2010高考数学知识总结
- 格式:ppt
- 大小:6.01 MB
- 文档页数:270
2010年高考数学知识点总结第一篇:2010年高考数学知识点总结2010年高考数学知识点总结1.平面向量考试内容:向量.向量的加法与减法.实数与向量的积.平面向量的坐标表示.线段的定比分点.平面向量的数量积.平面两点间的距离.平移.考试要求:(1)理解向量的概念,掌握向量的几何表示,了解共线向量的概念.(2)掌握向量的加法和减法.(3)掌握实数与向量的积,理解两个向量共线的充要条件.(4)了解平面向量的基本定理,理解平面向量的坐标的概念,掌握平面向量的坐标运算.(5)掌握平面向量的数量积及其几何意义,了解用平面向量的数量积可以处理有关长度、角度和垂直的问题,掌握向量垂直的条件.(6)掌握平面两点间的距离公式,以及线段的定比分点和中点坐标公式,并且能熟练运用.掌握平移公式.2.集合、简易逻辑考试内容:集合.子集.补集.交集.并集.逻辑联结词.四种命题.充分条件和必要条件.考试要求:理解集合、子集、补集、交集、并集的概念.了解空集和全集的意义.了解属于、包含、相等关系的意义.掌握有关的术语和符号,并会用它们正确表示一些简单的集合.理解逻辑联结词“或”、“且”、“非”的含义.理解四种命题及其相互关系.掌握充分条件、必要条件及充要条件的意义.3.函数考试内容:映射.函数.函数的单调性.奇偶性.反函数.互为反函数的函数图像间的关系.指数概念的扩充.有理指数幂的运算性质.指数函数.对数.对数的运算性质.对数函数.函数的应用.考试要求:了解映射的概念,理解函数的概念.了解函数单调性、奇偶性的概念,掌握判断一些简单函数的单调性、奇偶性的方法.了解反函数的概念及互为反函数的函数图像间的关系,会求一些简单函数的反函数.理解分数指数幂的概念,掌握有理指数幂的运算性质,掌握指数函数的概念、图像和性质.理解对数的概念,掌握对数的运算性质.掌握对数函数的概念、图像和性质.能够运用函数的性质、指数函数和对数函数的性质解决某些简单的实际问题.4.不等式不等式.不等式的基本性质.不等式的证明.不等式的解法.含绝对值的不等式.考试要求:(1)理解不等式的性质及其证明.(2)掌握两个(不扩展到三个)正数的算术平均数不小于它们的几何平均数的定理,并会简单的应用.(3)掌握分析法、综合法、比较法证明简单的不等式.(4)掌握简单不等式的解法.(5)理解不等式│a│-│b│≤│a+b│≤│a│+│b│.5.三角函数考试内容:角的概念的推广.弧度制.任意角的三角函数.单位圆中的三角函数线.同角三角函数的基本关系式.正弦、余弦的诱导公式.两角和与差的正弦、余弦、正切.二倍角的正弦、余弦、正切.正弦函数、余弦函数的图像和性质.周期函数.函数y=Asin(ωx+)的图像.正切函数的图像和性质.已知三角函数值求角.正弦定理.余弦定理.斜三角形解法.考试要求:(1)理解任意角的概念、弧度的意义.能正确地进行弧度与角度的换算.(2)掌握任意角的正弦、余弦、正切的定义.了解余切、正割、余割的定义.掌握同角三角函数的基本关系式.掌握正弦、余弦的诱导公式.了解周期函数与最小正周期的意义.(3)掌握两角和与两角差的正弦、余弦、正切公式.掌握二倍角的正弦、余弦、正切公式.(4)能正确运用三角公式,进行简单三角函数式的化简、求值和恒等式证明.(5)理解正弦函数、余弦函数、正切函数的图像和性质,会用“五点法”画正弦函数、余弦函数和函数y=Asin(ωx+)的简图,理解A,ω, 的物理意义.(6)会由已知三角函数值求角,并会用符号arcsin x、arccos x、arctanx表示.(7)掌握正弦定理、余弦定理,并能初步运用它们解斜三角形.6.数列考试内容:数列.等差数列及其通项公式.等差数列前n项和公式.等比数列及其通项公式.等比数列前n项和公式.考试要求:(1)理解数列的概念,了解数列通项公式的意义.了解递推公式是给出数列的一种方法,并能根据递推公式写出数列的前几项.(2)理解等差数列的概念,掌握等差数列的通项公式与前n项和公式,并能解决简单的实际问题.(3)理解等比数列的概念,掌握等比数列的通项公式与前n项和公式,并能解决简单的实际问题.7.直线和圆的方程考试内容:直线的倾斜角和斜率.直线方程的点斜式和两点式.直线方程的一般式.两条直线平行与垂直的条件.两条直线的交角.点到直线的距离.用二元一次不等式表示平面区域.简单的线性规划问题.曲线与方程的概念.由已知条件列出曲线方程.圆的标准方程和一般方程.圆的参数方程.考试要求:(1)理解直线的倾斜角和斜率的概念,掌握过两点的直线的斜率公式.掌握直线方程的点斜式、两点式、一般式,并能根据条件熟练地求出直线方程.(2)掌握两条直线平行与垂直的条件,两条直线所成的角和点到直线的距离公式.能够根据直线的方程判断两条直线的位置关系.(3)了解二元一次不等式表示平面区域.(4)了解线性规划的意义,并会简单的应用.(5)了解解析几何的基本思想,了解坐标法.(6)掌握圆的标准方程和一般方程,了解参数方程的概念,理解圆的参数方程.8.圆锥曲线方程考试内容:椭圆及其标准方程.椭圆的简单几何性质.椭圆的参数方程.双曲线及其标准方程.双曲线的简单几何性质.抛物线及其标准方程.抛物线的简单几何性质.考试要求:(1)掌握椭圆的定义、标准方程和椭圆的简单几何性质,了解椭圆的参数方程.(2)掌握双曲线的定义、标准方程和双曲线的简单几何性质.(3)掌握抛物线的定义、标准方程和抛物线的简单几何性质.(4)了解圆锥曲线的初步应用.9(A).①直线、平面、简单几何体考试内容:平面及其基本性质.平面图形直观图的画法.平行直线.对应边分别平行的角.异面直线所成的角.异面直线的公垂线.异面直线的距离.直线和平面平行的判定与性质.直线和平面垂直的判定与性质.点到平面的距离.斜线在平面上的射影.直线和平面所成的角.三垂线定理及其逆定理.平行平面的判定与性质.平行平面间的距离.二面角及其平面角.两个平面垂直的判定与性质.多面体.正多面体.棱柱.棱锥.球.考试要求:(1)掌握平面的基本性质,会用斜二测的画法画水平放置的平面图形的直观图.能够画出空间两条直线、直线和平面的各种位置关系的图形.能够根据图形想像它们的位置关系.(2)掌握两条直线平行与垂直的判定定理和性质定理.掌握两条直线所成的角和距离的概念,对于异面直线的距离,只要求会计算已给出公垂线时的距离.(3)掌握直线和平面平行的判定定理和性质定理.掌握直线和平面垂直的判定定理和性质定理.掌握斜线在平面上的射影、直线和平面所成的角、直线和平面的距离的概念.掌握三垂线定理及其逆定理.(4)掌握两个平面平行的判定定理和性质定理.掌握二面角、二面角的平面角、两个平行平面间的距离的概念.掌握两个平面垂直的判定定理和性质定理.(5)会用反证法证明简单的问题.(6)了解多面体、凸多面体的概念,了解正多面体的概念.(7)了解棱柱的概念,掌握棱柱的性质,会画直棱柱的直观图.(8)了解棱锥的概念,掌握正棱锥的性质,会画正棱锥的直观图.(9)了解球的概念,掌握球的性质,掌握球的表面积、体积公式.9(B).直线、平面、简单几何体考试内容:平面及其基本性质.平面图形直观图的画法.平行直线.直线和平面平行的判定与性质.直线和平面垂直的判定.三垂线定理及其逆定理.两个平面的位置关系.空间向量及其加法、减法与数乘.空间向量的坐标表示.空间向量的数量积.直线的方向向量.异面直线所成的角.异面直线的公垂线.异面直线的距离.直线和平面垂直的性质.平面的法向量.点到平面的距离.直线和平面所成的角.向量在平面内的射影.平行平面的判定和性质.平行平面间的距离.二面角及其平面角.两个平面垂直的判定和性质.多面体.正多面体.棱柱.棱锥.球.考试要求:(1)掌握平面的基本性质,会用斜二测的画法画水平放置的平面图形的直观图;能够画出空间两条直线、直线和平面的各种位置关系的图形,能够根据图形想像它们的位置关系.(2)掌握直线和平面平行的判定定理和性质定理;理解直线和平面垂直的概念,掌握直线和平面垂直的判定定理;掌握三垂线定理及其逆定理.(3)理解空间向量的概念,掌握空间向量的加法、减法和数乘.(4)了解空间向量的基本定理;理解空间向量坐标的概念,掌握空间向量的坐标运算.(5)掌握空间向量的数量积的定义及其性质;掌握用直角坐标计算空间向量数量积的公式;掌握空间两点间距离公式.(6)理解直线的方向向量、平面的法向量、向量在平面内的射影等概念.(7)掌握直线和直线、直线和平面、平面和平面所成的角、距离的概念.对于异面直线的距离,只要求会计算已给出公垂线或在坐标表示下的距离.掌握直线和平面垂直的性质定理.掌握两个平面平行、垂直的判定定理和性质定理.(8)了解多面体、凸多面体的概念,了解正多面体的概念.(9)了解棱柱的概念,掌握棱柱的性质,会画直棱柱的直观图.(10)了解棱锥的概念,掌握正棱锥的性质,会画正棱锥的直观图.(11)了解球的概念,掌握球的性质,掌握球的表面积、体积公式.(考生可在9(A)和9(B)中任选其一)10.排列、组合、二项式定理考试内容:分类计数原理与分步计数原理.排列.排列数公式.组合.组合数公式.组合数的两个性质.二项式定理.二项展开式的性质.考试要求:(1)掌握分类计数原理与分步计数原理,并能用它们分析和解决一些简单的应用问题.(2)理解排列的意义,掌握排列数计算公式,并能用它解决一些简单的应用问题.(3)理解组合的意义,掌握组合数计算公式和组合数的性质,并能用它们解决一些简单的应用问题.(4)掌握二项式定理和二项展开式的性质,并能用它们计算和证明一些简单的问题.11.概率考试内容:随机事件的概率.等可能性事件的概率.互斥事件有一个发生的概率.相互独立事件同时发生的概率.独立重复试验.考试要求:(1)了解随机事件的发生存在着规律性和随机事件概率的意义.(2)了解等可能性事件的概率的意义,会用排列组合的基本公式计算一些等可能性事件的概率.(3)了解互斥事件、相互独立事件的意义,会用互斥事件的概率加法公式与相互独立事件的概率乘法公式计算一些事件的概率.(4)会计算事件在n次独立重复试验中恰好发生k次的概率.12.统计考试内容:抽样方法.总体分布的估计.总体期望值和方差的估计.考试要求:(1)了解随机抽样了解分层抽样的意义,会用它们对简单实际问题进行抽样.(2)会用样本频率分布估计总体分布.(3)会用样本估计总体期望值和方差.13.导数考试内容:导数的背景.导数的概念.多项式函数的导数.利用导数研究函数的单调性和极值.函数的最大值和最小值.考试要求:(1)了解导数概念的某些实际背景.(2)理解导数的几何意义.(3)理解极大值、极小值、最大值、最小值的概念,并会用导数求多项式函数的单调区间、极大值、极小值及闭区间上的最大值和最小值.(4)会利用导数求某些简单实际问题的最大值和最小值.第二篇:2021年高考数学知识点归纳总结2021年高考数学知识点归纳总结你知道吗?高中数学在学习的过程中,有很多知识点常考点。
<∆∆0=>∆0关于直线对称。
x y =⑦证明函数图像的对称性,即证明图像上任意点关于对称注意:①根据要求先画出抛物线,然后写出图象成立的充要条件。
<-20n a b使得取最大值使得取最小值。
,=,=)ααcos -)2(α-ctg αtg =-)3(απtg tg -、三角函数的图象:的最大值是B x ++)sin(ϕω),(其中00>>ωA A +,频率是,相位是,初相是;其图象的对称轴ωπ2πω2=f ϕω+x ϕ,凡是该图象与直线的交点都是该图象的对称中心)(2Z k ∈+πB y =)。
k π=三角函数的单调区间:的递增区间是,递减区间是⎤⎡+-22ππππk k ,)(Z k ∈⎡2πk1.平面向量知识结构表2.向量的概念①向量的加法与减法:定义与法则(如图5-1):a+b =(x 1+x 2,y 1+y 2),a-b =(x 1-x 2,y 1-y 2)。
其中a =(x 1,y 1),b =(x 2,y 2)。
运算律:a+b=b+a,(a+b)+c=a+(b+c),a+0=0+a=a 。
②向量的数乘(实数与向量的积)定义与法则(如图5-2):λa=λ(x,y)=(λx, λy)(1)︱︱=︱︱·︱︱;λa λa λa+λb。
=,OA a )=λ(·),(b a b 2121y y x x +分有向线段AB 所成的比为+=+=222121y y x x ,但不一定有斜率。
(斜率=tgα,α=90 时,无斜率),这时必有两条切线,注意不要漏掉平行于例如:一条直线经过点,且被圆截得的弦长为求此弦所在直线的方程。
该题就要注意,不要漏掉准线方程:,1ex 1122)(ex a x ca e PF -=-=通径,过焦点与长轴垂直的直线与椭圆相交所得弦,其长为22b a中经常利用余弦定理、三角形面积公式将有关线段、1PF轨迹是双曲线。
12222=-b y )0,0(>>b a 122=)0,0(>>b a ; y∈R; 实轴长,虚轴长=2b}a x a x x ≤≥、2c 准线方程:ca x 2±=)图中线段的几何特征:=1AF BF 22.图形:性质:方程:(焦点到准线的距离);、、、-->=p p px y ),0(,22(p)的焦点F 的弦为AB +p以上两公式只适合过焦点的弦长的求法,对于其它的弦,只能用。
2010年高考全国卷数学知识点预测:1.集合与简易逻辑分值在5分左右(一道选择题),考查的重点是抽象思维能力,主要考查集合与集合的关系,将加强对集合的计算与化简的考查,与不等式结合考查不等式解法的可能性较大。
简易逻辑多为考查“充分与必要条件”及命题真伪的判别。
2.函数与导数分值在25分左右(两小一大),函数的单调性和奇偶性有向抽象函数发展的趋势。
注意函数的图像的平移、伸缩变换与对称变换、函数的对称性与函数值的变化趋势,函数的最值与反函数的新题型。
函数与导数的结合是高考的热点题型,文科以三次函数为命题载体,理科以对数函数、指数函数及分式函数为命题载体,以切线、极值、单调性为设置条件,与数列、不等式、解析几何综合的有特色的试题,应加以重视。
3.不等式不会单独命题,会在其他题型中“隐蔽”出现,分值一般在10左右。
不等式作为一种工具广泛地应用在涉及函数、数列、解几等知识的考查中,不等式重点考五种题型:解不等式(组);证明不等式;比较大小;不等式的应用;不等式的综合性问题。
选择题和填空题主要考查不等式性质、解法及均值不等式。
解答题会与其它知识的交汇中考查,如含参量不等式的解法(确定取值范围)、数列通项或前n项和的有界性证明、由函数的导数确定最值型的不等式证明等。
4.向量分值在20分左右,估计会有一道小题的纯向量题,另外在函数、三角、解析几何与立体几何中均可能结合出题。
向量是新增的重点内容,它融代数特征和几何特征于一体,能与三角函数、函数、解析几何、立体几何自然交汇、亲密接触。
在处理位置关系、长度、夹角计算上都有优势,向量作为代数与几何的纽带,理应发挥其坐标运算与动点轨迹、曲线方程等综合方面的工具性功能,因此加大对向量的考查力度,充分体现向量的工具价值和思维价值,应该是今后高考命题的发展趋势。
向量和平面几何的结合是高考选择、填空题的命题亮点,向量不再停留在问题的直接表达水平上,而与解析几何、函数、三角等知识有机结合将成为一种趋势,会逐渐增加其综合程度。
2010 年高考数学重点复习知识点(含练习题)---------南通四星级高中数学资料一、集合与逻辑 1、区分集合中元素的形式:如:{}x y x lg |=—函数的定义域;{}x y y lg |=—函数的值域;{}x y y x lg |),(=—函数图象上的点集,如(1)设集合{|3}M x y x ==+,集合N ={}2|1,y y x x M =+∈,则M N =___(答:[1,)+∞);(2)设集合{|(1,2)(3,4),}M a a R λλ==+∈,{|(2,3)(4,5)N a a λ==+,}R λ∈,则=N M _____(答:)}2,2{(--)2、条件为B A ⊆,在讨论的时候不要遗忘了φ=A 的情况如:}012|{2=--=x ax x A ,如果φ=+R A ,求a 的取值。
