200人吗?为什么?(2)两个年级参加春游学生各有多少人?6.某超市第一次用4600元购进甲、乙两种商品,其中甲商品件数的2倍比乙商品件数的3倍少40件,甲、乙两种商品的进价和售价如下表(利润=售价﹣进价):(1)该超市第一次购进甲、乙两种商品的件数分别是多少?(2)该超市将第一次购进的甲、乙两种商品全部卖出后一共可获得多少利润?(3)该超市第二次以同样的进价又购进甲、乙两种商品.其中甲商品件数是第一次的2倍,乙商品的件数不变.甲商品按原价销售,乙商品打折销售.第二次甲、乙两种商品销售完以后获得的利润比第一次获得的利润多280元,则第二次乙商品是按原价打几折销售的?参考答案一.选择题1.B. 2.A.3.B.4.D.5.B.6.B.7.B.8.B.9.C.10.A.二.填空题1.3y﹣2 2.两 3. k=1.4..三.解答题1.解:原方程组可整理得:,②﹣①得:2x=4,解得:x=2,把x=2代入①得:2﹣2y=﹣3,解得:y=,即原方程组的解为:.2.解:∵a*b=ax+by∴1*1=8,即为x+y=8,4*3=27 即为4x+3y=27;解方程组①×3﹣②,得﹣x=﹣3,解得x=3,将x=3代入①,得y=5.3.解:(1)根据题意得:,解得:a=2,b=﹣3,(2)方程组为,解得.4.解:设某工厂第一季度人教版七年级数学下册第八章二元一次方程组单元测试题一、选择题。
一、概念易一、选择题(题型注释)1.下列方程中,属于二元一次方程的是( )A .23x y z -=B .1213a y-=+ C .225x x -= D .2x y = 【答案】D .【解析】试题分析:如果一个方程含有两个未知数,并且所含未知项的次数都为1次,那么这个整式方程就叫做二元一次方程,根据二元一次方程的定义可得四个选项中只有选项D 符合要求,故答案选D .考点:二元一次方程的定义.2)A.3x-2y=9B.2x+y=6z D.x-3=4y 2 【答案】A【解析】试题分析:二元一次方程满足的条件:含有2个未知数,未知数的项的次数是1的整式方程.A.是二元一次方程;B.是三元一次方程;C.是分式方程;D.2y 是二次,故应选A.考点:二元一次方程的定义3.下列方程组中,属于二元一次方程组的是( )A .53x y x z +=⎧⎨=⎩C.434x y xy x y -+=⎧⎨-=⎩ 【答案】D .【解析】试题分析:A 、有三个未知数,所以A选项不正确;B 、第一个方程不是整式方程,故不是二元一次方程组;C 、未知项xy 的次数为2,故不是二元一次方程组;D 、符合二元一次方程组的定义,是二元一次方程组.故选D .考点:二元一次方程组的定义.4.方程35kx y +=有一组解21x y =⎧⎨=⎩,则k 的值为( ) A B C .1-D .1 【答案】D【解析】试题分析:根据题意把方程的这一组解代入方程可得:2k+3=5,解方程可得k=1.故选D考点:二元一次方程的解5.把方程3x+2y=4,化为用含字母y 的代数式表示x 的形式正确的是( )。
A B C D 【答案】D【解析】试题分析:因为3x+2y=4,所以3x=4-2y ,D . 考点:列代数式.二、填空题(题型注释)6.已知57x y =⎧⎨=⎩是方程kx ﹣2y ﹣1=0的解,则k 的值为 . 【答案】3【解析】试题分析:把57x y =⎧⎨=⎩代入方程kx ﹣2y ﹣1=0,得5k ﹣14﹣1=0,解得k=3. 考点:二元一次方程的解.7.2元的人民币x 张,5元的人民币y 张,共120元,这个关系用方程可以表示为 .【答案】2x+5y=120.【解析】 试题分析:根据等量关系“2元人民币的数量+5元人民币的数量=120”即可得方程2x+5y=120.考点:列二元一次方程.8.请你写出二元一次方程1=-y x 的一个解是 .【答案】见解析.【解析】试题分析:假设x=1,则1-y=1,解得y=0.故答案为:x=1,y=0.(答案不唯一)考点:二元一次方程的解.9.已知2x+y=2,用关于x 的代数式表示y ,则y= .【答案】2-2x.【解析】试题分析:由2x+y=2移项得y=2-2x.考点:等式的性质.难一、选择题1.下列各组数值是二元一次方程x-3y=4的解的是( )A.11x y =⎧⎨=-⎩B.21x y =⎧⎨=⎩C.12x y =-⎧⎨=-⎩D.41x y =⎧⎨=-⎩ 【答案】A【解析】试题分析:A 、将x=1,y=-1代入方程左边得:x-3y=1+3=4,右边为4,本选项正确;B 、将x=2,y=1代入方程左边得:x-3y=2-3=-1,右边为4,本选项错误;C 、将x=-1,y=-2代入方程左边得:x-3y=-1+6=5,右边为4,本选项错误;D 、将x=4,y=-1代入方程左边得:x-3y=4+3=7,右边为4,本选项错误.故选A考点:二元一次方程的解.2.已知xy≠0,下列各式:①x-3=y-32x+2y=0,其中一定正确的有()A.1个B.2个C.3个D.4个【答案】B.【解析】试题分析:①两边都减3,故①正确;②x=y≠±5时,故②错误;③两边都除以同一个不为零的数,故③正确;④x=y≠-xy≠0,故④错误,故选B.考点:等式的性质.3mn+m=7;⑤x+y=6.A.1个B.2个C.3个D.4个【答案】B【解析】①中分母含有未知数,所以不是二元一次方程;②是二元一次方程;③中分母含有未知数,所以不是二元一次方程;④中mn项的次数是2,所以不是二元一次方程;⑤是二元一次方程.所以二元一次方程有2个.4.已知∠A、∠B互余,∠A比∠B大30°,设∠A,∠B的度数分别为x°,y°,下列方程组中符合题意的是()A.180,30x yx y+=⎧⎨=-⎩B.180,30x yx y+=⎧⎨=+⎩C.90,30x yx y+=⎧⎨=+⎩D.90,30x yx y+=⎧⎨=-⎩【答案】C【解析】∠A,∠B互余,所以x+y=90.∠A比∠B大30°,所以x-y=30°即x=y+30.故选C.二、填空题5.已知4x2m﹣n﹣4﹣5y n﹣1=8是关于x,y的二元一次方程,则m= ,n= .【答案】3.5;2.【解析】试题分析:因为4x2m﹣n﹣4﹣5y n﹣1=8是关于x,y的二元一次方程,所以可得:n﹣1=1,2m﹣n﹣4=1,解得:n=2,m=3.5.故答案为:3.5;2.考点:二元一次方程的定义.6x的代数式表示y为________.【解析】将二元一次方程1432x y+=两边同时乘12,得3x+4y=6,再将其变形,得634xy-=.7.在方程3x-4y=10中,如果2y=4【答案】3【解析】由2y=4,得4y=8.把4y=8代入3x-4y=10,得3x-8=10,x=6三、解答题8.已知12x y =-⎧⎨=⎩是某个二元一次方程的一组解,则这个方程可以是. 【答案】2x+y=0【解析】试题分析: 由﹣1和2列出一个算式,即可确定出所求方程.答案不唯一,如2x+y=0等,故答案为:2x+y=0考点:二元一次方程的解.9.(本题4+6分)某校运动会需购买A 、B 两种奖品.若购买A 种奖品3件和B 种奖品2件,共需60元;若购买A 种奖品5件和B 种奖品3件,共需95元.(1)求A 、B 两种奖品单价各是多少元?(2)学校计划购买A 、B 两种奖品共100件,购买费用不超过1150元,且A 种奖品的数量不大于B 种奖品数量的3倍.设购买A 种奖品m 件,购买费用为W 元,写出W (元)与m (件)之间的函数关系式,求出自变量m 的取值范围,并确定最少费用W 的值.【答案】(1)A 、B 两种奖品单价分别为10元、15元(2)m W 51500-=,7570≤≤m ,1125元.【解析】试题分析:(1)设A 、B 两种奖品单价分别为x 元、y 元,然后根据等量关系列二元一次方程组解答即可;(2)根据条件可写出w 与x 的函数关系式,然后根据:购买费用不超过1150元,且A 种奖品的数量不大于B 种奖品数量的3倍,列出不等式组,解不等式组可得到x 的取值范围,利用一次函数的增减性可确定w 的最小值. 试题解析:解:(1)设A 、B 两种奖品单价分别为x 元、y 元,由题意,得32605395x y x y +=⎧⎨+=⎩, 解得:1015x y =⎧⎨=⎩. 答:A 、B 两种奖品单价分别为10元、15元.由题意,得1015(100)W m m =+-10150015m m =+-15005m =-由1500511503(100)m m m -≤⎧⎨≤-⎩,解得:7075m ≤≤.因为m 为整数,所以m 的值为70、71、72、73、74、75 由一次函数15005W m =-可知,W 随m 增大而减小∴当75m =时,W 最小,最小为150********W =-⨯=(元)考点:1.二元一次方程组;2.一元一次不等式组;3.一次函数的性质与应用.二、代入法、加减法解方程组易一、选择题1.方程组23x y a x y +=⎧⎨-=⎩的解为5x y b =⎧⎨=⎩,则a 、b 分别为( )A .a=8,b=﹣2B .a=8,b=2C .a=12,b=2D .a=18,b=8【答案】C.【解析】试题分析:计算题.此题考查了二元一次方程组的解,方程组的解即为能使方程组中两方程成立的未知数的值.将x 与y 的值代入方程组即可求出a 与b 的值.解:将x=5,y=b 代入方程组得:1053b a b +=⎧⎨-=⎩, 解得:a=12,b=2,故选C.考点:二元一次方程组的解.2.解以下两个方程组:①21758y x x y =-⎧⎨+=⎩,862517648s t s t +=⎧⎨-=⎩,较为简便方法的是() A.①②均用代入法 B.①②均用加减法C.①用代入法,②用加减法D.①用加减法,②用代入法【答案】C .【解析】试题分析:①是用x 表示y 的形式,用代入法解答合适;②中的方程中的t 项互为相反数,用加减法比较合适;故选C .考点: 解二元一次方程组.3.对于方程组⎩⎨⎧⋯-=⋯=-②①12352x y y x 把②代入①,得( ) A .2x -10x+5=3 B .2x -10x -1=3C .2(2x -1)一5y=3D .2x -10x -5=3【答案】A .【解析】试题分析:用2x-1代替方程①中的y 可得2x-5(2x-1)=3,去括号得,2x -10x+5=3,故答案选A .考点:代入消元.4.若二元一次方程2x+y=3,3x -y=2和2x -my=-1有公共解,则m 取值为( )A .-2B .-1C .3D .4【答案】C【解析】试题分析:解方程组可得:x=1,y=1,将x 和y 的值代入2x -my=-1可得:2-m=-1,解得:m=3. 考点:二元一次方程组.5.解方程组35123156x y x y +=⎧⎨-=-⎩比较简便的方法为( ) A .代入法 B .加减法 C .换元法 D .三种方法都一样【答案】B【解析】试题分析:这两个方程中,x 的系数相同,则利于加减消元法比较简单.考点:解二元一次方程组.6.m 为正整数,已知二元一次方程组⎩⎨⎧=-=+023102y x y mx 有整数解,则m 2的值为( )A 、4B 、49C 、4或49D 、1或49【答案】A【解析】 试题分析:解:, ①+②得:(3+m )x=10,即x=③,把③代入②得:y=④,∵方程的解x 、y 均为整数,∴3+m 既能被10整除也能被15整除,所以31,m +=±或35m +=±,解得m=-4,-2,2,-8,因为m 为正整数,所以m=2.所以m 2=22=4.故选:A .考点:二元一次方程组的整数解.7.若x 、y 满足方程组3735x y x y +=⎧⎨+=⎩,则x ﹣y 的值等于( ) A .﹣1 B .1 C .2 D .3【答案】A.【解析】试题分析:3735x y x y +=⎧⎨+=⎩①②, ②﹣①得:2x ﹣2y=﹣2,则x ﹣y=﹣1,故选A【考点】解二元一次方程组.二、填空题8.若2x y 2|4x 3y 7|0+++=(﹣)﹣,则8x ﹣3y 的值为 . 【答案】5.【解析】试题分析:已知2x y 2|4x 3y 7|0+++=(﹣)﹣,可得x+y=2,4x+3y=7,把这两个方程联立可得方程组2437x y x y +=⎧⎨+=⎩,解得x=1,y=1,所以8x ﹣3y=5.考点:a 和2a 的非负性;二元一次方程组的解法.9.方程组120x y x y +=⎧⎨+=⎩的解是 . 【答案】21x y =⎧⎨=-⎩ 【解析】试题分析:方程1-方程2得:-y=1,所以y=-1,代入方程2得x=2,所以方程组的解是21 xy=⎧⎨=-⎩.考点:二元一次方程组的解.10.方程组23328y xx y=-⎧⎨+=⎩的解是【答案】21 xy【解析】试题分析:将①代入②得:3x+2(2x-3)=8,解得:x=2,将x=2代入①得:y=4-3=1.考点:二元一次方程组的解法.11.方程组52239x yx y-=⎧⎨+=-⎩的解为.【答案】31 xy=-⎧⎨=-⎩【解析】试题分析:52239x yx y-=⎧⎨+=-⎩①②,①×2-②得:-13y=13,所以y=-1,把y=-1代入①得x+5=2,所以x=-3,所以方程组的解是31 xy=-⎧⎨=-⎩.考点:二元一次方程组.三、解答题12.解方程组:230 311x yx y+=⎧⎨-=⎩.【答案】32 xy=⎧⎨=-⎩.【解析】试题分析:利用加减消元法求出解即可.试题解析:230 311x yx y+=⎧⎨-=⎩①②由②得:y=3x-11③,将③代入①:2x+9x-33=0,解得:x=3,把x=3代入③得:y=-2,则原方程组的解是32 xy=⎧⎨=-⎩.考点:解二元一次方程组.13.(7分)解方程组231 328x yx y+=⎧⎨-=⎩.【答案】21 xy=⎧⎨=-⎩【解析】试题分析:此题考查了解二元一次方程组,利用了消元的思想,消元的方法有:代入消元法与加减消元法.方程组利用加减消元法求出解即可.试题解析:解:231328x yx y+=⎧⎨-=⎩①②,①×2+②×3得:13x=26,即x=2,把x=2代入①得:y=﹣1,则方程组的解为21xy=⎧⎨=-⎩.考点:解二元一次方程组.14.解方程组:(1)3215x yx y-=⎧⎨+=⎩(2)43524x yx y+=⎧⎨-=⎩.【答案】(1)63xy=⎧⎨=⎩;(2)21xy=⎧⎨=-⎩.【解析】试题分析:两方程组利用加减消元法求出解即可.试题解析:(1)3215x yx y-=⎧⎨+=⎩①②,①+②得:3x=18,即x=6,把x=6代入①得:y=3,则方程组的解为63 xy=⎧⎨=⎩;(2)43524x yx y+=⎧⎨-=⎩①②,①×2+②×3得:11x=22,即x=2,把x=2代入②得:y=-1,则方程组的解为21 xy=⎧⎨=-⎩.考点:解二元一次方程组.15.解方程组33814x yx y-=⎧⎨-=⎩①②.【答案】21x y =⎧⎨=-⎩【解析】试题分析:通过观察,采用代入法比较简单.试题解析:由①得:x=3+y ③,把③代入②得:3(3+y )﹣8y=14,所以y=﹣1.把y=﹣1代入③得:x=2,∴原方程组的解为21x y =⎧⎨=-⎩. 考点: 解二元一次方程组.难一、选择题1.方程组23x y k x y k-=+⎧⎨+=⎩的解适合方程x+y=2,则k 值为( )A .2B .-2C .1D .【答案】C .【解析】 试题解析:解:23x y k x y k -=+⎧⎨+=⎩①②,①+②得,x+y=k+1,由题意得,k+1=2,解答,k=1,故选C .考点:二元一次方程组的解.2.二元一次方程组2521x y x y -=⎧⎨-=⎩的解为( ) A .13x y =⎧⎨=-⎩ B .21x y =⎧⎨=-⎩ C .31x y =⎧⎨=-⎩ D .31x y =⎧⎨=⎩ 【答案】D【解析】试题分析:本题利用加减消元法或代入消元法进行求解.考点:解二元一次方程组3.甲、乙两人同求方程ax -by=7的整数解,甲正确地求出一个解为⎩⎨⎧-==11y x ,乙把ax -by=7看成ax -by=1,求得一个解为⎩⎨⎧==21y x ,则a,b 的值分别为( ) A 、⎩⎨⎧==52b a B 、⎩⎨⎧==25b a C 、⎩⎨⎧==53b a D 、⎩⎨⎧==35b a 【答案】B【解析】试题分析:把甲的解代入ax-by=7可得a+b=7,把乙的解代入可得a-2y=1,由它们构成方程组可得721a b a b +=⎧⎨-=⎩,解方程组得52a b =⎧⎨=⎩. 故选B考点:二元一次方程组的解4.已知⎩⎨⎧==12y x 是二元一次方程组⎩⎨⎧=-=+18my nx ny mx 的解,则2n m -的平方根为( ) A .4 B .2 CD .±2【答案】D【解析】 试题分析:根据二元一次方程组的解的意义,把⎩⎨⎧==12y x 代入方程组⎩⎨⎧=-=+18my nx ny mx ,可得2821m n n m +=⎧⎨-=⎩,解这个方程组可得32m n =⎧⎨=⎩,因此2m-n=4,所以可求得4的平方根为±2.故选D考点:解二元一次方程组,平方根5.已知 2 1x y ⎧⎨⎩==是二元一次方程组81mx ny nx my ⎩-⎨+⎧==的解,则 ) A 、±3 B 、3 CD 、【答案】C.【解析】试题分析:将x和y 的值代入方程组求出m 和n. 试题解析:将x=2,y=1代入方程组得:2821m n n m +-⎧⎨⎩=①=②①+②×2得:5n=10,即n=2,将n=2代入②得:4-m=1,即m=3,∴m+3n=3+6=9故选C.考点:1.二元一次方程组的解;2.算术平方根.6.方程组的解x 、y 满足x >y ,则m 的取值范围是( )AB C D 【答案】D 43283y x m x m +=⎧⎨-=⎩【解析】试题分析:解方程组43283yx mx m+=⎧⎨-=⎩得因为x>y,故选:D.考点:1.二元一次方程组;2.不等式的解集.7.已知2,1xy=⎧⎨=⎩是二元一次方程组8,1mx nynx my+=⎧⎨-=⎩的解,则2m-n的算术平方根是()A.4 B.2CD.±2【答案】B【解析】将2,1xy=⎧⎨=⎩代入二元一次方程组8,1mx nynx my+=⎧⎨-=⎩中,得28,21,m nn m+=⎧⎨-=⎩解这个方程组得3,2,mn=⎧⎨=⎩则2m-n=2×3-2=4,4的算术平方根是2.二、填空题8.已知(3x+2y-5)2与│5x+3y-8│互为相反数,则x=______,y=________.【答案】1;1【解析】试题分析:两个非负数之和为零,则说明这两个数为零.根据题意可得:325538x yx y+=⎧⎨+=⎩,解得:x=y=1.考点:非负数的性质.9.若-3x a-2b y7与2x8y5a+b是同类项,则a=________,b=________.【答案】2-3【解析】由题意可知28,57,a ba b-=⎧⎨+=⎩解得2,3.ab=⎧⎨=-⎩10.若方程组4,2ax byax by-=⎧⎨+=⎩与方程组234,456x yx y+=⎧⎨-=⎩的解相同,则a=________,b=________.【解析】解方程组234, 456, x yx y+=⎧⎨-=⎩得11.一个大正方形和四个全等的小正方形按图①、②两种方式摆放,则图②的大正方形中,未被小正方形覆盖部分的面积是(用a,b的代数式表示)【答案】ab【解析】试题分析:设大正方形的边长为x 1,小正方形的边长为x 2,由图①和②列出方程组得,⎩⎨⎧=-=+bx x a x x 212122 大正方形中未被小正方形覆盖部分的面积=22=ab . 故答案为:ab .考点:1、方程组 2、正方形面积 3、整式的运算三、简答题12.解下列方程组(1)41216x y x y -=-+=⎧⎨⎩ (2)()()()3155135x y y x -=⎧+-=+⎪⎨⎪⎩. 【答案】(1)72x y ==⎧⎨⎩;(2)57x y ==⎧⎨⎩.【解析】试题分析:(1)方程组利用加减消元法求出解即可;(2)方程组整理后,利用加减消元法求出解即可.试题解析:(1)41216x y x y -=+=⎨-⎧⎩①②, ①+②×4得:9x=63,即x=7,把x=7代入①得:y=2,则方程组的解为72x y ==⎧⎨⎩; (2)方程组整理得:383520x y x y -=-=-⎧⎨⎩①②,①-②得:4y=28,即y=7,把y=7代入①得:x=5,则方程组的解为57x y ==⎧⎨⎩. 考点:解二元一次方程组.13.解方程组:2()3()34()3153x y x y x y x y+--=⎧⎨++=+⎩. 【答案】方程组的解是21x y =⎧⎨=⎩. 【解析】试题分析:方程组整理后,利用加减消元法求出解即可.试题解析:方程组整理得:2()3()34()3()15x y x y x y x y +--=⎧⎨++-=⎩①② ①+②得x+y=3③,把③代入①,得x-y=1④,③+④得:x=2,③-④得:y=1,则原方程组的解是21x y =⎧⎨=⎩.考点:解二元一次方程组.14.求满足方程组24014320x y m x y --=⎧⎨-=⎩中的y 值是x 值的3倍的m 的值,并求的值。
