12 整式的加减(1)
- 格式:doc
- 大小:48.00 KB
- 文档页数:2
整式的加减(一)——合并同类项(提高)【学习目标】 1.掌握同类项及合并同类项的概念,并能熟练进行合并;2. 掌握同类项的有关应用;3. 体会整体思想即换元的思想的应用.【要点梳理】要点一、同类项定义:所含字母相同,并且相同字母的指数也分别相等的项叫做同类项.几个常数项也是同类项.要点诠释:(1)判断几个项是否是同类项有两个条件:①所含字母相同;②相同字母的指数分别相等,同时具备这两个条件的项是同类项,缺一不可.(2)同类项与系数无关,与字母的排列顺序无关.(3)一个项的同类项有无数个,其本身也是它的同类项. 要点二、合并同类项1. 概念:把多项式中的同类项合并成一项,叫做合并同类项.2.法则:合并同类项后,所得项的系数是合并前各同类项的系数的和,且字母部分不变. 要点诠释:合并同类项的根据是乘法的分配律逆用,运用时应注意:(1)不是同类项的不能合并,无同类项的项不能遗漏,在每步运算中照抄;(2)系数相加(减),字母部分不变,不能把字母的指数也相加(减).【典型例题】类型一、同类项的概念1. 判别下列各题中的两个项是不是同类项:(1)-4a 2b 3与5b 3a 2;(2)2213x y z -与2213xy z -;(3)-8和0;(4)-6a 2b 3c 与8ca 2. 【答案与解析】 (1)-4a 2b 3与5b 3a 2是同类项;(2)不是同类项;(3)-8和0都是常数,是同类项;(4)-6a 2c 与8ca 2是同类项.【总结升华】辨别同类项要把准“两相同,两无关”,“两相同”是指:①所含字母相同;②相同字母的指数相同;“两无关”是指:①与系数及系数的指数无关;②与字母的排列顺序无关.此外注意常数项都是同类项.2.315212135m n m n x y x y --+-若与是同类项,求出m, n 的值. 【答案与解析】因为315212135m n m n x y x y --+-与是同类项, 所以 315,21 1.m n -=⎧⎨-=⎩ , 解得:2,1.m n =⎧⎨=⎩所以2,1m n ==【总结升华】概念的灵活运用.举一反三:【变式】(2020•石城县模拟)如果单项式﹣x a+1y 3与x 2y b 是同类项,那么a 、b 的值分别为( )A. a=2,b=3B. a=1,b=2C. a=1,b=3D. a=2,b=2【答案】C解:根据题意得:a+1=2,b=3,则a=1.【答案】6类型二、合并同类项3.合并同类项:()221324325x x x x -++--;()2222265256a b ab b a -++-;()2223542625yx xy xy x y xy -+-+++;()()()()()2323431215141x x x x -----+- (注:将“1x -”或“1x -”看作整体)【思路点拨】同类项中,所含“字母”,可以表示字母,也可以表示多项式,如(4).【答案与解析】(1)()()()22232234511x x x x x x =-+-++-=+-=+-原式(2) ()()2222665522a a b b ab ab -+-++=原式=(3)原式=()()222562245x y x y xy xy xy -++-+++2245x y xy =++ (4)()()()()()()223323315121412161x x x x x x ⎡⎤⎡⎤=---+----=----⎣⎦⎣⎦原式 【总结升华】无同类项的项不能遗漏,在每步运算中照抄.举一反三:【变式1】化简:(1) 32313125433xy x y xy x ---+ (2) (a-2b)2+(2b-a)-2(2b-a)2+4(a-2b) 【答案】原式3323211231123()()53345334xy xy x x y xy x y =-+--=-+--3221.1512xy x y =--- (2) (a-2b)2+(2b-a)-2(2b-a)2+4(a-2b)=(a-2b)2-2(a-2b)2+4(a-2b)-(a-2b) =(1-2)(a-2b)2+(4-1)(a-2b)=-(a-2b)2+3(a-2b).4. (2020•大丰市一模)若﹣2a m b 4与5a 2b n+7的和是单项式,则m+n= ﹣1 .【思路点拨】两个单项式的和仍是单项式,这说明﹣2a m b 4与5a 2b n+7是同类项.【答案】-1【解析】解:由﹣2a m b 4与5a 2b n+7是同类项,得,解得. m+n=﹣1,故答案为:﹣1.【总结升华】要善于利用题目中的隐含条件.举一反三:【变式】若35x a b 与30.2ya b -可以合并,则x = ,y = .【答案】3,3±± 类型三、化简求值5. 化简求值:(1)当1,2a b ==-时,求多项式3232399111552424ab a b ab a b ab a b --+---的值. (2)若243(32)0a b b +++=,求多项式222(23)3(23)8(23)7(23)a b a b a b a b +-+++-+的值.【答案与解析】(1)先合并同类项,再代入求值:原式=32391911()(5)52244a b ab a b -++---- =32345a b a b ---将1,2a b ==-代入,得:3233234541(2)1(2)519a b a b ---=-⨯⨯--⨯--=-(2)把(23)a b +当作一个整体,先化简再求值:原式=22(28)(23)(37)(23)10(23)10(23)a b a b a b a b +++--+=+-+由243(32)0a b b +++=可得:430,320a b b +=+=两式相加可得:462a b +=-,所以有231a b +=-代入可得:原式=210(1)10(1)20⨯--⨯-=【总结升华】此类先化简后求值的题通常的步骤为:先合并同类项,再代入数值求出整式的值.举一反三:【变式】3422323323622已知与是同类项,求代数式的值a b xy xy b a b b a b +----+.【答案】 ()()()3422323223323323231,2 4.2, 6.362232624,2,66426228.a b x y xy a b a b b a b b a b b b a b a b b a b a b +--∴+=-=∴=-=--+=-+-+=-∴=-==-⨯-⨯=解:与是同类项,当时,原式 类型四、综合应用6. 若多项式-2+8x+(b-1)x 2+ax 3与多项式2x 3-7x 2-2(c+1)x+3d+7恒等,求ab-cd.【答案与解析】法一:由已知ax 3+(b-1)x 2+8x-2≡2x 3-7x 2-2(c+1)x+(3d+7) ∴ 2,17,82(1),237.a b c d =⎧⎪-=-⎪⎨=-+⎪⎪-=+⎩ 解得:2,6,5,3.a b c d =⎧⎪=-⎪⎨=-⎪⎪=-⎩ ∴ab-cd=2×(-6)-(-5)×(-3)=-12-15=-27.法二:说明:此题的另一个解法为:由已知(a-2)x 3+(b+6)x 2+[2(c+1)+8]x-(3d+9)≡0. 因为无论x 取何值时,此多项式的值恒为零.所以它的各项系数皆为零,即从而解得解得:【总结升华】若等式两边恒等,则说明等号两边对应项系数相等;若某式恒为0,则说明各项系数均为0;若某式不含某项,则说明该项的系数为0.举一反三: 20,60,2(1)80,(39)0.a b c d -=⎧⎪+=⎪⎨++=⎪⎪-+=⎩2,6,5,3.a b c d =⎧⎪=-⎪⎨=-⎪⎪=-⎩【变式1】若关于x 的多项式-2x 2+mx+nx 2+5x-1的值与x 的值无关,求(x-m)2+n 的最小值.