(答:a ≤0)3、}|{B x A x x B A ∈∈=且 ;}|{B x A x x B A ∈∈=或C U A={x|x ∈U 但x ∉A};B x A x B A ∈∈⇔⊆则;真子集怎定义? 含n 个元素的集合的子集个数为2n,真子集个数为2n-1;如满足{1,2}{1,2,3,4,5}M ⊂⊆≠集合M 有______个。
(答:7)4、C U (A ∩B)=C U A ∪C U B; C U (A ∪B)=C U A ∩C U B;card(A ∪B)=?5、A ∩B=A ⇔A ∪B=B ⇔A ⊆B ⇔C U B ⊆C U A ⇔A ∩C U B=∅⇔C U A ∪B=U6、补集思想常运用于解决否定型或正面较复杂的有关问题。
如已知函数12)2(24)(22+----=p p x p x x f 在区间]1,1[-上至少存在一个实数c ,使0)(>c f ,求实数p 的取值范围。
(答:3(3,)2-)7、原命题: p q ⇒;逆命题: q p ⇒;否命题: p q ⌝⇒⌝;逆否命题: q p ⌝⇒⌝;互为逆否的两个命题是等价的.如:“βαsin sin ≠”是“βα≠”的 条件。
2010全国各地高考数学文科试题分类汇编函数与导数2010安徽文(20)(本小题满分12分)设函数()sin cos 1 , 02f x x x x x π=-++<<,求函数()f x 的单调区间与极值。
2010北京文(18) (本小题共14分) 设定函数32()(0)3a f x x bx cx d a =+++ ,且方程'()90f x x -=的两个根分别为1,4。
(Ⅰ)当a=3且曲线()y f x =过原点时,求()f x 的解析式; (Ⅱ)若()f x 在(,)-∞+∞无极值点,求a 的取值范围。
2010湖南文21.(本小题满分13分) 已知函数()(1)ln 15,af x x a x a x=++-+其中a<0,且a ≠-1. (Ⅰ)讨论函数()f x 的单调性;(Ⅱ)设函数332(23646),1(),1(){x x ax ax a a e x e f x x g x -++--≤⋅>=(e 是自然数的底数)。
是否存在a ,使()g x 在[a,-a]上为减函数?若存在,求a 的取值范围;若不存在,请说明理由。
2010辽宁文(21)(本小题满分12分)已知函数2()(1)ln 1f x a x ax =+++. (Ⅰ)讨论函数()f x 的单调性;(Ⅱ)设2a ≤-,证明:对任意12,(0,)x x ∈+∞,1212|()()|4||f x f x x x -≥-。
(21)(本小题满分12分) 已知函数1()ln 1()af x x ax a R x-=-+-∈ (I )当1a =-时,求曲线()y f x =在点(2,(2))f 处的切线方程;(II )当12a ≤时,讨论()f x 的单调性. 2010陕西文21、(本小题满分14分)已知函数f (x )g (x )=alnx ,a ∈R 。
(1)若曲线y=f(x)与曲线y=g(x)相交,且在交点处有相同的切线,求a 的值及该切线的方程; (2)设函数h(x)=f(x)- g(x),当h(x)存在最小之时,求其最小值ϕ(a )的解析式; (3) 对(2)中的ϕ(a ),证明:当a ∈(0,+∞)时, ϕ(a )≤1.2010天津文(20)(本小题满分12分)已知函数f (x )=3231()2ax x x R -+∈,其中a>0.(Ⅰ)若a=1,求曲线y=f (x )在点(2,f (2))处的切线方程;(Ⅱ)若在区间11,22⎡⎤-⎢⎥⎣⎦上,f (x )>0恒成立,求a 的取值范围.2010新课标全国卷文 (21)本小题满分12分) 设函数()()21x x f x e ax =-- (Ⅰ)若a=12,求()x f 的单调区间; (Ⅱ)若当x ≥0时()x f ≥0,求a 的取值范围(19)(本小题满分12分。
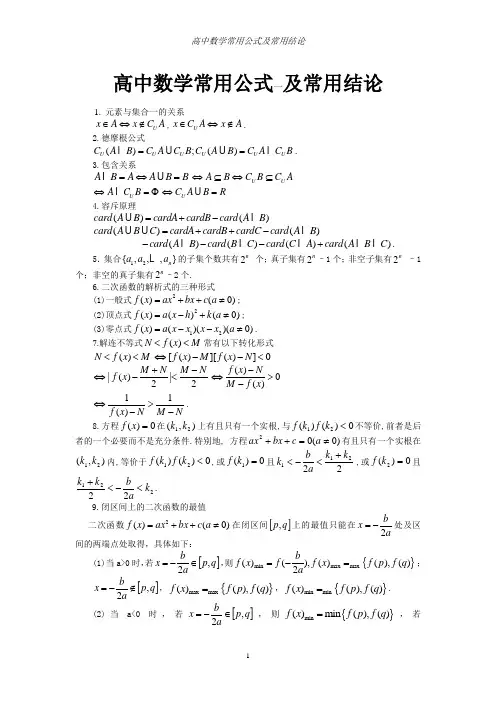
高中数学常用公式一及常用结论1. 元素与集合一的关系U x A x C A ∈⇔∉,U x C A x A ∈⇔∉. 2.德摩根公式();()U U U U U U C A B C A C B C A B C A C B == .3.包含关系A B A A B B =⇔= U U A B C B C A ⇔⊆⇔⊆U A C B ⇔=Φ U C A B R ⇔=4.容斥原理()()card A B cardA cardB card A B =+-()()card A B C cardA cardB cardC card A B =++-()()()()card A B card B C card C A card A B C ---+ .5.集合12{,,,}n a a a 的子集个数共有2n个;真子集有2n–1个;非空子集有2n–1个;非空的真子集有2n–2个.6.二次函数的解析式的三种形式(1)一般式2()(0)f x ax bx c a =++≠; (2)顶点式2()()(0)f x a x h k a =-+≠; (3)零点式12()()()(0)f x a x x x x a =--≠. 7.解连不等式()N f x M <<常有以下转化形式()N f x M <<⇔[()][()]0f x M f x N --<⇔|()|22M N M N f x +--<⇔()0()f x NM f x ->- ⇔11()f x N M N>--. 8.方程0)(=x f 在),(21k k 上有且只有一个实根,与0)()(21<k f k f 不等价,前者是后者的一个必要而不是充分条件.特别地, 方程)0(02≠=++a c bx ax 有且只有一个实根在),(21k k 内,等价于0)()(21<k f k f ,或0)(1=k f 且22211k k a bk +<-<,或0)(2=k f 且22122k abk k <-<+. 9.闭区间上的二次函数的最值二次函数)0()(2≠++=a c bx ax x f 在闭区间[]q p ,上的最值只能在abx 2-=处及区间的两端点处取得,具体如下:(1)当a>0时,若[]q p a bx ,2∈-=,则{}m i n m a x m ax ()(),()(),()2b f x f f x f p f qa=-=;[]q p abx ,2∉-=,{}max max ()(),()f x f p f q =,{}min min ()(),()f x f p f q =. (2)当a<0时,若[]q p a bx ,2∈-=,则{}m i n ()m i n (),()f x f p f q =,若[]q p abx ,2∉-=,则{}max ()max (),()f x f p f q =,{}min ()min (),()f x f p f q =. 10.一元二次方程的实根分布依据:若()()0f m f n <,则方程0)(=x f 在区间(,)m n 内至少有一个实根 . 设q px x x f ++=2)(,则(1)方程0)(=x f 在区间),(+∞m 内有根的充要条件为0)(=m f 或2402p q p m ⎧-≥⎪⎨->⎪⎩;(2)方程0)(=x f 在区间(,)m n 内有根的充要条件为()()0f m f n <或2()0()0402f m f n p q p m n >⎧⎪>⎪⎪⎨-≥⎪⎪<-<⎪⎩或()0()0f m af n =⎧⎨>⎩或()0()0f n af m =⎧⎨>⎩; (3)方程0)(=x f 在区间(,)n -∞内有根的充要条件为()0f m <或2402p q p m ⎧-≥⎪⎨-<⎪⎩ .11.定区间上含参数的二次不等式恒成立的条件依据(1)在给定区间),(+∞-∞的子区间L (形如[]βα,,(]β,∞-,[)+∞,α不同)上含参数的二次不等式(,)0f x t ≥(t 为参数)恒成立的充要条件是min (,)0()f x t x L ≥∉.(2)在给定区间),(+∞-∞的子区间上含参数的二次不等式(,)0f x t ≥(t 为参数)恒成立的充要条件是(,)0()man f x t x L ≤∉.(3)0)(24>++=c bx ax x f 恒成立的充要条件是000a b c ≥⎧⎪≥⎨⎪>⎩或2040a b ac <⎧⎨-<⎩.12.13.14.四种命题的相互关系15.充要条件(1)充分条件:若p q ⇒,则p 是q 充分条件.(2)必要条件:若q p ⇒,则p 是q 必要条件.(3)充要条件:若p q ⇒,且q p ⇒,则p 是q 充要条件.注:如果甲是乙的充分条件,则乙是甲的必要条件;反之亦然. 16.函数的单调性(1)设[]2121,,x x b a x x ≠∈⋅那么[]1212()()()0x x f x f x -->⇔[]b a x f x x x f x f ,)(0)()(2121在⇔>--上是增函数;[]1212()()()0x x f x f x --<⇔[]b a x f x x x f x f ,)(0)()(2121在⇔<--上是减函数. (2)设函数)(x f y =在某个区间内可导,如果0)(>'x f ,则)(x f 为增函数;如果0)(<'x f ,则)(x f 为减函数.17.如果函数)(x f 和)(x g 都是减函数,则在公共定义域内,和函数)()(x g x f +也是减函数; 如果函数)(u f y =和)(x g u =在其对应的定义域上都是减函数,则复合函数)]([x g f y =是增函数.18.奇偶函数的图象特征奇函数的图象关于原点对称,偶函数的图象关于y 轴对称;反过来,如果一个函数的图象关于原点对称,那么这个函数是奇函数;如果一个函数的图象关于y 轴对称,那么这个函数是偶函数.19.若函数)(x f y =是偶函数,则)()(a x f a x f --=+;若函数)(a x f y +=是偶函数,则)()(a x f a x f +-=+.20.对于函数)(x f y =(R x ∈),)()(x b f a x f -=+恒成立,则函数)(x f 的对称轴是函数2b a x +=;两个函数)(a x f y +=与)(x b f y -= 的图象关于直线2ba x +=对称. 21.若)()(a x f x f +--=,则函数)(x f y =的图象关于点)0,2(a对称; 若)()(a x f x f +-=,则函数)(x f y =为周期为a 2的周期函数.22.多项式函数110()n n n n P x a x a x a --=+++ 的奇偶性多项式函数()P x 是奇函数⇔()P x 的偶次项(即奇数项)的系数全为零. 多项式函数()P x 是偶函数⇔()P x 的奇次项(即偶数项)的系数全为零. 23.函数()y f x =的图象的对称性(1)函数()y f x =的图象关于直线x a =对称()()f a x f a x ⇔+=-(2)()f a x f x ⇔-=.(2)函数()y f x =的图象关于直线2a bx +=对称()()f a mx f b mx ⇔+=- ()()f a b mx f mx ⇔+-=.24.两个函数图象的对称性(1)函数()y f x =与函数()y f x =-的图象关于直线0x =(即y 轴)对称. (2)函数()y f mx a =-与函数()y f b mx =-的图象关于直线2a bx m+=对称. (3)函数)(x f y =和)(1x f y -=的图象关于直线y=x 对称.25.若将函数)(x f y =的图象右移a 、上移b 个单位,得到函数b a x f y +-=)(的图象;若将曲线0),(=y x f 的图象右移a 、上移b 个单位,得到曲线0),(=--b y a x f 的图象.26.互为反函数的两个函数的关系a b f b a f =⇔=-)()(1.27.若函数)(b kx f y +=存在反函数,则其反函数为])([11b x f ky -=-,并不是)([1b kx f y +=-,而函数)([1b kx f y +=-是])([1b x f ky -=的反函数. 28.几个常见的函数方程(1)正比例函数()f x cx =,()()(),(1)f x y f x f y f c +=+=.(2)指数函数()x f x a =,()()(),(1)0f x y f x f y f a +==≠.(3)对数函数()log a f x x =,()()(),()1(0,1)f xy f x f y f a a a =+=>≠.(4)幂函数()f x x α=,'()()(),(1)f xy f x f y f α==.(5)余弦函数()cos f x x =,正弦函数()sin g x x =,()()()()()f x y f x f y g x g y -=+,()(0)1,lim1x g x f x→==. 29.几个函数方程的周期(约定a>0)(1))()(a x f x f +=,则)(x f 的周期T=a ; (2)0)()(=+=a x f x f ,或)0)(()(1)(≠=+x f x f a x f , 或1()()f x a f x +=-(()0)f x ≠,或[]1(),(()0,1)2f x a f x +=+∈,则)(x f 的周期T=2a ; (3))0)(()(11)(≠+-=x f a x f x f ,则)(x f 的周期T=3a ; (4))()(1)()()(212121x f x f x f x f x x f -+=+且1212()1(()()1,0||2)f a f x f x x x a =⋅≠<-<,则)(x f 的周期T=4a ;(5)()()(2)(3)(4)f x f x a f x a f x a f x a +++++++()()(2)(3)(4)f x f x a f x a f x a f x a =++++,则)(x f 的周期T=5a ; (6))()()(a x f x f a x f +-=+,则)(x f 的周期T=6a.30.分数指数幂(1)m na =(0,,a m n N *>∈,且1n >). (2)1m nm naa-=(0,,a m n N *>∈,且1n >).31.根式的性质 (1)n a =.(2)当na =; 当n,0||,0a a a a a ≥⎧==⎨-<⎩.32.有理指数幂的运算性质 (1) (0,,)r s r s a a a a r s Q +⋅=>∈. (2) ()(0,,)r s rs a a a r s Q =>∈.(3)()(0,0,)r r r ab a b a b r Q =>>∈.注: 若a >0,p 是一个无理数,则a p表示一个确定的实数.上述有理指数幂的运算性质,对于无理数指数幂都适用.33.指数式与对数式的互化式log b a N b a N =⇔=(0,1,0)a a N >≠>.34.对数的换底公式log log log m a m NN a=(0a >,且1a ≠,0m >,且1m ≠, 0N >).推论 log log m na a nb b m =(0a >,且1a >,,0m n >,且1m ≠,1n ≠, 0N >).35.对数的四则运算法则若a >0,a ≠1,M >0,N >0,则 (1)log ()log log a a a MN M N =+;(2) log log log aa a MM N N=-; (3)log log ()n a a M n M n R =∈.36.