高等工程数学第六章习题及答案
- 格式:doc
- 大小:123.50 KB
- 文档页数:5
习题6-2 1 求图6-21 中各画斜线部分的面积(1)解 画斜线部分在x 轴上的投影区间为[0 1] 所求的面积为61]2132[)(1022310=-=-=⎰x x dx x x A . (2)解法一 画斜线部分在x 轴上的投影区间为[0 1] 所求的面积为 1|)()(1010=-=-=⎰x x e ex dx e e A解法二 画斜线部分在y 轴上的投影区间为[1 e ] 所求的面积为1)1(|ln ln 111=--=-==⎰⎰e e dy y y ydy A ee e(3)解 画斜线部分在x 轴上的投影区间为[-3 1] 所求的面积为332]2)3[(132=--=⎰-dx x x A(4)解 画斜线部分在x 轴上的投影区间为[-1 3] 所求的面积为332|)313()32(3132312=-+=-+=--⎰x x x dx x x A2. 求由下列各曲线所围成的图形的面积:(1) 221x y =与x 2+y 2=8(两部分都要计算);解:388282)218(220220*********--=--=--=⎰⎰⎰⎰dx x dx x dx x dx x x A34238c o s 16402+=-=⎰ππtdt . 346)22(122-=-=ππS A .(2)xy 1=与直线y =x 及x =2;解:所求的面积为⎰-=-=212ln 23)1(dx x x A .(3) y =e x , y =e -x 与直线x =1; 解:所求的面积为⎰-+=-=-1021)(ee dx e e A x x .(4)y =ln x , y 轴与直线y =ln a , y =ln b (b >a >0). 解所求的面积为a b e dy e A ba y ba y -===⎰ln ln ln ln3. 求抛物线y =-x 2+4x -3及其在点(0, -3)和(3, 0)处的切线所围成的图形的面积. 解:y '=-2 x +4.过点(0, -3)处的切线的斜率为4, 切线方程为y =4(x -3). 过点(3, 0)处的切线的斜率为-2, 切线方程为y =-2x +6.两切线的交点为)3 ,23(, 所求的面积为49]34(62[)]34(34[23023232=-+--+-+-+---=⎰⎰dx x x x x x x A .4. 求抛物线y 2=2px 及其在点),2(p p 处的法线所围成的图形的面积.解2y ⋅y '=2p在点),2(p p处 1),2(=='p p y p y 法线的斜率k =-1 法线的方程为)2(px p y --=- 即y px -=23 求得法线与抛物线的两个交点为),2(p p 和)3,29(p p -法线与抛物线所围成的图形的面积为233232316)612123()223(p y p y y p dy p y y p A p ppp =--=--=--⎰5. 求由下列各曲线 所围成的图形的面积; (1) =2a cos θ解:所求的面积为⎰⎰==-2022222c o s 4)c o s 2(21πππθθθθd a d a A =πa 2.(2)x =a cos 3t , y =a sin 3t ; 解所求的面积为⎰⎰⎰===2042202330s i n c o s 34)c o s ()s i n (44ππt d t t a t a d t a y d xA a2206204283]s i n s in [12a tdt tdt a πππ=-=⎰⎰(3) =2a (2+cos θ ) 解所求的面积为2202220218)cos cos 44(2)]cos 2(2[21a d a d a A πθθθθθππ=++=+=⎰⎰6. 求由摆线x =a (t -sin t ), y =a (1-cos t )的一拱(0 t 2π)与横轴 所围成的图形的面积.解:所求的面积为 ⎰⎰⎰-=--==aaa dt t a dt t a t a ydx A 20222020)cos 1()cos 1()cos 1(ππ22023)2c o s 1c o s 21(a dt t ta a=++-=⎰. 7. 求对数螺线 =ae θ(-π≤θ≤π)及射线θ=π所围成的图形面积 解所求的面积为)(421)(21222222ππππθππθθθ----===⎰⎰e e a d e a d ae A8. 求下列各曲线所围成图形的公共部分的面积. (1) =3cos θ 及 =1+cos θ解曲线 =3cos θ 与 =1+cos θ 交点的极坐标为)3,23(πA , )3,23(π-B . 由对称性, 所求的面积为πθθθθπππ45])c o s 3(21)c o s 1(21[2232302=++=⎰⎰d d A . (2)θρsin 2=及θρ2cos 2=解曲线θρsin 2=与θρ2cos 2=的交点M 的极坐标为M )6,22(π 所求的面积为2316]2cos 21)sin 2(21[246602-+=+=⎰⎰πθθθθπππd d A9. 求位于曲线y =e x 下方, 该曲线过原点的切线的左方以及x 轴上方之间的图形的面积.解 设直线y =kx 与曲线y =e x 相切于A (x 0 y 0)点 则有⎪⎩⎪⎨⎧=='==ke x y e y kx y x x 00)(0000求得x 0=1 y 0=e k =e 所求面积为21ln 21)ln 1(00020e dy y y y y y e dy y y e e e ee=⋅+-=-⎰⎰10. 求由抛物线y 2=4ax 与过焦点的弦所围成的图形的面积的最小值. 解 设弦的倾角为α. 由图可以看出, 抛物线与过焦点的弦所围成的图形的面积为 10A A A +=.显然当2πα=时, A 1=0; 当2πα<时, A 1>0.因此, 抛物线与过焦点的弦所围成的图形的面积的最小值为 2030383822a x a dx ax A a a===⎰.11. 把抛物线y 2=4ax 及直线x =x 0(x 0>0)所围成的图形绕x 轴旋转, 计算所得旋转体的体积.解 所得旋转体的体积为20020222400x a x a axdx dx y V xx x ππππ====⎰⎰12. 由y =x 3 x =2 y =0所围成的图形 分别绕x轴及y 轴旋转 计算所得两个旋转体的体积 解 绕x 轴旋转所得旋转体的体积为 ππππ712871207206202====⎰⎰x dx x dx y V x绕y 轴旋转所得旋转体的体积为 ⎰⎰-=-⋅⋅=803280223282dy y dy x V y πππππππ56453328035=-=y13. 把星形线3/23/23/2a y x =+所围成的图形 绕x 轴旋转 计算所得旋转体的体积解 由对称性 所求旋转体的体积为 dx x a dx y V aa⎰⎰-==03323202)(22ππ30234323234210532)33(2a dx x x a x a a aππ=-+-=⎰14. 用积分方法证明图中球缺的体积为)3(2H R H V -=π证明 ⎰⎰---==RHR R HR dy y R dy y x V )()(222ππ)3()31(232H R H y y R RH R -=-=-ππ15. 求下列已知曲线所围成的图形, 按指定的轴旋转所产生的旋转体的体积:(1)2x y =, 2y x =, 绕y 轴;解 ππππ103)5121()(1052102210=-=-=⎰⎰y y dy y ydy V .(2)a x a y ch = x =0 x =a y =0 绕x 轴 解 ⎰⎰⎰===102302202ch ch )(udu a au x dx ax a dx x y V aaπππ令1022310223)21221(4)2(4u u uu e u e a du e e a ---+=++=⎰ππ )2sh 2(43+=a π (3)16)5(22=-+y x , 绕x 轴.解 ⎰⎰------+=44224422)165()165(dx x dx x V ππ2421601640π⎰=-=dx x .(4)摆线x =a (t -sin t ), y =a (1-cos t )的一拱, y =0, 绕直线y =2a .解 ⎰⎰--=ππππa a dx y a dx a V 202202)2()2( ⎰----=πππ20223)sin ()]cos 1(2[8t t da t a a a232023237sin )cos 1(8ππππa tdt t a a =+-=⎰. 16 求圆盘222a y x ≤+绕x =-b (b >a >0)旋转所成旋转体的体积.解 ⎰⎰------+=aaaa dy y ab dy y a b V 222222)()(ππ222228ππb a dy y a b a=-=⎰.17 设有一截锥体 其高为h 上、下底均为椭圆 椭圆的轴长分别为2a 、2b 和2A 、2B 求这截锥体的体积解 建立坐标系如图 过y 轴上y 点作垂直于y 轴的平面 则平面与截锥体的截面为椭圆 易得其长短半轴分别为y h a A A -- y h b B B --截面的面积为π)()(y h b B B y h a A A --⋅--于是截锥体的体积为])(2[61)()(0bA aB AB ab h dy y h b B B y h a A A V h+++=--⋅--=⎰ππ18 计算底面是半径为R 的圆, 而垂直于底面上一条固定直径的所有截面都是等边三角形的立体体积.解 设过点x 且垂直于x 轴的截面面积为A (x ),由已知条件知, 它是边长为x R -2的等边三角形的面积, 其值为)(3)(22x R x A -=, 所以 322334)(3R dx x R V RR=-=⎰-.19. 证明 由平面图形0≤a ≤x ≤b 0≤y ≤f (x )绕y 轴旋转所成的旋转体的体积为⎰=ba dx x xf V )(2π证明 如图 在x 处取一宽为dx 的小曲边梯形 小曲边梯形绕y 轴旋转所得的旋转体的体积近似为2 x ⋅f (x )dx这就是体积元素 即 dV =2 x ⋅f (x )dx于是平面图形绕y 轴旋转所成的旋转体的体积为 ⎰⎰==babadx x xf dx x xf V )(2)(2ππ20. 利用题19和结论 计算曲线y =sin x (0≤x ≤ )和x 轴所围成的图形绕y 轴旋转所得旋转体的体积解 2002)sin cos (2cos 2sin 2πππππππ=+-=-==⎰⎰x x x x xd xdx x V21. 计算曲线y =ln x 上相应于83≤≤x 的一段弧的长度. 解 ⎰⎰⎰+=+='+=8328328321)1(1)(1dx xx dx x dx x y s ,令t x =+21, 即12-=t x , 则 23ln 211111113223232222322+=-+=-=-⋅-=⎰⎰⎰⎰dt t dt dt t t dt t tt t s .22. 计算曲线)3(3x x y -=上相应于1≤x ≤3的一段弧的长度 解 x x x y 31-= x x y 2121-='x x y 4121412+-=' )1(2112xx y +='+所求弧长为3432)232(21)1(213131-=+=+=⎰x x x dx xx s23. 计算半立方抛物线32)1(32-=x y 被抛物线32x y =截得的一段弧的长度解 由⎪⎩⎪⎨⎧=-=3)1(32232x y x y 得两曲线的交点的坐标为)36 ,2( )36 ,2(-所求弧长为⎰'+=21212dx y s因为 2)1(22-='x y y yx y 2)1(-=' )1(23)1(32)1()1(34242-=--=-='x x x y x y所以 ]1)25[(98)13(13232)1(2312232121-=--=-+=⎰⎰x d x dx x s24. 计算抛物线y 2=2px 从顶点到这曲线上的一点M (x , y )的弧长.解 ⎰⎰⎰+=+='+=y yydy y p p dy p y dy y x s 02202021)(1)(1y y p y p y p y p 022222])ln(22[1++++=py p y py p p y 2222ln22++++=. 25. 计算星形线t a x 3cos =, t a y 3sin =的全长.解 用参数方程的弧长公式. dt t y t x s ⎰'+'=2022)()(4π⎰⋅+-⋅=202222]cos sin 3[)]sin (cos 3[4πdt t t a t t aa tdt t 6cos sin 1220==⎰π.26. 将绕在圆(半径为a )上的细线放开拉直 使细线与圆周始终相切 细线端点画出的轨迹叫做圆的渐伸线 它的方程为 )sin (cos t t t a x +=)cos (sin t t t a y -=计算这曲线上相应于t 从0变到 的一段弧的长度解 由参数方程弧长公式 ⎰⎰+='+'=ππ022022)sin ()cos ()]([)]([dt t at t at dt t y t x s202ππatdt a ==⎰27. 在摆线x =a (t -sin t ) y =a (1-cos t )上求分摆线第一拱成13的点的坐标解 设t 从0变化到t 0时摆线第一拱上对应的弧长为s (t 0) 则 ⎰⎰+-='+'=000220220]sin [)]cos 1([)]([)]([)(t t dt t a t a dt t y t x t s)2cos 1(42sin 2000ta dt t a t -==⎰当t 0=2 时 得第一拱弧长s (2 )=8a 为求分摆线第一拱为1 3的点为A (x y ) 令 a ta 2)2cos 1(40=-解得320π=t 因而分点的坐标为横坐标a a x )2332()32sin 32(-=-=πππ纵坐标a a y 23)32cos 1(=-=π故所求分点的坐标为)23 ,)2332((a a -π28. 求对数螺线θρa e =相应于自θ=0到θ=ϕ的一段弧长. 解 用极坐标的弧长公式. θθθρθρϕθθϕd ae e d s a a ⎰⎰+='+=022022)()()()()1(1122-+=+=⎰θϕθθa a e aa d e a . 29. 求曲线 =1相应于自43=θ至34=θ的一段弧长解 按极坐标公式可得所求的弧长 ⎰⎰-+='+=3443222344322)1()1()()(θθθθθρθρd d s23ln 12511344322+=+=⎰θθθd30. 求心形线 =a (1+cos θ )的全长. 解 用极坐标的弧长公式. θθθθθρθρππd a a d s ⎰⎰-++='+=0222022)sin ()cos 1(2)()(2a d a 82cos 40==⎰πθθ.习题6-31. 由实验知道, 弹簧在拉伸过程中, 需要的力F (单位: N )与伸长量s (单位: cm)成正比, 即F =ks (k 为比例常数). 如果把弹簧由原长拉伸6cm , 计算所作的功.解 将弹簧一端固定于A , 另一端在自由长度时的点O 为坐标原点, 建立坐标系. 功元素为dW =ksds , 所求功为 182160260===⎰s k ksds W k(牛⋅厘米). 2. 直径为20cm 、高80cm 的圆柱体内充满压强为10N/cm 2的蒸汽. 设温度保持不变, 要使蒸汽体积缩小一半, 问需要作多少功? 解 由玻-马定律知:ππ80000)8010(102=⋅⋅==k PV .设蒸气在圆柱体内变化时底面积不变, 高度减小x 厘米时压强 为P (x )牛/厘米2, 则ππ80000)]80)(10[()(2=-⋅x x P , π-=80800)(x P .功元素为dx x P dW )()10(2⋅=π,所求功为 2ln 8008018000080800)10(400402πππππ=-=-⋅⋅=⎰⎰dx dx W (J). 3. (1)证明: 把质量为m 的物体从地球表面升高到h 处所作的功是hR mgRhW +=, 其中g 是地面上的重力加速度, R 是地球的半径;(2)一颗人造地球卫星的质量为173kg , 在高于地面630km 处进入轨道. 问把这颗卫星从地面送到630的高空处, 克服地球引力要作多少功?已知g =9.8m/s 2, 地球半径R =6370km .证明 (1)取地球中心为坐标原点, 把质量为m 的物体升高的功元素为dy y kMm dW 2=, 所求的功为 )(2h R R mMh k dy y kMm W h R R+⋅==⎰+. (2)533324111075.910)6306370(106370106301098.51731067.6⨯=⨯+⨯⨯⨯⨯⨯⋅⨯=-W (kJ).4. 一物体按规律3ct x =作直线运动, 媒质的阻力与速度的平方成正比. 计算物体由x =0移至x =a 时, 克服媒质阻力所作的功. 解 因为3ct x =, 所以23)(cx t x v ='=, 阻力4229t kc kv f -=-=. 而32)(cx t =, 所以34323429)(9)(x kc cx kc x f -=-=. 功元素dW =-f (x )dx , 所求之功为 37320343203432072799)]([a kc dx x kcdx x kc dx x f W a aa===-=⎰⎰⎰. 5. 用铁锤将一铁钉击入木板, 设木板对铁钉的阻力与铁钉击入木板的深度成正比, 在击第一次时, 将铁钉击入木板1cm . 如果铁锤每次打击铁钉所做的功相等, 问锤击第二次时, 铁钉又击入多少? 解 设锤击第二次时铁钉又击入h cm , 因木板对铁钉的阻力f 与铁钉击入木板的深度x (cm)成正比, 即f =kx , 功元素dW =f dx =kxdx , 击第一次作功为k kxdx W 21101==⎰,击第二次作功为)2(212112h h k kxdx W h+==⎰+. 因为21W W =, 所以有 )2(21212h h k k +=, 解得12-=h (cm).6. 设一锥形贮水池, 深15m , 口径20m , 盛满水, 今以唧筒将水吸尽, 问要作多少功?解 在水深x 处, 水平截面半径为x r 3210-=, 功元素为dx x x dx r x dW 22)3210(-=⋅=ππ,所求功为⎰-=1502)3210(dx x x W π⎰+-=15032)9440100(dx x x x π =1875(吨米)=57785.7(kJ).7. 有一闸门, 它的形状和尺寸如图, 水面超过门顶2m . 求闸门上所受的水压力.解 建立x 轴, 方向向下, 原点在水面. 水压力元素为xdx dx x dP 221=⋅⋅=, 闸门上所受的水压力为21252252===⎰x xdx P (吨)=205. 8(kN).8. 洒水车上的水箱是一个横放的椭圆柱体, 尺寸如图所示. 当水箱装满水时, 计算水箱的一个端面所受的压力.解 建立坐标系如图, 则椭圆的方程为 11)43()43(2222=+-y x . 压力元素为dx x x dx x y x dP 22)43()43(38)(21--⋅=⋅⋅=,所求压力为 ⎰⎰-⋅⋅+=--⋅=222322cos 43cos 43)sin 1(4338)43()43(38ππtdx t t dx x x P ππ169cos 49202==⎰tdx (吨)=17.3(kN). (提示: 积分中所作的变换为t x sin 4343=-)9. 有一等腰梯形闸门, 它的两条底边各长10m 和6m , 高为20m . 较长的底边与水面相齐. 计算闸门的一侧所受的水压力. 解 建立坐标系如图. 直线AB 的方程为x y 1015-=,压力元素为dx x x dx x y x dP )5110()(21-⋅=⋅⋅=,所求压力为1467)5110(200=-⋅=⎰dx x x P (吨)=14388(千牛).10. 一底为8cm 、高为6cm 的等腰三角形片, 铅直地沉没在水中, 顶在上, 底在下且与水面平行, 而顶离水面3cm , 试求它每面所受的压力.解 建立坐标系如图.腰AC 的方程为x y 32=, 压力元素为dx x x dx x x dP )3(34322)3(+=⋅⋅⋅+=,所求压力为168)2331(34)3(34602360=+=+=⎰x x dx x x P (克)=1.65(牛).11. 设有一长度为l 、线密度为μ的均匀细直棒, 在与棒的一端垂直距离为a 单位处有一质量为m 的质点M , 试求这细棒对质点M 的引力.解 建立坐标系如图. 在细直棒上取一小段dy , 引力元素为 dyya Gm y a dy m G dF 2222+=+⋅=μμ, dF 在x 轴方向和y 轴方向上的分力分别为 dF r a dF x -=, dF rydF y =.2202222022)(1)(la a l Gm dy y a y a aGm dy y a Gm r a F l lx +-=++-=+⋅-=⎰⎰μμμ, )11()(12202222022l a a Gm dy y a y a Gm dy y a Gm r y F l ly +-=++=+⋅=⎰⎰μμμ. 12. 设有一半径为R 、中心角为 ϕ 的圆弧形细棒, 其线密度为常数 μ . 在圆心处有一质量为m 的质点F . 试求这细棒对质点M 的引力.解 根据对称性, F y =0. θμcos 2⋅⋅⋅=Rdsm G dF xθθμθθμd RGm R Rd Gm cos cos )(2=⋅=, θθμϕϕd R Gm F x ⎰-=22cos 2sin 2cos 220ϕμθθμϕR Gm d R Gm ==⎰. 引力的大小为2sin 2ϕμR Gm , 方向自M 点起指向圆弧中点.总 习 题 六1. 一金属棒长3m , 离棒左端xm 处的线密度为11)(+=x x ρ (kg/m ). 问x 为何值时, [0, x ]一段的质量为全棒质量的一半? 解 x 应满足⎰⎰+=+300112111dt t dt t x . 因为212]12[1100-+=+=+⎰x t dt t x x , 1]12[2111213030=+=+⎰t dt t , 所以 1212=-+x ,45=x (m). 2. 求由曲线ρ=a sin θ, ρ=a (cos θ+sin θ)(a >0)所围图形公共部分的面积.解⎰++⋅=432222)sin (cos 21)2(21ππθθθπd a a S24322241)2sin 1(28a d a a -=++=⎰πθθπππ3. 设抛物线c bx ax y ++=2通过点(0, 0), 且当x ∈[0, 1]时, y ≥0. 试确定a 、b 、c 的值, 使得抛物线c bx ax y ++=2与直线x =1, y =0所围图形的面积为94, 且使该图形绕x 轴旋转而成的旋转体的体积最小. 解 因为抛物线c bx ax y ++=2通过点(0 0) 所以c =0 从而 bx ax y +=2抛物线bx ax y +=2与直线x =1, y =0所围图形的面积为23)(102ba dx bx ax S +=+=⎰ 令9423=+b a 得968ab -=该图形绕x 轴旋转而成的旋转体的体积为)235()(221022ab b a dx bx ax V ++=+=⎰ππ )]968(2)968(315[22a a a a -+-+=π令0)]128(181********[=-+-⋅+2=a a a d dV π 得35-=a 于是b =24. 求由曲线23x y =与直线x =4, x 轴所围图形绕y 轴旋转而成的旋转体的体积.解 所求旋转体的体积为πππ7512722240274023=⋅=⋅=⎰x dx x x V5. 求圆盘1)2(22≤+-y x 绕y 轴旋转而成的旋转体的体积. 解 )2(122312⎰--⋅⋅=dx x x V π22224cos )sin 2(4 sin 2ππππ=+=-⎰-tdt t t x 令 6. 抛物线221x y =被圆322=+y x 所需截下的有限部分的弧长.解 由⎪⎩⎪⎨⎧==+222213x y y x 解得抛物线与圆的两个交点为)1 ,2(- )1 ,2( 于是所求的弧长为2022202])1ln(2112[212x x x x dx x s ++++=+=⎰ )32ln(6++=7. 半径为r 的球沉入水中, 球的上部与水面相切, 球的比重与水相同, 现将球从水中取出, 需作多少功?解 建立坐标系如图 将球从水中取出时 球的各点上升的高度均为2r 在x 处取一厚度为dx 的薄片 在将球从水中取出的过程中 薄片在水下上升的高度为r +x 在水上上升的高度为r -x 在水下对薄片所做的功为零 在水上对薄片所做的功为dx x r x r g dW ))((22--=π对球所做的功为g r x d x r x r g W r r 22234))((ππ=--=⎰-8. 边长为a 和b 的矩形薄板, 与液面成α 角斜沉于液体内, 长边平行于液面而位于深h 处, 设a >b , 液体的比重为ρ, 试求薄板每面所受的压力.