2019年北京四中高一上学期数学期中考试试题-真题
- 格式:docx
- 大小:912.92 KB
- 文档页数:4
北京市第四中学2019届高三第一学期期中考试数学试卷(理)一、选择题1.设函数的定义域为,函数的值域为,则()A.B.C.D.2.下列函数,其中既是偶函数又在区间上单调递减的函数为()A.B.C.D.3.函数()的大致图象是()A.B.C.D.4.执行如图所示的程序框图.若输出的结果是,则判断框内的条件是()A.? B.? C.? D.?5.函数()的部分图像如图所示,则函数表达式为()A.B.C.D.6.原命题:“,为两个实数,若,则,中至少有一个不小于1”,下列说法错误的是()A.逆命题为:若,中至少有一个不小于1,则,为假命题B.否命题为:若,则,都小于1,为假命题C.逆否命题为:若,都小于1,则,为真命题D.“”是“,中至少有一个不小于1”的必要不充分条件7.设,定义符合函数,则下列等式正确的是()A.B.C.D.8.已知函数,设关于的方程有个不同的实数解,则的所有可能的值为()A.3 B.1或3 C.4或6 D.3或4或6二、填空题9.i为虚数单位,计算_______________。
10..11.命题“,使得成立”的否定是____________。
12.在极坐标系中,为极点,点为直线上一点,则的最小值为______.13.已知函数,则,的最小值是.14.对于函数,若存在一个区间,使得,则称A为的一个稳定区间,相应的函数叫“局部稳定函数”,给出下列四个函数:①;②;③;④,所有“局部稳定函数”的序号是_____________。
三、解答题15.已知集合A=,B={x|x2-2x-m<0},(1)当m=3时,求A∩ ∁R B);(2)若A∩B={x|-1<x<4},求实数m的值.16.已知的三个内角分别为A,B,C,且(Ⅰ)求A的度数;(Ⅱ)若求的面积S.17.已知函数。
(I)求的最小正周期;(II)当时,求函数的单调递减区间。
18.已知实数,函数(x∈R).(1) 求函数的单调区间;(2) 若函数有极大值32,求实数a的值.19.已知函数。
北京四中高一上学期期中考试试卷数学试卷分为两卷,卷(Ⅰ)100分,卷(Ⅱ)50分,满分共计150分考试时间:120分钟卷(Ⅰ)一、选择题:本大题共10小题,每小题5分,共50分1. 如果A ={}1->x x ,那么正确的结论是A . 0⊆A B. {0}∈A C. {0}⊂≠ A D. φ∈A 2. 函数f (x )=22-x ,则f (21)= A. 0 B. -2 C. 22 D. -22 3. 设全集I ={}33<<-∈x Z x ,A ={1,2},B ={-2,-1,2},则A (C I B )等于A. {1}B. {1,2}C. {2} D{0,1,2}4. 与函数y =10)1lg(-x 的定义域相同的函数是A. y =x -1B. y =1-xC. y =11-x D. y =1-x 5. 若函数f (x )=3x +3x -与g (x )=3x -3x -的定义域均为R,则A. f (x )与g (x )均为偶函数B. f (x )为偶函数,g (x )为奇函数C. f (x )与g (x )均为奇函数D. f (x )为奇函数,g (x )为偶函数6. 设a =log 32,b =ln2,c =521,则A. a<b<cB. b<c<aC. c<a<bD. c<b<a7. 设函数y =x 3与y =x ⎪⎭⎫ ⎝⎛21的图象的交点为(x 0,y 0),则x 0所在的区间是 A. (0,1) B. (1,2) C. (2,3) D. (3,4)8. 已知函数f (x )是R上的偶函数,当x ≥0时1)(-=x x f ,则f (x )<0的解集是A. (-1,0)B. (0,1)C. (-1,1)D. ()()∞+-∞-,,119. 某商店同时卖出两套西服,售价均为168元,以成本计算,一套盈利20%,另一套亏损20%,此时商店A. 不亏不盈B. 盈利37.2元C. 盈利14元D. 亏损14元10. 设函数f (x )在()∞+∞-,上是减函数,则A. f (a )>f (2a )B. f (a 2)<f (a )C. f (a 2+a )<f (a )D. f (a 2+1)<f (a )二、填空题:本大题共4小题,每小题5分,共20分11. log 64+ log 69-832=____.12. 已知函数y =f (x )为奇函数,若f (3)-f (2)=1,则f (-2)-f (-3)=____。
高一数学(必修1)期中模拟卷一、选择题:(每小题5分,共12小题,合计60分) 1、 下列几个关系中正确的是( )A 、0{0}∈B 、 0{0}=C 、0{0}⊆D 、{0}∅=2、设:f M N →是集合M 到集合N 的映射,下列说法正确的是( )a 、M 中每一个元素在N 中必有输出值。
b 、N 中每一个元素在M 中必有输入值。
c 、N 中每一个元素在M 中的输入值是唯一的。
d 、N 是M 中所有元素的输出值的集合。
3、下列函数与y x =有相同图象的一个是( )A、y B 、2x y x= C 、log (0,a x y a a =>且1)a ≠ D 、log (0,x a y a a =>且1)a ≠ 4、集合11{|,},{|,}2442k k M x x k Z N x x k Z ==+∈==+∈,则( ) A 、M N = B 、M N ⊆ C 、N M ⊆ D 、M N =∅5、已知53()2f x x ax bx =-++且(5)17f -=,则(5)f 的值为( ) A 、19 B 、 13 C 、 -19 D 、 -136、若0a <,则函数(1)1x y a =--的图象必过点( ) A 、(0,1) B 、(0,0) C 、(0,-1) D 、(1,-1)7、要得到函数(2)1y f x =-+的图象,只需将函数()y f x =的图象( )a 向右平移2个单位,向下平移1个单位。
b 向左平移2个单位,向下平移1个单位。
c 向右平移2个单位,向上平移1个单位。
d 向左平移2个单位,向上平移1个单位。
8、定义集合A 、B 的一种运算:1212{,,}A B x x x x x A x B *==+∈∈其中,若{1,2,3}A =,{1,2}B =,则A B *中的所有元素数字之和为( ) A .9 B. 14 C.18 D.21 9、已知函数()312f x ax a =+-在区间(-1,1)上存在0x ,使得0()0f x =,则( )A 、115a -<<B 、15a >C 、1a <-或15a > D 、1a <- 10、对任意实数x 规定y 取14,1,(5)2x x x -+-三个值中的最小值,则函数y (A 、有最大值2,最小值1,B 、有最大值2,无最小值,C 、有最大值1,无最小值,D 、无最大值,无最小值。
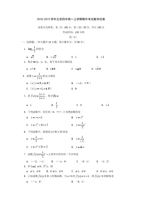
2018-2019学年北京四中高一上学期期中考试数学试卷试卷分为两卷,卷(I )100分,卷(II )50分,共计150分考试时间:120分钟卷(I )一、选择题:(本大题共10小题,每小题5分,共50分) 1. 21log 2的值为 A. 2 B. 2-C. 1D. 1-2. 集合M={1,2,3),则下列关系正确的是 A. 1∈M B. 1∉MC. 1⊆MD. 1⊂≠M3. 函数11+=x y 的定义域是 A. {R x x x ∈≠,0|}B. (1-,∞+)C. {R x x x ∈-≠,1|}D. R4. 若xxx f +-=11)(,则=)0(f A. 1B.21C. 0D. 1-5. 下列函数中,在区间(0,+∞)上为增函数的是 A. 1+-=x yB. 3x y =C. 542+-=x x yD. xy )21(=6. 下列函数中,值域是{y ∈R|y>0}的是 A. 121+=x y B. ||1x y =C. 232++=x x yD. x y ln =7. 函数)(x f =x)21(x -的零点所在的一个区间是A. (-2,-1)B. (-1,0)C. (0,1)D. (1,2)8. 若log2 a <0,2b>1,则A. a >1,b >0B. 0<a <1,b >0C. a >1,b <0D. 0<a <1,b <09. 已知函数)(x f 是R 上的偶函数,当x ≥0时)(x f =1-x ,则)(x f <0的解集是 A. (-1,0)B. (0,1)C. (∞-,1-) (1,+∞)D. (-1,1) 10. 若a >1,b <0,则函数b a y x+=的图象有可能是二、填空题:(本大题共4小题,每小题5分,共20分) 11. 计算:2lg +5lg =________;328=________。
2019北京四中高一(上)期中数学一、选择题:本大题共10小题,每小题5分,共50分1.(5分)已知全集U={1,2,3,4,5},集合A={1,3},B={3,4,5},则集合A∩B=()A.{2,3,4,5} B.{3} C.{1,4,5} D.{1,3,4,5}2.(5分)函数的定义域是()A.R B.{x|x>2} C.{x|x≥1} D.{x|x≥1且x≠2}3.(5分)若a>b,则下列各式中正确的是()A.ac>bc B.ac2>bc2C.a+c2>b+c2D.4.(5分)下列函数中,在区间(0,+∞)上为减函数的是()A.y=x2﹣2x B.y=|x| C.y=2x+1 D.5.(5分)命题“∀x∈R,x3﹣x2+1≤0”的否定是()A.∃x∈R,x3﹣x2+1≥0 B.∃x∈R,x3﹣x2+1>0C.∃x∈R,x3﹣x2+1≤0 D.∀x∈R,x3﹣x2+1>06.(5分)下列函数中:①②③y=x2+1④偶函数的个数是()A.0 B.1 C.2 D.37.(5分)“x>1”是“x2﹣x>0”的()A.充分而不必要条件B.必要不充分条件C.充要条件D.既不充分也不必要条件8.(5分)函数f(x)=x3﹣2x﹣3一定存在零点的区间是()A.(2,+∞)B.(1,2)C.(0,1)D.(﹣1,0)9.(5分)下列函数中,满足f(2x)=2f(x)的是()A.f(x)=(x+2)2B.f(x)=x+1C.D.f(x)=x﹣|x|10.(5分)函数f(x)=的图象如图所示,则下列结论成立的是()A.a>0,b>0,c<0 B.a<0,b>0,c>0C.a<0,b>0,c<0 D.a<0,b<0,c<0二.填空题:本大题共6小题,每小题5分,共30分11.(5分)设全集U=R,集合A={x|0<x<2},B={﹣3,﹣1,1,3},则集合(∁U A)∩B=.12.(5分)已知,则f(f(﹣1))的值为.13.(5分)函数y=x2+3x﹣1,x∈[﹣2,3]的值域是.14.(5分)若x>0,则f(x)=4x+的最小值为.15.(5分)若二次函数f(x)的图象关于x=2对称,且f(a)≤f(0)<f(1),则实数a的取值范围是.16.(5分)某学习小组由学生和教师组成,人员构成同时满足以下三个条件:(i)男学生人数多于女学生人数;(ii)女学生人数多于教师人数;(iii)教师人数的两倍多于男学生人数.①若教师人数为4,则女学生人数的最大值为.②该小组人数的最小值为.三.解答题:本大题共3小题,共30分17.(10分)设集合A={x|x2﹣2x﹣3>0},B={x|x2+4x+3<0},C={x|2k﹣1<x<2k+3}.(1)求A∪B;(2)若C⊆A∪B,求实数k的取值范围.18.(8分)已知a,b>0,证明:a3+b3≥a2b+ab2.19.(12分)已知函数f(x)=(a∈R,a≠0).(1)当a=1时,解关于x的不等式f(x)>0;(2)若f(x)+g(x)≥0在(0,+∞)上恒成立,求a的取值范围.二.填空题:本大题共5小题,每小题4分,共20分20.(4分)已知集合M={0,1,2,3},N={x|x=2a,a∈M},则集合M∩N=.21.(4分)不等式|x﹣1|+|x+2|≤5的解集是.22.(4分)已知x>y>z,x+y+z=0,则①xz<yz②xy>yz③xy>xz④x|y|>z|y|四个式子中正确的是.(只填写序号)23.(4分)设.(1)当时,f(x)的最小值是;(2)若f(0)是f(x)的最小值,则a的取值范围是.24.(4分)已知集合M={x∈N|1≤x≤15},集合A1,A2,A3满足①每个集合都恰有5个元素;②A1∪A2∪A3=M.集合A i中元素的最大值与最小值之和称为集合A i的特征数,记为X i(i=1,2,3),则X1+X2+X3的最大值与最小值的和为.三.解答题:本大题共2小题,共20分25.(10分)已知函数f(x)=x2+a|x﹣1|.(1)当a=2时,解方程f(x)=2;(2)若f(x)在[0,+∞)上单调递增,求实数a的取值范围.26.(10分)设a,b,c,d不全为0,给定函数f(x)=bx2+cx+d,g(x)=ax3+bx2+cx+d.若f(x),g(x)满足①f(x)有零点;②f(x)的零点均为g(f(x))的零点;③g(f(x))的零点均为f(x)的零点.则称f(x),g(x)为一对“K函数”.