重庆大学网络教育数学考试试题
- 格式:doc
- 大小:844.04 KB
- 文档页数:15
信号与系统参考资料一、单项选择题(本大题共0分,共 40 小题,每小题 0 分)1. 图(b)中与图(a)所示系统等价的系统是()[P_D270C55CDFEEE314A277752F0559D5E9]A. [P_10BBA41ECB69A06BD750E3C2C6A02F67]B. [P_4BE2ABBF467E2E0CC1393D81750BAFF5]C. [P_9C5902390ACD17E2370106A362293A7C]D. [P_3B65CBFC60B343E88DF3F86DEFA73349]2. 下列论断正确的为()。
A. 两个周期信号之和必为周期信号;B. 非周期信号一定是能量信号;C. 能量信号一定是非周期信号;D. 两个功率信号之和仍为功率信号。
3. 序列f(n)=cos(πn/2)[ξ(n−2)−ξ(n−5)]的正确图形是()A.B.C.D.4. 已知某系统的系统函数为H(s),唯一决定该系统单位冲激响应h(t)函数形式的是()A. H(s)的零点B. H(s)的极点C. 系统的输入信号D. 系统的输入信号与H(s)的极点5. 信号f1(t),f2(t)波形如图所示,设f(t)=f1(t)*f2(t),则f(0)为()A. 1B. 2C. 3D. 46. 积分等于()A.B.C.D.7. 积分等于()A.B.C.D.)8. 信号f1(t),f2(t)波形如图所示,设f(t)=f1(t)*f2(t),则f(0)为(A. 0B. 1C. 2D. 39. 信号f1(t) 和 f2(t)分别如图(a)和图(b)所示,已知[f1(t)]=F1(jω),则f2(t)的傅里叶变换为()A.B.C.D.10. f(5-2t)是如下运算的结果————————()A. f(-2t)右移5B. f(-2t)左移5C. f(-2t)右移5/2D. f(-2t)左移5/211. 若系统的起始状态为0,在x(t)的激励下,所得的响应为———()A. 强迫响应B. 稳态响应C. 暂态响应D. 零状态响应12. 已知信号f(t)的傅里叶变换F(jω)=δ(ω−ω),则 f(t)为()A. e jwt /2πB. 12πe−jw0tC. 12πejw0tξ(t)D. 12πe−jw0tξ(t)13. 离散信号f(n)是指()A. n的取值是连续的,而f(n)的取值是任意的信号B. n的取值是离散的,而f(n)的取值是任意的信号C. n的取值是连续的,而f(n)的取值是连续的信号D. n的取值是连续的,而f(n)的取值是离散的信号14. 连续信号f(t)与δ(t−t0)的卷积,即f(t)*δ(t−t)=()A. f(t)B. f(t-t)C. δ(t)D. δ(t−t0)15. 信号 f(t)=e−2tξ(t)的拉氏变换及收敛域为()A.B.C.D.16. 若序列f(n)的图形如图(a)所示,那么f(-n+1)的图形为图(b)中的()A.B.C.D.17. 已知信号f(t)如图所示,则其傅里叶变换为()A.B.C.D.18. 的拉氏反变换为()A.B.C.D.19. 若周期信号 f(t)是时间 t的奇函数,则其三角形傅里叶级数展开式中( )。
身份证号__________ 姓名__________ 学习中心 成绩_______重庆大学网络教育学院(专科起点本科)2012年入学考试模拟题(二)计算机应用基础(共100分)一、单选题(本大题共6个小题,每小题5分,共30分)1. 为了指导计算机网络的互联、互通和互作,ISO 颁布了OSI 参考模型,其基本结构分为( )。
A.6层B.5层C.7层D.4层2、下列各组设备中,全部属于输入设备的一组是( )。
A.键盘、磁盘和打印机B. 键盘、扫描仪和鼠标C. 键盘、鼠标和显示器D. 硬盘、打印机和键盘3、按照网络分布和覆盖的地理范围,可将计算机网络分为( )。
