2020-2021学年黑龙江大庆实验中学高一上期末数学试卷
- 格式:docx
- 大小:365.48 KB
- 文档页数:14
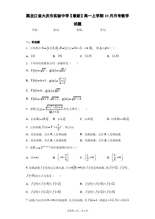
黑龙江省大庆市实验中学【最新】高一上学期10月月考数学试题学校:___________姓名:___________班级:___________考号:___________一、单选题1.已知集合{}1,2,3,4,{|32},A B y y x x A ===-∈,则A B ⋂=( )A .{1}B .{4}C .{1,3}D .{1,4}2.下列各组函数表示同一函数的是( )A .()f x =()2g x =B .()f x x 1=+,()2x 1g x x 1-=-C .()f x x =,()g x =D .()f x =()g x =3.函数()f x = )A .(1,0)(0,1]-⋃B .(]1,1-C .(4,1]-D .(4,0)(0,1]-⋃4.已知函数1()3()3x xf x =-,则()f xA .是奇函数,且在R 上是增函数B .是偶函数,且在R 上是增函数C .是奇函数,且在R 上是减函数D .是偶函数,且在R 上是减函数5.函数22315x x y -+=的单调递增区间为() A .()1,+∞B .3,4⎛⎤-∞ ⎥⎝⎦C .1,2⎛⎫+∞⎪⎝⎭D .3,4⎡⎫+∞⎪⎢⎣⎭6.设偶函数()f x 的定义域为R ,当[)0,x ∈+∞时()f x 是增函数,则()2f -,()f π,()3f -的大小关系是( )A .()()()32f f f π<-<-B .()()()32f f f π>->-C .()()()23ff f π>->-D .()()()23ff f π<-<-7.函数()f x 在(,)-∞+∞单调递增,且为奇函数,若(1)1f =,则满足1(2)1f x -≤-≤的x 的取值范围是( ). A .[2,2]-B .[1,1]-C .[0,4]D .[1,3]8.设()()121,1x f x x x <<=-≥⎪⎩,若f(a )=f(a +1),则1(1)f a -=( )A .8B .6C .4D .29.设25a b m ==,且112a b+=,则m =( )A B .C 或D .1010.集合{}11A x x =-≤≤,{}121B x a x a =-≤≤-,若B A ⊆,则实数a 的取值范围是( ) A .1aB .1a <C .01aD . 01a <<11.已知函数()()356,4,2, 4.x a x a x f x ax -⎧-+-≤=⎨>⎩,且()f x 是单调递增函数,则实数a 的取值范围是() A .14,55⎡⎫⎪⎢⎣⎭B .14,55⎛⎫⎪⎝⎭C .()2,5D .()1,512.记不大于x 的最大整数为[]x ,定义函数()[][],0,0x x f x x x ⎧≥⎪=⎨-<⎪⎩,若不等式()f a >恒成立,则实数a 的取值范围是()A .(),22,⎡-∞-+∞⎣B .(][),33,-∞-+∞C .()[),23,-∞-+∞D .(][),88,-∞-+∞二、填空题 13.计算:1338(0.027)log 2log 3--⋅=_______.14.已知函数24a y x ax =-+-在区间[]0,1上的最大值是32,则实数a 的值为____________15.函数32xy m =-+的图象不经过第二象限,则实数m 的取值范围是(用区间表示)__________ 16.已知函数x f xb a (其中,a b 为常数,0a >,且1a ≠)的图象经过()()1,6,2,18A B .若不等式210x xm a b ⎛⎫⎛⎫+-≥ ⎪ ⎪⎝⎭⎝⎭在(],1x ∈-∞上恒成立,则实数m 的最大值为__________三、解答题17.