金融数学第六章连续时间金融初步
- 格式:ppt
- 大小:115.50 KB
- 文档页数:25
金融数学读书笔记通过整理的金融数学读书笔记相关文档,渴望对大家有所扶植,感谢观看!金融数学读书笔记(一):金融数学综述和探讨前景展望狭义的金融学是指金融市场的经济学。
现代意义下的金融市场至少已有300年以上的历史,它从一起先就是经济学的探讨对象。
但人们通常认为现代金融学只有不到50年的历史。
这50年也就是使金融学成为可用数学公理化方法架构的历史.从瓦尔拉斯-阿罗-德布**的一般经济均衡体系的观点来看,现代金融学的第一篇文献是阿罗于1953年发表的论文《证券在风险担当的最优配置中的作用。
在这篇论文中,阿罗把证券理解为在不确定的不同状态下有不同价值的商品。
这一思想后来又被德布**所发展,他把原来的一般经济均衡模型通过拓广商品空间的维数来处理金融市场,其中证券无非是不同时间、不同状况下有不同价值的商品。
但是后来大家发觉,把金融市场用这种方式混同于一般商品市场是不合适的。
缘由在于它掩盖了金融市场的不确定性本质。
尤其是其中隐含着对每一种可能发生的状态都有相应的证券相对应,犹如每一种可能有的金融风险都有保险那样,与现实相差太远。
这样,经济学家又为金融学寻求其他的数学架构.新的用数学来架构的现代金融学被认为是两次“华尔街革命”的产物.第一次“华尔街革命”是指1952年马科维茨的证券组合选择理论的问世。
其次次“华尔街革命”是指1973年布莱克-肖尔斯期权定价公式的问世.这两次“革命”的特点之一都是避开了一般经济均衡的理论框架,以致在很长时期内都被传统的经济学家认为是“异端邪说”。
但是它们又的确使以华尔街为代表的金融市场引起了“革命”,从而最终也使金融学发生根本改观。
马科维茨因此荣获1990年诺贝尔经济学奖,肖尔斯(M.Scholes,1941—)则和对期权定价理论作出系统探讨的默顿一起荣获1997年的诺贝尔经济学奖。
布莱克(F.Black,1938—1995)不幸早逝,没有与他们一起领奖。
从马科维茨的证券组合选择理论起先的金融经济学变革:马科维茨探讨的是这样一个问题:一个投资者同时在很多种证券上投资,那么应当如何选择各种证券的投资比例,使得投资收益最大,风险最小.马科维茨在观念上的最大贡献,在于他把收益与风险这两个原本有点模糊的概念明确为具体的数学概念。
数理金融初步课程目的:(1)了解数学与金融学交叉而成的新兴科学的基本情况;(2)通过一个侧面,了解数学在当今时代的重要作用;(3)通过课程的介绍,希望同学们结合自己的兴趣对今后的大学生涯有一个很好的认识和规划;(4)通过课程的学习,期望能对同学们今后的生活方式和理财方式,进而是消费方式的科学合理安排产生一定的积极影响。
第一讲,金融数学与金融工程介绍:一、金融数学介绍:金融数学是一门新兴的边缘科学, 是数学与金融学的交叉。
它是在两次华尔街革命的基础上产生和发展起来的, 其核心问题是不确定环境下的最优投资策略的选择理论和资产的定价理论。
近年来, 由于金融理论的长足进步、现代信息技术的飞速发展以及金融市场的动荡, 金融创新步伐日益加快, 新的金融产品、金融服务在市场上层出不穷,资金的流动也显著加快。
金融市场运行的规律、资产的定价、风险管理以及投资决策分析显得空前重要, 这些问题是现代金融理论与实践中的核心问题。
由于所研究问题的复杂性,单纯的描述型方法已不适应现代金融学研究的需要。
现代金融学已从单纯的描述型学科转变成分析型学科,通过建立证券市场的数学模型, 研究其运行规律, 并正在向工程化阶段转变。
人们把研制、开发和实施新型金融产品的科学称为金融工程。
而把相应的数学上的建模、分析、计算称为金融数学。
