晶核的形成和成长PPT课件
- 格式:ppt
- 大小:1.13 MB
- 文档页数:70
§2 晶核的形成在母相中形成等于或超过一定临界大小的新相晶核的过程称为“形核”一、均匀形核(一)均匀形核的能量变化“结构起伏”的尺寸,大小与温度有关,温度越低,“结构起伏”尺寸越大,当温度降到熔点以下时,这种晶坯的尺寸较大,其中的原子组成了晶态的规则排列,而其外层原子却与液体金属中不规则排列的原子相接触而构成界面。
因此,当过冷液体中出现晶坯时,一方面由于在这个区域中原子由液态的聚集状态转变为固态的排列状态,使体系的自由能降低(固、液相之间的体积自由能差);另一方面,由于晶坯构成新的表面,又会引起表面自由能的增加(单位面积表面能σ)。
△G小于0(反应可自发进行),越负越好,有利于晶核的形成,及其反应的自发进行。
假定晶胚为球形,半径为r,当过冷液体中出现一个晶胚时,总的自由能变化:液、固两相单位体积自由能差绝对值,由于过冷到熔点以下时,自由能为负值当r=r*时,临界晶核形成的自由能增高等于其表面能的1/3,形核功是过冷液体金属开始形核的主要障碍。
当r<r*时,晶胚长大将导致系统自由能的增加,这种晶胚不稳定,瞬时形成,瞬时消失。
当r>r*时,随晶胚长大,系统自由能降低,凝固过程自动进行。
当r=r*时,可能长大,也可能熔化,两种趋势都是使自由能降低的过程,将r*的晶胚称为临界晶核,只有那些略大于临界半径的晶核,才能作为稳定晶核而长大,所以金属凝固时,晶核必须要求等于或大于临界晶核。
极值点处将(3)代入(2):临界晶核半径随过冷度(实际结晶温度与理论结晶温度的差值,过冷度的大小与冷却速度密切相关,冷却速度越快,实际结晶温度就越低,过冷度就越大;反之冷却速度越慢,过冷度就越小,实际结晶温度就更接近理论结晶温度。
)增大而减小。
P37 图37将(2)、(3)、(4)代入(1)式: (5)称为临界晶核形成功,简称形核功,即形成临界晶核时要有值的自由能增加,与成反比。
将(4)式代入得(6)(6)式表明,当r=r*时,临界晶核形成时的自由能增高等于其表面能的1/3,此形核功是过冷液体金属开始形核时的主要障碍。
第六讲晶核的长大第五节晶核长大一、主要内容:液固界面的微观结构晶体的长大机制液固界面前沿液体中的温度梯度晶体生长的界面形状-晶体形态长大速度晶粒大小的控制二、要点:液固界面的微观结构,光滑界面,粗糙界面的概念,杰克逊因子,不同金属结晶时的液固界面,晶体的长大机制,二维晶核长大机制,螺型位错长大机制,垂直长大机制,液固界面前沿液体中的温度梯度,正温度梯度,负温度梯度。
晶体生长的界面形状,晶体形态,树枝晶,等轴晶,长大速度,晶粒大小的控制三、方法说明:通过对液固界面的微观结构的讨论,说明金属型界面和非金属型界面的不同,结晶后的晶界相界的形态也不同,即晶粒的形状不同,晶粒的形状和大小对金属的性能有直接影响。
液相中的温度梯度对金属的生长速度和生长方式有直接的影响,通过以上的讨论使学生对如何判断金属中的相,和如何得到所需的晶粒大小和形状有一个清楚的认识。
授课内容:形核之后,晶体长大,其涉及到长大的形态,长大方式和长大速率。
长大形态常反映出凝固后晶体的性质,而长大方式决定了长大速率,也就是决定结晶动力学的重要因素。
晶核长大的条件:第一要求液相能不断的向晶体扩散供应原子,第二要求晶体表面能够不断的牢固的接纳这些原子。
晶核长大需要在过冷的液体中进行,但是需要的过冷度要比形核时的小。
一、固液界面的微观结构液固界面的微观结构分为两类:光滑界面和粗糙界面1、光滑界面:如图,在界面的上部,所有原子都处于液体状态,在界面的下部所有的原子都处于固体状态。
这种界面通常为固相的密排面,呈曲折的锯齿状又称为小平面界面。
2、粗糙界面:如图,从微观尺寸看这种界面是平整的,当从原子的尺度看这种界面是高低不平的,液固界面的原子犬牙交错的分布着,所以又叫非小平面界面。
3、如果界面上有近0%或100%的位置为晶体原子所占有,则界面是光滑界面。
界面自由能的变化可用公式表示:二、晶体长大机制1、二维晶核长大机制光滑界面时晶体的长大只能依靠二维形核机制方式长大。