一、选择题1.小明的妈妈在菜市场买回2斤萝卜、1斤排骨共花了41.4元,而两个月前买同重量的这两样菜只要36元,与两个月前相比,这次萝卜的单价下降了10%,但排骨单价却上涨了20%,设两个月前买的萝卜和排骨的单价分别为x 元/斤,y 元/斤,则可列方程为( ) A .()()2362110%120%41.4x y x y +=⎧⎨⨯-++=⎩ B .()()241.42110%120%36x y x y +=⎧⎨⨯-++=⎩C .()()241.4110%2120%36x y x y +=⎧⎨-+⨯+=⎩ D .()()236110%2120%41.4x y x y +=⎧⎨-+⨯+=⎩ A 解析:A【分析】 根据题目中设的两个月前的萝卜和排骨的单价,先列出两个月前的式子236x y +=,再根据降价和涨价列出现在的式子()()2110%120%41.4x y ⨯-++=,得到方程组.【详解】解:两个月前买菜的情况列式:236x y +=,现在萝卜的价格下降了10%,就是()110%x -,排骨的价格上涨了20%,就是()120%y +,那么这次买菜的情况列式:()()2110%120%41.4x y ⨯-++=,∴方程组可以列为()()2362110%120%41.4x y x y +=⎧⎨⨯-++=⎩. 故选:A .【点睛】本题考查二元一次方程组的应用,解题的关键是根据题意找到等量关系列出方程组. 2.若x ,y 均为正整数,且2x +1·4y =128,则x +y 的值为( )A .3B .5C .4或5D .3或4或5C解析:C【解析】∵2x +1·4y =128,27=128,∴x +1+2y =7,即x +2y =6.∵x ,y 均为正整数, ∴22x y =⎧⎨=⎩或41x y =⎧⎨=⎩ ∴x +y =4或5.3.解方程组232261s t s t +=⎧⎨-=-⎩①②时,①—②,得( )A .31t -= .B .33t -=C .93t =D .91t = C解析:C【分析】运用加减消元法求解即可.【详解】 解:解方程组232261s t s t +=⎧⎨-=-⎩①②时,①-②,得3t-(-6t)=2-(-1), 即,9t=3,故选:C .【点睛】此题考查了解二元一次方程组,利用了消元的思想,消元的方法有:代入消元法与加减消元法.4.下列方程中是二元一次方程的是( )A .(2)(3)0x y +-=B .-1x y =C .132x y=+ D .5xy = B 解析:B【分析】含有两个未知数,并且含有未知数的项的次数都是1的整式方程叫做二元一次方程.【详解】解:(2)(3)0x y +-=化简得3260xy x y -+-=,最高次是2次,故A 选项错误; -1x y =是二元一次方程,故B 选项正确;132x y=+不是整式方程,故C 选项错误; 5xy =最高次是2次,故D 选项错误.故选:B【点睛】本题主要考查的是二元一次方程的概念,正确的掌握二元一次方程的概念是解题的关键. 5.古代一歌谣:栖树一群鸦,鸦树不知数:三个坐一棵,五个地上落;五个坐一棵,闲了一棵树.请你动脑筋,鸦树各几何?若设乌鸦有x 只,树有y 棵,由题意可列方程组( )A .3551y x y x +=⎧⎨-=⎩B .3551y x y x -=⎧⎨=-⎩C .15355x y y x ⎧+=⎪⎨⎪=-⎩D .5315x y x y -⎧=⎪⎪⎨⎪=-⎪⎩ D 解析:D根据“三个坐一棵,五个地上落;五个坐一棵,闲了一棵树”,即可得出关于x,y的二元一次方程组,此题得解.【详解】解:设乌鸦有x只,树有y棵,依题意,得:5315xyxy-⎧=⎪⎪⎨⎪=-⎪⎩.故选:D.【点睛】本题考查了由实际问题抽象出二元一次方程组,找准等量关系,正确列出二元一次方程组是解题的关键.6.某校七年级1班学生为了参加学校文化评比买了22张彩色的卡纸制作如下图形(每个图形由两个三角形和一个圆形组成),已知一张彩色卡纸可以剪5个三角形,或3个圆形,要使圆形和三角形正好配套,需要剪三角形的卡纸有x张,剪圆形的卡纸有y张,可列式为()A.2256x yx y+=⎧⎨=⎩B.2265x yx y+=⎧⎨=⎩C.22310x yx y+=⎧⎨=⎩D.22103x yx y+=⎧⎨=⎩A解析:A【分析】设需要剪三角形的卡纸有x张,剪圆形的卡纸有y张,根据彩色卡纸的总张数为22张其剪出三角形的数量为圆的2倍,即可得出关于x、y的二元一次方程组,此题得解.【详解】设需要剪三角形的卡纸有x张,剪圆形的卡纸有y张,根据题意得:22 56x yx y+=⎧⎨=⎩.【点睛】此题考查由实际问题抽象出二元一次方程组,找准等量关系,正确列出二元一次方程组是解题的关键.7.已知关于x 、y 的二元一次方程组356310x y x ky +=⎧⎨+=⎩给出下列结论:①当5k =时,此方程组无解;②若此方程组的解也是方程61516x y +=的解,则10k =;③无论整数k 取何值,此方程组一定无整数解(x 、y 均为整数),其中正确的是( )A .①②③B .①③C .②③D .①②A解析:A【分析】根据二元一次方程组的解法逐个判断即可.【详解】 当5k =时,方程组为3563510x y x y +=⎧⎨+=⎩,此时方程组无解 ∴结论①正确由题意,解方程组35661516x y x y +=⎧⎨+=⎩得:2345x y ⎧=⎪⎪⎨⎪=⎪⎩把23x =,45y =代入310x ky +=得2431035k ⨯+= 解得10k =,则结论②正确 解方程组356310x y x ky +=⎧⎨+=⎩得:20231545x k y k ⎧=-⎪⎪-⎨⎪=⎪-⎩又k 为整数 x 、y 不能均为整数∴结论③正确综上,正确的结论是①②③故选:A .【点睛】本题考查了二元一次方程组的解与解法,掌握二元一次方程组的解法是解题关键. 8.把方程23x y -=改写成用含x 的式子表示y 的形式,正确的是( )A .23x y =+B .32y x +=C .23y x =-D .32y x =- C解析:C将x 看做常数移项求出y 即可得.【详解】由2x-y=3知2x-3=y ,即y=2x-3,故选C .【点睛】此题考查了解二元一次方程,解题的关键是将x 看做已知数求出y .9.已知方程组2325x y x y +=⎧⎨-=⎩,则39x y +的值为( ) A .2-B .2C .6-D .6C解析:C【分析】方程组两方程相减求出x+3y 的值,进而即可求得3x+9y 的值.【详解】 2325x y x y +=⎧⎨-=⎩①②, ①-②得:32x y +=-,∴()39336x y x y +=+=-,故选:C .【点睛】本题考查了求代数式的值以及解二元一次方程组,解二元一次方程组利用了消元的思想,消元的方法有:代入消元法与加减消元法.灵活运用整体代入法是解题的关键.10.方程组320x y x y +=⎧⎨-=⎩的解是( ) A .11x y =⎧⎨=⎩B .12x y =⎧⎨=⎩C .21x y =⎧⎨=⎩D .30x y =⎧⎨=⎩ B 解析:B【分析】二元一次方程组的求解方法有两种:(1)加减消元法;(2)代入消元法,此题用加减消元法求解更为简便;【详解】 ∵320x y x y +=⎧⎨-=⎩①② , ①+②得:3x=3,即x=1,把x=1代入①得:y=2,则方程组的解为12x y =⎧⎨=⎩,【点睛】本题考查了二元一次方程组的解法,正确利用加减消元法求解是解题的关键.二、填空题11.重庆某快递公司规定:寄件不超过1kg 的部分按起步价计费,超过1kg 不足2kg ,按照2kg 收费;超过2kg 不足3kg 按照3kg 收费,以此类推.某产家分别寄快递到重庆市内和北京,其中,寄往重庆市内的起步价为a 元,超过部分b 元/kg ;寄往北京的起步价为()7a +元,超过部分()4b +元/kg .已知一个寄往重庆市内的快件,质量为2kg ,收费13元;一个寄往北京的快件,质量为4.5kg ,收费42元.如果一个寄往北京的快件,质量为2.8kg ,应收费______元.30【分析】根据分别寄快递到上海和北京的快递质量和费用即可得出关于ab 的二元一次方程组解之然后根据28kg 按照3kg 收费即可得出应收费【详解】解:依题意得:解得寄往北京市快件重28kg 按照3kg 收费解析:30【分析】根据分别寄快递到上海和北京的快递质量和费用,即可得出关于a ,b 的二元一次方程组,解之,然后根据2.8kg 按照3kg 收费即可得出应收费.【详解】解:依题意,得:137(51)(4)42a b a b +=⎧⎨++-+=⎩, 解得112a b =⎧⎨=⎩, 寄往北京市快件重2.8kg 按照3kg 收费,应收费:7(31)(4)1172(24)30a b ++-+=++⨯+=元,故答案为:30.【点睛】本题考查了二元一次方程组的应用,找准等量关系,正确列出二元一次方程组是解题的关键.12.甲、乙两筐苹果各有若干千克,从甲筐拿出20%到乙筐后,又从乙筐拿出25%到甲筐,这时甲、乙两筐苹果的质量相等,则原来乙筐的苹果质量是甲筐的__________ % .140【分析】设甲乙两筐苹果各有先求出从甲筐拿出20到乙筐后甲乙两筐分别为再求出从乙筐拿出25到甲筐后甲乙两筐分别为:列方程求出x 与y 的关系即可【详解】设甲乙两筐苹果各有从甲筐拿出20到乙筐后甲乙两 解析:140【分析】设甲、乙两筐苹果各有x 、kg y ,先求出从甲筐拿出20%到乙筐后,甲、乙两筐分别为80%x ,20%y x +,再求出从乙筐拿出25%到甲筐后,甲、乙两筐分别为:171204x y +,33420y x +,列方程17133204420x y y x +=+,求出x 与y 的关系即可. 【详解】设甲、乙两筐苹果各有x 、kg y ,从甲筐拿出20%到乙筐后,甲、乙两筐分别为80%x ,20%y x +,从乙筐拿出25%到甲筐后,甲、乙两筐分别为:()17180%25%20%204x y x x y +⨯+=+, ()3375%20%420y x y x ⨯+=+, 由题可得:17133204420x y y x +=+, 解得75y x =, 75y x =, 则原来乙筐苹果质量为甲筐的:7100%100%140%5y x ⨯=⨯=. 故答案为:140.【点睛】本题考查循环倒液类型问题,掌握循环倒液类型问题的解法,抓住经过两次循环两者质量相等构造等式(或方程)解决问题是关键. 13.若1,3x y =-⎧⎨=⎩是关于x ,y 的二元一次方程组5,x y m x my n +=⎧⎨-=⎩的解,则n 的值为______.5【分析】将代入方程组求解即可【详解】将代入方程组得解得故答案为:5【点睛】此题考查二元一次方程组的解解二元一次方程组正确计算是解题的关键 解析:5【分析】将13x y =-⎧⎨=⎩代入方程组求解即可. 【详解】 将13x y =-⎧⎨=⎩代入方程组5x y m x my n +=⎧⎨-=⎩,得 213m m n =-⎧⎨--=⎩解得25m n =-⎧⎨=⎩, 故答案为:5.【点睛】此题考查二元一次方程组的解,解二元一次方程组,正确计算是解题的关键.14.已知37m m n x y +-与653x y 是同类项,则m n -=_______.【分析】先根据同类项的定义可得mn 的值再代入计算即可得【详解】由题意得:解得则故答案为:【点睛】本题考查了同类项二元一次方程组的应用熟练掌握同类项的定义是解题关键解析:1-【分析】先根据同类项的定义可得m 、n 的值,再代入计算即可得.【详解】由题意得:365m m n =⎧⎨+=⎩, 解得23m n =⎧⎨=⎩, 则231m n -=-=-,故答案为:1-.【点睛】本题考查了同类项、二元一次方程组的应用,熟练掌握同类项的定义是解题关键. 15.为落实习总书记“绿水青山就是金山银山”的发展理念,我区府部门决定由甲、乙、丙三个工程队负责完成一条总工作量为a 的公园改造的施工任务.经过一段时间,甲、乙、丙三个工程队完成的工程量之比是3:4:5为更合理的分任务,经测算,将剩余工程量的916交给了丙队,其余工程量由甲、乙两个工程队共同完成,乙工程队再工作一段时间后因另有任务先离开.工程结束时发现,丙队完成的工程量占总工程量的1940,甲、乙两队完成其余工程的工程量之比为4:3.则乙队完成的工程量与总工程量之比是:______.【分析】设一开始甲乙丙三个工程队完成的工程量为b 则剩余工程量为a-b 然后表示出丙队完成的工程量根据丙队完成的工程量占总工程量的列出等式从而得到a 与b 的数量关系再表示出乙队完成的工程量把a 与b 的数量关解析:11:40.【分析】设一开始甲、乙、丙三个工程队完成的工程量为b ,则剩余工程量为a-b ,然后表示出丙队完成的工程量,根据丙队完成的工程量占总工程量的1940列出等式,从而得到a 与b 的数量关系,再表示出乙队完成的工程量,把a 与b 的数量关系代入计算即可.【详解】解:设一开始甲、乙、丙三个工程队完成的工程量为b ,则剩余工程量为a-b ,∴丙队完成的工程量为()951612a b b -+, ∴()9519161240a b b a -+=, 解得,35b a =, 乙队一开始完成的工程量为412b ,后来完成的工程量为()()73316716a b a b -⨯=-, ∴乙队完成的工程量为()43433311121612516540b a b a a a a ⎛⎫+-=⨯+-= ⎪⎝⎭, ∴乙队完成的工程量与总工程量之比是11:40.故答案是:11:40.【点睛】本题考查工程问题,考查学生分析解决问题的能力,正确求出一开始完成的工程量与总工程量的数量关系是关键.16.“九九重阳节, 浓浓敬老情”,今年某花店在重阳节推出“松鹤长春”“欢乐远长”“健康长寿”三种花束.“松鹤长春”花束中有8枝百合,16 枝康乃馨;“欢乐远长”花束中有6枝百合,16枝康乃馨,2枝剑兰;“健康长寿”花束中有4枝百合,12枝康乃馨,2枝剑兰.已知百合花每枝1元,康乃馨每枝34元,剑兰每枝5元,重阳节当天销售这三种花束共2549元,其中百合花的销售额为458元,则剑兰的销售量为________枝.【分析】设松鹤长春欢乐远长健康长寿三种花束的销量分别为:(单位:束)再分别求解一束松鹤长春欢乐远长健康长寿的单价根据重阳节当天销售这三种花束共2549元其中百合花的销售额为458元列方程组再求解剑兰解析:216.【分析】设“松鹤长春”“欢乐远长”“健康长寿”三种花束的销量分别为:,,x y z (单位:束),再分别求解一束“松鹤长春”“欢乐远长”“健康长寿”的单价,根据重阳节当天销售这三种花束共2549元,其中百合花的销售额为458元,列方程组,再求解剑兰的销量:22y z +,即可得到答案.【详解】解:设“松鹤长春”“欢乐远长”“健康长寿”三种花束的销量分别为:,,x y z (单位:束), 由题意可得:一束“松鹤长春”的单价为:318+16=204⨯⨯(元), 一束“欢乐远长”花束的单价为:316+16+52=284⨯⨯⨯(元), 一束“健康长寿”花束的单价为:314+12+25=234⨯⨯⨯(元),8644582028232549x y z x y z ++=⎧∴⎨++=⎩①② ②2⨯-①5⨯得:40564640302050982290,x y z x y z ++---=-26262808,y z ∴+=108,y z ∴+=22216,y z ∴+=即剑兰的销量为:216枝.故答案为:216.【点睛】本题考查的是三元一次方程组的应用,利用整体法求解方程组中的量是解题的关键. 17.一个两位数,交换个位与十位的数字之后,新得到的两位数比原数小63,则原来的两位数是________________.81或92【分析】结合题意设原来的两位数十位数字为x 个位数字为y 根据新得到的两位数比原数小63进行分析即可得到答案【详解】设原来的两位数十位数字为x 个位数字为y 根据题意得:∴∵一个两位数交换个位与十解析:81或92【分析】结合题意,设原来的两位数,十位数字为x ,个位数字为y ,根据新得到的两位数比原数小63进行分析,即可得到答案.【详解】设原来的两位数,十位数字为x ,个位数字为y根据题意得:()101063x y y x +-+=∴7x y -=∵一个两位数,交换个位与十位的数字之后,新得到的两位数比原数小63∴6x >当7x =时,0y =,即原两位数为:70,新得到的为:7,不是两位数,故不符合题意; 当8x =时,1y =,即原两位数为:81,新得到的为:18;当9x =时,2y =,即原两位数为:92,新得到的为:29;故答案为:81或92.【点睛】本题考查了二元一次方程的应用;解题的关键是熟练掌握用代数式表示两位数,从而完成求解.18.已知,方程12230a b x y -+-+=是关于,x y 的二元一次方程,则a b +=________.1【分析】利用二元一次方程的定义得出关于的方程解方程并代入代数式即可【详解】∵方程是关于的二元一次方程∴解得∴故答案为:1【点睛】本题考查了二元一次方程的定义熟练掌握二元一次方程的定义是解本题的关键【分析】利用二元一次方程的定义得出关于a ,b 的方程,解方程并代入代数式即可.【详解】∵方程12230a b x y -+-+=是关于x ,y 的二元一次方程,∴11a -=,21b +=,解得2a =,1b =-,∴211a b +=-=.故答案为:1.【点睛】本题考查了二元一次方程的定义,熟练掌握二元一次方程的定义是解本题的关键. 19.若方程2(3)31a a x y --+=是关于x ,y 的二元一次方程,则a 的值为_____.-3【分析】根据二元一次方程的定义:含有两个未知数并且含有未知数的项的次数都是1像这样的方程叫做二元一次方程可得|a|-2=1且a-3≠0再解即可【详解】解:由题得解得a=-3故答案为:-3【点睛】解析:-3【分析】根据二元一次方程的定义:含有两个未知数,并且含有未知数的项的次数都是1,像这样的方程叫做二元一次方程可得|a|-2=1,且a-3≠0,再解即可.【详解】 解:由题得,2130a a ⎧-⎨-≠⎩= , 解得a=-3,故答案为:-3.【点睛】本题考查了二元一次方程的定义.二元一次方程必须符合以下三个条件:(1)方程中只含有2个未知数;(2)含未知数项的最高次数为一次;(3)方程是整式方程.20.如果关于x ,y 的二元一次方程组111222a x b y c a x b y c +=⎧⎨+=⎩的解是62x y =⎧⎨=⎩,则关于x ,y 的二元一次方程组111222325325a x b y c a x b y c +=⎧⎨+=⎩的解是______.【分析】先将所求的方程组变形为然后根据题意可得进一步即可求出答案【详解】解:由方程组可得∵关于xy 的二元一次方程组的解是∴解得故答案为【点睛】本题考查了二元一次方程组的解法正确理解题意合理变形得出是解析:105x y =⎧⎨=⎩先将所求的方程组变形为11122232553255a b c a b c x y x y ⎛⎫⎛⎫⋅⋅ ⎪ ⎪⎝⎭⎝⎭⎛⎫⎛⎫⋅⋅ ⎪ ⎪⎝⎭⎝⎭⎧+=⎪⎪⎨⎪+=⎪⎩,然后根据题意可得365225x y ⎧=⎪⎪⎨⎪=⎪⎩,进一步即可求出答案.【详解】解: 由方程组111222325325a x b y c a x b y c +=⎧⎨+=⎩可得11122232553255a b c a b c x y x y ⎛⎫⎛⎫⋅⋅ ⎪ ⎪⎝⎭⎝⎭⎛⎫⎛⎫⋅⋅ ⎪ ⎪⎝⎭⎝⎭⎧+=⎪⎪⎨⎪+=⎪⎩, ∵关于x ,y 的二元一次方程组111222a x b y c a x b y c +=⎧⎨+=⎩的解是62x y =⎧⎨=⎩, ∴365225x y ⎧=⎪⎪⎨⎪=⎪⎩,解得105x y =⎧⎨=⎩, 故答案为105x y =⎧⎨=⎩. 【点睛】 本题考查了二元一次方程组的解法,正确理解题意、合理变形、得出365225x y ⎧=⎪⎪⎨⎪=⎪⎩是解本题的关键.三、解答题21.某水果店有甲,乙两种水果,它们的单价分别为a 元/千克,b 元/千克.若购买甲种水果5千克,乙种水果2千克,共花费25元,购买甲种水果3千克,乙种水果4千克,共花费29元.(1)求a 和b 的值;(2)甲种水果涨价m 元/千克(02)m <<,乙种水果单价不变,小明花了45元购买了两种水果10千克,那么购买甲种水果多少千克?(用含m 的代数式表示).解析:(1)a 的值为3,b 的值为5;(2)52m- 【分析】(1)根据等量关系:购买甲5千克,乙2千克,共花费25元;购买甲3千克,乙4千克,共花费29元;列出方程组求解即可;(2)可设购买甲种糖果x 千克,则购买乙种糖果(10-x )千克,根据花了45元,列出方程即可求解;【详解】解:(1)依题意有52253429a b a b +=⎧⎨+=⎩,解得35a b =⎧⎨=⎩. 