【答案】 -2x 2+mx+nx 2+5x-1=nx 2-2x 2+mx+5x-1=(n-2)x 2+(m+5)x-1∵ 此多项式的值与x 的值无关, ∴ 20,50.n m -=⎧⎨+=⎩ 解得: 25n m =⎧⎨=-⎩当n=2且m=-5时, (x-m)2+n=[x-(-5)]2+2≥0+2=2.∵(x-m)2≥0,∴当且仅当x=m=-5时,(x-m)2=0,使(x-m)2+n 有最小值为2.【变式2】若关于,x y 的多项式:2223332m m m m x y mx y nx y x y m n ----++-++,化简后是四次三项式,求m+n 的值.【答案】分别计算出各项的次数,找出该多项式的最高此项:因为22m x y -的次数是m ,2m mx y -的次数为1m -,33m nx y -的次数为m ,32m x y --的次数为2m -,又因为是三项式 ,所以前四项必有两项为同类项,显然2233m m xy nx y --与是同类项,且合并后为0,所以有5,10m n =+= ,5(1)4m n +=+-=.第二课时【学习目标】 1.理解方程,等式及一元一次方程的概念,并掌握它们的区别和联系;2.会解一元一次方程,并理解每步变形的依据;3.会根据实际问题列方程解应用题.【知识网络】【要点梳理】知识点一、一元一次方程的概念1.方程:含有未知数的等式叫做方程.2.一元一次方程:只含有一个未知数(元),未知数的次数都是1,这样的方程叫做一元一次方程.要点诠释:判断是否为一元一次方程,应看是否满足:①只含有一个未知数,未知数的次数为1;②未知数所在的式子是整式,即分母中不含未知数.3.方程的解:使方程的左、右两边相等的未知数的值叫做这个方程的解.4.解方程:求方程的解的过程叫做解方程.知识点二、等式的性质与去括号法则1.等式的性质:等式的性质1:等式两边加(或减)同一个数(或式子),结果仍相等.等式的性质2:等式两边乘同一个数,或除以同一个不为0的数,结果仍相等.2.合并法则:合并时,把系数相加(减)作为结果的系数,字母和字母的指数保持不变.3.去括号法则:(1)括号外的因数是正数,去括号后各项的符号与原括号内相应各项的符号相同.(2)括号外的因数是负数,去括号后各项的符号与原括号内相应各项的符号相反.知识点三、一元一次方程的解法解一元一次方程的一般步骤:(1)去分母:在方程两边同乘以各分母的最小公倍数.(2)去括号:依据乘法分配律和去括号法则,先去小括号,再去中括号,最后去大括号.(3)移项:把含有未知数的项移到方程一边,常数项移到方程另一边.(4)合并:逆用乘法分配律,分别合并含有未知数的项及常数项,把方程化为ax =b (a ≠0)的形式.(5)系数化为1:方程两边同除以未知数的系数得到方程的解b x a=(a ≠0). (6)检验:把方程的解代入原方程,若方程左右两边的值相等,则是方程的解;若方程左右两边的值不相等,则不是方程的解.知识点四、用一元一次方程解决实际问题的常见类型1.行程问题:路程=速度×时间2.和差倍分问题:增长量=原有量×增长率3.利润问题:商品利润=商品售价-商品进价4.工程问题:工作量=工作效率×工作时间,各部分劳动量之和=总量5.银行存贷款问题:本息和=本金+利息,利息=本金×利率×期数6.数字问题:多位数的表示方法:例如:32101010abcd a b c d =⨯+⨯+⨯+.【典型例题】类型一、一元一次方程的相关概念1.已知方程(3m -4)x 2-(5-3m )x -4m =-2m 是关于x 的一元一次方程,求m 和x 的值. 【思路点拨】若一个整式方程经过化简变形后,只含有一个未知数,并且未知数的次数都是1,系数不为0,则这个方程是一元一次方程.【答案与解析】解:因为方程(3m -4)x 2-(5-3m )x -4m =-2m 是关于x 的一元一次方程,所以3m -4=0且5-3m ≠0.由3m -4=0解得43m =,又43m =能使5-3m ≠0,所以m 的值是43. 将43m =代入原方程,则原方程变为485333x ⎛⎫--⨯= ⎪⎝⎭,解得83x =-. 所以43m =,83x =-. 【总结升华】解答这类问题,一定要严格按照一元一次方程的定义.方程(3m -4)x 2-(5-3m )x -4m =-2m 2是关于x 的一元一次方程,就是说x 的二次项系数3m -4=0,而x 的一次项系数5-3m ≠0,m 的值必须同时符合这两个条件.举一反三:【变式】下面方程变形中,错在哪里:(1)方程2x=2y 两边都减去x+y ,得2x-(x+y)=2y-(x+y), 即x-y=-(x-y).方程 x-y=-(x-y)两边都除以x-y, 得1=-1.(2)3721223x x x -+=+,去分母,得3(3-7x)=2(2x+1)+2x ,去括号得:9-21x=4x+2+2x. 【答案】(1)答:错在第二步,方程两边都除以x-y.(2)答:错在第一步,去分母时2x 项没乘以公分母6.2. 如果5(x+2)=2a+3与(31)(53)35a x a x +-=的解相同,那么a 的值是________. 【答案】711【解析】 由5(x+2)=2a+3,解得275a x -=. 由(31)(53)35a x a x +-=,解得95x a =-. 所以27955a a -=-,解得711a =. 【总结升华】因为两方程的解相同,可把a 看做已知数,分别求出它们的解,令其相等,转化为求关于a 的一元一次方程.举一反三: 【变式】(2020•温州模拟)已知3x=4y ,则= . 【答案】. 解:根据等式性质2,等式3x=4y 两边同时除以3y ,得:=.类型二、一元一次方程的解法3.解方程:4621132x x -+-=. 【答案与解析】解:去分母,得:2(4-6x )-6=3(2x+1).去括号,得:8-12x -6=6x+3.移项,合并同类项,得:-18x =1.系数化为1,得:118x =-. 【总结升华】转化思想是初中数学中一种常见的思想方法,它能将复杂的问题转化为简单的问题,将生疏的问题转化为熟悉的问题,将未知转化为已知.事实上解一元一次方程就是利用方程的同解原理,将复杂的方程转化为简单的方程直至求出它的解.举一反三:【变式1】解方程26752254436z z z z z +---++=- 【答案】解:把方程两边含有分母的项化整为零,得267522544443366z z z z z +++-=--+.移项,合并同类项得:1122z =,系数化为1得:z =1.【变式2】解方程:0.10.050.20.05500.20.54x x +--+=. 【答案】解:把方程可化为:0.520.550254x x +--+=, 再去分母得:232x =-解得:16x =-4.解方程3{2x -1-[3(2x -1)+3]}=5.【答案与解析】解:把2x -1看做一个整体.去括号,得:3(2x -1)-9(2x -1)-9=5.合并同类项,得-6(2x -1)=14. 系数化为1得:7213x -=-,解得23x =-. 【总结升华】把题目中的2x -1看作一个整体,从而简化了计算过程.本题也可以考虑换元法:设2x -1=a ,则原方程化为3[a -(3a+3)]=5.类型三、特殊的一元一次方程的解法1.解含字母系数的方程5.解关于x 的方程:11()(2)34m x n x m -=+ 【思路点拨】这个方程化为标准形式后,未知数x 的系数和常数都是以字母形式出现的,所以方程的解的情况与x 的系数和常数的取值都有关系.【答案与解析】解:原方程可化为:(43)462(23)m x mn m m n -=+=+当34m ≠时,原方程有唯一解:4643mn m x m +=-; 当33,42m n ==-时,原方程无数个解; 当33,42m n =≠-时,原方程无解; 【总结升华】解含字母系数的方程时,一般化为最简形式ax b =,再分类讨论进行求解,注意最后的解不能合并,只能分情况说明.2.解含绝对值的方程6. 解方程|x -2|=3.【答案与解析】解:当x -2≥0时,原方程可化为x -2=3,得x =5.