解 在水面上建立x 轴 使长边与x 轴在同一垂面上 长边的上端点与原点对应 长边在x 轴上的投影区间为[0 b cos ] 在x 处x 轴到薄板的距离为h +x tan 压力元素为dx x h ga dx a x h g dP )tan (cos cos )tan (ααρααρ+=⋅⋅+⋅= 薄板各面所受到的压力为)sin 2(21)tan (cos cos 0αρααραb h gab dx x h ga P b +=+=⎰ 9. 设星形线ta x 3cos = t a y 3sin =上每一点处的线密度的大小等于该点到原点距离的立方, 在原点O 处有一单位质点, 求星形线在第一象限的弧段对这质点的引力.解 取弧微分ds 为质点 则其质量为ds y x ds y x 322322)()(+=+ 其中tdt t a dt t a t a ds cos sin 3])sin [(])cos [(2323='+'=设所求的引力在x 轴、y 轴上的投影分别为F x 、F y 则有⎰+⋅++⋅⋅=202222322)()(1πds y x x y x y x G F x 2204253sin cos 3Ga tdt t Ga ==⎰π⎰+⋅++⋅⋅=202222322)()(1πds y x y y x y x G F x 2204253sin cos 3Ga tdt t Ga ==⎰π 所以)53 ,53(22Ga Ga =F(英文版)easily blame, to prevent the broken window effect. Supervise the leading cadres to play an exemplary role, take the lead in the strict implementation of the < code > and < rule >, lead to safeguard the solemnity and authority of the party discipline, ensure that the party discipline and the laws and regulations for implementation in place. Throughout the discipline in the daily supervision and management , strengthen supervision and inspection, from the thorough investigation of violations of discipline behavior. Strengthen to key areas, key departments and key projects as well as the masses reflect the concentration of the units and departments for supervision. - strengthening supervision, discipline inspection and supervision of cadres to set an example for compliance with the < code > and < rule > is a man must be hexyl, blacksmith needs its own hardware. Discipline inspection organs as the executor of the party discipline, and supervisor of the defenders, for its supervision must be more strictly, discipline inspection and supervision of cadres to firmly establish the awareness of Party Constitution, sense of discipline and rules consciousness, politics loyalty, sense obey. Action speak Ji Ordinance to set an example of the regulations of the rule of law, strengthen supervision and accept the supervision of the firmness and consciousness, do comply with < > and < >. To firmly establish the discipline must first be disciplined, the supervisor will be subject to thesupervision of "concept, and consciously safeguard and implement party compasses party, take the lead in practicing" three strict real strict, so loyal, clean, play. To be good at learning, the Constitution and the < code > as morality, politics and brought to fruition; to implement < >, do not want to, dare not, not with disciplinary ruler to supervision; to discipline a ruler, often the control inspection, and consciously in the ideological red line to draw the row Ming Good accumulation is indeed the bottom line, so that the heart has fear, said to have quit, the line has ended. Attached: indifferent to heart, calmly to the table in our life, there are many unpredictable things will happen, some good, some bad things, we cannot control is powerless to stop, but with time, you will find in life sometimes turns out to be not good, some bad things finally turned out to be a good thing, but then we muddy however did not know, this is the life teach us things. 1, life can be complex, can also be simple. Want simple life of precipitation, to have enough time to reflect, to make Become more perfect. Life is the most important thing is not to win, but the struggle; not to have conquered, but to have fought well. 2, the plain is the background of life. Live a plain life, give up on themselves is not a coward, but the wise answers; not disillusioned after the heart, such as ashes, but experience the storm after the enlightenment; not unrewarding perfunctorily, but calm attitude of life of unrestrained self-confidence. Plain living, there is no noise noisy, no earthly troubles, more did not fill in the discontent of desire,some just a calm, a calm. 3, memory of heart will not good things to erase the, life is a When no movie, pain is a beginning, the struggle is a kind of process, death is a kind of ending. Give up this giving up is the helpless, do not give up the abandoned, do not give up this giving up is ignorance, do not give up should not give up is persistent. 4, a thing figured is heaven, think impassability is hell. Since the living, to live better. Sometimes we because of too narrow-minded, too care around the chores and penny wise and pound foolish, not worth the candle. Some things to attract trouble and worry, completely depends on how we look at and deal with it. Don't always take everything back to things, and don't get into a blind alley, don't want to face, don't be narrow-minded. Poke to care, is a kind of open-minded, a free and easy. 5, I am not afraid of others behind me a knife, I afraid to look back and see stab me, is my intention to treat people; I am not afraid of the truth to tell the best friend, I'm afraid he turned to it as a joke to tell don't 6, when we are in a positive frame of mind, you will find many good things; and when we are in a negative state of mind, you will find many depressed things; life happy and worry, all is you of life attitude, optimistic, good luck; loss of sink, Eritrea company. When you are in adversity, may wish to change a point of view to think everything over to the good Think, because good mentality decided the fate of the! 7, people are tired, rest; heart tired, calm. Grow up, mature, this society read. Tired and sad, squat down, to their a hug. Because the world no one cansympathize with you, have mercy on you. Y ou cry, tears is your own; you pain, no one can understand. Then you only tears to smile. 8, each people have youth,Each youth are a story, the life of the world never gets easier, I want what, wish the world all know, as has been the same; now want anything, for fear that others know, or like to lose the same. 9, the heart move, everything in the world is followed by birth, Rangrang, important thing is often the most difficult to open one's mouth, because words will reduce its importance; to let strangers people care about your life in the good things, the original is not easy 10, do not blame, do not laugh at who, also don't envy who. Like a person is a kind of feeling, not like a person is true. The truth is easy to explain, I feel Is unspeakable. The best travel life is that you in a strange place found a long lost touched. 11, happy life not in the bustling in, and in the peace of mind; no matter how many grievances, how uncomfortable, and ultimately to heal themselves or their own, others may got you to comfort, but never know your heart is how wanjianchuanxin. 12, ma'am, like a movie, learn to appreciate, learn to be grateful, learn tolerance, and goodness, helping others. Instead of accusing the society, as into one; and an exception is better to give than to what 13, don't envy him A sum of, don't lose your life and the life, respectively is: the former is a we experienced cannot escape in a day finally will last minute, while the latter is our persistent, we want to cherish the memory of those people and things.14, learn to smile, learn to strong, the world you know so many people, so many people and you are, you cannot change also can't let everyone like you, so also do not want to do. Life is too short to go crazy to love to go to waste, to chase the dream to regret. 15, when temper, a blessing to go. A wounding elegant people, the key is to control their own emotions. With the mouth is the most stupid behavior. A control negative emotions than a can take a city more powerful water flow slow, language is expensive. People spent two years of time to learn to speak, but to spend a few years time to shut up. That is a kind of ability, that is a kind of wisdom. 16, life is not perfect, sometimes, growth is not a cry, not an eyeful of tears, there is no trace of emotion, there is no gleam of hope, no desire, no action, no static, there is only one kind of downward sinking feeling, sink A murky? 6? 7? 6? 7 sink? 6? 7? 6? 7 toward the bottom of the sink. 17, in some way, do not go, you will not know the other side scenery is beautiful. To you is not good, you do not mind too much, no one has an obligation to you; you learn knowledge, is you have weapons, you can start from scratch, but not unarmed; how do you treat people, does not represent how others treat you, if cannot see through this point, only inviting worry. 18, time is like a sponge in the water, as long as you are willing to squeeze, the total water is still there. Every life, after the ups and downs The best test of live, to life, survival and continuation, do not stop the struggle in the joys and sorrows of life on the road, so that different soul to bear life beat, acceptance ofsuffering. 19, indifferent to heart, calmly in table, elegant and comfortable life, do not take what is so important. The pursuit will be disappointed; to be alive, you will have trouble. Life is the most afraid of what all want to care about, but also what all grasp is not firm, without scenery, separated populations, such as not to desire, all docked in the fate of the end. Why is too rigid, the natural, to go stay not to live, let go of obsession, revel is 20, if the fate of the broken Hopes of sailing, please don't despair, the coast is still, if the fate of the withered petals of the beautiful, please do not sink, the spring is still, life will always be endless trouble, please don't helpless, because they are still alive, is still a dream, the sun still, we still. Lost, keep memories; to get, must work to; but the most important is good to cherish their own. 21, life, select the complex, is to choose the pain; choose a simple, is choose to be happy. The complex world like aSignificance of pride. Hope is the ornate palace, outside people admiring the magnificent, living in the deep knowledge of living it to pay the price. Simple world as a simple log cabin outside ridiculed shabby, the heart is willing to go live to know the joy. Suffering and joy is their own choice. 22, learn how to use a single powerful heart, let the past be the past, let the future come. Life is really the end of the end of an eagle is flying wings, life is constantly pursuit. Don't miss to regret, don't wait for old just miss. Time to return, seize every moment, again painstakingly again tired also Those struggling to fly. 23, life could not Yimapingchuan, even flatpavement, inevitably there will be a few pieces of roadblocks. Some of the rocks around the past, while others have to move it out. Just move others put the stone is very easy, because the stone from the appearance we can discern; difficult to myself to move away the heart of stone head. Leave time to spend with her, often reflect my heart, so as to remove your heart of stone. 