故a 的值为3,b 的值为5;(2)设购买甲种水果x 千克,则购买乙种水果(10)x -千克,依题意有:(3)5(10)45m x x ++-=, 解得:52x m=-; 故购买甲种水果52m-千克. 【点睛】 本题考查了二元一次方程组的应用,解题的关键是找准等量关系,正确列出二元一次方程组.22.解方程组:()()41622358x y x y ⎧+=-⎪⎨-=-⎪⎩①② 解析:9412x y ⎧=-⎪⎪⎨⎪=-⎪⎩【分析】将原方程化简整理后再运用加减消元法求解即可.【详解】解:原方程组可化为233,252,x y x y -=-⎧⎨-=-⎩③④③-④,得21y =-, 12y , 将12y 代入③,得94x =-. 所以原方程组的解是9,41.2x y ⎧=-⎪⎪⎨⎪=-⎪⎩. 【点睛】此题考查了解二元一次方程组,利用了消元的思想,消元的方法有:代入消元法与加减消元法.23.(1)解方程组:21035x yx y+=⎧⎨-=⎩;(2)解不等式组:2(1)35423xxx+-<⎧⎪-⎨-≥⎪⎩.解析:(1)81xy=⎧⎨=⎩;(2) 13x≤<.【分析】(1)利用加减消元法,先消去x,求得y,后代入求得x,从而得到方程组的解;(2)分别求得不等式组中每一个不等式的解集,再确定出公共部分即可.【详解】(1)由21035x yx y+=⎧⎨-=⎩①②,①-②,得5y=5,解得y=1;把y=1代入①,解得x=8,所以原方程组的解为=81 xy⎧⎨=⎩.(2)由2(1)35423xxx+-<⎧⎪⎨--≥⎪⎩①②,解不等式①得 x<3;解不等式②得x≥1;所以原不等式组的解集为1≤x<3.【点睛】(1)考查了二元一次方程组的解法,熟练掌握加减消元法是解题的关键;(2)考查了一元一次不等式组的解法,熟练求解,利用数形结合思想,灵活确定解集是解题的关键.24.萱萱家为方便她上学,在黄冈小河中学旁边购买了一套经济适用房.她家准备将地面铺上地砖,地面结构如图所示.根据图中的数据(单位:m),解答下列问题:(1)写出用含x、y的整式表示地面总面积;(2)已知客厅面积是厨房面积的4倍,且地面总面积是卫生间面积的15倍,铺1m2地砖的平均费用为80元,求铺地砖的总费用为多少元?解析:(1)6218x y ++;(2)3600元【分析】(1)根据长方形的面积=长×宽,表示各部分的面积,于是可表示出总面积.(2)根据已知客厅面积是厨房面积的4倍,且地面总面积是卫生间面积的15倍,列出方程组求解,可求出总面积,再根据单价可求出铺地砖的总费用.【详解】解:(1)卧室的长=2+2=4,厨房的长=6-3=3,∴地面的总面积为:3×4+2y+2×3+6x=6x+2y+18.(2)由题意得64236218152x x y y =⨯⨯⎧⎨++=⨯⎩解得:41.5x y =⎧⎨=⎩∴地面总面积为:S=6x+2y+18=45(m 2),∴铺地砖的总费用为:45×80=3600(元).答:那么铺地砖的总费用为3600元.【点睛】本题考查二元一次方程组的应用,关键是能根据等量关系列出方程组.25.若在一个两位正整数 N 的个位数字与十位数字之间添上数字 2 ,组成一个新的三位数,我们称这个三位数为 N 的“诚勤数”,如 34 的“诚勤数”为 324 ;若将一个两位正整数 M 加 2 后得到一个新数,我们称这个新数为 M 的“立达数”,如 34 的“立达数”为 36. (1)求证:对任意一个两位正整数 A ,其“诚勤数”与“立达数”之差能被 6 整除;(2)若一个两位正整数 B 的“立达数”的各位数字之和是 B 的各位数字之和的一半,求 B 的值.解析:(1)见解析;(2) B 的值为68或59.【分析】(1)设A 的十位数字为a ,个位数字为b ,其“诚勤数”为100a+20+b 、“立达数”为10a+b+2,作差整理即可得;(2)设B=10a+b ,1≤a≤9,0≤b≤9(B 加上2后各数字之和变小,说明个位发生了进位),根据““立达数”的各位数字之和是B 的各位数字之和的一半”列出关于a 、b 的方程,求解可得.【详解】解:(1)设A的十位数字为a,个位数字为b,则A=10a+b,它的“诚勤数”为100a+20+b,它的“立达数”为10a+b+2,∴100a+20+b-(10a+b+2)=90a+18=6(15a+3),∵a为整数,∴15a+3是整数,则“诚勤数”与“立达数”之差能被6整除;(2)设B=10m+n,1≤m≤9,0≤n≤9(B加上2后各数字之和变小,说明个位发生了进位),∴B+2=10m+n+2,则B的“立达数”为10(m+1)+(n+2-10),∴m+1+n+2﹣10=12(m+n),整理,得m+n=14,∵1≤m≤9,0≤n≤9,∴m8n6=⎧⎨=⎩、m6n8=⎧⎨=⎩、m9n5=⎧⎨=⎩、m5n9=⎧⎨=⎩、m7n7=⎧⎨=⎩,经检验:77、86和95不符合题意,舍去,∴所求两位数为68或59.【点睛】本题主要考查了数字问题,根据题意表示出A、B两数的“立达数”、“诚勤数”及其变化是解题的关键.26.列方程解应用题:为让同学们幸福成长,年级准备组织师生秋游.关于租车问题:若只租45座的客车若干辆,则刚好坐满;若只租60座的客车,则可少租4辆,且余30个座位.(1)若只租45座的客车,求需要多少辆车?(2)已知一辆45座的客车租金每天2500元,一辆60座的客车租金每天3000元,若可以同时租用这两种类型的客车,则两种客车分别租多少辆最省钱?解析:(1) 18辆;(2) 租45座的客车2辆,租60座客车最省钱.【分析】(1)设单租45座客车x辆,则参加春游的师生总人数为45x人,根据人数与客车的数量关系建立方程求出其解即可;(2)等量关系为:45座客车能坐的人数+60座客车能坐的人数=秋游的师生总人数,选取正整数解,比较即可.【详解】解:(1)设单租45座客车x辆,则参加春游的师生总人数为45x人.根据题意,得45x=60(x−4)−30,解得:x=18.答:只租45座的客车,需要18辆车;(2)解:45×18=810(人)设租45座客车x 辆,60座客车y 辆.根据题意得:45x +60y =810.∵x ,y 均为正整数,∴x =2,y =12;或x=6,y=9;或x=10,y=6;或 x=14,y=3.2500×2+3000×12=41000(元)2500×6+3000×9=42000(元)2500×10+3000×6=43000(元)2500×14+3000×3=44000(元)∵41000﹤42000﹤43000﹤44000∴租45座的客车2辆,租60座客车12辆最省钱.【点睛】本题主要考查了用一元一次方程及二元一次方程解决实际问题,解题关键是要读懂题目的意思,根据题目给出的条件,找出合适的等量关系.27.解方程组:(1)379x y x y +=⎧⎨=-⎩; (2)5217345x y x y -=⎧⎨+=⎩. 解析:(1)54x y =-⎧⎨=⎩;(2)31x y =⎧⎨=-⎩【分析】(1)利用代入消元法即可解方程求解;(2)利用加减消元法①×2+②得出x 的值,进而代入②求出y 的值即可.【详解】解:()3719x y x y +=⎧⎨=-⎩,①,② 把②代入①,得937y y -+=,解得4y =,把4y =代入②,得495x =-=-,所以方程组的解为54.x y =-⎧⎨=⎩, ()52172345x y x y -=⎧⎨+=⎩,①,② ①2⨯+②,得103345x x +=+,解得3x =,把3x =代入②,得945y +=,解得1y =-,所以方程组的解为31.x y =⎧⎨=-⎩, 【点睛】本题考查解二元一次方程组,熟练掌握代入消元法和加减消元法解二元一次方程组是解题的关键.28.把y ax b =+(其中a 、b 是常数,x 、y 是未知数)这样的方程称为“雅系二元一次方程”当y x =时,“雅系二元一次方程y ax b =+”中x 的值称为“雅系二元一次方程”的“完美值”.例如:当y x =时,雅系二元一次方程”34y x =-化为34x x =-,其“完美值”为2x =.(1)求“雅系二元一次方程”56y x =-+的“完美值”;(2)3x =是“雅系二元一次方程”3y x m =+的“完美值”,求m 的值;(3)“雅系二元一次方程”1y kx =+(0k ≠,k 是常数)存在“完美值”吗?若存在,请求出其“完美值”,若不存在,请说明理由.解析:(1)x =1;(2)m =﹣6;(3)当k =1时,不存在“完美值”,当k≠1,k≠0时,存在“完美值”x =11k - 【分析】(1)由已知得到式子x=-5x+6,求出x 即可;(2)由已知可得x=3x+m ,将x=3代入即可求m ;(3)假设存在,得到x=kx+1,所以(1-k )x=1,当k=1时,不存在“完美值”,当k≠1,k≠0时,存在“完美值”x=11k -. 【详解】(1)由已知可得,x =-5x+6,解得x =1,∴“雅系二元一次方程”y =-5x+6的“完美值”为x =1;(2)由已知可得x =3x+m ,x =3,∴m =﹣6;(3)若“雅系二元一次方程”y =kx+1(k≠0,k 是常数)存在“完美值”,则有x =kx+1,∴(1﹣k )x =1,当k =1时,不存在“完美值”,当k≠1,k≠0时,存在“完美值”x =11k-. 【点睛】本题考查新定义,能够理解题意,将所求问题转化为一元一次方程求解是关键.。
二元一次方程组练习题100道(卷一)(范围:代数: 二元一次方程组)一、判断1、⎪⎩⎪⎨⎧-==312y x 是方程组⎪⎪⎩⎪⎪⎨⎧=-=-910326523y x y x 的解 …………( ) 2、方程组⎩⎨⎧=+-=5231y x xy 的解是方程3x -2y =13的一个解( )3、由两个二元一次方程组成方程组一定是二元一次方程组( )4、方程组⎪⎪⎩⎪⎪⎨⎧=-++=+++25323473523y x y x ,可以转化为⎩⎨⎧-=--=+27651223y x y x ( )5、若(a 2-1)x 2+(a -1)x +(2a -3)y =0是二元一次方程,则a 的值为±1( )6、若x +y =0,且|x |=2,则y 的值为2 …………( )7、方程组⎩⎨⎧=+-=+81043y x xm my mx 有唯一的解,那么m 的值为m ≠-5 …………( )8、方程组⎪⎩⎪⎨⎧=+=+623131y x y x 有无数多个解 …………( ) 9、x +y =5且x ,y 的绝对值都小于5的整数解共有5组 …………( ) 10、方程组⎩⎨⎧=+=-3513y x y x 的解是方程x +5y =3的解,反过来方程x +5y =3的解也是方程组⎩⎨⎧=+=-3513y x y x 的解 ………( ) 11、若|a +5|=5,a +b =1则32-的值为b a ………()12、在方程4x -3y =7里,如果用x 的代数式表示y ,则437yx +=( ) 二、选择:13、任何一个二元一次方程都有( ) (A )一个解; (B )两个解;(C )三个解; (D )无数多个解;14、一个两位数,它的个位数字与十位数字之和为6,那么符合条件的两位数的个数有( )(A )5个 (B )6个 (C )7个 (D )8个15、如果⎩⎨⎧=+=-423y x ay x 的解都是正数,那么a 的取值范围是( )(A )a <2;(B )34->a ; (C )342<<-a ; (D )34-<a ; 16、关于x 、y 的方程组⎩⎨⎧=-=+m y x my x 932的解是方程3x +2y =34的一组解,那么m 的值是( )(A )2; (B )-1; (C )1; (D )-2;17、在下列方程中,只有一个解的是( ) (A )⎩⎨⎧=+=+0331y x y x(B )⎩⎨⎧-=+=+2330y x y x(C )⎩⎨⎧=-=+4331y x y x(D )⎩⎨⎧=+=+3331y x y x18、与已知二元一次方程5x -y =2组成的方程组有无数多个解的方程是( )(A )15x -3y =6 (B )4x -y =7 (C )10x +2y =4 (D )20x -4y =3 19、下列方程组中,是二元一次方程组的是( )(A )⎪⎩⎪⎨⎧=+=+9114y x y x (B )⎩⎨⎧=+=+75z y y x(C )⎩⎨⎧=-=6231y x x(D )⎩⎨⎧=-=-1y x xyy x20、已知方程组⎩⎨⎧-=+=-135b y ax y x 有无数多个解,则a 、b 的值等于( )(A )a =-3,b =-14(B )a =3,b =-7 (C )a =-1,b =9(D )a =-3,b =14 21、若5x -6y =0,且xy ≠0,则y x yx 3545--的值等于( )(A )32 (B )23 (C )1 (D )-122、若x 、y 均为非负数,则方程6x =-7y 的解的情况是( ) (A )无解 (B )有唯一一个解 (C )有无数多个解 (D )不能确定23、若|3x +y +5|+|2x -2y -2|=0,则2x 2-3xy 的值是( )(A )14 (B )-4 (C )-12 (D )12 24、已知⎩⎨⎧-==24y x 与⎩⎨⎧-=-=52y x 都是方程y =kx +b 的解,则k 与b 的值为( ) (A )21=k ,b =-4 (B )21-=k ,b =4(C )21=k ,b =4 (D )21-=k ,b =-4 三、填空:25、在方程3x +4y =16中,当x =3时,y =________,当y =-2时,x =_______ 若x 、y 都是正整数,那么这个方程的解为___________; 26、方程2x +3y =10中,当3x -6=0时,y =_________;27、如果0.4x -0.5y =1.2,那么用含有y 的代数式表示的代数式是_____________; 28、若⎩⎨⎧-==11y x 是方程组⎩⎨⎧-=-=+1242a y x b y ax 的解,则⎩⎨⎧==______________b a ; 29、方程|a |+|b |=2的自然数解是_____________; 30、如果x =1,y =2满足方程141=+y ax ,那么a =____________; 31、已知方程组⎩⎨⎧-=+=+m y x ay x 26432有无数多解,则a =______,m =______;32、若方程x -2y +3z =0,且当x =1时,y =2,则z =______;33、若4x +3y +5=0,则3(8y -x )-5(x +6y -2)的值等于_________;34、若x +y =a ,x -y =1同时成立,且x 、y 都是正整数,则a 的值为________; 35、从方程组)0(030334≠⎩⎨⎧=+-=--xyz z y x z y x 中可以知道,x :z =_______;y :z =________;36、已知a -3b =2a +b -15=1,则代数式a 2-4ab +b 2+3的值为__________;四、解方程组37、⎪⎪⎩⎪⎪⎨⎧=-=-1332343n m nm ; 38、)(6441125为已知数a a y x a y x ⎩⎨⎧=-=+; 39、⎪⎪⎩⎪⎪⎨⎧=++=+125432y x yx y x ; 40、⎪⎩⎪⎨⎧=--+=-++0)1(2)1()1(2x y x x x y y x ; 41、⎪⎪⎩⎪⎪⎨⎧++=++=+=+6253)23(22)32(32523233y x y x yx y x ; 42、⎪⎪⎩⎪⎪⎨⎧=-++=-++1213222132y x y x ;43、⎪⎩⎪⎨⎧=-+-=-+=-+3113y x z x z y z y x ; 44、⎪⎩⎪⎨⎧=+=+=+101216x z z y y x ;45、⎪⎩⎪⎨⎧=-+=+-=-+35351343z y x z y x z y x ; 46、⎪⎪⎨⎧=+-==30325:3:7:4:z y x z x y x ;五、解答题:47x 的系数,解得⎪⎪⎩⎪⎪⎨⎧==475847107y x ;乙看错了方程②中的y 的系数,解得⎪⎪⎩⎪⎨==19177681y x ,若两人的计算都准确无误,请写出这个方程组,并求出此方程组的解;48、使x +4y =|a |成立的x 、y 的值,满足(2x +y -1)2+|3y -x |=0,又|a |+a =0,求a 的值;49、代数式ax 2+bx +c 中,当x =1时的值是0,在x =2时的值是3,在x =3时的值是28,试求出这个代数式;50、要使下列三个方程组成的方程组有解,求常数a 的值。
初中数学七年级下册第八章二元一次方程组综合测试(2021-2022学年考试时间:90分钟,总分100分)班级:__________ 姓名:__________ 总分:__________一、单选题(10小题,每小题3分,共计30分)1、已知关于x、y的方程组262223x y kx y k+=-⎧⎨+=-⎩的解满足2x﹣y=2k,则k的值为()A.k74=B.k32=C.k47=D.k23=2、一艘缉毒艇去距90海里的地方执行任务,去时顺水用了3小时,任务完成后按原路返回,逆水用了3.6小时,求缉毒艇在静水中的速度及水流速度.设在静水中的速度为x海里/时,水流速度为y海里/时,则下列方程组中正确的是().A.33903.6 3.690x yx y+=⎧⎨+=⎩B.3 3.6903.6390x yy x+=⎧⎨+=⎩C.3()903()90x yx y+=⎧⎨-=⎩D.33903.6 3.690x yx y+=⎧⎨-=⎩3、下列方程组中,属于二元一次方程组的是()A.21x yy z+=⎧⎨-=-⎩B.2103xy x⎧-=⎨-=⎩C.2125x yy x-=⎧⎪⎨+=⎪⎩D.23xyy=⎧⎨=⎩4、己知33x ky k=⎧⎨=-⎩是关于x,y的二元一次方程227x y-=的解,则k的值是()A.3 B.3-C.2 D.2-5、如图,9个大小、形状完全相同的小长方形,组成了一个周长为46的大长方形ABCD,若设小长方形的长为x,宽为y,则可列方程为()A .()27,2746x y y x y =⎧⎨++=⎩B .27,746x y y x y =⎧⎨++=⎩C .()27,2746x y x x y =⎧⎨++=⎩D .72,746x y x x y =⎧⎨++=⎩6、下列方程组中,不是二元一次方程组的是( ).A .23031x y y x -=⎧⎨=+⎩ B .112x y z +=⎧⎨-=⎩C .22236x x x y x y ⎧+=-⎨+=⎩D .2536y x x =+⎧⎨=-⎩7、《九章算术》卷八方程第十题原文为:“今有甲、乙二人持钱不知其数.甲得乙半而钱五十,乙得甲太半而亦钱五十.问:甲、乙持钱各几何?”题目大意是:甲、乙两人各带了若干钱.如果甲得到乙所有钱的一半,那么甲共有钱50;如果乙得到甲所有钱的23,那么乙也共有钱50.问:甲,乙两人各带了多少钱?设甲,乙两人持钱的数量分别为x ,y ,则可列方程组为( )A .2502503x y x y +=⎧⎪⎨+=⎪⎩B .15022503x y y x ⎧+=⎪⎪⎨⎪+=⎪⎩C .15022503x y x y ⎧-=⎪⎪⎨⎪-=⎪⎩D .2502503x y x y -=⎧⎪⎨-=⎪⎩8、关于x ,y 的方程258m n m n x y +-++=是二元一次方程,则m 和n 的值是( )A .11m n =⎧⎨=-⎩B .11m n =-⎧⎨=⎩C .01m n =⎧⎨=⎩D .10m n =⎧⎨=⎩9、为确保信息安全,信息需加密传输,发送方由明文→密文(加密),接收方由密文→明文(解密).已知某加密规则为:明文a ,b ,c ,d 对应密文2+a b ,2b c +,23c d +,4d .例如,明文1,2,3,4对应密文5,7,18,16.当接收方收到密文14,9,23,28时,解密得到的明文是( ) A .6,4,1,7B .1,6,4,7C .4,6,1,7D .7,6,1,410、下列方程中,是关于x 的一元二次方程的是( ) A .x (x -2)=0B .x 2-1-y =0C .x 2+1=x 2-2xD .ax 2+c =0二、填空题(5小题,每小题4分,共计20分) 1、若|x ﹣y |+(y +1)2=0,则x +y =_____.2、若方程组51ax y x by +=⎧⎨+=-⎩的解为21x y =⎧⎨=⎩,则点P (a ,b )在第__象限.3、为确保信息安全,信息需加密传输,发送方由明文→密文(加密),接收方由密文→明文(解密),已知加密规则为:明文a ,b ,c ,d 对应密文2+a b ,2b c +,22c d +,4d .