当x -2<0时,原方程可化为-(x -2)=3,得 x =-1.所以x =5和x =-1都是方程|x -2|=3的解.【总结升华】如图所示,可以看出点-1与5到点2的距离均为3,所以|x-2|=3的意义为在数轴上到点2的距离等于3的点对应的数,即方程|x-2|=3的解为x=-1和x=5.举一反三:【变式1】若关于x的方程230x m-+=无解,340x n-+=只有一个解,450x k-+=有两个解,则,,m n k的大小关系为:( )A. m n k>> B.n k m>> C.k m n>> D.m k n>>【答案】A【变式2】若9x=是方程123x m-=的解,则__m=;又若当1n=时,则方程123x n-=的解是.【答案】1;9或3.类型四、一元一次方程的应用7.李伟从家里骑摩托车到火车站,如果每小时行30千米,那么比火车开车时间早到15分钟;若每小时行18千米,则比火车开车时间迟到15分钟,现在李伟打算在火车开车前10分钟到达火车站,求李伟此时骑摩托车的速度应是多少?【思路点拨】本题中的两个不变量为:火车开出的时间和李伟从家到火车站的路程不变.【答案与解析】解:设李伟从家到火车站的路程为y千米,则有:151530601860y y+=-,解得:452y=由此得到李伟从家出发到火车站正点开车的时间为4515213060+=(小时).李伟打算在火车开车前10分钟到达火车站时,设李伟骑摩托车的速度为x千米/时, 则有:452271010116060yx===--(千米/时)答:李伟此时骑摩托车的速度应是27千米/时.【总结升华】在解决问题时,当发现某种方法不能解决问题时,应该及时变换思维角度,如本题直接设未知数较难时,应迅速变换思维的角度,合理地设置间接未知数以寻求新的解决问题的途径和方法.8. (2020春•万州区校级月考)一项工程,甲单独做要10天完成,乙单独做要15天完成,两人合做4天后,剩下的部分由乙单独做,还需要几天完成?【答案与解析】解:设乙还需x天完成,由题意得4×(+)+=1,解得x=5.答:乙还需5天完成.【总结升华】本题考查了一元一次方程的应用,解决问题的关键是找到所求的量的等量关系.当题中没有一些必须的量时,为了简便,可设其为1.举一反三:【变式】某商品进价2000元,标价4000元,商店要求以利润率不低于20%的售价打折出售,售货员最低可以打几折出售此商品?【答案】解:设售货员可以打x折出售此商品,得:⨯=+x40000.12000(120%),x=解得: 6.答:售货员最低可以打六折出售此商品.。
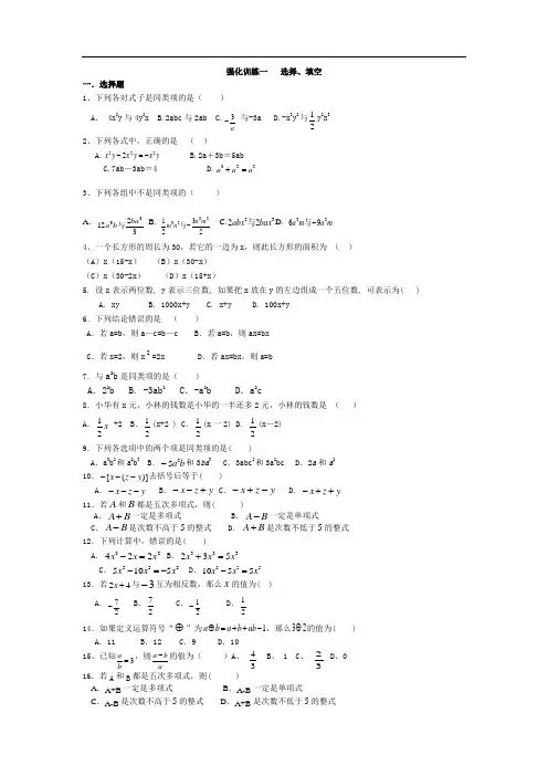
强化训练一 选择、填空一.选择题1、下列各对式子是同类项的是( )A . 4x 2y 与4y 2x B.2abc 与2ab C.a 3- 与-3a D.-x 3y 2与21y 2x 32、下列各式中,正确的是 ( )A.y x y x y x 2222-=-B.2a +3b =5abC.7ab -3ab =4D.523a a a =+3、下列各组中不是同类项的( )A .321233ba b a 与 B. 23212323m n n m -与 C.3322bax abx 与 D. m a m a 2296-与4、一个长方形的周长为30,若它的一边为x ,则此长方形的面积为 ( )(A )x (15-x ) (B )x (30-x )(C )x (30-2x ) (D )x (15+x )5. 设x 表示两位数, y 表示三位数, 如果把x 放在y 的左边组成一个五位数, 可表示为( )A. xyB. 1000x+yC. x+yD. 100x+y6.下列结论错误的是 ( )A .若a=b ,则a —c=b —cB .若a=b ,则ax=bxC .若x=2,则x 2=2xD .若ax=bx ,则a=b7.与a 2b 是同类项的是( )A .22b B. -3ab 2 C .-a 2b D .a 2c8.小华有x 元,小林的钱数是小华的一半还多2元,小林的钱数是 ( )A .x 21 +2B .21(x+2 )C .21(x 一2) D. 21(x —2) 9.下列各选项中的两个项是同类项的是( )A .a 3b 2和a 2b 3B .b a 35-和3ba 3C .3abc 2和3a 2bcD .2a 和a 210.)]([y z x ---去括号后等于( )A .y z x ---B .y z x +--C .y z x -+-D .y z x ++-11.若A 和B 都是五次多项式,则( )A .AB +一定是多项式 B .A B -一定是单项式C .A B -是次数不高于5的整式D .A B +是次数不低于5的整式12.下列计算中,错误的是( )A .23224x x x =-B .333532x x x =+C .5555105x x x -=-D .5555510x x x =-13.若42+x 与3-互为相反数,那么x 的值为( )A .27-B .27C .21- D .2114.如果定义运算符号“⊕”为1-++=⊕ab b a b a ,那么23⊕的值为( )A .11B .12C .9D .1015、已知3a b =,则a b a -的值为( )A 、 43 B 、 1 C 、 23D 、016. 若A 和B 都是五次多项式,则( )A .A+B 一定是多项式 B .A-B 一定是单项式C .A-B 是次数不高于5的整式D .A+B 是次数不低于5的整式17.下列说法中正确的是【 】(A )代数式一定是单项式 (B )单项式一定是代数式(C )单项式x 的次数是0 (D )单项式-π2x 2y 2的次数是618、若m 、n 都是自然数,多项式222m n m n a b ++-的次数是( )A .mB .2nC .2m n +D .m 、2n 中较大的数19、两个四次多项式的和的次数是( )A .八次B .四次C .不低于四次D .不高于四次20小亮从一列火车的第m 节车厢数起,一直数到第n 节车厢(n>m ),他数过的车厢节数是( )A.m+nB.n-mC.n-m-1D.n-m+121.如果一个多项式的次数是4,那么这个多项式任何一项的次数是( )A. 都小于4B. 都不大于4C. 都大于4D. 无法确定二、填空题1、把4a -(a -3b )去括号,并合并同类项,正确的结果是 。
《整式的加减》作业设计方案(第一课时)一、作业目标1. 巩固学生对整式概念的理解,掌握整式的加减运算规则。
2. 提高学生运用整式加减解决实际问题的能力。
3. 培养学生的逻辑思维能力和数学运算的准确性。
二、作业内容整式的加减是初中数学的重要内容,第一课时主要围绕整式的概念及简单的加减运算展开。
具体作业内容如下:1. 基础知识练习:- 复习整式的定义、分类及基本性质。
- 练习单项式、多项式的识别与区分。
- 掌握合并同类项的方法。
2. 整式加减运算:- 练习整式的加法运算,包括同类项的合并及不同类项的相加。
- 练习整式的减法运算,注意负号对整式的影响及化简结果的准确性。
- 实际问题的解决:选取生活中常见的实际问题,如购物计算等,让学生用整式加减的方法进行计算和表达。
3. 拓展提高:- 设计一些稍具难度的题目,如涉及变量代换、复杂多项式的加减等,以提高学生的思维深度和广度。
三、作业要求1. 学生需独立完成作业,不得抄袭他人答案。
2. 计算过程要清晰,每一步运算都要有明确的依据和理由。
3. 结果要准确,注意化简最终结果,保证答案的简洁明了。
4. 对于实际问题的解决,要明确问题的数学模型,并正确应用整式加减的知识进行解答。
5. 作业需按时提交,如有特殊情况需向老师说明。
四、作业评价1. 教师将对每位学生的作业进行批改,对正确的地方给予肯定和鼓励。
2. 对错误的地方进行标注,并要求学生进行订正。
3. 对学生的解题思路和计算过程进行评价,指出其中的优点和不足。