已知全集{}{}1,3,0,.6x U R A x x B x C x x a x -⎧⎫==≥=<=≥⎨⎬-⎩⎭(1)求()(),,R R A B A B C A C B ;(2)若,CA A =求实数a 的取值范围.18.已知函数()211x f x x +=+. (1)用定义证明()f x 在()1,-+∞上是增函数; (2)求函数()f x 在区间[]2,6上的值域.19.若二次函数满足()()146f x f x x +-=+,且()0 3.f = (1)求()f x 的解析式;(2)设()()g x f x kx =-,求()g x 在[]0,2上的最小值()h k 的解析式.20.设函数()f x 是定义在R 上的奇函数,当0x ≥时,()322xxf x m =++ (1)确定实数m 的值并求函数()f x 在R 上的解析式; (2)求满足方程()0f x =的x 的值.21.定义在R 上的函数()y f x =对任意,x y R ∈都有()()()f x y f x f y +=+,且当0x >时,()0.f x >(1)求证:()f x 为奇函数; (2)求证:()f x 为R 上的增函数; (3)若()()327930xxx x f k f ⋅+-+>对任意x ∈R 恒成立,求实数k 的取值范围.22.定义:若函数()y f x =在某一区间D 上任取两个实数12,x x ()12x x ≠,都有()()121222f x f x x x f ++⎛⎫> ⎪⎝⎭,则称函数()y f x =在区间D 上具有性质T .(1)试判断下列函数中哪些函数具有性质T (给出结论即可) ①()f x x =;②()2g x x =;③()2h x x =-;④()()10m x x x x=+>. (2)从(1)中选择一个具有性质T 的函数,用所给定义证明你的结论. (3)若函数()21x ax xϕ=+在区间()1,+∞上具有性质T ,求实数a 的取值范围.参考答案1.D 【解析】因为集合B 中,x ∈A ,所以当x =1时,y =3-2=1;当x =2时,y =3×2-2=4; 当x =3时,y =3×3-2=7; 当x =4时,y =3×4-2=10. 即B ={1,4,7,10}.又因为A ={1,2,3,4},所以A ∩B ={1,4}.故选D. 2.C 【解析】 【分析】逐一分析四组函数的定义域和解析式是否一致,结合同一函数的定义,可得答案. 【详解】解:A 中,f ()x x ==,()g x x =,故A 中两个函数不是同一函数;B 中,f ()1x x =+的定义域为R ,21()1x g x x -=-的定义域为{|1}x x ≠,故B 中两个函数不是同一函数;D 中,()f x =的定义域为[2,)+∞,()g x =(][),22,-∞-+∞,故D 中两个函数不是同一函数;C 中,()f x x =和()g x =R ,且对应关系一致,故C 中两个函数表示同一函数; 故选:C. 【点睛】本题考查的知识点是判断两个函数是否为同一函数,两个函数解析式表示同一个函数需要两个条件:①两个函数的定义域是同一个集合;②两个函数的解析式可以化为一致.这两个条件缺一不可,必须同时满足,属于基础题.3.A 【解析】 【分析】根据函数解析式,写出自变量满足的条件,即可求解. 【详解】要使函数有意义,则23401011x x x x ⎧--+≥⎪+>⎨⎪+≠⎩,解得11x -<≤且0x ≠,所以函数定义域为(1,0)(0,1]-⋃. 故选:A 【点睛】本题主要考查了给出解析式的函数的定义域,属于中档题. 4.A 【解析】分析:讨论函数()133xx f x ⎛⎫=- ⎪⎝⎭的性质,可得答案. 详解:函数()133xxf x ⎛⎫=- ⎪⎝⎭的定义域为R ,且()()111333,333xxx xxx f x f x --⎡⎤⎛⎫⎛⎫⎛⎫-=-=-+=--=-⎢⎥ ⎪⎪ ⎪⎝⎭⎝⎭⎝⎭⎢⎥⎣⎦即函数()f x 是奇函数,又1y 3,3xxy ⎛⎫==- ⎪⎝⎭在R 都是单调递增函数,故函数()f x 在R 上是增函数.故选A.