金融工程是金融创新实现的手段, 金融数学是金融工程的基础, 并促使金融工具不断创新。
21世纪中国经济与金融领域研究的一个重大转变,就是数量方法的研究被越来越广泛地应用。
数量方法在金融中的大量应用使得数学与金融的联系变得密不可分,由此产生了金融数学这门交叉学科。
随着金融相关问题研究方式的转变,我国高校金融学专业的教学方式也发生了变革,金融学科普遍加强了数量方法类课程的设置,金融数学往往是被优先考虑的课程。
现在很多综合性大学数学系也逐渐增设金融数学专业。
金融数学在我国的发展不仅是我国开展金融理论研究的需求,而实践的需求也进一步推动了金融数学学科的发展。
《金融数学》课程简介金融数学 3.0课程英文名称:Financial Mathematical 3---0,预修课程:微积分、线性代数面向对象:全校本科生内容简介:金融数学是一门数学科学与金融学的新兴交叉学科,目前在世界上它发展非常迅速,已成为十分活跃的前沿学科之一。
金融数学就是利用数学工具对金融学中的理论和现象进行研究和分析,建立相应的数学模型,进行理论分析和数值计算等,以求找到金融活动内在的规律并用以指导实践。
通过金融数学的学习,希望培养学生数学、经济、金融等方面的相关基础知识,造就应用数学与金融学交叉科学领域方面的复合型人才。
推荐教材或参考书:(含教材名,主编,出版社,出版年代)《期权定价的数学模型和方法》,姜礼尚,高等教育出版社2003,北京《数理金融:资产定价与金融决策理论》,叶中行林建忠编著,科学出版社,1998,北京。
《数理金融经济学》王一鸣,北京大学出版社,2000,北京Ioannis Karatzas, Steven E. Shreve. Karatzas, Ioannis. 1998Martingale methods in financial modelling / Marek Musiela, Marek Rutkowski. Musiela, Marek, 1950- 1997《金融数学》教学大纲金融数学 3.0课程英文名称:Financial Mathematical 3---0,预修课程:微积分、线性代数面向对象:全校本科生一、教学目的与基本要求:(1)使学生了解金融数学研究的主要对象和经济背景,理解金融数学中的主要概念和理论,掌握主要的建模工具以及重要的数学模型的应用方法,较为熟练地运用一些主要的公式进行计算。
(2)要正确理解以下概念:效用与偏好序,投资组合,套利,风险厌恶,等价概率分布,风险中性定价,状态定价向量,布朗运动与扩散,倍率函数,风险控制函数;股票与债券,证券与衍生证券,期货与期权,未定权益,利率期限结构,公司资本结构等基本概念。
西南财经大学金融学院考研导师方能胜一、个人基本信息办公室:通博楼A214姓名性别系别职称职务办公电话方能胜男金融工程副教授二、教育背景起止年月(本科起)院校及系、专业2000.9-2004.7 厦门大学数学科学学院2004.9-2009.7(硕博连读)厦门大学数学科学学院三、工作经历起止年月单位及职务2009.9-至今西南财经大学金融学院四、讲授课程名称讲授课程层次讲授课程名称研究生选修课《连续时间金融》《volatility and pricing》本科生选修课《衍生金融工具》《金融风险管理》《数学模型与数学实验》《身边的金融》五、主要研究领域与方向1. 资产定价2. 金融数学六、承担的研究项目姓名项目名称资助单位批准时间备注罗荣华、方能胜一种度量风险的新方法——基于极值理论的拓展和应用国家自然科学基金委2010.09参与朱波、方能胜宏观审慎时代金融体系系统性风险研究国家自然科学基金委2011.09参与方能胜波动率模型的研究和应用西南财经大学211课题2010.11主持【金融硕士考研经验】凯程2015年考取全国金融硕士超过200人,经验分享视频见凯程光荣榜,其中基本都是跨专业的学生,还有很大一部分是本科二本的同学。