4. 根据学生的作业情况,对整式加减的教学内容进行反思和调整,以提高教学质量。
五、作业反馈1. 教师将根据学生的作业情况,进行针对性的辅导和讲解。
2. 对于共性问题,将在课堂上进行集体讲解和纠正。
3. 对于个别学生的问题,将进行个别辅导和指导。
4. 将学生的优秀作业进行展示和表扬,以激励其他学生。
通过此作业设计方案,学生不仅可以巩固所学知识,更可以运用所学解决实际问题,培养学生的数学应用能力。
整式的加减(12大考点)(考点卷)考点一 字母表示数(共4题)1.(23-24八年级下·重庆沙坪坝·阶段练习)粗心的小倩在放学回家后,发现把数学练习册忘在教室了,担心教室关门,于是她跑步到学校取了练习册,再步行回家(取书时间忽略不计).已知跑步速度为x ,步行速度为y ,则她往返一趟的平均速度是( )A .xB .yC .2x y +D .2xy x y+2.(23-24七年级上·上海浦东新·阶段练习)有一种石棉瓦,每块宽 60 厘米,用于铺盖屋顶时,每相邻两块重叠部分的宽都为 10厘米,那么 n (n 为正整数)块石棉瓦覆盖的宽度为 厘米(.用含有 n 的代数式表示)3.(23-24七年级上·广东东莞·期中)某公司在11月11日这一天,上午卖出某品牌手机75部,下午又卖出100部,已知每部手机的售价为a 元,每部手机的成本为b 元.(1)求这一天该公司卖出该品牌手机的总销售额.(2)求这一天该公司卖出该品牌手机所得的利润.(3)当a=6800,b=2700时,总销售额和利润分别是多少?4.(23-24七年级·山东济宁·期中)如图是一个梯形硬纸板,上底为a ,下底为2a ,一腰为a ,另一腰为b (其中b >a ),如图所示,用两张同样的梯形纸板可以拼成一个大的梯形,也可以拼成一个长方形.(1)请在方框中画出你拼出的大梯形和长方形.(2)计算拼成的大梯形和长方形的周长.1.(23-24七年级上·江西吉安·期中)我们知道,用字母表示的代数式是具有一般意义的.请仔细分析下列赋予3a 实际意义的例子中不正确的是( )A .若葡萄的价格是3元/千克,则3a 表示买a 千克葡萄的金额B .若a 表示一个等边三角形的边长,则3a 表示这个等边三角形的周长C .某校七年级共有3个班,每个班平均有a 名女生,则3a 表示七年级女生总数D .若3和a 分别表示一个两位数中的十位数字和个位数字,则3a 表示这个数2.(23-24七年级上·辽宁葫芦岛·期末)如图,两个边长分别为5,4的正方形叠放在一起,两个阴影部分的面积分别为a ,()b a b >,则a b -的值为 .3.(24-25七年级上·全国·课后作业)赵叔叔准备买一套新房子,这套住房的建筑平面图(由四个长方形组成)如图所示:用含m 的式子表示这套住房的总面积.4.(23-24七年级上·广西桂林·期中)列代数式(1)比a 与b 的积小5的数;(2)1减去a 的差与512的积.1.(23-24七年级上·山东济南·期中)已知234a b +=,则整式461a b --+的值是( )A .5B .3C .7-D .10-2.(23-24七年级上·湖南株洲·期末)在正方形ABCD 中,分别以A 点和C 点为圆心,以正方形边长为半径在正方形内部画两条弧,两条弧围成了图中的阴影部分,设正方形边长为2,则图中阴影部分的面积是 (结果保留p ).3.(23-24七年级上·河北保定·期末)已知,如图,某长方形广场的四角都有一块边长为x 米的正方形草地,若长方形的长为a 米,宽为b 米.(1)请用代数式表示阴影部分的面积;(2)若长方形广场的长为20米,宽为15米,正方形的边长为1米,求阴影部分的面积.4.(23-24七年级上·浙江温州·期中)七年级新学期,两摞规格相同准备发放的数学课本整齐地叠放在课桌面上,小英对其高度进行了测量,请根据图中所给出的数据信息,解答下列问题:(1)每本数学课本的厚度是 cm ;(2)若课本数为x (本),整齐叠放在桌面上的数学课本顶部距离地面的高度的整式为 (用含x 的整式表示);(3)现课桌面上有48本此规格的数学课本,整齐叠放成一摞,若从中取出13本,求余下的数学课本距离地面的高度.考点四 单项式与多项式(共4题)1.(23-24七年级下·广东广州·期末)已知代数式223x x -+的值是7,则代数式242x x -+的值是( )A .20B .8C .8-D .14-2.(23-24七年级上·浙江台州·期中)在代数式:213x ,2ab ,5x +,3y x ,4-,3a b a -中,整式有 个.3.(23-24七年级上·河南新乡·期中)已知多项式2134331m x y x y x +-+--是五次四项式,单项式333n m x y z -与该多项式的次数相同.(1)求m 、n 的值.(2)若12x y ==,4.(23-24七年级上·河南南阳·期中)(1)已知多项式2212623m x y xy xy -+-+是四次四项式,单项式2nxy 的次数与这个多项式相同.求m n +的值.(2)()324m x m y --+是一个关于x y ,的二次三项式,x y ,满足()2230x y ++-=,求这个多项式的值.考点五 数字类规律探索(共4题)1.(23-24七年级上·河南商丘·期末)下列多项式中,次数为4的是( )A .31x x -++B .422x x -+C .33x y xy xy ++D .22321x y x y ++2.(23-24七年级上·广东梅州·期末)有一列数按一定的规律排列为1-,3,5-,7,9-,11,……,如果其中三个相邻的数之和为99-,那么这三个相邻数中间的数为 .3.(23-24七年级上·四川达州·期末)从2开始,连续的偶数相加,它们和的情况如下表:加数的个数n 连续偶数的和S1212=´224623+==´32461234++==´424682045+++==´52468103056++++==´(1)如果8n =时,那么S 的值为 ;(2)由表中的规律猜想:用含n 的代数式表示S 的公式为24682S n =+++++=L ;(3)由上题的规律计算30030230420222024+++++L 的值.(要有计算过程)4.(23-24七年级上·四川成都·阶段练习)类比推理是一种重要的推理方法,根据两种事物在某些特征上相似,得出它们在其他特征上也可能相似的结论,在异分母的分数的加减法中,往往先化作同分母,然后分子相加减,例如:113232123233266--=-==´´,将上述计算过程倒过来,得到111162323==-´,这一恒等变形过程在数学中叫做裂项.类似地,对于124´可以用裂项的方法变形为:111124224æö=-ç÷´èø.类比上述方法,解决以下问题.(1)猜想并写出:1(1)n n =´+______________.(2)探究并计算下列各式:①111112233499100++++´´´´L ;②111135577920212023++++-´-´-´-´L .考点六 图形类规律探索(共4题)1.(23-24七年级上·江苏无锡·阶段练习)如图所示,将形状、大小完全相同的“●”和线段按照一定规律摆成下列图形,第1幅图形中“●”的个数为1a ,第2幅图形中“●”的个数为2a ,第2幅图形中“●”的个数为3a , …, 依次类推, 则 123201111a a a a +++L 的值为( )A .2122B .144C .419924D .3254622.(23-24七年级上·浙江台州·期中)观察下列图形规律,当1n =图形中的“•”的个数和“〇”个数和4,当2n =图形中的“•”的个数和“〇”个数和9,那么当图形中的“•”的个数和“〇”个数和为85时,n 的值为 .3.(23-24七年级上·四川达州·期末)用三角形和六边形按如图所示的规律拼图案.(1)第4个图案中,三角形的个数有 个,六边形的个数有 个;(2)第n (n 为正整数)个图案中,三角形的个数与六边形的个数各有多少个?