点睛:本题考查函数的奇偶性单调性,属基础题. 5.D 【分析】根据复合函数单调性的判断规则,要求原函数的单调增区间,只需求指数部分的单调增区间. 【详解】设u (x )=2x 2﹣3x +1,对称轴为x =34, 则u (x )在(﹣∞,34)单调递减,在(34,+∞)单调递增, 而22315xx y -+=,底5∈(1,+∞),所以,u (x )的单调性与22315x x y -+=的单调性相同,即22315xx y -+=在(﹣∞,34)单调递减,在(34,+∞)单调递增, 故选:D . 【点睛】本题主要考查了复合函数单调性,涉及二次函数和指数函数的单调性,属于基础题. 6.B 【分析】由偶函数把函数值的自变量转化到同一单调区间[0,)+∞上,然后由单调性得出结论. 【详解】因为()f x 是偶函数,所以(2)(2),(3)(3)f f f f -=-=, 又23π<<,且()f x 在[0,)+∞上是增函数,所以(2)(3)()f f f π<<,即(2)(3)()f f f π-<-<. 故选:B . 【点睛】本题考查函数的奇偶性与单调性,属于基础题. 7.D 【详解】()f x 是奇函数,故()()111f f -=-=- ;又()f x 是增函数,()121f x -≤-≤,即()(1)2(1)f f x f -≤-≤ 则有121x -≤-≤ ,解得13x ≤≤ ,故选D.【点睛】解本题的关键是利用转化化归思想,结合奇函数的性质将问题转化为()(1)2f f x -≤-(1)f ≤,再利用单调性继续转化为121x -≤-≤,从而求得正解.8.C 【解析】 【分析】利用已知条件,求出a 的值,然后求解所求的表达式的值,即可得到答案. 【详解】由题意,当(0,1)a ∈时,()12(1),1x f x x x <<=-≥⎪⎩,若()(1)f a f a =+,可得2a =,解得14a =,则1(1)(3)2(31)4f f a -==⨯-=;当[1,)a ∈+∞时,()12(1),1x f x x x <<=-≥⎪⎩,若()(1)f a f a =+,可得2(1)2a a -=,显然无解,综上可得1(1)4f a-=,故选C. 【点睛】本题主要考查了分段函数的应用,其中解答中分类讨论由题设条件()(1)f a f a =+,转化为a 的方程,求解a 的值是解答的关键,着重考查了分类讨论思想和推理、运算能力,属于中档试题. 9.A 【解析】由题意可得,由等式2,5abm m ==(0m >)两边取对数,可得2511log ,log ,log 2,log 5,m m a m b m a b====,所以11log 2log 5log 102,m m m a b+=+==可得m = A. 【点睛】指数式的等式常与对数式互化把指数表示出,再进行合理运算.如本题把指数利用指数式与对数式互化用m 表示,从而进行运算. 10.A 【解析】【分析】利用条件B ⊆A ,建立a 的不等式关系即可求解. 【详解】若B =∅,即21a -<a ﹣1,即a <0时,满足B ⊆A , 若B ≠∅,即1a -≤2a ﹣1,即a ≥0时, 要使B ⊆A , 则满足0211a a ≥⎧⎨-≤⎩,解得0a 1≤≤综上:1a , 故选:A . 【点睛】本题主要考查集合关系的应用,考查分类讨论的思想,利用数轴是解决此类问题的基本方法. 11.A 【分析】根据指数函数以及一次函数的图像与性质求出a 的范围即可. 【详解】解:由()f x 是单调递增函数,可知:()5014562a a a a a ⎧->⎪>⎨⎪-+-≤⎩, 解得:14a 55≤< 故选:A . 【点睛】本题考查分段函数的图像与性质,考查函数的单调性,注意分界点处函数值的关系. 12.B 【分析】由题意先求出y =.【详解】令y =[]240,4y t =+∈∴[]240,4t t -∈,故[]24,8,y y ⎡∈∈⎣即又不等式()f a >∴()f a>当0a ≥时,[]a >∴3a ≥ 当0a <时,[]a ->∴3a ≤- ∴实数a 的取值范围是(][),33,-∞-+∞故选:B 【点睛】本题考查不等式恒成立问题,考查根式型函数的最值,考查学生对新定义的理解,属于中档题. 