北邮通信原理基础知识题
- 格式:pdf
- 大小:301.33 KB
- 文档页数:18
2022期末试题A103北京邮电大学通信原理北京邮电大学2022—2022学年第I学期《通信原理》期末考试A卷考试注意事项题号满分得分阅卷教师(1)已知数据速率是9600bp,基带信号采用滚降系数为0.5的根升余弦脉冲。
若采用QPSK,则已调信号的带宽是Hz,频谱效率是bp/Hz;若采用8PSK,则已调信号的带宽是Hz,频谱效率是bp/Hz。
(2)某64QAM系统发送端采用了根升余弦滚降成形,其发送信号的单边功率谱密度图如下所示。
从图中可知,发送信号功率是W,滚降系数是,符号速率是MBaud,比特速率是Mbp。
(3)将N路话音信号分别通过截止频率为fH的理想低通滤波器,然后按奈氏速率采样,A律十三折线编码,最后时分复用为一路速率为Rb的数据。
若N=10,第1页共11页姓名:班级:学号Rb=560kbp,则fH不得大于kHz。
若Rb=2.048Mbp,fH=4kHz,则最多可以传输N=路话音。
若fH=3kHz,N=100,则输出速率Rb=kbp。
理想低通滤波理想低通滤波奈奎斯特速率采样奈奎斯特速率采样理想低通滤波奈奎斯特速率采样A律十三折线编码A律十三折线编码A律十三折线编码时分复用(4)假设四进制调制的两个比特的平均能量Eb=1,则4ASK的最小星座点间距离是,4PSK是,正交4FSK是(5)设2FSK在[0,Tb]内发送Tb=50m,当时,能使。
当时,能使或。
假设正交的最小=Hz;正交的最小=Hz。
(6)设A律十三折线编码器的动态范围是[2048,+2048]。
若对于所有取值落在区间(a,b)中的样值,其编码结果的高4位都是1110,则a=,b=(7)矩形星座格雷映射的16QAM调制的I路和Q是两个独立的4ASK。
若已知这两个4ASK的符号错误率都是0.0002,则16QAM的符号错误率近似是,16QAM的平均比特错误率近似是二.选择填空(每题1分,共20分。
)将答案写在本题后面的答题表中,第21空是示例1.下图是(1)调制的一种解调方案,叫(2)LPFTb判决(D)DPSK(D)包络解调(1)(A)OOK(B)2FSK(C)BPSK(2)(A)相干解调(B)最佳解调(C)差分相干解调第2页2.假设BPSK的数据独立等概,发端载波是Cota环所恢复的载波是(3)(A)等概取值于0或(C)在区间[0,]内均匀分布收端使用平方环或,其中是一个(3)的随机相位。
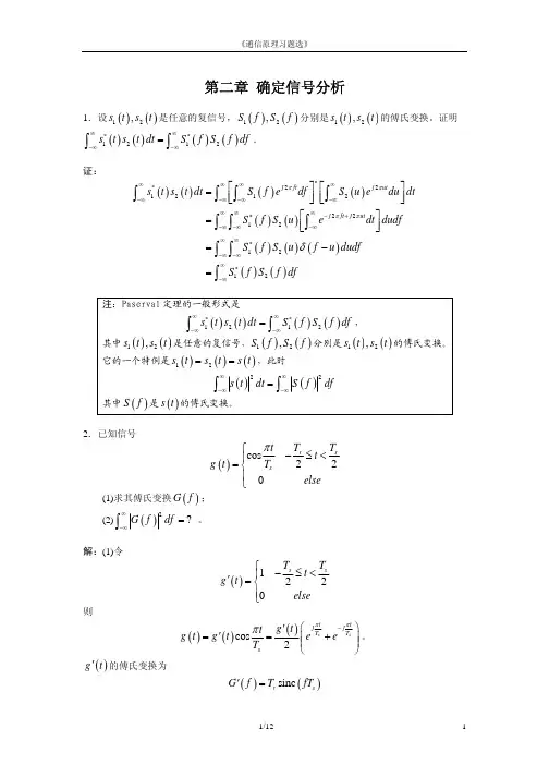
一、填空题(每题2分,共20分)1、 信号()f t 傅里叶变换为()F j ω,则4(2)j t e f t -傅里叶变换为 。
2、 已知()sin ,()()4f t t f t t dt πδ+∞-∞=-=⎰。
3、 离散时间信号x (n )=sin(0.8πn )的周期是 。
4、 两个时间函数()()t f t f 21,在[]21,t t 区间内相互正交的条件是 。
5、 对信号()6cos10cos30f t t t =+进行理想抽样,奈奎斯特频率为 Hz ,奈奎斯特间隔为s 。
6、 调相信号()cos[2()]c c p s t A f t K m t π=+,其解析信号(即复信号)的表达式为 ,其复包络的表示式为 。
7、 若12,n n 是两个独立同分布的零均值高斯噪声,方差都是1,则12n n ⨯的方差是 ,12n n +的方差是 。
8、 某信源的速率是1kbps ,用2PSK 调制,其主瓣宽度是 ,若将信源序列同一个速率为10kbps的m 序列异或后再进行2PSK 调制, 则主瓣宽度是 。