设函数)0)((log )(2≠++=a c bx ax x f m ,记ac b 42-=∆.若)(x f 的定义域为R ,则0>a ,且0<∆;若)(x f 的值域为R ,则0>a ,且0≥∆.对于0=a 的情形,需要单独检验.37. 对数换底不等式及其推广若0a >,0b >,0x >,1x a ≠,则函数log ()ax y bx = (1)当a b >时,在1(0,)a 和1(,)a +∞上log ()ax y bx =为增函数., (2)当a b <时,在1(0,)a 和1(,)a+∞上log ()ax y bx =为减函数. 推论:设1n m >>,0p >,0a >,且1a ≠,则 (1)log ()log m p m n p n ++<.(2)2log log log 2a a am nm n +<. 38. 平均增长率的问题如果原来产值的基础数为N ,平均增长率为p ,则对于时间x 的总产值y ,有(1)x y N p =+.39.数列的同项公式与前n 项的和的关系11,1,2n n n s n a s s n -=⎧=⎨-≥⎩( 数列{}n a 的前n 项的和为12n n s a a a =+++ ). 40.等差数列的通项公式*11(1)()n a a n d dn a d n N =+-=+-∈;其前n 项和公式为1()2n n n a a s +=1(1)2n n na d -=+ 211()22d n a d n =+-. 41.等比数列的通项公式1*11()n nn a a a q q n N q-==⋅∈; 其前n 项的和公式为11(1),11,1n n a q q s q na q ⎧-≠⎪=-⎨⎪=⎩或11,11,1n n a a qq q s na q -⎧≠⎪-=⎨⎪=⎩.42.等比差数列{}n a :11,(0)n n a qa d a b q +=+=≠的通项公式为1(1),1(),11n n n b n d q a bq d b q d q q -+-=⎧⎪=+--⎨≠⎪-⎩;其前n 项和公式为(1),(1)1(),(1)111n n nb n n d q s d q db n q q q q +-=⎧⎪=-⎨-+≠⎪---⎩. 43.分期付款(按揭贷款)每次还款(1)(1)1nnab b x b +=+-元(贷款a 元,n 次还清,每期利率为b ). 44.常见三角不等式 (1)若(0,)2x π∈,则sin tan x x x <<.(2) 若(0,)2x π∈,则1sin cos x x <+≤(3) |sin ||cos |1x x +≥.45.同角三角函数的基本关系式22sin cos 1θθ+=,tan θ=θθcos sin ,tan 1cot θθ⋅=. 46.正弦、余弦的诱导公式212(1)sin ,sin()2(1)s ,nn n co απαα-⎧-⎪+=⎨⎪-⎩212(1)s ,s ()2(1)s i n ,nn co n co απαα+⎧-⎪+=⎨⎪-⎩47.和角与差角公式sin()sin cos cos sin αβαβαβ±=±;cos()cos cos sin sin αβαβαβ±= ;tan tan tan()1tan tan αβαβαβ±±= .22sin()sin()sin sin αβαβαβ+-=-(平方正弦公式);22cos()cos()cos sin αβαβαβ+-=-.sin cos a b αα+=)αϕ+(辅助角ϕ所在象限由点(,)a b 的象限决定,tan baϕ= ).48.二倍角公式sin 2sin cos ααα=.2222cos 2cos sin 2cos 112sin ααααα=-=-=-.22tan tan 21tan ααα=-.49. 三倍角公式3sin 33sin 4sin 4sin sin()sin()33ππθθθθθθ=-=-+.3cos34cos 3cos 4cos cos()cos()33ππθθθθθθ=-=-+.323tan tan tan 3tan tan()tan()13tan 33θθππθθθθθ-==-+-.50.三角函数的周期公式函数sin()y x ωϕ=+,x ∈R 及函数cos()y x ωϕ=+,x ∈R(A,ω,ϕ为常数,且A ≠0,ω>0)的周期2T πω=;函数tan()y x ωϕ=+,,2x k k Z ππ≠+∈(A,ω,ϕ为常数,且A≠0,ω>0)的周期T πω=.51.正弦定理2sin sin sin a b cR A B C===. 52.余弦定理2222cos a b c bc A =+-; 2222cos b c a ca B =+-; 2222cos c a b ab C =+-.53.面积定理(1)111222a b c S ah bh ch ===(a b c h h h 、、分别表示a 、b 、c 边上的高). (2)111sin sin sin 222S ab C bc A ca B ===.(3)OAB S ∆=54.三角形内角和定理在△ABC 中,有()A B C C A B ππ++=⇔=-+222C A B π+⇔=-222()C A B π⇔=-+. 55. 简单的三角方程的通解sin (1)arcsin (,||1)k x a x k a k Z a π=⇔=+-∈≤. s 2arccos (,||1)co x a x k a k Z a π=⇔=±∈≤.tan arctan (,)x a x k a k Z a R π=⇒=+∈∈.特别地,有sin sin (1)()k k k Z αβαπβ=⇔=+-∈.s cos 2()co k k Z αβαπβ=⇔=±∈.tan tan ()k k Z αβαπβ=⇒=+∈.56.最简单的三角不等式及其解集sin (||1)(2arcsin ,2arcsin ),x a a x k a k a k Z πππ>≤⇔∈++-∈.sin (||1)(2arcsin ,2arcsin ),x a a x k a k a k Z πππ<≤⇔∈--+∈. cos (||1)(2arccos ,2arccos ),x a a x k a k a k Z ππ>≤⇔∈-+∈.cos (||1)(2arccos ,22arccos ),x a a x k a k a k Z πππ<≤⇔∈++-∈.tan ()(arctan ,),2x a a R x k a k k Z πππ>∈⇒∈++∈.tan ()(,arctan ),2x a a R x k k a k Z πππ<∈⇒∈-+∈.57.实数与向量的积的运算律 设λ、μ为实数,那么(1) 结合律:λ(μa )=(λμ)a ;(2)第一分配律:(λ+μ)a =λa +μa; (3)第二分配律:λ(a +b )=λa +λb . 58.向量的数量积的运算律: (1) a ·b= b ·a (交换律); (2)(λa )·b= λ(a ·b )=λa ·b = a ·(λb ); (3)(a +b )·c= a ·c +b ·c. 59.平面向量基本定理如果e 1、e 2是同一平面内的两个不共线向量,那么对于这一平面内的任一向量,有且只有一对实数λ1、λ2,使得a=λ1e 1+λ2e 2.不共线的向量e 1、e 2叫做表示这一平面内所有向量的一组基底. 60.向量平行的坐标表示设a =11(,)x y ,b =22(,)x y ,且b ≠0,则a b(b ≠0)12210x y x y ⇔-=. 53. a 与b 的数量积(或内积) a ·b =|a ||b |cos θ. 61. a ·b 的几何意义数量积a ·b 等于a 的长度|a |与b 在a 的方向上的投影|b |cos θ的乘积. 62.平面向量的坐标运算(1)设a =11(,)x y ,b =22(,)x y ,则a+b=1212(,)x x y y ++.(2)设a =11(,)x y ,b =22(,)x y ,则a-b=1212(,)x x y y --.(3)设A 11(,)x y ,B 22(,)x y ,则2121(,)AB OB OA x x y y =-=--.(4)设a =(,),x y R λ∈,则λa=(,)x y λλ.(5)设a =11(,)x y ,b =22(,)x y ,则a ·b=1212()x x y y +.63.两向量的夹角公式cos θ=(a =11(,)x y ,b =22(,)x y ).64.平面两点间的距离公式,A B d=||AB ==11(,)x y ,B 22(,)x y ).65.向量的平行与垂直设a =11(,)x y ,b =22(,)x y ,且b ≠0,则 A ||b ⇔b =λa 12210x y x y ⇔-=. a ⊥b(a ≠0)⇔a ·b=012120x x y y ⇔+=. 66.线段的定比分公式设111(,)P x y ,222(,)P x y ,(,)P x y 是线段12PP 的分点,λ是实数,且12PP PP λ=,则121211x x x y y y λλλλ+⎧=⎪⎪+⎨+⎪=⎪+⎩⇔121OP OP OP λλ+=+ ⇔12(1)OP tOP t OP =+- (11t λ=+). 67.三角形的重心坐标公式△ABC 三个顶点的坐标分别为11A(x ,y )、22B(x ,y )、33C(x ,y ),则△ABC 的重心的坐标是123123(,)33x x x y y y G ++++. 68.点的平移公式''''x x h x x h y y k y y k⎧⎧=+=-⎪⎪⇔⎨⎨=+=-⎪⎪⎩⎩''OP OP PP ⇔=+ . 注:图形F 上的任意一点P(x ,y)在平移后图形'F 上的对应点为'''(,)P x y ,且'PP的坐标为(,)h k .69.“按向量平移”的几个结论(1)点(,)P x y 按向量a =(,)h k 平移后得到点'(,)P x h y k ++.(2) 函数()y f x =的图象C 按向量a =(,)h k 平移后得到图象'C ,则'C 的函数解析式为()y f x h k =-+.(3) 图象'C 按向量a =(,)h k 平移后得到图象C ,若C 的解析式()y f x =,则'C 的函数解析式为()y f x h k =+-.(4)曲线C :(,)0f x y =按向量a =(,)h k 平移后得到图象'C ,则'C 的方程为(,)0f x h y k --=.(5) 向量m =(,)x y 按向量a =(,)h k 平移后得到的向量仍然为m =(,)x y .70. 三角形五“心”向量形式的充要条件设O 为ABC ∆所在平面上一点,角,,A B C 所对边长分别为,,a b c ,则(1)O 为ABC ∆的外心222OA OB OC ⇔== .(2)O 为ABC ∆的重心0OA OB OC ⇔++=.(3)O 为ABC ∆的垂心OA OB OB OC OC OA ⇔⋅=⋅=⋅.(4)O 为ABC ∆的内心0aOA bOB cOC ⇔++=.(5)O 为ABC ∆的A ∠的旁心aOA bOB cOC ⇔=+.71.常用不等式:(1),a b R ∈⇒222a b ab +≥(当且仅当a =b 时取“=”号).(2),a b R +∈⇒2a b+≥当且仅当a =b 时取“=”号). (3)3333(0,0,0).a b c abc a b c ++≥>>>(4)柯西不等式22222()()(),,,,.a b c d ac bd a b c d R ++≥+∈(5)b a b a b a +≤+≤-. 72.极值定理已知y x ,都是正数,则有(1)若积xy 是定值p ,则当y x =时和y x +有最小值p 2; (2)若和y x +是定值s ,则当y x =时积xy 有最大值241s . 推广 已知R y x ∈,,则有xy y x y x 2)()(22+-=+ (1)若积xy 是定值,则当||y x -最大时,||y x +最大; 当||y x -最小时,||y x +最小.(2)若和||y x +是定值,则当||y x -最大时, ||xy 最小; 当||y x -最小时, ||xy 最大.73.一元二次不等式20(0)ax bx c ++><或2(0,40)a b ac ≠∆=->,如果a 与2ax bx c ++同号,则其解集在两根之外;如果a 与2ax bx c ++异号,则其解集在两根之间.简言之:同号两根之外,异号两根之间.121212()()0()x x x x x x x x x <<⇔--<<; 121212,()()0()x x x x x x x x x x <>⇔--><或.74.含有绝对值的不等式 当a> 0时,有22x a x a a x a <⇔<⇔-<<.22x a x a x a >⇔>⇔>或x a <-.75.无理不等式 (1()0()0()()f x g x f x g x ≥⎧⎪>⇔≥⎨⎪>⎩. (22()0()0()()0()0()[()]f x f x g x g x g x f x g x ≥⎧≥⎧⎪>⇔≥⎨⎨<⎩⎪>⎩或. (32()0()()0()[()]f x g x g x f x g x ≥⎧⎪<⇔>⎨⎪<⎩. 76.指数不等式与对数不等式 (1)当1a >时,()()()()f x g x a a f x g x >⇔>;()0log ()log ()()0()()a a f x f x g x g x f x g x >⎧⎪>⇔>⎨⎪>⎩.(2)当01a <<时,()()()()f x g x a a f x g x >⇔<;()0log ()log ()()0()()a a f x f x g x g x f x g x >⎧⎪>⇔>⎨⎪<⎩77.斜率公式2121y y k x x -=-(111(,)P x y 、222(,)P x y ).78.直线的五种方程(1)点斜式 11()y y k x x -=- (直线l 过点111(,)P x y ,且斜率为k ). (2)斜截式 y kx b =+(b 为直线l 在y 轴上的截距).(3)两点式112121y y x x y y x x --=--(12y y ≠)(111(,)P x y 、222(,)P x y (12x x ≠)).(4)截距式 1x ya b+=(a b 、分别为直线的横、纵截距,0a b ≠、)(5)一般式 0Ax By C ++=(其中A 、B 不同时为0).79.两条直线的平行和垂直(1)若111:l y k x b =+,222:l y k x b =+ ①121212||,l l k k b b ⇔=≠; ②12121l l k k ⊥⇔=-.(2)若1111:0l A x B y C ++=,2222:0l A x B y C ++=,且A 1、A 2、B 1、B 2都不为零, ①11112222||A B C l l A B C ⇔=≠;②1212120l l A A B B ⊥⇔+=; 80.夹角公式(1)2121tan ||1k k k k α-=+.(111:l y k x b =+,222:l y k x b =+,121k k ≠-)(2)12211212tan ||A B A B A A B B α-=+.(1111:0l A x B y C ++=,2222:0l A x B y C ++=,12120A AB B +≠). 直线12l l ⊥时,直线l 1与l 2的夹角是2π.81. 1l 到2l 的角公式(1)2121tan 1k k k k α-=+.