各校金融硕士在录取的时候非常公平,招生人数多(各个学校招生人数咨询凯程老师),加上凯程的专业辅导与人脉关系,凯程已经成为了金融硕士的黄埔军校,每年考取各校金融硕士的人数是其他院校的总和还要多。
在凯程网站有很多成功学员的视频,凯程学校里有专门针对道口、清华经管、北大、人大、中财、贸大等院校的内部讲义,这是其他机构所不具备的,同学们到了凯程学校可以实地查看(有些机构根本就没有开过金融硕士课程,自然没有讲义了)(其中中财金融硕士讲义包括:中财金融硕士凯程通,中财金融硕士热点讲义,中财金融硕士真题讲义,中财金融硕士冲刺讲义、题库等)。
此外,其他机构1个经验谈视频都没有,凯程的金融硕士经验谈非常多,在凯程网站有展示,同学们可以查看。
金融数学基础书籍系列介绍mqx:金融数学(Financial Mathematics),又称数理金融学、数学金融学、分析金融学,是利用数学工具研究金融,进行数学建模、理论分析、数值计算等定量分析,以求找到金融动内在规律并用以指导实践。
金融数学也可以理解为现代数学与计算技术在金融领域的应用,因此,金融数学是一门新兴的交叉学科,发展很快,是目前十分活跃的前言学科之一。
金融数学的发展曾两次引发了“华尔街革命”。
上个世纪50年代初期,马科威茨提出证券投资组合理论,第一次明确地用数学工具给出了在一定风险水平下按不同比例投资多种证券收益可能最大的投资方法,引发了第一次“华尔街革命”,马科威茨因此获得了1990年诺贝尔经济学奖。
1973年,布莱克和斯克尔斯用数学方法给出了期权定价公式,推动了期权交易的发展,期权交易很快成为世界金融市场的主要内容,成为第二次“华尔街革命”,修斯因此获得了1997年诺贝尔经济学奖。
2003年诺贝尔经济学奖第三次授予以数学为工具分析金融问题的美国经济学家恩格尔和英国经济学家格兰杰以表彰他们分别用“随着时间变化易变性”和“共同趋势”两种新方法分析经济时间数列给经济学研究和经济发展带来巨大影响。
金融数学在我国起步比较晚,但于1997 年正式实施的国家“九五”重大项目《金融数学、金融工程、金融管理》,直接推动了我国金融数学这一交叉学科的兴起和发展。
金融数学,运用随机分析,随机最优控制,倒向随机微分方程,非线性分析,分形几何等现代数学工具研究以下问题:(1)不完备金融市场有价证券(例如期货,期权等衍生工具)的资本资产定价模型,套利定价理论,套期保值理论及最优投资和消费理论。
(2)利率的期限结构和利率衍生产品的定价理论。
(3)不完备金融市场的风险管理和风险控制理论。
直愚:1.概率论很不幸的事实是,概率论基本上没有好的中文教材(1998之前,之后我就不清楚了),Ross的书适合本科和硕士生,胜在例子详尽,Billingsley的概率论和弱收敛的两本教材是非常好的入门书,chung的概率论教材很严格,读起来会有点累,如果你真的想理解概率论,feller的两本书是不可不读的,可以说,从高中水平到博士以上学位的读者,都会从中获益---如果要推选概率论里面最有影响的教材,feller的书无可比拟,Breiman的书也是经典,概率味比chung的浓,loeve的书可以作为工具书使用。
《金融数学》课程教学大纲英文名称:Financial mathematics课程编码:0411040课程性质:专业选修课学时:30学时学分:2学分开课学期:第七学期适用专业:数学与应用数学专业先修课程:《高等数学》、《概率论与数理统计》、《常微分方程》一、课程性质、目的和要求金融数学为数学系金融数学专业的专业选修课,通过本课程的学习,要求学生了解金融数学是以与货币的流通发行和运用过程相关的所有经济活动为研究对象的,并运用数学和统计学等方法进行定量研究和应用的学科。