13.3 【解析】试题分析:113333833331101(0.027)log 2log 3(0.3)log 2log 2log 833log 2--⨯-⋅=-⋅=-⋅=101333-=. 考点:1、指数与对数的运算;2、换底公式. 14.6-或103【分析】先求对称轴,比较对称轴和区间的关系,利用开口向下的二次函数自变量离对称轴越近函数值越大来解题. 【详解】解:∵y =f (x )=﹣2124ax -+()(a 2﹣a ),对称轴为x 2a =, (1)当02a ≤≤1时,即0≤a ≤2时,f (x )max 14=(a 2﹣a ),由14(a 2﹣a )=32得a =﹣2或a =3与0≤a ≤2矛盾,不合要求, (2)当2a<0,即a <0时,f (x )在[0,1]上单调递减,f (x )max =f (0),由f (0)=32得342a -=,解得a =﹣6, (3)当2a >1,即a >2时,f (x )在[0,1]上单调递增,f (x )max =f (1), 由f (1)=32得:﹣1+a 342a -=,解得a 103=, 综上所述,a =﹣6或a 103= 【点睛】本题考查了二次函数在闭区间上的最值问题.关于不定解析式的二次函数在固定闭区间上的最值问题,一般是根据对称轴和闭区间的位置关系来进行分类讨论,如轴在区间左边,轴在区间右边,轴在区间中间,最后在综合归纳得出所需结论,属于中档题.15.(],2-∞-【分析】 作出函数32xy =-的图象,结合图象可知实数m 的取值范围【详解】 作出函数32x y =-的图象:由图可知,若函数32x y m =-+的图象不经过第二象限,则将32x y =-至少向下移动2个单位,则2m ≤-故答案为:(],2-∞-【点睛】本题考查了与指数相关的函数的图像与性质,考查了图像平移变换,属于中档题. 16.76【分析】由题意利用待定系数法求得函数表达式,进而构造函数,让最小值大于等于零即可.【详解】由已知可得,2618ba ba =⎧⎨=⎩, 解得a =3,b =2, 即不等式21032x x m ⎛⎫⎛⎫+-≥ ⎪ ⎪⎝⎭⎝⎭在(],1x ∈-∞上恒成立,设()2132x x g x m ⎛⎫⎛⎫=+- ⎪ ⎪⎝⎭⎝⎭,显然函数()2132x x g x m ⎛⎫⎛⎫=+- ⎪ ⎪⎝⎭⎝⎭在(],1-∞上单调递减,∴()()2171326g x g m m ≥=+-=- 故76m -≥0,即76m ≤ ∴实数m 的最大值为76. 故答案为:76 【点睛】本题考查函数解析式的求法,考查满足条件的实数的取值范围的求法,解题时要认真审题,仔细解答,注意合理地进行等价转化.17.(1){}36A B x x ⋂=≤<,{}1A B x x ⋃=>,()(){}1R R C A C B x x ⋂=≤(2){}3a a ≥【分析】(1)化简集合B ,进行集合间的交并补运算即可;(2)由CA A =可知C A ⊆,布列不等式即可得到结果. 【详解】解:(1){}{}3,16A x x B x x =≥=<<{}36A B x x ∴⋂=≤<,{}1A B x x ⋃=>()()(){}1R R R C A C B C A B x x ∴⋂=⋃=≤(2)C A A =C A ∴⊆{}{}3,A x x C x x a =≥=≥3a ∴≥∴a 的取值范围是{}3a a ≥【点睛】 本题考查集合的交并补运算,考查子集间的包含关系,考查计算能力,属于容易题. 18.(1)详见解析(2)513,37⎡⎤⎢⎥⎣⎦ 【分析】(1)利用定义证明函数的单调性;(2)由(1)知,()f x 在[]2,6单调递增,从而可得值域. 