中国历史朝代表-历史朝代顺序表
- 格式:docx
- 大小:41.37 KB
- 文档页数:15
中国历史朝代公元纪年简表1. 先秦时期 (公元前2070年-公元221年)- 夏朝 (公元前2070年-公元公元1600年)- 商朝 (公元前1600年-公元前1046年)- 西周 (公元前1046年-公元前771年)- 东周 (770年-公元221年)- 春秋战国时期 (770年-公元221年)2. 中国帝王统治时期2.1 秦朝 (公元221年-公元206年)- 统一中国2.2 西汉 (公元206年-公元公元8年、AD 25年-公元公元220年) - 百年繁荣与统一2.3 东汉 (公元25年-公元220年)- 内乱与分裂2.4 三国时期 (220年-280年)- 曹魏、蜀汉、东吴2.5 西晋 (265年-316年)- 分裂与动荡2.6 东晋 (317年-420年)- 五胡十六国时期开始2.7 南北朝时期 (420年-589年)- 南朝宋、齐、梁、陈与北朝北魏、东魏、西魏、北周2.8 隋朝 (581年-618年)- 统一朝代2.9 唐朝 (618年-907年)- 高度繁荣的时期2.10 五代十国 (907年-960年)- 十国政权的混乱时期2.11 北宋 (960年-1127年)- 经济繁荣与文化发展2.12 南宋 (1127年-1279年)- 战乱与文化开花2.13 元朝 (1271年-1368年)- 蒙古帝国统一中国2.14 明朝 (1368年-1644年)- 海上贸易与文化繁荣2.15 清朝 (1644年-1912年)- 清朝入主中原3. 现代中国3.1 中华民国 (1912年-1949年)- 辛亥革命与民主进程3.2 中华人民共和国 (1949年至今)- 新中国的成立及社会主义体制的建立总结:中国历史可以追溯到公元前2070年的夏朝时期。
在长达几千年的历史中,中国经历了多个朝代的兴衰交替,包括秦朝、西汉、东汉、三国、西晋、东晋、南北朝、隋朝、唐朝、五代十国、北宋、南宋、元朝、明朝、清朝等。
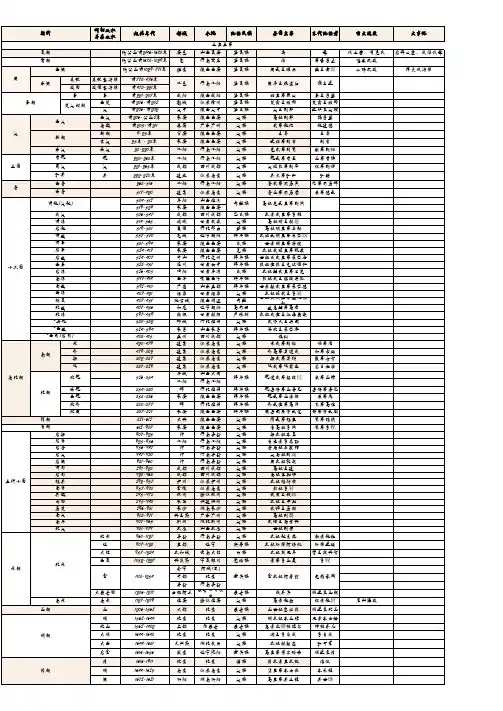
历史朝代列表(完整版)超完整的古代历史朝代时间及君主列表对历史学习很有帮助!中国朝代顺序表中国朝代历史顺序表:华夏族(皇帝)--4000多年前尧舜禹夏朝--约公元前22世纪-公元前17世纪商朝--约公元前17世纪初-公元前11世纪周朝--约公元前11世纪-公元前256年,分为西周,东周,东周又分为春秋,战国秦朝--公元前221-元前206年秦王(赢政)统一六国,之后项羽和刘邦为争夺帝位,进行了四年的楚汉战争。
西汉--公元前206年-公元25年,汉高祖(刘邦)-汉文帝-汉景帝(刘启)-汉武帝(刘彻)东汉--公元25-220年(汉光武帝)刘秀三国--公元220-280 年刘备、曹操、孙权争夺天下晋朝--公元265-420年分为西晋,东晋南北朝--公元386-581年隋朝--公元581-公元618年隋文帝(杨坚)超完整的古代历史朝代时间及君主列表对历史学习很有帮助!五代--公元907-960年后梁、后唐、后晋、后汉、后周五个朝代宋朝--公元960-1279 年,北宋宋太祖(赵匡胤)南宋(赵构)(公元1127-1279年)。
元朝--1271年-1368年,元世祖(忽必烈)是成吉思汗的孙子。
明朝--公元1368-1644年,朱元璋即明太祖。