24, everything does not have to be demanding, come to, everything does not have to care about, over the past; failing to do not frown, laugh it laugh. Results Don't demand, do to; life is a simple, calm and peaceful. Always not to choose their own path and regret, life is like a train, the scenery and then the United States will retreat, the passage of time and encounter will eventually drifting further and further away, before is always himself. 25, everyone has a weakness, weakness is true humanity. That has no weakness, a shallow person. That people think there is no weakness, mostly false. Life has shortcomings, there are shortcomings is the real life. That no one regret, or childish or numbness or Self deception. It is in tolerance of weakness and so on to accept, people live happily.Hello, everyone! I am a party member. The title of my speech is: < study and implement the party's two laws, doing practical play highway. 2015 October 18, the Central Committee of the Communist Party of China promulgated the implementation of the < the probity of the Communist Party of China self-discipline criterion > and < Chinese Communist Partydiscipline and punishment regulations. We Heyuan male passers-by to respond positively to the call of the Central Committee of the party, earnestly organize the study "party two regulations", truly grasp the essence and gist, and in their respective positions, to hold the bottom line of the discipline, build a strong ideological line of defense, with the courage to play, the courage to fight tough and fearless spirit, at the crucial moment well to complete the task, with practical action to test the study and implement effect Because of discipline in the * * * * * * * * * * * story. Here, let me to cast a brick to attract jade, speak about our highway. Highway line section of the road surface transformation project, last year "towards the country seized" will be seized one of the items. To complete this arduous task, as a project management office director Comrade, keep in mind from the Communist Party membership, recognize and identify the "bottom line", strict management, and strict adherence to the quality of the project. He not only set an example, honesty and self-discipline, but also requires the management of all the members of the O.K., do not eat the construction unit one meal, do not accept the construction unit a ceremony. In this way, they didn't really dare to adhere to the principle. No comrade, constantly put on reworking an emergency meeting to Comrade Zhen to speak louder, management tube too strict. Remember in Dongguan Street, 400 meters long cement concrete surface layer, because of various reasons, the smoothness of the poor in the bottom cavity, covering film traces andcar imprinting quality problems, * * * inquiries, immediately rushed to the scene to understand and verify the situation, the convening of the management office, the construction units, supervision units, construction units, construction units construction time is tight, the economic loss and other reasons to intercede ******** unmoved. He said, "now a popular word, to the discipline and rules quite in front, there are no rules Radius, you construction team not accordance with the technical specifications, quality problems, it must be to carry out rectification. Engineering quality responsibility be weightier than Mount Tai, if we manage to this matter Pavement quality quantity are placed the matter, we this time to learn two regulations have what use? Still what is the Communist Party? "Finally, in his insisted, the road after rework, to solve these problems. In the construction of the new comrades and the project all the colleagues efforts, after four months of fighting, the project the main project was finally completed and passed inspection. Thousands of miles of ice, thousands of miles Piao, this is a splendid and romantic scene. But snow for the highway, it is a disaster, a serious threat to the traffic safety. This year, a month, a century of cold wave swept from North to south, and the snow blowing to Guangdong, but also to bear the blow To * * * * the highway. In January on the evening of 23, Lianping county city temperatures dropped to minus 2 degrees, a wide range of sudden rain sleet, before and after the provincial S341 line in Jiulianshan Mountain tunnel sections of the road appeared in。
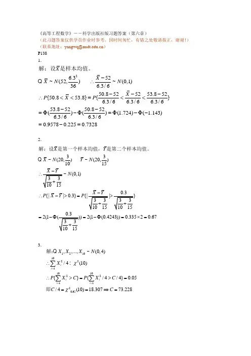
《高等工程数学》――科学出版社版习题答案(第六章)(此习题答案仅供学员作业时参考。
因时间匆忙,有错之处敬请指正,谢谢!) (联系地址:yangwq@ ) P138 1.26.352~(52,)~(0,1)366.3/650.8525253.852{50.853.8}{}6.3/66.3/66.3/653.85250.852()()(1.724)( 1.143)6.3/66.3/60.95780.2250.7328X X X N N X P X P -∴---∴<<=<<--=Φ-Φ=Φ-Φ-=-= 解:设是样本均值。
2.33~(20,)~(20,)1015~(0,1){||0.3}{||0.32(12(1(0.4243))0.33520.67X Y X N Y N N P X Y P ∴∴->=>=-Φ=-Φ=⨯= 解:设是第一个样本均值,是第二个样本均值。
3.1210102211010221120.95,,...,~(0,4)/4(10){}{/4/4}0.05/4(10)18.30773.228i i i i i i X X X N X P X C P X C C C χχ===∴∴>=>===⇒=∑∑∑ 解:即222~(,4/)~(0,4/)1{||}4/0.140(2){||}{||}{(||)}4/(4/)0.19||1(3)(||1)0.951.9616X N n X N n E X n n D X E X E X n n n X P X P n μμμμμμμ--=≤⇒≥-=---=-⨯≤⇒≥--≤=≤=⇒=⇒=因为 所以 ()5. 111222112211()11()1()1111()(()())111()Y Xi i nnni i i i i i nni i i i ni i Y X a bn Y X a X abbbY X a bS Y Y X a X a nn b bX X S b nb=======-∴=-=-∴=-=-=---=-=∑∑∑∑∑∑6.2222221()() ()() ()()1(1) ()() = ()()/ ()()11()()(2) ()() =()() ()()2121211(3) ()() =10 ()()10(1) ()E X E X D X D X E S D X nE X E X D X D X n E S D X nb a b a b a E X E X D X D X E SD X n nE X E X p D X D X p p E Snnλλλ========+--========- ()10(1)D X p p ==-7.22211222222112211[()](1)[()](1)1()()~(1)[()]{}2(1)nni ii i nni i ni i i i E X X n E X X n n X X X X n D X X D n σχσσσσ=====-=--=-----∴-==-∑∑∑∑∑112211(1),,2232(2),(2,1)3c d n c F d ====9. Easy 10.2222211111(1)~(,/), (1)/~(1)1~(0,(1))~(0,1) ~(1)~(1)(2)1113n ni i X N n n Sn X X N N nX Xt n T t n n X X X X X X nnnμσσχσ+=---+-∴-=---=-=-∑ 即见上()21122221122222222222221111()()()1101111()()()()11111()()(1)(1)nii nn i ii i ni n ni ii i ni n n E X X E X E X n nnnn n n n n D X X D X D Xn nnnn n n n nnnnn μμσσσσσ=======---=--=--=---=+--=+=+-=-∑∑∑∑∑∑∑11.~(0,1){||0.25}{||0.951.968N P X P n μσ∴-<=<≥⇒≥⇒≥11221() ()(1)(())(1)()(1)(1)nni i i i ni i E X np D X np p E X X n E S n p p =====--=-=--∑∑∑13.22222222112122221222221/1222~(0.1) ()~(1)1()()~()1()2()20()()(())()(/)12()2i i nn i ii i nx nni i ni i ny x nX X N X Xn x ex nf x x X F x P X x P x P x yenσμμχσσμχμχσσχμμσχχσ==--==----∴-∴=->⎧=Γ⎨⎩≤-=-≤=≤=≤=Γ∑∑∑∑的概率密度为:所以的分布函数为2211222/22()1(/)0()()2()200nii x n ndyXx ex n f x F x x σμσσ=--->⎧==Γ⎨⎩≤⎰∑的概率密度为14.210.95212121~(24,19) (24,19) 2.11( 2.11)0.05SF F SSP S=>= 因为又因为所以12022111112(1)()2ˆ()2ln ln()()202ˆniii xn nx x ni i i i nni ii i nii E X x xedx XL x ex el n x xl nxXλλλλλλλλλλλλλλλλλλ=∞---=======∴=∑==+-∂=-=∂=⎰∏∏∑∏∑的矩估计量是:似然函数()=对数似然函数()所以的极大似然估计量是:1(2)/2(2)/(2)/11211(2)()2ˆ21ln (2)/()(2)/0ˆ2ni i i x nx x ni nii nii E X xedx X L eel n xl nxX βββββββββββββββββββ=∞-------=====+∴=-∑==---∂-=+-=∂=-⎰∏∑∑的矩估计量是:似然函数()=对数似然函数()所以的极大似然估计量是:(1)()()(1)()(1)()(1)(3)()ˆ0.50.50.5,0.5000.50.5[0.5,0.5][0.5,0.5]i n n n n E X X x x x L x x x x L x x θθθθθθθθθθθθ=∴=-≤≤+-≤≤+⎧⎧=⎨⎨⎩⎩-≤≤+⎧=⎨⎩∈-+-+的矩估计量是:11似然函数()=其他其他1其他所以当时,似然函数()有最大值1所以区间内任一点都是的极大似然估计1112()1111111,,...,(,)ˆ()/(1)()(1)ln()()ln ()ln(1)()1()()nnii iiii i i in n nx m x x x m x x mmi i nnnx mi ii i i nni i i i X X X B m p E X m p p pX m L p C p p C pp l p C x p m x p l p x m x pp==--========∴=∑∑-=-=++--∂=--∂∏∏∑∑∏∑∑设是总体的样本的矩估计量是:似然函数()=对数似然函数()1ˆ0/1p pX m p==-所以的极大似然估计量是:17.22222222ˆˆˆˆˆˆ() ()0()()[()][()]ˆˆE D E D E E θθθθθθθθθθθθ=>∴=+>=≠ 证明:且即,故不是的无偏估计18.22111112111211111(2)()()[()]()()2()(1)22()(1)2i i i i i i i i i n i i i n i i i k k X X n E X X D X X E X X D X D X C E X X C n C C X X n σσσσ++++-+=-+==-=+=+=∴=-=-∑∑∑ n22i=1222()时,(-)是的无偏估计----故当时,-是的无偏估计19. 11231123212321233123212ˆ()()()()5554149ˆ()()()()()0.36()25252525111ˆ()()()()6321117ˆ()()()()()0.389()369418139ˆ()()()()71414ˆ(E E X E X E X D D X D X D X D X D X E E X E X E X D D X D X D X D X D X E E X E X E X D μμμμμμμμ=++==++===++==++===++=31231231198147)()()()()0.48()4919619698ˆˆˆˆD X D X D X D X D X μμμμμμ=++==所以,,都是的无偏估计,且更有效11122211(2)21(2)2111,,...,()()(1)(1)[(1)](1)()ln[(1)]ln ln(1)ln[(1)]2ln (2)ln(1)()i ni i ni i n nnx ii i i i nx ni i nx ni i nni ii i x x x L P Xx x x l x x n xl θθθθθθθθθθθ==-==-=-=====--∑=--∑=-++-=-++--∂∂∏∏∏∏∑∏设是样本观察值,则似然函数是=对数似然函数是:1(2)2012ˆnii xnXθθθθθ=-=-=-=∑所以的极大似然估计是21.2222222222ln (,)(){}ln (,)ln[(1)]ln ln ()ln(1)ln (,)ln (,)1(1)ln (,){}(1)(1)1(1)()ˆxx N xxN N f x p I p E pf x p C p p C x p N x p f x p x N x f x p x N x ppp ppp f x p N p N N p N E ppp p p p p p C R nI p nN p -∂=-∂=-=++--∂-∂-=+=--∂-∂-∂-=--=∂----=所以的下界是:的无偏估计是121/1(1)1ˆ()()()ˆ/nii p X N X N np p D pD X N nnNnI p pX N p ===-====∑其方差是所以是的最小方差无偏估计22. 自己按公式计算23.121221/21212()XuL nLααααμασ-----±<⇒>的置信度为的置信区间为()置信区间长度为:由其余题目自己按公式计算!!。
《高等工程数学》――科学出版社版习题答案: 第一章习题(P26) 1.略2.在R 4中,求向量a =[1,2,1,1]T ,在基a 1 = [1 , 1, 1, 1]T , a 2 = [1 , 1, -1,-1]Ta 3 = [1 , -1, 1, -1]T a 4 = [1 , -1,-1, 1]T 下的坐标。
解:其坐标为:x =( 5/4, 1/4, -1/4,-1/4 )T 3.在R 2×2中,求矩阵12A=03⎡⎤⎢⎥⎣⎦,在基 111B =11⎡⎤⎢⎥⎣⎦,211B =10⎡⎤⎢⎥⎣⎦,311B =00⎡⎤⎢⎥⎣⎦,410B =00⎡⎤⎢⎥⎣⎦下的坐标。
解:其坐标为:x =( 3, -3, 2,-1 )T4.试证:在R 2×2中,矩阵111B =11⎡⎤⎢⎥⎣⎦,211B =01⎡⎤⎢⎥⎣⎦,311B =10⎡⎤⎢⎥⎣⎦,410B =11⎡⎤⎢⎥⎣⎦线性无关。
证明:设 k 1B 1+ k 2B 2+ k 3B 3+ k 4B 4=0000⎡⎤⎢⎥⎣⎦,只要证明k 1= k 2 = k 3= k 4 =0即可。
余略。
5.已知R 4中的两组基:T T T T 1234=[1,0,0,0],=[0,1,0,0],=[0,0,1,0],=[0,0,0,1]αααα和T T T T 1234=[2,1,1,1],=[0,3,1,0],=[5,3,2,1],=[6,6,1,3]ββββ-求由基1234{,,,}αααααB =到基1234{,,,}βββββB =的过渡矩阵,并求向量1234[,,,]x x x x ξ=在基1234{,,,}βββββB =的坐标。
解:基1234{,,,}αααααB =到基1234{,,,}βββββB =的过渡矩阵是:2056133611211013⎡⎤⎢⎥⎢⎥⎢⎥⎢⎥⎣⎦- 向量1234[,,,]x x x x ξ=在基1234{,,,}βββββB =的坐标是:11234205612927331336112923x 112190018101373926x x x x ⎡⎤⎡⎤⎡⎤⎢⎥⎢⎥⎢⎥⎢⎥⎢⎥⎢⎥⎢⎥⎢⎥⎢⎥⎢⎥⎢⎥⎢⎥⎣⎦⎣⎦⎣⎦-----1=--27--6.设R[x]n 是所有次数小于n 的实系数多项式组成的线性空间,求多项式p(x) = 1+ 2x n -1在基{1,(x -1),(x -1)2,(x -1)3,….,(x -1)n -1}的坐标。