【详解】(1)证明:()()2112112111x x f x x x x +-+===-+++ 任取()12,1,x x ∈-+∞,且12x x <()()1212112211f x f x x x ⎛⎫⎛⎫-=--- ⎪ ⎪++⎝⎭⎝⎭211111x x =-++ ()()()()12121111x x x x +-+=++ ()()121211x x x x -=++ 121x x -<< 12120,10,10x x x x ∴-<+<+<()()120f x f x ∴-<即()()12f x f x <∴()f x 在()1,-+∞单调递增(2)由(1)知,()f x 在[]2,6单调递增()()()()min max 5132,637f x f f x f ∴==== ∴()f x 在[]2,6上的值域是513,37⎡⎤⎢⎥⎣⎦【点睛】证明函数单调性的一般步骤:(1)取值:在定义域上任取12,x x ,并且12x x >(或12x x <);(2)作差:12()()f x f x -,并将此式变形(要注意变形到能判断整个式子符号为止);(3)定号:判断12()()f x f x -的正负(要注意说理的充分性),必要时要讨论;(4)下结论:根据定义得出其单调性.19.(1)()2243f x x x =++(2)()23,488,4128192,12k k k h k k k k ≤⎧⎪-++⎪=<<⎨⎪-≥⎪⎩ 【分析】(1)利用待定系数法得到()f x 的解析式;(2)()()()2243g x f x kx x k x =-=+-+,对称轴为4144k k x -=-=-,讨论轴与区间端点的关系即可得到结果.【详解】(1)解:设二次函数()f x 的解析式为()()20f x ax bx c a =++≠ 由已知:()()()()()22111f x f x a x b x c ax bx c ⎡⎤+-=++++-++⎣⎦2ax a b =++46x =+246a ab =⎧∴⎨+=⎩2,4a b ∴==又()03f =3c ∴=()2243f x x x ∴=++(2)()()()2243g x f x kx x k x =-=+-+ 对称轴为4144k k x -=-=- ①当104k -≤即4k ≤时 ()g x 在[]0,2上单调递增()()min 03g x g ∴==②当124k -≥即12k ≥时 ()g x 在[]0,2上单调递减()()min 2192g x g k ∴==-③当0124k <-<即412k <<时 ()g x 在0,14k ⎡⎤-⎢⎥⎣⎦单调递减,在1,24k ⎡⎤-⎢⎥⎣⎦单调递增 ()()2min 121413444k k k g x g k ⎛⎫⎛⎫⎛⎫∴=-=-+--+ ⎪ ⎪ ⎪⎝⎭⎝⎭⎝⎭()22488388k k k --++=-= 综上可知:()23,488,4128192,12k k k h k k k k ≤⎧⎪-++⎪=<<⎨⎪-≥⎪⎩ 【点睛】二次函数在闭区间上必有最大值和最小值,它只能在区间的端点或二次函数图象的顶点处取到;常见题型有:(1)轴固定区间也固定;(2)轴动(轴含参数),区间固定;(3)轴固定,区间动(区间含参数). 找最值的关键是:(1)图象的开口方向;(2)对称轴与区间的位置关系;(3)结合图象及单调性确定函数最值.20.(1)4m =-,()1324,02324,02x xx x x f x x ⎧-⋅-+<⎪⎪=⎨⎪+-≥⎪⎩(2)0或2log 3或2log 3- 【分析】(1)利用奇函数定义即可得到m 的值及函数()f x 在R 上的解析式;(2)分成两类,解指数型方程即可得到结果.