清朝--公元1644-1911年顺治-康熙-雍正-乾隆-嘉庆-道光-咸丰-同治-光绪-宣统速记口诀:夏商和西周,东周分两段,春秋和战国,一统秦两汉,三分魏蜀吴,两晋前后延,南北朝并列,隋唐五代传,宋元明清后,皇朝至此完。
唐朝皇帝的排列顺序高祖李渊(566-635)618年称帝,在位9年,626年让位于李世民高祖李渊,陕西人,世袭为唐公。
617年出任太原留守。
隋末农民起义时,他乘机起兵攻入长安,建立唐朝。
李渊是一个酒色之徒,并无雄才大略。
退位后死于635年,时年70岁。
超完整的古代历史朝代时间及君主列表对历史学习很有帮助!李世民是中国历史上少有的能打天下又能治天下的有道名君。
中国历史朝代表大全中国的历史悠久,朝代更是零星纷繁。
每朝的创建者要首办的事就是确立国号,即朝代名称,简称朝名。
今日我在这给大家整理了中国历史朝代表,接下来随着我一起来看看吧!中国历史朝代表朝代起讫年月开国之君备注黄帝约前27世纪~前21世纪黄帝轩辕有颛顼、喾、尧、舜等多个支系轮替执政夏朝夏朝约前21世纪~前20世纪帝禹(姒姓)穷朝约前20世纪~前19世纪后羿夏朝约前19世纪~前16世纪帝少康二里头时代的列国商朝先商约前19世纪~前16世纪高祖亥(子姓)商朝约前16世纪~前1300 太祖汤殷商约前1300~前1051 世祖盘庚周朝西周约前1070~771 文王昌(姬姓)前1070年称王,前1051年武王发灭商东周前770~前256 平王宜臼前770年称王,前750年灭携王楚国前704~前223 武王熊通(芈姓)前704年称王晋国前632~前403 文公重耳(姬姓)前632年开创宗室诸侯的霸业魏国前403~前225 文侯魏斯(姬姓)前403年继承宗室诸侯的霸业齐国前341~前221 威王田因齐(妫姓)前341年称王赵国前323~前222 武灵王赵雍(嬴姓)前323年称王其余政权皆为割据秦朝秦国前325~前207 惠文王驷(嬴姓)前325年称王,前256年昭襄王稷吞东周,前230年秦王政开头灭六国,前221年称皇帝西楚前209~前202 义帝熊心(芈姓)由项氏辅政,前206年项羽称西楚霸王代楚汉朝西汉前206~公元8年高帝刘邦前206年封王,前202年称帝,前195年毁灭异姓王,前112年武帝刘彻灭南越新朝 8~23 王莽玄汉 23~25 更始帝刘玄东汉 25~220 光武帝刘秀三国曹魏 213~265 武帝曹操 208年基本统一北方,213年封王,220年文帝曹丕称帝代汉季汉 219~263 昭烈帝刘备 219年封王,221年称帝东吴 222~280 大帝孙权 222年称王,229年称帝晋朝西晋 263~316 文帝司马昭 263年灭季汉、封王,265年武帝司马炎称帝代魏,280年灭东吴汉赵 304~329 光文帝刘渊 304年称王,308年称帝,316年昭武帝刘聪灭西晋成汉 304~347 武帝李雄 304年称王,306年称帝东晋 317~420 元帝司马睿 347年灭成汉后赵 319~352 明帝石勒 319年称王,329年灭汉赵、统一北方,330年称帝前燕 337~370 文明王慕容皝 337年称王,352年景昭帝慕容俊称帝前秦 350~394 三秦王苻洪 350年称王,352年景明帝苻健称帝,370年世祖苻坚灭前燕、统一北方后燕 384~407 武成帝慕容垂 384年称王,386年称帝其余政权皆为割据南北朝北魏 386~534 道武帝拓跋珪 386年称王,398年称帝,431年太武帝拓跋焘灭胡夏、统一北方刘宋 418~479 武帝刘裕 418年封王,420年称帝代晋南齐 477~502 