高数第六章总习题答案(总14页)--本页仅作为文档封面,使用时请直接删除即可----内页可以根据需求调整合适字体及大小--复习题A一 、判断正误:1、 若c b b a ⋅=⋅且≠0b ,则c a =; ( ⨯ ) 解析 c b b a ⋅-⋅=)(c a b -⋅=0时,不能判定=b 0或c a =.例如i a =,j b =,k c =,有⋅=⋅=0a b b c ,但c a ≠.2、 若c b b a ⨯=⨯且≠0b ,则c a =; ( ⨯ ) 解析 此结论不一定成立.例如i a =,j b =,)(j i c +-=,则k j i b a =⨯=⨯,k j i j c b =+-⨯=⨯)]([,c b b a ⨯=⨯,但c a ≠.3 、若0=⋅c a ,则=0a 或=0c ; ( ⨯ ) 解析 两个相互垂直的非零向量点积也为零.4、 a b b a ⨯-=⨯. ( √ ) 解析 这是叉积运算规律中的反交换律.二、选择题:1 、 当a 与b 满足( D )时,有b a b a +=+;(A)⊥a b ; (B)λ=a b (λ为常数); (C)a ∥b ; (D)⋅=a b a b . 解析 只有当a 与b 方向相同时,才有a +b =a +b .(A)中a ,b 夹角不为0,(B),(C)中a ,b 方向可以相同,也可以相反.2、下列平面方程中,方程( C )过y 轴;(A) 1=++z y x ; (B) 0=++z y x ; (C) 0=+z x ; (D) 1=+z x . 解析 平面方程0=+++D Cz By Ax 若过y 轴,则0==D B ,故选C .3 、在空间直角坐标系中,方程2221y x z --=所表示的曲面是( B ); (A) 椭球面; (B) 椭圆抛物面; (C) 椭圆柱面; (D) 单叶双曲面. 解析 对于曲面2221y x z --=,垂直于z 轴的平面截曲面是椭圆,垂直于x 轴或y 轴的平面截曲面是开口向下的抛物线,根据曲面的截痕法,可以判断曲面是椭圆抛物面.4、空间曲线⎩⎨⎧=-+=5,222z y x z 在xOy 面上的投影方程为( C );(A)722=+y x ; (B)⎩⎨⎧==+5722z y x ; (C) ⎩⎨⎧==+0722z y x ;(D)⎩⎨⎧=-+=0222z y x z 解析 曲线⎩⎨⎧==+5722z y x 与xOy 平面平行,在xOy 面上的投影方程为⎩⎨⎧==+0722z y x . 5 、直线11121-+==-z y x 与平面1=+-z y x 的位置关系是( B ). (A) 垂直; (B) 平行; (C) 夹角为π4; (D) 夹角为π4-. 解析 直线的方向向量s ={2,1,-1},平面的法向量n ={1,-1,1},n s ⋅=2-1-1=0,所以,s ⊥n ,直线与平面平行.三、填空题:1、若2=b a ,π()2=a,b ,则=⨯b a 2 ,=⋅b a 0 ; 解 =⨯b a b a sin()a,b π22=2,=⋅b a b a cos()a,b =π22=0.2、与平面062=-+-z y x 垂直的单位向量为 }2,1,1{66-±; 解 平面的法向量 n ={1,-1,2}与平面垂直,其单位向量为0n =411++=6,所以,与平面垂直的单位向量为}2,1,1{66-±.3、过点)2,1,3(--和)5,0,3(且平行于x 轴的平面方程为 057=-+z y ; 解 已知平面平行于x 轴,则平面方程可设为 0=++D Cz By ,将点 (-3,1,-2)和(3,0,5)代入方程,有{20,50,B C D C D -+=+= ⇒ 7,51,5B D C D ⎧=-⎪⎨⎪=-⎩得05157=+--D Dz Dy ,即 057=-+z y .4、过原点且垂直于平面022=+-z y 的直线为z yx -==20; 解 直线与平面垂直,则与平面的法向量 n ={0,2,-1}平行,取直线方向向量s =n ={0,2,-1},由于直线过原点,所以直线方程为z yx -==20 .5、曲线⎩⎨⎧=+=1,222z y x z 在xOy 平面上的投影曲线方程为 ⎩⎨⎧==+.0,1222z y x解: 投影柱面为 1222=+y x ,故 ⎩⎨⎧==+0,1222z y x 为空间曲线在xOy 平面上的投影曲线方程.四、解答题:1、 已知}1,2,1{-=a ,}2,1,1{=b ,计算(a) b a ⨯; (b) ()()-⋅+2a b a b ; (c)2b a -;解: (a) b a ⨯=211121-kji1,3}5,{--=.(b) {2,4,2}{1,1,2}{1,5,0}2a b -=--=-,1,3}{2,{1,1,2}2,1}{1,-=+-=+b a , 所以()()-⋅+2a b a b 7}3,1,2{}0,5,1{=-⋅-=.(c) 1}3,{0,{1,1,2}2,1}{1,--=--=-b a ,所以2b a -10)19(2=+=.2、已知向量21P P 的始点为)5,2,2(1-P,终点为)7,4,1(2-P ,试求:(1)向量21P P 的坐标表示; (2)向量21P P 的模;(3)向量21P P 的方向余弦; (4)与向量21P P 方向一致的单位向量.解: (1) }2,6,3{}57),2(4,21{21-=-----=P P ;74926)3(222==++-=;(3) 21P P 在z y x ,,三个坐标轴上的方向余弦分别为362cos ,cos ,cos 777αβγ=-==;(4)k j i k j i7276737263)(21++-=++-==P P .3、设向量{}1,1,1=-a ,{}1,1,1=-b ,求与a 和b 都垂直的单位向量.解: 令{}1110,2,2111=⨯=-=-i j kc a b,01⎧==⎨⎩c c c ,故与a 、b都垂直的单位向量为0⎧±=±⎨⎩c .4、向量d 垂直于向量]1,3,2[-=a 和]3,2,1[-=b ,且与]1,1,2[-=c的数量积为6-,求向量d解: d 垂直于a 与b,故d 平行于b a ⨯,存在数λ使()b a d⨯=λ⨯-=]1,3,2[λ]3,2,1[-]7,7,7[λλλ--=因6-=⋅c d ,故6)7(1)7()1(72-=-⨯+-⨯-+⨯λλλ, 73-=λ]3,3,3[-=∴d.5、求满足下列条件的平面方程:(1)过三点)2,1,0(1P ,)1,2,1(2P 和)4,0,3(3P ;(2)过x 轴且与平面025=++z y x 的夹角为π3.解 (1)解1: 用三点式.所求平面的方程为0241003211201210=---------z y x ,即01345=+--z y x .解2:}1,1,1{-=}2,1,3{-=,由题设知,所求平面的法向量为k j i kj in 452131113121--=--=⨯=P P P P ,又因为平面过点)2,1,0(1P ,所以所求平面方程为0)2(4)1(5)0(=-----z y x ,即01345=+--z y x .解3: 用下面的方法求出所求平面的法向量},,{C B A =n ,再根据点法式公式写出平面方程也可.因为3121,P P P P ⊥⊥n n ,所以{0,320,A B C A B C +-=-+=解得A C A B 4,5-=-=,于是所求平面方程为0)2(4)1(5)0(=-----z A y A x A ,即 01345=+--z y x .(2)因所求平面过x 轴,故该平面的法向量},,{C B A =n 垂直于x 轴,n 在x 轴上的投影0=A ,又平面过原点,所以可设它的方程为0=+Cz By ,由题设可知0≠B (因为0=B 时,所求平面方程为0=Cz 又0≠C ,即0=z .这样它与已知平面025=++z y x 所夹锐角的余弦为π1cos 32=≠=,所以0≠B ),令C B C '=,则有0='+z C y ,由题设得22222212)5(10121503cos ++'++⨯'+⨯+⨯=πC C , 解得3='C 或13C '=-,于是所求平面方程为03=+z y 或03=-z y .6、 一平面过直线⎩⎨⎧=+-=++04,05z x z y x 且与平面01284=+--z y x 垂直,求该平面方程;解法1: 直线⎩⎨⎧=+-=++04,05z x z y x 在平面上,令x =0,得 54-=y ,z =4,则(0,-54,4)为平面上的点.设所求平面的法向量为n =},,{C B A ,相交得到直线的两平面方程的法向量分别为 1n ={1,5,1},2n ={1,0,-1},则直线的方向向量s =1n ⨯2n =101151-kji ={-5,2,-5},由于所求平面经过直线,故平面的法向量与直线的方向向量垂直,即⋅n s ={-5,2,-5}•},,{C B A =C B A 525-+-=0, 因为所求平面与平面01284=+--z y x 垂直,则}8,4,1{},,{--⋅C B A =C B A 84--=0,解方程组{5250,480,A B C A B C -+=--= ⇒ 2,5,2A CBC =-⎧⎪⎨=-⎪⎩ 所求平面方程为 0)4()54(25)0(2=-++---z C y C x C ,即012254=+-+z y x .解法2: 用平面束(略)7、求既与两平面1:43x z π-=和2:251x y z π--=的交线平行,又过点(3,2,5)-的直线方程.解法1:{}11,0,4=-n ,{}22,1,5=--n ,{}124,3,1s =⨯=---n n ,从而根据点向式方程,所求直线方程为325431x y z +--==---,即325431x y z +--==.解法2:设{},,s m n p =,因为1⊥s n ,所以40m p -=;又2⊥s n ,则250m n p --=,可解4,3m p n p ==,从而0p ≠.根据点向式方程,所求直线方程为32543x y z p p p +--==,即325431x y z +--==. 解法3:设平面3π过点(3,2,5)-,且平行于平面1π,则{}311,0,4==-n n 为3π的法向量,从而3π的方程为1(3)0(2)4(5)0x y z ⋅++⋅--⋅-=,即4230x z -+=.同理,过已知点且平行于平面2π的平面4π的方程为25330x y z --+=.故所求直线的方程为423025330x z x y z -+=⎧⎨--+=⎩.8、 一直线通过点)1,2,1(A ,且垂直于直线11231:+==-z y x L ,又和直线z y x ==相交,求该直线方程;解: 设所求直线的方向向量为{,,}m n p =s ,因垂直于L ,所以320m n p ++=;又因为直线过点)1,2,1(A ,则所求直线方程为p z n y m x 121-=-=-,联立121,①,②320,③x y z m n p x y z m n p ---⎧==⎪⎨==⎪++=⎩由①,令λ=-=-=-p z n y m x 121,则有⎪⎩⎪⎨⎧+=+=+=,1,2,1p z n y m x λλλ代入方程②有{12,11,m n m p λλλλ+=++=+ 可得p m =,代入③解得p n 2-=, 因此,所求直线方程为112211-=--=-z y x .9、 指出下列方程表示的图形名称:(a) 14222=++z y x ;(b) z y x 222=+;(c) 22y x z +=;(d) 022=-y x ;(e) 122=-y x ; (f) ⎩⎨⎧=+=222z y x z .解: (a) 绕y 轴旋转的旋转椭球面.(b) 绕z 轴旋转的旋转抛物面. (c) 绕z 轴旋转的锥面.(d) 母线平行于z 轴的两垂直平面:y x =,y x -=. (e) 母线平行于z 轴的双曲柱面.(f) 旋转抛物面被平行于XOY 面的平面所截得到的圆,半径为2,圆心在(0,0,2)处.10、求曲面22z x y =+与222()z x y =-+所围立体在xOy 平面上的投影并作其图形.解: 将所给曲面方程联立消去z ,就得到两曲面交线C 的投影柱面的方程122=+y x ,所以柱面与xOy 平面的交线⎩⎨⎧==+'01:22z y x C 所围成的区域221+≤x y 即为曲面22z x y =+与222()z x y =-+所围立体在xOy 平面上的投影(图略).复习题B1、设4=a ,3=b ,()6π=a,b ,求以2+a b 和3-a b 为邻边的平行四边形的面积.解:(2)(3)326A =+⨯-=⨯-⨯+⨯-⨯a b a b a a a b b a b b325=-⨯-⨯=-⨯a b a b a b 15sin()543302=⋅=⨯⨯⨯=a b a,b .2、设(3)(75)+⊥-a b a b ,(4)(72)-⊥-a b a b ,求()a,b . 解: 由已知可得:(3)(75)0+⋅-=a b a b ,(4)(72)0-⋅-=a b a b 即 22715160-+⋅=a b a b ,2278300+-⋅=a b a b .这可看成是含三个变量a 、b 及⋅a b 的方程组,可将a 、b 都用⋅a b 表示,即==a b 1cos()22⋅⋅===⋅a b a b a,b a b a b ,()3π=a,b .3、求与}3,2,1{-=a 共线,且28=⋅b a 的向量b .解 由于b 与a 共线,所以可设}3,2,{λλλλ-==a b ,由28=⋅b a ,得28}3,2,{}3,2,1{=-⋅-λλλ,即2894=++λλλ,所以2=λ,从而}6,4,2{-=b .4、 已知}0,1,1{},2,0,1{=-=b a ,求c ,使b c a c ⊥⊥,且6=c . 解法1: 待定系数法.设},,{z y x =c ,则由题设知0,0=⋅=⋅b c a c 及6=c ,所以有①20②③6x z ⎧-=⎪⎨⎪=⎩由①得2xz =④,由②得x y -= ⑤,将④和⑤代入③得62)(222=⎪⎭⎫⎝⎛+-+x x x ,解得2,4,4±==±=z y x ,于是 }2,4,4{-=c 或}2,4,4{--=c .解法2: 利用向量的垂直平行条件,因为b c a c ⊥⊥,,所以c ∥b a ⨯.设λ是不为零的常数,则k j i k j i b a c λλλλλ+-=-=⨯=22011201)(,因为6=c ,所以6]1)2(2[2222=+-+λ,解得2±=λ,所以}2,4,4{-=c 或{4,4,2}=--c .解法3: 先求出与向量b a ⨯方向一致的单位向量,然后乘以6±.k j i kji b a +-=-=⨯22011201,31)2(2222=+-+=⨯b a ,故与b a ⨯方向一致的单位向量为}1,2,2{31-.于是}1,2,2{36-±=c ,即}2,4,4{-=c 或}2,4,4{--=c .5、求曲线2220x y R x y z ⎧+=⎨++=⎩的参数式方程.解: 曲线参数式方程是把曲线上任一点(,,)P x y z 的坐标,,x y z 都用同一变量即参数表示出来,故可令cos ,sin x R t y R t ==,则(cos sin )z R t t =-+.6、求曲线22:2z L x y x ⎧⎪=⎨+=⎪⎩xOy 面上及在zOx 面上的投影曲线的方程.解: 求L 在xOy 面上的投影的方程,即由L 的两个方程将z 消去,即得L 关于xOy 面的投影柱面的方程222x y x +=则L 在xOy 面上的投影曲线的方程为2220x y x z ⎧+=⎨=⎩.同理求L 在zOx 面上的投影的方程,即由L 的两个方程消去y ,得L 关于zOx 面的投影柱面的方程z =L 在zOx面上的投影曲线方程为0z y ⎧=⎪⎨=⎪⎩.7、已知平面π过点0(1,0,1)M -和直线1211:201x y z L ---==,求平面π的方程.解法1: 设平面π的法向量为n ,直线1L 的方向向量1(2,0,1)=s ,由题意可知1⊥n s ,(2,1,1)M 是直线1L 上的一点,则0(1,1,2)M M =在π上,所以0MM ⊥n ,故可取10MM =⨯n s (1,3,2)=--.则所求平面的点法式方程为1(1)3(0)2(1)0x y z ⋅-+⋅--⋅+=,即3230x y z +--=为所求平面方程.解法2: 设平面π的一般方程为0Ax By Cz D +++=,由题意可知,π过点0(1,0,1)M -,故有0A C D -+=, (1)在直线1L 上任取两点12(2,1,1),(4,1,2)M M ,将其代入平面方程,得20A B C D +++=, (2)420A B C D +++=, (3)由式(1)、(2)、(3)解得3,2,3B A C A D A ==-=-,故平面π的方程为3230x y z +--=.解法3: 设(),,M x y z 为π上任一点.由题意知向量0M M 、01M M 和1s 共面,其中()12,1,1M 为直线1L 上的点,1(2,0,1)=s 为直线1L 的方向向量.因此0011()0M M M M ⨯⋅=s ,故平面π的方程为1012110110201x y z --+--+=,即3230x y z +--=为所求平面方程.8、求一过原点的平面π,使它与平面0:π4830x y z -+-=成4π角,且垂直于平面1:π730x z ++=.解: 由题意可设π的方程为0Ax By Cz ++=,其法向量为(,,)A B C =n ,平面0π的法向量为0(1,4,8)=-n ,平面1π的法向量为1(7,0,1)=n ,由题意得00||cos4||||π⋅=⋅n n n n ,即=(1) 由10⋅=n n ,得70A C +=,将7C A =-代入(12=,解得20,B A =或10049B A =-,则所求平面π的方程为2070x y z +-= 或 491003430x y z --=.9、求过直线1L :0230x y z x y z ++=⎧⎨-+=⎩且平行于直线2L :23x y z ==的平面π的方程.解法1: 直线1L 的方向向量为1=s 111(4,1,3)213==---i j k,直线2L 的对称式方程为632xy z==,方向向量为2(6,3,2)=s ,依题意所求平面π的法向量1⊥n s 且2⊥n s ,故可取12=⨯n s s ,则413(7,26,18)632=--=-i j kn ,又因为1L 过原点,且1L 在平面π上,从而π也过原点,故所求平面π的方程为726180x y z -+=.解法2: 设所求平面π为 (23)0x y z x y z λ+++-+=,即(12)(1)(13)0x y z λλλ++-++=,其法向量为(12,1,13)λλλ=+-+n ,由题意知2⊥n s ,故26(12)3(1)2(13)0λλλ⋅=++-++=n s ,得1115λ=-,则所求平面π的方程为726180x y z -+=.另外,容易验证230x y z -+=不是所求的平面方程.10、求过直线L :⎩⎨⎧=+-+=+-+0185017228z y x z y x 且与球面1222=++z y x 相切的平面方程解: 设所求平面为 ()018517228=+-+++-+z y x z y x λ,即 (15)(288)(2)170x y z λλλλ+++-+++=,由题意:球心)0,0,0(到它的距离为1,即1)2()828()51(17222=--+++++λλλλ解得:89250-=λ 或 2-=λ 所求平面为:42124164387=--z y x 或 543=-y x11、求直线L :11111--==-z y x 在平面π:012=-+-z y x 上投影直线0L 的方程,并求直线0L 绕y 轴旋转一周而成的曲面方程.解: 将直线L :11111--==-z y x 化为一般方程 ⎩⎨⎧=-+=--0101y z y x ,设过直线L 且与平面π垂直的平面方程为()011=-++--y z y x λ,则有02)1(1=+--λλ,即2λ=-,平面方程为0123=+--z y x ,这样直线0L 的方程⎩⎨⎧=-+-=+--0120123z y x z y x 把此方程化为:⎩⎨⎧--==)1(221y z yx ,因此直线0L 绕y 轴旋转一周而成的曲面方程为:22221(2)(1)2x z y y ⎛⎫+=+-- ⎪⎝⎭即 0124174222=-++-y z y x .12、求过点)1,0,3(-A 且平行于平面1π:3450x y z --+=,又与直线1:2x L =1111y z -+=-相交的直线L 的方程.解法1: 用点向式方程.因为直线L 平行于平面1π,故直线L 的方向向量},,{p n m =s 垂直于平面1π的法向量}1,4,3{--=n ,从而得043=--p n m ①,又直线1L 的方向向量为}1,1,2{-=s ,)1,1,0(-B 是直线1L 上一点,)1,0,3(-A 是直线L 上一点,根据题设:直线L 与直线1L 相交,所以1s,s 及共面,因此1()2110312m n pAB ⨯⋅=-=-s s ,即0=-+-p n m ②,将①和②联立解得p n p m 4,5-=-=,由此得145p n m =-=-,于是所求直线方程为11453-=-=-+z y x . 解法2: 用一般式,即先求出过L 的两个平面,将其方程联立便得L 的方程.直线L 在过点A 且平行于平面1π的平面2π上,平面2π的方程为0)1()0(4)3(3=----+z y x ,即01043=+--z y x ,直线L 又在过点A 及直线1L 的平面3π上,平面3π的法向量可取为1211312AB ⨯=-=-+--i j ks i j k ,故平面3π的方程为0)1()0()3(=---++-z y x ,即 02=++-z y x ,于是所求直线方程为{34100,20.x y z x y z --+=-++=13、求直线1l :⎩⎨⎧=+=-+321z x z y x 与直线2l :1-==z y x 的公垂线的方程解: 2L 的方向向量]1,1,1[2=l 而1L 的方向向量k j i k j i l231021111--=-=于是公垂线l 的方向向量k j i kj i l l l4311123121+--=--=⨯=,过1l 与l 的平面π的法向量k j i kj il l n62184312311---=----=⨯=.也可取法向量]3,1,9[=n,以1=z 代入1L 方程,可得1l 上的点]1,1,1(1M ,于是平面π方程0)1(3)1()1(9=-+-+-z y x ,即01339=-++z y x再求2L 与π的交点P ,2L 的参数方程为t x =,t y =,t z +=1,代入上述平面方程,得: 013)1(39=-+++t t t ,1310=t ,再代回2l 的参数方程得1310=x ,1310=y ,1323=z ,于是P()132313101310,,,兼顾公垂线l 的方向向量]4,3,1[--=l ,于是可产生公垂线l 的方程为431132313101310-=--=--z y x .14、求点)1,`1,2(0-M 到直线l :⎩⎨⎧=+-+=-+-032012z y x z y x 的距离d .解法1:直线l 的方向向量为121[0,2,4]121=-=-i j ks ,在l 上任取一点)2,0,1(-M ,则0(3,1,1)M M −−→=-,0M M −−→⨯s 311(2,12,6)024=-=-i j k,故0⨯=M M s,又=sd 0⨯==M M ss解法2:将直线l 的方程由一般式化为标准式得42201-==+z y x ,故过点0M 与直线l 垂直的平面π的方程为0)1(4)1(2=-++z y , 即 012=-+z y ,直线l 的参数式方程为:1-=x ,t y =,22+=t z ,将上式代入平面π的方程,得:01)22(2=-++t t ,解得:53-=t ,所以直线l 的交点为()5453,,1--N 2,于是点0M 到直线l 的距离为0d M N −−→===.15.求两直线1l :⎩⎨⎧=--+=--+02201z y x z y x 与2l :⎩⎨⎧=+++=--+0422022z y x z y x 之间的最短距离解法1:过1l 作平面20//l π,过1l 的平面方程为0)22(1=---+--+z y x z y x λ,即0)21()1()1()21(=--+--++++λλλλz y x ,要此平面平行于2l ,则此法向量0n 须垂直于2s ,即020⋅=n s ,而2(6,3,0)=-s ,则0)1(3)21(6=+-+λλ,解得:31-=λ,从而平面0π的方程为0122=--+z y x ,容易得到直线2l 上一点)2,0,0(2-M ,点2M 到平面0π的距离为1h ==即为1l 与2l 之间的距离.解法2:容易得到直线1l 上的一点)0,0,1(1M ,直线2l 上的一点)2,0,0(2-M ,于是12(1,0,2)M M −−→=--,可求得直线1l 与直线2l 的方向向量分别为1(0,1,1)=--s ,2(6,3,0)=-s ,两直线公垂线的方向向量为(1,2,2)=-s ,直线1l 与2l 之间的距离为h 1212Pr 1−−→−−→⋅===s M M sj M M s.。
第六章 定积分应用 测验题
1、设平面图形A 由22
2x y x +≤与y x ≥所确定,
求图形A 绕直线x =2旋转一周所得旋转体的体积。
2、一个高为l 的柱形贮油罐,底面是长轴2a 、短轴为2b 的椭圆。
现将贮油罐平放,当油罐中油面高度为32
b 时, 计算油的质量(长度单位为m ,质量单位为kg ,油的密度为为常量ρ,单位为kg/m3)。
3、已知星形线33cos (0)sin x a t a y a t
⎧=⎪>⎨=⎪⎩, 求(1)它所围成的面积;(238
a π) (2)它的弧长;(6a ) (3)它绕x 轴旋转而成的旋转体的体积及表面积。
(332105a π)
4、边长为a 和b 的矩形薄板,与液面成α角斜沉于液体内,长边平行于液面而位于深h 处, 设a >b ,液体的密度为ρ,试求薄板每面所受的压力。
答案:1(2sin )2
gab h b ρα+
5、设有一长度为l 、线密度为μ的均匀细直棒,在棒的一端垂直距离为a 单位处 有一质量为m 的质点M ,试求这细棒对质点M 的引力。
答案:取y 轴通过细直棒,
1(y x F Gm F a μ==
6、以每秒a 的流量往半径为R 的半球形水池内注水。
(1)求在池中水深h (0<h <R )时水面上升的速度; (2)若再将满池水全部抽出,至少需做功多少? ( ; )
2(2)dh a dt Rh h π=-44R π。
《高等工程数学》――科学出版社版习题答案: 第一章习题(P26) 1.略2.在R 4中,求向量a =[1,2,1,1]T ,在基a 1 = [1 , 1, 1, 1]T , a 2 = [1 , 1, -1,-1]T a 3 = [1 , -1, 1, -1]T a 4 = [1 , -1,-1, 1]T 下的坐标。
解:其坐标为:x =( 5/4, 1/4, -1/4,-1/4 )T 3.在R2×2中,求矩阵12A=03⎡⎤⎢⎥⎣⎦,在基 111B =11⎡⎤⎢⎥⎣⎦,211B =10⎡⎤⎢⎥⎣⎦,311B =00⎡⎤⎢⎥⎣⎦,410B =00⎡⎤⎢⎥⎣⎦下的坐标。