A.局域网、互联网和internet 网B.广域网、局域网和城域网C.广域网、互联网和城域网D.Internet 网、城域网和Novell 网4.下列各项中,不属于多媒体硬件的是( )。
A.光盘驱动器B.视频卡C.音频卡D.加密卡5. 下列关于Windows 98“回收站”的叙述中,错误的是( )。
A 、“回收站”中的信息可以清除,也可以还原B 、 每个逻辑硬盘上“回收站”的大小可以分别设置C 、 当硬盘空间不够使用时,系统自动使用“回收站”所占据的空间D 、“回收站A ”中存放的是所有逻辑硬盘上被删除的信息6. 下面哪一个是合法的IP 地址:( )。
A. 11.0.2.10B. 256.118.5.135C. 202.118.10.10.135D. 255.255.255二、填空题(本大题共10个小题,每小题5分 共50分)1.软盘的存储容量计算公式是:盘面数×每面磁道数×____________× 每扇区字节数。
2.选定某个文件,并按下Delete 键,则该文件被删除到______________中。
3.不少微机软件的安装程序都具有相同的文件名, Windows 系统也如此,其安装程序的文件名一般为____________。
重庆大学网络教育高等数学考试试题一、单选题(共80题)1. 极限().A.1B.C.D.2. 函数的定义域为,则函数的定义域为().A.[0,1];B.;C.;D.3. 当时,与比较,则().A.是较高阶的无穷小;B.是与等价的无穷小;C.是与同阶但不等价的无穷小;D.是较低阶无穷小.4. ( )。
A.-1B.0C.1D.不存在5. 设, 则A.B.C.D.6. 当时,是().A.无穷小量;B.无穷大量;C.有界变量;D.无界变量.7. 函数是()函数.A.单调B.有界C.周期D.奇8. 设则常数( )。
A.0B.-1C.-2D.-39. 下列函数在区间上单调增加的是().A.B.C.D.10. 设函数,则的连续区间为()A.B.C.D.11. 当时,与比较,则().A.是较高阶的无穷小量;B.是较低阶的无穷小量;C.与是同阶无穷小量,但不是等价无穷小;D.与是等价无穷小量.12. 下列函数中()是奇函数A.B.C.D.13. 如果存在,则在处().A.一定有定义;B.一定无定义;C.可以有定义,也可以无定义;D.有定义且有14. ( )。
A.0B.1C.2D.不存在15. 极限 ( )。
A.1/2B.1C.0D.1/416. 设,则()A.B.C.D.17. 函数的复合过程为().A.B.C.D.18. ( ).A.1B.C.D.19. 存在是在连续的().A.充分条件,但不是必要条件;B.必要条件,但不是充分条件;C.充分必要条件;D.既不是充分条件也不是必要条件.20. 已知,求().A.3B.2C.1D.021. 函数是()函数.A.单调B.无界C.偶D.奇22. ( ).A.0B.1C.2D.23. 下面各组函数中表示同一个函数的是()。
A.;B.;C.D.24. 函数是()函数.A.单调B.有界C.周期D.奇25. ()A.B.C.D.26. 设求的值为 ( )A.B.C.D.27. 当时,与无穷小量等价的无穷小量是(). A.B.C.D.28. ( ).A.-1B.0C.1D.不存在29. 设,则( )A.B.C.D.30. 设,则( )A.B.C.D.31. 设,则A.B.C.D.132. 极限=()。
重庆大学网络教育学院-2020年春季学期课程作业高等数学(II-1)第2次-参考资料
请认真阅读一下说明然后下载:题库有可能会换,不保证全部都有!请仔细核对是不是您需要的题目再下载!!!!
本文档的说明:如果题目顺序和你的试卷不一样,按CTRL+F在题库中逐一搜索每一道题的答案,预祝您取得好成绩百!