高帝萧道成 477年封王,479年称帝代宋南梁 502~557 武帝萧衍东魏 534~550 孝静帝元善见由高欢摄政西魏 535~556 文帝元宝炬由宇文泰摄政北齐 550~577 文宣帝高洋北周 557~581 孝闵帝宇文觉 577年武帝宇文邕灭北齐、统一北方南陈 557~589 武帝陈霸先隋朝581~618 文帝杨坚 589年灭南陈唐朝唐朝 617~690 高祖李渊 617年封王,618年称帝代隋武周 684~705 则天帝武曌 684年称制,690年称帝代唐唐朝 705~907 中宗李显 705年复辟五代晋-唐 891~936 太祖李克用 891年封晋王,923年庄宗李存勖称帝灭后梁、统一北方,925年灭前蜀后梁 901~923 太祖朱温 901年封梁王,907年称帝代唐长和 902~928 桓帝郑买嗣 902年称帝取代南诏南吴 902~937 太祖杨行密 902年封王,919年高祖杨隆演改元建制,927年睿帝杨溥称帝前蜀 903~925 太祖王建 903年封王,907年称帝后蜀 933~966 高祖孟知祥 933年封王,934年称帝南唐 935~975 烈祖李昪 935年封齐王,937年称帝代吴后晋 936~947 高祖石敬瑭 936年称帝灭后唐后汉 947~951 高祖刘知远后周 951~960 太祖郭威其余政权皆为割据唐帝国崩溃后的秩序重建:蒙古帝国及元朝宋辽金契丹-辽 907~1125 太祖耶律阿保机 907年统一各部称汗,916年称帝,947年太宗耶律德光灭后晋、改辽大理 937~1253 太祖段思平北宋 960~1127 太祖赵匡胤西夏 990~1227 太祖李继迁 990年称王,1038年景宗李元昊称帝金朝 1114~1234 太祖阿骨打 1114年统一各部称汗,1115年称帝,1125年太宗完颜吴乞买灭辽,1127年灭北宋南宋 1127~1279 高宗赵构西辽 1124~1218 德宗耶律大石 1124年称王,1132年称帝元朝1206~1388 太祖铁木真 1206年统一各部称汗,1218年灭西辽,1227年灭西夏,1234年太宗窝阔台灭金,1253年宪宗蒙哥灭大理,1271年世祖忽必烈称帝改元,1279年灭南宋明朝前期势力范围图明朝1364~1662 太祖朱元璋 1364年称吴王,1368年称帝、驱除元廷,1371年基本统一内地,1388年灭北元清朝1616~1912 太祖努尔哈赤 1616年统一各部称汗,1636年太宗皇太极称帝改清,1644年顺治帝入关,1662年灭南明,1681年康熙帝毁灭异姓王,1757年乾隆帝灭准噶尔教科书与字典后页的朝代时间表,双标玩得真是误人子弟。
中国历史朝代顺序
中国朝代顺序表:
夏朝、商朝、西周、东周(春秋、战国)、秦朝、西汉、新朝、东汉、三国(曹魏、蜀汉、东吴)、西晋、(东晋、五胡十六国)、南北朝【南朝(宋、齐、梁、陈);北朝(东魏、西魏、北齐、北周)】隋朝、唐朝、五代十国(后梁、后唐、后晋、后汉、后周;南吴、前蜀、吴越、楚、闽、南汉、荆南、后蜀、南唐、北汉)、宋(北宋、南宋)、辽、西夏、金、元朝、明朝、清朝;
中国朝代顺序表简易口诀举例如下:
1、黄虞夏商周,春秋战国秦,两汉三国晋,晋后南北分,隋唐五代宋,元明清及民。
2、夏商西周继,春秋战国承。
秦后西东汉,三国西东晋。
两晋南北朝,隋唐大一统。
五代和十国,宋辽与夏金。
元明清三代,中国疆土定。
3、黄夏商周春战秦,汉后三国接两晋。
南北二朝隋唐五,宋元明清依次轮。