(111:l y k x b =+,222:l y k x b =+,121k k ≠-)(2)12211212tan A B A B A A B B α-=+.(1111:0l A x B y C ++=,2222:0l A x B y C ++=,12120A AB B +≠). 直线12l l ⊥时,直线l 1到l 2的角是2π.82.四种常用直线系方程(1)定点直线系方程:经过定点000(,)P x y 的直线系方程为00()y y k x x -=-(除直线0x x =),其中k 是待定的系数; 经过定点000(,)P x y 的直线系方程为00()()0A x x B y y -+-=,其中,A B 是待定的系数.(2)共点直线系方程:经过两直线1111:0l A x B y C ++=,2222:0l A x B y C ++=的交点的直线系方程为111222()()0A x B y C A x B y C λ+++++=(除2l ),其中λ是待定的系数.(3)平行直线系方程:直线y kx b =+中当斜率k 一定而b 变动时,表示平行直线系方程.与直线0Ax By C ++=平行的直线系方程是0Ax By λ++=(0λ≠),λ是参变量.(4)垂直直线系方程:与直线0Ax By C ++= (A ≠0,B ≠0)垂直的直线系方程是0Bx Ay λ-+=,λ是参变量.83.点到直线的距离d =(点00(,)P x y ,直线l :0Ax By C ++=).84. 或0<所表示的平面区域设直线:0l Ax By C ++=,则0Ax By C ++>或0<所表示的平面区域是: 若0B ≠,当B 与Ax By C ++同号时,表示直线l 的上方的区域;当B 与Ax By C ++异号时,表示直线l 的下方的区域.简言之,同号在上,异号在下.若0B =,当A 与Ax By C ++同号时,表示直线l 的右方的区域;当A 与Ax By C ++异号时,表示直线l 的左方的区域. 简言之,同号在右,异号在左.85. 111222()()0A x B y C A x B y C ++++>或0<所表示的平面区域 设曲线111222:()()0C A x B y C A x B y C ++++=(12120A A B B ≠),则 111222()()0A x B y C A x B y C ++++>或0<所表示的平面区域是:111222()()0A x B y C A x B y C ++++>所表示的平面区域上下两部分; 111222()()0A x B y C A x B y C ++++<所表示的平面区域上下两部分.86. 圆的四种方程(1)圆的标准方程 222()()x a y b r -+-=.(2)圆的一般方程 220x y Dx Ey F ++++=(224D E F +->0).(3)圆的参数方程 cos sin x a r y b r θθ=+⎧⎨=+⎩.(4)圆的直径式方程 1212()()()()0x x x x y y y y --+--=(圆的直径的端点是11(,)A x y 、22(,)B x y ).87. 圆系方程(1)过点11(,)A x y ,22(,)B x y 的圆系方程是1212112112()()()()[()()()()]0x x x x y y y y x x y y y y x x λ--+--+-----=1212()()()()()0x x x x y y y y ax by c λ⇔--+--+++=,其中0a x b yc ++=是直线AB 的方程,λ是待定的系数.(2)过直线l :0Ax By C ++=与圆C :220x y Dx Ey F ++++=的交点的圆系方程是22()0x y Dx Ey F Ax By C λ+++++++=,λ是待定的系数.(3) 过圆1C :221110x y D x E y F ++++=与圆2C :222220x y D x E y F++++=的交点的圆系方程是2222111222()0x y D x E y F x y D x E y F λ+++++++++=,λ是待定的系数.88.点与圆的位置关系点00(,)P x y 与圆222)()(r b y a x =-+-的位置关系有三种若d =d r >⇔点P 在圆外;d r =⇔点P 在圆上;d r <⇔点P 在圆内.89.直线与圆的位置关系直线0=++C By Ax 与圆222)()(r b y a x =-+-的位置关系有三种:0<∆⇔⇔>相离r d ; 0=∆⇔⇔=相切r d ; 0>∆⇔⇔<相交r d .其中22BA CBb Aa d +++=.90.两圆位置关系的判定方法设两圆圆心分别为O 1,O 2,半径分别为r 1,r 2,d O O =21条公切线外离421⇔⇔+>r r d ; 条公切线外切321⇔⇔+=r r d ;条公切线相交22121⇔⇔+<<-r r d r r ; 条公切线内切121⇔⇔-=r r d ; 无公切线内含⇔⇔-<<210r r d .91.圆的切线方程(1)已知圆220x y Dx Ey F ++++=.①若已知切点00(,)x y 在圆上,则切线只有一条,其方程是0000()()022D x xE y y x x y yF ++++++=. 当00(,)x y 圆外时, 0000()()022D x xE y y x x y yF ++++++=表示过两个切点的切点弦方程.②过圆外一点的切线方程可设为00()y y k x x -=-,再利用相切条件求k ,这时必有两条切线,注意不要漏掉平行于y 轴的切线.③斜率为k 的切线方程可设为y kx b =+,再利用相切条件求b ,必有两条切线.(2)已知圆222x y r +=.①过圆上的000(,)P x y 点的切线方程为200x x y y r +=;②斜率为k 的圆的切线方程为y kx =±92.椭圆22221(0)x y a b a b +=>>的参数方程是cos sin x a y b θθ=⎧⎨=⎩.93.椭圆22221(0)x y a b a b+=>>焦半径公式)(21c a x e PF +=,)(22x ca e PF -=.94.椭圆的的内外部(1)点00(,)P x y 在椭圆22221(0)x y a b a b +=>>的内部2200221x y a b ⇔+<. (2)点00(,)P x y 在椭圆22221(0)x y a b a b+=>>的外部2200221x y a b⇔+>. 95. 椭圆的切线方程(1)椭圆22221(0)x y a b a b+=>>上一点00(,)P x y 处的切线方程是00221x x y y a b +=.(2)过椭圆22221(0)x y a b a b+=>>外一点00(,)P x y 所引两条切线的切点弦方程是00221x x y ya b+=. (3)椭圆22221(0)x y a b a b+=>>与直线0Ax By C ++=相切的条件是22222A a B b c +=.96.双曲线22221(0,0)x y a b a b -=>>的焦半径公式21|()|a PF e x c =+,22|()|a PF e x c=-.97.双曲线的内外部(1)点00(,)P x y 在双曲线22221(0,0)x y a b a b -=>>的内部2200221x y a b ⇔->. (2)点00(,)P x y 在双曲线22221(0,0)x y a b a b-=>>的外部2200221x y a b ⇔-<. 98.双曲线的方程与渐近线方程的关系(1)若双曲线方程为12222=-by a x ⇒渐近线方程:22220x y a b -=⇔x a by ±=.(2)若渐近线方程为x a by ±=⇔0=±b y a x ⇒双曲线可设为λ=-2222by a x .(3)若双曲线与12222=-b y a x 有公共渐近线,可设为λ=-2222by a x (0>λ,焦点在x轴上,0<λ,焦点在y 轴上).99. 双曲线的切线方程(1)双曲线22221(0,0)x y a b a b-=>>上一点00(,)P x y 处的切线方程是00221x x y y a b -=.(2)过双曲线22221(0,0)x y a b a b-=>>外一点00(,)P x y 所引两条切线的切点弦方程是00221x x y ya b-=. (3)双曲线22221(0,0)x y a b a b-=>>与直线0A x B yC ++=相切的条件是22222A a B b c -=.100. 抛物线px y 22=的焦半径公式抛物线22(0)y px p =>焦半径02pCF x =+.过焦点弦长p x x px p x CD ++=+++=212122.101.抛物线px y 22=上的动点可设为P ),2(2 y py 或或)2,2(2pt pt P P (,)x y ,其中22y px = .102.二次函数2224()24b ac b y ax bx c a x a a-=++=++(0)a ≠的图象是抛物线:(1)顶点坐标为24(,)24b ac b a a --;(2)焦点的坐标为241(,)24b ac b a a-+-;(3)准线方程是2414ac b y a--=.103.抛物线的内外部(1)点00(,)P x y 在抛物线22(0)y px p =>的内部22(0)y px p ⇔<>. 点00(,)P x y 在抛物线22(0)y px p =>的外部22(0)y px p ⇔>>. (2)点00(,)P x y 在抛物线22(0)y px p =->的内部22(0)y px p ⇔<->. 点00(,)P x y 在抛物线22(0)y px p =->的外部22(0)y px p ⇔>->. (3)点00(,)P x y 在抛物线22(0)x py p =>的内部22(0)x py p ⇔<>. 点00(,)P x y 在抛物线22(0)x py p =>的外部22(0)x py p ⇔>>. (4) 点00(,)P x y 在抛物线22(0)x py p =>的内部22(0)x py p ⇔<>. 点00(,)P x y 在抛物线22(0)x py p =->的外部22(0)x py p ⇔>->. 104. 抛物线的切线方程(1)抛物线px y 22=上一点00(,)P x y 处的切线方程是00()y y p x x =+.(2)过抛物线px y 22=外一点00(,)P x y 所引两条切线的切点弦方程是00()y y p x x =+. (3)抛物线22(0)y px p =>与直线0Ax By C ++=相切的条件是22pB AC =.105.两个常见的曲线系方程(1)过曲线1(,)0f x y =,2(,)0f x y =的交点的曲线系方程是12(,)(,)0f x y f x y λ+=(λ为参数).(2)共焦点的有心圆锥曲线系方程22221x y a k b k+=--,其中22max{,}k a b <.当22min{,}k a b >时,表示椭圆; 当2222min{,}max{,}a b k a b <<时,表示双曲线.106.直线与圆锥曲线相交的弦长公式 AB =1212||||AB x x y y ==-=-(弦端点A ),(),,(2211y xB y x ,由方程⎩⎨⎧=+=0)y ,x (F b kx y 消去y 得到02=++c bx ax ,0∆>,α为直线AB 的倾斜角,k 为直线的斜率).107.圆锥曲线的两类对称问题(1)曲线(,)0F x y =关于点00(,)P x y 成中心对称的曲线是00(2-,2)0F x x y y -=. (2)曲线(,)0F x y =关于直线0Ax By C ++=成轴对称的曲线是22222()2()(,)0A Ax By C B Ax By C F x y A B A B++++--=++. 108.“四线”一方程对于一般的二次曲线220Ax Bxy Cy Dx Ey F +++++=,用0x x 代2x ,用0y y 代2y ,用002x y xy +代xy ,用02x x +代x ,用02y y +代y 即得方程 0000000222x y xy x x y yAx x B Cy y D E F ++++⋅++⋅+⋅+=,曲线的切线,切点弦,中点弦,弦中点方程均是此方程得到.109.证明直线与直线的平行的思考途径 (1)转化为判定共面二直线无交点; (2)转化为二直线同与第三条直线平行; (3)转化为线面平行; (4)转化为线面垂直; (5)转化为面面平行.110.证明直线与平面的平行的思考途径 (1)转化为直线与平面无公共点; (2)转化为线线平行; (3)转化为面面平行.111.证明平面与平面平行的思考途径 (1)转化为判定二平面无公共点; (2)转化为线面平行; (3)转化为线面垂直.112.证明直线与直线的垂直的思考途径 (1)转化为相交垂直; (2)转化为线面垂直;(3)转化为线与另一线的射影垂直;(4)转化为线与形成射影的斜线垂直. 113.证明直线与平面垂直的思考途径(1)转化为该直线与平面内任一直线垂直; (2)转化为该直线与平面内相交二直线垂直; (3)转化为该直线与平面的一条垂线平行; (4)转化为该直线垂直于另一个平行平面; (5)转化为该直线与两个垂直平面的交线垂直. 114.证明平面与平面的垂直的思考途径 (1)转化为判断二面角是直二面角; (2)转化为线面垂直.115.空间向量的加法与数乘向量运算的运算律 (1)加法交换律:a +b =b +a .(2)加法结合律:(a +b )+c =a +(b +c ). (3)数乘分配律:λ(a +b )=λa +λb .116.平面向量加法的平行四边形法则向空间的推广 始点相同且不在同一个平面内的三个向量之和,等于以这三个向量为棱的平行六面体的以公共始点为始点的对角线所表示的向量.117.共线向量定理对空间任意两个向量a 、b (b ≠0 ),a ∥b ⇔存在实数λ使a =λb .P A B 、、三点共线⇔||AP AB ⇔AP t AB = ⇔(1)OP t OA tOB =-+.||AB CD ⇔AB 、CD共线且AB CD 、不共线⇔AB tCD = 且AB CD 、不共线.118.共面向量定理向量p 与两个不共线的向量a 、b 共面的⇔存在实数对,x y ,使p ax by =+.推论 空间一点P 位于平面MAB 内的⇔存在有序实数对,x y ,使MP xMA yMB =+,或对空间任一定点O ,有序实数对,x y ,使OP OM xMA yMB =++.119.对空间任一点O 和不共线的三点A 、B 、C ,满足OP xOA yOB zOC =++(x y z k ++=),则当1k =时,对于空间任一点O ,总有P 、A 、B 、C 四点共面;当1k ≠时,若O ∈平面ABC ,则P 、A 、B 、C 四点共面;若O ∉平面ABC ,则P 、A 、B 、C 四点不共面.C A B 、、、D 四点共面⇔AD 与AB 、AC 共面⇔AD xAB yAC =+⇔ (1)OD x y OA xOB yOC =--++(O ∉平面ABC ).120.空间向量基本定理如果三个向量a 、b 、c 不共面,那么对空间任一向量p ,存在一个唯一的有序实数组x ,y ,z ,使p =x a +y b +z c .推论 设O 、A 、B 、C 是不共面的四点,则对空间任一点P ,都存在唯一的三个有序实数x ,y ,z ,使OP xOA yOB zOC =++.121.射影公式已知向量AB =a 和轴l ,e 是l 上与l 同方向的单位向量.作A 点在l 上的射影'A ,作B点在l 上的射影'B ,则''||cos A B AB = 〈a ,e 〉=a ·e122.