一、单项选择题 (共 30 题、63 / 90 分 )
1、
若,则的取值范围是()。
A、
B、
C、
D、
参考答案是:A
2、
骆驼被称为“沙漠之舟”,其体温随时间的变化而变化,则下列量可以视为常量的是()。
A、
气温
B、
体温
C、
时间
D、
骆驼的体重
参考答案是:D
3、
在定义区间的最小值是()。
A、
B、
C、
1
D、
不存在
参考答案是:D
4、
曲线所围平面图形的面积为( )。
A、
B、。
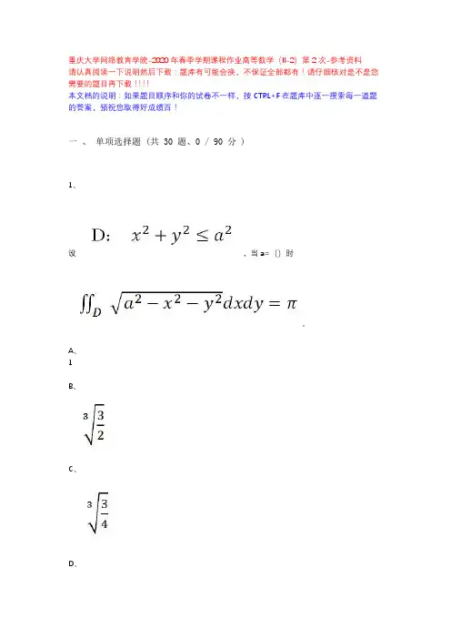
重庆大学网络教育学院-2020年春季学期课程作业高等数学(II-2)第2次-参考资料请认真阅读一下说明然后下载:题库有可能会换,不保证全部都有!请仔细核对是不是您需要的题目再下载!!!!本文档的说明:如果题目顺序和你的试卷不一样,按CTRL+F在题库中逐一搜索每一道题的答案,预祝您取得好成绩百!一、单项选择题 (共 30 题、0 / 90 分 )1、设,当a=()时。
A、1B、C、D、参考答案是:B2、微分方程的通解是()。
A、B、C、D、参考答案是:B3、曲面的一个法向量为()。
A、B、C、D、参考答案是:A4、下列一阶微分方程中哪个不是可分离变量的微分方程()。
A、B、C、D、参考答案是:C5、函数的定义域是()。
A、B、C、D、参考答案是:C6、下列方程中表示双叶双曲面的是()。
A、B、C、D、参考答案是:C7、求解微分方程使用变换降阶得到的方程是()。
A、B、C、D、参考答案是:A8、方程组所表示的圆的半径为()。
A、4B、3C、2D、1参考答案是:9、下列方程中表示柱面的是()。
A、B、C、D、参考答案是:C10、椭球面的中心坐标是( )。
A、(?1,3,3)B、(?1,3,?3)C、(1,3,3)D、(1,3,?3)参考答案是:B11、下列说法不正确的是()A、B、C、D、参考答案是:D12、总长度为2的一根铁丝,可以围成矩形的最大面积是()。
A、B、C、D、参考答案是:C13、积分),化为极坐标的二次积分为()。
A、B、C、D、参考答案是:A14、交错级数()A、一定发散B、一定条件收敛C、可收敛也可发散D、一定绝对收敛参考答案是:D15、幂级数的和函数为()。
A、B、C、D、参考答案是:B16、对于非齐次微分方程,其特解有()的形式。
A、B、C、D、参考答案是:C17、设,则=()。
A、B、C、D、参考答案是:A18、二平面,的夹角=( )。
A、B、C、D、参考答案是:D19、下面可以作为一条有向直线的方向角的是()。
1、设集合A = {1, 2, 3},集合B = {x | x是A中元素的平方},则集合B的子集个数为:A. 2B. 3C. 4D. 8(答案)D2、已知等差数列{an}的首项为a1,公差为d,若a3 + a5 = 10,则a2 + a4 + a6等于:A. 10B. 15C. 20D. 25(答案)B3、函数y = |x|与y = x2在x > 0的区间内:A. 总是相等B. 永远不相等C. 有时相等,有时不相等D. 无法确定(答案)A4、若复数z满足(1 + i)z = 1 - i(i为虚数单位),则z的实部为:A. 1B. 0C. -1D. 2(答案)B5、一个三角形的三个内角之比为1:2:3,则这个三角形是:A. 锐角三角形B. 直角三角形C. 钝角三角形D. 等边三角形(答案)B6、设向量a = (1, 2),向量b = (3, 4),则向量a与向量b的点积为:A. 5B. 7C. 10D. 11(答案)D7、已知圆C的方程为x2 + y2 = 9,直线l的方程为x + y - 3 = 0,则圆心C到直线l的距离为:A. 3√2/2B. √2C. 3/2D. √3(答案)A8、若矩阵A = [1 2; 3 4],矩阵B = [2 0; 1 2],则AB的结果为:A. [4 4; 10 8]B. [3 4; 5 6]C. [2 2; 3 4]D. [5 4; 7 6](答案)A9、设随机变量X服从正态分布N(2, σ2),若P(X < 4) = 0.9,则P(0 < X < 4)等于:A. 0.4B. 0.5C. 0.6D. 0.8(答案)D10、已知二次方程x2 - 5x + 6 = 0的两个根为α和β,则α+ β的值为:A. 5B. 6C. -5D. -6(答案)A。