4、三皇五帝始,尧舜禹相传;夏商与西周,东周分两段;春秋和战国,一统秦两汉;三分魏蜀吴,二晋前后沿;南北朝并立,隋唐五代传;宋元明清后,皇朝至此完。
5、唐尧虞舜夏商周,春秋战国乱悠悠,秦汉三国晋统一,南朝北朝是对头,隋唐五代又十国,宋元明清帝王休。
6、五帝夏商两周秦,西汉东汉三国晋。
凉燕赵,夏汉秦,北继胡,南承晋。
隋唐两宋夏辽金,蒙元明清中华
中国历史朝代顺序表及开国皇帝。
中国历史朝代顺序表、年表,附地图(完整珍藏版)1、夏朝,起讫年代:约公元前2146-1675年,都城:安邑,现今地于山西夏县,统治民族:华夏族,开国皇帝:禹2、商朝,起讫年代:约公元前1675-1029年,都城:毫,现今地于河南商丘,统治民族:华夏族,开国皇帝:汤3、西周,起讫年代:约公元前1029-771年,都城:镐京,现今地于陕西西安,统治民族:华夏族,开国皇帝:周文王姬昌图:春秋列国形势4、东周春秋、战国,起讫年代:约公元前770-221年,都城:洛邑,现今地于河南洛阳,统治民族:华夏族,开国皇帝:周平王姬宜臼图:战国形势5、秦朝,起讫年代:约公元前221-207年,都城:咸阳,现今地于陕西咸阳,统治民族:华夏族,开国皇帝:始皇帝嬴政图:秦时期疆域6、西汉,起讫年代:约公元前206-公元8年,都城:长安,现今地于陕西西安,统治民族:汉族,开国皇帝:高祖刘邦图:西汉时期疆域7、新朝,起讫年代:公元9-23年,都城:长安,现今地于陕西西安,统治民族:汉族,开国皇帝:王莽8、东汉,起讫年代:公元25-220年,都城:洛阳,现今地于河南洛阳,统治民族:汉族,开国皇帝:光武帝刘秀9、曹魏,起讫年代:公元220-265年,都城:洛阳,现今地于河南洛阳,统治民族:汉族,开国皇帝:魏文帝曹丕10、蜀汉,起讫年代:公元221-263年,都城:成都,现今地于四川成都,统治民族:汉族,开国皇帝:汉昭烈帝刘备11、孙吴,起讫年代:公元222-280年,都城:建业,现今地于江苏南京,统治民族:汉族,开国皇帝:吴大帝孙权图:三国时期地图12、西晋,起讫年代:公元265-316年,都城:洛阳,现今地于河南洛阳,统治民族:汉族,开国皇帝:晋武帝司马炎图:西晋时期地图13、东晋,起讫年代:公元317-420年,都城:建康,现今地于江苏南京,统治民族:汉族,开国皇帝:晋元帝司马睿14、前赵、汉赵,起讫年代:公元304-329年,都城:长安,现今地于陕西西安,统治民族:匈奴族,开国皇帝:高祖光文皇帝刘渊15、成汉,起讫年代:公元306-347年,都城:成都,现今地于四川成都,统治民族:巴氐族,开国皇帝:太宗武皇帝李雄16、前凉,起讫年代:公元314-363年,都城:姑臧,现今地于甘肃武威,统治民族:汉族,开国皇帝:高祖明王张寔17、后赵,起讫年代:公元319-351年,都城:襄国,现今地于河北邢台,统治民族:羯族,开国皇帝:高祖明皇帝石勒18、前燕,起讫年代:公元337-370年,都城:龙城,现今地于辽宁朝阳,统治民族:鲜卑族,开国皇帝:太祖文明皇帝慕容皝19、前秦,起讫年代:公元351-394年,都城:长安,现今地于陕西西安,统治民族:氐族,开国皇帝:世宗明皇帝符建20、后秦,起讫年代:公元384-417年,都城:长安,现今地于陕西西安,统治民族:羌族,开国皇帝:太祖武昭皇帝姚苌21、后燕,起讫年代:公元384-407年,都城:中山,现今地于河北定州,统治民族:鲜卑族,开国皇帝:世祖成武皇帝慕容垂22、西秦,起讫年代:公元385-431年,都城:苑川,现今地于甘