(1)当a=c=d=1,b=0时,验证f(x),g(x)是否为一对“K函数”,并说明理由;(2)若f(x),g(x)为任意一对“K函数”,求d的值;(3)若a=1,f(1)=0,且f(x),g(x)为一对“K函数”,求c的取值范围.2019北京四中高一(上)期中数学参考答案一、选择题:本大题共10小题,每小题5分,共50分1.【分析】进行交集的运算即可.【解答】解:∵A={1,3},B={3,4,5},∴A∩B={3}.故选:B.【点评】本题考查了列举法的定义,交集的运算,考查了计算能力,属于基础题.2.【分析】根据函数f(x)的解析式列出使解析式有意义的不等式组,求出解集即可.【解答】解:函数中,令,解得x≥1且x≠2,所以函数f(x)的定义域是{x|x≥1且x≠2}.故选:D.【点评】本题考查了根据函数解析式求定义域的应用问题,是基础题.3.【分析】由a>b,根据不等式的基本性质即可得出结论.【解答】解:由a>b,可得ac与bc大小关系不确定,ac2≥bc2,a+c2>b+c2,与的大小关系不确定.因此只有C确定.故选:C.【点评】本题考查了不等式的基本性质,考查了推理能力与计算能力,属于基础题.4.【分析】由二次函数的性质可知,y=x2﹣2x在(0,+∞)上的单调性;由一次函数及函数图象变换可知y=|x|在(0,+∞)上为增函数;由一次函数的性质可知,y=2x+1在(0,+∞)上为增函数;由幂函数的性质可知,y=在(0,+∞)上为增函数,从而可判断y=﹣(0,+∞)上为减函数【解答】解:由二次函数的性质可知,y=x2﹣2x在(0,+∞)上先减后增,故A错误;y=|x|在(﹣∞,0)上为减函数,(0,+∞)上为增函数,故B错误;由一次函数的性质可知,y=2x+1在(0,+∞)上为增函数,故C错误;由幂函数的性质可知,y=在(0,+∞)上为增函数,从而有y=﹣(0,+∞)上为减函数,故D正确;故选:D.【点评】本题主要考查了基本初等函数的单调性的判断,属于基础试题.5.【分析】将量词否定,结论否定,可得结论.【解答】解:将量词否定,结论否定,可得∃x∈R,x3﹣x2+1>0故选:B.【点评】本题考查命题的否定,考查学生分析解决问题的能力,属于基础题.6.【分析】对各函数分别检验是否满足f(﹣x)=f(x)即可判断.【解答】解:①由=f(x),可得f(﹣x)=﹣=﹣f(x),即不为偶函数;②f(x)=的定义域为{x|x≠﹣1},关于原点不对称,不是偶函数;③由二次函数的性质可知,y=x2+1的图象关于y轴对称,为偶函数;④由可得f(﹣x)==f(x)是偶函数.故选:C.【点评】本题主要考查了偶函数的定义在偶函数判断中的应用,属于基础试题.7.【分析】先化简x2﹣x>0得x>1或x<0,然后根据充分必要条件的定义加以判断即可.【解答】解:∵x2﹣x>0⇔x>1或x<0,∴当x>1时,x2﹣x>0成立,当x2﹣x>0时,x>1不一定成立,∴“x>1”是“x2﹣x>0”的充分不必要条件.故选:A.【点评】本题主要考查充分必要条件的判断,注意运用定义,也可以运用集合的包含关系判断,是一道基础题.8.【分析】由已知可检验f(1)=﹣4<0,f(2)=1>0,结合零点判定定理即可求解.【解答】解:∵f(x)=x3﹣2x﹣3,∴f(1)=﹣4<0,f(2)=1>0,由函数零点判定定理可知,函数在(1,2)上一定存在零点.故选:B.【点评】本题主要考查了函数零点判定定理的简单应用,属于基础试题.9.【分析】根据题意,依次分析验证选项中函数是否符合f(2x)=2f(x),综合即可得答案.【解答】解:根据题意,依次分析选项:对于A,f(x)=(x+2)2,f(2x)=(2x+2)2=4(x+1)2,2f(x)=2(x+2)2,f(2x)≠2f(x);对于B,f(x)=x+1,f(2x)=2x+1,2f(x)=2(x+1)=2x+2,f(2x)≠2f(x);对于C,f(x)=,f(2x)==,2f(x)=,f(2x)≠2f(x);对于D,f(x)=x﹣|x|,f(2x)=2x﹣|2x|=2x﹣2|x|,2f(x)=2x﹣2|x|,f(2x)=2f(x),符合题意;故选:D.【点评】本题考查函数的解析式,涉及函数值的计算,属于基础题.10.【分析】分别根据函数的定义域,函数零点以及f(0)的取值进行判断即可.【解答】解:函数在P处无意义,由图象看P在y轴右边,所以﹣c>0,得c<0,f(0)=,∴b>0,由f(x)=0得ax+b=0,即x=﹣,即函数的零点x=﹣>0,∴a<0,综上a<0,b>0,c<0,故选:C.【点评】本题主要考查函数图象的识别和判断,根据函数图象的信息,结合定义域,零点以及f(0)的符号是解决本题的关键.二.填空题:本大题共6小题,每小题5分,共30分11.【分析】根据补集与交集的定义,计算即可.【解答】解:全集U=R,集合A={x|0<x<2},B={﹣3,﹣1,1,3},则集合∁U A={x|x≤0或x≥2},所以集合(∁U A)∩B={﹣3,﹣1,3}.故答案为:{﹣3,﹣1,3}.【点评】本题考查了集合的定义与运算问题,是基础题.12.【分析】根据题意,由函数的解析式求出f(﹣1)的值,进而分析可得答案.【解答】解:根据题意,,则f(﹣1)=3×(﹣1)2=3,则f(f(﹣1))=f(3)=2×3﹣1=5;故答案为:5.【点评】本题考查函数值的计算,涉及分段函数的解析式,属于基础题.13.【分析】由题意可求函数对称轴,再结合函数图象就可以求出函数的最大值和最小值.【解答】解:因为y=x2+3x﹣1,所以函数对称轴为,因为x∈[﹣2,3],所以当x=时,y的值最小为,当x=3时,y的值最大为32+9﹣1=17,所以函数的值域为[,17].故答案为:[,17].【点评】本题主要考查求二次函数在给定区间上的值域问题,主要看对称轴相对区间的位置,画出图象即可求出答案.14.【分析】直接利用基本不等式求解函数的最小值即可.【解答】解:∵x>0,∴4x+≥2=(当且仅当4x=即x=时,取“=”号),∴当x=时,f(x)最小值为.故答案为:.【点评】本题考查基本不等式的应用,最小值的求法,注意等号成立的条件.15.【分析】由已知条件可分析出二次函数f(x)的对称轴和开口方向,画出图象,有图象可得出a的取值范围.【解答】解:由题意可知二次函数f(x)的对称轴为x=2,因为f(0)<f(1),所以f(x)在(﹣∞,2)上单调递增,所以二次函数f(x)开口向下,在(﹣∞,2)上单调递增,在(2,+∞)上单调递减.①当a∈(﹣∞,2)时:,解得a≤0.②当a∈(2,+∞)时:因为f(4)=f(0),所以,解得a≥4.综上所求:a≤0或a≥4.故答案为:a≤0或a≥4【点评】考察了二次函数的图象和性质,培养学生的数形结合的数学思想.16.【分析】①设男学生女学生分别为x,y人,若教师人数为4,则,进而可得答案;②设男学生女学生分别为x,y人,教师人数为z,则,进而可得答案;【解答】解:①设男学生女学生分别为x,y人,若教师人数为4,则,即4<y<x<8,即x的最大值为7,y的最大值为6,即女学生人数的最大值为6.②设男学生女学生分别为x,y人,教师人数为z,则,即z<y<x<2z即z最小为3才能满足条件,此时x最小为5,y最小为4,即该小组人数的最小值为12,故答案为:6,12【点评】本题考查的知识点是推理和证明,简易逻辑,线性规划,难度中档.三.解答题:本大题共3小题,共30分17.【分析】(1)化简集合A、B,根据并集的定义写出A∪B;(2)由C⊆A∪B,写出关于k的不等式,求出解集即可.【解答】解:(1)集合A={x|x2﹣2x﹣3>0}={x|x<﹣1或x>3},B={x|x2+4x+3<0}={x|﹣3<x<﹣1},则A∪B={x|x<﹣1或x>3};(2)由C={x|2k﹣1<x<2k+3},且C⊆A∪B,令2k﹣1≥3或2k+3≤﹣1,解得k≥2或k≤﹣2,所以实数k的取值范围是k≤﹣2或k≥2.【点评】本题考查了集合的化简与运算问题,是基础题.18.【分析】作差,因式分解,即可得到结论.【解答】证明:(a3+b3)﹣(a2b+ab2)=a2(a﹣b)+b2(b﹣a)=(a﹣b)(a2﹣b2)=(a﹣b)2(a+b)∵a>0,b>0,∴a+b>0,(a﹣b)2≥0,∴(a﹣b)2(a+b)≥0,则有a3+b3≥a2b+b2a.【点评】本题考查不等式的证明,重点考查作差法的运用,考查学生分析解决问题的能力,属于基础题.19.【分析】(1)将a=1代入f(x)中,根据f(x)>0,解出a的范围;(2)f(x)+g(x)≥0在(0,+∞)上恒成立,只需,求出的最小值后,解关于a的不等式,可得a的范围.【解答】解:(1)当a=1时,f(x)=.∵f(x)>0,∴,∴0<x<2,∴不等式的解集为{x|0<x<2};(2)f(x)+g(x)==,∵f(x)+g(x)≥0在(0,+∞)上恒成立,∴在(0,+∞)上恒成立,∴只需.∵当x>0时,,当且仅当x=1时取等号,∴,∴,∴a<0或a≥,∴a的取值范围为(﹣∞,0)∪[,+∞).【点评】本题考查了分式不等式的解法,不等式恒成立问题和利用基本不等式求最值,考查了转化思想和计算能了,属中档题.二.填空题:本大题共5小题,每小题4分,共20分20.【分析】可以求出集合N,然后进行交集的运算即可.【解答】解:∵M={0,1,2,3},N={0,2,4,6},∴M∩N={0,2}.故答案为:{0,2}.【点评】本题考查了列举法、描述法的定义,元素与集合的关系,交集的运算,考查了计算能力,属于基础题.21.【分析】由于|x﹣1|+|x+2|表示数轴上的x对应点到1和﹣2对应点的距离之和,而﹣3、2对应点到1和﹣2对应点的距离之和正好等于5,由此求得不等式|x﹣1|+|x+2|≤5的解集.【解答】解:根据绝对值的意义可得,|x﹣1|+|x+2|表示数轴上的x对应点到1和﹣2对应点的距离之和,而﹣3、2对应点到1和﹣2对应点的距离之和正好等于5,故不等式|x﹣1|+|x+2|≤5的解集是[﹣3,2],故答案为:[﹣3,2].【点评】本题主要考查绝对值的意义,绝对值不等式的解法,属于中档题.22.【分析】直接利用不等式的性质的应用求出结果.【解答】解:已知x>y>z,x+y+z=0,则①x>0,y>0,z<0,②x>0,y<0,z<0,③x+z=0,y=0.所以①xz<yz正确.②xy>yz,不正确.③xy>xz,正确.④x|y|>z|y|,不正确.故答案为:①③.【点评】本题考查的知识要点:不等式的性质的应用,主要考查学生的运算能力和转换能力及思维能力,属于基础题型.23.【分析】(1)当时,分别求出当x≤0和x>0时函数的最小值,进行比较即可.(2)先判断当x>0时,函数的最小值为2,然后讨论a的取值范围,结合一元二次函数的最值性质进行比较即可.【解答】解:(1)当时,当x≤0时,f(x)=(x﹣)2≥(﹣)2=,当x>0时,f(x)=x+≥2=2,当且仅当x=1时取等号,则函数的最小值为,(2)由(1)知,当x>0时,函数f(x)≥2,此时的最小值为2,若a<0,则当x=a时,函数f(x)的最小值为f(a)=0,此时f(0)不是最小值,不满足条件.若a≥0,则当x≤0时,函数f(x)=(x﹣a)2为减函数,则当x≤0时,函数f(x)的最小值为f(0)=a2,要使f(0)是f(x)的最小值,则f(0)=a2≤2,即0≤a≤,即实数a的取值范围是[0,],故答案为:,[0,].【点评】本题主要考查函数最值的应用,解一元二次函数以及基本不等式分别求出当x>0和当x≤0时的最值,进行比较是解决本题的关键.注意合理分类讨论.24.【分析】求出集合M={x∈N*|1≤x≤15}={1,2,3,4,5,6,7,8,9,10,11,12,13,14,15},由题意列举出集合A1,A2,A3,由此能求出X1+X2+X3的最大值与最小值的和.【解答】解:解:由题意集合M={x∈N*|1≤x≤15}={1,2,3,4,5,6,7,8,9,10,11,12,13,14,15},当A1={1,4,5,6,7},A2={3,12,13,14,15},A3={2,8,9,10,11}时,X1+X2+X3取最小值:X1+X2+X3=8+18+13=39,当A1={1,4,5,6,15},A2={2,7,8,9,14},A3={3,10,11,12,13}时,X1+X2+X3=16+16+16=48,当A1={1,2,3,4,15},A2={5,6,7,8,14},A3={9,10,11,12,13}时,X1+X2+X3取最大值:X1+X2+X3=16+19+22=57,∴X1+X2+X3的最大值与最小值的和为:39+57=96.故答案为:96.【点评】本题考查满足条件的集合的判断,考查子集,并集等基础知识,考查运算求解能力,考查函数与方程思想,是中档题.三.解答题:本大题共2小题,共20分25.【分析】本题第一问,通过分类讨论去绝对值转化为一般一元二次不等式求解即可;第二问是含参函数单调性问题,分类讨论转化为二次函数单调性问题,考虑其对称轴即可,同时要注意在分段点处函数值的大小关系.【解答】解:(1)当a=2时,f(x)=x2+2|x﹣1|=2.当x<1时,x2+2(1﹣x)=2,x2﹣2x=0,得x=0;当x≥1时,x2+2(x﹣1)=2,x2+2x﹣4=0,得.综上,方程f(x)=2的解为x=0或.(2)x≥1时,f(x)=x2+a(x﹣1)=x2+ax﹣a在[1,+∞)上单调递增,则,故a≥﹣2;0≤x<1时,f(x)=x2﹣ax+a,,故a≤0.且1﹣a+a≤1+a﹣a恒成立.综上,实数a的取值范围是[﹣2,0].【点评】本题体现了分类讨论思想,对于含有绝对值的函数问题,通过分类讨论去绝对值,转化为一元二次方程和二次函数问题.26.【分析】(1)代入检验即可;(2)利用”k函数“定义求出;(3)换元法,设t=﹣cx(x﹣1),根据t 的范围,对g(f(x))讨论,求出c的范围.【解答】解:(1)由f(x)=x+1=0,得x=﹣1,所以g(f(﹣1))=g(0)=1,故x=﹣1不是g(f(x))的零点,故不满足②,所以不是一对“K函数”,(2)设r为方程的一个根,即f(r)=0,则由题设得g(f(r))=0.于是,g(0)=g(f(r))=0,即g(0)=d=0.所以d=0,反之g(f(x))=f(x)[f4(x)+bf(x)+cf(x))=0,则f(x)=0成立,故d=0;(3)因为d=0,由a=1,f(1)=0得b=﹣c,所以f(x)=bx2+cx=﹣cx(x﹣1),g(f(x))=f(x)[f2(x)﹣cf(x)+c],由f(x)=0得x=0,1,可以推得g(f(x))=0,根据题意,g(f(x))的零点均为f(x)的零点,故f2(x)﹣cf(x)+c=0必然无实数根设t=﹣cx(x﹣1),则t2﹣ct+c=0无实数根,当c>0时,t=﹣c(x﹣)2+,h(t)=t2﹣ct+c=(t﹣)2+c﹣,所以h(t)min=h()>0,即,解得c∈(0,),当c<0时,t=﹣c(x﹣)2+,h(t)=t2﹣ct+c=(t﹣)2+c﹣,所以h(t)min=h()>0,即c﹣,解得c∈(0,4),因为c<0,显然不成立,当c=0时,b=0,此时f(x)=0在R上恒成立,g(f(x))=c=0也恒成立,综上:c∈[0,).【点评】本题考查函数的新定义,求参数值和范围,用了分类讨论思想,二次函数的性质,难度大,综合性高.。