向量的直角坐标运算设a =123(,,)a a a ,b =123(,,)b b b 则 (1)a +b =112233(,,)a b a b a b +++; (2)a -b =112233(,,)a b a b a b ---; (3)λa =123(,,)a a a λλλ (λ∈R);(4)a ·b =112233a b a b a b ++; 123.设A 111(,,)x y z ,B 222(,,)x y z ,则 AB OB OA =-= 212121(,,)x x y y z z ---.124.空间的线线平行或垂直设111(,,)a x y z =r ,222(,,)b x y z =r,则a b r r P ⇔(0)a b b λ=≠r r r r ⇔121212x x y y z zλλλ=⎧⎪=⎨⎪=⎩;a b ⊥r r ⇔0a b ⋅=r r⇔1212120x x y y z z ++=.125.夹角公式设a =123(,,)a a a ,b =123(,,)b b b ,则 cos 〈a ,b 〉.推论 2222222112233123123()()()a b a b a b a a a b b b ++≤++++,此即三维柯西不等式.126. 四面体的对棱所成的角四面体ABCD 中, AC 与BD 所成的角为θ,则2222|()()|cos 2AB CD BC DA AC BDθ+-+=⋅.127.异面直线所成角cos |cos ,|a b θ=r r=||||||a b a b ⋅=⋅r rr r(其中θ(090θ<≤o o)为异面直线a b ,所成角,,a b r 分别表示异面直线a b ,的方向向量)128.直线AB 与平面所成角sin ||||AB m arc AB m β⋅= (m为平面α的法向量). 129.若ABC ∆所在平面若β与过若AB 的平面α成的角θ,另两边AC ,BC 与平面α成的角分别是1θ、2θ,A B 、为ABC ∆的两个内角,则2222212sin sin (sin sin )sin A B θθθ+=+.特别地,当90ACB ∠=时,有22212sin sin sin θθθ+=.130.若ABC ∆所在平面若β与过若AB 的平面α成的角θ,另两边AC ,BC 与平面α成的角分别是1θ、2θ,''A B 、为ABO ∆的两个内角,则222'2'212tan tan (sin sin )tan A B θθθ+=+.特别地,当90AOB ∠=时,有22212sin sin sin θθθ+=. 131.二面角l αβ--的平面角cos ||||m n arc m n θ⋅= 或cos ||||m narc m n π⋅-(m ,n 为平面α,β的法向量).132.三余弦定理设AC 是α内的任一条直线,且BC ⊥AC ,垂足为C ,又设AO 与AB 所成的角为1θ,AB 与AC 所成的角为2θ,AO 与AC 所成的角为θ.则12cos cos cos θθθ=.133. 三射线定理若夹在平面角为ϕ的二面角间的线段与二面角的两个半平面所成的角是1θ,2θ,与二面角的棱所成的角是θ,则有22221212sin sin sin sin 2sin sin cos ϕθθθθθϕ=+- ;1212||180()θθϕθθ-≤≤-+ (当且仅当90θ= 时等号成立).134.空间两点间的距离公式若A 111(,,)x y z ,B 222(,,)x y z ,则,A B d =||AB = =.135.点Q 到直线l 距离h =(点P 在直线l 上,直线l 的方向向量a =PA ,向量b =PQ ).136.异面直线间的距离||||CD n d n ⋅=(12,l l 是两异面直线,其公垂向量为n ,C D 、分别是12,l l 上任一点,d 为12,l l 间的距离).137.点B 到平面α的距离||||AB n d n ⋅=(n 为平面α的法向量,AB 是经过面α的一条斜线,A α∈). 138.异面直线上两点距离公式dd =d ='E AA F ϕ=--).(两条异面直线a 、b 所成的角为θ,其公垂线段'AA 的长度为h.在直线a 、b 上分别取两点E 、F ,'A E m =,AF n =,EF d =). 139.三个向量和的平方公式2222()222a b c a b c a b b c c a ++=+++⋅+⋅+⋅2222||||cos ,2||||cos ,2||||cos ,a b c a b a b b c b c c a c a =+++⋅+⋅+⋅140. 长度为l 的线段在三条两两互相垂直的直线上的射影长分别为123l l l 、、,夹角分别为123θθθ、、,则有2222123l l l l =++222123cos cos cos 1θθθ⇔++=222123sin sin sin 2θθθ⇔++=.(立体几何中长方体对角线长的公式是其特例). 141. 面积射影定理'cos S S θ=.(平面多边形及其射影的面积分别是S 、'S ,它们所在平面所成锐二面角的为θ). 142. 斜棱柱的直截面已知斜棱柱的侧棱长是l ,侧面积和体积分别是S 斜棱柱侧和V 斜棱柱,它的直截面的周长和面积分别是1c 和1S ,则①1S c l =斜棱柱侧. ②1V S l =斜棱柱.143.作截面的依据三个平面两两相交,有三条交线,则这三条交线交于一点或互相平行. 144.棱锥的平行截面的性质如果棱锥被平行于底面的平面所截,那么所得的截面与底面相似,截面面积与底面面积的比等于顶点到截面距离与棱锥高的平方比(对应角相等,对应边对应成比例的多边形是相似多边形,相似多边形面积的比等于对应边的比的平方);相应小棱锥与小棱锥的侧面积的比等于顶点到截面距离与棱锥高的平方比.145.欧拉定理(欧拉公式)2V F E +-=(简单多面体的顶点数V 、棱数E 和面数F).(1)E =各面多边形边数和的一半.特别地,若每个面的边数为n 的多边形,则面数F 与棱数E 的关系:12E nF =; (2)若每个顶点引出的棱数为m ,则顶点数V 与棱数E 的关系:12E mV =. 146.球的半径是R ,则其体积343V R π=, 其表面积24S R π=.147.球的组合体(1)球与长方体的组合体:长方体的外接球的直径是长方体的体对角线长. (2)球与正方体的组合体:正方体的内切球的直径是正方体的棱长, 正方体的棱切球的直径是正方体的面对角线长, 正方体的外接球的直径是正方体的体对角线长. (3) 球与正四面体的组合体:棱长为a ,. 148.柱体、锥体的体积13V Sh =柱体(S 是柱体的底面积、h 是柱体的高).13V Sh =锥体(S 是锥体的底面积、h 是锥体的高).149.分类计数原理(加法原理) 12n N m m m =+++ . 150.分步计数原理(乘法原理) 12n N m m m =⨯⨯⨯ . 151.排列数公式mnA =)1()1(+--m n n n =!!)(m n n -.(n ,m ∈N *,且m n ≤).注:规定1!0=.152.排列恒等式(1)1(1)m m n nA n m A -=-+; (2)1mmn n n A A n m -=-; (3)11m m n n A nA --=;(4)11n n n n n n nA A A ++=-; (5)11m m m n n nA A mA -+=+. (6) 1!22!33!!(1)!1n n n +⋅+⋅++⋅=+- . 153.组合数公式m n C=m n mmA A =m m n n n ⨯⨯⨯+-- 21)1()1(=!!!)(m n m n -⋅(n ∈N *,m N ∈,且m n ≤). 154.组合数的两个性质(1)m n C =mn n C - ; (2) m n C +1-m n C =m n C 1+. 注:规定10=n C .155.组合恒等式(1)11mm n n n m C C m --+=; (2)1m mn n n C C n m -=-; (3)11mm n n n C C m--=;(4)∑=nr r nC0=n2;(5)1121++++=++++r n r n r r r r r rC C C C C . (6)n n n r n n n n C C C C C 2210=++++++ . (7)14205312-+++=+++n n n n n n n C C C C C C . (8)1321232-=++++n n n n n n n nC C C C . (9)r n m r n r m n r m n r m C C C C C C C +-=+++0110 . (10)n n n n n n n C C C C C 22222120)()()()(=++++ .156.排列数与组合数的关系m mn nA m C =⋅! . 157.单条件排列以下各条的大前提是从n 个元素中取m 个元素的排列. (1)“在位”与“不在位”①某(特)元必在某位有11--m n A 种;②某(特)元不在某位有11---m n mn A A (补集思想)1111---=m n n A A (着眼位置)11111----+=m n m m n A A A (着眼元素)种.(2)紧贴与插空(即相邻与不相邻)①定位紧贴:)(n m k k ≤≤个元在固定位的排列有km k n k k A A --种.②浮动紧贴:n 个元素的全排列把k 个元排在一起的排法有k k k n k n A A 11+-+-种.注:此类问题常用捆绑法;③插空:两组元素分别有k 、h 个(1+≤h k ),把它们合在一起来作全排列,k 个的一组互不能挨近的所有排列数有k h h h A A 1+种.(3)两组元素各相同的插空m 个大球n 个小球排成一列,小球必分开,问有多少种排法?当1+>m n 时,无解;当1+≤m n 时,有n m n nn m C A A 11++=种排法.(4)两组相同元素的排列:两组元素有m 个和n 个,各组元素分别相同的排列数为nn m C +.158.分配问题(1)(平均分组有归属问题)将相异的m 、n 个物件等分给m 个人,各得n 件,其分配方法数共有mnn nn nn mn nn mn nmn n mn C C C C C N )!()!(22=⋅⋅⋅⋅⋅=-- . (2)(平均分组无归属问题)将相异的m ·n 个物体等分为无记号或无顺序的m 堆,其分配方法数共有mn nn n n n mn n n mn n mn n m mn m C C C C C N )!(!)!(!...22=⋅⋅⋅⋅=--. (3)(非平均分组有归属问题)将相异的) 12m P(P=n +n ++n 个物体分给m 个人,物件必须被分完,分别得到1n ,2n ,…,m n 件,且1n ,2n ,…,m n 这m 个数彼此不相等,则其分配方法数共有!!...!!!! (212)11m n n n n p n p n n n m p m C C C N m m=⋅⋅=-.(4)(非完全平均分组有归属问题)将相异的) 12m P(P=n +n ++n 个物体分给m 个人,物件必须被分完,分别得到1n ,2n ,…,m n 件,且1n ,2n ,…,m n 这m 个数中分别有a 、b 、c 、...个相等,则其分配方法数有!...!!! (2)11c b a m C C C N m mn n n n p n p ⋅⋅=- 12!!!!...!(!!!...)m p m n n n a b c =.(5)(非平均分组无归属问题)将相异的) 12m P(P=n +n ++n 个物体分为任意的1n ,2n ,…,m n 件无记号的m 堆,且1n ,2n ,…,m n 这m 个数彼此不相等,则其分配方法数有!!...!!21m n n n p N =.(6)(非完全平均分组无归属问题)将相异的) 12m P(P=n +n ++n 个物体分为任意的1n ,2n ,…,m n 件无记号的m 堆,且1n ,2n ,…,m n 这m 个数中分别有a 、b 、c 、…个相等,则其分配方法数有!...)!!(!!...!!21c b a n n n p N m =.(7)(限定分组有归属问题)将相异的p (2m p n n n = 1+++)个物体分给甲、乙、丙,……等m 个人,物体必须被分完,如果指定甲得1n 件,乙得2n 件,丙得3n 件,…时,则无论1n ,2n ,…,m n 等m 个数是否全相异或不全相异其分配方法数恒有!!...!! (212)11m n n n n p n p n n n p C C C N m m=⋅=-.159.“错位问题”及其推广。
2010年高考数学冲刺复习——归纳总结高考题型解题策略(共分五大专题)专题一:三角与向量的交汇题型分析及解题策略【命题趋向】三角函数与平面的向量的综合主要体现为交汇型,在高考中,主要出现在解答题的第一个试题位置上,其难度中等偏下,分值一般为12分,交汇性主要体现在:三角函数恒等变换公式、性质与图象与平面的向量的数量积及平面向量的平行、垂直、夹角及模之间都有着不同程度的交汇,在高考中是一个热点.如08年安徽理科第5题(5分),考查三角函数的对称性与向量平移、08年山东文第8题理第15题(5分)考查两角和与差与向量垂直、08福建文理第17题(12分)考查三角函数的求值与向量积、07的天津文理第15题(4分)考查正余弦定理与向量数量积等.根据2009年考纲预计在09年高考中解答题仍会涉及三角函数的基本恒等变换公式、诱导公式的运用、三角函数的图像和性质、向量的数量积、共线(平行)与垂直的充要条件条件.主要考查题型:(1)考查纯三角函数函数知识,即一般先通过三角恒等变换公式化简三角函数式,再求三角函数的值或研究三角函数的图象及性质;(2)考查三角函数与向量的交汇,一般是先利用向量知识建立三角函数关系式,再利用三角函数知识求解;(3)考查三角函数知识与解三角形的交汇,也就是将三角变换公式与正余弦定理交织在一起.【考试要求】1.理解任意角的正弦、余弦、正切的定义.了解余切、正割、余割的定义.掌握同角三角函数的基本关系式.掌握正弦、余弦的诱导公式.了解周期函数与最小正周期的意义.2.掌握两角和与两角差的正弦、余弦、正切公式.掌握二倍角的正弦、余弦、正切公式.3.能正确运用三角公式进行简单三角函数式的化简、求值和恒等式证明.4.理解正弦函数、余弦函数、正切函数的图像和性质,会用―五点法‖画正弦函数、余弦函数和函数y=Asin(ωx+φ)的简图,理解A,ω,φ的物理意义.5.掌握正弦定理、余弦定理,并能初步运用它们解斜三角形.6.掌握向量的加法和减法.掌握实数与向量的积,理解两个向量共线的充要条件.7.了解平面向量的基本定理.理解平面向量的坐标的概念,掌握平面向量的坐标运算.8.掌握平面向量的数量积及其几何意义,了解用平面向量的数量积可以处理有关长度、角度和垂直的问题,掌握向量垂直的条件.9.掌握平面两点间的距离公式以及线段的定比分点和中点坐标公式,并且能熟练运用.掌握平移公式.【考点透视】向量具有代数运算性与几何直观性的―双重身份‖,即可以象数一样满足―运算性质‖进行代数形式的运算,又可以利用它的几何意义进行几何形式的变换.而三角函数是以―角‖为自变量的函数,函数值体现为实数,因此平面向量与三角函数在―角‖之间存在着密切的联系.同时在平面向量与三角函数的交汇处设计考题,其形式多样,解法灵活,极富思维性和挑战性.主要考点如下:1.考查三角式化简、求值、证明及求角问题.2.考查三角函数的性质与图像,特别是y=Asin(ωx+ϕ)的性质和图像及其图像变换.3.考查平面向量的基本概念,向量的加减运算及几何意义,此类题一般难度不大,主要用以解决有关长度、夹角、垂直、平行问题等.4.