肃榆中,统治民族:鲜卑族,开国皇帝:烈祖宣烈王乞伏国仁23、后凉,起讫年代:公元386-403年,都城:略阳,现今地于甘肃平凉,统治民族:氐族,开国皇帝:太祖懿武皇帝吕光24、南凉,起讫年代:公元397-414年,都城:西平,现今地于青海南宁,统治民族:鲜卑族,开国皇帝:烈祖武王拓跋乌孤25、南燕,起讫年代:公元398-410年,都城:广固,现今地于山东益都,统治民族:鲜卑族,开国皇帝:世宗献武皇帝慕容德26、西凉,起讫年代:公元407-421年,都城:酒泉,现今地于甘肃酒泉,统治民族:汉族,开国皇帝:太祖昭武王李暠27、胡夏,起讫年代:公元407-431年,都城:统万城,现今地于陕西靖边,统治民族:匈奴,开国皇帝:世祖烈武皇帝赫连勃勃28、北燕,起讫年代:公元407-436年,都城:和龙,现今地于辽宁朝阳,统治民族:高句丽,开国皇帝:燕惠懿帝高云29、北凉,起讫年代:公元397-439年,都城:张掖,现今地于甘肃张掖,统治民族:卢水胡,开国皇帝:太祖武宣王沮渠蒙逊东晋十六国时期地图30、南朝*宋,起讫年代:公元420-479年,都城:建康,现今地于江苏南京,统治民族:汉族,开国皇帝:宋武帝刘裕31、南朝*齐,起讫年代:公元479-502年,都城:建康,现今地于江苏南京,统治民族:汉族,开国皇帝:齐高帝萧道成32、南朝*梁,起讫年代:公元502-557年,都城:建康,现今地于江苏南京,统治民族:汉族,开国皇帝:梁武帝萧涎33、南朝*陈,起讫年代:公元557-589年,都城:建康,现今地于江苏南京,统治民族:汉族,开国皇帝:陈武帝陈霸先34、北朝*北魏,起讫年代:公元386-534年,都城:洛阳,现今地于河南洛阳,统治民族:鲜卑族,开国皇帝:魏道武帝拓跋珪35、北朝*东魏,起讫年代:公元534-550年,都城:邺,现今地于河北临漳,统治民族:鲜卑族,开国皇帝:魏孝静帝元善见36、北朝*西魏,起讫年代:公元535-556年,都城:长安,现今地于陕西西安,统治民族:鲜卑族,开国皇帝:魏文帝元宝炬37、北朝*北齐,起讫年代:公元550-577年,都城:邺,现今地于河北临漳,统治民族:鲜卑族,开国皇帝:齐文宣帝高洋38、北朝*北周,起讫年代:公元557-581年,都城:长安,现今地于陕西西安,统治民族:鲜卑族,开国皇帝:周孝闵帝宇文觉图:南北朝时期地图39、隋朝,起讫年代:公元581-618年,都城:大兴,现今地于陕西西安,统治民族:汉族,开国皇帝:隋文帝杨坚隋朝地图40、唐朝,起讫年代:公元618-907年,都城:长安,现今地于陕西西安,统治民族:汉族,开国皇帝:唐高祖李渊图:唐朝地图图:唐朝地图41、后梁,起讫年代:公元907-923年,都城:汴,现今地于河南开封,统治民族:汉族,开国皇帝:梁太祖朱晃42、后唐,起讫年代:公元923-936年,都城:洛阳,现今地于河南洛阳,统治民族:汉族,开国皇帝:唐庄宗李存勖43、后晋,起讫年代:公元936-947年,都城:汴,现今地于河南开封,统治民族:汉族,开国皇帝:晋高祖石敬瑭44、后汉,起讫年代:公元947-950年,都城:汴,现今地于河南开封,统治民族:汉族,开国皇帝:汉高祖刘暠45、后周,起讫年代:公元951-960年,都城:汴,现今地于河南开封,统治民族:汉族,开国皇帝:周太祖郭威46、前蜀,起讫年代:公元891-925年,都城:成都,现今地于四川成都,统治民族:汉族,开国皇帝:高祖王建47、后蜀,起讫年代:公元925-965年,都城:成都,现今地于四川