【详解】(1)()f x 是定义在R 上的奇函数∴当0x =时,()40f x m =+=∴4m =-,∴当0x ≥时,()3242x xf x =+- 设0x <,则0x -> ∴()312432422x x x x f x ---=+-=⋅+- ()()f x f x ∴-=-()()132402x x f x x ∴=-⋅-+< ()1324,02324,02x x x x x f x x ⎧-⋅-+<⎪⎪∴=⎨⎪+-≥⎪⎩(2)当0x ≥时,()3242xx f x =+-, 令()0f x =,得()32402x xf x =+-= 得()224230x x -⋅+=解得2123x x ==或1220,log 3x x ∴==()f x 是定义在R 上的奇函数所以当x<0时的根为:32log 3x =-所以方程的根为:122320,log 3,log 3.x x x ===-【点睛】(1)求分段函数的函数值,要先确定要求值的自变量属于哪一段区间,然后代入该段的解析式求值,当出现f (f (a ))的形式时,应从内到外依次求值.(2)当给出函数值求自变量的值时,先假设所求的值在分段函数定义区间的各段上,然后求出相应自变量的值,切记要代入检验,看所求的自变量的值是否满足相应段自变量的取值范围.21.(1)详见解析(2)详见解析(3)3,4⎛⎫-+∞ ⎪⎝⎭【分析】(1)利用赋值法与定义判断奇偶性;(2)利用定义证明函数的单调性;(3)利用函数的奇偶性与函数的单调性,可将不等式()()327930x x x x f k f ⋅+-+>具体化,利用换元法,转化为一个关于k 的二次不等式,求最值即可得到k 的取值范围.【详解】(1)证明:令0x y ==,得()()()000f f f =+得()00f =令y x =-,得()()()0f x x f x f x +-=+-=⎡⎤⎣⎦()()f x f x ∴-=-()f x ∴为奇函数(2)任取12,,x x R ∈且12x x <()()()()121211f x f x f x f x x x -=--+⎡⎤⎣⎦()()()()121121f x f x x f x f x x =---=--12x x < 210x x ∴->()210f x x ∴->()210f x x ∴--<即()()12f x f x <∴()f x 是R 的增函数…(3)()()327930x x x x f k f ⋅+-+>()()32793x x x x f k f ∴⋅>--+()f x 是奇函数()()32793x x x x f k f ∴⋅>-+-()f x 是增函数32793x x x x k ∴⋅>-+-931x x k ∴>-+-令931x xy =-+-,下面求该函数的最大值令()30x t t => 则()210y t t t =-+-> 当12t =时,y 有最大值,最大值为34- 34k ∴>- ∴k 的取值范围是3,4⎛⎫-+∞ ⎪⎝⎭【点睛】本题考查的知识点是抽象函数函数值的求法,单调性的判断及单调性的应用,其中抽象函数“凑”的思想是解答的关键.22.(1)②④具有性质T (2)详见解析(3)[)0+,∞ 【分析】(1)根据函数图像及定义即可作出判断;(2)利用新定义证明即可;(3)任取12x x <,则()()121222x x x x ϕϕϕ++⎛⎫- ⎪⎝⎭>0,只需要()121212a x x x x >-+恒成立,故可求实数a 的取值范围.【详解】(1)②④具有性质T(2)如果选择()2g x x =证明如下: 任取两个实数12x x <()()()22221212121212022224g x g x x x x x x x x x g +-+++⎛⎫⎛⎫-=-=> ⎪ ⎪⎝⎭⎝⎭②()2g x x =具有性质T 如果选择④同理可证(3)由于()21x ax xϕ=+在区间()1,+∞上具有性质T 任取121x x <<, ()()()2221212121212121122224ax ax x x a x x x x x x x x ϕϕϕ++++++⎛⎫-=-- ⎪+⎝⎭()()()()()22121212122121212241042x x a x x x x x x a x x x x x x --=++⎛⎫=-+> ⎪ ⎪+⎝⎭()121212a x x x x ∴>-+ ()121211,02x x x x ⎛⎫-∈- ⎪+⎝⎭,所以a 的取值范围为[)0+,∞ 【点睛】本题以函数为载体,考查新定义,考查恒成立问题,解题的关键是对新定义的理解,恒成立问题采用分离参数法.。