考查向量的坐标表示,向量的线性运算,并能正确地进行运算.5.考查平面向量的数量积及运算律(包括坐标形式及非坐标形式),两向量平行与垂直的充要条件等问题. 6.考查利用正弦定理、余弦定理解三角形问题. 【典例分析】题型一 三角函数平移与向量平移的综合三角函数与平面向量中都涉及到平移问题,虽然平移在两个知识系统中讲法不尽相同,但它们实质是一样的,它们都统一于同一坐标系的变化前后的两个图象中.解答平移问题主要注意两个方面的确定:(1)平移的方向;(2)平移的单位.这两个方面就是体现为在平移过程中对应的向量坐标.【例1】 把函数y =sin2x 的图象按向量→a =(-π6,-3)平移后,得到函数y =Asin(ωx +ϕ)(A >0,ω>0,|ϕ|=π2)的图象,则ϕ和B 的值依次为( ) A .π12,-3B .π3,3C .π3,-3D .-π12,3【分析】 根据向量的坐标确定平行公式为⎩⎪⎨⎪⎧x =x '+π6y =y '+3,再代入已知解析式可得.还可以由向量的坐标得图象的两个平移过程,由此确定平移后的函数解析式,经对照即可作出选择.【解析1】 由平移向量知向量平移公式⎩⎪⎨⎪⎧x '=x -π6y '=y -3,即⎩⎪⎨⎪⎧ x =x '+π6y =y '+3,代入y =sin2x 得y '+3=sin2(x '+π6),即到y =sin(2x +π3)-3,由此知ϕ=π3,B =-3,故选C.【解析2】 由向量→a =(-π6,-3),知图象平移的两个过程,即将原函数的图象整体向左平移π6个单位,再向下平移3个单位,由此可得函数的图象为y =sin2(x +π6)-3,即y =sin(2x +π3)-3,由此知ϕ=π3,B =-3,故选C.【点评】 此类题型将三角函数平移与向量平移有机地结合在一起,主要考查分析问题、解决问题的综合应用能力,同时考查方程的思想及转化的思想.本题解答的关键,也是易出错的地方是确定平移的方向及平移的大小.题型二 三角函数与平面向量平行(共线)的综合此题型的解答一般是从向量平行(共线)条件入手,将向量问题转化为三角问题,然后再利用三角函数的相关知识再对三角式进行化简,或结合三角函数的图象与民性质进行求解.此类试题综合性相对较强,有利于考查学生的基础掌握情况,因此在高考中常有考查.【例2】 已知A 、B 、C 为三个锐角,且A +B +C =π.若向量→p =(2-2sinA ,cosA +sinA)与向量→q =(cosA -sinA ,1+sinA)是共线向量.(Ⅰ)求角A ;(Ⅱ)求函数y =2sin2B +cos C -3B 2的最大值.【分析】 首先利用向量共线的充要条件建立三角函数等式,由于可求得A 角的正弦值,再根据角的范围即可解决第(Ⅰ)小题;而第(Ⅱ)小题根据第(Ⅰ)小题的结果及A 、B 、C 三个角的关系,结合三角民恒等变换公式将函数转化为关于角B 的表达式,再根据B 的范围求最值.【解】 (Ⅰ)∵→p 、→q 共线,∴(2-2sinA)(1+sinA)=(cosA +sinA)(cosA -sinA),则sin2A =34,又A 为锐角,所以sinA =32,则A =π3. (Ⅱ)y =2sin2B +cos C -3B2=2sin2B +cos (π-π3-B)-3B2=2sin2B +cos(π3-2B)=1-cos2B +12cos2B +32sin2B=32sin2B -12cos2B +1=sin(2B -π6)+1. ∵B ∈(0,π2),∴2B -π6∈(-π6,5π6),∴2B -π6=π2,解得B =π3,ymax =2.【点评】 本题主要考查向量共线(平行)的充要条件、三角恒等变换公式及三角函数的有界性.本题解答有两个关键:(1)利用向量共线的充要条件将向量问题转化为三角函数问题;(2)根据条件确定B 角的范围.一般地,由于在三角函数中角是自变量,因此解决三角函数问题确定角的范围就显得至关重要了.题型三 三角函数与平面向量垂直的综合此题型在高考中是一个热点问题,解答时与题型二的解法差不多,也是首先利用向量垂直的充要条件将向量问题转化为三角问题,再利用三角函数的相关知识进行求解.此类题型解答主要体现函数与方程的思想、转化的思想等.【例3】 已知向量→a =(3sinα,cosα),→b =(2sinα,5sinα-4cosα),α∈(3π2,2π),且→a ⊥→b .(Ⅰ)求tanα的值; (Ⅱ)求cos(α2+π3)的值.【分析】 第(Ⅰ)小题从向量垂直条件入手,建立关于α的三角方程,再利用同角三角函数的基本关系可求得tanα的值;第(Ⅱ)小题根据所求得的tanα的结果,利用二倍角公式求得tan α2的值,再利用两角和与差的三角公式求得最后的结果.【解】 (Ⅰ)∵→a ⊥→b ,∴→a ·→b =0.而→a =(3sinα,cosα),→b =(2sinα, 5sinα-4cosα), 故→a ·→b =6sin2α+5sinαcosα-4cos2α=0.由于cosα≠0,∴6tan2α+5tanα-4=0.解之,得tanα=-43,或tanα=12.∵α∈(3π2,2π),tanα<0,故tanα=12(舍去).∴tanα=-43.(Ⅱ)∵α∈(3π2,2π),∴α2∈(3π4,π).由t anα=-43,求得tan α2=-12,tan α2=2(舍去).∴sin α2=55,cos α2=-255,∴cos(α2+π3)=cos α2cos π3-sin α2sin π3=-255×12-55×32=-25+1510【点评】 本题主要考查向量垂直的充要条件、同角三角函数的基本关系、二倍角公式及两角和与差的三角函数.同时本题两个小题的解答都涉及到角的范围的确定,再一次说明了在解答三角函数问题中确定角的范围的重要性.同时还可以看到第(Ⅰ)小题的解答中用到―弦化切‖的思想方法,这是解决在一道试题中同时出现―切函数与弦函数‖关系问题常用方法.题型四 三角函数与平面向量的模的综合此类题型主要是利用向量模的性质|→a |2=→a 2,如果涉及到向量的坐标解答时可利用两种方法:(1)先进行向量运算,再代入向量的坐标进行求解;(2)先将向量的坐标代入向量的坐标,再利用向量的坐标运算进行求解.【例3】 已知向量→a =(cosα,sinα),→b =(cosβ,sinβ),|→a -→b |=25 5.(Ⅰ)求cos(α-β)的值;(Ⅱ)若-π2<β<0<α<π2,且sinβ=-513,求sinα的值.【分析】 利用向量的模的计算与数量积的坐标运算可解决第(Ⅰ)小题;而第(Ⅱ)小题则可变角α=(α-β)+β,然后就须求sin(α-β)与cos β即可.【解】 (Ⅰ)∵|→a -→b |=255,∴→a 2-2→a ·→b +→b 2=45, 将向量→a =(cosα,sinα),→b =(cosβ,sinβ)代入上式得12-2(cos αcos β+sin αsin β)+12=45,∴cos(α-β)=-35.(Ⅱ)∵-π2<β<0<α<π2,∴0<α-β<π,由cos(α-β)=-35,得sin(α-β)=45,又sin β=-513,∴cos β=1213,∴sin α=sin [(α-β)+β]=sin(α-β)cos β+cos(α-β)sin β=3365.点评:本题主要考查向量的模、数量积的坐标运算、和角公式、同角三角函数的基本关系.本题解答中要注意两点:(1)化|→a -→b |为向量运算|→a -→b |2=(→a -→b )2;(2)注意解α-β的范围.整个解答过程体现方程的思想及转化的思想.题型五 三角函数与平面向量数量积的综合此类题型主要表现为两种综合方式:(1)三角函数与向量的积直接联系;(2)利用三角函数与向量的夹角交汇,达到与数量积的综合.解答时也主要是利用向量首先进行转化,再利用三角函数知识求解.【例5】 设函数f(x)=→a ·→b .其中向量→a =(m ,cosx),→b =(1+sinx ,1),x ∈R ,且f(π2)=2.(Ⅰ)求实数m 的值;(Ⅱ)求函数f(x)的最小值.分析:利用向量内积公式的坐标形式,将题设条件中所涉及的向量内积转化为三角函数中的―数量关系‖,从而,建立函数f(x)关系式,第(Ⅰ)小题直接利用条件f(π2)=2可以求得,而第(Ⅱ)小题利用三角函数函数的有界性就可以求解.解:(Ⅰ)f(x)=→a ·→b =m(1+sinx)+cosx , 由f(π2)=2,得m(1+sin π2)+cos π2=2,解得m =1.(Ⅱ)由(Ⅰ)得f(x)=sinx +cosx +1=2sin(x +π4)+1,当sin(x +π4)=-1时,f(x)的最小值为1- 2.点评:平面向量与三角函数交汇点较多,向量的平行、垂直、夹角、数量积等知识都可以与三角函数进行交汇.不论是哪类向量知识与三角函数的交汇试题,其解法都差不多,首先都是利用向量的知识将条件转化为三角函数中的―数量关系‖,再利用三角函数的相关知识进行求解.六、解斜三角形与向量的综合在三角形的正弦定理与余弦定理在教材中是利用向量知识来推导的,说明正弦定理、余弦定理与向量有着密切的联系.解斜三角形与向量的综合主要体现为以三角形的角对应的三角函数值为向量的坐标,要求根据向量的关系解答相关的问题.【例6】 已知角A 、B 、C 为△ABC 的三个内角,其对边分别为a 、b 、c ,若→m =(-cos A 2,sin A 2),→n =(cos A2,sin A 2),a =23,且→m·→n =12. (Ⅰ)若△ABC 的面积S =3,求b +c 的值. (Ⅱ)求b +c 的取值范围.【分析】 第(Ⅰ)小题利用数量积公式建立关于角A 的三角函数方程,再利用二倍角公式求得A 角,然后通过三角形的面积公式及余弦定理建立关于b 、c 的方程组求取b +c 的值;第(Ⅱ)小题正弦定理及三角形内角和定理建立关于B 的三角函数式,进而求得b +c 的范围.【解】 (Ⅰ)∵→m =(-cos A 2,sin A 2),→n =(cos A 2,sin A 2),且→m·→n =12,∴-cos2A 2+sin2A 2=12,即-cosA =12,又A ∈(0,π),∴A =2π3.又由S △ABC =12bcsinA =3,所以bc =4,由余弦定理得:a2=b2+c2-2bc·cos 2π3=b2+c2+bc ,∴16=(b +c)2,故b +c =4.(Ⅱ)由正弦定理得:b sinB =c sinC =a sinA =23sin 2π3=4,又B +C =π-A =π3,∴b +c =4sinB +4sinC =4sinB +4sin(π3-B)=4sin(B +π3),∵0<B <π3,则π3<B +π3<2π3,则32<sin(B +π3)≤1,即b +c 的取值范围是(23,4].[点评] 本题解答主要考查平面向量的数量积、三角恒等变换及三角形中的正弦定理、余弦定理、面积公式、三角形内角和定理等.解答本题主要有两处要注意:第(Ⅰ)小题中求b +c 没有利用分别求出b 、c 的值为解,而是利用整体的思想,使问题得到简捷的解答;(2)第(Ⅱ)小题的求解中特别要注意确定角B 的范围.【专题训练】 一、选择题1.已知→a =(cos40︒,sin40︒),→b =(cos20︒,sin20︒),则→a ·→b =( )A .1B .32C .12D .222.将函数y =2sin2x -π2的图象按向量(π2,π2)平移后得到图象对应的解析式是( ) A .2cos2xB .-2cos2xC .2sin2xD .-2sin2x3.已知△ABC 中,AB →=a →,AC →=b →,若a →·b →<0,则△ABC 是 ( )A .钝角三角形B .直角三角形C .锐角三角形D .任意三角形4.设→a =(32,sin α),→b =(cos α,13),且→a ∥→b ,则锐角α为( )A .30︒B .45︒C .60︒D .75︒5.已知→a =(sinθ,1+cosθ),→b =(1,1-cosθ),其中θ∈(π,3π2),则一定有 ( )A .→a ∥→bB .→a ⊥→bC .→a 与→b 夹角为45°D .|→a |=|→b |6.已知向量a →=(6,-4),b →=(0,2),c →=a →+λb →,若C 点在函数y =sinπ12x 的图象上,实数λ=( ) A .52B .32C .-52D .-327.由向量把函数y =sin(x +5π6)的图象按向量→a =(m ,0)(m >0)平移所得的图象关于y 轴对称,则m 的最小值为( ) A .π6B .π3C .2π3D .5π68.设0≤θ≤2π时,已知两个向量OP1→=(cosθ,sinθ),OP2→=(2+sinθ,2-cosθ),则向量P1P2→长度的最大值是( ) A . 2B . 3C .3 2D .2 3 9.若向量→a =(cos α,sin α),→b =(cos β,sin β),则→a 与→b 一定满足( )A .→a 与→b 的夹角等于α-βB .→a ⊥→bC .→a ∥→bD .(→a +→b )⊥(→a -→b )10.已知向量→a =(cos25︒,sin25︒),→b =(sin20︒,cos20︒),若t 是实数,且→u =→a +t →b ,则|→u |的最小值为( ) A . 2B .1C .22D .1211.O 是平面上一定点,A 、B 、C 是该平面上不共线的3个点,一动点P 满足:→OP =→OA +λ(→AB +→AC),λ∈(0,+∞),则直线AP 一定通过△ABC 的 ( ) A .外心B .内心C .重心D .垂心12.对于非零向量→a 我们可以用它与直角坐标轴的夹角α,β(0≤α≤π,0≤β≤π)来表示它的方向,称α,β为非零向量→a 的方向角,称cos α,cos β为向量→a 的方向余弦,则cos2α+cos2β=( ) A .1 B .32 C .12D .0二、填空题13.已知向量→m =(sin θ,2cos θ),→n =(3,-12).若→m ∥→n ,则sin2θ的值为____________.14.已知在△OAB(O 为原点)中,→OA =(2cos α,2sin α),→OB =(5cos β,5sin β),若→OA·→O B =-5,则S △AOB 的值为_____________.15.将函数f(x)=tan(2x +π3)+1按向量a 平移得到奇函数g(x),要使|a|最小,则a =____________.16.已知向量→m =(1,1)向量→n 与向量→m 夹角为3π4,且→m·→n =-1.则向量→n =__________.三、解答题17.在△ABC 中,角A 、B 、C 的对边分别为a 、b 、c ,若→AB·→AC =→BA·→BC =k(k ∈R).(Ⅰ)判断△ABC 的形状; (Ⅱ)若c =2,求k 的值.18.已知向量→m =(sinA,cosA),→n =(3,-1),→m ·→n =1,且A 为锐角.(Ⅰ)求角A 的大小;(Ⅱ)求函数f(x)=cos2x +4cosAsinx(x ∈R)的值域.19.在△ABC 中,A 、B 、C 所对边的长分别为a 、b 、c ,已知向量→m =(1,2sinA),→n =(sinA ,1+cosA),满足→m ∥→n ,b +c =3a.(Ⅰ)求A 的大小;(Ⅱ)求sin(B +π6)的值.20.已知A 、B 、C 的坐标分别为A (4,0),B (0,4),C (3cosα,3sinα).(Ⅰ)若α∈(-π,0),且|→AC|=|→BC|,求角α的大小; (Ⅱ)若→AC ⊥→BC ,求2sin2α+sin2α1+tanα的值.21.△ABC 的角A 、B 、C 的对边分别为a 、b 、c ,→m =(2b -c ,a),→n =(cosA ,-cosC),且→m ⊥→n .