9、 对于m 序列,在一个周期中长度为k 的游程数占游程总数的 。
10、设高斯信道的带宽为250kHz ,信号与噪声的功率比为63,此信道上最高可实现的信息传输速率是 。
二、计算题(共130分) 1、已知1()f t 和2()f t 波形如图,求12()()*()f t f t f t =,并画出()f t 波形。
(8分)2、已知连续时间系统的微分方程为 (12分)''''()4()3()()4()y t y t y t f t f t ++=+(1) 试写出系统函数()H s ,绘出零极点分布图。
(2) 若初始条件(0)0y -=,'(0)2y -=时,全响应为2351()(2)()22t ty t e e u t --=--,求激励信号()f t 。
第1章1.数字信号和模拟信号的区别是什么?答:数字信号和模拟信号的区别在于表征信号的参量〔例如幅值〕是否离散。
2.什么是多进制数字信号?答:假设信号幅度取值可能有多种〔例如4或8种〕,这种数字信号叫多进制数字信号。
4.数字通信占用的带宽比模拟通信大,能举例吗?答:一路模拟所占频带仅4kHz,而一路数字的频带为64kHz,而后者是前者的16倍。
5.为什么使用分贝表示两功率之比?答:主要有如下两个原因:①读写、计算方便。
如多级放大器的总放大倍数为各级放大倍数相乘,用分贝可改用相加。
②能如实地反映人对声音的感觉。
实践证明,声音的分贝数增加或减少一倍,人耳听觉响度也提高或降低一倍。
即人耳听觉与声音功率分贝数成正比。
例如蚊子叫声与大炮响声相差100万倍,但人的感觉仅有60倍的差异,恰好分贝。
第2章1.什么是语音信号编码?答:模拟语音信号数字化称为语音信号编码〔简称语音编码〕。
同理,图像信号的数字化称为图像编码。
2.PAM信号是模拟信号还是数字信号?答:我们要考察受调参量的变化是否离散。
PAM调制的受调参量是脉冲的幅度,而调制后PAM信号在幅度上仍然是连续的,所以PAM信号是模拟信号。
3.产生折叠噪声的原因是什么?答::如果抽样频率选得不适宜,以低通型信号为例,假设,那么会产生折叠噪声。
4.对于话音通信产生折叠噪声的后果是什么?答:有折叠噪声就意味着一次下边带与原始频带重叠,造成的后果是收端无法用低通滤波器准确地恢复原模拟话音信号。
5.为了产生折叠噪声,抽样频率是不是越高越好?答:抽样频率不是越高越好,太高时会增加占用的带宽,使信道利用率降低。
6.PCM通信系统中发端低通的作用是什么?答:发端低通的作用是予滤波,即防止高于3.4KHz的信号通过,防止PAM信号产生折叠噪声。
7.PCM通信系统中收端低通的作用是什么?答:收端低通的作用是恢复〔或重建〕原模拟信号。
8.为了提高小信号的量化信噪比,仍然采用均匀量化行不行?答:不行。
试题二PART I 填空题1.某分组码的最小码距是6,若该码用于纠错,可保证纠正 位错。
若用于检错,可保证检出 位错。
2.在多径时变信道中,当多径时延差远远小于符号间隔时 ,当多径时延差同符号间隔可比拟时 。
(选择下面所列添入空中,每空只能选一项)a. 不发生衰落; b 发生阴影衰落;c 发生瑞利衰落;d. 发生频率选择性衰落;e. 发生非线性失真。
3.某m 序列由n 级移存器组成。
将此m 序列延迟一位后同原序列模2相加,所得序列的周期是 ,一个周期中0的个数减1的个数等于 。
4.某信源的速率是1kbps ,用2PSK 调制,其主瓣带宽是 。
若将信源序列同一个速率为10k 的m 序列异或后再进行2PSK 调制,则主瓣带宽是 。