解:其坐标为:x =( 3, -3, 2,-1 )T 4.试证:在R 2×2中,矩阵111B =11⎡⎤⎢⎥⎣⎦,211B =01⎡⎤⎢⎥⎣⎦,311B =10⎡⎤⎢⎥⎣⎦,410B =11⎡⎤⎢⎥⎣⎦线性无关。
证明:设 k 1B 1+ k 2B 2+ k 3B 3+ k 4B 4=0000⎡⎤⎢⎥⎣⎦,只要证明k 1= k 2 = k 3= k 4 =0即可。
余略。
5.已知R 4中的两组基:和T T T T 1234=[2,1,1,1],=[0,3,1,0],=[5,3,2,1],=[6,6,1,3]ββββ-求由基1234{,,,}αααααB =到基1234{,,,}βββββB =的过渡矩阵,并求向量1234[,,,]x x x x ξ=在基1234{,,,}βββββB =的坐标。
解:基1234{,,,}αααααB =到基1234{,,,}βββββB =的过渡矩阵是:2056133611211013⎡⎤⎢⎥⎢⎥⎢⎥⎢⎥⎣⎦- 向量1234[,,,]x x x x ξ=在基1234{,,,}βββββB =的坐标是:6.设R[x]n 是所有次数小于n 的实系数多项式组成的线性空间,求多项式p(x) = 1+ 2x n -1在基{1,(x -1),(x -1)2,(x -1)3,….,(x -1)n -1}的坐标。
高数答案(全集)第六章参考答案第六章常微分方程1. (1) b,c,d (2) a,c (3) b,d2. (1) 二阶,线性 (2) 一阶,非线性 (3) 一阶,非线性 (4) 一阶,非线性3. (1)-(3)均为微分方程0222=+y dxy d ω的解,其中(2) (3)为通解 4. (1)将变量分离,得dx ydy cos 2= 两边积分得 c x y +=-sin 1通解为,sin 1c x y +-=此外,还有解0=y(2)分离变量,得dx x x y y d xx dx dy y y )111(1)1(2112222+-=+++=+或两边积分,得cx x y ln )1ln(ln )1ln(212++-=+即(1+ 2y )(1+ x)2=c 1 2x(3)将变量分离,得1122=-+-yydy xxdx积分得通解21x -+)20(12还有使因子21x -?012=-y 的四个解.x=(±)11 y -, y=(±)11 x - (4)将方程改写为(1+y 2)ex2dx-[]0)1( )e y +(1y=+-dy yex2dx=dy y y ??++-2y11 (e 积分得--=y e e y x arctan 212)1ln(212y +-21(5)令 z=x+y+1,z dx dz sin 1+=分解变量得到dx zdz=+sin 1………………(*) 为了便于积分,用1-sinz 乘上式左端的分子和分母,得到dz z z z se dz zzdz z z )tan sec (cos sin 1sin 1sin 1222-=-=-- 将(*)两端积分得到tanz-secz=x+c22z-∏)=x+c,将z 换为原变量,得到原方程的通解 X+c=-tan(214++-∏y x )6.令y=ux,则dy=udx+xdu 代入原方程得x 2( u 2-3)(udx+xdu)+2 x 2udx=0分离变量得du x dx 1)-u(u u 22-=,即得y 3=c(2y -2x ) 7. 令xy u =,则原方程化为dx x udu 1=,解得c x u ==ln 212,即,ln 2222cx x x y +=由定解条件得4=c ,故所求特解为,ln 4222x x x y +=8. 将方程化为x y xyy +-='2)(1,令x yu =,得,u u x y +'=代入得dx x du u 1112=- 得c x u ln ln arcsin +=,cx xyln arcsin= 9.化为x e x y dx dy x =+,解得)(1xe c xy +=,代入e y =)1(得0=c 特解x e y x = 10.由公式得1)()(-+=-x ce y x ??11.化为x y x y dx dy ln 2=+为贝努里方程令xyu =,则原方程化为dx dy y dx du 2--= 代入方程的x u x dx du ln 1-=-用公式求得])(ln 21[2x c x u -=解得12])(ln 21[1--=x c x y 另为,0=y 也是原方程的解 12.为贝努里方程令x yu =,则原方程化为322x xu dx du -=+用公式求得122+-=-x ce u x解得1122+-=-x cey x13.23x y yx dx dy =-将上式看成以y 为自变量的贝努里方程令x z 1=有3y yz dxdy-=- 22212+-=-y ce z y ,得通解1)2(2212=+--y cex y14.令x y N x y M +-=-=4,32有xNy M ??==??1,这是全微分方程0=duxy x y dy x y dx x y u y x +--=---=?32),()0,0(22)4()3(,即方程得通解为c y x xy =--232 15.化为0122=+-+xdx yx xdy ydx ,得通解为c x xy xy =+-+211ln 16.该方程有积分因子221y x +,)(arctan ))ln(21(2222x y d y x d y x ydx xdy xdy ydx ++=+-++ 17.1c e xe dx e xe e xd dx xe y xx x xx x+-=-==='?21211)2()(c x c x e c e xe x c e dx c e xe y x x x x x x ++-=+-++-=+-=?18.xx x dx x x y x1ln 32ln 12--=+=''? 2ln ln 213)1ln 3(21---=--='?x x x dx x x x y x 21ln 2223)2ln ln 213(2212+--=---=?x x x x dx x x x y x19.令y z '=,则xz z =-',xx x dxdx e c x c e x e c dx xe e z 111)1(])1([][++-=++-=+??=--?即x e c x y 1)1(++-='得2121c e c x y x ++--=20.令p y =',则dy dp p dx dy dy dp dx dp y =?==''所以0)(2323=+-=+-p p dy dp y p p p dy dp p y 则得p=0或02=+-p p dy dp y,前者对应解,后者对应方程y dy p p dp =-)1(积分得y c pp11=-即y c y c p dx dy 111+==两边积分得21||ln c x y c y '+='+,因此原方程的解是21||ln c x y c y '+='+及y=c 。
高等数学b2第六章教材答案高等数学B2 第六章教材答案第一节:函数极值和最值1. 函数的极值和最值是函数在定义域内的特殊点,它们在数学和实际问题中具有重要的应用价值。
下面是第六章教材中相关习题的答案:习题1:a) 求函数$f(x) = 3x^2 - 6x + 2$在区间[-1, 2]上的极大值和极小值。
解:首先求函数$f'(x) = 6x - 6$的零点,即$6x - 6 = 0$,得$x = 1$。
将$x = -1, x = 1, x = 2$代入$f(x)$中,分别得到$f(-1) = 13, f(1) = -1, f(2)= 10$。
所以$f(x)$在$x = 1$处取得极小值-1,在$x = -1$处取得极大值13。
b) 求函数$g(x) = x^3 - \frac{9}{2}x^2 + 3$在整个定义域上的最大值和最小值。
解:首先求函数$g'(x) = 3x^2 - 9x$的零点,即$3x^2 - 9x = 0$,得$x = 0, x = 3$。
将$x = 0, x = 3$代入$g(x)$中,分别得到$g(0) = 3, g(3) =\frac{27}{2}$。
所以$g(x)$在$x = 3$处取得最大值$\frac{27}{2}$,在$x = 0$处取得最小值3。
2. 函数的极值和最值在实际问题中有很多应用,比如优化问题、经济学中的最大效益等。
通过求解函数的极值和最值,可以找到使函数取得最优结果的变量取值。
习题2:一块长方形的地面上,以其一条边为底,作一个等腰直角梯形,使得梯形的上底与下底分别与已知两块木板的宽度相等。
问该等腰直角梯形的底边长度为多少,才能使梯形的面积最大。
解:设等腰直角梯形的底边长度为$x$,则梯形的上底和下底长度也都为$x$。
设梯形的高为$h$,根据勾股定理得到$h = \sqrt{2}x$。
梯形的面积$S(x) = \frac{1}{2}(x + x)(\sqrt{2}x)$。
微分方程习题课基本概念基本概念一阶方程一阶方程类型1.直接积分法2.可分离变量3.齐次方程4.可化为齐次方程5.线性方程类型1.直接积分法2.可分离变量3.齐次方程4.可化为齐次方程5.线性方程7.伯努利方程7.伯努利方程可降阶方程可降阶方程线性方程解的结构定理1;定理2定理3;定理4线性方程解的结构定理1;定理2定理3;定理4欧拉方程欧拉方程二阶常系数线性方程解的结构二阶常系数线性方程解的结构特征方程的根及其对应项特征方程的根及其对应项f(x)的形式及其特解形式f(x)的形式及其特解形式高阶方程高阶方程待定系数法特征方程法一、主要内容微分方程解题思路一阶方程一阶方程高阶方程高阶方程分离变量法分离变量法全微分方程全微分方程常数变易法常数变易法特征方程法特征方程法待定系数法待定系数法非全微分方程非变量可分离非全微分方程非变量可分离幂级数解法幂级数解法降阶作变换作变换积分因子1、基本概念微分方程凡含有未知函数的导数或微分的方程叫微分方程.微分方程的阶微分方程中出现的未知函数的最高阶导数的阶数称为微分方程的阶.微分方程的解代入微分方程能使方程成为恒等式的函数称为微分方程的解.通解如果微分方程的解中含有任意常数,并且任意常数的个数与微分方程的阶数相同,这样的解叫做微分方程的通解.特解确定了通解中的任意常数以后得到的解,叫做微分方程的特解.初始条件用来确定任意常数的条件.初值问题求微分方程满足初始条件的解的问题,叫初值问题.dxx f dy y g )()(=形如(1) 可分离变量的微分方程解法∫∫=dx x f dy y g )()(分离变量法2、一阶微分方程的解法)(x yf dx dy =形如(2) 齐次方程解法xyu =作变量代换)(111c y b x a c by ax f dxdy++++=形如齐次方程.,01时当==c c ,令k Y y h X x +=+=,(其中h 和k 是待定的常数)否则为非齐次方程.(3) 可化为齐次的方程解法化为齐次方程.)()(x Q y x P dxdy=+形如(4) 一阶线性微分方程,0)(≡x Q 当上方程称为齐次的.上方程称为非齐次的.,0)(≡x Q 当齐次方程的通解为.)(∫=−dxx P Cey (使用分离变量法)解法非齐次微分方程的通解为∫+∫=−∫dx x P dx x P eC dx e x Q y )()(])([(常数变易法)(5) 伯努利(Bernoulli)方程nyx Q y x P dxdy )()(=+形如)1,0(≠n 方程为线性微分方程.时,当1,0=n 方程为非线性微分方程.时,当1,0≠n解法需经过变量代换化为线性微分方程.,1nyz −=令.))1)((()()1()()1(1∫+∫−∫==−−−−c dx e n x Q ez ydxx P n dxx P n n),(),(=+dy y x Q dx y x P 其中dyy x Q dx y x P y x du ),(),(),(+=形如(6) 全微分方程xQ y P ∂∂=∂∂⇔全微分方程注意:解法¦应用曲线积分与路径无关.∫∫+=yy xx dyy x Q x d y x P y x u 0),(),(),(0,),(),(00x d y x P dy y x Q xx yy ∫∫+=.),(c y x u =§用直接凑全微分的方法.通解为3、可降阶的高阶微分方程的解法解法),(x P y =′令特点.y 不显含未知函数),()2(y x f y ′=′′型)()1()(x f yn =接连积分n 次,得通解.型解法代入原方程, 得)).(,(x P x f P =′,P y ′=′′),(x P y =′令特点.x 不显含自变量),()3(y y f y ′=′′型解法代入原方程, 得).,(P y f dydpP =,dydp P y =′′4、线性微分方程解的结构(1)二阶齐次方程解的结构:)1(0)()(=+′+′′y x Q y x P y 形如定理1 如果函数)(1x y 与)(2x y 是方程(1)的两个解,那末2211y C y C y +=也是(1)的解.(21,C C 是常数)定理2:如果)(1x y 与)(2x y 是方程(1)的两个线性无关的特解, 那么2211y C y C y +=就是方程(1)的通解.(2)二阶非齐次线性方程的解的结构:)2()()()(x f y x Q y x P y =+′+′′形如定理 3 设*y 是)2(的一个特解, Y 是与(2)对应的齐次方程(1)的通解, 那么*y Y y +=是二阶非齐次线性微分方程(2)的通解.定理4 设非齐次方程(2)的右端)(x f 是几个函数之和, 如)()()()(21x f x f y x Q y x P y +=+′+′′而*1y 与*2y 分别是方程,)()()(1x f y x Q y x P y =+′+′′ )()()(2x f y x Q y x P y =+′+′′的特解, 那么*2*1y y +就是原方程的特解.5、二阶常系数齐次线性方程解法)(1)1(1)(x f y P y P yP yn n n n =+′+++−−L 形如n 阶常系数线性微分方程=+′+′′qy y p y 二阶常系数齐次线性方程)(x f qy y p y =+′+′′二阶常系数非齐次线性方程解法由常系数齐次线性方程的特征方程的根确定其通解的方法称为特征方程法.2=++q pr r 0=+′+′′qy y p y 特征根的情况通解的表达式实根21r r ≠实根21r r =复根βαi r±=2,1xr x r eC e C y 2121+=xr ex C C y 2)(21+=)sin cos (21x C x C e y xββα+=特征方程为1)1(1)(=+′+++−−y P y P yP yn n n n L 特征方程为0111=++++−−n n n nP r P r P r L 特征方程的根通解中的对应项rk 重根若是rxk k exC x C C )(1110−−+++L β±αj k 复根重共轭若是xk k k k ex xD x D D x xC x C C α−−−−β++++β+++]sin )(cos )[(11101110L L 推广:阶常系数齐次线性方程解法n6、二阶常系数非齐次线性微分方程解法)(x f qy y p y =+′+′′二阶常系数非齐次线性方程型)()()1(x P e x f m xλ=解法待定系数法.,)(x Q e x y m xkλ=设⎪⎩⎪⎨⎧=是重根是单根不是根λλλ2,10k型]sin )(cos )([)()2(x x P x x P e x f n l xωωλ+=],sin )(cos )([)2()1(x x R x x R e x y mmxkωωλ+=设次多项式,是其中m x R x R mm)(),()2()1({}n l m ,max =⎩⎨⎧±±=.1;0是特征方程的单根时不是特征方程的根时ωλωλj j k7、欧拉方程欧拉方程是特殊的变系数方程,通过变量代换可化为常系数微分方程.x t e x tln ==或)(1)1(11)(x f y p y x p yxp yx n n n n n n =+′+++−−−L 的方程(其中n p p p L 21,形如叫欧拉方程.为常数),二、典型例题.)cos sin ()sin cos (dy x yx x y y x dx x y y x y x y −=+求通解例1解原方程可化为),cos sin sin cos (xyx y x y x yx y x y x y dx dy −+=,xyu =令.,u x u y ux y ′+=′=代入原方程得),cos sin sin cos (uu u uu u u u x u −+=′+,cos 2cos sin x dx du u u uu u =−分离变量两边积分,ln ln )cos ln(2C x u u +=−,cos 2xCu u =∴,cos 2x C x y x y =∴所求通解为.cos C xy xy =.32343y x y y x =+′求通解例2解原式可化为,32342y x y xy =+′,3223134x y x y y =+′−−即,31−=y z 令原式变为,3232x z xz =+′−,322x z x z −=−′即对应齐方通解为,32Cx z =一阶线性非齐方程伯努利方程,)(32x x C z =设代入非齐方程得,)(232x x x C −=′,73)(37C x x C ′+−=∴原方程的通解为.73323731x C x y ′+−=−利用常数变易法.212yy y ′+=′′求通解例3解.x 方程不显含,,dy dPP y P y =′′=′令代入方程,得,212y P dydP P +=,112y C P =+解得,,11−±=∴y C P ,11−±=y C dxdy即故方程的通解为.12211C x y C C +±=−.1)1()1(,2=′=−=+′−′′y y e xe y y y xx 求特解例4解特征方程,0122=+−r r 特征根,121==r r 对应的齐次方程的通解为.)(21xe x C C Y +=设原方程的特解为,)(2*xe b ax x y +=,]2)3([)(23*xe bx x b a ax y +++=′则,]2)46()6([)(23*xe b x b a x b a ax y +++++=′′代入原方程比较系数得将)(,)(,***′′′y y y ,21,61−==b a 原方程的一个特解为,2623*xx e x e x y −=故原方程的通解为.26)(2321x x xe x e x e x C C y −++=,1)1(=y Q ,1)31(21=−+∴e C C ,]6)1()([3221xe x x C C C y +−++=′,1)1(=′y Q ,1)652(21=−+∴e C C ,31121+=+e C C ,651221+=+e C C 由解得⎪⎩⎪⎨⎧−=−=,121,61221e C e C 所以原方程满足初始条件的特解为.26])121(612[23x x xe x e x e x e e y −+−+−=).cos (x x y y 2214+=+′′求解方程例5解特征方程,042=+r 特征根,22,1i r ±=对应的齐方的通解为.2sin 2cos 21x C x C Y +=设原方程的特解为.*2*1*y y y +=,)1(*1b ax y +=设,)(*1a y =′则,0)(*1=′′y ,得代入x y y 214=+′′,x b ax 2144=+由,04=b ,214=a 解得,0=b ,81=a ;81*1x y =∴),2sin 2cos ()2(*2x d x c x y +=设,2sin )2(2cos )2()(*2x cx d x dx c y −++=′则,2sin )44(2cos )44()(*2x dx c x cx d y +−−=′′,得代入x y y 2cos 214=+′′故原方程的通解为.2sin 81812sin 2cos 21x x x x C x C y +++=,2cos 212sin 42cos 4x x c x d =−由,04=−c ,214=d 即,81=d ,0=c ;2sin 81*2x x y =∴.)(),(1)()(2此方程的通解(2)的表达式;(1),试求:的齐次方程有一特解为,对应有一特解为设x f x p x xx f y x p y =′+′′例6解(1)由题设可得:⎪⎩⎪⎨⎧=−+=+),()1)((2,02)(223x f xx p x x x p 解此方程组,得.)(,)(331x x f xx p =−=(2)原方程为.313x y x y =′−′′,的两个线性无关的特解程是原方程对应的齐次方显见221,1x y y ==是原方程的一个特解,又xy 1*=由解的结构定理得方程的通解为.1221xx C C y ++=例7求微分方程()423d d 0y x y xy x −+=解原方程变形为23d 3,d x x x y y y−=−即223d 62,d x x y y y−=−此是关于函数的一阶线性非齐次微分方程,()2x f y =的通解.由求解公式得66d d 23e 2ed y y y yx y y C −⎛⎞∫∫=−+⎜⎟⎜⎟⎝⎠∫6463d 2.y y C y Cy y ⎛⎞=−+=+⎜⎟⎝⎠∫再作变换则有方程1,z u −=例8求解方程2d cos cos sin sin .d y y x y y x−=解令则原式为sin ,u y =2d cos .d u u x u x−=⋅此方程为伯努利方程,d cos .d zz x x+=−由积分公式, 得该方程的通解为()1sin cos e .2xz x x C −=−++从而得到原方程的通解()11sin sin cos e .2x y x x C −⎡⎤=−++⎢⎥⎣⎦⑵证明当时满足不等式例9设在时所定义的可微函数满足条件1x>−()g x ()()()()01d 0,011xg x g x g t t g x ′+−==+∫⑴求(),g x ′()e1.xg x −≤≤证⑴原方程变形为()()()()01d .xx g x g x g t t ′++=⎡⎤⎣⎦∫两端求导, 得()g x 0x ≥()()()()()()1,x g x g x g x g x g x ′′′′++++=⎡⎤⎣⎦令则原方程化为(),g x p ′=()()d 120,d px x p x +++=由条件所设即方程⑴()()001,g g ′=−=−01,x p ==−即2d ,1dp x x p x +=−+⑴()1e .1xg x p x −′==−+两端积分, 并由初始条件, 得⑵函数在上满足拉格郎日中值定理的条件, ()g x []0,x ()()()()()e 000,0,1g x g g x x x x ξξξξ−′−=−=−><<+从而有故当时, 又当()()01,g x g <=() 1.g x ≤0x ≥()()1ee e 0,1x x xf xg x x −−−′′=+=−≥+所以当时单调增加, 于是()f x 0x ≥因此时, 令则()()e ,xf xg x −=−()()()()e0010,x f x g x f g −=−≥=−=即综合以上得, 当时有,()e .x g x −≥0x ≥()e 1.x g x −≤≤例12 设()()()0sin d ,x f x x x t f t t =−−∫().f x 解因()()()00sin d d ,x xf x x xf t t tf t t =−+∫∫两边求导, 得()()()()0cos d xf x x f t t xf x xf x ′=−−+∫()0cos d ,xx f t t =−∫再次求导, 得()f x 其中为连续函数, 求()()sin ,f x x f x ′′=−−即()()sin .f x f x x ′′+=−并有初始条件对应的齐次方程的通()()00,0 1.f f ′==12sin cos .y C x C x =+设非齐次方程的特解是()*sin cos ,y x a x b x =+解是由待定系数法得10,.2a b ==121sin cos cos .2y C x C x x x =++由初始条件, 得121,0,2C C ==()11sin cos .22f x x x x =+即即原方程的通解为。
第六章7、设X 1,X 2,…X n 为总体X~N (μ,σ2)的样本,求E[21)(x x ni i-∑=],D[21)(∑=-ni ix x ]。
解:E[21)(x x ni i -∑=]=(n-1)E[11-n 21)(x x ni i-∑=]=(n-1)σ2因为)1(~)(2212--∑=n X x xni iσ所以 D[21)(∑=-ni ix x ]=])([212σ∑=-ni ix xD =σ22(n-1)8、设X 1,X 2,…X 5为总体X~N (0,1)的样本,(1)试确定常数c 1、d 1,使得)(~)()(2254312211n x x x d x x c χ++++并求出n ;(2)试确定常数c 2、d 2,使得),(~)()(2543222212n m F x x x d x x c +++。