(Ⅰ)求角A 的大小;(Ⅱ)当y =2sin2B +sin(2B +6)取最大值时,求角B 的大小.22.已知→a =(cosx +sinx ,sinx),→b =(cosx -sinx ,2cosx),(Ⅰ)求证:向量→a 与向量→b 不可能平行;(Ⅱ)若f(x)=→a ·→b ,且x ∈[-π4,π4]时,求函数f(x)的最大值及最小值.【专题训练】参考答案 一、选择题1.B 解析:由数量积的坐标表示知→a ·→b =cos40︒sin20︒+sin40︒cos20︒=sin60︒=32. 2.D 【解析】y =2sin2x -π2→y =2sin2(x +π2)-π2+π2,即y =-2sin2x.3.A 【解析】因为cos ∠BAC =AB →·AC →|AB →|·|AC →|=a →·b→|a →|·|b →|<0,∴∠BAC 为钝角.4.B 【解析】由平行的充要条件得32×13-sin αcos α=0,sin2α=1,2α=90︒,α=45︒.5.B 【解析】→a ·→b =sinθ+|sinθ|,∵θ∈(π,3π2),∴|sinθ|=-sinθ,∴→a ·→b =0,∴→a ⊥→b .6.A 【解析】c →=a →+λb →=(6,-4+2λ),代入y =sinπ12x 得,-4+2λ=sin π2=1,解得λ=52. 7.B 【解析】考虑把函数y =sin(x +5π6)的图象变换为y =cosx 的图象,而y =sin(x +5π6)=cos(x +π3),即把y =cos(x +π3)的图象变换为y =cosx 的图象,只须向右平行π3个单位,所以m =π3,故选B. 8.C 【解析】|P1P2→|=(2+sinθ-cosθ)2+(2-cosθ-sinθ)2=10-8cosθ≤3 2.9.D 【解析】→a +→b =(cos α+cos β,sin α+sin β),→a -→b =(cos α+cos β,sin α-sin β),∴(→a +→b )·(→a -→b )=cos2α-cos2β+sin2α-sin2β=0,∴(→a +→b )⊥(→a -→b ).10.C 【解析】|→u |2=|→a |2+t2|→b |2+2t →a ·→b =1+t2+2t(sin20︒cos25︒+cos20︒sin25︒)=t2+2t +1=(t +22)2+12,|→u |2 min =12,∴|→u |min =22.11.C 【解析】设BC 的中点为D ,则→AB +→AC =2→AD ,又由→OP =→OA +λ(→AB +→AC),→AP =2λ→AD ,所以→AP 与→AD 共线,即有直线AP 与直线AD 重合,即直线AP 一定通过△ABC 的重心.12.A 【解析】设→a =(x,y),x 轴、y 轴、z 轴方向的单位向量分别为→i =(1,0),→j =(0,1),由向量知识得cos α=→i ·→a|→i |·|→a |=x x2+y2,cos β=→j ·→a |→j |·|→a |=yx2+y2,则cos2α+cos2β=1.二、填空题13.-8349 【解析】由→m ∥→n ,得-12sin θ=23cos θ,∴tan θ=-43,∴sin2θ=2sin θcos θsin2θ+cos2θ=2tan θtan2θ+1=-8349.14.532 【解析】→OA·→OB =-5⇒10cos αco βs +10sin αsin β=-5⇒10cos(α-β)=-5⇒cos(α-β)=-12,∴sin ∠AOB =32,又|→OA|=2,|→OB|=5,∴S △AOB =12×2×5×32=532. 15.(π6,-1) 【解析】要经过平移得到奇函数g(x),应将函数f(x)=tan(2x +π3)+1的图象向下平移1个单位,再向右平移-kπ2+π6(k ∈Z)个单位.即应按照向量→a =(-kπ2+π6,-1) (k ∈Z)进行平移.要使|a|最小,16.(-1,0)或(0,-1) 【解析】设→n =(x ,y),由→m ·→n =-1,有x +y =-1 ①,由→m 与→n 夹角为3π4,有→m·→n =|→m|·|→n |cos 3π4,∴|→n |=1,则x2+y2=1 ②,由①②解得⎩⎨⎧ x=﹣1y=0或⎩⎨⎧ x =0y =-1 ∴即→n =(-1,0)或→n =(0,-1) .三、解答题17.【解】(Ⅰ)∵→AB·→AC =bccosA ,→BA·→BC =cacosB ,又→AB·→AC =→BA·→BC ,∴bccosA =cacosB ,∴由正弦定理,得sinBcosA =sinAcosB ,即sinAcosB -sinBcosA =0,∴sin(A -B)=0∵-π<A -B <π,∴A -B =0,即A =B ,∴△ABC 为等腰三角形.(Ⅱ)由(Ⅰ)知b a =,∴→AB·→AC =bccosA =bc·b2+c2-a22bc =c22,∵c =2,∴k =1.18.【解】(Ⅰ)由题意得→m·→n =3sinA -cosA =1,2sin(A -π6)=1,sin(A -π6)=12,由A 为锐角得A -π6=π6,A =π3.(Ⅱ)由(Ⅰ)知cosA =12,所以f(x)=cos2x +2sinx =1-2sin2x +2sinx =-2(sinx -12)2+32,因为x ∈R ,所以sinx ∈[-1,1],因此,当sinx =12时,f(x)有最大值32.当sinx =-1时,f(x)有最小值-3,所以所求函数f(x)的值域是[-3,32].19.【解】(Ⅰ)由→m ∥→n ,得2sin2A -1-cosA =0,即2cos2A +cosA -1=0,∴cosA =12或cosA =-1.∵A 是△ABC 内角,cosA =-1舍去,∴A =π3.(Ⅱ)∵b +c =3a ,由正弦定理,sinB +sinC =3sinA =32,∵B +C =2π3,sinB +sin(2π3-B)=32,∴32cosB +32sinB =32,即sin(B +π6)=32. 20.【解】(Ⅰ)由已知得:(3cosα-4)2+9sin2α=9cos2α+(3sinα-4) 2,则sinα=cosα,因为α∈(-π,0),∴α=-3π4. (Ⅱ)由(3cosα-4)·3cosα+3sinα·(3sinα-4)=0,得 sinα+cosα=34,平方,得sin2α=-716.而2sin2α+sin2α1+tanα=2sin2αcosα+2sinαcos2αsinα+cosα=2sinαcosα=sin2α=-716.21.【解】(Ⅰ)由→m ⊥→n ,得→m ·→n =0,从而(2b -c)cosA -acosC =0,由正弦定理得2sinBcosA -sinCcosA -sinAcosC =0 ∴2sinBcosA -sin(A +C)=0,2sinBcosA -sinB =0, ∵A 、B ∈(0,π),∴sinB≠0,cosA =12,故A =π3.(Ⅱ)y =2sin2B +2sin(2B +π6)=(1-cos2B)+sin2Bcos π6+cos2Bsin π6=1+32sin2B -12 cos2B =1+sin(2B -π6). 由(Ⅰ)得,0<B <2π3,-π6<2B -π6<7π6,∴当2B -π6=π2,即B =π3时,y 取最大值2.22.【解】(Ⅰ)假设→a ∥→b ,则2cosx(cosx +sinx)-sinx(cosx -sinx)=0,∴2cos2x +sinxcosx +sin2x =0,2·1+cos2x 2+12sin2x +1-cos2x2=0,即sin2x +cos2x =-3,∴2(sin2x +π4)=-3,与|2(sin2x +π4)|≤2矛盾,故向量→a 与向量→b 不可能平行.(Ⅱ)∵f(x)=→a ·→b =(cosx +sinx)·(cosx -sinx)+sinx·2cosx =cos2x -sin2x +2sinxcosx =cos2x +sin2x =2(22cos2x +22sin2x)=2(sin2x +π4), ∵-π4≤x≤π4,∴-π4≤2x +π4≤3π4,∴当2x +π4=π2,即x =π8时,f(x)有最大值2;当2x +π4=-π4,即x =-π4时,f(x)有最小值-1.专题二:函数与导数的交汇题型分析及解题策略【命题趋向】函数的观点和方法既贯穿了高中代数的全过程,又是学习高等数学的基础,是高考数学中极为重要的内容,纵观全国及各自主命题省市近三年的高考试题,函数与导数在选择、填空、解答三种题型中每年都有试题,分值26分左右,如08年福建文11题理12题(5分)为容易题,考查函数与导函数图象之间的关系、08年江苏14题(5分)为容易题,考查函数值恒成立与导数研究单调性、08年北京文17题(12分)为中档题考查函数单调性、奇偶性与导数的交汇、08年湖北理20题(12分)为中档题,考查利用导数解决函数应用题、08年辽宁理22题(12分)为中档题,考查函数利用导数确定函数极值与单调性问题等.预测2009年关于函数与导数的命题趋势,仍然是难易结合,既有基本题也有综合题,函数与导数的交汇的考查既有基本题也有综合题,基本题以考查基本概念与运算为主,考查函数的基础知识及函数性质及图象为主,同时考查导数的相关知识,知识载体主要是三次函数、指数函数与对数函数综合题.主要题型:(1)利用导数研究函数的单调性、极值与最值问题;(2)考查以函数为载体的实际应用题,主要是首先建立所求量的目标函数,再利用导数进行求解.【考试要求】1.了解函数的单调性、奇偶性的概念,掌握判断一些简单函数的单调性、奇偶性的方法. 2.了解反函数的概念及互为反函数的函数图像间的关系,会求一些简单函数的反函数.3.掌握有理指数幂的运算性质.掌握指数函数的概念、图象和性质.4.掌握对数的运算性质;掌握对数函数的概念、图像和性质.5.能够运用函数的性质、指数函数和对数函数的性质解决某些简单的实际问题.6.了解导数概念的某些实际背景(如瞬时速度、加速度、光滑曲线切线的斜率等);掌握函数在一点处的导数的定义和导数的几何意义;理解导函数的概念.7.熟记基本导数公式(c,xm(m为有理数),sinx,cosx,ex,ax,lnx,logax的导数);掌握两个函数和、差、积、商的求导法则.了解复合函数的求导法则,会求某些简单函数的导数.8.理解可导函数的单调性与其导数的关系;了解可导函数在某点取得极值的必要条件和充分条件(导数在极值点两侧异号);会求一些实际问题(一般指单峰函数)的最大值和最小值.【考点透视】高考对导数的考查主要以工具的方式进行命题,充分与函数相结合.其主要考点:(1)考查利用导数研究函数的性质(单调性、极值与最值);(2)考查原函数与导函数之间的关系;(3)考查利用导数与函数相结合的实际应用题.从题型及考查难度上来看主要有以下几个特点:①以填空题、选择题考查导数的概念、求函数的导数、求单调区间、求函数的极值与最值;②与导数的几何意义相结合的函数综合题,利用导数求解函数的单调性或求单调区间、最值或极值,属于中档题;③利用导数求实际应用问题中最值,为中档偏难题.【典例分析】题型一导函数与原函数图象之间的关系如果原函数定义域内可导,则原函数的图象f(x)与其导函数f'(x)的图象有密切的关系:1.导函数f'(x)在x轴上、下方图象与原函数图象上升、下降的对应关系:(1)若导函数f'(x)在区间D上恒有f'(x)>0,则f(x)在区间D上为增函数,由此进一步得到导函数f'(x)图象在x轴上方的图象对应的区间D为原函数图象中的上升区间D;(2)若导函数f'(x)在区间D上恒有f'(x)<0,则f(x)在区间D上为减函数,由此进一步得到导函数f'(x)图象在x轴下方的图象对应的区间为原函数图象中的下降区间.2.导函数f'(x)图象的零点与原函数图象的极值点对应关系:导函数f'(x)图象的零点是原函数的极值点.如果在零点的左侧为正,右侧为负,则导函数的零点为原函数的极大值点;如果在零点的左侧为负,右侧为正,则导函数的零点为原函数的极小值点.【例1】如果函数y=f(x)的图象如右图,那么导函数y=f'(x)的图象可能是()【分析】根据原函数y=f(x)的图象可知,f(x)有在两个上升区间,有两个下降区间,且第一个期间的上升区间,然后相间出现,则反映在导函数图象上就是有两部分图象在x轴的上方,有两部分图象在x轴的下方,且第一部分在x 轴上方,然后相间出现.【解】由原函数的单调性可以得到导函数的正负情况依次是正→负→正→负,只有答案A满足.【点评】本题观察图象时主要从两个方面:(1)观察原函数f(x)的图象哪些的上升区间?哪些下降区间?;(2)观察导函数f'(x)的图象哪些区间在大于零的区间?哪些部分昌小于零的区间?【例2】设f'(x)是函数f(x)的导函数,y=f'(x)的图象如图所示,则y=f(x)的图象最有可能是()【分析】先观察所给出的导函数y=f'(x)的图象的正负区间,再观察所给的选项的增减区间,二者结合起来即可作出正确的选择.本题还可以通过确定导函数y=f'(x)的图象零点0、2对应原函数的极大或极小值点来判断图象.【解法1】由y=f'(x)的图象可以清晰地看出,当x∈(0,2)时,y=f'(x)<0,则f(x)为减函数,只有C项符合,故选C.【解法2】在导函数f'(x)的图象中,零点0的左侧函数值为正,右侧为负,由可知原函数f(x)在x=0时取得极大值.又零点2的左侧为负,右侧为正,由此可知原函数f(x)在x=0时取得极小值,只有C适合,故选C.【点评】(1)导函数值的符号决定函数的单调性为―正增、负减‖,导函数的零点确定原函数的极值点;(2)导函数的增减性与函数增减性之间没有直接的关系,但它刻画函数图象上的点的切线斜率的变化趋势.题型二利用导数求解函数的单调性问题若f(x)在某区间上可导,则由f'(x)>0(f'(x)<0)可推出f(x)为增(减)函数,但反之则不一定,如:函数f(x)=x3在R上递增,而f'(x)≥0.f(x)在区间D内单调递增(减)的充要条件是f'(x0)≥0(≤0),且f'(x)在(a,b)的任意子区间上都不恒为零.利用导数求解函数单调性的主要题型:(1)根据函数解析式,求函数的单调区间;(2)根据函数的单调性函数求解参数问题;(3)求解与函数单调性相关的其它问题,如函数图象的零点、不等式恒成立等问题.【例3】 (08全国高考)已知函数f(x)=x3+ax2+x +1,a ∈R .(Ⅰ)讨论函数f(x)的单调区间;(Ⅱ)设函数f(x)在区间(-23,-13)内是减函数,求a 的取值范围.【分析】 第(Ⅰ)小题先求导函数f '(x),由于含有参数a ,根据判别式确定对a 的分类标准,进而确定单调区间;第(Ⅱ)小题根据第(Ⅰ)小题的结果,建立关于a 的不等式组,由此可确定a 的范围.【解】 (Ⅰ)由f(x)=x3+ax2+x +1,求导得f '(x)=3x2+2ax +1, 当a2≤3时,△=4(a2-3)≤0,f '(x)≥0,f(x)在R 上递增, 当a2>3,f '(x)=求得两根为x =-a±a2-33,则函数f(x)在区间(-∞,-a -a2-33)上递增,在区间(-a -a2-33,-a +a2-33)上递减,在区间(-a -a2-33,+∞)上递增.(Ⅱ)由(Ⅰ)得⎩⎪⎨⎪⎧ -a -a2-33≤-23-a +a2-33≥-13,且a2>3,解得a≥2.【点评】 本题是利用导数求解函数单调性问题的两类最典型的题型.由于函数解析式中含有字母参数a ,因此解答第(Ⅰ)小题时注意分类讨论.第(Ⅱ)小题的解答是根据第(Ⅰ)小题的结果,利用集合集合间的关系建立不等式来求解的.第(Ⅱ)小题还是利用函数在已知区间上减函数建立不等式⎩⎨⎧ f '(-23)≤0f '(-13)≤0来求解.