身份证号__________ 姓名__________ 学习中心成绩_________ 重庆大学网络教育学院(高中起点专科)2013年入学考试模拟题(一)计算机应用基础(共100分)一、单选题(本大题共8小题,每小题5分,共40分)1.计算机的硬件系统由()各部分组成。
A.控制器、显示器、打印机、主机、键盘。
B.控制器、运算器、存储器、输入输出设备。
C.CPU、主机、显示器、打印机、硬盘、键盘。
D.主机箱、集成块、显示器、电源、键盘2.在计算机领域中通常用MIPS来描述()。
A.计算机的可运行性B.计算机的运算速度C.计算机的可靠性D.计算机的可扩充性3.HTTP 的中文意思是()。
A. 布尔逻辑搜索B. 电子公告牌C. 文件传输协议D. 超文本传输协议4.下面是学院主页的Web地址URL,其中符合URL格式的是()。
A.Http//B.Http:C.D.Http:/5.五笔字型码输入法属于()。
A.音码输入法B.形码输入法C.音形结合输入法D.联想输入法6.计算机系统由()两部分组成。
A.主机系统和显示器系统 B.硬件系统和软件系统C.主机和打印机系统 D.主机系统和视窗95系统7.字长为32bit的计算机,表示它能作为一个整体进行传送的数据长度可为()个字节。
A. 1B. 2C. 4D. 88.通常说的CPU是指()。
A.内存储器和控制器B.控制器和运算器C.内存储器和运算器D.内存储器、控制器和运算器二、填空题(本大题共5小题,每题4分共20分)1.数字计算机又分为通用计算机和两类。
2.在微型计算机中,应用最普遍的字符编码是。
3.计算机软件一般包括系统软件和。
4.内存储器可分为_____和ROM。
5.因特网上的服务都是基于某一种协议,Web 服务是基于。
40分)在您心目中具备怎样条件的校外学习中心才是令您满意的校外学习中心?您希望校外学习中心能为您提供哪些支持服务?重庆大学网络教育学院(高中起点专科)2013年入学考试模拟题(一)计算机应用基础参考答案一、单选题1.B2.B3.D4.C5.B6.B7.C8.B二、填空题1.专用计算机2.ASCII码3.应用软件_4.RAM5.HTTP协议三、问答题(略)。
重庆大学网络教育学院-2020年春季学期课程作业工程(二)第3次-参考资料一、填空题 (共 10 题、0 / 20 分 )1、常见的受弯结构是______和______。
参考答案是:梁、刚架2、应用图形相乘法的计算步骤为1) ;2) ;3) 。
参考答案是:图。
1)作实际荷载弯矩图MP2)加相应单位荷载,作单位弯矩图图。
3)用图乘法公式求位移。
3、铰结三角形是三根链杆用____________两两相连形成的三角形体系。
参考答案是:三个单铰4、结构简化的原则是__________、__________。
参考答案是:符合实际、分清主次5、计算含有基本和附属部分的结构内力时,应当先求______部分,再求______部分。
参考答案是:附属(或次要)、基本(或主要)6、图示结构,抗弯杆件不考虑轴向变形,动力自由度数目为______。
参考答案是:47、弯矩影响线的竖标代表当________荷载移动到________处时,引起的弯矩值;而弯矩图的竖标代表______荷载作用下,______处弯矩值。
参考答案是:单位移动、竖标、固定、竖标8、一次超静定结构的力法基本方程d11X1+D1P=0中,自由项d11是由________单独作用于力法________上时,引起的沿X1方向上的位移。
参考答案是:单位未知力(或X1=1)、基本结构9、图示结构力矩分配法计算时,分配系数mAC=______。
参考答案是:0.425510、图示结构使用剪力分配法进行计算,AB柱分配的剪力值为______。
参考答案是:二、计算题 (共 5 题、0 / 40 分 ) 1、作图示伸臂梁的MA 、MC、FQA左、FQA右的影响线。
参考答案是:各影响线如图所示。
2、计算图示静定组合,并绘其内力图。
参考答案是:内力图如图所示。
3、求图示梁在两台吊车荷载(轮压均为FP=82kN)作用下,支座B的最大反力和截面D的最大弯矩。
参考答案是:(1)FRB 的影响线及FRBmax的最不利荷载位置,如图(b)所示。
一、单项选择题(本大题共0 分,共60 小题,每小题0 分)算法的时间复杂度是指()C. 算法执行过程中所需要的基本运算次数衡量一个算法好坏的标准是( )。