2019届北京四中高三第一学期期中考试数学(文科)试题数学注意事项:1.答题前,先将自己的姓名、准考证号填写在试题卷和答题卡上,并将准考证号条形码粘贴在答题卡上的指定位置。
2.选择题的作答:每小题选出答案后,用2B 铅笔把答题卡上对应题目的答案标号涂黑,写在试题卷、草稿纸和答题卡上的非答题区域均无效。
3.非选择题的作答:用签字笔直接答在答题卡上对应的答题区域内。
写在试题卷、草稿纸和答题卡上的非答题区域均无效。
4.考试结束后,请将本试题卷和答题卡一并上交。
一、单选题 1.设函数的定义域为,函数的值域为,则A .B .C .D .2.在下列函数中,是偶函数,且在内单调递减的是A .B .C .D .3.执行如图所示的程序框图.若输出的结果是,则判断框内的条件是A .? B .? C .? D .?4.在△ABC 中,a =3,b =3,A =,则C 为A .B .C .D .5.函数()的部分图像如图所示,则函数表达式为A .B .C .D .6.设m,n 为非零向量,则“存在负数,使得”是“”的A .充分而不必要条件B .必要而不充分条件C .充分必要条件D .既不充分也不必要条件此卷只装订不密封班级 姓名 准考证号 考场号 座位号7.已知函数()2222,2{log ,2x x x f x x x -+≤=> ,若0R x ∃∈,使得()2054f x m m ≤- 成立,则实数m 的取值范围为A .11,4⎡⎤-⎢⎥⎣⎦ B .1,14⎡⎤⎢⎥⎣⎦ C .12,4⎡⎤-⎢⎥⎣⎦ D .1,13⎡⎤⎢⎥⎣⎦8.设,定义符合函数,则下列等式正确的是A .B .C .D .二、填空题9.i 为虚数单位,计算_______________。
10.命题“,使得成立”的否定是____________。
11.已知向量,则a 与b 夹角的大小为_________.12.设函数.若为奇函数,则曲线在点处的切线方程为___________.13.已知角的顶点为坐标原点,始边与轴的非负半轴重合,终边上有点,且,则___________.14.对于函数,若存在一个区间,使得,则称A 为的一个稳定区间,相应的函数叫“局部稳定函数”,给出下列四个函数:①;②;③;④,所有“局部稳定函数”的序号是_____________。
北京市第四中学2019-2020学年上学期期中考试高一数学试题试卷分为两卷,卷(Ⅰ)100分,卷(Ⅱ)50分,共计150分。
考试时间:120分钟。
卷(Ⅰ)一、选择题:本大题共10小题,每小题5分,共50分1. 如果A=(-1,+∞),那么正确的结论是( )A. 0⊆AB. {0}∈AC. {0}⊂≠AD. A ∈Φ 2. 函数f (x )=22-x ,则)21(f =( ) A. 0 B. -2 C. 22 D. -22 3. 与函数y=lg (x-1)的定义域相同的函数是( )A. y=x-1B. y=|x-1|C. y=11-xD. y=1-x 4. 若函数f (x )=x x -+33与g (x )= x x --33的定义域均为R ,则( )A. f (x )与g (x )均为偶函数B. f (x )为奇函数,g (x )为偶函数C. f (x )与g (x )均为奇函数D. f (x )为偶函数,g (x )为奇函数5. 设a=lg 0.2,b=2log 3,c=215,则( )A. a<b<cB. b<c<aC. c<a<bD. c<b<a 6. 若指数函数y=x a )1(+在(-∞,+∞)上是减函数,那么( )A. 0<a<1B. -1<a<0C. a=-1D. a<-17. 设函数y=x 3与y=x )21(的图象的交点为(x 0,y 0),则x 0所在的区间是( ) A. (0,1) B. (1,2) C. (2,3) D. (3,4)8. 已知函数f (x )是R 上的偶函数,当x ≥0时f (x )=2x -2,则f (x )<0的解集是( )A. (-1,0)B. (0,1)C. (-1,1)D. (-∞,-1)⋃(1,+∞)9. 某商店卖出两套不同品牌的西服,售价均为1680元。
以成本计算,一套盈利20%,另一套亏损20%,此时商店( )A. 不亏不盈B. 盈利372元C. 亏损140元D. 盈利140元10. 设函数f (x )在(-∞,+∞)上是减函数,则( )A. )2()(a f a f >B. )()(2a f a f <C. )()(2a f a a f <+D. )()1(2a f a f <+二、填空题:本大题共4小题,每小题5分,共20分 11. 326689log 4log -+=_______。
北京市房山四中2019-2020学年上学期期中考试高一数学试卷一、选择题(本答题共10小题,每小题5分,共50分)1.函数y=的定义域为()A.{x|x≤1} B.{x|x<1} C.{x|x≥1} D.{x|x>1}2.设集合A={x|x2﹣1>0},B={x|logx>0|},则A∩B等于()2A.{x|x>1} B.{x|x>0} C.{x|x<﹣1} D.{x|x>1或x<﹣1}3. =()A.14 B.0 C.1 D.64.如果函数f(x)=x2+2(a﹣1)x+2在(﹣∞,4]上是减函数,那么实数a取值范围是()A.a≤﹣3 B.a≥﹣3 C.a≤5 D.a≥55.已知函数,那么f[f()]的值为()A.9 B.C.﹣9 D.﹣6.若a=30.3,b=(0.3)2,c=log0.2,则a,b,c的大小关系是()3A.a<b<c B.b<a<c C.c<b<a D.c<a<b7.函数f(x)=log(x﹣1)(a>0,a≠1)的反函数的图象过定点()aA.(0,2)B.(2,0)C.(0,3)D.(3,0)8.函数y=a x﹣(a>0,a≠1)的图象可能是()A. B. C.D.x+x+2的零点个数为()9.函数f(x)=log2A.0 B.1 C.2 D.310.函数y=()的单调增区间为()A.[1,2] B.R C.(﹣∞,2] D.[2,+∞)二、填空题(本大题共6小题,每小题4分,共24分).11.已知集合M={0,x},N={1,2},若M∩N={1},则M∪N=______.12.函数f(x)=3x﹣1,若f[g(x)]=2x+3,则g(x)=______.13.不等式的解集是______.14.函数 y=3+a x﹣1(a>0且a≠1)的图象必过定点P,P点的坐标为______.15.如果函数f(x)=是奇函数,则a=______.16.定义运算,例如,1*2=1,则函数f(x)=1*2x的值域是______.三、解答题(本大题共3小题,共26分)17.已知函数f(x)=1+.(Ⅰ)求f(x)的定义域;(Ⅱ)判断f(x)的奇偶性,并证明;(Ⅲ)求f(x)的值域.18.如图所示,将一矩形花坛ABCD扩建成一个更大的矩形花坛AMPN,要求B在AM上,D在AN上,且对角线MN过C点,已知|AB|=3米,|AD|=2米,(1)设AN的长为x米,用x表示矩形AMPN的面积?(2)要使矩形AMPN的面积大于32平方米,则AN的长应在什么范围内?19.已知:f(x)=lg(a x﹣b x)(a>1>b>0).(1)求f(x)的定义域;(2)判断f(x)在其定义域内的单调性;(3)若f(x)在(1,+∞)内恒为正,试比较a﹣b与1的大小.卷(II)四、选填题(本大题共3小题,每小题5分,共30分).2的值等于()20.若3a=4,则log3A.2a B.a C.D.21.若函数f(x)=|4x﹣x2|+a有4个零点,则实数a的取值范围是()A.[﹣4,0] B.(﹣4,0)C.[0,4] D.(0,4)22.定义域为R的奇函数f(x)是减函数,当f(a)+f(a2)>0成立时,实数a的取值范围是()A.a<﹣1或a>0 B.﹣1<a<0 C.a<0或a>1 D.a<﹣1或a>1五、填空题(共3小题,每小题5分,满分15分)23.若关于实数x的不等式|x+2|+|x﹣3|<a无解,则实数a的取值范围是______.24.已知函数f(x)=()x﹣()x+1的定义域是[﹣3,2],则该函数的值域为______.25.设函数f(x)是定义在R上的奇函数,若f(x)的最小正周期为3,且f(1)>1,f(2)=,则m的取值范围是______.五、解答题:(本大题共2小题,26题8分,27题12分,共20分)26.解关于x的不等式2log4(x﹣1)>log4[a(x﹣2)+1](a为常数且a>2)的解集.27.已知函数f(x)=m(x+)的图象与函数h(x)=(x+)+2的图象关于点A(0,1)对称.(1)求m的值;(2)若g(x)=f(x)+在区间(0,2]上为减函数,求实数a的取值范围.北京市房山四中2019-2020学年上学期期中考试高一数学试卷参考答案一、选择题(本答题共10小题,每小题5分,共50分)1.函数y=的定义域为()A.{x|x≤1} B.{x|x<1} C.{x|x≥1} D.{x|x>1}【考点】函数的定义域及其求法.【分析】根据函数成立的条件即可求函数的定义域.【解答】解:要使函数有意义,则1﹣x≥0,解得x≤1,故函数的定义域为{x|x≤1},故选:Ax>0|},则A∩B等于()2.设集合A={x|x2﹣1>0},B={x|log2A.{x|x>1} B.{x|x>0} C.{x|x<﹣1} D.{x|x>1或x<﹣1}【考点】交集及其运算.【分析】先化简集合,即解一元二次不等式x2>1,和对数不等式logx>0,再求交集.2【解答】解:根据题意:集合A={x|x<﹣1或x>1},集合B={x|x>1}∴A∩B={x|x>1}.故选A3. =()A.14 B.0 C.1 D.6【考点】根式与分数指数幂的互化及其化简运算.【分析】根据指数幂和对数的运算法则计算即可.【解答】解: =4﹣﹣lg10﹣2+3lne=4﹣9+2+3=0,故选:B.4.如果函数f(x)=x2+2(a﹣1)x+2在(﹣∞,4]上是减函数,那么实数a取值范围是()A.a≤﹣3 B.a≥﹣3 C.a≤5 D.a≥5【考点】二次函数的性质.【分析】先用配方法将二次函数变形,求出其对称轴,再由“在(﹣∞,4]上是减函数”,知对称轴必须在区间的右侧,求解即可得到结果.【解答】解:∵f(x)=x2+2(a﹣1)x+2=(x+a﹣1)2+2﹣(a﹣1)2其对称轴为:x=1﹣a∵函数f(x)=x2+2(a﹣1)x+2在(﹣∞,4]上是减函数∴1﹣a≥4∴a≤﹣3故选A5.已知函数,那么f[f()]的值为()A.9 B.C.﹣9 D.﹣【考点】函数的值.【分析】首先判断自变量是属于哪个区间,再代入相应的解析式,进而求出答案.【解答】解:∵,∴==﹣2,而﹣2<0,∴f(﹣2)=3﹣2=.∴=.故选B.0.2,则a,b,c的大小关系是()6.若a=30.3,b=(0.3)2,c=log3A.a<b<c B.b<a<c C.c<b<a D.c<a<b【考点】对数值大小的比较.【分析】利用指数与对数函数的单调性,分析出三个数与0和1的关系,即可得出答案.0.2<0,【解答】解:∵a=30.3>1,b=(0.3)2∈(0,1),c=log3则a,b,c的大小关系是c<b<a,故选:C.(x﹣1)(a>0,a≠1)的反函数的图象过定点()7.函数f(x)=logaA.(0,2)B.(2,0)C.(0,3)D.(3,0)【考点】反函数.【分析】先求函数过的定点,再求关于y=x的对称点,对称点就是反函数过的定点.