成都,统治民族:汉族,开国皇帝:高祖孟知祥48、杨吴,起讫年代:公元892-937年,都城:扬州,现今地于江苏扬州,统治民族:汉族,开国皇帝:太祖杨行密49、南唐,起讫年代:公元937-975年,都城:金陵,现今地于江苏南京,统治民族:汉族,开国皇帝:烈祖李昇50、吴越,起讫年代:公元893-978年,都城:杭州,现今地于浙江杭州,统治民族:汉族,开国皇帝:武肃王钱繆51、闽国,起讫年代:公元893-945年,都城:长乐,现今地于福建福州,统治民族:汉族,开国皇帝:太祖王审知52、马楚,起讫年代:公元896-951年,都城:长沙,现今地于湖南长沙,统治民族:汉族,开国皇帝:武穆王马殷53、南汉,起讫年代:公元905-971年,都城:兴王府,现今地于广东广州,统治民族:汉族,开国皇帝:高祖刘龑54、南平,起讫年代:公元907-963年,都城:荆州,现今地于湖北荆州,统治民族:汉族,开国皇帝:武信王高季兴55、北汉,起讫年代:公元951-979年,都城:太原,现今地于山西太原,统治民族:汉族,开国皇帝:世祖刘崇56、北宋,起讫年代:公元960-1127年,都城:开封,现今地于河南开封,统治民族:汉族,开国皇帝:太祖赵匡胤图:宋辽时期地图(宋朝地图)57、南宋,起讫年代:公元1127-1279年,都城:临安,现今地于浙江临安,统治民族:汉族,开国皇帝:高宗赵构图:宋金时期地图(南宋地图)58、辽国,起讫年代:公元907-1125年,都城:皇都,现今地于辽宁,统治民族:契丹族,开国皇帝:太祖耶律阿宝机59、大理,起讫年代:公元937-1254年,都城:太和城,现今地于云南大理,统治民族:白族,开国皇帝:太祖段思平60、西夏,起讫年代:公元1032-1227年,都城:兴庆府,现今地于宁夏银川,统治民族:党项族,开国皇帝:景帝李元昊61、金,起讫年代:公元1115-1234年,都城:开封,现今地于河南开封,统治民族:女真族,开国皇帝:金太祖阿骨打62、元朝,起讫年代:公元1206-1368年,都城:大都,现今地于北京,统治民族:蒙古族,开国皇帝:元世祖忽必烈图:元朝地图63、明朝,起讫年代:公元1368-1644年,都城:北京,现今地于北京,统治民族:汉族,开国皇帝:明太祖朱元璋图:明朝地图64、清朝,起讫年代:公元1616-1911年,都城:北京,现今地于北京,统治民族:满族,开国皇帝:清太宗皇太极图:清朝地图图:清朝顺治七年(1650年)疆域与现在对比图下图是简要汇总表。
中国所有朝代顺序表中国历史朝代主要有夏、商、周、秦、汉、三国、晋、南北朝、隋、唐、五代、十国、宋、辽、西夏、金、元、明、清、中华民国、中华人民共和国。
具体朝代年份如下:夏朝:约公元前2029年-约公元前1559年,共计:471年商朝:约公元前1559年-约公元前1046年,共计:438年周朝:约公元前1046年-公元前256年,分为西周、东周,东周又分为春秋、战国,共计:867年秦朝:公元前221-公元前206年,前221年秦王嬴政统一六国,首称皇帝,共计:16年西楚:公元前206年-公元前202年,西楚霸王项羽,共计:5年西汉:公元前202年-公元8年,汉高祖刘邦,共计:210年新朝:公元8年腊月-公元23年10月6日,新太祖建兴帝王莽,共计:16年玄汉:公元23-25年,汉更始帝刘玄,共计:3年东汉:公元25-220年,汉光武帝刘秀,共计:196年三国:公元220-280年,魏、蜀、吴三足鼎立,共计:61年晋朝:公元265-420