(3)第2024个图案中,三角形的个数与六边形的个数各有多少个?(4)是否存在某个符合上述规律的图案,其中有100个三角形与30个六边形?如果有,指出是第几个图案;如果没有,说明理由.4.(23-24七年级上·辽宁丹东·期中)如图是用棋子摆成的“上”字图案,按照这种规律继续摆下去,通过观察、对比、总结,找出规律,解答下列问题.(1)摆成图1需要______枚棋子,摆成图2需要______枚棋子,摆成图3需要______枚棋子;(2)摆成图n 需要______枚棋子;(3)计算一下摆第100个图形用多少枚棋子?(4)七(1)班有46名同学,“棋子”,能否让这“46”枚“棋子”按照以上规律恰好站成一“上”字?若能,请问能站成图几?并计算最下面一“横”的学生数;若不能,请说明理由.考点七 添括号(共4题)1.(23-24七年级上·吉林长春·期末)下列等式正确的是( )A .()a b a b -+=--B .()a b b a -+=-+C .23(32)x x -=-+D .305(6)x x -=-2.(24-25七年级上·全国·单元测试)填空:323521x x x --+=33x +()=2235x x --( );3.(23-24七年级下·江西吉安·期中)“如果代数式 53a b + 的值为4-,那么代数式()()2 42a b a b +++的值是多少?” 小敏是这样来解的:原式2284106a b a b a b =+++=+. 把式子534a b +=-两边同乘以 2,得1068a b +=-.仿照小敏的解题方法,完成下面的问题:(1)已知21a a +=,求2222022a a ++的值;(2)已知2a b -=-,求()3556a b a b --++的值.4.(23-24七年级上·河南新乡·期末)(1)小丽在计算222161141717a a a --时,采用了如下做法:解:222161141717a a a --222161141717a a a æö=-+ç÷èø①2214a a =-234a =-②步骤①的依据是:______;步骤②的依据是:______;(2)请试着用小丽的方法计算:2222444619719y x y x y x y --+.考点八 去括号(共4题)1.(23-24七年级上·河北保定·期末)下列式子中去括号错误的是( )A .()525525x x y z x x y z --+=-+-B .()()222222x y x y x y x y ----+=-++-C .()22336336x x x x -+=--D .()()2223322332a a b c d a a b c d +----=---+2.(2024·河南郑州·三模)将代数式()a b c +-去括号,得 .3.(2024七年级上·全国·专题练习)合并下列各式的同类项:(1)()()532x x y x y +---(2)222211334222p pq q p pq q æöæö-+---+-ç÷ç÷èøèø4.(23-24七年级上·海南省直辖县级单位·期中)将下列各式合并同类项(1)()()3323a b a b +--;(2)()2212323x y xy xy x y æö+---+ç÷èø.考点九 合并同类项(共4题)1.(23-24七年级上·浙江温州·阶段练习)下列合并同类项正确的是( )A .235a b ab+=B .220ab ba -=C .2323x y xy xy -=-D .224437x x x +=2.(23-24七年级上·上海青浦·期中)若关于x 的多项式3224226x mx x --+-合并同类项后是一个三次二项式,则m = .3.(23-24七年级上·吉林·期末)判断以下合并是否正确:(1)235x x --=-;(2)235x y xy +=;(3)2232x x x -=;(4)527xy xy xy -+=.4.(23-24七年级上·江苏·期中)合并同类项(1)2232341x xy x xy --+-;(2)()()8745m n m n --+.考点十 整式的加减运算(共4题)1.(23-24七年级上·江西吉安·期中)化简()221a a ---的结果是( )A .41a -+B .41a -C .1D .1-2.(23-24七年级上·浙江温州·阶段练习)已知2465x xy -=-,2328y xy -=,则式子2223x xy y --的值是 .3.(23-24七年级上·吉林长春·期末)化简下列各式:(1)22322615a a a a ++---;(2)22322615a a a a ++---;(3)22(43)(54)a b ab a b ab -++;(4)2233[5(3)2]2x x x x ---+.4.(23-24七年级上·山东青岛·期中)化简:(1)22368p pq p pq +--+;(2)()()223246x xy x xy --+-.考点十一 整式的加减中化简求值(共4题)1.(23-24七年级下·四川眉山·阶段练习)若2a b -=,12a c -=,则()39()4b c b c ---+=( )A .0B .38C .2D .4-2.(23-24七年级上·广西桂林·期中)已知23a b -=,25b c -=-,则多项式223a b c +-的值为 .3.(23-24七年级上·江苏徐州·期末)先化简再代入求值:()()222235532x y x y ----,其中11x =,2y =-.4.(23-24七年级上·河南南阳·期末)先化简再求值:()()22223422234+---+a b ab a ab b ,其中1a =,2b =.1.(23-24七年级上·湖北武汉·期末)若关于x 、y 的多项式()()22453243-+----+-x ax y bx x y 的值与字母x 的取值无关,则b a +的值是( )A .10B .6-C .10-D .62.(23-24七年级上·江苏·期中)若关于xy 的多项式323232mx nxy x xy y +--+中不含三次项,23m n +的值为 .3.(23-24七年级上·甘肃庆阳·期末)已知223231,33A x xy y B x xy =++-=-.(1)计算2A B +;(2)若2A B +的值与y 的取值无关,求x 的值.4.(23-24七年级上·湖北随州·期中)已知代数式2221A x x =--,21B x xy =-++,()432M A A B =--.(1)当()2120x y ++-=时,求代数式M 的值.(2)若代数式()()22262351x ax y bx x y +-+--+-的值与字母x 的取值无关,求代数式2a b -的值.。
(人教版)七年级上册数学期末复习重要考点02《整式的加减》十二大重要考点题型【题型1用含字母的式子表示数量关系】1.(2023秋•和平区校级月考)某班有x个男生,其中女生人数占45%,那么这个班级共有()人.A.45%B.(1﹣45%)x C.45%D.1−45%2.(2023秋•梁子湖区期中)某商店举行促销活动,其促销的方式为“消费超过100元时,所购买的商品按原价打九折后,再减少30元”.若某商品的原价为x元(x>100),则购买该商品实际付款的金额(单位:元)是()A.90%(x﹣30)B.90%x﹣30C.10%x﹣30D.10%(x﹣30)3.(2023秋•梁子湖区期中)如图,池塘边有一块长为a米,宽为b米的长方形土地,现将其余三面都留出宽是1.5米的小路,中间余下的长方形部分做菜地,则菜地的周长为()A.(a+2b﹣4)米B.(a+2b﹣12)米C.(2a+2b﹣9)米D.(2a+2b)米4.(2022秋•高新区期末)某地居民生活用水收费标准:每月用水量不超过20立方米,每立方米a元;超过部分每立方米(a+2)元.该地区某家庭上月用水量为25立方米,则应缴水费()A.25a元B.(25a+10)元C.