(x﹣1)恒过(2,0),【解答】解:函数f(x)=loga函数和它的反函数关于y=x对称,那么(2,0)关于y=x的对称点是(0,2),即(0,2)为反函数图象上的定点.故选A.8.函数y=a x﹣(a>0,a≠1)的图象可能是()A. B. C.D.【考点】函数的图象.【分析】讨论a与1的大小,根据函数的单调性,以及函数恒过的定点进行判定即可.【解答】解:函数y=a x﹣(a>0,a≠1)的图象可以看成把函数y=a x的图象向下平移个单位得到的.当a>1时,函数y=a x﹣在R上是增函数,且图象过点(﹣1,0),故排除A,B.当1>a>0时,函数y=a x﹣在R上是减函数,且图象过点(﹣1,0),故排除C,故选D.9.函数f(x)=log2x+x+2的零点个数为()A.0 B.1 C.2 D.3【考点】函数零点的判定定理.【分析】由题意可得,函数y=log2x 的图象和直线y=﹣x﹣2的交点个数,数形结合可得β结论.【解答】解:函数f(x)=log2x+x+2的零点的个数,即函数y=log2x 的图象和直线y=﹣x﹣2的交点个数,画出图象如图所示:函数y=log2x 的图象和直线y=﹣x﹣2的交点个数为1,即函数f(x)=log2x+x+2的零点的个数为1.故选:B.10.函数y=()的单调增区间为()A.[1,2] B.R C.(﹣∞,2] D.[2,+∞)【考点】复合函数的单调性.【分析】令t=﹣3+4x﹣x2,则y=,本题即求函数t的单调减区间,利用二次函数的性质可得函数t 的减区间.【解答】解:令t=﹣3+4x﹣x2=﹣(x﹣2)2+1,则y=,本题即求函数t的单调减区间.利用二次函数的性质可得函数t的减区间为[2,+∞),故选:D.二、填空题(本大题共6小题,每小题4分,共24分).11.已知集合M={0,x},N={1,2},若M∩N={1},则M∪N= {0,1,2} .【考点】并集及其运算;交集及其运算.【分析】由M,N,以及两集合的交集确定出x的值,进而确定出M,求出M与N的并集即可.【解答】解:∵M={0,x},N={1,2},且M∩N={1},∴x=1,即M={0,1},则M∪N={0,1,2},故答案为:{0,1,2}12.函数f(x)=3x﹣1,若f[g(x)]=2x+3,则g(x)= .【考点】函数解析式的求解及常用方法.【分析】直接利用函数的解析式,求解即可.【解答】解:函数f(x)=3x﹣1,若f[g(x)]=2x+3,可得3g(x)﹣1=2x+3,解得g(x)=.故答案为:.13.不等式的解集是(﹣∞,0]∪[6,+∞)..【考点】其他不等式的解法.【分析】转化指数不等式为二次不等式,然后求解即可.【解答】解:不等式可以转化为x2+x+6≤2x2﹣5x+6,即x2﹣6x≥0,解得x≤0或x≥6.所以不等式的解集为(﹣∞,0]∪[6,+∞).故答案为:(﹣∞,0]∪[6,+∞).14.函数 y=3+a x﹣1(a>0且a≠1)的图象必过定点P,P点的坐标为(1,4).【考点】指数函数的单调性与特殊点.【分析】通过图象的平移变换得到y=3+a x﹣1与y=a x的关系,据y=a x的图象恒过(0,1)得到f(x)恒过(1,4)【解答】解:y=3+a x﹣1的图象可以看作把y=a x的图象向右平移一个单位再向上平移3个单位而得到,且y=a x一定过点(0,1),则y=a x﹣1+3应过点(1,4)故答案为:(1,4)15.如果函数f(x)=是奇函数,则a= 2 .【考点】函数奇偶性的判断.【分析】由奇函数的定义可得,f(﹣x)+f(x)=0,再化简整理,即可得到a.【解答】解:函数f(x)=是奇函数,则f(﹣x)+f(x)=0,即有+=0,则=0,化简得到, =0,即=1,故a=2.故答案为:216.定义运算,例如,1*2=1,则函数f(x)=1*2x的值域是(0,1] .【考点】函数的值域.【分析】为了求函数f(x)=1*2x的值域,先将其化成分段函数的形式,再画出其图象,最后结合图象即得函数值的取值范围,即可得到数f(x)=1*2x的值域.【解答】解:当1≤2x时,即x≥0时,函数y=1*2x=1当1>2x时,即x<0时,函数y=1*2x=2x∴f(x)=作出函数的图象,由图知,函数y=1*2x的值域为:(0,1].故答案为:(0,1].三、解答题(本大题共3小题,共26分)17.已知函数f(x)=1+.(Ⅰ)求f(x)的定义域;(Ⅱ)判断f(x)的奇偶性,并证明;(Ⅲ)求f(x)的值域.【考点】函数奇偶性的性质;函数的值域.【分析】(Ⅰ)利用分母不为0,求f(x)的定义域;(Ⅱ)利用函数奇偶性的定义,判断、证明f(x)的奇偶性;(Ⅲ)x>0时,f(x)>1,即可求f(x)的值域.【解答】解:(Ⅰ)由2x﹣1≠0,可得x≠0,∴函数的定义域为{x|x≠0}.(Ⅱ)奇函数证明:f(﹣x)=1+==﹣1﹣=﹣f(x).∴f(x)是奇函数;(Ⅲ)x>0时,f(x)>1,∴值域为(﹣∞,1)∪(1,+∞)18.如图所示,将一矩形花坛ABCD扩建成一个更大的矩形花坛AMPN,要求B在AM上,D在AN上,且对角线MN过C点,已知|AB|=3米,|AD|=2米,(1)设AN的长为x米,用x表示矩形AMPN的面积?(2)要使矩形AMPN的面积大于32平方米,则AN的长应在什么范围内?【考点】根据实际问题选择函数类型.【分析】本题考查的是根据实际问题选择函数模型的问题.在解答时:对(1)根据实际问题:由AN的长为x米,利用相似关系即可转化出边长AM,从而建立函数解析式,要注意自变量的取值范围.对(2)利用(1)的结论由于矩形AMPN的面积大于32平方米,即可找到不等关系,变形后是解关于X在定义域内的一元二次不等式即可获得问题的解答.【解答】解:(1)设AN的长为x米(x>2)∵,∴|AM|==|AN|•|AM|=(x>2)∴SAMPN(2)由S>32得>32,AMPN∵x>2,∴3x2﹣32x+64>0,即(3x﹣8)(x﹣8)>0∴或x >8;AN 长的取值范围是.19.已知:f (x )=lg (a x ﹣b x )(a >1>b >0).(1)求f (x )的定义域;(2)判断f (x )在其定义域内的单调性;(3)若f (x )在(1,+∞)内恒为正,试比较a ﹣b 与1的大小.【考点】函数的定义域及其求法;函数单调性的性质.【分析】(1)由对数的真数大于零得,a x ﹣b x >0,再由a >1>b >0和指数函数的性质,求出不等式解集即函数的定义域;(2)先在定义域任取两个自变量,即x 2>x 1>0,利用指数函数的性质比较对应真数的大小,再根据y=lgx 在定义域上是增函数,得出f (x 2)与f (x 1)的大小,判断出此函数的单调性;(3)根据(2)证出的函数单调性,求出此区间内的函数的最小值f (1),只要f (1)≥0成立即可,代入函数解析式,利用lg1=0判断a ﹣b 与1的大小.【解答】解:(1)要使函数有意义,则a x ﹣b x >0,∴,∵,∴x >0,∴f (x )的定义域为(0,+∞). (2)设x 2>x 1>0,∵a >1>b >0,∴,,则,∴,∴.∵函数y=lgx 在定义域上是增函数,∴f (x 2)﹣f (x 1)>0,即f (x 2)>f (x 1),∴f (x )在(0,+∞)是增函数.(3)由(2)知,函数f (x )在(0,+∞)是增函数,∴f (x )在(1,+∞)是增函数,即有f (x )>f (1),要使f (x )>0恒成立,必须函数的最小值f (1)≥0,即lg (a ﹣b )≥0=lg1,则a ﹣b ≥1.卷(II )四、选填题(本大题共3小题,每小题5分,共30分).20.若3a =4,则log 32的值等于( )A .2aB .aC .D .【考点】对数的运算性质.【分析】先将指数式3a =4转化为对数式a=log 34,再根据对数的运算性质得到a=log 34=log 322=2log 32,所以log 32=.【解答】解:根据3a =4,得a=log 34,根据对数的运算性质得到,a=log 34=log 322=2log 322=∴log3故选C.21.若函数f(x)=|4x﹣x2|+a有4个零点,则实数a的取值范围是()A.[﹣4,0] B.(﹣4,0)C.[0,4] D.(0,4)【考点】根的存在性及根的个数判断.【分析】函数f(x)=|4x﹣x2|+a零点的个数,即为函数y=|4x﹣x2|与函数y=﹣a交点个数,结合图象可得实数a的取值范围.【解答】解:∵函数f(x)=|4x﹣x2|+a有4个零点函数y=|4x﹣x2|与函数y=﹣a有4个交点,如图所示:结合图象可得 0<﹣a<4,∴﹣4<a<0故选B22.定义域为R的奇函数f(x)是减函数,当f(a)+f(a2)>0成立时,实数a的取值范围是()A.a<﹣1或a>0 B.﹣1<a<0 C.a<0或a>1 D.a<﹣1或a>1【考点】奇偶性与单调性的综合.【分析】先根据函数是定义在R上的奇函数,把不等式f(a)+f(a2)>0变形为f(a2)>f(﹣a),再根据f(x)在R上是减函数,去函数符号,再解关于a的二次不等式即可.【解答】解:∵f(a)+f(a2)>0,∴f(a2)>﹣f(a),又∵f(x)为奇函数,∴f(a2)>f(﹣a),∵f(x)在R上是减函数,∴a2<﹣a,解得﹣1<a<0.故选:B.五、填空题(共3小题,每小题5分,满分15分)23.若关于实数x的不等式|x+2|+|x﹣3|<a无解,则实数a的取值范围是(﹣∞,5] .【考点】绝对值不等式.【分析】由绝对值的意义可得|x+2|+|x﹣3|的最小值为5,故当a≤5时,关于实数x的不等式|x+2|+|x﹣3|<a无解,从而得到要求的a的范围.【解答】解:由于|x+2|+|x﹣3|表示数轴上的x对应点到﹣2和3对应点的距离之和,它的最小值为5,故当a≤5时,关于实数x的不等式|x+2|+|x﹣3|<a无解,故答案为:(﹣∞,5].24.已知函数f(x)=()x﹣()x+1的定义域是[﹣3,2],则该函数的值域为[] .【考点】指数型复合函数的性质及应用.【分析】由于x∈[﹣3,2],可得≤≤8,令 t=,有y=t2﹣t+1=+,再利用二次函数的性质求出它的最值.【解答】解:由于x∈[﹣3,2],∴≤≤8,令 t=,则有y=t2﹣t+1=+,故当t=时,y有最小值为,当t=8时,y有最大值为57,故答案为[].25.设函数f(x)是定义在R上的奇函数,若f(x)的最小正周期为3,且f(1)>1,f(2)=,则m的取值范围是﹣1<m<.【考点】函数奇偶性的性质.【分析】根据函数奇偶性和周期性的关系,即可得到结论.【解答】解:∵若f(x)的最小正周期为3,且f(1)>1,∴f(2)=f(2﹣3)=f(﹣1),∵函数f(x)是定义在R上的奇函数,∴f(2)=f(﹣1)=﹣f(1)<﹣1,即f(2)=<﹣1,即+1==,则等价为(m+1)(3m﹣2)<0,解得﹣1<m<,故答案为:﹣1<m<.五、解答题:(本大题共2小题,26题8分,27题12分,共20分)26.解关于x的不等式2log4(x﹣1)>log4[a(x﹣2)+1](a为常数且a>2)的解集.【考点】指、对数不等式的解法.【分析】利用对数函数的单调性把已知不等式变形,由a的范围求得的范围,求解不等式组得答案.【解答】解:原不等式等价于⇔,∵a>2,∴,则2﹣,从而不等式组等价于:,即x>a或.∴不等式的解集为{x|x>a或}.27.已知函数f(x)=m(x+)的图象与函数h(x)=(x+)+2的图象关于点A(0,1)对称.(1)求m的值;(2)若g(x)=f(x)+在区间(0,2]上为减函数,求实数a的取值范围.【考点】函数的图象与图象变化;函数单调性的判断与证明.【分析】(1)由题意,h(1)=,从而可得(1,)关于(0,1)的对称点(﹣1,﹣)在函数f(x)=m(x+)的图象上,从而求m;(2)由对勾函数的单调性求实数a的取值范围.【解答】解:(1)由h(1)=得,(1,)关于(0,1)的对称点(﹣1,﹣)在函数f(x)=m(x+)的图象上,故﹣=﹣2m,解得,m=;(2)g(x)=(x+)+==+,故1+a>0,≥2,解得a≥3.。