C. 时间复杂度低在最长公共子序列问题中,如果定义c[i, j] 为X1..Xi 和Y1..Yj 的最长公共子序列的长度,则长度为m 的X 序列与长度为n 的Y 序列的最长公共子序列的长度为( )。
D. c[m,n]以下关于贪心算法,不正确的说法是 ( )。
D. 所需求解的问题可以不满足最优子结构性质合并排序法的基本思想是:将待排序元素分成大小大致相同的( )个子集合,分别对每一个子集合进行排序,最终将排好序的子集合合并成为所要求的排好序的集合。
C. 2对于n 个元素的排序问题,n=2 时, 只要作( )次比较即可排好序。
C. 1二分搜索算法的基本思想是将n 个元素分成个数大致相同的两半,取a[n/2]与x 进行比较:如果( ),则只要在数组 a 的左半部继续搜索x。
A. x<a[n/2]备忘录方法的递归方式是 ( )A. 自顶向下算法指的是( )。
C. 解决问题的方法和过程应用Johnson 法则的流水作业调度采用的算法是( )D. 动态规划算法算法分析中,记号O 表示( )A. 渐进上界在找零钱问题中,收银员算法中所应用的贪心规则的最恰当描述是( )。
B. 总是选择不超过剩余应找钱数的最大面值的硬币由边界条件出发,通过递推式求f(n)的值,从边界到求解的全过程十分清晰的是( ) B. 递推考虑最长公共子序列问题的下述递归表达式,如果全部子问题组织在一个c[i,j]的二维表格中,则c[i,j]不依赖于下述哪个子问题:( )。
D. 同一行的下一列活动选择问题就是在所给的活动集合中,选出( )的相容活动子集。
A. 当前可选活动中结束时间最早的活动一个长度为n 英寸的钢管的最优切割问题,总共有( )个不同的子问题。
A. n+1算法的每种运算必须要有切当的定义,不能有二义性, 以下符合算法确定性运算的是D. f(n)=f(n-1)+2,f(1)=10,n 为自然数实现快速排序算法如下:QuickSort (A, p, r)IF p < r THEN q ← Partition(A, p, r) ( ) QuickSort(A, q+1, r)A. QuickSort(A,q-1,r)找零钱问题中,定义C[j]为兑换j 所需要的硬币的至少数量,如果找出的第一个硬币为 5 分,则下述公式哪个是对的( )。
重庆高等数学试题及答案一、选择题(每题3分,共30分)1. 函数\( f(x) = x^2 - 4x + 4 \)的最小值是()。
A. 0B. 1C. 3D. 42. 极限\( \lim_{x \to 0} \frac{\sin x}{x} \)的值为()。
A. 0B. 1C. -1D. 23. 函数\( y = e^x \)的导数是()。
A. \( e^x \)B. \( -e^x \)C. \( \ln e^x \)D. \( \frac{1}{e^x} \)4. 曲线\( y = x^3 - 3x^2 + 2 \)的拐点坐标是()。
A. (0,2)B. (1,0)C. (2,-2)D. (3,6)5. 定积分\( \int_{0}^{1} x^2 dx \)的值为()。
A. \( \frac{1}{3} \)B. \( \frac{1}{2} \)C. \( \frac{1}{4} \)D. \( \frac{1}{5} \)6. 微分方程\( y'' + 4y' + 4y = 0 \)的特征方程是()。
A. \( r^2 + 4r + 4 = 0 \)B. \( r^2 - 4r + 4 = 0 \)C. \( r^2 + 4r - 4 = 0 \)D. \( r^2 - 4r - 4 = 0 \)7. 函数\( f(x) = \ln(x+1) \)的不定积分是()。
A. \( x\ln(x+1) - x + C \)B. \( x\ln(x+1) + x + C \)C. \( x\ln(x+1) + \ln(x+1) + C \)D. \( x\ln(x+1) - \ln(x+1) + C \)8. 级数\( \sum_{n=1}^{\infty} \frac{1}{n^2} \)的和是()。