例如,明文1,2,3,4对应密文5,7,14,16.当接收方收到密文9,9,24,28时,则解密得到的明文为 __.4、方程组201020092008200820072006x y x y -=⎧⎨-=⎩的解为:__________.5、小明从邮局买了面值0.5元和0.8元的邮票共9枚,花了6.3元,小明买了两种邮票各多少枚?若设买了面值0.5元的邮票x 枚,0.8元的邮票y 枚,则根据题意可列出方程组为__________. 三、解答题(5小题,每小题10分,共计50分)1、甲、乙两同学同时解方程组31265mx y x ny -=⎧⎨+=-⎩①②,甲看错了方程①中的m ,得到的方程组的解为21x y =-⎧⎨=⎩,乙看错了方程②中的5-,得到的方程组的解为443x y =⎧⎪⎨=⎪⎩,求原方程组的正确解.2、解二元一次方程组:23303225x y x y +=⎧⎨+=⎩3、解下列方程组:(1)5476x y x y -=⎧⎨-=⎩(2)111522x y x y +-⎧-=-⎪⎨⎪+=⎩4、根据题意列方程组:小明从邮局买了面值50分和80分的邮票共9枚,花了6.3元.小明买了两种邮票各多少枚?5、解方程组:3221214x y x y +=⎧⎨-=⎩---------参考答案----------- 一、单选题 1、A 【解析】 【分析】根据262223x y kx y k +=-⎧⎨+=-⎩得出52x k =-,24y k =-,然后代入22x y k -=中即可求解.【详解】解:262223x y k x y k +=-⎧⎨+=-⎩①②,①+②得333x y +=,∴1x y +=③, ①﹣③得:52x k =-, ②﹣③得:24y k =-, ∵22x y k -=,∴2(52)(24)2k k k ---=, 解得:74k =. 故选:A . 【点睛】本题考查了解三元一次方程组,根据题意得出,x y 的代数式是解题的关键. 2、D 【解析】 【分析】根据等量关系“顺水时间×顺水速度=90、逆水时间×逆水速度=90”以及顺水、逆水速度与静水速度、水流速度的关系即可解答. 【详解】解:根据题意可得,顺水速度=x +y ,逆水速度=x -y ,()()3903.690x y x y ⎧+=⎪⎨-=⎪⎩,化简得33903.6 3.690x y x y +=⎧⎨-=⎩. 故选:D . 【点睛】考查主要考查了用二元一次方程组解决行程问题,掌握顺水路程及逆水路程的等量关系以及顺水速度=静水速度+水流速度、逆水速度=静水速度一水流速度是解答本题的关键. 3、C【解析】【分析】根据二元一次方程组的定义求解即可.二元一次方程组:由两个一次方程组成,并含有两个未知数的方程组叫做二元一次方程组.【详解】解:A、21x yy z+=⎧⎨-=-⎩中有3个未知数,不是二元一次方程组,不符合题意;B、2103xy x⎧-=⎨-=⎩未知数x的次数是2,不是二元一次方程组,不符合题意;C、2125x yy x-=⎧⎪⎨+=⎪⎩由两个一次方程组成,并含有两个未知数,故是二元一次方程组,符合题意;D、23xyy=⎧⎨=⎩中xy的次数是2,不是二元一次方程组,不符合题意.故选:C.【点睛】此题考查了二元一次方程组的定义,解题的关键是熟练掌握二元一次方程组的定义.二元一次方程组:由两个一次方程组成,并含有两个未知数的方程组叫做二元一次方程组.4、A【解析】【分析】将33x ky k=⎧⎨=-⎩代入关于x,y的二元一次方程2x-y=27得到关于k的方程,解这个方程即可得到k的值.【详解】解:将33x ky k=⎧⎨=-⎩代入关于x ,y 的二元一次方程2x -y =27得:2×3k -(-3k )=27. ∴k =3. 故选:A . 【点睛】本题主要考查了二元一次方程的解和解一元一次方程,将方程的解代入原方程是解题的关键. 5、A 【解析】 【分析】根据图形可知,大长方形的长=7个小长方形的宽=2小长方形的长,大长方形的宽=小长方形的长+小长方形的宽,由此即可列出方程. 【详解】解:设小长方形的长为x ,宽为y ,由题意得:()272746x yy x y =⎧⎨++=⎩ 或()272246x y x x y =⎧⎨++=⎩,故选A . 【点睛】本题主要考查了从实际问题中抽象出二元一次方程组,解题的关键在于能够正确理解题意和掌握长方形周长公式. 6、B 【解析】 【分析】依据二元一次方程组的定义求解即可.【详解】利用二元一次方程组的定义一一进行判断,A和D符合二元一次方程组的定义;方程组22236x x x yx y⎧+=-⎨+=⎩中,2223x x x y+=-可以整理为23x y=-所以C也符合;B中含有三个未知数不符合二元一次方程组的定义.故答案选B【点睛】本题主要考查的是二元一次方程组的定义,掌握二元一次方程组的定义是解题的关键.7、B【解析】【分析】设甲持钱x,乙持钱y,根据题意可得,甲的钱+乙的钱的一半=50,乙的钱+甲所有钱的23=50,据此列方程组可得.【详解】解:设甲持钱x,乙持钱y,根据题意,得:15022503x yy x⎧+=⎪⎪⎨⎪+=⎪⎩,故选:B.【点睛】本题考查了由实际问题抽象出二元一次方程组,解答本题的关键是读懂题意,设出未知数,找出合适的等量关系,列出方程组.8、C 【解析】 【分析】根据二元一次方程组的定义,得到关于m n ,的二元一次方程组,然后求解即可. 【详解】解:由题意可得:121m n m n +=⎧⎨-+=⎩,即11m n m n +=⎧⎨-=-⎩①②①+②得:20m =,解得0m = 将0m =代入①得,1n =故01m n =⎧⎨=⎩ 故选:C 【点睛】此题考查了二元一次方程组的定义以及加减消元法求解二元一次方程组,解题的关键是理解二元一次方程组的定义以及掌握二元一次方程组的求解方法. 9、A 【解析】 【分析】根据第四个密文列方程4d =28,解一元一次方程求出d ,再根据第三个密文,列二元一次方程把d 代入,求出第三个明文c ,根据第二个密文列二元一次方程,代入第三个明文c ,求出第二个明文b ,根据第一个密文列二元一次方程,代入第二个明文b ,求出第一个明文a 得到明文为a ,b ,c ,d 即可. 【详解】解:设明文为a ,b ,c ,d ,∵某加密规则为:明文a ,b ,c ,d 对应密文2+a b ,2b c +,23c d +,4d .根据密文14,9,23,28, 4d =28, 解得d =7,23c d +=23,把d =7代入23c d +=23得23723c +⨯= 解得1c =2b c +=9,把1c =代入2b c +=9得219b +=, 解得4b =a +2b =14,把4b =代入a +2b =14得a +2×4=14, 解得a =6,则得到的明文为6,4,1,7. 故选:A . 【点睛】此题考查了一元一次方程与二元一次方程的应用,弄清题意分步列出方程是解本题的关键. 10、A 【解析】 【分析】根据一元二次方程的定义,对选项逐个判断即可,一元二次方程是指化简后,只含有一个未知数并且未知数的次数为2的整式方程. 【详解】解:A、含有一个未知数,且未知数次数为2,为一元二次方程,符合题意;B、含有两个未知数,不是一元二次方程,不符合题意;C、210x+=,含有一个未知数,不是一元二次方程,不符合题意;D、当0a=时,不是一元二次方程,不符合题意;故选:A【点睛】此题考查了一元二次方程的定义,解题的关键是理解一元二次方程的概念.二、填空题1、﹣2【分析】根据绝对值的非负性列出方程组求出x、y的值,代入所求代数式计算即可.【详解】解:∵|x﹣y|+(y+1)2=0,∴=01=0x yy-⎧⎨+⎩,解得:11xy=-⎧⎨=-⎩,∴x+y=﹣2.故答案为:﹣2.【点睛】本题主要考查了绝对值的非负性,解二元一次方程组,利用绝对值的非负性列出方程组是解题的关键.2、四【分析】把21xy=⎧⎨=⎩代入所给方程组可得a,b的值,可得a,b的符号,进而可得所在象限.【详解】解:将21xy=⎧⎨=⎩代入方程组得:21521ab+=⎧⎨+=-⎩,解得:23ab=⎧⎨=-⎩,则P(2,﹣3)在第四象限.【点睛】查二元一次方程组的解及象限的相关知识.能够正确得到a,b的具体值是解决本题的关键.3、5,2,5,7【分析】设解密得到的明文为a,b,c,d,加密规则得出方程组,求出a,b,c,d的值即可.【详解】解:设明文为a,b,c,d,由题意得:2929 2224 428a bb cc dd+=⎧⎪+=⎪⎨+=⎪⎪=⎩,解得:5257abcd=⎧⎪=⎪⎨=⎪⎪=⎩,则得到的明文为5,2,5,7.故答案为:5,2,5,7.【点睛】本题考查了三元一次方程组的应用,找准等量关系,正确列出三元一次方程组是解题的关键.4、12 xy=-⎧⎨=-⎩【分析】先把原方程组中的两个方程相减,得方程③,再运用加减法解方程组即可.【详解】解:201020092008 200820072006x yx y-=⎧⎨-=⎩①②①-②,得2x-2y=2,即x-y=1③.③×2009,得2009x-2009y=2009④①-④,得x=-1.把x=-1代入③得y=-2.∴原方程组的解是12xy=-⎧⎨=-⎩.故答案为12xy=-⎧⎨=-⎩.【点睛】本题主要考查了二元一次方程组的求解,灵活运用加减法解方程组是求方程组解的关键.5、90.50.8 6.3x y x y +=⎧⎨+=⎩ 【分析】由题意可得等量关系①0.5元的邮票枚数+面值0.8元的邮票枚数=9枚;②0.5元的邮票价格+面值0.8元的邮票总价格=6.3元,由等量关系列出方程组即可.【详解】解:设买了面值0.5元的邮票x 枚,0.8元的邮票y 枚,由题意得90.50.8 6.3x y x y +=⎧⎨+=⎩, 故答案为:90.50.8 6.3x y x y +=⎧⎨+=⎩. 【点睛】此题主要考查了由实际问题抽象出二元一次方程组,关键是找到题目中的等量关系,列出方程组.三、解答题1、322x y ⎧=⎪⎨⎪=-⎩ 【分析】把21x y =-⎧⎨=⎩代入方程组第二个方程求出n 的值,把443x y =⎧⎪⎨=⎪⎩代入第一个方程求出m 的值,确定出原方程组,再求解即可.【详解】解:31265mx y x ny -=⎧⎨+=-⎩①②把21xy=-⎧⎨=⎩代②得:-12+n=-5,即n=7;把443xy=⎧⎪⎨=⎪⎩代入①得:4m-4=12,即m=4,故方程组为4312675x yx y-=⎧⎨+=-⎩③④,③×3-②×2得:-23y=46,即y=-2,把y=-2代入③得:x=32.则方程组的解为322xy⎧=⎪⎨⎪=-⎩.【点睛】本题考查的是二元一次方程的解,解答此题关键是将每一个解代入没有看错的方程中,分别求m、n的值,再解方程组即可.2、38 xy=⎧⎨=⎩【分析】根据加减消元法计算即可.【详解】解:2330 3225x yx y+=⎧⎨+=⎩①②①⨯2得4x+6y=60③②⨯3得9x+6y=75④④-③得5x=15x =3将x =3代入①中6+3y =30y =8∴原方程组的解为38x y =⎧⎨=⎩ 【点睛】本题主要考查解二元一次方程组,熟练掌握二元一次方程组的解法是解决本题的关键.3、(1)11x y =⎧⎨=⎩;(2)13x y =-⎧⎨=⎩ 【分析】(1)用加减消元法解二元一次方程组即可;(2)先化简方程组,再用加减消元解方程组即可.【详解】解:(1)5476x y x y -=⎧⎨-=⎩①②, ②-①得:22x =,解得1x =,把1x =代入①得:54y -=,解得:1y =,∴方程组的解为11x y =⎧⎨=⎩;(2)111522x yx y+-⎧-=-⎪⎨⎪+=⎩①②,由②可得y=2-x,把y=2-x代入①,可得x=-1,把x=-1代入y=2-x,可得y=3,∴方程组的解为13xy=-⎧⎨=⎩.【点睛】本题考查解二元一次方程组,熟练掌握代入法与消元法解方程组,并能准确计算是解题的关键.4、0.50.8 6.39x yx y+=⎧⎨+=⎩【分析】设小明买了面值50分的邮票x枚和面值80分的邮票y枚,然后根据小明从邮局买了面值50分和80分的邮票共9枚,花了6.3元列出方程即可.【详解】解:设小明买了面值50分的邮票x枚和面值80分的邮票y枚,由题意得:0.50.8 6.39x yx y+=⎧⎨+=⎩.【点睛】本题主要考查了从实际问题中抽象出二元一次方程组,解题的关键在于能够正确理解题意.5、70 xy=⎧⎨=⎩【分析】利用代入法求解.【详解】解:3221214x yx y+=⎧⎨-=⎩①②,由②得y=2x-14③,将③代入①,得3x+2(2x-14)=21,解得x=7,将x=7代入③,得y=0,∴方程组的解为7xy=⎧⎨=⎩.【点睛】此题考查了解二元一次方程组,掌握解二元一次方程组的解法:代入法和加减法,能根据每个方程的特点选择恰当的解法是解题的关键.。
期末复习(四) 二元一次方程组考点一二元一次方程(组)的解的概念【例1】已知2,1xy==⎧⎨⎩是二元一次方程组8,1mx nynx my+=-=⎧⎨⎩的解,则2m-n的算术平方根为( )A.4B.2D.±2【解析】把2,1xy==⎧⎨⎩代入方程组8,1mx nynx my+=-=⎧⎨⎩得28,2 1.m nn m+=-=⎧⎨⎩解得3,2.mn==⎧⎨⎩所以2m-n=4,4的算术平方根为2.故选B.【方法归纳】方程(组)的解一定满足原方程(组),所以将已知解代入含有字母的原方程(组),得到的等式一定成立,从而转化为一个关于所求字母的新方程(组),解这个方程(组)即可求得待求字母的值.1.若方程组,ax y bx by a+=-=⎧⎨⎩的解是1,1.xy==⎧⎨⎩求(a+b)2-(a-b)(a+b)的值.考点二二元一次方程组的解法【例2】解方程组:1 28. x yx y=++=⎧⎨⎩,①②【分析】可以直接把①代入②,消去未知数x,转化成一元一次方程求解.也可以由①变形为x-y=1,再用加减消元法求解.【解答】方法一:将①代入到②中,得2(y+1)+y=8.解得y=2.所以x=3.因此原方程组的解为3,2. xy==⎧⎨⎩方法二:1, 28. x yx y=++=⎧⎨⎩①②对①进行移项,得x-y=1.③②+③得3x=9.解得x=3.将x=3代入①中,得y=2.所以原方程组的解为3,2.x y ==⎧⎨⎩ 【方法归纳】二元一次方程组有两种解法,我们可以根据具体的情况来选择简便的解法.如果方程中有未知数的系数是1时,一般采用代入消元法;如果两个方程的相同未知数的系数相同或互为相反数时,一般采用加减消元法;如果方程组中的系数没有特殊规律,通常用加减消元法.2.方程组 25,7213x y x y +=--=⎧⎨⎩的解是__________.3.解方程组:3419,4.x y x y +=-=⎧⎨⎩①②考点三 由解的关系求方程组中字母的取值范围【例3】若关于x 、y 的二元一次方程组31,33x y a x y +=++=⎧⎨⎩①②的解满足x+y<2,则a 的取值范围为( ) A.a<4 B.a>4 C.a<-4 D.a>-4【分析】本题运用整体思想,把二元一次方程组中两个方程相加,得到x 、y 的关系,再根据x+y<2,求得本题答案;也可以按常规方法求出二元一次方程组的解,再由x+y<2求出a 的取值范围,但计算量大.【解答】由①+②,得4x+4y=4+a,x+y=1+4a ,由x+y<2,得1+4a <2,解得a<4.故选A. 【方法归纳】通过观察两个方程,运用整体思想解题,这是中考中常用的解题方法.4.已知x 、y 满足方程组25,24,x y x y +=+=⎧⎨⎩则x-y 的值为__________. 考点四 二元一次方程组的应用【例4】某中学拟组织九年级师生去黄山举行毕业联欢活动.下面是年级组长李老师和小芳、小明同学有关租车问题的对话:李老师:“平安客运公司有60座和45座两种型号的客车可供租用,60座客车每辆每天的租金比45座的贵200元.”小芳:“我们学校八年级师生昨天在这个客运公司租了4辆60座和2辆45座的客车到韶山参观,一天的租金共计5 000元.”小明:“我们九年级师生租用5辆60座和1辆45座的客车正好坐满.”根据以上对话,解答下列问题:(1)平安客运公司60座和45座的客车每辆每天的租金分别是多少元?(2)按小明提出的租车方案,九年级师生到该公司租车一天,共需租金多少元?【分析】(1)根据题目给出的条件得出的等量关系是60座客车每辆每天的租金-45座客车每辆每天的租金=200元,4辆60座一天的租金+2辆45座的一天的租金=5 000元;由此可列出方程组求解;(2)可根据“我们九年级师生租用5辆60座和1辆45座的客车正好坐满”以及(1)的结果来求出答案.【解答】(1)设平安公司60座和45座客车每辆每天的租金分别为x 元,y 元.由题意,得200,425000.x y x y -=+=⎧⎨⎩解得900,700.x y ==⎧⎨⎩ 答:平安客运公司60座和45座的客车每辆每天的租金分别为900元和700元.(2)5×900+1×700=5 200(元).答:九年级师生租车一天共需资金5 200元.【方法归纳】列方程解决实际问题的解题步骤是:1.审题:弄清已知量和未知量;2.列未知数,并根据相等关系列出符合题意的方程;3.解这个方程;4.验根并作答:检验方程的根是否符合题意,并写出完整的答.5.如图是一个正方体的展开图,标注了字母“a ”的面是正方体的正面.如果正方体相对两个面上的代数式的值相等,求x,y 的值.6.在某次亚运会中,志愿者们手上、脖子上的丝巾非常美丽.车间70名工人承接了制作丝巾的任务,已知每人每天平均生产手上的丝巾1 800条或者脖子的丝巾1 200条,一条脖子上的丝巾要配两条手上的丝巾.为了使每天生产的丝巾刚好配套,应分配多少名工人生产脖子上的丝巾,多少名工人生产手上的丝巾?复习测试一、选择题(每小题3分,共30分)1.下列方程组中,是二元一次方程组的是( )A.212x y y z +=-+=⎧⎨⎩B.53323x y y x -==+⎧⎨⎩C.512x y xy -==⎧⎨⎩D.2371x y x y -=+=⎧⎨⎩2.方程2x+y=9的正整数解有( )A.1组B.2组C.3组D.4组3.方程组32,3211x yx y-=+=⎧⎨⎩①②的最优解法是( )A.由①得y=3x-2,再代入②B.由②得3x=11-2y,再代入①C.由②-①,消去xD.由①×2+②,消去y4.已知21xy==⎧⎨⎩,是方程组4,ax byax by+=--=⎧⎨⎩的解,那么a,b的值分别为( )A.1,2B.1,-2C.-1,2D.-1,-25.A、B两地相距6 km,甲、乙两人从A、B两地同时出发,若同向而行,甲3 h可追上乙;若相向而行,1 h相遇,求甲、乙两人的速度各是多少?若设甲的速度为x km/h,乙的速度为y km/h,则得方程组为( )A.6336x yx y+=+=⎧⎨⎩B.636x yx y+=-=⎧⎨⎩C.6336x yx y-=+=⎧⎨⎩D.6 336 x yx y+=-=⎧⎨⎩6.足球比赛的记分为:胜一场得3分,平一场得1分,负一场得0分,一队打了14场比赛,负5场,共得19分,那么这个队胜了( )A.3场B.4场C.5场D.6场7.已知a、b满足方程组22,26,a ba b-=+=⎧⎨⎩则3a+b的值为( )A.8B.4C.-4D.-88.方程组24,31,7x yx zx y z+=+=++=⎧⎪⎨⎪⎩的解是( )A.221xyz===⎧⎪⎨⎪⎩B.211xyz===⎧⎪⎨⎪⎩C.281xyz⎧=-==⎪⎨⎪⎩D.222xyz===⎧⎪⎨⎪⎩9.某车间有90名工人,每人每天平均能生产螺栓15个或螺帽24个,已知一个螺栓配套两个螺帽,应该如何分配工人才能使生产的螺栓和螺帽刚好配套?则生产螺栓和生产螺帽的人数分别为( )A.50人,40人B.30人,60人C.40人,50人D.60人,30人10.甲、乙二人收入之比为4∶3,支出之比为8∶5,一年间两人各存5 000元(设两人剩余的钱都存入银行),则甲、乙两人年收入分别为( )A.15 000元,12 000元B.12 000元,15 000元C.15 000元,11 250元D.11 250元,15 000元二、填空题(每小题4分,共20分)11.已知a、b是有理数,观察下表中的运算,并在空格内填上相应的数.12.已知2,1xy==⎧⎨⎩是二元一次方程组7,1mx nynx my+=-=⎧⎨⎩的解,则m+3n的立方根为__________.13.孔明同学在解方程组,2y kx by x=+=-⎧⎨⎩的过程中,错把b看成了6,他其余的解题过程没有出错,解得此方程组的解为1,2,xy=-=⎧⎨⎩又已知3k+b=1,则b的正确值应该是__________.14.已知|x-8y|+2(4y-1)2+|8z-3x|=0,则x=__________,y=__________,z=__________.15.