年,分为西晋(265-316年)、东晋(317-420年),共计:156年南北朝:公元420-589年,共计:170年隋朝:公元581-公元618年,隋文帝杨坚,共计:38年唐朝:公元618-907年,唐高祖李渊,共计:290年五代:公元907-960年,后梁、后唐、后晋、后汉、后周,共计:54年十国:公元891-979年,共计:89年宋朝:公元960-1279年,分为北宋(公元960-1127年)、南宋(公元1127-1279年),共计:320年元朝:公元1271年-1368年,元太祖孛儿只斤·铁木真,共计:98年明朝:公元1368-1644年,明太祖朱元璋,共计:277年清朝:公元1644-1912年,清太祖爱新觉罗·努尔哈赤,共计:268年中华民国:公元1912-1949,孙中山,共计:37年中华人民共和国:公元1949年-至今中国在1912年建立民国以前,最高统治权力是以家族世袭为主的,这些世袭王族的更替构成了中国朝代。
中国历史朝代顺序表及时间梳理一、引言中国历史源远流长,朝代更迭纷繁。
本文旨在通过梳理中国古代朝代顺序表及时间表格,帮助读者更好地了解中国历史的发展脉络。
二、中国古代朝代顺序表1. 夏朝(约公元前2070年-约公元前1600年)2. 商朝(约公元前1600年-约公元前1046年)3. 西周(约公元前1046年-公元前771年)4. 东周(公元前770年-公元前256年)5. 秦朝(公元前221年-公元前206年)6. 汉朝(公元前202年-公元220年)7. 三国时期(公元220年-公元280年)8. 晋朝(公元265年-公元420年)9. 南北朝(公元420年-公元589年)10. 隋朝(公元581年-公元618年)11. 唐朝(公元618年-公元907年)12. 五代十国(公元907年-公元979年)13. 宋朝(公元960年-公元1279年)14. 元朝(公元1271年-公元1368年)15. 明朝(公元1368年-公元1644年)16. 清朝(公元1636年-公元1912年)三、朝代简介与时间线梳理1. 夏朝:中国历史上第一个世袭制朝代,存在的时间约在公元前2070年至公元前1600年,共传十四代,十七后,延续约471年。
夏朝的建立,标志着中国进入了漫长的封建社会。
2. 商朝:商朝是中国历史上第二个世袭制朝代,存在的时间约在公元前1600年至公元前1046年。
商朝以商汤灭夏建立,以商纣王自焚结束,共传十七世三十一王,延续五百余年。
商朝时期,青铜器制作达到了很高的水平,文字也有了一定的发展,出现了甲骨文和金文。
3. 西周:西周是中国历史上第三个世袭制朝代,存在的时间约在公元前1046年至公元前771年。
西周以武王伐纣建立,以幽王失政结束,共传十二王,历时二百七十五年。
西周时期,社会制度进一步完善,分封制、宗法制、井田制等制度得以确立。
同时,礼乐文化也开始形成。
4. 东周:东周是中国历史上第四个世袭制朝代,存在的时间约在公元前770年至公元前256年。
历史朝代列表(完整)————————————————————————————————作者:————————————————————————————————日期:2中国朝代顺序表中国朝代历史顺序表:华夏族(皇帝)--4000多年前尧舜禹夏朝--约公元前22世纪-公元前17世纪商朝--约公元前17世纪初-公元前11世纪周朝--约公元前11世纪-公元前256年,分为西周,东周,东周又分为春秋,战国秦朝--公元前221-元前206年秦王(赢政)统一六国,之后项羽和刘邦为争夺帝位,进行了四年的楚汉战争。