本课程的教学目的是使学生掌握金融数学的基本模型和方法,提高学生利用定量化分析技术处理金融问题的能力,为进一步学习、研究现代金融理论打好基础。
教学过程采取课堂讲解、案例教学、课堂讨论相结合的方式。
本课程要求学生了解和掌握基本数学工具,能够将学到的金融数学方法与分析技术运用到实际的研究工作中。
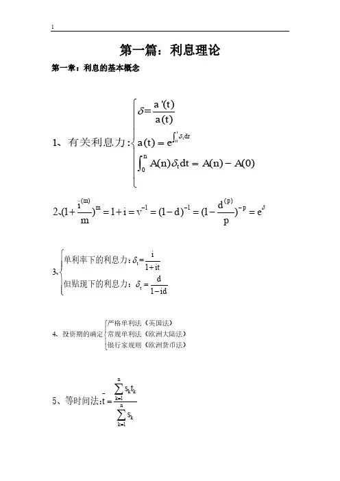
二、教学内容、要点和课时安排第一章利息基本计算(4学时)教学目的与要求:使学生了解利息计算的基本函数,计算过程中常见的基本处理方法和工具。
教学重点:在计算利息时常用的几个基本概念。
教学难点:有关利息的计算实例。
教学方法和手段:讲授法第一节利息基本函数一、有关概念:累积函数、单利和复利、贴现函数、名利率和名贴现率二、连续利息计算第二节利息基本计算一、时间单位的确定二、价值方程与等时间法三、利率的计算第三节 实例分析一、现实生活中与利率有关的金融现象二、提前支取的处罚三、其他实例思考题:1.设总量函数为A (t )= 223t t ++,试计算累积函数a(t)和第n 个时段的利息n I 。
2.已知帐户A 的累积函数为2()1A a t t =+,帐户B 的累积函数为2()12B a t t t =++,试计算帐户A 的利息力超过帐户B 的利息力的时刻。
第二章 年金(4学时) 教学目的与要求:使学生了解年金的概念及年金现金流的计算问题。
教学重点:基本年金、广义年金与变化年金的概念与基本计算。
金融数学金融数学(FinancialMathematics),又称数理金融学、数学金融学、分析金融学,是利用数学工具研究金融,进行数学建模、理论分析、数值计算等定量分析,以求找到金融学内在规律并用以指导实践。
金融数学也可以理解为现代数学与计算技术在金融领域的应用,因此,金融数学是一门新兴的交叉学科,发展很快,是目前十分活跃的前沿学科之一。
目录概述必备工具现状及发展研究科目人才现状主要研究内容数据挖掘图书《金融数学》概述必备工具现状及发展研究科目人才现状主要研究内容数据挖掘图书《金融数学》•目录概述金融数金融数学学是一门新兴学科,是“金融高技术”的重要组成部分。
研究金融数学有着重要的意义。
金融数学总的研究目标是利用我国数学界某些方面的优势,围绕金融市场的均衡与有价证券定价的数学理论进行深入剖析,建立适合我国国情的数学模型,编写一定的计算机软件,对理论研究结果进行仿真计算,对实际数据进行计量经济分析研究,为实际金融部门提供较深入的技术分析咨询。
金融数学是在两次华尔街革命的基础上迅速发展起来的一门数学与金融学相交叉的前沿学科。
其核心内容就是研究不确定随机环境下的投资组合的最优选择理论和资产的定价理论。
套利、最优与均衡是金融数学的基本经济思想和三大基本概念。
在国际上,这门学科已经有50 多年的发展历史,特别是近些年来,在许多专家、学者们的努力下,金融数学中的许多理论得以证明、模拟和完善。
金融数学的迅速发展,带动了现代金融市场中金融产品的快速创新,使得金融交易的范围和层次更加丰富和多样。
这门新兴的学科同样与我国金融改革和发展有紧密的联系,而且其在我国的发展前景不可限量。
必备工具21世金融数学纪数学技术和计算机技术一样成为任何一门科学发展过程中的必备工具。
美国花旗银行副总裁柯林斯(Collins)1995年3月6日在英国剑桥大学牛顿数学科学研究所的讲演中叙述到:“在18世纪初,和牛顿同时代的著名数学家伯努利曾宣称:‘从事物理学研究而不懂数学的人实际上处理的是意义不大的东西。