一个两位数的十位数字与个位数字的和为8,若把这个两位数加上18,正好等于将这个两位数的十位数字与个位数字对调后所组成的新两位数,则原来的两位数为__________.三、解答题(共50分)16.(10分)解方程组:(1)251x yx y+=-⎧=⎨⎩,①;②(2)1151.x y zy z xz x y+-=+-=+-⎪⎨=⎧⎪⎩,①,②③17.(8分)(2013·吉林)吉林人参是保健佳品.某特产商店销售甲、乙两种保鲜人参,甲种人参每棵100元,乙种人参每棵70元.王叔叔用1 200元在此特产商店购买这两种人参共15棵,求王叔叔购买每种人参的棵数.18.(9分)已知方程组53,54x yax y+=+=⎧⎨⎩与方程组25,51x yx by-=+=⎧⎨⎩有相同的解,求a,b的值.19.(11分)食品安全是关乎民生的问题,在食品中添加过量的添加剂对人体有害,但适量的添加剂对人体无害且有利于食品的储存和运输.某饮料加工厂生产的A、B两种饮料均需加入同种添加剂,A 饮料每瓶需加该添加剂2克,B饮料每瓶需加该添加剂3克,已知270克该添加剂恰好生产了A、B 两种饮料共100瓶,问A、B两种饮料各生产了多少瓶?20.(12分)某商场计划拨款9万元从厂家购进50台电冰箱,已知该厂家生产三种不同型号的电冰箱,出厂价分别为:甲种每台1 500元,乙种每台2 100元,丙种每台2 500元.(1)某商场同时购进其中两种不同型号电冰箱共50台,用去9万元,请你研究一下商场的进货方案;(2)该商场销售一台甲种电冰箱可获利150元,销售一台乙种电冰箱可获利200元,销售一台丙种电冰箱可获利250元,在同时购进两种不同型号的方案中,为使销售时获利最多,你选择哪种进货方案?参考答案变式练习1.把1,1xy==⎧⎨⎩代入方程组,ax y bx by a+=-=⎧⎨⎩,得1,1.a bb a+=-=⎧⎨⎩整理,得1,1.a ba b-=-+=⎧⎨⎩∴(a+b)2-(a-b)(a+b)=12-(-1)×1=2.2.13 xy==-⎧⎨⎩,3.由②,得x=4+y.③把③代入①,得3(4+y)+4y=19.解得y=1. 把y=1代入③,得x=4+1=5.∴原方程组的解为51. xy==⎧⎨⎩,4.15.根据题意,得25,5 1.x yx y-=-=+⎧⎨⎩解得3,1.xy==⎧⎨⎩6.设应分配x 名工人生产脖子上的丝巾,y 名工人生产手上的丝巾,由题意得70,120021800.x y x y +=⨯=⎧⎨⎩解得30,40.x y ==⎧⎨⎩答:应分配30名工人生产脖子上的丝巾,40名工人生产手上的丝巾.复习测试1.B2.D3.C4.D5.D6.C7.A8.C9.C 10.C11.6 12.2 13.-11 14.2 14 3415.35 16.(1)①+②,得3x=6.解得x=2.把x=2代入②,得y=1.所以原方程组的解为21.x y ==⎧⎨⎩, (2)①+②+③,得x+y+z=17.④④-①,得2z=6,即z=3.④-②,得2x=12,即x=6.④-③,得2y=16,即y=8.所以原方程组的解是683.x y z ⎧⎪=⎩==⎪⎨,,17.设王叔叔购买甲种人参x 棵,乙种人参y 棵.根据题意,得151********.x y x y +=+=⎧⎨⎩,解得510.x y =⎩=⎧⎨, 答:王叔叔购买甲种人参5棵,乙种人参10棵.18.解方程组53,25x y x y +=-=⎧⎨⎩,得1,2.x y ==-⎧⎨⎩将x=1,y=-2代入ax+5y=4,得a=14.将x=1,y=-2代入5x+by=1,得b=2.19.设A 饮料生产了x 瓶,B 饮料生产了y 瓶,依题意得100,23270.x y x y +=+=⎧⎨⎩解得30,70.x y ==⎧⎨⎩答:A 饮料生产了30瓶,B 饮料生产了70瓶.20.(1)①设购进甲种电冰箱x 台,购进乙种电冰箱y 台,根据题意,得50,1500210090000.x y x y +=+=⎧⎨⎩解得25,25.x y ==⎧⎨⎩故第一种进货方案是购甲、乙两种型号的电冰箱各25台.②设购进甲种电冰箱x 台,购进丙种电冰箱z 台,根据题意,得50,1500250090000.x z x z +=+=⎧⎨⎩解得35,15.x z ==⎧⎨⎩ 故第二种进货方案是购进甲种电冰箱35台,丙种电冰箱15台.③设购进乙种电冰箱y 台,购进丙种电冰箱z 台,根据题意,得50,2100250090000.y z y z +=+=⎧⎨⎩解得87.5,37.5.y z ==-⎧⎨⎩不合题意,舍去. 故此种方案不可行.(2)上述的第一种方案可获利:150×25+200×25=8 750(元),第二种方案可获利:150×35+250×15=9 000(元),因为8 750<9 000,故应选择第二种进货方案,即购进甲种电冰箱35台,乙种电冰箱15台.我爸爸告诉我,你现在翻的一页书都是将来要数的一张张钞票,所以不让你学习的人,就是在抢你的财富,不想要的都是傻子。
人教版七年级数学下册 第八章 二元一次方程组 单元综合测试卷含答案一、选择题(本大题共10小题,,共30分) 1.已知方程()()026281||2=++--+m n y n x m 是二元一次方程,则m+n 的值( )A.1B. 2C.-3D.32.用代入法解方程组⎩⎪⎨⎪⎧2y -3x =1,x =y -1,下面的变形正确的是( )A .2y -3y +3=1B .2y -3y -3=1C .2y -3y +1=1D .2y -3y -1=13.下列方程组,解为⎩⎨⎧-=-=21y x 是( ).A .⎩⎨⎧=+=-531y x y xB .⎩⎨⎧-=+=-531y x y x C .⎩⎨⎧=-=-133y x y x D .⎩⎨⎧=+-=-533y x y x4.已知x ,y 满足方程组45x m y m +=⎧⎨-=⎩,则x ,y 的关系式是( )A .x+y=1B .x+y=-1C .x+y=9D .x+y=9 5.根据图中提供的信息,可知一个杯子的价格是( )A .51元B .35元C .8元D .7.5元 6.已知21x y =⎧⎨=⎩是方程组51ax by bx ay +=⎧⎨+=⎩的解,则a b -的值是( ) A. -1 B. 2 C. 3 D. 47.在等式n mx x y ++=2中,当3.5,3;5,2=-=-===x y x y x 则时时时,=y ( )。
A.23 B.-13 C.-5 D.13 8.方程组⎩⎨⎧=-=-82352y x y x ,消去y 后得到的方程是( )A.01043=--x xB.8543=+-x xC.8)25(23=--x xD.81043=+-x x9.已知是方程组的解,则a+b+c 的值是( )A .3B .2C .1D .无法确定10.甲、乙两人练习跑步,如果乙先跑10米,则甲跑5秒就可追上乙;如果乙先跑2秒,则甲跑4秒就可追上乙,若设甲的速度为x 米/秒,乙的速度为y 米/秒,可列方程组正确的是( ) A .5510442x y x y y =+⎧⎨=+⎩ B .5510424x y x y y -=⎧⎨-=⎩ C .5+105442x y x y =⎧⎨-=⎩ D .5510424x y x y-=⎧⎨-=⎩二、填空题(本大题共6小题,每小题4分,共24分) 11.写出一个解为12x y =-⎧⎨=⎩的二元一次方程组__________.12.方程中,用含x 的式子表示y,则y=13.若2x 5a y b+4与-x 1-2by 2a 是同类项,则a+b=________.14.若12a b =⎧⎨=-⎩是关于a ,b 的二元一次方程ax+by -b=7的一个解,则代数式2x -4y+1•的值是_________.15.在△ABC 中,∠B -∠A =45°,∠A +∠B =135°.则∠C =____16.今年甲和乙的年龄和为24,6年后甲的年龄就是乙的年龄的2倍,则甲今年的年龄是 _________岁.三、解答题(本大题共6小题,,共66分) 17.解方程组(每题5分,共20分) (1)⎩⎨⎧=-=-22534y x y x(2)⎩⎨⎧-=+=-6321053y x y x人教版数学七下第八章 二元一次方程组 培优提升卷一.选择题(共10小题)1.下列各式中是二元一次方程的是( ) A .3x 2-2y=9B .2x+y=6C .1x +2=3yD .x-3=4y 22.下列各组数中,是方程2x+y=7的解的是( )A . ⎩⎨⎧x =-2y =3B .= =C . = =D . = =3.在方程组 = = 中,代入消元可得( )A .3y-1-y=7B .y-1-y=7C .3y-3=7D .3y-3-y=74.已知 = =是方程kx+2y=-2的解,则k 的值为( )74=-y xA .-3B .3C .5D .-55.已知 = = ,如果x 与y 互为相反数,那么( )A .k=0B .k =- 34C .k =- 32D .k =346.甲、乙、丙三种商品,若购买甲3件、乙2件、丙1件,共需130元钱,购甲1件、乙2件、丙3件共需210元钱,那么购甲、乙、丙三种商品各一件共需( ) A .105元B .95元C .85 元D .88元7.小亮解方程组 =● = 的解为 = = ,由于不小心滴上了两滴墨水,刚好遮住了两个数●和★,则这两个数分别为( ) A .4和6B .6和4C .2和8D .8和-28.某校九年级(1)班为了筹备演讲比赛,准备用200元钱购买日记本和钢笔两种奖品(两种都要买),其中日记本10元/本,钢笔15元/支,在钱全部用完的条件下,购买的方案共有( ) A .4种B .5种C .6种D .7种9.某加工厂有工人50名,生产某种一个螺栓套两个螺母的配套产品,每人每天平均生产螺栓14个或螺母20个,应分配多少人生产螺栓,多少人生产螺母,能使生产出的螺栓和螺母刚好配套?设应安排x 人生产螺栓,y 人生产螺母,则所列方程组为( ) A . = =B .= =C . = =D .==10.《九章算术》中有这样一个问题:“今有甲乙二人持钱不知其数,甲得乙半而钱五十,乙得甲太半而钱亦五十.问甲、乙持钱各几何?”题意为:今有甲乙二人,不知其钱包里有多少钱,若乙把其一半的钱给甲,则甲的钱数为50;而甲把其23的钱给乙,则乙的钱数也能为50,问甲、乙各有多少钱?设甲的钱数为x ,乙的钱数为y ,则列方程组为( )A .B .C .D .二.填空题(共5小题)11.已知方程(a-3)x |a-2|+3y=1是关于x 、y 的二元一次方程,则a= 12.关于x ,y 的二元一次方程x+2y=6的解是正整数,则x+y 的值为 . 13.已知方程组= = 和 = =的解相同,则2m-n= .14.数学学霸甲、乙两人在一次解方程组比赛中,甲求关于x 、y 的方程组 = = 的正确解与乙求关于x 、y 的方程组 = = 的正确的解相同,则a 2018+⎝⎛⎭⎫- 110b 2018的值为 .15.某商家今年3月份两次同时购进了甲、乙两种不同单价的糖果,第一次购买甲种糖果的数量比乙种糖果的数量多50%,第二次购买甲种糖果的数量比第一次购买甲种糖果的数量少60%,结果第二次购买糖果的总数量虽然比第一次购买糖果的总数量多20%,但第二次购买甲乙糖果的总费用却比第一次购买甲乙糖果的总费用费少10%.(甲,乙两种糖果的单价不变),则乙种糖果的单价是甲种糖果单价的 %.三.解答题(共8小题) 16.(1) = =(2)==(3)==(4)===17.已知==是二元一次方程2x+y=a的一个解.(1)a= ;(2)完成下表18.一个三位数,个位,百位上的数字的和等于十位上的数字,百位上的数字的7倍比个位,十位上的数字的和大2,个位,十位,百位上的数字的和是14,求这个三位数.19.某文具店一种练习本和一种水性笔的单价合计为3元,小红在该店买了20本练习本和10支水性笔,共花了36元,求练习本和水性笔的单价各为多少元?20.李宁准备完成题目;解二元一次方程组==,发现系数“□”印刷不清楚.(1)他把“□”猜成3,请你解二元一次方程组==;(2)张老师说:“你猜错了”,我看到该题标准答案的结果x、y是一对相反数,通过计算说明原题中“□”是几?21.古籍《算法统宗》里有这样一首诗:我问开店李三公,众客都来到店中,一房七客多七客,一房九客一房空.诗中后两句的译文为:如果每间客房住7人,那么有7人无房可住;如果每间客房都住9人,那么就空出一间房.则该店有客房几间,房客几人?请解答上述问题.22.随着中国传统节日“端午节”的临近,永旺超市决定开展“欢度端午,回馈顾客”的让利促销活动,对部分品牌粽子进行打折销售,其中甲品牌粽子打八折,乙品牌粽子打七五折.已知打折前,买1盒甲品牌粽子和2盒乙品牌粽子需230元;打折后,买50盒甲品牌粽子和40盒乙品牌粽子需要5200元.(1)打折前甲、乙两种品牌粽子每盒分别为多少元?(2)阳光敬老院需购买甲品牌粽子80盒,乙品牌粽子100盒,问打折后购买这批粽子比不打折节省了多少钱?23.随着“低碳生活,绿色出行”理念的普及,新能源汽车正逐渐成为人们喜爱的交通工具.某汽车销售公司计划购进一批新能源汽车尝试进行销售,据了解2辆A型汽车、3辆B型汽车的进价共计80万元;3辆A型汽车、2辆B型汽车的进价共计95万元(1)求A、B两种型号的汽车每辆进价分别为多少万元?(2)若该公司计划正好用200万元购进以上两种型号的新能源汽车(两种型号的汽车均购买),请你帮助该公司设计购买方案;(3)若该汽车销售公司销售1辆A型汽车可获利8000元,销售1辆B型汽车可获利5000元,在(2)中的购买方案中,假如这些新能源汽车全部售出,哪种方案获利最大?最大利润是多少元?答案:1.B2.C3.D4.B5.C6.C7.D8.C9.B10.A11.112.4或513.514.215.5016.解:(1)=①=②,②-①,得5y=5,解得,y=1,把y=1代入①,得x-2=1,解得,x=3,∴==;(2)=①=②,把①代入②,得4x+3(2x+5)=5,解得,x=-1,把x=-1代入①,得y=-2+5=3, ∴ = =;(3)= ①= ②,化简①,得4x-3y=2③, ②×2,得4x+2y=52④, ④-③,得5y=50, 解得,y=10,把y=10代入②,得2x+10=26, 解得,x=8, ∴ = =;(4) = ①= ② = ③,③×3+②,得6a+7b=16④, ①×7+④,得,20a=100, 解得,a=5,把a=5代入①,得10-b=12, 解得,b=-2,把a=5,b=-2代入③,得5-4-3c=0, 解得,c=13, ∴ == = .17.解:(1)将 = =代入2x+y=a ,得:a=4, 故答案为:4;(2)完成表格如下:18.解:这个三位数个位上的数字为x ,十位上的数字为y ,百位上的数字为z . ⎩⎪⎨⎪⎧x +z =y ①7z =x +y +2x +y +z =14③② 把①代入③得y=7,把y=7代入①得x+z=7④,代入②得7z=x+9⑤④+⑤得z=2,∴x=5,∴这个三位数为2×100+7×10+5=275.答:这个三位数是275.19.解:设练习本单价为x 元人教版七年级下册数学第八章二元一次方程组复习测试题一、选择题1.下列方程中,是二元一次方程的是( )A. 43xy -=1 B. x +y =6 C. 3x +1=2xy D.2.方程■x -2y =x +5是二元一次方程,■是被弄污的x 的系数,请你推断■的值属于下列情况中的( )A. 不可能是-1B. 不可能是-2C. 不可能是1D. 不可能是23.若5x3m-2n-2y n-m+11=0是二元一次方程,则()A. m=1,n=2B. m=2,n=1C. m=-1,n=2D. m=3,n=44.关于x,y的方程组的解互为相反数,则k的值是()A. 8B. 9C. 10D. 115.若方程组的解x与y的和为3,则a的值为()A. 7B. 4C. 0D. -46.已知方程组的解是()A. B. C. D.7.为了丰富学生课外小组活动,培养学生动手操作能力,王老师让学生把5m长的彩绳截成2m或1m的彩绳,用来做手工编织,在不造成浪费的前提下,你有几种不同的截法()A. 1B. 2C. 3D. 48.某气象台发现:在某段时间里,如果早晨下雨,那么晚上是晴天;如果晚上下雨,那么早晨是晴天,已知这段时间有9天下了雨,并且有6天晚上是晴天,7天早晨是晴天,则这一段时间有()A. 9天B. 11天C. 13天D. 22天9.某班学生参加运土劳动,一部分学生抬土,另一部分学生挑土,已知全班共用箩筐99个,扁担66根,求抬土、挑土的学生各有多少人?如果设抬土的同学x人,挑土的同学y人,则可得方程组()A. B.C. D.10.下列运用等式性质正确的是()A. 如果a=b,那么a+c=b-cB. 如果a=b,那么a b c c=C. 如果a bc c=,那么a=b D. 如果a=3,那么a2=3a211.已知方程组中x,y的互为相反数,则m的值为()A. 2B. -2C. 0D. 4二、填空题1.有下列等式:①由a=b,得5-2a=5-2b;②由a=b,得ac=bc;③由a=b,得;④由,得3a=2b;⑤由a2=b2,得a=b.其中正确的是______.3.小华从家里到学校的路是一段平路和一段下坡路,假设他始终保持平路每分钟走60米,下坡路每分钟走80米,上坡路每分钟走40米,从家里到学校需10分钟,从学校到家里需15分钟.从小华家到学校的下坡路长______ 米.4.二元一次方程4x+y=11的所有自然数解是______ .5.若方程组的解是正数,且x不大于y,则a的取值范围是______ .6.已知,则x与y的关系式为______ .三、计算题1..2.解方程组:.3.已知关于x,y的二元一次方程组的解适合方程x+y=6,求n的值.4.某商场计划从一厂家购进若干部新型手机以满足市场需求.已知该厂家生产三种不同型号的手机,出厂价分别是甲种型号手机1800元/部,乙种型号手机600元/部,丙种型号手机1200元/部.商场在经销中,甲种型号手机可赚200元/部,乙种型号手机可赚100元/部,丙种型号手机可赚120元/部.(1)若商场用6万元同时购进两种不同型号的手机共40部,并恰好将钱用完,请你通过计算分析进货方案;(2)在(1)的条件下,求盈利最多的进货方案.5.观察下列方程组,解答问题:①;②;③;…(1)在以上3个方程组的解中,你发现x与y有什么数量关系?(不必说理)(2)请你构造第④个方程组,使其满足上述方程组的结构特征,并验证(1)中的结论.6.某花店准备购进甲、乙两种花卉,若购进甲种花卉20盆,乙种花卉50盆,需要720元;若购进甲种花卉40盆,乙种花卉30盆,需要880元.(1)求购进甲、乙两种花卉,每盆各需多少元?(2)该花店销售甲种花卉每盆可获利6元,销售乙种花卉每盆可获利1元,现该花店准备拿出800元全部用来购进这两种花卉,设购进甲种花卉x盆,全部销售后获得的利润为W 元,求W与x之间的函数关系式;(3)在(2)的条件下,考虑到顾客需求,要求购进乙种花卉的数量不少于甲种花卉数量的6倍,且不超过甲种花卉数量的8倍,那么该花店共有几种购进方案?在所有的购进方案中,哪种方案获利最大?最大利润是多少元?一、选择题。