PART II 计算题一、已知(7,3)分组码的生成矩阵为⎥⎥⎥⎦⎤⎢⎢⎢⎣⎡=001110101001111001110G (1)写出所有许用码组,并求出监督矩阵。
(2)该码的编码效率为多少?(3)若译码器输入的码组为l001001,请计算其校正子,并指出此接收码组中是否包含错误。
二、已知某(n ,k )循环码的编码率是2/3,生成多项式是,问)1)(1()(+++=x x x x g 4(1)n =? k =?(2)请写出该编码器的非全0编码结果中次数最低的码多项式()x a 。
(3)已知前问中的所代表的码字a 是非全0码以外的所有编码结果中码重最小的,问这个循环码的最小码距是多少?()x a (4)如果该循环码用于检错目的,问错误图样多项式()x e 具有何种特点时不能被收端检出?(5)证明该循环码可以检出n 个比特全都发生错误的错误图样()111321++=+++++=−−−x x x x x x x e n n n n Λ。
(提示:设法验证的因式中只有一个是)1+n x 1+x (6)请写出信息码组为(1010110110)的编码输出(要求用系统码)。
三、已知某m 序列的特征多项式为35()1f x x x =++,请:(1)画出相应的线性反馈移位寄存器序列发生器的结构图。
1. 调制信道对信号的干扰分为 乘性干扰 和 加性干扰 两种。
2. 根据乘性干扰对信道的影响,可把调制信道分为 恒参信道 和 随参信道 两大类。
3. 随参信道中的多经传播对信号传输的影响有:产生瑞利型衰落、引起频率弥散 、造成频率选择性衰落 。
4. 常见的随机噪声可分为 单频噪声 、 脉冲噪声 和 起伏噪声 三类。
5. 数字基带信号()t S的功率谱密度()ωS P 可能包括两部分即 连续谱 和 离散谱 。
6. 二进制数字调制系统有三种基本信号,分别为 振幅键控 、 频率键控 和 相位键控 。
7. 模拟信号是利用 抽样 、 量化 和 编码 来实现其数字传输的。
8. 模拟信号数字传输系统的主要功能模块是 模数转换器 、 数字传输系统 和 数模转换器 。
9.在数字通信中,同步分为 载波同步 、 位同步 、 群同步 和 网同步 。
10. 通信系统按调制方式可分 连续波调制系统 和 脉冲调制系统 ;按信号特征可分为 模拟通信系统 和 数字通信系统 。
11. 若系统功率传输函数为()ωH ,则系统输出功率谱密度()()ωξO P 与输入功率谱密度()()ωξI P关系为()()ωξOP = ()()ωξIP |H (W )|212. 随参信道的传输媒质的三个特点分别为 对信号的耗衰随时间而变、传输的时延随时间而变、多径传播 。
13. 二进制振幅键控信号的产生方法有两种,分别为 模拟幅度调制法 和 键控法 。
14. 衡量通信系统的质量指标主要有 有效性 和 可靠性 ,具体对数字通信系统而言,前者常用 码率 来衡量,后者常用 误码率 来衡量。
15. 在数字通信中,产生误码的因素有两个:一是由传输特性不良引起的 码间串扰 ,二是传输中叠加的 加性噪声 。
16. 根据香农公式,理想解调器的输入信噪比i i N S 和带宽c B 与输出信噪比o o N S 和带宽s B 之间满足c B lb(1+ i i N S ) = s B lb(1+ o o N S ) 。