第五讲 晶核的形成第四节 晶核的形成一、主要内容:均匀形核非均匀形核二、要点:形核的能量变化,临界晶核半径,临界晶核半径与过冷度的关系,形核功,临界形核功,临界形核功与过冷度的关系,能量起伏的概念,形核率,形核率的影响因素,晶体金属与非晶体金属的形成条件,非均匀形核,非均匀形核的临界晶核半径和临界形核功,非均匀形核的形核率,影响形核率的因素三、方法说明:通过形核能量变化的讨论,说明形核的难易程度,使学生清楚的认识影响形核率的各种因素,因为,晶粒的大小对金属的性能有直接的影响。
授课内容:过冷液体形成固体晶核有两种形核方式:均匀形核(均质形核或自发形核)非均匀形核(异质形核或非自发形核)一、均匀形核1. 均匀形核:液态金属绝对纯净,无任何杂质,不和型壁接触,只靠液态金属的能量变化,由晶胚直接生成晶核的过程。
2. 均匀形核时的能量变化和临界晶核半径:在过冷液体中出现晶胚时,一方面原子从液态转变为固态将使系统自由能降低,它是驱动力。
另一方面,由于晶胚构成新的表面,形成表面能,使系统能量升高,它是结晶的阻力。
σS G V G V +∆-=∆假设过冷液体中出现一个半径为r 的球状晶胚,它引起的自由能变化为:σππ23434r G r G V +∆-=∆ 体积自由能的变化与晶胚半径的立方成正比,而表面能的变化与半径的平方成正比。
总的自由能是体积自由能和表面能的代数和。
自由能随晶胚半径的变化如图:当K r r <时,随着晶胚尺寸的增大,系统自由能增加当K r r >时,随着晶胚尺寸的增大,系统自由能降低把半径为K r 的晶胚叫做临界晶核,K r 称为临界晶核半径VK G r ∆=σ2 临界晶核半径与晶核的单位表面能成正比,而与单位体积自由能成反比。
TL T r m m K ∆=σ2晶核的临界半径与过冷度成反比,过冷度越大,临界半径越小。
在过冷液体中所存在的最大相起伏与过冷度的关系如图:K T ∆就是临界过冷度3、解释说明:晶核形成时的能量变化和临界晶核晶体熔化后的液态结构从长程来说是无序的,而在短程范围内却存在着不稳定的,接近于有序的原子集团(尤其是温度接近熔点时)。
§2 晶核的形成在母相中形成等于或超过一定临界大小的新相晶核的过程称为“形核”一、均匀形核(一)均匀形核的能量变化“结构起伏”的尺寸,大小与温度有关,温度越低,“结构起伏”尺寸越大,当温度降到熔点以下时,这种晶坯的尺寸较大,其中的原子组成了晶态的规则排列,而其外层原子却与液体金属中不规则排列的原子相接触而构成界面。
因此,当过冷液体中出现晶坯时,一方面由于在这个区域中原子由液态的聚集状态转变为固态的排列状态,使体系的自由能降低(固、液相之间的体积自由能差);另一方面,由于晶坯构成新的表面,又会引起表面自由能的增加(单位面积表面能σ)。
△G小于0(反应可自发进行),越负越好,有利于晶核的形成,及其反应的自发进行。
假定晶胚为球形,半径为r,当过冷液体中出现一个晶胚时,总的自由能变化:液、固两相单位体积自由能差绝对值,由于过冷到熔点以下时,自由能为负值当r=r*时,临界晶核形成的自由能增高等于其表面能的1/3,形核功是过冷液体金属开始形核的主要障碍。
当r<r*时,晶胚长大将导致系统自由能的增加,这种晶胚不稳定,瞬时形成,瞬时消失。
当r>r*时,随晶胚长大,系统自由能降低,凝固过程自动进行。
当r=r*时,可能长大,也可能熔化,两种趋势都是使自由能降低的过程,将r*的晶胚称为临界晶核,只有那些略大于临界半径的晶核,才能作为稳定晶核而长大,所以金属凝固时,晶核必须要求等于或大于临界晶核。
极值点处将(3)代入(2):临界晶核半径随过冷度(实际结晶温度与理论结晶温度的差值,过冷度的大小与冷却速度密切相关,冷却速度越快,实际结晶温度就越低,过冷度就越大;反之冷却速度越慢,过冷度就越小,实际结晶温度就更接近理论结晶温度。
)增大而减小。
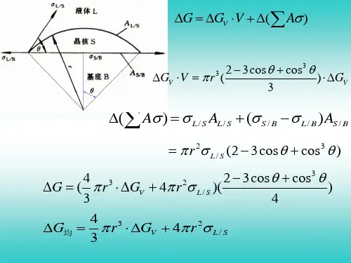
P37 图37将(2)、(3)、(4)代入(1)式: (5)称为临界晶核形成功,简称形核功,即形成临界晶核时要有值的自由能增加,与成反比。
将(4)式代入得(6)(6)式表明,当r=r*时,临界晶核形成时的自由能增高等于其表面能的1/3,此形核功是过冷液体金属开始形核时的主要障碍。