A. \( \frac{\pi^2}{6} \)B. \( \frac{\pi^2}{4} \)C. \( \frac{\pi^2}{3} \)D. \( \frac{\pi^2}{2} \)9. 矩阵\( A = \begin{bmatrix} 1 & 2 \\ 3 & 4 \end{bmatrix} \)的行列式是()。
答案+我名字在为常数,则级数 ( )设,当a=()时。
∙∙正确!∙收藏该题展开该题4、已知某微分方程的通解和初始条件分别为和,则常数和分别等于()。
∙∙正确!∙收藏该题展开该题5、微分方程的通解是()。
∙∙正确!∙收藏该题展开该题6、与的大小关系为(),其中V是以点(1,1,1),(2,1,1),(1,2,1)和(1,1,2)为顶点的闭区域。
∙∙正确!∙收藏该题展开该题7、下列一阶微分方程中哪个不是可分离变量的微分方程()。
∙∙正确!∙收藏该题展开该题8、下列平面中,垂直于Z轴的是()。
∙∙正确!∙收藏该题展开该题9、求解微分方程的通解的Matlab命令为()。
∙∙正确!∙收藏该题展开该题10、函数的定义域是()。
∙∙正确!∙收藏该题展开该题11、求解微分方程使用变换降阶得到的方程是()。
∙∙正确!∙收藏该题展开该题12、级数的和为()。
∙∙正确!∙收藏该题展开该题13、方程组所表示的圆的半径为()。
∙∙正确!∙收藏该题展开该题14、方程表示的曲面是()。
∙∙正确!∙收藏该题展开该题15、椭球面的中心坐标是( )。
∙∙正确!∙收藏该题展开该题二、判断题(共 5 题、5 / 5 分 )1、级数收敛。
()∙∙正确!∙收藏该题展开该题2、幂级数的收敛区间为[-6,-4]。
()∙∙正确!∙收藏该题展开该题3、已知是的解,则微分方程的通解为。
∙∙正确!∙收藏该题展开该题4、微分方程的通解是。
()∙∙正确!∙收藏该题展开该题5、对于非齐次微分方程的通解的Matlab命令为y=dsolve ('D2y-2Dy=(x^2+2x)exp(x)','x')。
()∙∙正确!∙收藏该题展开该题三、填空题(共 6 题、0 / 12 分 )1、二阶齐次微分方程的通解为_________。
∙收藏该题2、如果和是某二阶常系数齐次线性微分方程的解,则该微分方程为________。
∙收藏该题3、设,则= ________________。
重庆大学网络教育学院-2020年春季学期课程作业互联网及其应用第1次-参考资料请认真阅读一下说明然后下载:题库有可能会换,不保证全部都有!请仔细核对是不是您需要的题目再下载!!!!本文档的说明:如果题目顺序和你的试卷不一样,按CTRL+F在题库中逐一搜索每一道题的答案,预祝您取得好成绩百!一、单项选择题(共20 题、8 / 40 分)1、10BASE-5网络传输介质与主机之间通过()连接。
A、RJ-45接口B、DB-25接口C、AUI接口D、RS-232接口参考答案是:C2、对核心结构描述不正确的是()A、适用于大型的互联网络B、所有核心路由器的路由信息必须保持一致C、网点通过核心路由器接入主干网D、核心结构不能太大,否则系统开销参考答案是:A3、NAT中应用最广泛的地址转换表初始化方式是:()A、手工初始化B、外发数据报C、传入域名查找D、自动学习参考答案是:B4、DVMRP叙述正确的是:()A、DVMRP是主机与组播路由器交互的协议B、DVMRP是IGMP的替代协议C、DVMRP用于组播路由器在相互之间传递群组成员关系和路由信息D、DVMRP是一种已经淘汰的矢量距离协议参考答案是:C5、对OSPF协议叙述不正确的是:()A、在IGP协议类中,OSPF是IETF最推崇的协议B、OSPF协议采用SPF算法计算最短路由C、OSPF协议公开了各种规范,成为一个开放标准D、OSPF协议采用矢量距离算法参考答案是:D6、路由器实施路由的依据是()。
A、随机选择B、路由表C、网络连接D、数据大小参考答案是:B7、GSM采用的是()技术A、时分多址B、码分多址C、频分多址D、空分多址参考答案是:A8、关于NAPT,以下叙述哪个是正确的()A、必须使用UDP或TCP协议B、必须采用多个全局IP地址C、允许从外部发起的通信D、必须要网络管理员手工配置参考答案是:A9、组播传播方式是指()A、一台计算机将数据报发送给另一台计算机的一组程序B、一台计算机将数据报发送给一组计算机C、一组计算机与另外一组计算机相互发送数据报D、一台计算机发送一组数据报到另一台计算机参考答案是:B10、NSFNET的建设资助单位是()。