解:(1)212)(1x x n S n i i -=∑=且总体为X~N (0,1),所以c 1=21,d 1=31因为2χ分布具有可加性,即若X i ~2χ(i=1,……k ),且各样本相互独立,则)(~121∑∑==ki i ki in xχ,所以n=2。
(2)因为)2,0(~21N x x +,)3,0(~)(543N x x x ++,)1,0(~221N x x +, )1,0(~3543N x x x ++且相互独立, 所以221]2[x x ++2543]3[x x x ++)2(~2χ 因为)2(~22221χx x +,)1(~3)(22543χx x x ++ 所以)1,2(~)(2)(325432221F x x x x x +++,所以)1,2(,2322F d c =10、设X 1,X 2,…X n ,X n+1为总体X~N (μ,σ2)的样本的容量为n+1的样本,)(11~,1221x x n s x n x i n i i --==∑=试证:(1))1(~~1ˆ1---=+n t sxx n n T n (2))1,0(~21σn n N x x n +-+ (3))1,0(~21σnn N x x -- 证明:(1)因为),(~),1(~~)1(),,(~212222σμχσσμN x n s n n N x n +-- 所以)1,0(~1),1,0(~121N nn xx n n N x x n n +-+-++σσ 所以)1(~)1(~)1(1221---+-+n t n sn n n x x n σσ,即)1(~~1ˆ1---=+n t s x x n n T n (2)因为),(~),,(~212σμσμN x nN x n + 所以)1,0(~21σnn N x x n +-+ (3)因为∑∑==--=-=-ni i n i i x n x n n x n x x x 21111111,011)(1)(1)11(22121=--=--=--∑∑∑===ni n i i n i i n n n x E n x E n n x n x n n E μμ2222221121)1()11(σσσnn nn n x n x n n D ni n i i -=+-=--∑∑== 所以)1,0(~21σnn N x x --15、设X 1,X 2,…X n ,1为总体X 的样本,如果X 具有下列密度函数(其中参数均未知)试分别求这些参数的矩估计量与极大似然估计量。
高等工程数学Advanced Engineering Mathematics数值分析就是研究各种数学问题的数值计算的方法和理论的学科线性代数方程组的解法数值分析绪论数值分析插值方法1Gauss消元法2直接三角分解法3追赶法与平方根法4方程组的性态与条件数5迭代法追赶法与平方根法3方程组的性态与条件数4迭代法5Gauss消元法例6.1解:列主元Gauss消元法例6.2解:思考题(10分)1Gauss消元法2直接三角分解法3追赶法与平方根法4方程组的性态与条件数5迭代法例6.3利用直接三角分解法可以方便求解矩阵的逆矩阵!思考题(10分)1Gauss消元法2直接三角分解法3追赶法与平方根法4方程组的性态与条件数5迭代法解三对角方程组的追赶法思考题(10分)解对称正定方程组的平方根法⏹定理6.2⏹思考题(10分)1Gauss消元法2直接三角分解法3追赶法与平方根法4方程组的性态与条件数5迭代法例6.5定义6.1⏹注意:定义6.2⏹定理6.3定义6.31Gauss消元法2直接三角分解法3追赶法与平方根法4方程组的性态与条件数5迭代法Jacobi迭代(简单迭代法)⏹例6.6⏹解:Gauss-Seidel迭代迭代法的收敛性分析⏹引理6.1⏹定理6.4(迭代法收敛性基本定理)⏹。
习 题 6—11、在平行四边形ABCD 中, 设−→−AB =a , −→−AD =b . 试用a 和b 表示向量−→−MA 、−→−MB 、−→−MC 、−→−MD , 其中M 是平行四边形对角线的交点.解: 由于平行四边形的对角线互相平分, 所以a +b −→−−→−==AM AC 2, 即 -(a +b )−→−=MA 2, 于是 21-=−→−MA (a +b ).因为−→−−→−-=MA MC , 所以21=−→−MC (a +b ). 又因-a +b −→−−→−==MD BD 2, 所以21=−→−MD (b -a ). 由于−→−−→−-=MD MB , 所以21=−→−MB (a -b ).2、若四边形的对角线互相平分,用向量方法证明它是平行四边形.证: =,BM =,∴=+=+BM =与 平行且相等,结论得证.3、 求起点为)1,2,1(A ,终点为)1,18,19(--B 的向量→AB 与12AB −−→-的坐标表达式.解:→AB =j i k j i 2020)11()218()119(--=-+--+--={20,20,0}--, 12AB −−→-={10,10,0}4、 求平行于a ={1,1,1}的单位向量.解:与a 平行的单位向量为{}1,1,131±=±a a .5、在空间直角坐标系中,指出下列各点在哪个卦限?(1,1,1),A - (1,1,1),B -(1,1,1),C -- (1,1,1).D -- 解: A:Ⅳ; B:Ⅴ; C:Ⅷ; D:Ⅲ.6、 求点),,(z y x M 与x 轴,xOy 平面及原点的对称点坐标.解:),,(z y x M 关于x 轴的对称点为),,(1z y x M --,关于xOy 平面的对称点为),,(2z y x M -,关于原点的对称点为),,(3z y x M ---.7、已知点A(a, b, c), 求它在各坐标平面上及各坐标轴上的垂足的坐标(即投影点的坐标). 解:分别为),0,0(),0,,0(),0,0,(),,0,(),,,0(),0,,(c b a c a c b b a .8、过点(,,)P a b c 分别作平行于z 轴的直线和平行于xOy 面的平面,问它们上面的点的坐标各有什么特点?解:平行于z 轴的直线上面的点的坐标:x a,y b,z R ==∈;平行于xOy 面的平面上的点的坐标为 z c,x,y R =∈.9、求点P (2,-5,4)到原点、各坐标轴和各坐标面的距离.解:到原点的距离为x y 轴的距离为到z10、 求证以)1,3,4(1M 、)2,1,7(2M 、)3,2,5(3M 三点为顶点的三角形是一个等腰三角形. 解:222212(74)(13)(21)14M M =-+-+-=,222223(57)(21)(32)6M M =-+-+-= 222213(45)(32)(13)6M M =-+-+-=,即1323M M M M =,因此结论成立.11、 在yoz 坐标面上,求与三个点A(3, 1, 2), B(4, -2, -2), C(0, 5, 1)等距离的点的坐标. 解:设yoz 坐标面所求点为),,0(z y M ,依题意有||||||MC MB MA ==,从而222)2()1()30(-+-+-z y 222)2()2()40(++++-=z y222)2()1()30(-+-+-z y联立解得2,1-==z y ,故所求点的坐标为)2,1,0(-.12、 z 轴上,求与点A(-4, 1, 7), 点B(3, 5,-2)等距离的点. 解:设所求z 轴上的点为),0,0(z ,依题意:222)7()10()40(-+-++z 222)2()50()30(++-+-=z ,两边平方得914=z ,故所求点为)914,0,0(.13、 求λ使向量}5,1,{λ=a 与向量}50,10,2{=b 平行. 解:由b a //得5051012==λ得51=λ.14、 求与y 轴反向,模为10的向量a 的坐标表达式. 解:a =j j 10)(10-=-⋅={0,10,0}-.15、求与向量a ={1,5,6}平行,模为10的向量b 的坐标表达式. 解:}6,5,1{6210==a a a ,故 {}6,5,16210100±=±=a b .16、 已知向量6410=-+a i j k ,349=+-b i j k ,试求: (1)2+a b ; (2)32-a b .解:(1) 264102(349)1248i a b i j k i j k j k +=-+++-=+-; (2)323(6410)2(349)=122048a b =i j k i j k i j k --+-+--+.17、已知两点A 和(3,0,4)B ,求向量AB 的模、方向余弦和方向角.解: 因为(1,1)AB =-, 所以2AB =,11cos ,cos 22αβγ===-,从而π3α=,3π4β=,2π3γ=.18、设向量的方向角为α、β、γ.若已知其中的两个角为π3α=,2π3β=.求第三个角γ. 解: π3α=,2π3β=,由222cos cos cos 1αβγ++=得21cos 2γ=.故π4γ=或3π4.19、 已知三点(1,0,0)=A ,(3,1,1)B ,(2,0,1)C ,求:(1)BC 与CA 及其模;(2)BC 的方向余弦、方向角;(3)与BC 同向的单位向量.解:(1)由题意知{}{}23,01,111,1,0,BC =---=--{}{}12,00,011,0,1,CA =---=-- 故 2,2==BC CA .(2)因为{}1,1,0,=--BC 所以,由向量的方向余弦的坐标表示式得:cos 0αβγ===,方向角为:3,42ππαβγ===.(3)与BC 同向的单位向量为:oa =⎧⎫=⎨⎬⎩⎭BCBC .20、 设23,23,34,m i j k n i j k p i j k =++=+-=-+和23a m n p =+-求向量在x 轴上的投影和在y 轴上的分向量.解:2(23)3(23)(34)5114a i j k i j k i j k i j k =++++---+=+-.故向量a 在x 轴上的投影5=x a ,在y 轴上的投影分量为11y a j =.21、一向量的终点为点B(-2,1,-4),它在x 轴,y 轴和z 轴上的投影依次为3,-3和8,求这向量起点A 的坐标.解:设点A 为(x, y, z ),依题意有:84,31,32=---=-=--z y x , 故12,4,5-==-=z y x ,即所求的点A (-5, 4,-12).22、 已知向量a 的两个方向余弦为cos α=72 ,cos β=73, 且a 与z 轴的方向角是钝角.求cos γ. 解:因222cos cos cos 1,αβγ++=22223366cos 1cos 77497γγ=-==±故()—(),,又γ是钝角,所以76cos -=γ.23、设三力1232234F ,F ,F i j i j k j k =-=-+=+作用于同一质点,求合力的大小和方向角.解: 合力123(2)(234)()F F F F i k i j k j k =++=-+-+++323i j k =-+,因此,合力的大小为|F |=合力的方向余弦为,222cos ,cos 223cos -===βγα因此παγβ===-习 题 6—21、 {}0,0,1=a ,{}0,1,0=b ,)1,0,0(=c ,求⋅a b ,c a ⋅,c b ⋅,及a a ⨯,b a ⨯,c a ⨯,c b ⨯. 解:依题意,i a =,j b =,k c =,故0=⋅=⋅j i b a ,0=⋅=⋅k i c a ,0=⋅=⋅k j c b .0=⨯=⨯i i a a ,k j i b a =⨯=⨯,j k i c a -=⨯=⨯,i k j c b =⨯=⨯.2、 }}{{1,2,2,21,1==b a ,,求b a ⋅及b a ⨯ .a 与b的夹角余弦. 解:(1)121221⋅=⨯+⨯+⨯=a b 6, 112221⨯==i j ka b }{3,3,0-.(2)cos a b a b a b θ++==3、 已知 π5,2,,3∧⎛⎫=== ⎪⎝⎭a b a b ,求23a b -解:()()2232323-=-⋅-a b a b a b 22412976=-⋅+=a a b b ,∴ 23-=ab4、 证明下列问题:1)证明向量}{1,0,1=a 与向量}{1,1,1-=b 垂直. 2) 证明向量c 与向量()()a c b b c a ⋅-⋅垂直. 证:1)01110)1(1=⨯+⨯+-⨯=⋅b a ,^π(,)2a b ∴=,即a 与b 垂直. 2) [()()]⋅-⋅⋅a c b b c a c [()()]=⋅⋅-⋅⋅a c b c b c a c ()[]=⋅⋅-⋅c b a c a c 0=[()()]∴⋅-⋅⊥a c b b c a c .5、 求点)1,2,1(M 的向径OM 与坐标轴之间的夹角.解:设OM 与x 、y 、z 轴之间的夹角分别为γβα,,,则211)2(11cos 22=++==α,22cos ==β, 21cos ==γ. 3π=∴α, 4π=β, 3π=γ.6、 求与k j i a ++=平行且满足1=⋅x a 的向量x .解:因x a //, 故可设{}λλλλ,,==a x ,再由1=⋅x a 得1=++λλλ,即31=λ,从而⎭⎬⎫⎩⎨⎧=31,31,31x .7、求与向量324=-+a i j k ,2=+-b i j k 都垂直的单位向量.解:=⨯=xy z x y zij kc a b a a a b b b 324112=--i j k =105+j k,||10==c 0||∴=c c c=.⎫±+⎪⎭j8、 在顶点为)2,1,1(-A 、)2,6,5(-B 和)1,3,1(-C 的三角形中,求三角形ABC 的面积以及AC 边上的高BD .解:{0,4,3},{4,5,0}AC AB =-=-,三角形ABC 的面积为,22516121521||21222=++=⨯=AB C A S ||||21,5)3(4||22BD S ==-+= ||521225BD ⋅⋅= .5||=∴BD9、 已知向量≠0a ,≠0b ,证明2222||||||()⨯=-⋅a b a b a b .解 2222||||||sin ()∧⨯=⋅a b a b ab 222||||[1cos ()]∧=⋅-a b ab 22||||=⋅a b 222||||cos ()∧-⋅a b ab 22||||=⋅a b 2().-⋅a b10、 证明:如果++=0a b c ,那么⨯=⨯=⨯b c c a a b ,并说明它的几何意义.证: 由++=0a b c , 有()++⨯=⨯=00a b c c c , 但⨯=0c c ,于是⨯+⨯=0a c b c ,所以⨯=-⨯=⨯b c a c c a . 同理 由()++⨯=0a b c a , 有 ⨯=⨯c a a b ,从而 ⨯=⨯=⨯b c c a a b .其几何意义是以三角形的任二边为邻边构成的平行四边形的面积相等.11、 已知向量23,3=-+=-+a i j k b i j k 和2=-c i j ,计算下列各式:(1)()()⋅-⋅a b c a c b (2)()()+⨯+a b b c (3)()⨯⋅a b c (4)⨯⨯a b c 解: (1)()()8(2)8(3)⋅-⋅=---+=a b c a c b i j i j k 824--j k .(2) 344,233+=-++=-+a b i j k b c i j k ,故()()+⨯+a b b c 344233=-=-i jk--j k . (3)231()231(2)(85)(2)11311312-⨯⋅=-⋅-=--+⋅-=-=--i jk a b c i j i j k i j 2. (4)由(3)知85,()851120⨯=--+⨯⨯=--=-i jka b i j k a b c 221++i j k .习 题 6—31、已知)3,2,1(A ,)4,1,2(-B ,求线段AB 的垂直平分面的方程. 解:设),,(z y x M 是所求平面上任一点,据题意有|,|||MB MA =()()()222321-+-+-z y x ()()(),412222-+++-=z y x化简得所求方程26270x y z -+-=.这就是所求平面上的点的坐标所满足的方程, 而不在此平面上的点的坐标都不满足这个方程,所以这个方程就是所求平面的方程.2、 一动点移动时,与)0,0,4(A 及xOy 平面等距离,求该动点的轨迹方程.解:设在给定的坐标系下,动点),,(z y x M ,所求的轨迹为C ,则(,,)M x y z C MA z ∈⇔= 亦即z z y x =++-222)4( 0)4(22=+-∴y x 从而所求的轨迹方程为0)4(22=+-y x .3、 求下列各球面的方程:(1)圆心)3,1,2(-,半径为6=R ; (2)圆心在原点,且经过点)3,2,6(-;(3)一条直径的两端点是)3,1,4()5,32(--与;(4)通过原点与)4,0,0(),0,3,1(),0,0,4(- 解:(1)所求的球面方程为:36)3()1()2(222=-+++-z y x (2)由已知,半径73)2(6222=+-+=R ,所以球面方程为49222=++z y x(3)由已知,球面的球心坐标1235,1213,3242=-=-=+-==+=c b a , 球的半径21)35()31()24(21222=++++-=R ,所以球面方程为: 21)1()1()3(222=-+++-z y x(4)设所求的球面方程为:0222222=++++++l kz hy gx z y x因该球面经过点)4,0,0(),0,3,1(),0,0,4(),0,0,0(-,所以⎪⎪⎩⎪⎪⎨⎧=-=++=+=08160621008160k h g g l 解之得⎪⎪⎩⎪⎪⎨⎧=-=-==2210k g h l∴所求的球面方程为0424222=+--++z y x z y x .4、将yOz 坐标面上的抛物线22y z =绕z 旋转一周,求所生成的旋转曲面的方程. 解:222x y z +=(旋转抛物面) .5、将zOx 坐标面上的双曲线12222=-c z a x 分别绕x 轴和z 轴旋转一周,求所生成的旋转曲面的方程.解: 绕x 轴旋转得122222=+-c z y a x 绕z 轴旋转得122222=-+cz a y x .6、指出下列曲面的名称,并作图:(1)22149x z +=;(2)22y z =;(3)221x z += ;(4)22220x y z x ++-=; (5)222y x z +=;(6)22441x y z -+=;(7)221916x y z ++=;(8)222149x y z -+=-;(9)1334222=++z y x ;(10)2223122z y x +=+.解: (1)椭圆柱面;(2) 抛物柱面;(3) 圆柱面;(4)球面;(5)圆锥面;(6)双曲抛物面;(7)椭圆抛物面;(8)双叶双曲面;(9)为旋转椭球面;(10)单叶双曲面.7、指出下列方程在平面解析几何和空间解析几何中分别表示什么图形? (1)1+=x y ;(2)422=+yx ;(3)122=-y x ;(4)22x y =.解:(1)1+=x y 在平面解析几何中表示直线,在空间解析几何中表示平面; (2)422=+y x 在平面解析几何中表示圆周,在空间解析几何中表示圆柱面; (3)122=-y x 在平面解析几何中表示双曲线,在空间解析几何中表示双曲柱面;(4)y x22=在平面解析几何中表示抛物线,在空间解析几何中表示抛物柱面.8、 说明下列旋转曲面是怎样形成的?(1)1994222=++z y x ;(2)14222=+-z y x (3)1222=--z y x ;(4)222)(y x a z +=- 解:(1)xOy 平面上椭圆19422=+y x 绕x 轴旋转而成;或者 xOz 平面上椭圆22149+=x z 绕x 轴旋转而成(2)xOy 平面上的双曲线1422=-y x 绕y 轴旋转而成;或者 yOz 平面上的双曲线2214-=y z 绕y 轴旋转而成(3)xOy 平面上的双曲线122=-y x 绕x 轴旋转而成;或者 xOz 平面上的双曲线221x z -=绕x 轴旋转而成 (4)yOz 平面上的直线a y z +=绕z 轴旋转而成或者 xOz 平面上的直线z x a =+绕z 轴旋转而成.9、 画出下列各曲面所围立体的图形:(1)012243=-++z y x 与三个坐标平面所围成;(2)42,42=+-=y x x z 及三坐标平面所围成; (3)22=0,(0)=1z z =a a >,y =x,x +y 及0x =在第一卦限所围成;(4)2222,8z x y z x y =+=--所围. 解:(1)平面012243=-++z y x 与三个坐标平面围成一个在第一卦限的四面体; (2)抛物柱面24z x =-与平面24x y +=及三坐标平面所围成;(3)坐标面=0z 、0x =及平面(0)z =a a >、y=x 和圆柱面22=1x +y 在第一卦限所围成; (4)开口向上的旋转抛物面22z x y =+与开口向下的抛物面228z x y =--所围.作图略.习 题 6—41、画出下列曲线在第一卦限内的图形(1)⎩⎨⎧==21y x ;(2)⎪⎩⎪⎨⎧=---=0422y x y x z ;(3)⎪⎩⎪⎨⎧=+=+222222a z x ay x解:(1)是平面1x =与2y =相交所得的一条直线; (2)上半球面z 与平面0x y -=的交线为14圆弧; (3)圆柱面222x y a +=与222x z a +=的交线.图形略.2、分别求母线平行于x 轴及y 轴而且通过曲线⎪⎩⎪⎨⎧=-+=++0162222222y z x z y x 的柱面方程.解:消去x 坐标得16322=-z y ,为母线平行于x 轴的柱面;消去y 坐标得:162322=+z x ,为母线平行于y 轴的柱面.3、求在yOz 平面内以坐标原点为圆心的单位圆的方程(任写出三种不同形式的方程).解:⎩⎨⎧==+0122x z y ;⎩⎨⎧==++01222x z y x ; ⎪⎩⎪⎨⎧=+=++1122222z y z y x .4、试求平面20x -=与椭球面222116124x y z ++=相交所得椭圆的半轴与顶点.解:将椭圆方程22211612420x y z x ⎧++=⎪⎨⎪-=⎩化简为:221932y z x ⎧+=⎪⎨⎪=⎩,可知其为平面2=x 上的椭圆,半轴分别为3,3,顶点分别为)3,0,2(),3,0,2(),0,3,2(),0,3,2(--.5 、将下面曲线的一般方程化为参数方程(1)2229x y z y x ⎧++=⎨=⎩; (2)⎩⎨⎧==+++-04)1()1(22z z y x解:(1)原曲线方程即:⎪⎩⎪⎨⎧=+=199222z x xy ,化为⎪⎪⎪⎩⎪⎪⎪⎨⎧=≤≤==tz t t y t x sin 3)20(cos 23cos 23π;(2))20(0sin 3cos 31πθθθ≤≤⎪⎪⎩⎪⎪⎨⎧==+=z y x .6、求螺旋线⎪⎩⎪⎨⎧===θθθb z a y a x sin cos 在三个坐标面上的投影曲线的直角坐标方程.解:⎩⎨⎧==+0222z a y x ;⎪⎩⎪⎨⎧==0sin x b z a y ;⎪⎩⎪⎨⎧==0cosy b z a x .7、指出下列方程所表示的曲线(1)222253⎧++=⎨=⎩x y z x (2)⎩⎨⎧==++13094222z z y x ;(3)⎩⎨⎧-==+-3254222x z y x ; (4)⎩⎨⎧==+-+408422y x z y ; (5)⎪⎩⎪⎨⎧=-=-0214922x z y . 解:(1)圆; (2)椭圆; (3)双曲线; (4)抛物线; (5)双曲线.8、 求曲线⎩⎨⎧==-+30222z x z y 在xOy 面上的投影曲线方程,并指出原曲线是何种曲线.解:原曲线即:⎩⎨⎧=-=3922z x y ,是位于平面3=z 上的抛物线,在xOy 面上的投影曲线为⎩⎨⎧=-=0922z x y9、 求曲线 ⎪⎩⎪⎨⎧==++211222z z y x 在坐标面上的投影. 解:(1)消去变量z 后得,4322=+y x 在xOy 面上的投影为,04322⎪⎩⎪⎨⎧==+z y x 它是中心在原点,半径为23的圆周.(2)因为曲线在平面21=z 上,所以在xOz 面上的投影为线段.;23||,021≤⎪⎩⎪⎨⎧==x y z (3)同理在yOz 面上的投影也为线段..23||,21≤⎪⎩⎪⎨⎧==y x z10、 求抛物面x z y =+22与平面 02=-+z y x 的交线在三个坐标面上的投影曲线方程.解: 交线方程为⎩⎨⎧=-+=+0222z y x x z y ,(1)消去z 得投影,004522⎩⎨⎧==-++z x xy y x(2)消去y 得投影2252400x z xz x y ⎧+--=⎨=⎩,(3)消去x 得投影22200y z y z x ⎧++-=⎨=⎩.