《光纤通信技术》复习题一.基本概念1.什么样的电磁波叫做“光”?目前的光纤通信用的是什么光?波长是多少?2.光纤通信的特点?3.光纤的NA和LNA各是什么意义?什么是光线模式的分立性?4.什么是光纤的色散?光纤的色散分为哪几种?在单模光纤中有哪些色散?5.归一化频率V和截止频率V C各如何定义?有何区别和联系?6.什么是单模光纤?单模传输的条件是什么?7.什么是模耦合?什么EMD?8.什么是光纤的近场和远场?什么是模场直径?什么是光纤的截止波长?9.什么是光子的自发辐射、受激吸收、受激辐射?10.什么是信号的抖动?抖动的性能参数有哪些?11.满注入和LPS注入条件是怎样规定的?二.基本原理1.光在不同的界面上发生反射和折射的方向规律如何?发生全反射的条件是什么?2.什么是散射?光被介质吸收有几种形式?为什么“波长有选择性”?3.光纤芯区折射率为什么比包层高?4.光纤通信为什么向长波长、单模光纤方向发展?5.无源光器件有那些?作用是什么?6.为什么发光二极管的发射谱线宽、发射角大,而半导体激光器的发射谱线窄、发射角小?7.试分析光通过介质时,在什么情况下,(1)光波被吸收;(2)光波被放大;(3)光波强度保持不变。
8.简述LD和LED的工作原理9.简述PIN和APD管的工作原理10.光接受机是由几部分组成的?各部分的作用是什么?11.辅助设备有哪些?作用是什么?12.公务通信有几种方式?区间通信主要解决什么问题?13.光纤通信系统中的接口电路的作用是什么?14.实用化的光纤通信系统是由哪些部分组成的?各部分的作用分别是什么?三.计算1.已知多模光纤的Δ=0.01,n0=1.5,将此光纤端浸没于水中(n水==1.33),求其在水中的数值孔径。
2.已知目前的单模光纤芯直径为10μm,Δ=0.004,n0=1.5,并为阶跃分布,若以0.63μm波长的红光注入,其中导模约有多少?若想实现单模传输,芯经应作如何调整?3.某光纤损耗系数为2.5dB/km,长度为1.5km,输入光功率为10μW时,输出应为多少?4.用脉冲展宽法测量某多模光纤链的带宽,光纤链长10km,输入光脉冲FWHM为3ns,输出为5ns,求此光纤链的带宽。
北邮通信网基础课后习题答案第一章通信网概述简述通信系统模型中各个组成部分的含义,并举例说明。
答:通信系统的基本组成包括:信源,变换器,信道,噪声源,反变换器和信宿六部分。
信源:产生各种信息的信息源。
变换器:将信源发出的信息变换成适合在信道中传输的信号。
信道:按传输媒质分有线信道和无线信道,有线信道中,电磁信号或光电信号约束在某种传输线上传输;无线信道中,电磁信号沿空间传输。
反变换器:将信道上接收的信号变换成信息接收者可以接收的信息。
信宿:信息的接收者。
噪声源:系统内各种干扰。
现代通信网是如何定义的答:由一定数量的节点和连接这些节点的传输系统有机地组织在一起的,按约定信令或协议完成任意用户间信息交换的通信体系。
适应用户呼叫的需要,以用户满意的效果传输网内任意两个或多个用户的信息。
试述通信网的构成要素及其功能。
答:通信网是由软件和硬件按特定方式构成的一个通信系统。
硬件由:终端设备,交换设备和传输系统构成,完成通信网的基本功能:接入、交换和传输;软件由:信令、协议、控制、管理、计费等,它们完成通信网的控制、管理、运营和维护,实现通信网的智能化。
分析通信网络各种拓扑结构的特点。
(各种网络的拓扑结构图要掌握)答:基本组网结构:》网状网:优点:①各节点之间都有直达线路,可靠性高;②各节点间不需要汇接交换功能,交换费用低;缺点:①各节点间都有线路相连,致使线路多,建设和维护费用大;②通信业务量不大时,线路利用率低。
如网中有N 个节点,则传输链路数H=1/2*N(N-1)。
》星形网:优点:①线路少,建设和维护费用低;②线路利用率高;缺点:① 可靠性低,②中心节点负荷过重会影响传递速度。
如网中有 N 个节点,则传输链路数H=N-1。
》环形网:同样节点数情况下所需线路比网状网少,可靠性比星形网高。
如网中有N 个节点,则传输链路数H=N。