西汉--公元前206年-公元25年,汉高祖(刘邦)->汉文帝->汉景帝(刘启)->汉武帝(刘彻)东汉--公元25-220年(汉光武帝)刘秀三国--公元220-280 年刘备、曹操、孙权争夺天下晋朝--公元265-420年分为西晋,东晋3 / 26南北朝--公元386-581年隋朝--公元581-公元618年隋文帝(杨坚)唐朝--公元618-907年李渊->唐太宗(李世民)->唐玄宗(李隆基) 五代--公元907-960年后梁、后唐、后晋、后汉、后周五个朝代宋朝--公元960-1279 年,北宋宋太祖(赵匡胤)南宋(赵构)(公元1127-1279年)。
元朝--1271年-1368年,元世祖(忽必烈)是成吉思汗的孙子。
明朝--公元1368-1644年,朱元璋即明太祖。
清朝--公元1644-1911年顺治->康熙->雍正->乾隆->嘉庆->道光->咸丰->同治->光绪->宣统速记口诀:夏商和西周,东周分两段,春秋和战国,一统秦两汉,三分魏蜀吴,两晋前后延,南北朝并列,隋唐五代传,宋元明清后,皇朝至此完。
唐朝皇帝的排列顺序高祖李渊(566-635)618年称帝,在位9年,626年让位于李世4 / 26民高祖李渊,陕西人,世袭为唐公。
中国完整的历史朝代表1、夏朝:约前2070—约前1600年禹共计:470年2、商朝:约前1600—约前1046年汤共计:554年3、西周:约前1046—前771年周武王姬发共计:275年4、东周:前770—前256年周平王姬宜臼共计:514年5、秦朝:前221—前207年秦始皇嬴政共计:15年6、西楚:前207—前202年西楚霸王项羽共计:5年7、西汉:前202—公元8年汉高祖刘邦共计:210年8、新朝:公元8—公元23年新太祖王莽共计:15年9、玄汉:公元23—25年更始帝刘玄共计:2年10、东汉:公元25—220年汉光武帝刘秀共计:195年11、三国:公元220—280年魏、蜀、吴共计:60年12、西晋:公元265—317年晋武帝司马炎共计:52年13、东晋:公元317—420年晋元帝司马睿共计:103年14、十六国:公元304—439年前凉、成汉、前赵、后北凉、西凉、后凉、南凉、前燕、后燕、南燕、北燕、夏、前秦、西秦、后秦等共计:135年15、南朝:公元420—589年宋、齐、梁、陈共计:169年16、北朝:公元439—581年北魏、东魏、西魏、北齐、北周共计:142年17、隋朝:公元581—618年隋文帝杨坚共计:37年18、唐朝:公元618—907年唐高祖李渊共计:289年19、武周:公元690—705年武则天共计:15年20、五代:公元907—960年后梁、后唐、后晋、后汉、后周共计:53年21、十国:公元891—979年前蜀、杨吴、吴越、马楚、闽国、南汉、南平、后蜀、南唐、北汉等共计:88年22、北宋:公元960—1127年宋太祖赵匡胤共计:167年23、南宋:公元1127—1279年宋高宗赵构共计:152年24、辽朝:公元907—1125年耶律阿保机共计:218年25、西夏:公元1038—1227年夏景宗李元昊共计:189年26、金朝:公元1115—1234年完颜阿骨打共计:119年27、元朝:公元1271—1368年忽必烈共计:97年28、明朝:公元1368—1644年明太祖朱元璋共计:276年29、清朝:公元1636—1912年努尔哈赤共计:276年。