计算机应用基础参考资料一、单项选择题(本大题共0分,共 50 小题,每小题 0 分)1. 在Windows 7中,对桌面上的图标 ______A. 可以用鼠标的拖动及打开一个快捷菜单对它们的位置加以调整B. 只能用鼠标对它们拖动来调整位置C. 只能通过某个菜单来调整位置D. 只需用鼠标在桌面上从屏幕左上角向右下角拖动一次,它们就会重新排列2. 在Word中,当多个文档打开时.关于保存这些文档的说法中正确的是______A. 用”文件”菜单的”保存”命令,只能保存活动文档B. 用”文件”菜单的”保存”命令,可以重命名保存所有文档C. 用”文件”菜单的”保存”命令,可一次性保存所有打开的文档D. 用”文件”另存为”全部保存”命令保存所有打开的文档3. Windows 7操作系统中,快捷键 ______ 删除文件或文件夹到回收站。
A. HomeB. DeleteC. BackspaceD. Esc4. Word 2010在新位置”粘贴”时,用户可以将 ______ 打开,根据需要选择要粘贴的内容。
A. 页面属性B. 插入对象窗口C. 剪贴板窗格D. 自动套用格式窗口5. 下列关于杀毒软件说法不正确的是 ______ 。
A. 杀毒软件可以清除特洛伊木马B. 杀毒软件可以清除恶意软件C. 杀毒软件可以清除电脑病毒D. 杀毒软件不需要升级6. ______ 是计算机的核心部分。
A. 显示器B. CPUC. 键盘D. 显卡7. 域名edu表示 ______ 。
A. 政府部门B. 军事部门C. 商业部门D. 教育部门8. 下列属于应用软件的是 ______A. WindowsB. UnixC. LinuxD. Word9. 如果将D盘根目录下的文件拖动到同一个盘符下的某子目录内,则此时完成的是 ______ 。
A. 文件复制B. 文件移动C. 文件粘贴D. 文件删除10. 在PowerPoint中公式是通过 ______ 输入的。
重庆大学网络教育数学考试试题
一、单选题(共86题)
1. 下列各式中正确的是 ( )
A.
B.
C.
D.
2.
A.2x+3
B.-(2x+3)
C.
D.
3. 化简3a+2b-4a=
A.2b-a
B.
C.-2ab
D.b
4.
A.
B.
C.
D.
5. 因式分解
A.
B.
C.
D.
6.
A.(x+6)(x+1)
B.(x-6)(x-1)
C.(x+2)(x+3)
D.(x-2)(x-3)
7. 分母有理化
A.
B.
C.
D.
8.
A.
B.-15
C.
D.
9. x=-1是方程3a-2x=a的解,则a的值为( )
A.-1
B.1
C.
D.以上都不对
10. 二元一次方程组的解是()
A.
B.
C.
D.
11. 一元二次方程的一个根是-1,则k=( )
A.-5
B.9
C.-9
D.5
12. 的解是( )
A.x=-1
B.x=-5
C.x=-1和x=-5
D.x=1和x=5
13. 集合用区间表示是( )
A.
B.
C.
D.
14. 集合用区间表示是( )
A.
B.
C.
D.
15. 设集合,则这两个集合满足的关系是( )
A.
B.
C.
D.
16. 设集合,则( )
A.
B.
C.空集
D.实数集
17. 函数的定义域是( )
A.
B.
C.(-1,5)
D.[-1,5]
18. 下列4个函数中,与函数定义域相同的函数是( )
A.
B.
C.
D.
19. 已知函数,则( )
A.-1
B.0
C.-4
D.5
20. 设函数且,则( )
A.
B.1
C.2
D.
21. 下列函数中,图象关于原点对称的是( )
A.
B.
C.
D.
22. 函数的奇偶性是()
A.奇函数
B.偶函数
C.非奇非偶函数
D.既是奇函数也是偶函数
23. 已知在上单调递增,则在上的最大值是( )
A.
B.
C.
D.以上都不对
24. 在上单调递减,在上单调递增, 则与的大小关系是( )
A.
B.
C.
D.不能确定
25. 一次函数是奇函数,则( )
A.1 或 2
B.1
C.2
D.以上都不对
26. 反比例函数是减函数,则( )
A.
B.
C.
D.以上都不对
27. 抛物线的顶点在第二象限,则( )
A.
B.
C.
D.
28. 已知,则y的取值范围是( )
A.
B.
C.
D.
29. 函数且,则的最小值为( )
A.
B.
C.
D.