2019-2020学年北京四中高一上学期期中考试数学试卷一、单选题1.设集合A ={4,5,7,9},B ={3,4,7,8,9},全集U =A ∪B ,则集合C U (A ∩B)中的元素共有A .3个B .4个C .5个D .6个2.函数()f x =的定义域是( ). A .(),2-∞ B .[)2,+∞ C .(],2-∞ D .()2,+∞3.设集合A={(x ,y )|4x+y=6},B={(x ,y )|3x+2y=7},则满足C ⊆A ∩B 的集合C 的个数是( )A .0B .1C .2D .34.下列函数中,在(-∞,0)上为减函数的是( )A .y =−x 2+2B .y =4x −1C .y =x 2+4xD .y =1x5.已知函数f(x)=(23)x ,则函数y=f (x+1)的图象大致是( ) A . B .C .D .6.如果二次函数y=x2-(k+1)x+k+4有两个不同的零点,则实数k 的取值范围是( )A .(−∞,−3)∪(5,+∞)B .(−∞,−5)∪(3,+∞)C .(−3,5)D .(−5,3)7.下列大小关系正确的是( )A .0.43<30.4<log 40.3B .0.43<log 40.3<30.4C .log 40.3<0.43<30.4D .log 40.3<30.4<0.438.已知函数()f x 是R 上的奇函数,且当0x >时,32()2f x x x =-,则当0x <时,()f x =( )A .322x x +B .322x x -C .322x x -+D .322x x --二、填空题9.计算:e ln1=________.10.已知集合A ={x|x >1},B ={x|x >a},若A ⊆B ,则实数a 的取值范围是______.11.函数f(x)=log a (a −a x ) (0<a <1)的定义域为__________.12.已知f(x)={x 2−1, x ≤1−x +1, x >1,则f[f(−1)]=_________;若f(x)=−1,则x =________.13.已知函数f(x)=ax 2−2x −2在区间[1,+∞)上不单调,则实数a 的取值范围是________.14.如图放置的边长为2的正三角形ABC 沿x 轴滚动,记滚动过程中顶点A 的横、纵坐标分别为x 和y ,且y 是x 在映射f 作用下的象,则下列说法中:① 映射f 的值域是[0,√3];② 映射f 不是一个函数;③ 映射f 是函数,且是偶函数;④ 映射f 是函数,且单增区间为[6k,6k +3](k ∈Z),其中正确说法的序号是___________.说明:“正三角形ABC 沿x 轴滚动”包括沿x 轴正方向和沿x 轴负方向滚动.沿x 轴正方向滚动指的是先以顶点B 为中心顺时针旋转,当顶点C 落在x 轴上时,再以顶点C为中心顺时针旋转,如此继续.类似地,正三角形ABC可以沿x轴负方向滚动.15.已知函数f(x)=x 12−log12x,若0<a<b<c,且满足f(a)f(b)f(c)<0(0<a<b<c),则下列说法一定正确的是______.①f(x)有且只一个零点②f(x)的零点在(0,1)内③f(x)的零点在(a,b)内④f(x)的零点在(c,+∞)内16.关于函数f(x)=√x2−x4|x−1|−1的性质描述,正确的是___①f(x)的定义域为[−1,0)∪(0,1]②f(x)的值域为(−1,1)③f(x)在定义域上是增函数④f(x)的图象关于原点对称17.在同一直角坐标系下,函数y= a x与y= log a x(a>0,a≠1)的大致图象如图所示,则实数a的可能值为______①. 32②. 43③. 75④. 10718.已知函数f(x)={x3+a,x>0x+1, x≤0在R上是增函数,则实数a的取值范围是________.19.非空有限数集S满足:若a,b∈S,则必有ab∈S.请写出一个满足条件的二元数集S=________.20.已知直线y=ax上恰好存在一个点关于直线y=x的对称点在函数y=lnx 的图象上.请写出一个符合条件的实数a的值:________.三、解答题21.已知集合A={x|x2−x<0},B={x|x2−2x−m<0}.(1)求∁R A;(2)若A∩B=∅,求实数m的取值范围.22.已知函数f(x)=a−2是定义在R上的奇函数.1+2x(1)求f(x)的解析式及值域;(2)判断f(x)在R上的单调性,并用单调性定义予以证明.23.某公司共有60位员工,为提高员工的业务技术水平,公司拟聘请专业培训机构进行培训.培训的总费用由两部分组成:一部分是给每位参加员工支付400元的培训材料费;另一部分是给培训机构缴纳的培训费.若参加培训的员工人数不超过30人,则每人收取培训费1000元;若参加培训的员工人数超过30人,则每超过1人,人均培训费减少20元.设公司参加培训的员工人数为x人,此次培训的总费用为y元.(1)求出y与x之间的函数关系式;(2)请你预算:公司此次培训的总费用最多需要多少元?24.若函数f(x)的图象恒过(0,0)和(1,1)两点,则称函数f(x)为“0-1函数”. (1)判断下面两个函数是否是“0-1函数”,并简要说明理由:①y=x−1;②y=−x2+2x.(2)若函数f(x)=a x+b是“0-1函数”,求f(x);(3)设g(x)=log a x(a>0,a≠1),定义在R上的函数ℎ(x)满足:①对∀x1,x2∈R,均有ℎ(x1x2+1)=ℎ(x1)⋅ℎ(x2)−ℎ(x2)−x1+2;②g[ℎ(x)]是“0-1函数”,求函数ℎ(x)的解析式及实数a的值.2018-2019学年北京市人大附中高一上学期期中考试数学试题一、单选题1.设集合A={4,5,7,9},B={3,4,7,8,9},全集U=A∪B,则集合C U(A∩B)中的元素共有A.3个 B.4个 C.5个 D.6个【答案】A【解析】试题分析:U =A ∪B ={3,4,5,7,8,9},A ∩B ={4,7,9},所以C U (A ∩B)={3,5,8},即集合C U (A ∩B)中共有3个元素,故选A .【考点】集合的运算.2.函数()f x =的定义域是( ). A .(),2-∞ B .[)2,+∞ C .(],2-∞ D .()2,+∞【答案】D【解析】要使函数有意义,则需20x ->,解得: 2x >,所以函数的定义域是:()2,+∞,故选D .3.设集合A={(x ,y )|4x+y=6},B={(x ,y )|3x+2y=7},则满足C ⊆A ∩B 的集合C 的个数是( )A .0B .1C .2D .3【答案】C【解析】先求出A ∩B ,然后根据A ∩B 中元素的个数确定C 的个数.【详解】A ∩B ={(x ,y)|{4x +y =63x +2y =7 }={(1,2)}, ∴C 是∅或{(1,2)},共有2个.故选:C .【点睛】本题考查子集的性质和应用,属于基础题.4.下列函数中,在(-∞,0)上为减函数的是( )A .y =−x 2+2B .y =4x −1C .y =x 2+4xD .y =1x【答案】D【解析】根据二次函数,一次函数,反比例函数的单调性,逐一判断四个答案中的函数在区间(﹣∞,0)上的单调性,比照后,即可得到答案.【详解】 A 中,函数y =﹣x 2+2在(﹣∞,0)上为增函数;B 中,函数y =4x ﹣1在(﹣∞,0)上为增函数;C 中,函数y =x 2+4x 在(﹣∞,﹣2)上为减函数,在(﹣2,0)上为增函数;D 中,函数y =1x 在(﹣∞,0)上为减函数故选:D .【点睛】本题考查的知识点是函数单调性的判断与证明,熟练掌握各种基本初等函数的单调性,是解答本题的关键.5.已知函数f(x)=(23)x ,则函数y=f (x+1)的图象大致是( ) A . B .C .D .【答案】B 【解析】根据题意,先求f (x +1)的表达式,可得f(x +1)=(23)x+1=23⋅(23)x ,进而分析可得f (x )单调递减,且其图象与y 轴交点在(0,1)之下,比较选项可得答案.【详解】根据题意,可得f(x +1)=(23)x+1=23⋅(23)x ,f (x )单调递减; 同时有f(0)=23<1,23<1,即函数图象与y 轴交点在(0,1)之下; A 、D 选项的图象为增函数,不符合;C 选项的图象与y 轴交点在(0,1)之上,不符合;只有B 的图象符合两点,故选:B .【点睛】本题考查指数函数的性质和函数图象的变化,掌握指数函数的性质是解题的关键.6.如果二次函数y=x2-(k+1)x+k+4有两个不同的零点,则实数k 的取值范围是( )A .(−∞,−3)∪(5,+∞)B .(−∞,−5)∪(3,+∞)C .(−3,5)D .(−5,3)【答案】A【解析】二次函数y =x 2﹣(k +1)x +k +4有两个不同的零点可得,x 2﹣(k +1)x +k +4=0有两个不同的实根,则△>0,解不等式可求.【详解】∵二次函数y =x 2﹣(k +1)x +k +4有两个不同的零点∴x 2﹣(k +1)x +k +4=0有两个不同的实根∴△=(k +1)2﹣4(k +4)=k 2﹣2k ﹣15=(k +3)(k ﹣5)>0∴k <﹣3或k >5故选:A .【点睛】本题主要考查了二次函数的零点与二次方程的根的存在情况的判断,属于基础题.7.下列大小关系正确的是( )A .0.43<30.4<log 40.3B .0.43<log 40.3<30.4C .log 40.3<0.43<30.4D .log 40.3<30.4<0.43【答案】C【解析】试题分析:根据指数的性质可知:0<0.43<0.4<12,30.4>1,根据对数的性质12<log 43<1,所以0.43<12<log 43<1<30.4,故选择D.【考点】1.指数对数的比较大小;2.指数、对数的运算性质.8.已知函数()f x 是R 上的奇函数,且当0x >时,32()2f x x x =-,则当0x <时,()f x =( )A .322x x +B .322x x -C .322x x -+D .322x x --【答案】A【解析】试题分析:设0x <,则0x ->,因为函数()f x 是R 上的奇函数,所以()()3232f x f x x x x x=--=----=+,故选A.[()2()]2【考点】函数的奇偶性的应用.二、填空题9.计算:e ln1=________.【答案】1【解析】利用对数的运算规则a log a N=N可得计算结果.【详解】因为e ln1=e log e1=1,故填1.【点睛】对数有如下的运算规则:(1)log a M+log a N=log a(MN)(a>0,a≠1,M>0,N>0),(a>0,a≠1,M>0,N>0);log a M−log a N=log a MN(2)a log a N=N(a>0,a≠1,N>0);log a b(a>0,a≠1,b>0,p≠0);(3)log a p b q=qp(a>0,a≠1,b>0,c>0,c≠1) .(4)log a b=log c blog c a10.已知集合A={x|x>1},B={x|x>a},若A⊆B,则实数a的取值范围是______.【答案】(−∞,1]【解析】在数轴上画出两个集合对应的范围,利用A⊆B可得实数a的取值范围. 【详解】如图,在数轴表示A,B,因为A⊆B,故a≤1,填(−∞,1].【点睛】含参数的集合之间的包含关系,应借助于数轴、韦恩图等几何工具直观地讨论参数的取值范围,解决此类问题时,还应注意区间端点处的值是否可取. 11.函数f(x)=log a(a−a x)(0<a<1)的定义域为__________.【答案】(1,+∞)【解析】解不等式a−a x>0可得函数的定义域.【详解】由题设有a−a x>0即a>a x,因0<a<1,故x>1,故函数的定义域为(1,+∞),填(1,+∞).【点睛】函数的定义域一般从以下几个方面考虑:(1)分式的分母不为零;(2)偶次根号√an(n∈N∗,n≥2,n为偶数)中,a≥0;(3)零的零次方没有意义;(4)对数的真数大于零,底数大于零且不为1.12.已知f(x)={x2−1, x≤1−x+1, x>1,则f[f(−1)]=_________;若f(x)=−1,则x=________.【答案】-1 0或2【解析】根据自变量的范围选择合适的解析式计算函数值即可,分段讨论可得何时f(x)=−1.【详解】f(−1)=(−1)2−1=0,故f[f(−1)]=f(0)=−1,因为f(x)=−1,故{x≤1x2−1=−1或者{x>1−x+1=−1,解得x=0或x=2 . 综上,填−1,0或2.【点睛】分段函数的求值问题,应该自变量的范围选择适当的解析式去求函数值,如果知道分段函数的函数值,则应分类讨论求出不同范围上的自变量的值,也可以先刻画出分段函数的函数图像,结合图像求函数值或相应的自变量的值.13.已知函数f(x)=ax2−2x−2在区间[1,+∞)上不单调,则实数a的取值范围是________.【答案】(0,1)【解析】∈[1,+∞),从而得到实数a的取值范根据函数在[1,+∞)不单调可得a≠0且1a围.【详解】若a=0,则f(x)=−2x−2,f(x)在[1,+∞)为减函数,不符题意,舎;,因为f(x)在[1,+∞)不单调,若a≠0,则f(x)为二次函数,对称轴为x=1a>1,所以0<a<1,填(0,1).故1a【点睛】含参数的多项式函数,我们要首先确定最高次项的系数是否为零,因为它确定了函数种类(一次函数、二次函数、三次函数等).其中,一次函数y=kx+b 的单调性取决于k的正负,二次函数的单调性取决对称轴的位置及开口方向. 14.如图放置的边长为2的正三角形ABC沿x轴滚动,记滚动过程中顶点A 的横、纵坐标分别为x和y,且y是x在映射f作用下的象,则下列说法中:①映射f的值域是[0,√3];②映射f不是一个函数;③映射f是函数,且是偶函数;④映射f是函数,且单增区间为[6k,6k+3](k∈Z),其中正确说法的序号是___________.“正三角形ABC沿x轴滚动”包括沿x轴正方向和沿x轴负方向滚动.沿说明:x轴正方向滚动指的是先以顶点B为中心顺时针旋转,当顶点C落在x轴上时,再以顶点C为中心顺时针旋转,如此继续.类似地,正三角形ABC可以沿x轴负方向滚动.【答案】③。