习 题 6—51、写出过点()3,2,10M 且以{}1,2,2=n 为法向量的平面方程. 解:平面的点法式方程为()()()032212=-+-+-z y x .2、求过三点()()()01,0,0,1,0,0,0,1C B A 的平面方程.解:设所求平面方程为0=+++d cz by ax ,将C B A ,,的坐标代入方程,可得d c b a -===,故所求平面方程为1=++z y x .3、求过点()1,0,0且与平面1243=++z y x 平行的平面方程. 解:依题意可取所求平面的法向量为}2,4,3{=n ,从而其方程为()()()0120403=-+-+-z y x 即 2243=++z y x .4、求通过x 轴和点(4, -3, -1)的平面的方程.解:平面通过x 轴, 一方面表明它的法线向量垂直于x 轴, 即A =0; 另一方面表明它必通过原点, 即D =0. 因此可设这平面的方程为By +Cz =0.又因为这平面通过点(4, -3, -1), 所以有-3B -C =0, 或C =-3B . 将其代入所设方程并除以B (B 0), 便得所求的平面方程为y -3z =0.5、求过点)1,1,1(,且垂直于平面7=+-z y x 和051223=+-+z y x 的平面方程.解:},1,1,1{1-=n }12,2,3{2-=n 取法向量},5,15,10{21=⨯=n n n所求平面方程为化简得:.0632=-++z y x6、设平面过原点及点)1,1,1(,且与平面8x y z -+=垂直,求此平面方程.解: 设所求平面为,0=+++D Cz By Ax 由平面过点)1,1,1(知平0,A B C D +++=由平面过原点知0D =,{1,1,1},n ⊥- 0A B C ∴-+=,0A C B ⇒=-=,所求平面方程为0.x z -=7、写出下列平面方程:(1)xOy 平面;(2)过z 轴的平面;(3)平行于zOx 的平面;(4)在x ,y ,z 轴上的截距相等的平面.解:(1)0=z ,(2)0=+by ax (b a ,为不等于零的常数), (3)c y = (c 为常数), (4) a z y x =++ (0)a ≠.8、 求平行于0566=+++z y x 而与三个坐标面所围成的四面体体积为1的平面方程.解: 设平面为,1=++c z b y a x ,1=V 111,32abc ∴⋅=由所求平面与已知平面平行得,611161c b a ==化简得,61161c b a ==令tc t b t a t c b a 61,1,6161161===⇒===代入体积式 11111666t t t ∴=⋅⋅⋅ 1,6t ⇒=±,1,6,1===∴c b a 或1,6,1,a b c =-=-=-所求平面方程为666x y z ++=或666x y z ++=-.9、分别在下列条件下确定n m l ,,的值:(1)使08)3()1()3(=+-+++-z n y m x l 和016)3()9()3(=--+-++z l y n x m 表示同一平面; (2)使0532=-++z my x 与0266=+--z y lx 表示二平行平面; (3)使013=+-+z y lx 与027=-+z y x 表示二互相垂直的平面.解:(1)欲使所给的二方程表示同一平面,则:168339133-=--=-+=+-l n n m m l 即: ⎪⎩⎪⎨⎧=-+=-+=-+092072032n l m n l m ,解之得 97=l ,913=m ,937=n . (2)欲使所给的二方程表示二平行平面,则:6362-=-=m l ,所以4-=l ,3=m . (3)欲使所给的二方程表示二垂直平面,则:7230l ++=所以: 57l=-.10、求平面011=-+y x 与083=+x 的夹角; 解:设011=-+y x 与083=+x 的夹角为θ,则cos θ ∴ 4πθ=.11、 求点(2,1,1)到平面2240x y z +-+=的距离. 解:利用点到平面的距离公式可得933d ===.习 题 6—61、求下列各直线的方程:(1)通过点)1,0,3(-A 和点)1,5,2(-B 的直线; (2) 过点()1,1,1且与直线433221-=-=-z y x 平行的直线. (3)通过点)3,51(-M 且与z y x ,,三轴分别成︒︒︒120,45,60的直线; (4)一直线过点(2,3,4)-A ,且和y 轴垂直相交,求其方程. (5)通过点)2,0,1(-M 且与两直线11111-+==-z y x 和01111+=--=z y x 垂直的直线; (6)通过点)5,3,2(--M 且与平面02536=+--z y x 垂直的直线.解:(1)所求的直线方程为:015323-=-=++z y x 即:01553-=-=+z y x ,亦即01113-=-=+z y x . (2)依题意,可取L 的方向向量为{}4,3,2=s ,则直线L 的方程为413121-=-=-z y x . (3)所求直线的方向向量为:{}⎭⎬⎫⎩⎨⎧-=︒︒︒21,22,21120cos ,45cos ,60cos ,故直线方程为: 132511--=+=-z y x . (4)因为直线和y 轴垂直相交,所以交点为),0,3,0(-B 取{2,0,4},BA s −−→==所求直线方程.440322-=+=-z y x (5)所求直线的方向向量为:{}{}{}2,1,10,1,11,1,1---=-⨯-,所以,直线方程为:22111+==-z y x . (6)所求直线的方向向量为:{}5,3,6--,所以直线方程为: 235635x y z -++==--.2、求直线1,234x y z x y z ++=-⎧⎨-+=-⎩的点向式方程与参数方程.解 在直线上任取一点),,(000z y x ,取10=x ,063020000⎩⎨⎧=--=++⇒z y z y 解2,000-==z y .所求点的坐标为)2,0,1(-,取直线的方向向量{}{}3,1,21,1,1-⨯=s k j i kji34312111--=-=,所以直线的点向式方程为:,321041-+=--=-z y x 令102,413x y z t --+===--则所求参数方程: .3241⎪⎩⎪⎨⎧--=-=+=tz ty tx3、判别下列各对直线的相互位置,如果是相交的或平行的直线求出它们所在的平面,如果相交时请求出夹角的余弦.(1)⎩⎨⎧=-+=+-0623022y x z y x 与⎩⎨⎧=-+=--+01420112z x z y x ;(2)⎪⎩⎪⎨⎧--=+==212t z t y tx 与142475x y z --+==-. 解:(1)将所给的直线方程化为标准式为:4343223z y x =-=--43227-=--=-z y x 234234-==-- ∴二直线平行.又点)0,43,23(与点(7,2,0)在二直线上,∴向量⎭⎬⎫⎩⎨⎧=⎭⎬⎫⎩⎨⎧--0,45,2110,432,237平行于二直线所确定的平面,该平面的法向量为:{}{}19,22,50,45,2114,3,2--=⎭⎬⎫⎩⎨⎧⨯-,从而平面方程为:0)0(19)2(22)7(5=-+---z y x ,即0919225=++-z y x .(2)因为121475-≠≠-,所以两直线不平行,又因为0574121031=--=∆,所以两直线相交,二直线所决定的平面的法向量为{}{}{}1,1,35,7,412,1--=-⨯-,∴二直线所决定的平面的方程为:330x y z -++=.设两直线的夹角为ϕ,则cos ϕ==4、判别下列直线与平面的相关位置: (1)37423z y x =-+=--与3224=--z y x ;(2)723zy x =-=与8723=+-z y x ; (3)⎩⎨⎧=---=-+-01205235z y x z y x 与07734=-+-z y x ;(4)⎪⎩⎪⎨⎧-=+-==4992t z t y t x 与010743=-+-z y x .解(1) 0)2(3)2()7(4)2(=-⨯+-⨯-+⨯-,而017302)4(234≠=-⨯--⨯-⨯,所以,直线与平面平行.(2) 0717)2(233≠⨯+-⨯-⨯,所以,直线与平面相交,且因为772233=--=,∴直线与平面垂直. (3)直线的方向向量为:{}{}{}1,9,51,1,22,3,5=--⨯-, 0179354=⨯+⨯-⨯,所以直线与平面平行或者直线在平面上;取直线上的点)0,5,2(--M ,显然点在)0,5,2(--M 也在平面上(因为4(2)3(5)70⨯--⨯--=),所以,直线在平面上.(4)直线的方向向量为{}9,2,1-, 097)2(413≠⨯+-⨯-⨯∴直线与平面相交但不垂直.5、验证直线l :21111-=-=-z y x 与平面π:032=--+z y x 相交,并求出它的交点和交角. 解: 032111)1(2≠-=⨯-⨯+-⨯∴直线与平面相交.又直线的参数方程为:⎪⎩⎪⎨⎧+=+=-=t z t y tx 211设交点处对应的参数为0t ,∴03)21()1()(2000=-+-++-⨯t t t ∴10-=t ,从而交点为(1,0,-1). 又设直线l 与平面π的交角为θ,则:21662111)1(2sin =⨯⨯-⨯+-⨯=θ,∴6πθ=.6、确定m l ,的值,使: (1)直线13241zy x =+=-与平面0153=+-+z y lx 平行; (2)直线⎪⎩⎪⎨⎧-=--=+=135422t z t y t x 与平面076=-++z my lx 垂直.解:(1)欲使所给直线与平面平行,则须:015334=⨯-⨯+l 即1l =-. (2)欲使所给直线与平面垂直,则须:3642=-=m l ,所以:8,4-==m l .7、求下列各平面的方程: (1)通过点)1,0,2(-p ,且又通过直线32121-=-=+z y x 的平面; (2)通过直线115312-+=-+=-z y x 且与直线⎩⎨⎧=--+=---052032z y x z y x 平行的平面; (3)通过直线223221-=-+=-z y x 且与平面0523=--+z y x 垂直的平面;(4). 求过点(2,1,0)M 与直线2335x t y t z t =-⎧⎪=+⎨⎪=⎩垂直的平面方程.解:(1)因为所求的平面过点)1,0,2(-p 和)2,0,1(-'p ,且它平行于向量{}3,1,2-,所以要求的平面方程为:03331212=--+-z y x , 即015=-++z y x .(2)已知直线的方向向量为{}{}{}2,1,11,2,13,1,5--⨯-=,∴平面方程为:2311510315x y z -++--=,即3250x y z +--= (3)所求平面的法向量为{}{}{}13,8,11,2,32,3,2-=-⨯-,∴平面的方程为:0)2(13)2(8)1(=--+--z y x ,即09138=+--z y x .(4).所求平面的法向量为{}2,3,1,则平面的方程为:2(2)3(1)(0)0x y z -+-+-=, 即 2370x y z ++-=.8、求点(4,1,2)M 在平面1x y z ++=上的投影.解: 过点(4,1,2)M 作已知平面的垂线,垂线的方向向量就是已知平面的法向量(1,1,1),所以垂线方程为412111x y z ---==,此垂线与已知平面的交点即为所求投影.为了求投影,将垂线方程化为参数方程412x t y t z t =+⎧⎪=+⎨⎪=+⎩,代入平面方程求得2t =-,故投影为(2,1,0)-. 9、求点)1,3,2(-p 到直线⎩⎨⎧=++-=++-0172230322z y x z y x 的距离.解:直线的标准方程为:2251211-+==-z y x 所以p 到直线的距离 1534532025)2(1212392292421243222222===-++-+--+-=d .10、设0M 是直线L 外一点,M 是直线L 上一点,且直线的方向向量为s ,试证:点0M 到直线L 的距离为d =.证:设0M M 与L 的夹角为θ,一方面由于0sin d M M θ=;另一方面,00sin M M s M M s θ⨯=,所以d =.11、求通过平面0134=-+-z y x 和025=+-+z y x 的交线且满足下列条件之一的平面: (1)通过原点; (2)与y 轴平行;(3)与平面0352=-+-z y x 垂直. 解: (1)设所求的平面为:0)25()134(=+-++-+-z y x z y x λ 欲使平面通过原点,则须:021=+-λ,即21=λ,故所求的平面方程为 0)25()134(2=+-++-+-z y x z y x 即:0539=++z y x .(2)同(1)中所设,可求出51=λ.故所求的平面方程为 0)25()134(5=+-++-+-z y x z y x 即:031421=-+z x .(3)如(1)所设,欲使所求平面与平面0352=-+-z y x 垂直,则须:0)3(5)51()4(2=-++--+λλλ从而3=λ,所以所求平面方程为05147=++y x .12、求直线⎩⎨⎧=++-=--+0101z y x z y x 在平面0=++z y x 上的投影直线的方程.解:应用平面束的方法.设过直线⎩⎨⎧=++-=--+0101z y x z y x 的平面束方程为0)1()1(=++-+--+z y x z y x λ即01)1()1()1(=-++-+-++λλλλz y x这平面与已知平面0=++z y x 垂直的条件是01)1(1)1(1)1(=⋅+-+⋅-+⋅+λλλ,解之得1-=λ代入平面束方程中得投影平面方程为10y z --=,所以投影直线为⎩⎨⎧=++=--001z y x z y .13、请用异于本章第五节例7的方法来推导点到平面的距离公式.证:设),,(0000z y x P 是平面π:0+++=Ax By Cz D 外的一点,下面我们来求点0P 到平面π的距离. 过0P 作平面π的垂线L :000x x y y z z A B C---==,设L 与平面π的交点为(,,)P x y z ,则P 与0P 之间的距离即为所求.因为点(,,)P x y z 在L 上,所以000x x Aty y Bt z z Ct-=-=-=⎧⎪⎨⎪⎩,而(,,)P x y z 在平面π上,则000()()()0A x At B y Bt C z Ct D ++++++=000222Ax By Cz A B t DC ⇒=-+++++,故000222Ax By Cz Dd t A B C+++===++=.习 题 6—7飞机的速度:假设空气以每小时32公里的速度沿平行y 轴正向的方向流动,一架飞机在xoy 平面沿与x 轴正向成π6的方向飞行,若飞机相对于空气的速度是每小时840公里,问飞机相对于地面的速度是多少?解:如下图所示,设OA 为飞机相对于空气的速度,AB 为空气的流动速度,那么OB 就是飞机相对于地面的速度.840cos 840sin 4203420,3266OA i j i j AB j ππ=⋅+⋅=+=所以, 24203452,(420856.45OB i j OB =+=≈千米/小时.复习题A一 、判断正误:1、 若c b b a ⋅=⋅且≠0b ,则c a =; ( ⨯ )解析 c b b a ⋅-⋅=)(c a b -⋅=0时,不能判定=b 0或c a =.例如i a =,j b =,k c =,有⋅=⋅=0a b b c ,但c a ≠.2、 若c b b a ⨯=⨯且≠0b ,则c a =; ( ⨯ )解析 此结论不一定成立.例如i a =,j b =,)(j i c +-=,则k j i b a =⨯=⨯,k j i j c b =+-⨯=⨯)]([,c b b a ⨯=⨯,但c a ≠.3 、若0=⋅c a ,则=0a 或=0c ; ( ⨯ ) 解析 两个相互垂直的非零向量点积也为零.4、 a b b a ⨯-=⨯. ( √ ) 解析 这是叉积运算规律中的反交换律.二、选择题:1 、 当a 与b 满足( D )时,有b a b a +=+;(A)⊥a b ; (B)λ=a b (λ为常数); (C)a ∥b ; (D)⋅=a b a b .解析 只有当a 与b 方向相同时,才有a +b =a +b .(A)中a ,b 夹角不为0,(B),(C)中a ,b 方向可以相同,也可以相反.2、下列平面方程中,方程( C )过y 轴;图6-1 空所流动与飞机飞行速度的关系(A) 1=++z y x ; (B) 0=++z y x ; (C) 0=+z x ; (D) 1=+z x . 解析 平面方程0=+++D Cz By Ax 若过y 轴,则0==D B ,故选C .3 、在空间直角坐标系中,方程2221y x z --=所表示的曲面是( B );(A) 椭球面; (B) 椭圆抛物面; (C) 椭圆柱面; (D) 单叶双曲面.解析 对于曲面2221y x z --=,垂直于z 轴的平面截曲面是椭圆,垂直于x 轴或y 轴的平面截曲面是开口向下的抛物线,根据曲面的截痕法,可以判断曲面是椭圆抛物面.4、空间曲线⎩⎨⎧=-+=5,222z y x z 在xOy 面上的投影方程为( C );(A)722=+y x ; (B)⎩⎨⎧==+5722z y x ; (C) ⎩⎨⎧==+0722z y x ;(D)⎩⎨⎧=-+=0222z y x z解析 曲线⎩⎨⎧==+5722z y x 与xOy 平面平行,在xOy 面上的投影方程为⎩⎨⎧==+0722z y x .5 、直线11121-+==-z y x 与平面1=+-z y x 的位置关系是( B ). (A) 垂直; (B) 平行; (C) 夹角为π4; (D) 夹角为π4-.解析 直线的方向向量s ={2,1,-1},平面的法向量n ={1,-1,1},n s ⋅=2-1-1=0,所以,s ⊥n ,直线与平面平行.三、填空题:1、若2=b a ,π()2=a,b ,则=⨯b a 2 ,=⋅b a 0 ; 解 =⨯b a b a sin()a,b π22=2,=⋅b a b a cos()a,b π22=0.2、与平面062=-+-z y x 垂直的单位向量为 }2,1,1{66-±; 解 平面的法向量 n ={1,-1,2}与平面垂直,其单位向量为0n =411++=6,所以,与平面垂直的单位向量为}2,1,1{66-±.3、过点)2,1,3(--和)5,0,3(且平行于x 轴的平面方程为 057=-+z y ;解 已知平面平行于x 轴,则平面方程可设为 0=++D Cz By ,将点 (-3,1,-2)和(3,0,5)代入方程,有{20,50,B C D C D -+=+= ⇒ 7,51,5B D C D ⎧=-⎪⎨⎪=-⎩得 05157=+--D Dz Dy ,即 057=-+z y .4、过原点且垂直于平面022=+-z y 的直线为z yx -==20; 解 直线与平面垂直,则与平面的法向量 n ={0,2,-1}平行,取直线方向向量s =n ={0,2,-1},由于直线过原点,所以直线方程为z yx -==20 .5、曲线⎩⎨⎧=+=1,222z y x z 在xOy 平面上的投影曲线方程为 ⎩⎨⎧==+.0,1222z y x解: 投影柱面为 1222=+y x ,故 ⎩⎨⎧==+0,1222z y x 为空间曲线在xOy 平面上的投影曲线方程.四、解答题:1、 已知}1,2,1{-=a ,}2,1,1{=b ,计算(a) b a ⨯; (b) ()()-⋅+2a b a b ; (c) 2b a -;解: (a) b a ⨯=211121-kj i 1,3}5,{--=. (b) {2,4,2}{1,1,2}{1,5,0}2a b -=--=-,1,3}{2,{1,1,2}2,1}{1,-=+-=+b a , 所以()()-⋅+2a b a b 7}3,1,2{}0,5,1{=-⋅-=.(c) 1}3,{0,{1,1,2}2,1}{1,--=--=-b a ,所以2b a -10)19(2=+=.2、已知向量21P P 的始点为)5,2,2(1-P ,终点为)7,4,1(2-P ,试求:(1)向量21P P 的坐标表示; (2)向量21P P 的模;(3)向量21P P 的方向余弦; (4)与向量21P P 方向一致的单位向量.解: (1) }2,6,3{}57),2(4,21{21-=-----=P P ;74926)3(222==++-=;(3) 21P P 在z y x ,,三个坐标轴上的方向余弦分别为362cos ,cos ,cos 777αβγ=-==;(4)k j i k j i 7276737263)(21++-=++-==P P.3、设向量{}1,1,1=-a ,{}1,1,1=-b ,求与a 和b 都垂直的单位向量.解: 令{}1110,2,2111=⨯=-=-i j kc a b,01⎧==⎨⎩c c c ,故与a 、b都垂直的单位向量为0⎧±=±⎨⎩c .4、向量d垂直于向量]1,3,2[-=a和]3,2,1[-=b ,且与]1,1,2[-=c的数量积为6-,求向量d解: d垂直于a与b ,故d平行于b a⨯,存在数λ使()b a d⨯=λ⨯-=]1,3,2[λ]3,2,1[-]7,7,7[λλλ--=因6-=⋅c d,故6)7(1)7()1(72-=-⨯+-⨯-+⨯λλλ, 73-=λ]3,3,3[-=∴d.5、求满足下列条件的平面方程:(1)过三点)2,1,0(1P ,)1,2,1(2P 和)4,0,3(3P;(2)过x 轴且与平面025=++z y x 的夹角为π3. 解 (1)解1: 用三点式.所求平面的方程为0241003211201210=---------z y x ,即01345=+--z y x . 解2:}1,1,1{-=}2,1,3{-=,由题设知,所求平面的法向量为k j i kj in 452131113121--=--=⨯=P P P P , 又因为平面过点)2,1,0(1P ,所以所求平面方程为0)2(4)1(5)0(=-----z y x ,即01345=+--z y x .解3: 用下面的方法求出所求平面的法向量},,{C B A =n ,再根据点法式公式写出平面方程也可. 因为3121,P P P P ⊥⊥n n ,所以{0,320,A B C A B C +-=-+=解得A C A B 4,5-=-=,于是所求平面方程为0)2(4)1(5)0(=-----z A y A x A ,即 01345=+--z y x .(2)因所求平面过x 轴,故该平面的法向量},,{C B A =n 垂直于x 轴,n 在x 轴上的投影0=A ,又平面过原点,所以可设它的方程为0=+Cz By ,由题设可知0≠B (因为0=B 时,所求平面方程为0=Cz 又0≠C ,即0=z .这样它与已知平面025=++z y x 所夹锐角的余弦为π1cos 32=≠=,所以0≠B ),令C B C'=,则有0='+z C y ,由题设得 22222212)5(10121503cos ++'++⨯'+⨯+⨯=πC C , 解得3='C 或13C '=-,于是所求平面方程为03=+z y 或03=-z y .6、 一平面过直线⎩⎨⎧=+-=++04,05z x z y x 且与平面01284=+--z y x 垂直,求该平面方程;解法1: 直线⎩⎨⎧=+-=++04,05z x z y x 在平面上,令x =0,得 54-=y ,z =4,则(0,-54,4)为平面上的点.设所求平面的法向量为n =},,{C B A ,相交得到直线的两平面方程的法向量分别为 1n ={1,5,1},2n ={1,0,-1},则直线的方向向量s =1n ⨯2n =101151-kj i ={-5,2,-5},由于所求平面经过直线,故平面的法向量与直线的方向向量垂直,即⋅n s ={-5,2,-5}•},,{C B A =C B A 525-+-=0,因为所求平面与平面01284=+--z y x 垂直,则}8,4,1{},,{--⋅C B A =C B A 84--=0,解方程组{5250,480,A B C A B C -+=--= ⇒ 2,5,2A CBC =-⎧⎪⎨=-⎪⎩ 所求平面方程为 0)4()54(25)0(2=-++---z C y C x C ,即012254=+-+z y x .解法2: 用平面束(略)7、求既与两平面1:43x z π-=和2:251x y z π--=的交线平行,又过点(3,2,5)-的直线方程.解法1:{}11,0,4=-n ,{}22,1,5=--n ,{}124,3,1s =⨯=---n n ,从而根据点向式方程,所求直线方程为325431x y z +--==---,即325431x y z +--==. 解法2:设{},,s m n p =,因为1⊥s n ,所以40m p -=;又2⊥s n ,则250m n p --=,可解4,3m p n p ==,从而0p ≠.根据点向式方程,所求直线方程为32543x y z p p p +--==,即325431x y z +--==. 