》总线形网:优点:①节点接入方便②成本低,缺点:①传输时延不稳定②若传输总线损坏,整个网络会瘫痪。
2006年硕士研究生入学考试通信原理A卷参考答案一.选择填空(每空1分,共16分)(a)自信息(力)窄带(c)宽带(J)无码间干扰(可信息爛⑴码何十扰(&)频带利用率(力)信源的兀余度⑴信道容fitU)多径(Q不能(/)增呈调(加)大于(刃)线性(。
)能(“)Eb/N() (q)从频威解除郴天的等于⑴循环⑴误码(“)非线(卩)不同⑴)互信息(X)小于0)从时域上解除相关性(二)相同1.在宽帶无线数7通仃系统中,冇两个因素对系统的谋码性能冇重耍影响,一是和发送功率相关的①D . 一是和信道的频率选择性袁落相关的_®f.将①怡大③k减小②.2.在加性白高斯噪声信道条件下,若给定借息速率、平均发送功率及噪声劝率谱密度No值,为进制数M増加时,对J' MFSkuI使性能得到改曾.对于MPSK町便性能得到改曾。
3.在佰源编码中,⑥h足信源编码和数据压缩的理论堪础。
4.在信源编码中,预测编码是一⑦v,离散余弦变换编码是©a。
5.若信源的信息速®x信道容駅,则存在一种编码方式.nJ保证通过该信道传送信息的差错率任意小。
反之,若信源的宿息速率⑩m 信道容星,则对于任何编码,传送的筮错率祁将大于某个不为零的正值。
6.循环码具冇⑪s性及®n性。
(或者n,s)7.信逍容就是指该信道的输入与输出、•的最大町能值。
8.扩频通信能够有效抑制外系统引起的⑭b F扰和信道W起的⑮i 「扰,fl I它在抑制加性白高斯噪声方而的能力和非扩频系统是⑯z〃(/)二二 T$inc(fT)e^g(r) = //(F-/) = J0<t<T 其他f-.(12分)已知下图所示的系统是在加性白高斯噪声干扰条件下,对某 个脉冲g(/)匹配的匹配滤波器。
(1) 请q 出该匹配滤波器的冲激响应力⑴及传递函数”(/)的农达式;(2) 假设g(/)在(0,卩)之外为0,请石出脉冲g (”的农达式并画出波形。
VSB:克服了DSB信号占用频带宽的问题,又解决了单边带滤波器不易实现的难题(百度百科)
预加重和去加重:抛物线形输出噪声功率谱密度
频分复用:众多信号在频率上分开的技术(北邮通信原理)
时分复用:……………时间………………(………………),分为同步和异步两类,时间片上前者固定,后者相反。
采样时间相比较长,充分利用剩余的时间(北邮通信304页)
超外差接收机:适应远程通信对高频率、弱信号接收的需要,在外差原理的基础上发展(百度),外差是只取有用的频率(非线性变换以后)
码间干扰:产生原因是信道带宽有限,导致信号在时域扩展。
升余弦滤波器,总之还是为了使传输响应努力成为一条直线(在理想信道之下)。
现实的信道就要用均衡器。
部分响应系统:人为引用可控(可消除可还原)码间干扰。
解决升余弦滤波器频带利用率低的问题。
符号同步:用来在接收端决定什么时候采样以便判决。
频率调制:即信号频谱搬移。
解决低频信号不适合在空气中远距离传播的问题。
天线问题。
频谱利用问题
信息熵:解决信息的信息的度量问题。
对数量化:解决通话时小信号均匀量化时信噪比较低的问题
交织:突发差错(纠独立差错的编码无力解决这个问题)变为独立差错
扩频通信:被誉为“革命”:大幅提高信噪比,更安全。
采用Rake接收解决了多径衰落问题。