北京四中高中一年级期中考试数学试卷卷(I)一、单项选择题:(本大题共8小题,每小题6分,共48分)1.的值为()A. B. C. 1 D.【答案】D【解析】【分析】根据对数的运算法则及性质即可求解.【详解】因为,故选D.【点睛】本题主要考查了对数的性质和运算法则,属于容易题.2.集合,则下列关系正确的是()A. B. C. D.【答案】A【解析】【分析】根据元素与集合的关系即可判断.【详解】因为,所以,故选A.【点睛】本题主要考查了元素与集合的关系,属于容易题.3.函数的定义域是()A. B.C. D.【答案】C【解析】【分析】函数要有意义,则需解析式有意义,分式的分母不为0即可.【详解】要是函数有意义,则需,解得,所以函数的定义域为,故选C.【点睛】本题主要考查了函数的定义域,属于中档题.4.若,则()A. 1B.C. 0D.【答案】A【解析】【分析】根据函数解析式,只需把代入即可求出函数值.【详解】因为,所以当时,,故选A.【点睛】本题主要考查了根据函数解析式求函数值,属于中档题.5.下列函数中,在区间上为增函数的是()A. B.C. D.【答案】B【解析】【分析】根据基本初等函数的单调性,逐项分析即可.【详解】A选项中是一次函数,,所以在R上是减函数,错误;B选项是幂函数,幂指数,在区间上为增函数,故正确;C选项是二次函数,对称轴为,在区间上无单调性,错误;D选项是指数函数,,在R上是减函数,错误.故选B.【点睛】本题主要考查了函数的单调性,属于中档题.6.下列函数中,值域是的是()A. B.C. D.【答案】B【解析】【分析】根据函数性质,逐项分析各选项即可.【详解】A中的值域为R,错误,B中的值域为,正确;C中,值域为,错误;D中的值域为R,错误.故选B.【点睛】本题主要考查了基本初等函数的值域,属于中档题.7.函数的零点所在的一个区间是()A. B. C. D.【答案】C【解析】【分析】根据题意可知函数是R上的减函数,只需根据即可判断零点所在区间. 【详解】因为是R上的减函数,所以是R上的减函数,又,可知零点在区间上,故选C.【点睛】本题主要考查了函数零点的存在性,函数的单调性,属于中档题.8.若,则()A. B. C. D.【答案】B【解析】【分析】根据指数及对数的性质可分析出范围,从而得到结果.【详解】因为,所以,因为,所以,所以选B.【点睛】本题主要考查了指数的性质,对数的性质,属于容易题.二、填空题:(本大题共4小题,每小题5分,共20分)9.计算:________;________.【答案】(1). 1(2). 4【解析】【分析】分别根据对数的运算法则及指数的运算法则计算即可求解.【详解】;故填(1). 1 (2). 4【点睛】本题主要考查了对数及指数运算法则,属于中档题.10.若函数的定义域为,则函数的定义域为________.【答案】【解析】【分析】根据的定义域为知,要有意义则需,即可求出的定义域.【详解】因为的定义域为,则要有意义则需,解得,所以的定义域为.故填.【点睛】本题主要考查了抽象函数的定义域,属于中档题.11.函数,则其图象的对称轴方程为________;的增区间是________.【答案】(1). 2(2).【解析】【分析】根据二次函数的性质知,对称轴方程为,当时,增区间为,据此可写出答案.【详解】因为函数,所以对称轴方程为,的增区间是.故填:(1). 2(2).【点睛】本题主要考查了二次函数的对称轴和单调区间,属于容易题.12.已知函数,若函数有3个零点,则实数的取值范围是________.【答案】【解析】【分析】函数有3个零点,即方程有3个根,因此在同一坐标系内做出的图象与直线,观察它们公共点的个数即可得到答案.【详解】因为有3个零点,所以的图象与直线有3个公共点在同一坐标系内作出它们的图象,如下:根据图象可知,当时,有三个交点.故则实数的取值范围是.【点睛】本题主要考查了分段函数,函数的零点,函数零点与方程的根,数形结合思想,属于中档题.三、解答题(本大题共3小题,每小题10分,共30分)13.设集合.(I)用列举法写出集合;(II)求和.【答案】(I);(II),.【解析】【分析】(I)根据集合的描述法写出集合中的元素即可列举法表示(II)根据交集和并集的运算即可求解.【详解】(I)因为x,所以,所以.(II)因为,所以,.【点睛】本题主要考查了集合的描述法,列举法,交集,并集,属于中档题.14.已知函数.(I)当时,判断的奇偶性,并证明你的结论;(II)当时,求的值域.【答案】(I)证明见解析;(II).【解析】【分析】(I)当时,,,为偶函数,可根据定义证明(II)当时,,配方可写出值域.【详解】(I)当时,,,为偶函数,证明:由知,,,.即函数为偶函数.(II)当时,即函数的值域为.【点睛】本题主要考查了函数的奇偶性,二次函数的值域,属于中档题.15.设函数.(I)利用单调性定义证明:在区间上是单调递减函数;(II)当时,求在区间上的最大值.【答案】(I)证明见解析;(II).【解析】【分析】(I)根据函数单调性的定义证明即可(II)先证明函数在区间[2,+∞)上是单调递增函数,再结合(I)的结论且,对分类讨论写出函数最大值.【详解】(I)任取,∈(0,2],设<,则∵,∴∵,∴∴所以,故在区间(0,2]上是单调递减函数.(II)由(I)可知,在区间(0,2]上是单调递减函数;当,设<,易知总有<,所以在区间[2,+∞)上是单调递增函数,又,所以在区间上最大值为.【点睛】本题主要考查了函数单调性的定义证明,分类讨论的思想,属于中档题.卷(II)一、选填题:(本大题共5小题,每小题6分,共30分)16.不等式的解集是A. B. C. D.【答案】C【解析】【分析】根据指数函数的增减性可转化为,即可求解.【详解】,即.所以不等式的解集为.故选C.【点睛】本题主要考查了指数函数的增减性,属于中档题.17.如果是定义在上的奇函数,那么下列函数中,一定是偶函数的是A. B.C. D.【答案】B【解析】试题分析:由题意得,因为函数是定义在上的奇函数,所以,设,则,所以函数为偶函数,故选B.考点:函数奇偶性的判定.18.某种计算机病毒是通过电子邮件进行传播的,下表是某公司前5天监测到的数据:第天 1 2 3 4 5被感染的计算机数量(台)10 20 39 81 160则下列函数模型中,能较好地反映计算机在第天被感染的数量与之间的关系的是A. B.C. D.【答案】D【解析】【分析】根据选项中的函数,依次代入x值求出y的值,通过y的值与表格中所给出的y的值进行比较,误差越小则拟合度越高,误差越大则拟合度越小,计算即可求解.【详解】对于A选项,当时,对应的y值分别为,对于B选项,当时,对应的y值分别为,对于C选项,当时,对应的y值分别为,对于D选项,当时,对应的y值分别为,而表中所给的数据为,,当时,对应的y值分别为,通过比较,即可发现选项D中y的值误差最小,即能更好的反映与之间的关系. 故选D.【点睛】本题主要考查了选择合适函数模型来拟合实际问题,属于中档题.19.设全集,集合,则_______;_______.【答案】(1). (2).【解析】【分析】根据集合的补集的运算及交集的运算即可求解.【详解】因为全集,集合,所以,.【点睛】本题主要考查了集合的交集、补集运算,属于中档题.20.如图,函数的图象是折线段,其中的坐标分别为, ,则_________;的解集为________.【答案】(1). 2(2).【解析】【分析】根据函数的图象,观察即可得出答案.【详解】根据图象知,所以,根据图象知,所以,当时,由图象可知,即的解集为.【点睛】本题主要考查了函数的图象,属于中档题.二、解答题:(本大题共2小题,共22分)21.(12分)设函数.(I)若,求的取值范围;(II)记的反函数为,若在上恒成立,求的最小值.【答案】(I)或;(II).【解析】【分析】(I)根据对数函数的增减性转化为,并注意真数大于零即可求解(II)由题意知,原不等式可转化为在区间[2,)上恒成立即可求解.【详解】(I)由已知log a(x2-x)>log a2,因为0<a<1,所以0<x2-x<2,解,得-1<x<2,解,得x>1或x<0,所以x的取值范围是{x|-1<x<0或1<x<2).(II)为的反函数,所以,由已知在区间[2,)上恒成立,因为,所以在区间[2,)上恒成立,即大于等于的最大值,因为0<a<1,所以>1,又x-2∈[0,),所以()的最小值为1,-()的最大值为-1,所以k≥-1,所以k的最小值为-1.【点睛】本题主要考查了对数函数的增减性,反函数,指数函数,恒成立问题,属于中档题.22.(10分)给定数集,若对于任意,有,且,则称集合为闭集合. (I)判断集合是否为闭集合,并给出证明;(II)若集合为闭集合,则是否一定为闭集合?请说明理由;(III)若集合为闭集合,且,证明:.【答案】(I)证明见解析;(II)不一定,证明见解析;(III)证明见解析.【解析】【分析】(I)根据特值,但是4+4=8A,判断A不为闭集合,设,可证出,,B为闭集合(II)取特例A={x|x=2k,k∈Z},B={x|x=3k,k∈Z},集合为闭集合,但不为闭集合即可(III)用反正正法,若A B=R,存在a∈R且a A,故a∈B,同理,因为B R,存在b∈R且b B,故b∈A,若,则由A为闭集合,,与a A矛盾,同理可知若,,与b B矛盾,即可证明.【详解】(I)因为,但是4+4=8A,所以,A不为闭集合;任取,设,则且所以,同理,,故B为闭集合.(II)结论:不一定.令A={x|x=2k,k∈Z},B={x|x=3k,k∈Z},则由(I)可知,A,B为闭集合,但2,3∈A B,2+3=5A B,因此,A B不为闭集合.(III)证明:(反证)若A B=R,则因为A R,存在a∈R且a A,故a∈B,同理,因为B R,存在b∈R且b B,故b∈A,因为a+b∈R=A B,所以,a+b∈A或a+b∈B,若,则由A为闭集合,,与a A矛盾,若,则由B为闭集合,,与b B矛盾,综上,存在c∈R,使得c(A B).【点睛】本题主要考查了集合子集、真子集,反证法,考查了学生分析推理能力,属于难题.。
2019北京四中高一(上)期中数 学试卷分为两卷,卷(I )100分,卷(II )50分,满分共计150分考试时间:120分钟卷(I )一.选择题:本大题共10小题,每小题4分,共40分1.已知全集U ={1,2,3,4,5},集合A ={1,3},B ={3,4,5},则集合A ∩B =()A.{2,3,4,5}B.{3}C.{1,4,5}D.{1,3,4,5}2.函数f (x )=√x−1x−2的定义域是( )A.RB.{x x ⁄>2}C.{x x ⁄≥1}D.{x x ⁄≥1且x ≠2}3.若a >b ,则下列各式中正确的是( )A.ac >bcB.ac 2>bc 2C.a +c 2>b +c 2D.1a <1b4.下列函数中,在区间(0,+∞)上为减函数的是( )A.y =x 2−2xB.y =|x |C.y =2x +1D.y =−√x5.命题“∀x ∈R ,x 3−x 2+1≤0”的否定是( )A.∃x ∉R ,x 3−x 2+1>0B.∃x ∈R ,x 3−x 2+1>0C.∃x ∈R ,x 3−x 2+1≥0D.∀x ∈R ,x 3−x 2+1>06.下列函数中:① y =2x ② y =1(x+1)2 ③ y =x 2+1 ④ f (x )={x +1,x <01−x ,x >0偶函数的个数是( )A.0B.1C.2D.37.“x>1”是“x2−x>0”的()A.充分不必要条件B.必要不充分条件C.充要条件D.既不充分也不必要条件8.函数f(x)=x3−2x−3一定存在零点的区间是()A.(2,+∞)B.(1,2)C.(0,1)D.(−1,0)9.下列函数中,满足f(2x)=2f(x)的是()A.f(x)=(x+2)2B.f(x)=x+1C.f(x)=4xD.f(x)=x−|x|10.函数f(x)=ax+b(x+c)2的图像如图所示,则下列结论成立的是()A.a>0,b>0,c<0B.a<0,b>0,c>0C.a<0,b>0,c<0D.a<0,b<0,c<0二.填空题:本大题共6小题,每小题5分,共30分11.设全集U=R,集合A={x0⁄<x<2},B={−3,−1,1,3},则集合(C U A)∩B=12.已知f(x)={2x−1,x≥03x2,x<0,则f(f(−1))的值为13.函数y=x2+3x−1,x∈[−2,3]的值域是14.若x>0,则f(x)=4x+19x的最小值为15.若二次函数f(x)的图像关于x=2对称,且f(a)≤f(0)<f(1),则实数a的取值范围是16.某学习小组由学生和教师组成,人员构成同时满足以下三个条件:①男学生人数多于女学生人数;②女学生人数多于教师人数;③教师人数的两倍多于男学生人数.(1)若教师人数为4,则女学生人数的最大值为;(2)该小组人数的最小值为 .三.解答题:本大题共3小题,共30分17.(10分)设集合A ={x x 2⁄−2x −3>0},B ={x x 2⁄+4x +3<0},C ={x 2k ⁄−1<x <2k +3}.(1)求A ∪B ;(2)若C ⊆A ∪B ,求实数k 的取值范围.18.(8分)已知:a ,b >0,求证:a 3+b 3≥a 2b +ab 2.19.(12分)已知函数f (x )=2x −1a ,g (x )=2x −1a (a ∈R ,a ≠0).(1)当a =1时,解关于x 的不等式f (x )>0;(2)若f (x )+g(x)≥0在(0,+∞)上恒成立,求a 的取值范围.卷(II )一.过程性评价(考生不必作答),共10分二.填空题:本大题共5小题,每小题4分,共20分1.已知集合M ={0,1,2,3},N ={x x ⁄=2a ,a ∈M},则集合M ∩N =2.不等式|x −1|+|x +2|≤5的解集为3.已知x >y >z ,x +y +z =0,则 ① xz <yz ② xy >yz ③ xy >xz④ x |y |>z |y |四个式子中正确的是 (只填写序号)4.设f (x )={(x −a )2,x ≤0x +1x ,x >0(1)当a =12时,f (x )的最小值是 ;(2)若f(0)是f (x )的最小值,则a 的取值范围是 .5.已知集合M={x∈N∕1≤x≤15},集合A1,A2,A3满足①每个集合都恰有5个元素;②A1∪A2∪A3=M,集合A i中元素的最大值与最小值之和称为集合A i的特征数,记为X i(i=1,2,3),则X1+X2+X3的最大值与最小值的和为 .三.解答题:本大题共2小题,共20分6.(10分)已知函数f(x)=x2+a|x−1|.(1)当a=2时,解方程f(x)=2;(2)若f(x)在[0,+∞)上单调递增,求实数a的取值范围.7.(10分)设a,b,c,d不全为0,给定函数f(x)=bx2+cx+d,g(x)=ax5+bx2+cx+d.若f(x),g(x)满足①f(x)有零点;②f(x)的零点均为g(f(x))的零点;③g(f(x))的零点均为f(x)的零点. 则称f(x),g(x)为一对“K函数”.(1)当a=c=d=1,b=0时,验证f(x),g(x)是否为一对“K函数”,并说明理由;(2)若f(x),g(x)为任意一对“K函数”,求d的值;(3)若a=1,f(1)=0,且f(x),g(x)为一对“K函数”,求c的取值范围.word下载地址。