(25a+50)元D.(20a+10)元5.(2022秋•靖远县期末)一个两位数,十位上的数字为a,个位上的数字比十位上的数字少2,则这个两位数为()A.11a﹣20B.11a+20C.11a﹣2D.11a+26.(2023•南岗区校级三模)随着通讯市场竞争的日益激烈,某品牌的手机价格春节期间降低了a元,五一前后又下调了25%,该手机现在的价格是b元,则原来的价格是元.7.(2023秋•临平区月考)一件商品每件成本a元,原来按成本价增加20%定出价格,现在由于库存积压减价,按原价打九折出售,现在每件可以盈利元.8.(2023秋•盐湖区期中)某公园准备修建一块长方形草坪,长为35m,宽为25m.并在草坪上修建如图所示的十字路,已知十字路宽x m,则修建的十字路的面积是m2.(用含x的代数式表示)【题型2单项式、多项式、整式相关概念】1.(2023秋•娄底期中)在﹣a,2,2,2+3,m3n2,xy﹣1,0,52中,是单项式的有()A.6个B.5个C.4个D.3个2.(2023秋•梁子湖区期中)下列关于单项式−B23的说法中,正确的是()A.系数是﹣3,次数是2B.系数是﹣3,次数是3C.系数是−13,次数是2D.系数是−13,次数是3 3.(2023秋•通道县期中)多项式2xy2−3237−1的次数是,常数项是.4.(2023秋•镇赉县校级期末)在代数式x2+5,﹣1,﹣3x+2,π,5,x2+1r1,5x中,整式有()A.3个B.4个C.5个D.6个5.(2022秋•市中区期末)下列叙述,错误的是()A.单项式2x2y3的次数是5B.32是三次单项式,系数是3C.252−22+1是四次三项式D.有理数与数轴上的点一一对应6.(2023秋•南关区期末)将多项式3xy3﹣x2y3﹣9y+x3按x的升幂排列的结果是()A.x3﹣9y﹣x2y3+3xy3B.x3﹣x2y3+3xy3﹣9yC.﹣9y+x3+3xy3﹣x2y3D.﹣9y+3xy3﹣x2y3+x37.(2022秋•富平县期末)多项式6x2+5xy2﹣4xy﹣3y2中所有二次项系数的和是()A.4B.3C.2D.﹣18.下列说法:①2的系数是2;②多项式2x2+xy2+3是二次三项式;③x2﹣x﹣2的常数项为2;④在1,2x+y,132,54,0中,整式有3个.其中正确的有()A.1个B.2个C.3个D.4个【题型3综合利用单项式、多项式的相关概念求值】1.若单项式−35B3的系数是m,次数是n,则m+n=()A.75B.115C.175D.1952.已知﹣4x2yz m是关于x,y,z的5次单项式,m是常数,则m的值是()A.1B.2C.3D.4 3.(2022秋•甘谷县校级期末)若52|U−14(+1)2−3是关于x、y的三次三项式,则m=.4.(2023秋•双峰县期中)若x n+1+(m﹣1)x+8是关于x的三次二项式,则m=,n=.5.(2023秋•邹城市期中)已知m,n为常数,代数式2x2y+mx3﹣n y+xy化简之后为单项式,则m+n=.6.(2022秋•秦都区期末)若关于x,y的多项式3x2﹣2x m+1y﹣1的次数是5,单项式﹣x的系数是n,求m+n的值.7.(2022秋•南江县校级月考)已知多项式﹣3x m+1y3+x3y﹣3x4﹣1是五次四项式,单项式3x3n y2的次数与这个多项式的次数相同.(1)求m,n的值;(2)把这个多项式按x降幂排列.8.已知:−12a2n b2﹣m是关于a,b的六次单项式,23a2b n+1+ab﹣2a2+b﹣5是关于a,b的四次多项式,求|m2﹣2m+n2|的值.【题型4合并同类项与去括号】1.(2022秋•南浔区期末)下列各式中是同类项的为()A.5x2y与﹣3xy2B.xyz与﹣4xyC.﹣32与x2D.﹣3x2y与3x2y2.(2022秋•灵宝市期末)下列各组中的两项,不是同类项的是()A.﹣x2y和2x2y B.23和32C.﹣m3n2与12m2n3D.2πR与π2R3.(2022秋•市中区期末)若﹣5a4b m﹣1与﹣a n b是同类项,则m﹣n的值为()A.0B.1C.﹣1D.﹣24.(2023秋•贵州期末)下列合并同类项的结果中,正确的是()A.﹣3ab﹣3ab=0B.y﹣3y=﹣2yC.2m3+3m3=5m6D.3a2﹣a2=35.(2022秋•新会区期末)下列计算中,去括号正确的是()A.﹣2(3x+1)=6x﹣2B.﹣2(3x+1)=6x+2C.﹣2(3x+1)=﹣6x﹣2D.﹣2(3x+1)=﹣6x+26.(2022秋•嵩县期末)下列各式中,去括号或添括号正确的是()A.a2﹣(﹣b+c)=a2﹣b+cB.﹣2x﹣t﹣a+1=﹣(2x﹣t)+(a﹣1)C.3x﹣[5x﹣(2x﹣1)]=3x﹣5x﹣2x+1D.a﹣3x+2y﹣1=a+(﹣3x+2y﹣1)7.先去括号,再合并同类项:(1)3a﹣b+(5a﹣3b+3);(2)(2b﹣3a)﹣(2a﹣3b+1);(3)4x2+2(x2﹣y2)﹣3(x2+y2).8.(2023秋•沙坪坝区校级月考)化简:(1)(m+n)﹣[3m+2(﹣m+n)];(2)(4a2b2﹣5ab2)﹣(3a2b2+4ab2);(3)3x2﹣{6xy+[4x2﹣8y2﹣(4xy﹣6y2)]﹣3x2}.【题型5整式的化简求值---直接代入求值】1.(2022秋•保亭县期末)先化简,再求值:3x2y2﹣(4xy2﹣3)+(﹣5xy2﹣3x2y2),其中x=3,y=﹣1.2.(2023秋•东丰县期末)先化简,后求值:3(a2﹣ab+7)﹣2(3ab﹣a2+1)+3,其中a=2,b=13.3.(2023秋•昌邑区期中)先化简,再求值:3x2y﹣[3x2y﹣(2xy2﹣x2y)﹣4x2y]﹣xy2,其中x=1,y=﹣1.4.(2023秋•利辛县期中)先化简,再求值:32−[22−2(B−322)+B]+32,其中a为最小的正整数,b为最大的负整数.5.(2022秋•澄城县期末)先化简,再求值:5ab2﹣[2a2b﹣(4ab2﹣2a2b)],其中a、b满足|a﹣2|+(b+1)2=0.6.(2023秋•建昌县期中)求−13−2(+132)−(23+132)的值,其中(x﹣2)2+|y+1|=0.7.(2022秋•安新县期末)已知A=x2﹣3xy﹣y,B=﹣x2﹣xy+3y.(1)①化简A+B;②当﹣ab y与122是同类项时,求A+B的值;(2)若x是﹣2的倒数,y是最大的负整数,求A﹣3B的值.【题型6整式的化简求值---整体代入求值】1.(2023秋•东丰县期末)已知3m2﹣2m=1,则代数式9m2﹣6m﹣5的值是.2.(2023秋•天长市期中)若a2﹣2b2﹣2=0,则﹣3a2+6b2+2023的值为.3.(2023秋•宝鸡期中)已知当x=﹣3时,ax3﹣bx+5=9,则x=3时,ax3﹣bx+9的值为.4.(2023秋•北碚区校级期中)已知实数a,b,x,y满足a+b=2,x+y=3,ax+by=4,则(a2+b2)xy+ab (x2+y2)=.5.(2023秋•永福县期中)已知A=3x2﹣x+2y﹣4xy,B=2x2﹣3x﹣y+xy.(1)化简:2A﹣3B;(2)若+=−67,xy=1,求2A﹣3B的值.6.已知a﹣b=5,﹣ab=3,求(7+4+B)−6(56+−B)的值.7.(2022秋•平定县期末)综合与探究【阅读理解】“整体思想”是一种重要的数学思想方法,在多项式的化简求值中应用极为广泛.比如,4x﹣2x+x=(4﹣2+1)x=3x,类似地,我们把(a﹣b)看成一个整体,则4(a﹣b)﹣2(a﹣b)+(a﹣b)=(4﹣2+1)(a﹣b)=3(a﹣b).【尝试应用】根据阅读内容,运用“整体思想”,解答下列问题:(1)化简8(a+b)+6(a+b)﹣2(a+b)的结果是.(2)化简求值,9(x+y)2+3(x+y)+7(x+y)2﹣7(x+y),其中+=12.【拓展探索】(3)若x2﹣2y=4,请求出﹣3x2+6y+2的值.【题型7整式加减中的错看问题】1.