第三章1234 56 6.178910第4章 (1)(2)()()()sin(2)sin(2)m c s t m t c t f t Ac f t ππ==[c o s 2()c o s 2()]2c m c m Ac f f t f f t ππ=--+ (){[()][()]}4c m c m Ac S f f f f f f f δδ=+-+-- {[()][()]}4c m c m Ac f f f f f f δδ-+++-+(3)相干解调相干解调:将接收信号与载波信号sin(2)fct π相乘,得到()s i n (2)()s i n (2)s i n (2c c c c r t f t A m t f tf tπππ=()[1c o s (4)]2cc A m t f t π=- 通过低通滤波器抑制载频的二倍频分量,得到解调信号为0()()2cA y t m t =2解:(1)444)4cos()cos(2 1.210)()cos(2102 1.110t t t s t πππ++=⨯⨯⨯⨯⨯ 444cos(2 1.110)[10.5cos(20.110)]t t ππ=+⨯⨯⨯⨯ 调制系数是a=0.5; 信号频率是f=1000Hz(2)44441()[(10)(10)]2[( 1.110)( 1.110)]2S f f f f f δδδδ=++-+++-⨯⨯441[( 1.210)( 1.210)]2f f δδ+++-⨯⨯(3)3解:(1)已调信号无法用包络检波解调,因为能包络检波的条件是()1m t ≤, 这里的max ()151A m t ==>,用包络检波将造成解调波形失真。
(2)相干解调:将接收信号与载波提取电路的信号cos()c t ω相乘,得到()cos()()cos()cos()()[1cos(2)]2c c c c c cA r t t A m t t t m t t ωωωω==+ 通过低通滤波器抑制载频的二倍频分量,得到解调信号0()()2cA y t m t = (3)c发端加导频的DSB-SC AM 信号产生框图如上图:在DSB-SC 信号上加上导频,在接收时就可以提取导频作为解调波 4解:(1)()2cos[2()]c m s t f f t π+=()()()cm c m S f f f f f f f δδ=+++--(2)调制方式为上边带调制。
通信原理考试题及答案1. 单选题:a) 通信系统中的调制是指:A. 将基带信号变成带通信号B. 将模拟信号转换成数字信号C. 将数字信号转换成模拟信号D. 将带通信号变成基带信号正确答案:A. 将基带信号变成带通信号b) 下列哪个是基带信号在频谱上的表现形式?A. 窄带信号B. 宽带信号C. 低频信号D. 高频信号正确答案:A. 窄带信号2. 多选题:a) 下列哪些技术属于调幅技术?A. AMB. FMC. PMD. PCM正确答案:A. AM和C. PMb) 调制的作用是:A. 增强信号的传输距离B. 减少信号的功率损耗C. 防止信号受干扰D. 使信号易于传输和处理正确答案:D. 使信号易于传输和处理3. 填空题:a) 传输介质的信号传播速度等于____________除以信号在介质中传播所需的____________。
正确答案:传播距离,时间b) 码元速率是指每秒传输的码元个数,单位为____________。
正确答案:波特(Baud)4. 简答题:请简要解释频谱扩展技术在通信中的应用。
正确答案:频谱扩展技术广泛应用于通信中的多址技术和调制技术。
在多址技术中,频谱扩展技术通过扩展码将用户数据进行编码,使得多个用户的信号能够在同一频带内传输,并在接收端进行解码以分离各个用户的信号。
在调制技术中,频谱扩展技术可以将基带信号编码后扩展到宽带信号,提高抗干扰性能和可靠性。
总结:通过以上考试题目和答案的介绍,我们可以了解到通信原理方面的基本知识和考核内容。
了解调制技术、频谱扩展技术等在通信中的应用,对于理解通信系统的原理和工作机制具有重要意义。