第八章 二元一次方程1.1.练习题1一 选择题1.下列方程中,是二元一次方程的是( ) A .3x -2y =4z B .6xy +9=0 C.1x +4y =6 D .4x =y -24 2.下列方程组中,是二元一次方程组的是( ) A.⎩⎨⎧x +y =42x +3y =7 B.⎩⎨⎧2a -3b =115b -4c =6C.⎩⎨⎧x 2=9y =2x D.⎩⎨⎧x +y =8x 2-y =43.在方程(k -2)x 2+(2-3k)x +(k +1)y +3k =0中,若此方程为关于x ,y 的二元一次方程,则k 值为( )A .-2B .2或-2C .2D .以上答案都不对4.二元一次方程x -2y =1有无数多个解,下列四组值中不是该方程的解的是( )A.⎩⎨⎧x =0y =-12 B.⎩⎨⎧x =1y =1C.⎩⎨⎧x =1y =0D.⎩⎨⎧x =-1y =-1 5.二元一次方程组⎩⎨⎧x +y =5,2x -y =4的解为( )A.⎩⎨⎧x =1y =4B.⎩⎨⎧x =2y =3C.⎩⎨⎧x =3y =2D.⎩⎨⎧x =4y =16.已知是二元一次方程组的解,则2m n -的算术平方根为( )A .2±B.C .2D .421x y =⎧⎨=⎩81mx ny nx my +=⎧⎨-=⎩7.若2425y x a b -与352x y a b +是同类项,则x 、y 的值为( ) A .21x y =⎧⎨=⎩ B .31x y =⎧⎨=⎩C .12x y =⎧⎨=⎩D .21x y =⎧⎨=-⎩8.已知关于x ,y 的方程组,给出下列结论:①是方程组的一个解;②当2a =时,x ,y 的值互为相反数;③当时,方程组的解也是方程的解;④x ,y 间的数量关系是.其中正确的是( )A .②③B .①②③C .①③D .①③④9.二元一次方程组的解是( )A .B .C .D .10.解方程组,由①②得正确的方程是( )A .B .C .D . 二 填空题11.写出一个未知数为a ,b 的二元一次方程组: . 12.已知方程x m -3+y 2-n =6是二元一次方程,则m -n = . 13.已知,则xy = .14.根据下图给出的信息,则每件T 恤价格和每瓶矿泉水的价格分别为 .15.小亮解方程组2212x y x y +=⎧⎨-=⎩•的解为5x y =⎧⎨=⎩,由于不小心,滴上了两滴墨水,刚好遮住了两个数•和▲,请你帮他找回▲这个数,▲=.343x y a x y a +=-⎧⎨-=⎩51x y =⎧⎨=-⎩1a =23x y -=4x y a +=-320x y x y -=-⎧⎨+=⎩12x y =-⎧⎨=⎩12x y =⎧⎨=-⎩12x y =-⎧⎨=-⎩21x y =-⎧⎨=⎩5210x y x y +=⎧⎨+=⎩①②-310x =5x -=-35x =-5x =-2(4)|2|0x y x y +-+--=三 解答题16.解下列二元一次方程组(1)33814x y x y -=⎧⎨-=⎩(2)254x y x y +=⎧⎨-=⎩(3) (4)73100202x y y x +=⎧⎨=-⎩17..已知关于,x y 的方程组122x m y y x -⎧+=⎨=⎩①② .(1)若用代入法求解,可由①得x = ③,把③代入②,解得y = ,将其代入③,解得x = ,∴原方程组的解为 ;(2)若此方程组的解,x y 互为相反数,求这个方程组的解及m 的值.18.方程()()()224268k x k x k y k -+++-=+是关于x ,y 的方程,试问当k 为何值时.(1)方程为一元一次方程;(2)方程为二元一次方程.4518549x y x y +=⎧⎨+=⎩19.若,求x+y+z的值.20.根据题意设未知数,列出方程组:(1)明明到邮局买0.8元与2元的邮票共13枚,共花去20元钱,问明明两种邮票各买了多少枚?(2)将若干只鸡放入若干笼中,若每个笼中放4只,则有一鸡无笼可放;若每个笼中放5只,则恰有一笼无鸡可放,问有多少只鸡,多少个笼?第八章 二元一次方程练习题1 参考答案与解析一、选择题1.D2.A3.C4.B5.C6.D7.D8.C9.A 10.B二、填空题11.3,2a b a b +=⎧⎨-=⎩(答案不唯一) 12.3 13.3 14.20元 2元 15.-2三、解答题16.解:(1)2,1.x y =⎧⎨=-⎩(2)3,1.x y =⎧⎨=-⎩(3)3,6.x y =-⎧⎨=⎩(4)40,60.x y =⎧⎨=-⎩17.解:(1)1-2y 144m - 122m + 1,22144m x m y ⎧=+⎪⎪⎨⎪=-⎪⎩(2)∵此方程组的解,x y 互为相反数,∴ 122m ++144m-=0,解得m=-3,则方程组的解为1,1.x y =-⎧⎨=⎩18.解:若方程为一次方程,则k ²-4=0,∴k=±2.当k=2时,原方程可化为4x-4y=10,是关于x ,y 的二元一次方程,不符合题意,舍去;当k=-2时,原方程可化为-8y=6,是关于y 的一元一次方程. (1)当k=-2时,原方程是一元一次方程. (2)当k=2时,原方程是二元一次方程.19.解∵,∴x+3y-2z-3=0,x-3y+7z-3=0,将z 当作已知,可解得x=-2.5z+3,y=1.5z ,∴x+y+z=3.20.解:(1)设0.8元与2元的邮票各x 枚,y 枚.由题意,列方程组13,0.8220.x y x y +=⎧⎨+=⎩(2)设有x 只鸡,y 个笼.由题意,列方程组41,5(1).x y x y =+⎧⎨=-⎩1.2.练习题2一选择题1.以为解的二元一次方程组是( )A.B. C. D.2.下列各组数值是二元一次方程x﹣3y=4的解的是( )A. B. C. D .3.已知,用含x的代数式表示y正确的是()A. B. C.D.4.方程5x+2y=﹣9与下列方程构成的方程组的解为的是()A.x+2y=1 B.3x+2y=﹣8 C.5x+4y=﹣3 D.3x﹣4y=﹣85.按如图的运算程序,能使输出结果为3的x,y的值是()A.x=5,y=﹣2 B.x=3,y=﹣3 C.x=﹣4,y=2 D.x=﹣3,y=﹣96.有一个两位数,十位上的数字与个位上的数字之和为7,且个位上的数不为0,这样的两位数有( )A.8个B.7个C.6个D.5个7.若43m a b 与223n m n a b ++-的和为0,则3n m +的值是( )A.9B.8C.6D.4 8.方程的正整数解有( )A.1组B.2组C.3组D.无 9.已知a ,b 满足方程组,则a+b 的值为( )A.﹣4B.4C.﹣2D.210.二元一次方程2x+5y=32的正整数解有( )A .3组B .4组C .5组D .6组11.某鞋店有甲、乙两款鞋各30双,甲鞋一双200元,乙鞋一双50元.该店促销的方式:买一双甲鞋,送一双乙鞋;只买乙鞋没有任何优惠.若打烊后得知,此两款鞋共卖得1800元,还剩甲鞋x 双,乙鞋y 双,则依题意可列出下列哪一个方程式?( )A.200(30﹣x)+50(30﹣y)=1800B.200(30﹣x)+50(30﹣x ﹣y)=1800C.200(30﹣x)+50(60﹣x ﹣y)=1800D.200(30﹣x)+50=1800 12.若|3a +b +5|+|2a -2b -2|=0,则2a 2-3ab 的值是( ) A.14 B.2 C.-2 D.-4二 填空题13.2元的人民币x 张,5元的人民币y 张,共120元,这个关系用方程可以表示为 .14.若x 3m-3-2y n-1=5是二元一次方程,则m= ,n= . 15.若是关于x ,y 的二元一次方程组,则.16.如果2x 2a-b-1-3y 3a+2b-16=10是一个二元一次方程,那么数a= ,b= .17.已知关于x ,y 的方程(k 2-1)x 2+(k+1)x+2ky=k+3,当k= 时,它为一元一次方程;当k= 时,它为二元一次方程. 18.已知,则用x 的代数式表示y 为 .19.已知是二元一次方程组的解,则m +3n 的值为 .20.若2,1x y =⎧⎨=⎩是方程()212,1x m y nx y +-=⎧⎪⎨+=⎪⎩的解,则(m +n )2018的值是__________.三 计算题21.某市2007年秋季开始,减免学生在义务教育阶段的学杂费,并按照每学期小学每生250元,初中每生450元的标准,由财政拨付学校作为办公经费,该市一学校小学生和初中生共有840人,2007年秋季收到当学期该项拨款290000元,该学校小学生和初中生各有多少人?22.某商场正在热销2008年北京奥运会吉祥物“福娃”玩具和徽章两种奥运商品,根据下图提供的信息,求一盒“福娃”玩具和一枚徽章的价格各是多少元?23.课本中介绍我国古代数学名著《孙子算经》上有这样一道题:今有鸡兔同笼,上有三十五头,下有九十四足,问鸡兔各几只?如果假设鸡有x只,兔有y只,请你列出关于x,y的二元一次方程组,并写出你求解这个方程组的方法.24.手牵着手,心连着心.2008年5月12日发生在四川汶川的特大地震灾害,牵动着全中国人民的心.某校团支部发出为灾区捐款的倡议后,全校师生奉献爱心,踊跃捐款,已知全校师生共捐款 4万5千元,其中学生捐款数比老师捐款数的2倍少9千元,该校老师和学生各捐款多少元?第八章二元一次方程练习题2 参考答案与解析一、选择题1.D2.A3.C4.D5.D6.C7.B8.A9.B 10.A 11.D 12.D二、填空题13.2x+5y=120 14.432 15.5216.3 4 17.-1 118.x+3y=14 19.3 20.1三、解答题21.解:该学校小学生有x人,初中生有y人.由题意得840,250450290000,x yx y+=⎧⎨+=⎩解得440,400.xy=⎧⎨=⎩答:该学校小学生有440人,初中生有400人.22.解:设一盒“福娃”玩具的价格是x元,一枚徽章的价格是y元.由题意得2145,23280,x yx y+=⎧⎨+=⎩解得125,10.xy=⎧⎨=⎩答:一盒“福娃”玩具的价格是125元,一枚徽章的价格是10元.23.解:由题意得35,2494,x yx y+=⎧⎨+=⎩①②由①得y=35-x③,将③代入②,得2x+4(35-x)=94,解得x=23④,将④代入③,得y=12,则原方程组的解为23,12. xy=⎧⎨=⎩答:鸡有23只,兔有12只.24.解:设该校老师捐款x元,学生捐款y元.由题意得45000,29000,x yx y+=⎧⎨=-⎩解得27000,18000.xy=⎧⎨=⎩答:该校老师捐款27000元,学生捐款18000元.1.3.练习题3一选择题1.由加减法解方程时,最简捷的方法是()A.①×4﹣②×3,消去xB.①×4+②×3,消去xC.②×2+①,消去yD.②×2﹣①,消去y2.用加减消元法解方程组时,有下列四种变形,其中正确的是()A. B. C. D.3.已知与-9x7-m y1+n的和是单项式,则m,n的值分别是().A.m=-1,n=-7B.m=3,n=1C.m=,n=D.m=,n=-24.若|x﹣2y﹣1|+|2x﹣y﹣5|=0,则x+y的值为()A.4B.5C.6 D .75.关于x,y的方程组,其中y值被盖住了,不过仍能求出p,则p值是( )A.-B.C.-D.6.一个两位数,个位数字与十位数字的和是9,如果个位数字与十位数字对调后所得的两位数比原来的两位数大9,那么原来这个两位数是()A.54B.27C.72D.457.若关于x.y的方程组的解都是正整数,那么整数a的值有()A.1个B.2个C.3个 D.4个8.若方程组的解是,则方程组的解为()A. B. C. D.二填空题9.已知(2x+3y﹣4)2+|x+3y﹣7|=0,则x=______,y=______.10.在解方程组时,小明把c看错了得而他看后面的正确答案是则a=__ ,b= ,c= .11.若,则.12.已知关于x,y的二元一次方程组的解互为相反数,则k的值是.13.已知方程组与有相同的解,则m2﹣2mn+n2= .14.定义运算“⊙”:规定x⊙y=ax+by(其中a,b为常数),若1⊙1=3,1⊙(-1)=1,则1⊙2=.15.已知方程组的解是,老师让同学们解方程组,小聪先觉得这道题好象条件不够,后将方程组中的两个方程两边同除以5,整理得,运用换元思想,得,所以方程组的解为.现给出方程组的解是,请你写出方程组的解.三计算题16.解方程组:(1);(2);(3);(4);(5);(6).17.解方程组:,试求7y(x﹣3y)2﹣2(3y﹣x)3的值.18.已知关于x,y的方程组的解相同,求a,b 的值.19.在解方程组时,由于粗心,甲看错了方程组中的a,而得解为.乙看错了方程组中的b,而得解为.(1)甲把a看成了什么?乙把b看成了什么?(2)求出原方程组的正确解.第八章 二元一次方程练习题3 参考答案与解析一、选择题1.D2.B3.B4.A5.A6.D7.B8.C 二、填空题9.-3103 10.45 -2 11.2013 12.-1 13.144 14.4 15.10,9x y =⎧⎨=⎩三、解答题16.解:(1)0.5,5x y =⎧⎨=⎩ (2)2,3x y =⎧⎨=⎩ (3)3,2x y =-⎧⎨=-⎩(4)4,0x y =⎧⎨=⎩ (5)2,1x y =⎧⎨=⎩ (6)28,30x y =⎧⎨=⎩17.解:解方程组得2,1,x y =-⎧⎨=-⎩ ∴原式=-7×(-2+3)²-2(-3+2)³=-5.18.解:由题意得1,3,x y x y +=⎧⎨-=⎩解得2,1.x y =⎧⎨=-⎩将2,1.x y =⎧⎨=-⎩分别代入24,(1)3,ax by bx a y +=⎧⎨+-=⎩得224,213,a b b a -=⎧⎨-+=⎩解得6,4.a b =⎧⎨=⎩∴a=6,b=4.19.解:(1)由题意得3'515,204'2,a b --=⎧⎨-=-⎩解得20',311',2a b ⎧=-⎪⎪⎨⎪=⎪⎩即甲把a 看成了203-,乙把b 看成了112. (2)由题意得122,52015,b a -+=-⎧⎨+=⎩解得1,10,a b =-⎧⎨=⎩∴原方程组为515,4102,x y x y -+=⎧⎨-=-⎩解得14,5.8.x y =⎧⎨=⎩1.4.练习题4一 选择题1.7年前,母亲的年龄是儿子的5倍;5年后,母亲的年龄是儿子的2倍.求母子现在的年龄.设母亲现年x 岁,儿子现年y 岁,列出的二元一次方程组是( )A. {x +5=2(y +5)x −7=5(y −7)B. {x +5=6(x +5)x −7=2(y −7)C. {y +5=2(x +5)y −7=5(x −7)D. {y −7=2(x −7)y +5=5(x +5)2.某服装店用6000元购进A 、B 两种新款服装,按标价售出后获得毛利润3800元(毛利润=售价﹣进价),这两种服装的进价,标价如表所示:则这两种服装共购进( )A. 60件B. 70件C. 80件D. 100件3.我国古代《算法统宗》里有这样一首诗:“我问开店李三公,众客都来到店中,一房七客多七客,一房九客一房空.”诗中后两句的意思是:如果每一间客房住7人,那么有7人无房住;如果每一间客房住9人,那么就空出一间客房.设该店有客房x 间、房客y 人,下列方程组中正确的是( ) A. ()77{91x y x y +=-= B. ()77{9+1x y x y +==C. ()77{ 91x y x y-=-= D. ()77{ 9+1x y x y-==4.已知甲、乙两数之和是42,甲数的3倍等于乙数的4倍,求甲、乙两数.若设甲数为x ,乙数为y ,由题意得方程组( ) A. 42{43x y x y +== B. 42{ 34x y x y+==C. 42{ 1134x yx y-== D. 42{43y xx y +== 5.某班学生参加运土劳动,一部分学生抬土(两人抬一箩筐),另一部分学生挑土(一人挑两箩筐).已知全班共用箩筐59个,扁担36根,求抬土、挑土的学生各多少人?如果设抬土的学生x 人,挑土的学生y 人,则可得方程组( )A.2592{362yxxy⎛⎫+=⎪⎝⎭+=B.2592{362xyxy+=+=C.259{2236xyx y+=+=D.259{236x yx y+=+=6.为清理积压的库存,商场决定打折销售.已知甲、乙两种服装的原单价共为440元,现将甲服装打八折,乙服装打七五折,结果两种服装的单价共为342元,则甲、乙两种服装的原单价分别是( )A. 200元,240元B. 240元,200元C. 280元,160元D. 160元,280元7.已知∠A和∠B互余,∠A比∠B大10°,设∠A、∠B的度数分别为x°、y°,下列方程组符合题意的是( )A.90{10x yx y+==+B.90{10x yx y+==-C.180{10x yx y+==-D.180{10x yx y+==+8.观察方程组323,2411,751x y zx y zx y z-+=+-=+-=⎧⎪⎨⎪⎩的系数特点,若要使求解简便,消元的方法应选取( )A.先消去xB.先消去yC.先消去zD.以上说法都不对9.三元一次方程组1,0,1x yx zy z+=-+=+=⎧⎪⎨⎪⎩的解是( )A.11xyz⎧=-==⎪⎨⎪⎩B.11xyz===-⎧⎪⎨⎪⎩C.11xyz===-⎧⎪⎨⎪⎩D.11xyz⎧=-==⎪⎨⎪⎩10.将三元一次方程组540,3411,2x y z x y z x y z ++=+-=++=-⎧⎪⎨⎪⎩①②③经过步骤①-③和③×4+②消去未知数z 后,得到的二元一次方程组是( )A.432753x y x y +=+=⎧⎨⎩B.432231711x y x y +=+=⎧⎨⎩C.342753x y x y +=+=⎧⎨⎩D.342231711x y x y +=+=⎧⎨⎩ 二 填空题11.有这样一个故事:一只驴子和一只骡子驮着不同袋数的货物一同走,每袋货物都是一样重,驴子抱怨负担太重,骡子说:“你抱怨干吗?如果你给我一袋,那么我所负担的就是你的两倍;如果我给你一袋,那么我们才恰好驮的一样多!”驴子原来所驮货物为________袋.12.一个两位数,个位数字与十位数字之和为8,个位数字与十位数字互换后所成的新两位数比原两位数小18,则原两位数是_________13.如图,8个相同的长方形地砖拼成一个大长方形,则每块小长方形地砖的面积是 .14.已知A 、B 两个码头相距140千米,一艘轮船在其间航行,顺流用了7小时,逆流用了10小时,那么这艘船在静水中的速度和水流速度分别为_______千米/时、_______千米/时.15.一个三位数,个位、百位上的数字的和等于十位上的数字,百位上的数字的7倍比个位、十位上的数字的和大2,个位、十位、百位上的数字的和是14,则这个三位数是__________. 三 解答题 16.解方程组:(1)20,320,767100.x y z x y z x y z -+=+-=++=⎧⎪⎨⎪⎩①②③ (2)30,222,3.x z x y z x y z +-=-+=--=⎧⎪⎪⎩-⎨①②③17.若|x+2y-5|+(2y+3z-13)2+(3z+x-10)2=0,试求x ,y ,z 的值.18.已知方程组35223x y ax y a+=++=⎧⎨⎩,的解适合x+y=8,求a的值.19.水果市场将120吨水果运往各地商家,现有甲、乙、丙三种车型供选择,每(1)若全部水果都用甲、乙两种车型来运送,需运费8200元,问分别需甲、乙两种车型各几辆?(2)为了节约运费,市场可以调用甲、乙、丙三种车型参与运送(每种车型至少1辆),已知它们的总辆数为16辆,你能通过列方程组的方法分别求出几种车型的辆数吗?20.某工厂接受了20天内生产1200台GH型电子产品的总任务.已知每台GH型产品由4个G型装置和3个H型装置配套组成.工厂现有80名工人,每个工人每天能加工6个G型装置或3个H型装置.工厂将所有工人分成两组同时开始加工,每组分别加工一种装置,并要求每天加工的G、H型装置数量正好全部配套组成GH型产品.(1)按照这样的生产方式,工厂每天能配套组成多少套GH型电子产品?请列出二元一次方程组解答此问题;(2)为了在规定期限内完成总任务,工厂决定补充一些新工人,这些新工人只能独立进行G型装置的加工,且每人每天只能加工4个G型装置.①设原来每天安排x名工人生产G型装置,后来补充m名新工人,求x的值(用含m的代数式表示);②请问至少需要补充多少名新工人才能在规定期内完成总任务?-21.为了迎接河北省中小学生健康体质测试,某学校开展“健康校园,阳光跳绳”活动,为此学校准备购置A,B,C三种跳绳.已知某厂家的跳绳的规格与价格如下表:A绳子 B绳子 C绳子长度(米)86 4单价(元/条)128 6(1)已知购买A,B两种绳子共20条花了180元,问A,B两种绳子各购买了多少条?(2)若该厂家有一根长200米的绳子,现将其裁成A,C两种绳子销售总价为240元,则剩余的绳子长度最多可加工几条B种绳子?第八章二元一次方程练习题4 参考答案与解析一、选择题1.A2.C3.A4.B5.B6.B7.A8.B9.D 10.A二、填空题11.5 12.53 13.300cm² 14.17 3 15.275三、解答题16.解:(1)3,5,7.xyz=⎧⎪=⎨⎪=⎩(2)2,4,1.xyz=⎧⎪=⎨⎪=⎩17.解:∵|x+2y-5|+(2y+3z-13)2+(3z+x-10)2=0,,∴250,23130,3100,x yy zz x+-=⎧⎪+-=⎨⎪+-=⎩解得1,2,3.xyz=⎧⎪=⎨⎪=⎩∴x=1,y=2,z=3.18.解:由题意得35223x+y=8x y ax y a+=++=⎧⎪⎨⎪⎩①,②,③,①-②得x+2y=2④,④-③得y=-6⑤,将⑤代入③得x=14⑥,将⑤和⑥代入②得a=10.19.解:(1)设需甲种车型x辆,需乙种车型y辆.由题意得581204005008200x yx y+=+=⎧⎨⎩,,解得8,10.xy=⎧⎨=⎩答:需甲种车型8辆,需乙种车型10辆.(2)设需甲种车型m辆,需乙种车型n辆,需丙种车型(16-m-n)辆.由题意得5m+8n+10(16-m-n)=120,则m=4025n-.∵m,n都是正整数,∴当n=5时,m=6;当n=10时,m=4;当n=15时,m=2.∵(16-m-n)是正整数,∴有2种情况:需甲种车型6辆,需乙种车型5辆,需丙种车型5辆,总运费7900元,节约300元;需甲种车型4辆,需乙种车型10辆,需丙种车型2辆,总运费7800元,节约400元.20.解:(1)设每天安排a名工人生产G型装置,b名工人生产H型装置.