2019届北京四中高三第一学期期中考试数学(文科)试题数学注意事项:1.答题前,先将自己的姓名、准考证号填写在试题卷和答题卡上,并将准考证号条形码粘贴在答题卡上的指定位置。
2.选择题的作答:每小题选出答案后,用2B 铅笔把答题卡上对应题目的答案标号涂黑,写在试题卷、草稿纸和答题卡上的非答题区域均无效。
3.非选择题的作答:用签字笔直接答在答题卡上对应的答题区域内。
写在试题卷、草稿纸和答题卡上的非答题区域均无效。
4.考试结束后,请将本试题卷和答题卡一并上交。
一、单选题1.设函数y =√x −2018的定义域为M ,函数y =e x 的值域为P ,则M ∩P = A .(0,+∞) B .[2018,+∞) C .[0,+∞) D .(2018,+∞) 2.在下列函数中,是偶函数,且在(0,1)内单调递减的是 A .y =2x B .y =1x C .y =lgx D .y =cosx3.执行如图所示的程序框图.若输出的结果是16,则判断框内的条件是A .n >6?B .n ≥7?C .n >8?D .n >9? 4.在△ABC 中,a =3√3,b =3,A =π3,则C 为A .π6B .π4C .π2D .2π35.函数y =A sin (ωx +φ)(ω>0,|φ|<π2,x ∈R )的部分图像如图所示,则函数表达式为A .y =−4sin(π8x −π4) B .y =−4sin(π8x +π4) C .y =4sin(π8x −π4) D .y =4sin(π8x +π4)6.设m,n 为非零向量,则“存在负数λ,使得m =λn ”是“m ⋅n <0”的A .充分而不必要条件B .必要而不充分条件C .充分必要条件D .既不充分也不必要条件 7.已知函数()2222,2{log ,2x x x f x x x -+≤=> ,若0R x ∃∈,使得()2054f x m m ≤- 成立,则实数m 的取值范围为A .11,4⎡⎤-⎢⎥⎣⎦ B .1,14⎡⎤⎢⎥⎣⎦ C .12,4⎡⎤-⎢⎥⎣⎦ D .1,13⎡⎤⎢⎥⎣⎦8.设x ∈R ,定义符合函数sgn(x)={1,x >00,x =0−1,x <0 ,则下列等式正确的是A .sinx ⋅sgn(x)=sin|x|B .sinx ⋅sgn(x)=|sinx|C .|sinx |⋅sgn(x)=sin |x |D .sin |x |⋅sgn(x)=|sinx |二、填空题9.i 为虚数单位,计算(−3−i)i =_______________。
北京四中高一上学期期中考试试卷数学试卷分为两卷,卷(Ⅰ)100分,卷(Ⅱ)50分,满分共计150分考试时间:120分钟卷(Ⅰ)一、选择题:本大题共10小题,每小题5分,共50分1. 如果A ={}1->x x ,那么正确的结论是A . 0⊆A B. {0}∈A C. {0}⊂≠ A D. φ∈A 2. 函数f (x )=22-x ,则f (21)= A. 0 B. -2 C. 22 D. -22 3. 设全集I ={}33<<-∈x Z x ,A ={1,2},B ={-2,-1,2},则A (C I B )等于A. {1}B. {1,2}C. {2} D{0,1,2}4. 与函数y =10)1lg(-x 的定义域相同的函数是A. y =x -1B. y =1-xC. y =11-x D. y =1-x 5. 若函数f (x )=3x +3x -与g (x )=3x -3x -的定义域均为R,则A. f (x )与g (x )均为偶函数B. f (x )为偶函数,g (x )为奇函数C. f (x )与g (x )均为奇函数D. f (x )为奇函数,g (x )为偶函数6. 设a =log 32,b =ln2,c =521,则A. a<b<cB. b<c<aC. c<a<bD. c<b<a7. 设函数y =x 3与y =x ⎪⎭⎫ ⎝⎛21的图象的交点为(x 0,y 0),则x 0所在的区间是 A. (0,1) B. (1,2) C. (2,3) D. (3,4)8. 已知函数f (x )是R上的偶函数,当x ≥0时1)(-=x x f ,则f (x )<0的解集是A. (-1,0)B. (0,1)C. (-1,1)D. ()()∞+-∞-,,119. 某商店同时卖出两套西服,售价均为168元,以成本计算,一套盈利20%,另一套亏损20%,此时商店A. 不亏不盈B. 盈利37.2元C. 盈利14元D. 亏损14元10. 设函数f (x )在()∞+∞-,上是减函数,则A. f (a )>f (2a )B. f (a 2)<f (a )C. f (a 2+a )<f (a )D. f (a 2+1)<f (a )二、填空题:本大题共4小题,每小题5分,共20分11. log 64+ log 69-832=____.12. 已知函数y =f (x )为奇函数,若f (3)-f (2)=1,则f (-2)-f (-3)=____。
2019-2020学年北京四中高一(上)期中数学试卷一、选择题(本大题共13小题,共65.0分) 1. log 223+log 26等于( ).A. 1B. 2C. 5D. 6 2. 已知集合M ={x|x 2−x −6=0},则下列正确的是( )A. {−2}∈MB. 2∈MC. −3∈MD. 3∈M3. 函数y =log 2(x 2−2x −3)的定义域为( )A. (−∞,−1)∪(3,+∞)B. [−1,3]C. (−∞,−1]∪[3,+∞)D. (−1,3)4. 已知f(x)={x −6,(x ≥6)f(x +2),(x <6),则f(3)为( )A. 1B. 2C. 4D. 55. 下列函数中,在区间(0,+∞)上为增函数的是( )A. y =√x +1B. y =(x −1)2C. y =2−xD. y =log 0.5(x +1)6. 函数y =x 2−2x 定义域为{0,1,2,3},则值域为( )A. {−1,0,3}B. {0,1,2,3}C. [−1,3]D. [0,3] 7. 函数f (x )=−|x −5|+2x−1的零点所在的区间是( )A. (0,1)B. (1,2)C. (2,3)D. (3,4)8. 设a =log 123.b =ln4,c =(13)0.2,则( ) A. a <b <c B. a <c <b C. c <a <b D. b <c <a 9. 若函数f (x )=(x +1)(x −a )为偶函数,则a =( )A. −2B. −1C. 1D. 210. 已知函数f (x )=a ⋅2x −1与函数g (x )=x 3+ax 2+1(a ∈R ),下列选项中不可能是函数f (x )与g (x )图象的是( )A.B.C.D.11. 不等式23x−5>(12)2x+3的解集为 ( )A. (−∞,25) B. (25,+∞)C. (−∞,8)D. (8,+∞)12. 下列函数中,f(x)是偶函数的是( )A. f(x)=2|x|−1B. f(x)=x 2,x ∈[−2,2)C. f(x)=x 2+xD. f(x)=x 313. 某种豆类生长枝数随时间增长,前6月数据如下:第x 月 1 2 3 4 5 6 枝数y(枝)247163363( )A. y =2xB. y =x 2−x +2C. y =2xD. y =log 2x +2二、填空题(本大题共7小题,共35.0分)14. 计算:2log 23+lg √5+lg √20=__________________.15. 已知y =f(x)是定义在[1,4)上的函数,则函数y =f(2x +1)的定义域为__________. 16. 若函数f(x)=x 2−2x(x ∈[0,3]),则f(x)的最小值是______ .17. 已知函数f(x)=x 2+2mx +3m +4有两个零点,一个零点在(−1,1)内,另一个零点在(1,2)内,则实数m 的取值范围是________.18. 已知全集U ={1,2,3,4,5},集合A ={1,3,5},B ={3,4,5},则集合∁U (A ∩B)=______. 19. 设f(x)={2e x−1,x <2,log 3(x 2−1),x ≥2,则f(f(1))=________,不等式f(x)>2的解集为________.20. 已知−1<a +b <3且2<a −b <4,求2a +3b 的取值范围______ . 三、解答题(本大题共5小题,共50.0分)21. 已知集合A ={−1,2},B ={x|x 2−ax −4=0}.(1)若a =0,求A ∪B .(2)若a=3,求A∩B.22.已知函数f(x)=log21+x1−x.(1)判断f(x)奇偶性并证明你的结论;(2)解方程f(x)<−1.23.f(x)=−12x2+132在区间[a,b]上的最小值为2a,最大值为2b,求[a,b].24.已知函数f(x)=2x−1的反函数为y=f−1(x),记g(x)=f−1(x−1).(1)求函数y=2f−1(x)−g(x)的最小值;(2)若函数F(x)=2f−1(x+m)−g(x)在区间[1,+∞)上是单调递增函数,求实数m的取值范围.25.集合A={1,2,3},B={1,2},定义集合间的运算A+B={x|x=x1+x2,x1∈A,x2∈B},则集合A+B中元素的最大值是________.-------- 答案与解析 --------1.答案:B解析:【分析】本题考查了对数运算性质,属于基础题.利用对数运算性质即可得出.【解答】×6)=log222=2.解:原式=log2(23故选B.2.答案:D解析:【分析】本题考查元素与集合的关系,是基础题.求出集合M,根据元素与集合间的关系即可判断.【解答】解:M={x|x2−x−6=0}={−2,3},所以−2∈M,3∈M,所以D正确,故选D.3.答案:A解析:解:要使函数有意义,则x2−2x−3>0,即x>3或x<−1,即函数的定义域为(−∞,−1)∪(3,+∞),故选:A.根据函数成立的条件即可求函数的定义域.本题主要考查函数的定义域的求解,要求熟练掌握常见函数成立的条件.4.答案:A解析:【分析】直接利用分段函数的解析式求解函数值即可.本题考查函数的解析式的应用,函数值的求法,是基础题. 【解答】解:f(x)={x −6,(x ≥6)f(x +2),(x <6),则f(3)=f(5)=f(7)=7−6=1. 故选:A .5.答案:A解析:利用函数的单调性或函数的图像逐项验证.A.函数y =√x +1在[−1,+∞)上为增函数,所以函数在(0,+∞)上为增函数,故正确;B.函数y =(x −1)2在(−∞,1)上为减函数,在[1,+∞)上为增函数,故错误;C.函数y =2−x =(12)x 在R 上为减函数,故错误;D.函数y =log 0.5(x +1)在(−1,+∞)上为减函数,故错误.6.答案:A解析: 【分析】本题考查了函数的值域问题,属于基础题. 根据所给定义域代入函数,解得值域. 【解答】解:∵y =x 2−2x , 又∵x ∈{0,1,2,3}, ∴y =−1,0,3. 即函数值域为{−1,0,3}. 故选A .7.答案:C解析: 【分析】本题考查函数零点存在性定理问题,属于基础题.对于连续函数只要满足两端点的函数值符号相反即可,分别代入判断符号即可. 【解答】解:因为f (0)=−92,f (1)=−3,f (2)=−1,f (3)=2,所以f(x)的零点所在的区间是(2,3),故选C.8.答案:B解析:解:∵a=log123<0,b=ln4>1,c=(13)0.2∈(0,1).∴a<c<b.