题型三 求函数的极值问题极值点的导数一定为0,但导数为0的点不一定是极值点,同时不可导的点可能是极值点.因此函数的极值点只能在导数为0的点或不可导的点产生.利用导数求函数的极值主要题型:(1)根据函数解析式求极值;(2)根据函数的极值求解参数问题.解答时要注意准确应用利用导数求极值的原理求解.【例4】 (08·四川)设x =1和x =2是函数f(x)=x5+ax3+bx +1的两个极值点.(Ⅰ)求a 和b 的值;(Ⅱ)略. 【分析】 先求导函数f '(x),然后由x =1和x =2是f '(x)=0的两个根建立关于a 、b 的方程组求解. 【解】 因为f '(x)=5x4+3ax2+b ,由x =1和x =2是函数f(x)=x5+ax3+bx +1的两个极值点,所以f '(1)=0,且f '(2)=0, 即⎩⎨⎧ 5×14+3a×12+b =05×24+3a×22+b =0,解得a =253,b =20. 【点评】 解答本题要明确极值点与导函数方程之间的关系:对于三次函数极值点的导数一定为0,但导数为0的点不一定是极值点.本题解得充分利用上述关系,通过建立方程组求得了a 和b 的值.【例5】 (08陕西高考)已知函数f(x)=kx +1x2+c (c >0,且c≠1,k ∈R )恰有一个极大值点和一个极小值点,其中一个是x =-c .(Ⅰ)求函数f(x)的另一个极值点;(Ⅱ)求函数f(x)的极大值M 和极小值m ,并求M -m≥1时k 的取值范围.【分析】 先求导函数f '(x),然后令f '(-c)=0及一元二次方程根与系数的关系可解决第(Ⅰ)小题;而解答第(Ⅱ)小题须对k 与c 进行分类讨论进行解答.【解】 (Ⅰ)f '(x)=k(x2+c)-2x(kx +1)(x2+c)2=-kx2-2x +ck(x2+c)2,由题意知f '(-c)=0,即得c2k -2c -ck =0,即c =1+2k(*)∵c≠0,∴k≠0.由f '(0)=0,得-kx2-2x +ck =0, 由韦达定理知另一个极值点为x =1.(Ⅱ)由(*)式得c =1+2k,当c >1时,k >0;当0<c <1时,k <-2.(ⅰ)当k >0时,f(x)在(-∞,-c)和(1,+∞)内是减函数,在(-c ,1)内是增函数. f(1)=k +1c +1=k 2>0,m =f(-c)=-kc +1c2+c =-k22(k +2)<0,由M -m =k 2+k22(k +2)≥1及k >0,解得k≥ 2.(ⅱ)当k <-2时,f(x)在(-∞,-c)和(1,+∞)内是增函数,在(-c ,1)内是减函数. ∴M =f(1)=-k22(k +2)>0,m =k +1c +1=k 2<0,而M -m =-k22(k +2)-k2=1-(k +1)2+1k +2≥1恒成立.综上可知,所求k 的取值范围为(-∞,-2)∪[2,+∞).【点拨】 第(Ⅰ)小题解答的关键是利用一元二次方程的韦达定理.第(Ⅱ)小题的是与极值相关的解决恒成立问题,因此求函数在定义域上的极值是解答的关键.题型四 求解函数的最值问题函数在闭区间上的最值是比较所有极值点与端点的函数值所得结果,因此函数在闭区间[a ,b]上的端点函数值一定不是极值,但它可能是函数的最值.同时,函数的极值不一定是函数的最值,最值也不一定是极值.另外求解函数的最值问题,还可以直接结合函数的单调性来求解.利用导数求解函数最值问题的主要题型:(1)根据函数的解析式求函数的最大值;(2)根据函数在一个区间上的最值情况求解参数问题.【例6】 (08浙江高考)已知a 是实数,函数f(x)=x2(x -a).(Ⅰ)略;(Ⅱ)求f(x)在区间[0,2]上的最大值. 【分析】 首先求函数f '(x),再解方程f '(x)=0,得两个根,而两根含有参数,但不知两根的大小,因此须分类讨论讨论函数f(x)的单调区间,进而确定f(x)在给定区间上的最大值.【解】 (Ⅱ)f '(x)=3x2-2ax .令f '(x)=0,解得x1=0,x2=2a3.当2a3≤0,即a≤0时,f(x)在[0,2]上单调递增,从而f(x)max =f(2)=8-4a .。
2010某某专题:代数推理题的经典类型与解法一.移项,数形结合例1设函数134)(,4)(2+=--+=x x g x x a x f ,已知]0,4[-∈x ,时恒有)()(x g x f ≤,求a 的取值X 围.二.构造函数,恒成立的问题, 函数最值解法例2 已知不等式32)1(log 121212111+-≥+++++a n n n a 对于大于1的正整数n 恒成立,试确定a 的取值X 围.三.分类讨论例3 已知函数)0(49433)(22>++--=b b x x x f 在区间[-b ,1-b]上的最大值为25,求b 的值.四.逆向分析法例4已知).1(1)(-≠+=x x xx f)()1(x f 求的单调区间;(2)若.43)()(:,)(1,0>+-=>>c f a f b b a c b a 求证五.数学猜想能力。
证明.对称可采用解几中的坐标证法例5 已知函数f(x)=a a a xx+(a>0,a≠1).(1) 证明函数f(x)的图象关于点P(21,21)对称.(2) 令an =)1()(n f n f a -,对一切自然数n ,先猜想使an >n2成立的最小自然数a,并证明之.(3) 求证:n n n n )(!(lg 3lg )1(41>+∈N).六.采用反证法例6对于函数)(x f ,若存在000)(,x x f R x =∈使成立,则称)(0x f x 为的不动点。
如果函数),()(2N c b c bx a x x f ∈-+=有且只有两个不动点0,2,且,21)2(-<-f(1)求函数)(x f 的解析式;(2)已知各项不为零的数列1)1(4}{=⋅nn n a f S a 满足,求数列通项n a ;(3)如果数列}{n a 满足)(,411n n a f a a ==+,求证:当2≥n 时,恒有3<n a 成立.七.赋值法例7.已知函数f(t)满足对任意实数x 、y 都有f(x+y)=f(x)+f(y)+xy+1,且f(-2)=-2. (1)求f(1)的值;(2)证明:对一切大于1的正整数t ,恒有f(t)>t ; (3)试求满足f(t)=t 的整数t 的个数,并说明理由.例8已知函数f (x )在(-1,1)上有定义,1)21(-=f 且满足x 、y ∈(-1,1) 有 )1()()(xy y x f y f x f ++=+.(1)证明:f (x )在(-1,1)上为奇函数;(2)对数列,12,21211nn n x x x x +==+求)(n x f ;(3)求证.252)(1)(1)(121++->+++n n x f x f x f n八.解析几何中的推理证明例9.一动圆经过点A (2,0),且在y 轴上截得的弦长为4. (1)求动圆圆心P 的轨迹方程;(2)设AO 的中点为B (其中O 为坐标原点),如果过点B 的直线l 与动圆圆心P 的轨迹相交于不同的两点C 、D ,证明:以CD 为直径的圆与一定直线相切.例10.如图,直角坐标系xOy 中,一直角三角形ABC ,∠C =90°,B 、C 在x 轴上且关于原点O 对称,D 在边BC 上,BD =3DC ,∆ABC 的周长为12.若一双曲线E 以B 、C 为焦点,且经过A 、D 两点.(1)求双曲线E 的方程;(2)若一过点P (m ,0)(m 为非零常数)的直线l 与双曲线E 相交于不同于双曲线顶点的两点M 、N ,且→MP =λ→PN ,问在x 轴上是否存在定点G ,使→BC ⊥(→GM -λ→GN )?若存在,求出所有这样定点G 的坐标;若不存在,请说明理由.例11.已知焦点在x 轴上的双曲线C 的两条渐近线过坐标原点,且两条渐近线与以点A (0,2)为圆心,1为半径为圆相切,又知C 的一个焦点与A关于直线y =x 对称. (1)求双曲线C 的方程;(2)若Q 是双曲线C 上的任一点,F1、F2为双曲线C 的左、右两个焦点,从F1引∠F1QF2的平分线的垂线,垂足为N ,试求点N 的轨迹方程;(3)设直线y =mx +1与双曲线C 的左支交于A 、B 两点,另一直线l 经过M (-2,0)及AB 的中点,求直线l 在y 轴上的截距b 的取值X 围.例12.设函数f (x )的定义域为R ,当x <0时,0<f (x )<1,且对任意的实数x 、y ∈R ,有f (x +y )=f (x )f (y ). (1)求f (0);(2)试判断函数f (x )在(-∞,0]上是否存在最大值,若存在,求出该最大值,若不存在说明理由;(3)设数列{an }各项都是正数,且满足a1=f (0),f (an +12-an2)=1f (an +1-3an -2),(n ∈N*)又设bn =(12)an ,Sn =b1+b2+…+bn ,Tn =1a1a2+1a2a3+…+1anan +1,试比较Sn 与Tn 的大小.13.已知等比数列{xn }的各项为不等于1的正数,数列{yn }满足ynlogaxn =2(a >0,且a≠1),设y3=18,y6=12.(1)数列{yn }的前多少项和最大,最大值为多少?(2)试判断是否存在自然数M ,使得当n >M 时,xn >1恒成立,若存在,求出相应的M ;若不存在,请说明理由;(3)令an =logxnxn +1(n >13,n ∈N ),试比较an 与an +1的大小.例14.设对于任意实数x 、y ,函数f (x )、g (x )满足f (x +1)=13f (x ),且f (0)=3,g (x +y )=g (x )+2y ,g (5)=13,n ∈N*. (1)求数列{f (n )}、{g (n )}的通项公式; (2)设=g [n2f (n )],求数列{}的前n 项和Sn ;(3)设F (n )=Sn -3n ,是否存在整数m 和M ,使得对任意正整数n 不等式m <F (n )<M 恒成立?若存在,分别求出m 和M 的集合,并求出M -m 的最小值;若不存在,请说明理由.例15.已知F1、F2分别是椭圆x2a2+y2b2=1(a >b >0)的左、右焦点,P 是此椭圆的一动点,并且→PF1⋅→PF2的取值X 围是[-43,43].(1)求此椭圆的方程;(2)点A 是椭圆的右顶点,直线y =x 与椭圆交于B 、C 两点(C 在第一象限内),又P 、Q 是椭圆上两点,并且满足(→CP |→CP |+→CQ |→CQ |)⋅→F1F2=0,求证:向量→PQ 与→AB 共线.例16.设f (n ,p )=C p2n (n ,p ∈N ,p ≤2n ).数列{a (n ,p )}满足a (1,p )+a (2,p )+…+a (n ,p )=f (n ,p ). (1)求证:{a (n ,p )}是等差数列;(2)求证:f (n ,1)+f (n ,2)+…+f (n ,n )=22n -1+12C n2n-1;(3)设函数H (x )=f (n ,1)x +f (n ,2)x2+…+f (n ,2n )x2n ,试比较H (x )-H (a )与2n (1+a )2n -1(x -a )的大小.例17.已知系统M 是由6条网线并联而成,且这6条网线能通过的信息量个数分别为1,1,2,2,3,3。
数学复习重点知识点1. 求一个函数的解析式时,你标注了该函数的定义域了吗?2. 判断一个函数的奇偶性时,你注意到函数的定义域是否关于原点对称这个必要非充分条件了吗?10.一定要注意“()'fx >0(或()'f x <0)是该函数在给定区间上单调递增(减)的必要条件。
11. 你知道函数()0,0>>+=b a x bax y 的单调区间吗?(该函数在(]ab -∞-,或[)+∞,ab 上单调递增;在[)0,ab -或(]ab ,0上单调递减)这可是一个应用广泛的函数! 12.不等式的解集的规范书写格式是什么?(一般要写成集合的表达式) 13. 利用重要不等式ab b a 2≥+ 以及变式22⎪⎭⎫ ⎝⎛+≤b a ab 等求函数的最值时,你是否注意到a ,b +∈R (或a ,b 非负),且“等号成立”时的条件?14.常用不等式:若0,>b a ,(1)2211a b a b +≥≥≥+(当且仅当b a =时取等号) ;(2)a 、b 、c ∈R ,222a b c ab bc ca ++≥++(当且仅当a b c ==时,取等号);(3)若0,0a b m >>>,则b b m a a m +<+(糖水的浓度问题)。
|a|≥a ;|a|≥-a 14. 在解含有参数的不等式时,怎样进行讨论?(特别是指数和对数的底10<<a 或1>a )讨论完之后,要写出:综上所述,原不等式的解是…….15.解含参数的不等式的通法是“定义域为前提,函数增减性为基础,分类讨论是关键.” 16. 恒成立不等式问题通常解决的方法:借助相应函数的单调性求解,其主要技巧有数形结合法,分离变量法,换元法。
17. 立体几何中常用一些结论:棱长为a 的正四面体的高为a h 36=,体积为V=312a 。
18.注意曲线上某点处的导数值就是切线的斜率。
高考数学知识点总结一. 备考内容: 知识点总结 二. 复习过程:1. 对于集合,一定要抓住集合的代表元素,及元素的“确定性、互异性、无序性”。
{}{}{}如:集合,,,、、A x y x B y y x C x y y x A B C ======|lg |lg (,)|lg 中元素各表示什么?2. 进行集合的交、并、补运算时,不要忘记集合本身和空集的特殊情况。
∅ 注重借助于数轴和文氏图解集合问题。
空集是一切集合的子集,是一切非空集合的真子集。
3. 注意下列性质:{}()集合,,……,的所有子集的个数是;1212a a a n n()若,;2A B A B A A B B ⊆⇔== (3)德摩根定律:()()()()()()C CC C C C UU U U UUA B A B A B A B==,4. 你会用补集思想解决问题吗?(排除法、间接法)5. 可以判断真假的语句叫做命题,逻辑连接词有“或”,“且”和()()∨∧“非”().⌝若为真,当且仅当、均为真p q p q ∧若为真,当且仅当、至少有一个为真p q p q ∨若为真,当且仅当为假⌝p p6. 命题的四种形式及其相互关系是什么?(互为逆否关系的命题是等价命题。
) 原命题与逆否命题同真、同假;逆命题与否命题同真同假。
7. 对映射的概念了解吗?映射f :A →B ,是否注意到A 中元素的任意性和B 中与之对应元素的唯一性,哪几种对应能构成映射?(一对一,多对一,允许B 中有元素无原象。
)8. 函数的三要素是什么?如何比较两个函数是否相同?(定义域、对应法则、值域) 9. 求函数的定义域有哪些常见类型? 10. 如何求复合函数的定义域?[]如:函数的定义域是,,,则函数的定f x a b b a F(x f x f x ())()()>->=+-0义域是_____________。
[](答:,)a a -11. 求一个函数的解析式或一个函数的反函数时,注明函数的定义域了吗? 12. 反函数存在的条件是什么?(一一对应函数)求反函数的步骤掌握了吗?(①反解x ;②互换x 、y ;③注明定义域) 13. 反函数的性质有哪些?①互为反函数的图象关于直线y =x 对称; ②保存了原来函数的单调性、奇函数性;③设的定义域为,值域为,,,则y f(x)A C a A b C f(a)=b f 1=∈∈⇔=-()b a[][]∴====---f f a f b a f f b f a b111()()()(),14. 如何用定义证明函数的单调性? (取值、作差、判正负) 如何判断复合函数的单调性? [](,,则(外层)(内层)y f u u x y f x ===()()()ϕϕ[][]当内、外层函数单调性相同时为增函数,否则为减函数。