(2022秋•离石区期末)小文在做多项式减法运算时,将减去2a2+3a﹣5误认为是加上2a2+3a﹣5,求得的答案是a2+a﹣4(其他运算无误),那么正确的结果是()A.﹣a2﹣2a+1B.﹣3a2+a﹣4C.a2+a﹣4D.﹣3a2﹣5a+62.(2022秋•渠县校级期末)有一道题目是一个多项式A减去多项式2x2+5x﹣3,小胡同学将2x2+5x﹣3抄成了2x2+5x+3,计算结果是﹣x2+3x﹣7,这道题目的正确结果是()A.x2+8x﹣4B.﹣x2+3x﹣1C.﹣3x2﹣x﹣7D.x2+3x﹣73.(2022秋•内江期末)黑板上有一道题,是一个多项式减去3x2﹣5x+1,某同学由于大意,将减号抄成加号,得出结果是5x2+3x﹣7,这道题的正确结果是()A.8x2﹣2x﹣6B.14x2﹣12x﹣5C.2x2+8x﹣8D.﹣x2+13x﹣94.(2023秋•长春期末)有这样一道题目:“先化简,再求值:(2x3﹣3x2y﹣2xy2)﹣2(x3﹣xy2+y3)+3(x2y﹣y3),其中=13,y=﹣2.”粗心的龙龙在计算时把“x=13”错抄成“x=17”,但他计算的结果却是正确的.请通过计算说明理由,并求出这个代数式的值.5.(2023春•楚雄州期末)已知A=3x﹣4xy+2y,小明在计算2A﹣B时,误将其按2A+B计算,结果得到7x+4xy﹣y.(1)求多项式B.(2)求2A﹣B的正确结果是多少?6.(2022秋•台山市期末)小红做一道数学题“两个整式A,B,已知B为4x2﹣5x﹣6,试求A+2B的值“.小红误将A+2B看成A﹣2B,结果答案(计算正确)为﹣7x2+10x+12.(1)求整式A;(2)求出当x=﹣3时,A+2B的值.【题型8整式加减中与某个字母(某项)无关问题】1.(2023秋•十堰期中)若代数式x2+ax﹣(bx2﹣x﹣3)的值与字母x无关,则a﹣b的值为()A.0B.﹣2C.2D.12.(2023秋•禹州市期中)若多项式(2k+3)x2y+3x﹣7x2y﹣5y+1中不含x2y的项,则k的值为.3.(2022秋•蚌埠期末)已知A=3a2﹣ab+b+2,B=3a2﹣2ab+4b﹣1,若A﹣B的值与b无关,则a的值为.4.(2023秋•清苑区期中)已知代数式A=4x2﹣mx+2m,B=2x2﹣mx+x,若A﹣2B的值与x的取值无关,则m的值为()A.3B.2C.1D.05.(2022秋•烟台期末)若代数式3x2+ax+4﹣(bx2+2x)的值与x的取值无关,化简求值:2(a2b+ab2)﹣3(a2b﹣3)﹣2ab2﹣1.6.(2023秋•天长市期中)已知:A=2a2﹣5ab+3b,B=4a2+6ab+8a.(1)化简:2A﹣B;(2)若a=﹣2,b=1,求2A﹣B的值;(3)若代数式2A﹣B的值与a无关,求此时b的值.【题型9整式加减与数轴、绝对值的结合】1.(2023秋•宁江区期末)已知有理数a、b、c在数轴上的对应点如图所示,|a﹣b|+|b﹣c|﹣|c﹣a|的结果()A.a﹣b B.b+c C.0D.a﹣c2.(2022秋•洪山区校级期末)数轴上,有理数a、b、﹣a、c的位置如图,则化简|a+c|+|a+b|+|c﹣b|的结果为()A.2a+2c B.2a+2b C.2c﹣2b D.03.(2023秋•东丰县期末)已知a,b,c在数轴上的位置如图所示,求|a﹣b|﹣|b+c|+|a﹣b|﹣|c﹣b|的值.4.(2023秋•禹州市期中)已知数轴上A,B,C三点对应的数分别是a,b,c,若a<0,b<0,|a|<|b|,c 为最小的正整数.(1)请在数轴上标出A,B,C三点的大致位置;(2)化简:|a﹣b|﹣2|b﹣a﹣c|+|b﹣2c|.5.(2022秋•黔西南州期末)有理数a,b,c在数轴上的位置如图:(1)用“>”或“<”填空a0,b0,c﹣b0,ab0.(2)化简:|a|﹣|b+c|﹣|a﹣c|.6.(2023秋•江都区期中)已知有理数a、b、c在数轴上的位置如图所示,且|a|=|b|.(1)求a+b和的值;(2)填空:a0;a+b0;c﹣a0;c﹣b0;﹣2b0;(3)化简:|a|﹣|a+b|﹣|c﹣a|+|c﹣b|﹣|﹣2b|.【题型10利用整式加减解决实际问题】1.(2022秋•侯马市期末)长方形一边的长为3m+2n,与其相邻的另一边的长比它长m﹣n,则这个长方形的周长是()A.7m+3n B.7m+5n C.14m+10n D.14m+6n2.(2023秋•临沭县期中)已知B,C,D三个车站的位置如图所示,B,C两站之间的距离是2a﹣b,B,D两站之间的距离是72a﹣2b﹣1,则C,D两站之间的距离是()A.112a﹣3b﹣1B.32a+b+1C.32a﹣b﹣1D.32a﹣3b﹣13.(2022秋•涧西区校级期末)如图,两个矩形的一部分重叠在一起,重叠部分是面积是4的正方形,则阴影部分的面积为()A.ab+cd﹣4B.ab+cd+4C.ab+cd﹣8D.ab+cd+84.(2023•青羊区校级自主招生)如图1,将一个边长为m的正方形纸片剪去两个小长方形得到一个如图2所示的图形,再将剪下的两个小长方形拼成如图3所示的一个新的长方形,则图3中的长方形的周长为()A.2m﹣3n B.4m﹣8n C.2m﹣4n D.4m﹣10n5.(2022秋•安乡县期末)如图,从一个长方形铁皮中剪去一个小正方形,长方形的长为2a米,宽为b米,小正方形的边长为a米.(1)求剩余铁皮的面积;(2)当a=23,b=1时,求剩余铁皮的面积.6.(2022秋•碑林区校级期中)某超市销售茶壶、茶杯,每只茶壶定价20元,每只茶杯定价4元.今年“双十一”期间开展促销活动,向顾客提供两种优惠方案:方案一:每买一只茶壶就赠一只茶杯;方案二:茶壶和茶杯都按定价的90%付款.某顾客计划到这家超市购买6只茶壶和x只茶杯(茶杯数多于6只).(1)用含x的代数式分别表示方案一与方案二各需付款多少元?(2)当x=25时,若规定每位顾客只能在以上两种方案中任选一种,请通过计算说明该顾客选择上面两种购买方案中哪一种更省钱?7.(2022秋•安定区期末)某家具厂生产一种课桌和椅子课桌每张定价200元,椅子每把定价80元,厂方在开展促销活动期间,向客户提供两种优惠方案:方案一:每买一张课桌就赠送一把椅子;方案二:课桌和椅子都按定价的80%付款.某校计划添置100张课桌和x把椅子(x>100).(1)用含x的代数式分别表示方案一与方案二各需付款多少元?(2)当x=300时,通过计算说明该校选择上面的两种购买方案哪种更省钱?(3)当x为何值时,按两种优惠方案购买付款金额相同?【题型11利用整式加减进行新定义运算】1.现规定一种新的运算:=ad﹣cb,则B−32−2−2B−2−5的值是.2.(2023•任城区校级三模)定义:若a+b=ab,则称a、b是“西溪数”,例如:3+1.5=3×1.5,因此3和1.5是一组“西溪数”,若m、n是一组“西溪数”,则2mn﹣(3mn﹣m﹣n﹣6)的值为.3.(2023秋•长清区期中)定义新运算“⊗”与“⊕”:a⊗b=2a+b,a⊕b=a﹣2b.(1)请分别计算1⊗3和2⊕(﹣1)的值;(2)化简:[m⊗(﹣n)]﹣[(﹣n)⊕m].4.(2023•陈仓区三模)一个三位数整数,a代表这个整数最左边的数,b代表这个整数最右边的数.若r2正好为剩下的中间数,则这个三位数就叫平衡数,例如:357满足3+72=5,357就是平衡数.(1)判断:468平衡数;(填“是”或“不是”)(2)证明:任意一个三位数的平衡数一定能被3整除.5.(2022秋•工业园区校级月考)定义一种新运算:观察下列各式:1⊙3=1×4+3=7;3⊙(﹣1)=3×4﹣1=11;5⊙4=5×4+4=24;4⊙(﹣3)=4×4﹣3=13.(1)请你想一想:a⊙b=;(2)若a≠b,那么a⊙b b⊙a(填“=”或“≠”);(3)先化简,再求值:(a﹣b)⊙(2a+b),其中a=1,b=2.6.(2023秋•乐至县校级期中)对于任何数,我们规定:=ad﹣bc.