30. 已知二次函数的对称轴方程为,则抛物线的顶点坐标为( )
A.(1,-3)
B.(1,-1)
C.(1,0)
D.(-1,-3)
31. 已知,那么
A.
B.
C.
D.
32. 如果,,那么
A.
B.可以小于也可等于0
C.
D.可为任意实数
33. 不等式的解集为
A.
B.或
C.
D.
34. 不等式的解集为
A.
B.或
C.
D.
35. 不等式组的解集为
A.
B.或
C.
D.
36. 不等式组的解集为
A.
B.或
C.
D.空集
37. 不等式的解集是
A.全体实数
B.空集
C.
D.
38. 不等式的解集是
A.全体实数
B.空集
C.
D.
39.
A.
B.
C.
D.
40. 在下列各式中,正确的是
A.
B.
C.
D.
41. 设,则
A.2
B.4
C.
D.
42. 下列等式中:①, ②, ③,
④,等式正确的个数是
A.1个
B.2个
C.3个
D.4个
43. 函数的图像位于
A.第二象限
B.第一和第二象限
C.第一象限
D.第一和第三象限
44. 函数的图像位于
A.第一象限
B.第一和第二象限
C.第一和第三象限
D.第二和第四象限
45. 函数的反函数是
A.
B.
C.
D.
46. 函数的反函数是
A.
B.
C.
D.
47. 函数
A.奇函数且在上是减函数
B.奇函数且在上是增函数
C.偶函数且在上是减函数
D.偶函数且在上是增函数
48. 若指数函数是减函数,则下列不等式中成立的是
A.
B.
C.
D.
49. 数列的前项和为,则当时
A.
B.
C.
D.
50. 数列的第7项为
A.
B.
C.
D.
51. 已知等差数列中,,则
A.15
B.30
C.31
D.64
52. 已知数列中,,则
A.
B.
C.
D.
53. 设成等比数列,则的值为
A.2或
B.或2
C.4或
D.2或4
54. 在等比数列中,已知,那么的值等于
A.5
B.10
C.15
D.25
55. 已知角,则的终边在()
A.第一象限
B.第二象限
C.第三象限
D.第四象限
56. 375°是第()象限角
A.一;
B.二;
C.三;
D.四.
57. 将角化为角度制表示时,等于
A.420°;
B.480°;
C.60°;
D.120°.
58. 将角化为角度制表示时,等于( )
A.
B.
C.
D.
59. 已知角的终边经过点,则
A.
B.
C.
D.
60. 如果,那么的终边在()
A.第一或第二象限
B.第二或第四象限
C.第二或第三象限
D.第一或第三象限
61.
A.1
B.2
C.3
D.4
62. ()
A.1
B.2
C.3
D.4
63. 恒等于()
A.
B.
C.
D.
64. ( )
A.
B.
C.
D.
65. 已知,且是第三象限角,则
A.
B.
C.
D.
66. 已知,且是第二象限角,则
A.
B.
C.
D.
67. 若,,则
A.
B.
C.
D.
68. 已知,那么
A.
B.
C.
D.
69. 已知,则()
A.
B.
C.
D.
70. ()
A.
B.
C.
D.
71. 的最小正周期是( )
A.
B.
C.
D.
72. 函数的最小正周期是()
A.;
B.;
C.;
D.
73. 函数的最小值是()
A.0
B.-3
C.-5
D.
74. 若,则下列不等式正确的是()
A.
B.
C.
D.
75. 已知,,则等于( )
A.
B.或
C.或
D.或
76.
A.
B.
C.
D.
77. 已知,且∥,则值是()
A.
B.
C.
D.
78. 已知向量,向量,则()
A.;
B.;
C.;
D.
79. 经过点P(2,3),斜率为-1的直线方程为()
A.;
B.;
C.;
D.
80. 经过(-4,5)点,倾角是的直线方程是()
A.
B.
C.
D.
81. 过点且与直线垂直的直线方程是( )
A.
B.
C.
D.
82. 在轴上截距为2且垂直于直线的直线方程是()
A.
B.
C.
D.
83. 过点P(1,2)与圆相切的直线方程是()
A.
B.
C.
D.
84. 已知圆心在x轴上,且圆经过两点A(-1,3),B(-3,1),则该圆的方程为()
A.;
B.;
C.;
D.
85. 若方程表示焦点在轴上的双曲线, 则满足()
A.
B.
C.
D.
.
86. 中心在原点,长轴等于16,短轴等于8,焦点在轴上的椭圆方程是()
A.
B.
C.
D.。