由题意得806:34:3a ba b+==⎧⎨⎩,,解得3248ab==⎧⎨⎩,,则33b=b=48(套).答:工厂每天能配套组成48套GH型电子产品.(2)①设原来每天安排x名工人生产G型装置,(80-x)名工人生产H型装置,后来补充m名新工人生产G型装置.由题意(6x+4m):3(80-x)=4:3,解得x=32-25m.②由题意得()3803x-=80-x=80-(32-25m)=120020,解得m=30.即至少需要补充30名新工人才能在规定期内完成总任务.21.解:(1)设购买A种绳子x条,购买B种绳子y条.由题意得20128180x yx y+=+=⎧⎨⎩,,解得515.xy=⎩=⎧⎨,答:购买A种绳子5条,购买B种绳子15条.(2)由题意,设加工A种绳子m条,加工C种绳子n条.由题意12m+6n=240,则n=40-2m.则(200-8m-4n)÷6=263,即剩余的绳子长度最多可加工6条B种绳子.1.5.练习题5一 选择题 1.有一些苹果箱,若每只装苹果25 kg ,则剩余40 kg 无处装;若每只装30 kg ,则还有20个空箱,这些苹果箱有( )A .12只B .6只C .112只D .128只2.幸福中学七年级学生到礼堂开会,若每条长椅坐5人,则少10条长椅,若每条长椅坐6人,则又多余2条长椅.设学生有x 人,长椅有y 条,依题意得方程组 ( )A .5105662x y x y =+⨯⎧⎨=-⨯⎩B .51062x y x y =-⎧⎨=+⎩C .5105662x y x y =-⨯⎧⎨=+⨯⎩D .51062x y x y =+⎧⎨=-⎩3.十一旅游黄金周期间,某景点举办优惠活动,成人票和儿童票均有较大折扣,王明家去了3个大人和4个小孩,共花了400元,李娜家去了4个大人和2个小孩,共花了400元,王斌家计划去3个大人和2个小孩,请你帮助他算一下,需要准备多少门票钱?( )A .300元B .310元C .320元D .330元4.王力在一天内以每件80元的价格卖了两件上衣,其中一件赢利20%,一件赔了20%,则在这次买卖中他( )A .赔了10元B .赚了10元C .赔了约7元D .赚了约7元 5. 两个水池共储水40吨,如果甲池注进水4吨,乙池注进水8吨,甲池水的吨数就与乙池水的吨数相等.甲、乙水池原来各储水的吨数是 ( ) A .甲池21吨,乙池19吨 B .甲池22吨,乙池18吨 C. 甲池23吨,乙池17吨 D .甲池24吨,乙池16吨6.某校七年级(2)班40名同学为四川地震灾区捐款,共捐了100元,捐款情况如下表:表格中捐款2元和2元的有x 名同学,捐款3元的有y 名同学,根据题意,可列方程组( )A.272366x y x y +=⎧⎨+=⎩ B .2723100x y x y +=⎧⎨+=⎩ C.273266x y x y +=⎧⎨+=⎩ D.2732100x y x y +=⎧⎨+=⎩二 填空题7.端午节时,王老师用72元钱买了荷包和五彩绳共20个(条),其中荷包每个4元,五彩绳每条3元,设王老师购买荷包x 个,五彩绳y 条,根据题意,列出的方程组是________.8.根据图中所给的信息,每件T恤和每瓶矿泉水的价格分别是元和元.9.一张试卷有25道题,做对一道得4分,做错一道扣1分,小明做了全部试题共得70分,则他做对了______道题.10.已知甲数的2倍比乙数大30,乙数的3倍比甲数的4倍少20,求甲、乙两数,若设甲、乙两数分别为x、y,可得方程组________,这两数分别为________.11.如图,3个纸杯整齐地叠放在一起,总高度约为9cm,8个纸杯整齐地叠放在一起,总高度约为14cm,则15个这样的纸杯整齐叠放在一起时,它的高度约是________ cm.12.“六一”儿童节,某动物园的成人门票每张8元,儿童门票半价(即每张4元),全天共售出门票3000张,共收入15600元,则这一天售出了成人票________张,儿童票___ _ 张.三解答题13.某厂第二车间人数比第一车间人数的45少30人,如果从第一车间调10人到第二车间,那么第二车间的人数就是第一车间人数的34,这两个车间各有多少人?14.已知A,B两件服装的成本共500元,鑫洋服装店老板分别以30%和20%的利润率定价后进行销售,该服装店共获利130元,问A,B两件服装的成本各是多少元?15. 2010年春季我国西南大旱,导致大量农田减产,如图所示是一对农民父子的对话内容,请根据对话内容分别求出该农户今年两块农田的花生产量分别是多少千克?16.古运河是扬州的母亲河,为打造古运河风光带,现有一段长为180米的河道整治任务由A 、B 两个工程队先后接力完成.A 工程队每天整治12米,B 工程队每天整治8米,共用时20天.(1)根据题意,甲、乙两个同学分别列出了尚不完整的方程组如下:甲:128x y x y ⎧+=⎪⎨+=⎪⎩乙:128x y x y⎧+=⎪⎨+=⎪⎩根据甲、乙两名同学所列的方程组,请你分别指出未知数x 、y 表示的意义,然后在方框中补全甲、乙两名同学所列的方程组:甲:x 表示_____ ___,y 表示_____ ___; 乙:x 表示_____ ___,y 表示_____ ___; (2)求A 、B 两工程队分别整治河道多少米.(写出完整的解答过程)第八章 二元一次方程练习题5 参考答案与解析一、选择题1. D2.A3.C4.C5.B6.A二、填空题7.204372x y x y +=+=⎧⎨⎩, 8.20 2 9.19 10.2304320x y x y -=-=⎧⎨⎩, 35和4011.21 12.900 2100三、解答题13.解:设第一车间有x 人,第二车间有y 人.由题意得()4305310104y x y x ⎧=-+=⎪⎪-⎪⎨⎪⎩,,解得250170.x y ==⎧⎨⎩,答:第一车间有250人,第二车间有170人.14.解:设A 服装的成本是x 元,B 服装的成本是y 元.由题意得50030%20%130x y x y +=+=⎧⎨⎩,,解得300200.x y ==⎧⎨⎩,答:A 服装的成本是300元,B 服装的成本是200元.15.解:设该农户去年两块农田的花生产量分别是x 千克,y 千克.由题意得47020%10%57x y x y +=+=⎧⎨⎩,,解得100370.x y ==⎧⎨⎩,则100×20%=20(千克),370×10%=37(千克).答:该农户今年两块农田的花生产量分别是20千克,37千克.16.解:(1)A 工程队整治河道的时间 B 工程队整治河道的时间 A 工程队整治河道的长度 B 工程队整治河道的长度 方框中分别填入:20 180 180 20(2)设A 、B 两工程队分别整治河道x 米、y 米.由题意得18020128x y x y +=+=⎧⎪⎨⎪⎩,,解得60120.x y ⎩==⎧⎨,答:A 、B 两工程队分别整治河道60米、120米.1.6.练习题6一 选择题1.在方程523x y z -+=中,若12x y =-=-,,则z 的值为( ) A .4B .3C .2D .12.解方程组 323,2411,751,x y z x y z x y z -+=⎧⎪+-=⎨⎪+-=⎩若要使计算简便,消元的方法应选取( )A .先消去xB .先消去yC .先消去zD .以上说法都不对3.下列四组数值中,为方程组202132x y z x y z x y z ++=⎧⎪--=⎨⎪--=⎩的解是( )A .012x y z =⎧⎪=⎨⎪=-⎩B .101x y z =⎧⎪=⎨⎪=⎩C .010x y z =⎧⎪=-⎨⎪=⎩D .123x y z =⎧⎪=-⎨⎪=⎩4.若方程组4312(1)3x y kx k y +=⎧⎨+-=⎩的解x 和y 的值互为相反数,则k 的值等于( )A .0B .1C .2D .35.由方程组,可以得到x +y +z 的值等于( )A .8B .9C .10D .116.学校的篮球数比排球数的2倍少3个,足球数与排球数的比是2:3,三种球共41个,则篮球的个数为( ) A .21个B .12个C .8个D .35个7.解方程组1151x y z y z x z x y +-=⎧⎪+-=⎨⎪+-=⎩,若要使运算简便,消元的方法应选取( )A .先消去xB .先消去yC .先消去zD .以上说法都对8.以311x y z =⎧⎪=⎨⎪=-⎩为解建立三元一次方程组,不正确的是( )A .3423x y z -+=B .113x y z -+=- C .2x y z +-=-D .251236x y z --=9.方程组64210x y x z x y z -=⎧⎪+=⎨⎪-+=⎩的解的个数为( )A .无数多个B .1C .2D .010.已知方程组25589x y z x y z -+=⎧⎨+-=⎩,则x y +的值为( )A .14B .2C .-14D .-211.三元一次方程组354x y y z z x +=⎧⎪+=⎨⎪+=⎩的解为( )A .023x y z =⎧⎪=⎨⎪=⎩B .123x y z =⎧⎪=⎨⎪=⎩C .103x y z =⎧⎪=⎨⎪=⎩D .311x y z =⎧⎪=⎨⎪=⎩12.已知方程组2334823x y z x y z x y z ⎧-+=⎪+-=⎨⎪+-=-⎩①②③,若消去z ,得二元一次方程组不正确的为( )A .531153x y x y +=⎧⎨-=⎩B .53115719x y x y +=⎧⎨+=⎩C .535719x y x y -=⎧⎨+=⎩D .535719x y x y +=⎧⎨+=⎩13.方程组 101x y x z y z +=-⎧⎪+=⎨⎪+=⎩的解是( )A .110x y z =-⎧⎪=⎨⎪=⎩B .101x y z =⎧⎪=⎨⎪=-⎩C .011x y z =⎧⎪=⎨⎪=-⎩D .101x y z =-⎧⎪=⎨⎪=⎩14.若2310x y z ++=,43215x y z ++=,则x y z ++的值为( ) A .5 B .4 C .3 D .215.若方程组431(1)3x y ax a y +=⎧⎨+-=⎩ 的解x 与y 相等,则a 的值等于( )A .4B .10C .11D .12 二 填空题16.如果三角形ABC 的三边长a 、b 、c 满足关系式()226018300a b b c +-+-+-=,则三角形ABC 的周长是 . 17.已知和互为相反数,则x+4y 的平方根是 .18.已知式子2ax bx c ++,当1x =-时,其值为4;当1x =时,其值为8;当2x =时,其值为25,则当3x =时,其值为__________.19.确保信息安全,信息需加密传输,发送方由明文⇒密文(加密),接收方由密文⇒明文(解密),已知加密规则为:明文a ,b ,c ,d 对应密文a +2b ,2b +c ,2c +3d ,4d .例如,明文1,2,3,4对应密文5,7,18,16.当接收方收到密文14,9,23,28时,则解密得到的明文为___________. 三 解答题20.解下列方程组:(1)6,33,2312;x y z x y x y z ++=⎧⎪-=⎨⎪+-=⎩(2)25,24,2310.x y z x y z x y z +-=⎧⎪-+=⎨⎪+-=⎩21.已知2x y y z x-+-+-=,求x+y+z的值.82(41)383022.为迎接“第一届全国青年运动会”,学校组织了飞镖比赛游戏:每位选手朝特制的靶子上各投三次飞镖,在同一圆环内得分相同.如图所示,小明、小君、小红的成绩分别是29分、43分和33分,则小华的成绩是多少分?23.现有一种饮料,它有大、中、小3种包装,其中1个中瓶比2个小瓶便宜2角,1个大瓶比1个中瓶加1个小瓶贵4角,大、中、小各买1瓶,需9元6角,三种包装的饮料每瓶各多少元?第八章二元一次方程练习题6 参考答案与解析一、选择题1.A2.B3.D4.C5.A6.A7.D8.C9.A 10.B 11.B 12.D 13.D 14.A 15.C二、填空题16.72 17.±3 18.52 19.6,4,1,7三、解答题20.解:(1)2,3,1.xyz=⎧⎪=⎨⎪=⎩(2)2,3,3.xyz=⎧⎪=-⎨⎪=-⎩21.解:∵282(41)3830x y y z x-+-+-=,∴80,410,830,x yyz x-=⎧⎪-=⎨⎪-=⎩解得2,0.25,0.75.xyz=⎧⎪=⎨⎪=⎩则x+y+z=2+0.25+0.75=3.22.解:设小、中、大圆环的得分分别为x分、y分、z分.由题意得229,243,333,y zx zy+=⎧⎪+=⎨⎪=⎩解得18,11,7.xyz=⎧⎪=⎨⎪=⎩则x+y+z=18+11+7=36(分).答:小华的成绩是36分.23.解:设大、中、小3种包装的饮料每瓶各x元、y元、z元.由题意得20.2,0.4,9.6,y zx y zx y z-=-⎧⎪--=⎨⎪++=⎩解得5,3,1.6.xyz=⎧⎪=⎨⎪=⎩答:大、中、小3种包装的饮料每瓶各5元、3元、1.6元.。
人教版数学七年级下册第八章 二元一次方程组 能力提升检测卷一.选择题(共10小题)1.下列方程是二元一次方程的是( )A .2x-4=xB .x-2y=6C .x+ 2y =3D .xy=52.以方程组 ⎩⎨⎧x +y =102x +y =6的解为坐标的点(x,y)在( )A .第一象限B .第二象限C .第三象限D .第四象限3.在方程组 = =中,代入消元可得( ) A .3y-1-y=7 B .y-1-y=7 C .3y-3=7 D .3y-3-y=74.若2x |k|+(k-1)y=3是关于x ,y 的二元一次方程,则k 的值为( )A .-1B .1C .1或-1D .05.若关于x ,y 的二元一次方程组 = = 的解为 = =,则a+4b 的值为( ) A .17 B .197 C .1 D .36.如果方程x-y=3与下面的方程组成的方程组的解为 = =,那么这一个方程可以是( ) A .2(x-y)=6y B .3x-4y=16 C .14x+2y =5D .12x+3y =8 7.某加工厂有工人50名,生产某种一个螺栓套两个螺母的配套产品,每人每天平均生产螺栓14个或螺母20个,应分配多少人生产螺栓,多少人生产螺母,能使生产出的螺栓和螺母刚好配套?设应安排x 人生产螺栓,y 人生产螺母,则所列方程组为( )A . = =B . = =C . = =D .= =8.关于x ,y 的方程组 = = 的解是 = = ,其中y 的值被盖住了,不过仍能求出p ,则p 的值是( )A.- 12B.12C.-14D.149.A、B两地相距900km,一列快车以200km/h的速度从A地匀速驶往B地,到达B地后立刻原路返回A地,一列慢车以75km/h的速度从B地匀速驶往A地.两车同时出发,截止到它们都到达终点时,两车恰好相距200km的次数是()A.5 B.4 C.3 D.210.如图所示是最近微信朋友圈常被用来“醒醒盹,动动脑”的图片,请你一定认真观察,动动脑子想一想,图中的?表示什么数()A.25 B.15 C.12 D.14二.填空题(共5小题)11.把方程5x+y=3改写为用含x的式子表示y的形式是.12.已知==是方程ax+by=3的一组解(a≠0,b≠0),任写出一组符合题意的a、b值,则a= ,b= .13.已知方程组==和==的解相同,则2m-n= .14.小明,小丽,小刚到同一个文具店买文具,小明买了2支钢笔,2本作业本,3个文件袋共花了20元;小丽买了1支钢笔,2个文件袋共花了10元;那么小刚买了5支钢笔,4本作业本,8个文件袋共花了元.15.甲乙二人分别从相距20km的A,B两地出发,相向而行.如图是小华绘制的甲乙二人运动两次的情形,设甲的速度是xkm/h,乙的速度是ykm/h,根据题意所列的方程组是.三.解答题(共10小题)16.解下列方程(组)(1)==(2)==(3)===17.已知==,==都是关于x,y的二元一次方程y=x+b的解,且m-n=b2+2b-4,求b的值.18.甲、乙两人同求方程ax-by=7的整数解,甲求出一组解为==,而乙把ax-by=7中的7错看成1,求得一组解为==,试求a、b的值.19.阅读下列解方程组的部分过程,回答下列问题解方程组=,①=,②现有两位同学的解法如下:解法一;由①,得x=2y+5,③把③代入②,得3(2y+5)-2y=3.……解法二:①-②,得-2x=2.……(1)解法一使用的具体方法是,解法二使用的具体方法是,以上两种方法的共同点是.(2)请你任选一种解法,把完整的解题过程写出来20.某人沿着相同的路径上山、下山共用了2h.如果上山速度为3km/h,下山速度为5km/h,那么这条山路长是多少?21.我校准备从体育用品商店一次性购买若干个足球和篮球(每个足球的价格相同,每个篮球的价格相同),若购买3个足球和2个篮球共需310元.购买1个足球和1个篮球共需130元.求购买足球、篮球的单价各是多少元?22.【方法体验】已知方程组=①=②求4037x+y的值.小明同学发现解此方程组代入求值很麻烦!后来他将两个方程直接相加便迅速解决了问题.请你体验一下这种快捷思路,写出具体解题过程:【方法迁移】根据上面的体验,填空:已知方程组==则3x+y-z=.【探究升级】已知方程组==求-2x+y+4z的值.小明凑出"-2x+y+4z=2﹒(x+2y+3z)+(-1)﹒(4x+3y+2z)=20-15=5“,虽然问题获得解决,但他觉得凑数字很辛苦!他问数学老师丁老师有没有不用凑数字的方法,丁老师提示道:假设-2x+y+4z=m﹒(x+2y+3z)+n﹒(4x+3y+2z),对照方程两边各项的系数可列出方程组===,它的解就是你凑的数!根据丁老师的提示,填空:2x+5y+8z=(x+2y+3z)+(4x+3y+2z)【巩固运用】已知2a-b+kc=4,且a+3b+2c=-2,当k为时,8a+3b-2c为定值,此定值是.(直接写出结果)23.《孙子算经》是中国古代重要的数学著作,其中记载:“今有甲、乙二人,持钱各不知数.甲得乙中半,可满四十八.乙得甲太半,亦满四十八,问甲、乙二人原持钱各几何?”译文:“甲,乙两人各有若干钱.如果甲得到乙所有钱的一半,那么甲共有钱48文,如果乙得到甲所有钱的23,那么乙也共有钱48文,问甲,乙二人原来各有多少钱?”24.【阅读材料】南京市地铁公司规定:自2019年3月31日起,普通成人持储值卡乘坐地铁出行,每个自然月内,达到规定消费累计金额后的乘次,享受相应的折扣优惠(见图).地铁出行消费累计金额月底清零,次月重新累计.比如:李老师二月份无储值卡消费260元,若采用新规持储值卡消费,则需付费150×0.95+50×0.9+60×0.8=235.5元.【解决问题】甲、乙两个成人二月份无储值卡乘坐地铁消费金额合计300元(甲消费金额超过150元,但不超过200元).若两人采用新规持储值卡消费,则共需付费283.5元.求甲、乙二月份乘坐地铁的消费金额各是多少元?答案:1.B2.B3.D4.A5.D6.A7.B8.A9.B10.B11. y=-5x+312.1,113.514.5015.16.解:(1) = ①= ② ,①+②×5,得:13x=26,x=2,将x=2代入②,得:4-y=3,y=1,所以方程组的解为 == ;(2)将方程组整理成一般式为 = ①= ②,①+②,得:6x=14,x=73,将x=73代入①,得:7-2y=8,y=- 12,所以方程组的解为(3)= ①= ② = ③, ①+②,得:3x+4y=24 ④,③+②,得:6x-3y=人教版 七年级下册-第八章 二元一次方程组 专题练习一、单选题1.一个两位数,十位数字与个位数字和为6,这样的两位数中,是正整数的有( )A. 6个B. 5个C. 3个D. 无数个2.下列各组数中① ; ② ;③ ;④ 是方程 的解的有( )A. 1个B. 2个C. 3个D. 4个3.下列方程中,是二元一次方程的是( )A. -y=6B. +=1C. 3x-y 2=0D. 4xy=34.二元一次方程组 的解为( )A. B. C. D.5.已知方程组, 则x ﹣y 的值为( )A. -1B. 0C. 2D. 36.购买铅笔7支,作业本3本,圆珠笔1支共需3元;购买铅笔10支,作业本4本,圆珠笔1支共需4元,则购买铅笔11支,作业本5本,圆珠笔2支共需( )A. 4.5元B. 5元C. 6元D. 6.5元7.下列方程组中,是二元一次方程组的是( )A. B. C. D.8.笼中有x 只鸡y 只兔,共有36只脚,能表示题中数量关系的方程是( )A. x+y=18B. x+y=36C. 4x+2y=36D. 2x+4y=369.二元一次方程x+2y=5在实数范围内的解()A. 只有1个B. 只有2个C. 只有3个D. 有无数个二、填空题10.请写出一个你所喜欢的二元一次方程组________11.若+(2a+3b﹣13)2=0,则a+b= ________.12.已知,则a+b等于________.13.若关于x、y的二元一次方程组的解满足x+y=1,则a的值为 ________.14.请构造一个二元一次方程组,使它的解为.这个方程组是 ________.15.已知|x﹣y+2|+(2x+y+4)2=0.则x y=________.16.将方程5x﹣y=1变形成用含x的代数式表示y,则y=________.17.方程组的解是________.三、计算题18.解方程组:.19.解下列二元一次方程组:(1)(2)20.解下列方程组:(1)(2)四、综合题21.已知y=kx+b,当x=1时,y=﹣2;当x=﹣1时,y=4.(1)求k、b的值;(2)当x取何值时,y的值小于10?答案一、单选题1.【答案】A【解析】【解答】解:设两位数的个位数为x,十位为y,根据题意得:x+y=6,∵xy都是整数,∴当x=0时,y=6,两位数为60;当x=1时,y=5,两位数为51;当x=2时,y=4,两位数为42;当x=3时,y=3,两位数为33;当x=4时,y=2,两位数为24;当x=5时,y=1,两位数为15;则此两位数可以为:60、51、42、33、24、15,共6个,故选:A.【分析】可以设两位数的个位数为x,十位为y,根据两数之和为6,且xy为整数,分别讨论两未知数的取值即可.注意不要漏解.2.【答案】B【解析】【解答】解:把① 代入得左边=10=右边;把② 代入得左边=9≠10;把③ 代入得左边=6≠10;把④ 代入得左边=10=右边;所以方程的解有①④2个.故答案为:B【分析】能使二元一次方程的左边和右边相等的未知数的值就是二元一次方程的解,二元一次方程有无数个解,根据定义将每一对x,y的值分别代入方程的左边算出答案再与右边的10比较,若果相等,x,y的值就是该方程的解,反之就不是该方程的解。