故选:B.利用指数与对数函数的单调性即可得出.本题考查了指数与对数函数的单调性,考查了推理能力与计算能力,属于基础题.9.答案:C解析:f(x)=x2+(1−a)x−a,f(x)为偶函数,∴1−a=0,a=1,故选C.10.答案:D解析:【分析】本题考查的知识点是三次函数的图象和性质,指数函数的图象和性质,分类讨论思想,难度中档.对a进行分类讨论,利用排除法,可得答案.【解答】解:a=0时,函数f(x)与g(x)图象为:故排除A;g′(x)=3x2+2ax,令g′(x)=0,则x=0,或x=−2a3,当a<0时,0为函数g(x)的极大值点,函数f(x)与g(x)图象为:故排除C ;当a >0时,0为函数g(x)的极小值点, 函数f(x)与g(x)图象为:故排除B ; 故选D .11.答案:B解析: 【分析】本题考查了指数不等式的求解,属基础题目.解题的关键是熟练掌握指数函数的单调性.可将原不等式转化为3x −5>−2x −3,解此不等式即可. 【解答】解:不等式23x−5>(12)2x+3可化为23x−5>2−2x−3,∴3x −5>−2x −3, 解得x >25,所以原不等式的解集为(25,+∞). 故选B .12.答案:A解析:【分析】本题主要考查函数奇偶性的判断,根据偶函数的定义是解决本题的关键,属于基础题.根据函数奇偶性的定义进行判断即可.解析:解:A.f(−x)=2|−x|−1=2|x|−1=f(x),x∈R,因此该函数为偶函数,B.函数f(x)的定义域不关于原点对称,函数f(x)是非奇非偶函数,C.f(−x)=x2−x≠f(x),不是偶函数,D.f(−x)=−x3=−f(x),x∈R,则f(x)是奇函数.故选A.13.答案:C解析:【分析】本题考查函数模型的选择,解题的关键是看出函数的变化趋势和所过的特殊点,属于基础题.本题要选择合适的模型,从所给数据可以看出图象大约过(1,2)和(2,4),和(4,16)和(6,63),把这四个点代入所给的四个解析式发现只有y=2x最合适.【解答】解:从所给数据可以看出图象大约过(1,2)和(2,4)和(4,16)和(6,63),把这四个点代入所给的四个解析式发现只有y=2x最合适,故选:C.14.答案:4解析:【分析】本题考查了指数恒等式、对数运算性质,考查了推理能力与计算能力,属于基础题.利用指数恒等式、对数运算性质即可得出.【解答】解:原式=3+lg(√5×√20)=3+lg10=4.故答案为4.)15.答案:[0,32解析:因为函数y =f(x)的定义域为[1,4),令1≤2x +1<4,解得0≤x <32,所以函数y =f(2x +1)的定义域为[0,32).故答案为:[0,32).16.答案:−1解析:解:函数f(x)=x 2−2x 的对称轴为:x =1∈[0,3],二次函数的开口向上, 函数的最小值为:f(1)=1−2=−1. 故答案为:−1.求出函数的对称轴,利用二次函数的性质求解函数的最小值即可.本题考查二次函数的最值的求法,求出函数的对称轴判断开口方向是解题的关键.17.答案:(−87,−1)解析: 【分析】本题考查二次函数的零点问题解法,注意运用转化思想,以及数形结合思想方法,考查运算能力,属于基础题.由二次函数f(x)的图象,结合两个零点的范围,可得f(−1)>0,f(1)<0,f(2)>0,解不等式即可得到所求范围. 【解答】解:函数f(x)=x 2+2mx +3m +4有两个零点, 一个零点在(−1,1)之间,另一个零点在(1,2)之间, 可得{f(−1)>0f(1)<0f(2)>0,即{5+m >05+5m <08+7m >0,即有{m >−5m <−1m >−87,可得−87<m <−1, 即有m 的范围是(−87,−1). 故答案为(−87,−1).18.答案:{1,2,4}解析: 【分析】本题主要考查集合的表示方法、集合的补集,两个集合的交集的定义和求法,属于基础题. 由条件根据交集的定义求得A ∩B ,再根据补集的定义求得∁U (A ∩B).【解答】解:因为集合A ={1,3,5},B ={3,4,5},所以A ∩B ={3,5},又U ={1,2,3,4,5},所以∁U (A ∩B)={1,2,4},故答案为{1,2,4}.19.答案:1 (1,2)∪(√10,+∞)解析:【分析】本题考查了分段函数,指数、对数不等式问题,考查分类讨论思想,是一道中档题.根据函数的解析式求出f(1)的值是2,从而求出f(2)的值即可;不等式f(x)>2即2e x−1>2或log 3(x 2−1)>2,即e x−1>1=e 0,或x 2−1>9,解出即可.【解答】解:f (x )={2e x−1,x <2log 3(x 2−1),x ≥2, f(1)=2⋅e 1−1=2,故f(f(1))=f(2)=log 3(4−1)=1,若f(x)>2,则2e x−1>2(x <2)或log 3(x 2−1)>2(x ≥2),即e x−1>1=e 0,或x 2−1>9,解得:1<x <2或x >√10,故答案为1 (1,2)∪(√10,+∞).20.答案:−92<2a +3b <132解析:解:2a +3b =m(a +b)+n(a −b),∴{m +n =2m −n =3∴m =52,n =−12.∴2a +3b =52(a +b)−12(a −b). ∵−1<a +b <3,2<a −b <4,∴−52<52(a +b)<152,−2<−12(a −b)<−1, ∴−92<52(a +b)−12(a −b)<132即−92<2a +3b <132. 故答案为:−92<2a +3b <132.把2a +3b 设为m(a +b)+n(a −b),解出m ,n ,回代,然后利用不等式的性质,求出2a +3b 的取值范围.本题考查不等式及其不等关系,考查分析问题解决问题的能力,是基础题.21.答案:解:(1)因为a =0,所以B ={x|x 2−4=0}={2,−2},所以A ∪B ={−2,−1,2}.(2)因为a =3,所以B ={x|x 2−3x −4=0}={−1,4},所以A ∩B ={−1}.解析:本题考查了交、并集运算,熟练掌握各自的定义是解本题的关键.属于基础题.(1)求出集合B ,再利用并集运算即可求解;(2)求出集合B ,再利用交集运算即可求解.22.答案:解:(1)根据题意,f(x)为奇函数;证明:1+x 1−x >0⇒−1<x <1,所以f(x)定义为(−1,1),关于原点对称;任取x ∈(−1,1),则f(−x)+f(x)=log 21−x 1+x +log 21+x 1−x =log 2(1−x 1+x ⋅1+x 1−x )=log 21=0.则有f(−x)=−f(x),f(x)为奇函数;(2)由(1)知−1<x <1,f(x)<−1⇒log 2(1+x)(1−x)<−1,即1+x 1−x <2−1=12, 1+x 1−x−12=(2+2x)−(1−x)2(1−x)=3x+12(1−x)<0, 即3x+1x−1>0,∴x <−13或x >1,又由−1<x <1,则有−1<x <−13,综上,不等式解集为(−1,−13)解析:(1)根据题意,先求出函数的定义域,再分析f(−x)与f(x)的关系,结合奇偶性的定义分析可得结论;(2)根据题意,f(x)<−1⇒log 2(1+x)(1−x)<−1,即1+x 1−x <2−1=12,求出x 的取值范围,结合函数的定义域分析可得答案.本题考查函数的奇偶性与单调性的综合应用,涉及对数的运算性质,注意分析函数的定义域. 23.答案:解:(1)因为f(x)对称轴为x =0若0≤a <b ,则f(x)在[a,b]上单调递减,所以f(a)=2b ,f(b)=2a ,于是{2b =−12a 2+1322a =−12b 2+132, 解得[a,b]=[1,3].(2)若a <b ≤0,则f(x)在[a,b]上单调递增,所以f(a)=2a ,f(b)=2b ,于是{2a =−12a 2+1322b =−12b 2+132,方程两根异号, 故不存在满足a <b ≤0的a ,b .(3)若a <0<b ,则f(x)在[a,0]上单调递增,在[0,b]上单调递减,所以2b =132⇒b =134. 所以f(b)=−12⋅(134)2+132=1932>0, 又a <0,所以2a ≠1932,故f(x)在x =a 处取得最小值2a ,即2a =−12a 2+132,得a =−2−√17,所以[a,b]=[−2−√17,134].综上所述,[a,b]=[1,3]或[−2−√17,134].解析:求出二次函数的对称轴,通过对区间与对称轴x =0的位置关系分三类,求出二次函数f(x)的最值,列出方程组,求出a ,b 的值.解决二次函数在区间上的单调性、最值问题,应该先求出二次函数的对称轴,根据对称轴与区间的关系来解决.24.答案:解:(1)由f(x)=2x −1得x =log 2(y +1),即f −1(x)=log 2(x +1)(x >−1) g(x)=f −1(x −1)=log 2x ,(x >0)∴函数y =2f −1(x)−g(x)=2log 2(x +1)−log 2x =log 2(x+1)2x =log 2x 2+2x+1x =log 2(x +1x +2), ∵x >0,∴x +1x +2≥4,当且仅当x =1时取等号,∴函数y =2f −1(x)−g(x)的最小值为:log 24=2.(2)由f −1(x)=log 2(x +1)(x >−1)得,函数F(x)=2f −1(x +m)−g(x)=2log 2(x +m +1)−log 2x …(8分)∴F(x)=log 2(x+m+1)2x =log 2[x +(m+1)2x +2(m +1)],在区间[1,+∞)上是单调递增函数需满足:当x ≥1时,x +m +1>0,即m >−2…(10分)[|m +1|,+∞)⊆[1,+∞)…(12分),即|m +1|≤1⇔−2≤m ≤0,…(13分),∴−2<m ≤0…(14分)解析:(1)求出原函数的反函数,然后推出函数y =2f −1(x)−g(x)的表达式,即可求解其最小值;(2)利用(1)函数的解析式,通过化简表达式,利用函数F(x)=2f −1(x +m)−g(x)在区间[1,+∞)上是单调递增函数,转化不等式,然后求实数m 的取值范围.本题考查函数恒成立问题,反函数以及对数函数基本不等式以及函数单调性的应用,考查转化思想以及分析问题解决问题的能力.25.答案:5解析:【分析】本题考查集合的新定义,属于基础题型,理解题意是关键.【解答】解:∵A={1,2,3},B={1,2},定义集合间的运算A+B={x|x=x1+x2,x1∈A,x2∈B},∴A+B={2,3,4,5}故集合A+B中元素的最大值是5;故答案为5.。
好教育云平台 名校精编卷 第1页(共4页) 好教育云平台 名校精编卷 第2页(共4页)2019届北京四中高三第一学期期中考试数学(文科)试题数学注意事项:1.答题前,先将自己的姓名、准考证号填写在试题卷和答题卡上,并将准考证号条形码粘贴在答题卡上的指定位置。
2.选择题的作答:每小题选出答案后,用2B 铅笔把答题卡上对应题目的答案标号涂黑,写在试题卷、草稿纸和答题卡上的非答题区域均无效。
3.非选择题的作答:用签字笔直接答在答题卡上对应的答题区域内。
写在试题卷、草稿纸和答题卡上的非答题区域均无效。
4.考试结束后,请将本试题卷和答题卡一并上交。
一、单选题1.设函数y =√x −2018的定义域为M ,函数y =e x 的值域为P ,则M ∩P = A .(0,+∞) B .[2018,+∞) C .[0,+∞) D .(2018,+∞) 2.在下列函数中,是偶函数,且在(0,1)内单调递减的是 A .y =2x B .y =1x C .y =lgx D .y =cosx3.执行如图所示的程序框图.若输出的结果是16,则判断框内的条件是A .n >6?B .n ≥7?C .n >8?D .n >9? 4.在△ABC 中,a =3√3,b =3,A =π3,则C 为A .π6B .π4C .π2D .2π35.函数y =A sin (ωx +φ)(ω>0,|φ|<π2,x ∈R )的部分图像如图所示,则函数表达式为A .y =−4sin(π8x −π4) B .y =−4sin(π8x +π4) C .y =4sin(π8x −π4) D .y =4sin(π8x +π4)6.设m,n 为非零向量,则“存在负数λ,使得m =λn ”是“m ⋅n <0”的A .充分而不必要条件B .必要而不充分条件C .充分必要条件D .既不充分也不必要条件 7.已知函数()2222,2{log ,2x x x f x x x -+≤=> ,若0R x ∃∈,使得()2054f x m m ≤- 成立,则实数m 的取值范围为A .11,4⎡⎤-⎢⎥⎣⎦ B .1,14⎡⎤⎢⎥⎣⎦ C .12,4⎡⎤-⎢⎥⎣⎦ D .1,13⎡⎤⎢⎥⎣⎦8.设x ∈R ,定义符合函数sgn(x)={1,x >00,x =0−1,x <0 ,则下列等式正确的是A .sinx ⋅sgn(x)=sin|x|B .sinx ⋅sgn(x)=|sinx|C .|sinx |⋅sgn(x)=sin |x |D .sin |x |⋅sgn(x)=|sinx |二、填空题9.i 为虚数单位,计算(−3−i)i =_______________。