解法3:设平面3π过点(3,2,5)-,且平行于平面1π,则{}311,0,4==-n n 为3π的法向量,从而3π的方程为1(3)0(2)4(5)0x y z ⋅++⋅--⋅-=,即4230x z -+=.同理,过已知点且平行于平面2π的平面4π的方程为25330x y z --+=.故所求直线的方程为423025330x z x y z -+=⎧⎨--+=⎩.8、 一直线通过点)1,2,1(A ,且垂直于直线11231:+==-z y x L ,又和直线z y x ==相交,求该直线方程;解: 设所求直线的方向向量为{,,}m n p =s ,因垂直于L ,所以320m n p ++=;又因为直线过点)1,2,1(A ,则所求直线方程为 p z n y m x 121-=-=-,联立121,①,②320,③x y z m n p x y z m n p ---⎧==⎪⎨==⎪++=⎩由①,令λ=-=-=-p z n y m x 121,则有⎪⎩⎪⎨⎧+=+=+=,1,2,1p z n y m x λλλ代入方程②有{12,11,m n m p λλλλ+=++=+ 可得p m =,代入③解得p n 2-=, 因此,所求直线方程为112211-=--=-z y x .9、 指出下列方程表示的图形名称:(a) 14222=++z y x ;(b) z y x 222=+;(c) 22y x z +=;(d) 022=-y x ;(e) 122=-y x ; (f) ⎩⎨⎧=+=222z y x z .解: (a) 绕y 轴旋转的旋转椭球面.(b) 绕z 轴旋转的旋转抛物面. (c) 绕z 轴旋转的锥面. (d) 母线平行于z 轴的两垂直平面:y x =,y x -=. (e) 母线平行于z 轴的双曲柱面. (f) 旋转抛物面被平行于XOY 面的平面所截得到的圆,半径为2,圆心在(0,0,2)处.10、求曲面22z x y =+与222()z x y =-+所围立体在xOy 平面上的投影并作其图形.解: 将所给曲面方程联立消去z ,就得到两曲面交线C 的投影柱面的方程122=+y x ,所以柱面与xOy 平面的交线⎩⎨⎧==+'01:22z y x C 所围成的区域221+≤x y 即为曲面22z x y =+与222()z x y =-+所围立体在xOy 平面上的投影(图略).复习题B1、设4=a ,3=b ,()6π=a,b ,求以2+a b 和3-a b 为邻边的平行四边形的面积.解:(2)(3)326A =+⨯-=⨯-⨯+⨯-⨯a b a b a a a b b a b b325=-⨯-⨯=-⨯a b a b a b 15sin()543302=⋅=⨯⨯⨯=a b a,b .2、设(3)(75)+⊥-a b a b ,(4)(72)-⊥-a b a b ,求()a,b . 解: 由已知可得:(3)(75)0+⋅-=a b a b ,(4)(72)0-⋅-=a b a b 即 22715160-+⋅=a b a b ,2278300+-⋅=a b a b .这可看成是含三个变量a 、b 及⋅a b 的方程组,可将a 、b 都用⋅a b 表示,即==a b 1cos()22⋅⋅===⋅a b a b a,b a b a b ,()3π=a,b .3、求与}3,2,1{-=a 共线,且28=⋅b a 的向量b .解 由于b 与a 共线,所以可设}3,2,{λλλλ-==a b ,由28=⋅b a ,得28}3,2,{}3,2,1{=-⋅-λλλ, 即2894=++λλλ,所以2=λ,从而}6,4,2{-=b .4、 已知}0,1,1{},2,0,1{=-=b a ,求c ,使b c a c ⊥⊥,且6=c .解法1: 待定系数法.设},,{z y x =c ,则由题设知0,0=⋅=⋅b c a c 及6=c ,所以有①20②③6x z ⎧-=⎪=由①得2xz = ④,由②得x y -= ⑤,将④和⑤代入③得62)(222=⎪⎭⎫⎝⎛+-+x x x ,解得2,4,4±==±=z y x ,于是 }2,4,4{-=c 或}2,4,4{--=c .解法2: 利用向量的垂直平行条件,因为b c a c ⊥⊥,,所以c ∥b a ⨯.设λ是不为零的常数,则k j i k j i b a c λλλλλ+-=-=⨯=22011201)(,因为6=c ,所以6]1)2(2[2222=+-+λ,解得2±=λ,所以}2,4,4{-=c 或{4,4,2}=--c .解法3: 先求出与向量b a ⨯方向一致的单位向量,然后乘以6±.k j i kji b a +-=-=⨯22011201,31)2(2222=+-+=⨯b a ,故与b a ⨯方向一致的单位向量为}1,2,2{31-.于是}1,2,2{36-±=c ,即}2,4,4{-=c 或}2,4,4{--=c .5、求曲线222x y R x y z ⎧+=⎨++=⎩的参数式方程.解: 曲线参数式方程是把曲线上任一点(,,)P x y z 的坐标,,x y z 都用同一变量即参数表示出来,故可令cos ,sin x R t y R t ==,则(cos sin )z R t t =-+.6、求曲线22:2z L x y x⎧⎪=⎨+=⎪⎩xOy 面上及在zOx 面上的投影曲线的方程.解: 求L 在xOy 面上的投影的方程,即由L 的两个方程将z 消去,即得L 关于xOy 面的投影柱面的方程222x y x +=则L 在xOy 面上的投影曲线的方程为2220x y xz ⎧+=⎨=⎩. 同理求L 在zOx 面上的投影的方程,即由L 的两个方程消去y ,得L 关于zOx 面的投影柱面的方程z =L 在zOx面上的投影曲线方程为0z y ⎧=⎪⎨=⎪⎩.7、已知平面π过点0(1,0,1)M -和直线1211:201x y z L ---==,求平面π的方程. 解法1: 设平面π的法向量为n ,直线1L 的方向向量1(2,0,1)=s ,由题意可知1⊥n s ,(2,1,1)M 是直线1L 上的一点,则0(1,1,2)M M =在π上,所以0MM ⊥n ,故可取10MM =⨯n s (1,3,2)=--.则所求平面的点法式方程为1(1)3(0)2(1)0x y z ⋅-+⋅--⋅+=,即3230x y z +--=为所求平面方程.解法2: 设平面π的一般方程为0Ax By Cz D +++=,由题意可知,π过点0(1,0,1)M -,故有0A C D -+=, (1)在直线1L 上任取两点12(2,1,1),(4,1,2)M M ,将其代入平面方程,得20A B C D +++=, (2)420A B C D +++=, (3)由式(1)、(2)、(3)解得3,2,3B A C A D A ==-=-,故平面π的方程为3230x y z +--=.解法3: 设(),,M x y z 为π上任一点.由题意知向量0M M 、01M M 和1s 共面,其中()12,1,1M 为直线1L 上的点,1(2,0,1)=s 为直线1L 的方向向量.因此0011()0M M M M ⨯⋅=s ,故平面π的方程为1012110110201x y z --+--+=,即3230x y z +--=为所求平面方程.8、求一过原点的平面π,使它与平面0:π4830x y z -+-=成4π角,且垂直于平面1:π730x z ++=. 解: 由题意可设π的方程为0Ax By Cz ++=,其法向量为(,,)A B C =n ,平面0π的法向量为0(1,4,8)=-n ,平面1π的法向量为1(7,0,1)=n ,由题意得00||cos 4||||π⋅=⋅n n n n ,即=(1) 由10⋅=n n ,得70A C +=,将7C A =-代入(12=,解得20,B A =或10049B A =-,则所求平面π的方程为2070x y z +-= 或 491003430x y z --=.9、求过直线1L :0230x y z x y z ++=⎧⎨-+=⎩且平行于直线2L :23x y z ==的平面π的方程.解法1: 直线1L 的方向向量为1=s 111(4,1,3)213==---i j k,直线2L 的对称式方程为632x y z==,方向向量为2(6,3,2)=s ,依题意所求平面π的法向量1⊥n s 且2⊥n s ,故可取12=⨯n s s ,则413(7,26,18)632=--=-i j kn ,又因为1L 过原点,且1L 在平面π上,从而π也过原点,故所求平面π的方程为726180x y z -+=.解法2: 设所求平面π为 (23)0x y z x y z λ+++-+=,即(12)(1)(13)0x y z λλλ++-++=, 其法向量为(12,1,13)λλλ=+-+n ,由题意知2⊥n s ,故26(12)3(1)2(13)0λλλ⋅=++-++=n s ,得1115λ=-,则所求平面π的方程为726180x y z -+=.另外,容易验证230x y z -+=不是所求的平面方程.10、求过直线L :⎩⎨⎧=+-+=+-+0185017228z y x z y x 且与球面1222=++z y x 相切的平面方程解: 设所求平面为 ()018517228=+-+++-+z y x z y x λ,即 (15)(288)(2)170x y z λλλλ+++-+++=,由题意:球心)0,0,0(到它的距离为1,即1)2()828()51(17222=--+++++λλλλ解得:89250-=λ 或 2-=λ 所求平面为:42124164387=--z y x 或 543=-y x11、求直线L :11111--==-z y x 在平面π:012=-+-z y x 上投影直线0L 的方程,并求直线0L 绕y 轴旋转一周而成的曲面方程.解: 将直线L :11111--==-z y x 化为一般方程 ⎩⎨⎧=-+=--0101y z y x ,设过直线L 且与平面π垂直的平面方程为()011=-++--y z y x λ,则有02)1(1=+--λλ,即2λ=-,平面方程为0123=+--z y x ,这样直线0L 的方程⎩⎨⎧=-+-=+--0120123z y x z y x 把此方程化为:⎩⎨⎧--==)1(221y z yx ,因此直线0L 绕y 轴旋转一周而成的曲面方程为:22221(2)(1)2x z y y ⎛⎫+=+-- ⎪⎝⎭即 0124174222=-++-y z y x .12、求过点)1,0,3(-A 且平行于平面1π:3450x y z --+=,又与直线1:2x L =1111y z -+=-相交的直线L 的方程.解法1: 用点向式方程.因为直线L 平行于平面1π,故直线L 的方向向量},,{p n m =s 垂直于平面1π的法向量}1,4,3{--=n ,从而得043=--p n m ①,又直线1L 的方向向量为}1,1,2{-=s ,)1,1,0(-B 是直线1L 上一点,)1,0,3(-A 是直线L 上一点,根据题设:直线L 与直线1L 相交,所以1s,s 及AB 共面,因此1()2110312m n pAB ⨯⋅=-=-s s ,即0=-+-p n m ②,将①和②联立解得p n p m 4,5-=-=,由此得145p n m =-=-,于是所求直线方程为11453-=-=-+z y x .。
第五章 向量代数与空间解析几何作业7 向量代数1.填空题(1)已知两点)1,2,4(1M 和)2,0,3(2M ,则向量21M M 的模是 2 ,方向余弦是11,,222--,方向角是23,,343πππ。
(2)一向量的终点在)7,1,2(-,它在x 轴、y 轴、z 轴上的投影依次为4,-4和7,则这个向量的起点坐标为()2,3,0-。
(3)向量→a 与向量}2,1,2{-平行,2=→a ,则→a =}2,1,2{32-±。
(4)设}2,2,1{-=→a ,}2,1,2{-=→b ,则=+⋅-→→→→)()(b a b a 0,=+⨯-→→→→)()(b a b a}6,12,12{-。
(5)设一质点在力→→→→++-=k j i F 432的作用下沿直线运动,从点)3,2,1(1-M 运动到点)4,1,3(2M ,此力所做的功是 21 。
2.设}0,2,1{-=AB ,}1,3,0{=BC ,}8,6,5{-=CD ,四边形ABCD 对角线AC 的中点为M ,BD 的中点为N ,求向量MN 。
解:BD AB CA MN 2121++==)(21)(21CD BC AB BA CB ++++={3,2,-4。
3.设向量→→→c b a ,,两两垂直,且,1=→a ,2=→b ,3=→c 计算→→→++c b a 。
解:2→→→++c b a =)()(c b a c b a ++⋅++=14→→→++c b a =14。
4.已知π2,1,(,)3a b a b ∧→→→→===,问系数λ为何值时,向量→→+b a λ与→→+-b a 3垂直?解:)(→→+b a λ)3(→→+-⋅b a =02=+-λ,2=λ。
5.设→→→→--=k j i a 23,→→→→-+=k j i b 2,求:(1) b j a Pr ; (2) ),cos(∧→→b a 。
解:143Pr ==b j a ,),c o s (∧→→ba 2123==。
高等数学工专教材答案1. 课后题答案1.1 第一章1.1.1 选择题答案1.1.2 填空题答案1.1.3 解答题答案1.2 第二章1.2.1 选择题答案1.2.2 填空题答案1.2.3 解答题答案1.3 第三章1.3.1 选择题答案1.3.2 填空题答案1.3.3 解答题答案1.4 第四章1.4.1 选择题答案1.4.2 填空题答案1.4.3 解答题答案1.5 第五章1.5.1 选择题答案1.5.2 填空题答案1.5.3 解答题答案1.6 第六章1.6.1 选择题答案1.6.2 填空题答案1.6.3 解答题答案2. 习题答案2.1 第一章习题答案2.2 第二章习题答案2.3 第三章习题答案2.4 第四章习题答案2.5 第五章习题答案2.6 第六章习题答案3. 工程应用题答案3.1 第一章工程应用题答案3.2 第二章工程应用题答案3.3 第三章工程应用题答案3.4 第四章工程应用题答案3.5 第五章工程应用题答案3.6 第六章工程应用题答案4. 常见错误与解析4.1 第一章常见错误与解析4.2 第二章常见错误与解析4.3 第三章常见错误与解析4.4 第四章常见错误与解析4.5 第五章常见错误与解析4.6 第六章常见错误与解析5. 附录5.1 数学工具表5.2 参考书目以上为《高等数学工专教材》的答案内容。
本答案提供了课后题、习题以及工程应用题的详细解答,同时包含每章的常见错误与解析。
附录部分提供了数学工具表和参考书目。
希望这份教材答案能够帮助您更好地理解和应用高等数学知识。
如有任何问题,请随时与我们联系。
工程数学习题课第六章答案第六章答案工程数学是一门应用数学学科,它的主要目的是研究数学在工程领域中的应用。
在学习工程数学的过程中,我们经常会遇到一些习题,这些习题旨在帮助我们巩固所学的知识,并提高我们的解题能力。
本文将为大家提供第六章工程数学习题课的答案,希望能对大家的学习有所帮助。
第一题:求解方程组给定方程组:x + y + z = 62x + y - z = 1x - y + 2z = 3我们可以使用消元法来求解这个方程组。
首先,我们可以将第一个方程乘以2,得到:2x + 2y + 2z = 12然后,我们将第二个方程加上第三个方程,得到:3x + 2z = 4接下来,我们可以将第一个方程减去第三个方程的两倍,得到:3y - 4z = 0现在,我们可以将第二个方程乘以3,并将第三个方程乘以2,得到:9x + 6z = 122x - 2y + 4z = 6将上述两个方程相加,得到:11x + 10z = 18现在,我们可以解这个二元一次方程,得到:x = 2z = 1将x和z的值代入第一个方程,得到:2 + y + 1 = 6y = 3所以,方程组的解为:x = 2y = 3z = 1第二题:求解微分方程给定微分方程:dy/dx = 2x我们可以将这个微分方程分离变量,得到:dy = 2x dx然后,我们对两边同时积分,得到:∫dy = ∫2x dx对右边的积分,我们可以得到:y = x^2 + C其中C为常数。
所以,微分方程的解为:y = x^2 + C第三题:求解积分给定积分:∫(2x + 3) dx我们可以对积分进行展开,得到:∫2x dx + ∫3 dx对第一项进行积分,我们可以得到:x^2 + C1对第二项进行积分,我们可以得到:3x + C2所以,积分的解为:∫(2x + 3) dx = x^2 + 3x + C结语通过以上的习题答案,我们可以看到工程数学的应用广泛而深入。
在学习工程数学的过程中,我们需要掌握各种解题方法和技巧,以便能够灵活运用数学知识解决实际问题。
第6章 常微分方程数值解法 讨论一阶常微分方程初值问题
(,),,
()dy
f x y a x b
dx y a η
⎧=≤≤⎪⎪⎨⎪=⎪⎩ (6.1.1)
的数值解法.
数值解法可区分为两大类:
(1) 单步法:此类方法在计算1n x + 上的近似值1y n + 时只用到了前一点n x 上的信息.如
Euler 法,
Runge-Kutta 法,Taylor 级数法就是这类方法的典型代表.
(2) 多步法:此类方法在计算
1y
n +时,除了需要n x 点的信息外,还需要12,,n n x x -- ,等前面若干
个点上的信息.线性多步法是这类方法的典型代表.
离散化方法
1. Taylor(台劳)展开方法
2. 化导数为差商的方法
3. 数值积分方法
一、线性多步法
基本思想:是利用前面若干个节点上()y x 及其一阶导数的近似值的线性组合来逼近下一个节点上()y x 的值. 1.一般公式的形式
10
1
',,1,,
p
p
n i
n i
i n i i i y a y
h b y n p p +--==-=
+=+∑∑
其中
i a ,i b 为待定常数,p 为非负整数.
说明:
(1)在某些特殊情形中允许任何i a 或i b 为零,但恒假设p a 和p b 不能同时全为零,此时称为1p +步法,它
需要
1p +个初始值01,,,.p y y y 当0p =时,定义了一类1步法,即称单步法.
(2) 若1
0b -=,此时公式的右端都是已知的,能够直接计算出1n y +,故此时称为显式方法;若10b -≠,
则公式的右端含有未知项111'(,),n n n y f x y +++=此时称其为隐式方法.
2.逼近准则 准确成立:
10
1
()()'(),,1,.
p
p
n i
n i
i n i i i y x a y x
h b y x n p p +--==-=
+=+∑∑
【定义 6.1】 如果对任意()r y x M =,某一线性多步法准确成立,而当()y x 为某一个1r +次多项式时,线性多步法不准确成立,则称此线性多步法是r 阶的. 注:
(1)方法的阶越高,逼近效果越好. (2)1p +步法的最高阶可达 22r p =+. 3.线性多步法阶与系数的关系 局部截断误差
10
1
()()'(),,1,.
p
p
n n i
n i
i n i i i T y x a y x
h b y x n p p +--==-=-
-=+∑∑
()
01()'()(),
q
q n n n q n T c y x c hy x c h y x =++++
其中
00
101
1
011,1[()],1{1[()()2,3,.!p
i i p p
i i i i p p
q q q i i i i c a c i a b c i a i b q q ===--==-⎧
=-⎪
⎪
⎪
=--+⎪
⎨⎪⎪
⎪=--+-=⎪⎩∑∑∑∑∑
【定理6.1】 线性多步法是r 阶的充分必要条件是
0110,0r r C C C C +====≠
称
1r C +为误差常数.
线性多步法是相容的:满足条件010C C ==,即
00
1
1,()1
p
i i p
p
i
i
i i a i a b
===-⎧=⎪⎪⎨⎪-+
=⎪⎩∑∑∑
4.线性多步法的构造方法 待定系数法:
r 阶方法的系数,i
i
a b 确定,可令0
10,r C
C C ==== 即解下面方程得到
1,0()101
1()(),2,3,,01p a i
i p p
i a b i i i i p p
q q i a q i q r i i i ⎧
=∑⎪
⎪=⎪
⎪-+=∑∑⎪
⎨==-⎪
⎪
⎪-⎪-+-=∑∑⎪==-⎩
二、线性多步法的收敛性 记
1
(),p
p p i
i
i r r
a r
ρ+-==-
∑
1
().
p
i p i
i r b r
σ-=-=
∑
分别称为线性多步法的第一、第二特征多项式.
()r ρ以及相应的线性多步法满足根条件:若()r ρ的所有根的模均不大于1,且模为1的根是单根。
【定理6.3】若线性多步法收敛,则其满足根条件.
【定理6.5】若线性多步法是收敛的,则其一定是相容的.
【定理6.6】线性多步法收敛的充分必要条件是该方法是相容的且满足根条件. 三、线性多步法的数值稳定性 称
1
1(;)(1)()()(),
p
p p i
i
i i o
r h h b r
a
h b r
r h r πλλλρλσ+--==--
+=-∑
为线性多步法的稳定多项式.记(;)0r h πλ=的根为
01(),(),,().
p r h r h r h λλλ
它们连续地依赖于h λ的值。
有性质:
2
0()1(),0;r h h O h h λλ=++→ 记h h λ=.
【定义6.5】设某线性多步法是收敛的,()i r h 是其稳定多项式(;)r h π的根(1,2,,).i p =
(1) 若对任意[,]h R αβ∈⊂有
0|()||(),1,2,,i r h r h i p ≤=
且当0|()||()i r h r h =时,()i r h 是单根,则称此方法在[,]αβ上为相对稳定的.称[α,β]为相对稳定区间.
(2) 若对任意的(,)h R σδ∈⊂有
|()|1,1,2,,i r h i p <=
则称此方法在(,)σδ上为绝对稳定的.称(,)σδ是绝对稳定区间.
四、Runge-Kutta 法 1.RK 法的一般形式
s 级RK 法的一般形式为
1111,(,),1,2,,s
n n i i i s i n i n
ij j j y y h b K K f x c h y h
a K i s +=-=⎧
=+⎪
⎪⎨⎪=++=⎪⎩
∑∑
其中,,,i i ij b c α 都是常数,
110,0,1,2,,1
j c j s α===- .
s 级RK 方法的局部截断误差
11
()(),
s
n n n i i i T y x y x h b K +==--∑
2.二级RK 法 二级RK 法的一般形式
11122122211,(,),(,).n n n n n n y y hb K hb K K f x y K f x c h y ha K +=++⎧⎨
==++⎩
达到2阶时应选取
12121,,,b b c α 满足方程
1222
2211,1,21.2b b b c b c ⎧
⎪+=⎪
⎪
=⎨⎪
⎪
=⎪⎩
这是四个未知数的三个方程,有无穷多解.以2c 为自由参数得22212121,2,11.
2b c a c b c ⎧
=⎪⎪⎪
=⎨⎪⎪=-⎪
⎩
此时
223
2
24
1[(
)(''2'''')
6
4
1'('')]()
6
n xy x y y x y c T h f f f f f f f f f O h =-
+++++
注:二级RK 法最高只能达到2阶.
常用的二级2阶RK 法.
(1) 中点方法(取
212c =
)
1[,(,)];
2
2
n n n n n n h h y y hf x y f x y +=++
+
(2) Heun 方法(取
223c =
)
122[(,)3(,(,)];
4
3
3
n n n n n n n n h y y f x y f x h y hf x y +=+
++
+
(3) 改进的Euler 方法(取2
1c =)
1[(,)(,(,)]
2
n n n n n n n n h y y f x y f x h y hf x y +=+
+++
其中,Heun 公式是选择参数2c 使截断误差系数达到极小化得到的.
3. 四级RK 法
四级4阶RK 法的经典方法公式
112341213243(22),
6(,),(,),22(,),(,).22n n n n n n n n n n h y y K K k k h h K f x y K f x y K h h K f x y K K f x h y hK +⎧
=++++⎪⎪
⎪
==++⎨
⎪
⎪
=++=++⎪⎩
5. RK 法绝对的稳定性
【定义6.6】如果一个RK 法以步长h 应用于试验方程时,所得数值解
0()n y n →→∞.则称该RK 法对确定的
h h λ=是绝对稳定的.
注:
(1)二级2阶RK 法具有相同的绝对稳定区间:(2,0)- (2)四级4阶RK 法具有形同的绝对稳定区间:( 2.78,0)-。