人教版七年级下册 第八章二元一次方程组单元试题一、选择题一、选择题((共10小题,每小题3分,共30分) 1.二元一次方程组îíì x +y =7,3x -y =5的解是的解是( ( ( )A.îíìx =4,y =3B .îíì x =5,y =2C .îíìx =3,y =4D .îíìx =-=-22,y =92.已知方程组îíì2x +y =4,x +2y =5,则x +y 的值为的值为( ( ( )A .-.-1 1 1B B .0C .2 2D D .3 3.下列各方程中,是二元一次方程的是.下列各方程中,是二元一次方程的是( ( ( ) A.x 3-2y=y +5x B .3x +1=2xy C .15x =y 2+1 1D .x +y =14.已知x 2m m-1+3y 4-2n n=-=-77是关于x ,y 的二元一次方程,则m ,n 的值是的值是( ( ( )A.îíìm =2,n =1B .îíì m =1,n =-32 C .îíì m =1,n =52D .îíìm =1,n =325.方程kx +3y =5有一组解是îíìx =2,y =1,则k 的值是的值是( ( ( )A .1B .-.-1C 1 C .0 0D D.2 6.二元一次方程x +2y =10的所有正整数解有的所有正整数解有( ( ( ) A .1个 B .2个 C .3个 D .4个7.“珍爱生命,拒绝毒品”,学校举行的2017年禁毒知识竞赛共有60道题,曾浩同学答对了x 道题,道题,答错了答错了y 道题道题((不答视为答错不答视为答错)),且答对题数比答错题数的7倍还多4道,那么下面列出的方程组中正确的是道,那么下面列出的方程组中正确的是( ( ( )A.îíìx +y =6060,,x -7y =4 B .îíì x +y =6060,,y -7x =4C .îíìx =6060--y ,x =7y -4D .îíìy =6060--x ,y =7x -48.关于x ,y 的方程组îíìx +py =0,x +y =3的解是îíìx =1,y =■,其中y 的值被盖住了,不过仍能求出p ,则p 的值是的值是( ( ( )A .-.-112 B.12 C .-.-114 D .149.若.若||x +y -5|5|与与(x -y -1)2互为相反数,则x 2-y 2的值为的值为( ( ( ) A .-.-5 5 5 B B .5 C .13 13D .15 1010..《九章算术》是中国古代的数学专著,下面这道题是《九章算术》中第七章的一道题:“今有共买物,人出八,盈三;人出七,不足四,问人数、物价各几何?”译文:“几个人一起去购买某物品,如果每人出8钱,则多了3钱;如果每人出7钱,则少了4钱.问有多少人,物品的价格是多少?”设有x 人,物品价格为y 钱,可列方程组为钱,可列方程组为( ( ( )A.îíì 8x -3=y ,7x +4=yB .îíì 8x +3=y ,7x -4=yC .îíìy -8x =3,y -7x =4D .îíì8x -y =3,7x -y =4二、填空题二、填空题((共5小题,每小题4分,共20分) 1111.方程组.方程组îíìx +y =1,3x -y =3的解是的解是. 1212..“六一”前夕,“六一”前夕,市关工委准备为希望小学购进图书和文具若干套,市关工委准备为希望小学购进图书和文具若干套,市关工委准备为希望小学购进图书和文具若干套,已知已知1套文具和3套图书需104元,元,33套文具和2套图书需116元,则1套文具和1套图书需套图书需 元.元.13.已知关于x ,y 的二元一次方程组îíì2x +y =k ,x +2y =-1的解互为相反的解互为相反 人教版七年级下第八章 二元一次方程组 单元测试题(含答案)一、选择题(每题4分,共32分)分)1. 下列方程中,是二元一次方程的是(下列方程中,是二元一次方程的是() A . x xy 212=+ B . 222=-y x C . 31=+yxD . y y x =+23 2. 以îíì-==11y x 为解的二元一次方程组是(为解的二元一次方程组是( ) A .îíì=-=+10y x y x B .îíì-=-=+10y x y x C .îíì=-=+20y x y x D .îíì-=-=+20y x y x 3.程1523=+y x 在自然数范围内的解共有(在自然数范围内的解共有() A .1对 B .2对 C .3对 D .无数对.无数对4.已知单项式b a n m +3与单项式n m b a -32是同类项,那么m 、n 的值分别是(的值分别是( ) A .îíì-==12n m B .îíì-=-=12n m C .îíì==12n m D .îíì=-=12n m5.5.关于关于x 、y 的二元一次方程îíì=-=+ky x k y x 95的解也是二元一次方程632=+y x 的解,则k 的值是(的值是() A .43- B .43 C .34 D .34- 6.6.若二元一次方程若二元一次方程73=-y x ,132=+y x ,9-=kx y 有公共解,则k 的取值范围为( )A .3B .—.—3C 3 C .—.—4D 4 D .4 7.若îíì==21y x 与îíì==32y x 都是3=-ay bx 的解,则下列各组数值中也是3=-ay bx 的解的是(的是() A .îíì-==43y x B .îíì==34y x C .îíì-=-=43y x D .îíì==43y x8.为了研究吸烟是否对肺癌有影响,为了研究吸烟是否对肺癌有影响,某肿瘤研究所随机地调查了10000人,并进行统计分析.结果显示:在吸烟者中患肺癌的比例是2.5%,在不吸烟者中患肺癌的比例是0.5%,吸烟者患肺癌的人数比不吸烟者患肺癌的人数多22人.如果设这10000人中,吸烟者患肺癌的人数为x ,不吸烟者患肺癌的人数为y ,根据题意,下面列出的方程组正确的是(,根据题意,下面列出的方程组正确的是() A .îíì=´+´=-10000%5.0%5.222y x y xB .îïíì=+=-10000%5.0%5.222y x y x C .îíì=´-´=+22%5.0%5.210000y x y xD .ïîïíì=-=+22%5.0%5.210000yx y x 二、填空题(每题4分,共32分)分)9. 在方程5413=-y x 中,用含x 的代数式表示为:y = ,当3=x 时,y = .10.10.已知方程组已知方程组îíì=+=-②①.123,432y x y x 用加减法消去x 的方法是的方法是,用加减法消去y 的方法是法是. 11.11.以方程组以方程组îíì=-=+2233y x y x 的解为坐标的点(x ,y )在平面直角坐标系中的第)在平面直角坐标系中的第象限.12.已知îíì==12y x 是二元一次方程组îíì=-=+18my nx ny mx 的解,则n m -2的算术平方根是的算术平方根是 . 13. 若方程组îíì=-+=-3)1(334y k kx y x 的解x 和y 的值相等,则k = . 14.已知方程组îíì=+=-241121254y x y x ,则2)(y x +的值为的值为. 15.15.“今有共买犬,人出五,不足九十;人出五十,适足.问人数、犬价各几何?”题目大意是:现在大家共一条狗,若每人出五元,还差九十元;若每人出五十元,刚好够.可知一共有知一共有 人,狗价为人,狗价为 元.元. 16.甲、乙两人去商店买东西,他们所带的钱数之比为7:6,甲用掉50元,乙用掉60元,两人余下的钱数之比是3:2,则甲余下的钱数为,则甲余下的钱数为 元,乙余下的钱数为元,乙余下的钱数为元. 三、解答题(共56分)分) 17.17.(每题(每题5分,共10分)解下列方程组:分)解下列方程组:(1)îíì=+=+64302y x y x ;(2)îíì=+=-3241123b a b a .18.18.((8分)在b y ax =+2中,已知x 当1-=x 时,2=y ;当2=x 时,21=y .求代数式))((22b ab a b a +-+的值的值. .19(9分)如图,在东北大秧歌的踩高跷表演中,已知演员身高是高跷长度的2倍,高跷与腿重合部分的长度为28cm ,演员踩在高跷上时,头顶距离地面的高度为224cm .设演员的高度为x cm ,高跷的长度为y cm ,求x ,y 的值.的值.xcmcm28ycmcm224第19题图题图20.(9分)已知方程组îíì-=--=+4652by ax y x 与方程组îíì-=+=-81653ay bx y x 的解相同,求2015)2(b a +的值的值. .21.21.((10分)已知:用2辆A 型车和1辆B 型车装满货物一次可运货10吨;用1辆A 型车和2辆B 型车装满货物一次可运货11吨.某物流公司现有31吨货物,计划同时租用A 型车a人教版数学七年级下册第八章 二元一次方程组 能力提升检测卷一.选择题(共10小题)小题)1.下列方程是二元一次方程的是(.下列方程是二元一次方程的是( ) A .2x-4=xB .x-2y=6C .x+ 2y =3D .xy=5 2.以方程组.以方程组 îíìx +y =102x +y =6的解为坐标的点(x,y)在(在() A .第一象限.第一象限 B .第二象限.第二象限 C .第三象限.第三象限 D .第四象限.第四象限3.在方程组.在方程组== 中,代入消元可得(中,代入消元可得( ) A .3y-1-y=7B .y-1-y=7C .3y-3=7D .3y-3-y=7 4.若2x |k|+(k-1)y=3是关于x ,y 的二元一次方程,则k 的值为(的值为( ) A .-1B .1C .1或-1D .0 5.若关于x ,y 的二元一次方程组的二元一次方程组= = 的解为的解为= = ,则a+4b 的值为(的值为( ) A .17B .197C .1D .3 6.如果方程x-y=3与下面的方程组成的方程组的解为与下面的方程组成的方程组的解为== ,那么这一个方程可以是( )A .2(x-y)=6yB .3x-4y=16C .14x+2y =5D .12x+3y =87.某加工厂有工人50名,生产某种一个螺栓套两个螺母的配套产品,生产某种一个螺栓套两个螺母的配套产品,每人每天平均生产螺每人每天平均生产螺栓14个或螺母20个,应分配多少人生产螺栓,应分配多少人生产螺栓,多少人生产螺母,多少人生产螺母,能使生产出的螺栓和螺母刚好配套?设应安排x 人生产螺栓,y 人生产螺母,则所列方程组为(人生产螺母,则所列方程组为( )A .= =B .= =C .= = D .==8.关于x ,y 的方程组的方程组= = 的解是的解是== ,其中y 的值被盖住了,不过仍能求出p ,则p 的值是(的值是( ) A .- 12B .12C .- 14D .14 9.A 、B 两地相距900km,一列快车以200km/h 的速度从A 地匀速驶往B 地,到达B 地后立刻原路返回A 地,一列慢车以75km/h 的速度从B 地匀速驶往A 地.两车同时出发,截止到它们都到达终点时,两车恰好相距200km 的次数是(的次数是( ) A .5B .4C .3D .2 10.如图所示是最近微信朋友圈常被用来“醒醒盹,动动脑”的图片,请你一定认真观察,动动脑子想一想,图中的?表示什么数(动动脑子想一想,图中的?表示什么数( ) A .25B .15C .12D .14二.填空题(共5小题)小题)11.把方程5x+y=3改写为用含x 的式子表示y 的形式是的形式是. 12.已知已知= 是方程ax+by=3的一组解(a ≠0,b ≠0),任写出一组符合题意的a 、b 值,则a= ,b= .13.已知方程组.已知方程组= = 和== 的解相同,则2m-n= . 14.小明,小丽,小刚到同一个文具店买文具,小明买了2支钢笔,2本作业本,3个文件袋共花了20元;小丽买了1支钢笔,2个文件袋共花了10元;那么小刚买了5支钢笔,4本作业本,8个文件袋共花了个文件袋共花了 元.元.15.甲乙二人分别从相距20km 的A ,B 两地出发,相向而行.如图是小华绘制的甲乙二人运动两次的情形,设甲的速度是xkm/h,乙的速度是ykm/h,根据题意所列的方程组是 .三.解答题(共10小题)小题) 16.解下列方程(组).解下列方程(组) (1) = =(2)==(3) == =17.已知.已知== , = = 都是关于x ,y 的二元一次方程y=x+b 的解,且m-n=b 2+2b-4,求b 的值.的值.18.甲、乙两人同求方程ax-by=7的整数解,甲求出一组解为的整数解,甲求出一组解为== ,而乙把ax-by=7中的7错看成1,求得一组解为,求得一组解为== ,试求a 、b 的值.的值.19.阅读下列解方程组的部分过程,回答下列问题.阅读下列解方程组的部分过程,回答下列问题解方程组解方程组 =,① = ,②现有两位同学的解法如下:现有两位同学的解法如下: 解法一;由①,得x=2y+5,③ 把③代入②,得3(2y+5)-2y=3.…….…… 解法二:①-②,得-2x=2.…….……(1)解法一使用的具体方法是,解法二使用的具体方法是,以上两种方法的共同点是.以上两种方法的共同点是. (2)请你任选一种解法,把完整的解题过程写出来)请你任选一种解法,把完整的解题过程写出来20.某人沿着相同的路径上山、下山共用了2h .如果上山速度为3km/h,下山速度为5km/h,那么这条山路长是多少?那么这条山路长是多少?21.我校准备从体育用品商店一次性购买若干个足球和篮球我校准备从体育用品商店一次性购买若干个足球和篮球(每个足球的价格相同,(每个足球的价格相同,(每个足球的价格相同,每个篮每个篮球的价格相同),若购买3个足球和2个篮球共需310元.购买1个足球和1个篮球共需130元.求购买足球、篮球的单价各是多少元?元.求购买足球、篮球的单价各是多少元?22.【方法体验】已知方程组【方法体验】已知方程组= ①= ②求4037x+y 的值.小明同学发现解此方程组代入求值很麻烦!后来他将两个方程直接相加便迅速解决了问题.请你体验一下这种快捷思路,写出具体解题过程:这种快捷思路,写出具体解题过程: 【方法迁移】根据上面的体验,填空:【方法迁移】根据上面的体验,填空: 已知方程组已知方程组==则3x+y-z=. 【探究升级】已知方程组【探究升级】已知方程组 = =求-2x+y+4z 的值.小明凑出的值.小明凑出 "-2x+y+4z=2﹒(x+2y+3z)+(-1)﹒(4x+3y+2z)=20-15=5“,虽然问题获得解决,但他觉得凑数字很辛苦!他问数学老师丁老师有没有不用凑数字的方法,丁老师提示道:假设-2x+y+4z=m ﹒(x+2y+3z)+n ﹒(4x+3y+2z),对照方程两边各项的系数可列出方程组对照方程两边各项的系数可列出方程组===,它的解就是你凑的数!根据丁老师的提示,填空:根据丁老师的提示,填空: 2x+5y+8z=(x+2y+3z)+(4x+3y+2z)【巩固运用】已知2a-b+kc=4,且a+3b+2c=-2,当k 为时,8a+3b-2c 为定值,此定值是.(直接写出结果)接写出结果)23.《孙子算经》是中国古代重要的数学著作,其中记载:.《孙子算经》是中国古代重要的数学著作,其中记载:“今有甲、乙二人,持钱各不知“今有甲、乙二人,持钱各不知数.甲得乙中半,可满四十八.乙得甲太半,亦满四十八,问甲、乙二人原持钱各几何?”译文:“甲,乙两人各有若干钱.如果甲得到乙所有钱的一半,那么甲共有钱48文,如果乙得到甲所有钱的23,那么乙也共有钱48文,问甲,乙二人原来各有多少钱?”文,问甲,乙二人原来各有多少钱?”24.【阅读材料】.【阅读材料】南京市地铁公司规定:自2019年3月31日起,普通成人持储值卡乘坐地铁出行,普通成人持储值卡乘坐地铁出行,每个自然每个自然月内,达到规定消费累计金额后的乘次,享受相应的折扣优惠(见图).地铁出行消费累计金额月底清零,次月重新累计.金额月底清零,次月重新累计.比如:李老师二月份无储值卡消费260元,若采用新规持储值卡消费,则需付费150×0.95+50×0.9+60×0.8=235.5元.元.【解决问题】【解决问题】甲、乙两个成人二月份无储值卡乘坐地铁消费金额合计300元(甲消费金额超过150元,但不超过200元).若两人采用新规持储值卡消费,则共需付费283.5元.求甲、乙二月份乘坐地铁的消费金额各是多少元?坐地铁的消费金额各是多少元?答案:答案:1.B2.B3.D4.A5.D6.A7.B 8.A9.B10.B11. y=-5x+312.1,113.514.50 15. 16.解:(1)= ① = ② ,①+②×5,得:13x=26,x=2, 将x=2代入②,得:4-y=3,y=1, 所以方程组的解为所以方程组的解为 == ;(2)将方程组整理成一般式为)将方程组整理成一般式为= ① = ② , ①+②,得:6x=14,x=73,将x=73代入①,得:7-2y=8,y=- 12, 所以方程组的解为(3)= ① = ②= ③, ①+②,得:3x+4y=24 ④,④, ③+②,得:6x-3y=。
新人教版初中数学二元一次方程组练习题
一.解答题(共14小题)
1.解方程组.
2.解方程组:.
3.解方程组.
4.解二元一次方程组:.
5.解方程组.
6.已知关于x、y的方程组的解为,求m、n的值.
7.解方程组.
8.解方程组.
9.解方程组.
10.学校准备购进一批节能灯,已知1只A型节能灯和3只B型节能灯共需26元;3只A型节能灯和2只B型节能灯共需29元.
(1)求一只A型节能灯和一只B型节能灯的售价各是多少元;
(2)学校准备购进这两种型号的节能灯共50只,并且A型节能灯的数量不多于
B型节能灯数量的3倍,请设计出最省钱的购买方案,并说明理由.
11.某校为了丰富大家的业余生活,组织了一次工会活动,准备一次性购买若干
钢笔和笔记本(每支钢笔的价格相同,每本笔记本的价格相同)作为奖品,若购
买2支钢笔和3本笔记本共需62元,5支钢笔和1本笔记本共需90元,问购买一支钢笔和一
本笔记本各需多少元?
12.列方程(组)解应用题:
某班去看演出,甲种票每张24元,乙种票每张18元.如果35名学生购票恰好
用去750元,甲乙两种票各买了多少张?
13.有若干只鸡和兔关在一个笼子里,从上面数,有30个头;从下面数,有84
条腿,问笼中各有几只鸡和兔?
14.为了响应“足球进校园”的目标,某校计划为学校足球队购买一批足球,已知购买2个A 品牌的足球和3个B品牌的足球共需380元;购买4个A品牌的足球和2个B品牌的足球共需360元.
(1)求A,B两种品牌的足球的单价.
(2)求该校购买20个A品牌的足球和2个B品牌的足球的总费用.
新人教版初中数学二元一次方程组练习题
参考答案
一.解答题(共14小题)
1.;2.;3.;4.;5.;6.;7.;8.;9.;10.;11.;12.;13.;14.;。