例如:1234=1×4﹣2×3=4﹣6=﹣2.(1)按照这个规定,请你化简:−5284;(2)按照这个规定,当a2﹣4a+2=0时,求+23−1−3的值.【题型12整式中的规律探究问题】1.(2023秋•天长市期中)观察下列关于x的单项式,探究其规律:﹣2x,4x2,﹣6x3,8x4,﹣10x5,12x6,…按照上述规律,第2023个单项式是()A.﹣4046x2022B.4046x2022C.﹣4046x2023D.4046x20232.(2022秋•舒城县期末)观察一组数据:1,1,2,4,7,11,16,22,29,…,若记第一个数为a1,记第二个数为a2,…,记第n个数为a n.通过计算a2﹣a1,a3﹣a2,a4﹣a3,…发现它们有一定的规律,由此规律推算a100的值应为()A.5152B.5051C.4951D.48523.(2023秋•贵州期末)如图图形都是由同样大小的小圆圈按一定规律组成的,其中第①个图形中共有6个小圆圈,第②个图形中共有9个小圆圈,第③个图形中共有12个小圆圈,…,按此规律,则第⑲个图形中小圆圈的个数为()A.60B.63C.66D.694.有一组多项式:a+b2,a2﹣b4,a3+b6,a4﹣b8,…,请观察它们的构成规律,用你发现的规律写出第10个多项式为.5.(2023•白银模拟)下列图形都是由完全相同的小梯形按一定规律组成的,如果第1个图形的周长为5,那么第个图形的周长为32.6.(2023秋•盐湖区期中)由白色小正方形和灰色小正方形组成的图形如图所示,则第n个图形中白色小正方形和灰色小正方形的个数总和为个.(用含n的代数式表示)7.(2023秋•连山区期中)下列图形按一定规律排列,观察并回答:(1)依照此规律,第4个图形共有个★,第7个图形共有个★;(2)第n个图形中有★个;(3)根据(2)中的结论,第几个图形中有2023个★?1.(2022秋•岱岳区期末)一种商品进价为每件m元,按进价增加40%出售,后因库存积压降价,按售价的八折出售,此时售价为()A.1.25m元B.1.12m元C.1.32m元D.0.98m元2.(2023秋•桐城市期中)下列说法正确的是()A.2x3+1是单项式B.﹣a3的系数是1C.3m2﹣1是三次多项式D.2是单项式3.(2022秋•烟台期末)若﹣5x a+1y b﹣2与7x3y2是同类项,则a、b的值分别是()A.a=2,b=4B.a=4,b=0C.a=2,b=﹣4D.以上都不对4.(2023秋•水城区期中)下列去括号正确的是()A.﹣(a+b﹣c)=﹣a+b﹣c B.﹣(a+b﹣c)=﹣a﹣b+cC.﹣(﹣a﹣b﹣c)=﹣a+b+c D.﹣(a﹣b﹣c)=﹣a+b﹣c5.(2023秋•灞桥区校级期中)已知A=2a2+3ab﹣2a﹣1,B=﹣a2+ab﹣1,若A+2B的值与a的取值无关,则b的值为()A.23B.13C.25D.356.(2022秋•河池期末)若A=2x2+x+1,B=x2+x,则A、B的大小关系()A.A>B B.A<B C.A=B D.不能确定7.(2023秋•德惠市期末)某同学上学时步行,回家时乘车,路上共用a小时.如果往返都乘车,则共需b小时,那么往返都步行需要小时.8.(2022秋•海阳市期末)若多项式﹣2x|m|﹣(m﹣2)x﹣1是关于x的二次三项式,则m的值为.9.(2022秋•潍坊校级期末)已知x2﹣x﹣4=0,则2﹣3x2+3x的值.10.(2023秋•温江区校级期中)化简下列式子:(1)3x﹣2y﹣x﹣6y+2;(2)(2a2+1)﹣(2﹣3a2);(3)3(x2﹣2xy)﹣2(﹣3xy+y2);(4)3m2n﹣[2m2n﹣(2mn﹣m2n)﹣4m2].11.(2023秋•咸宁期中)已知关于x,y的多项式15r12+B−43+1(m是自然数).(1)当m=1时,该多项式是次项式;(2)该多项式的次数最小是次;(3)若该多项式是八次多项式,且单项式182K3与该多项式的次数相同,求(﹣m)3+2n的值.12.(2023秋•恩施市校级月考)已知a、b、c在数轴上的位置如图,化简|2b+c|+|a﹣2c|﹣|b+c﹣a|﹣|b﹣a|.13.(2022秋•仁怀市期末)先化简,再求值:3B2−2(2+32B2−2),其中a,b满足:|+1|+(−12)2=0.14.(2023秋•靖江市校级期中)已知代数式A=2m2+3my+2y﹣1,B=m2﹣my.(1)化简3A﹣2(A+B);(2)若(m﹣1)2+|y+2|=0,求3A﹣2(A+B)的值;(3)若3A﹣2(A+B)的值与y的取值无关,求m的值.15.(2023秋•信丰县期中)【教材呈现】如图是人教版七年级上册数学教材76页的部分内容.把(a+b)和(x+y)各看作一个整体,对下列各式进行化简:4(a+b)+2(a+b)﹣(a+b)=(2+3﹣1)(a+b)=4(a+b).“整体思想”是中学数学解题中的一种重要的思想方法,它在多项式的化简与求值中应用极为广泛.(1)【问题解决】把(x﹣y)2看成一个整体,求将2(x﹣y)2﹣5(x﹣y)2+(x﹣y)2合并的结果;(2)【简单应用】①已知a2+a=1,则2a2+2a+2020=;②已知a+b=﹣3,求5(a+b)+7a+7b+11的值;(3)【拓展提高】已知a2﹣2ab=﹣5,ab+2b2=﹣3,求代数式32−92B+32的值.16.(2022秋•宁强县期末)某商场销售一种乒乓球拍和乒乓球,乒乓球拍每副定价80元,乒乓每盒定价20元,“国庆节”假期期间商场决定开展促销活动,活动期间向客户提供两种优惠方案.方案一:买一副乒乓球拍送一盒乒乓球;方案二:乒乓球拍和乒乓球都按定价的90%付款.某客户要到该商场购买乒乓球拍20副,乒乓球x盒(x>20且为整数).(1)用含x的代数式表示按两种方案购买各需付款多少元?(2)若x=30,通过计算说明此时按哪种方案购买较合算;(3)当x=30时,你能给出一种更为省钱的购买方案吗?试写出你的购买方法.。
数学教案-整式的加减(1)教学目标1.熟练掌握整式的加法和减法运算规则;2.能够运用所学知识解决实际问题。
教学内容1.整式的概念和性质;2.整式的加法运算规则;3.整式的减法运算规则;4.实际问题的解答。
教学准备1.教材《数学教材-整式的加减》;2.黑板、粉笔;3.教学实例。
教学过程导入与引入1.引入整式的概念,对整式进行简单的解释和示例,让学生了解整式的基本形式和特点。
教学内容1:整式的加法运算规则1.讲解整式的加法运算规则,并对规则进行解释;2.通过示例,让学生掌握整式的加法运算方法;3.指导学生完成相关练习,加深对整式加法运算规则的理解。
教学内容2:整式的减法运算规则1.讲解整式的减法运算规则,并对规则进行解释;2.通过示例,让学生掌握整式的减法运算方法;3.指导学生完成相关练习,加深对整式减法运算规则的理解。
教学内容3:实际问题的解答1.利用所学知识,解答一些实际问题;2.以课堂讨论的方式,引导学生运用整式加减的运算规则解决实际问题;3.提醒学生注意问题的描述和解答的完整性。
拓展与实践1.设计一些综合性的例题,让学生进行整合性的运算练习;2.通过小组讨论的方式,比较不同解题方法的优劣;3.引导学生思考应用整式的场景和实际意义。
总结与归纳1.对整个教学内容进行总结概括;2.强调整式的加减运算规则的重要性;3.鼓励学生运用所学知识解决更多的实际问题。
教学反馈1.教师及时给予学生解答疑惑的机会;2.对学生的课堂表现进行点评和总结;3.对学生的解答进行鼓励和激励。
教学扩展1.整式的乘法和除法运算规则;2.更多实际问题的解答和拓展。
课后作业1.完成教材中相关练习;2.思考整式在实际问题中的应用场景;3.预习下一堂课的内容。
以上就是本次数学教案-整式的加减(1)的设计内容,希望能够帮助学生掌握整式的加减运算规则,并能够运用所学知识解决实际问题。
通过本节课的学习,希望学生能够对整式的加减有更清晰的认识,并能够灵活运用所学知识解决实际问题。