大庆实验中学2022--2022学年度上学期期末考试高一年级数学试题一、选择题本大题共12小题每题5分,共60分1 集合{}0,1,2M =,{}034N ,,=,则M N A B C D 2.已知角的终边上一点的坐标为(32cos ,32sinππ),则角的最小正值为 ( ) A 、65π B 、32π C 、35π D 、611π3 既不是奇函数也不是偶函数的是 ( )A.23y x = B.33x x y -=+ C.2lg(1)y x x =++ D.21log 1y x=+ 4.函数)252sin(π+=x y 的一条对称轴方程是 ( )A .2π-=xB .4π-=xC .8π=xD .45π=x 5 已知函数()11f x x=--的定义域为,()()1g x ln x =+的定义域为,则M N =A {}1x x >-B {}1x x <C {}11x x -<< D6 方程0lg x x +=在下列的哪个区间内有实数解 A []1001,.-- B []011., C D (]0,-∞7.当01a <<时,在同一坐标系中,函数x a y-=与x y a log =的图象是 ( )8.把函数x y sin =的图象上所有点的横坐标都缩小到原来的一半,纵坐标保持不变,再把图象向左平移4π个单位,这时对应于这个图象的解析式 ( )A .=co2B .=-in2C .=in2-4πD .=in2+4π9.已知432log [log (log )]0x =,那么等于 ( ) A B123C122D13310 国家规定个人稿费纳税办法为:不超过800元的不纳税;超过800元而不超过4000元的按超过部分的14%纳税; 超过4000元的按全稿酬的11%纳税,某人出版了一书共纳税420元,这个人的稿费为 ( ) A 元 B 元 C 元 D 元11.已知()log x+1 (01)a g x a a =>≠且在()10-,上有()0g x >,则1()x f x a +=是( )A 在(),0-∞上是增加的B 在(),0-∞上是减少的C 在(),1-∞-上是增加的D 在(),0-∞上是减少的12.已知△ABC 中,∠A ,∠B ,∠C 的对边分别为a ,b ,c ,三角形的重心为G033=++GC c GB b GA a ,则∠A= ( ) A 30︒ B 60 ︒ C 90︒ D 120︒ 二、填空题本大题共4小题,每小题5分,共20分 13.使212x x >成立的的取值范围是_____________ 14 已知314alog <,则实数的取值范围是_________________ 15.关于函数f =4i n (2+)(∈R ),有下列命题: ①由f 1=f 2=0可得1-2必是π的整数倍; ②=f 的表达式可改写为=4c o (2-; ③=f 的图象关于点-,0)对称; ④=f 的图象关于直线= -对称1 1oo 1 1o11 o1 1OABCDE 其中正确的命题的序号是 注:把正确的命题的序号都填上16. 设D 是△ABC 的BC 边上一点,且(0),BD DC λλ=>G 是线段AD 上一点,且满足,AG k AD =过G 作直线与边AB 、AC 分别交于M 、N ,且,AM xAB AN yAC ==,则1_______x yλ+= 三、解答题共大题共6小题,满分70分,解答应写出文字说明,证明过程或演算步骤 17.(本题满分10分)已知51cos sin ,02=+<<-x x x π求x x cos sin -及的值; 18.(本小题满分11分)已知集合{}36A x x =≤<,{}29B x x =<<. (1)分别求()R C AB ,()R C B A ;(2)已知{}1+<<=a x a x C ,若B C ⊆,求实数的取值集合.1912分某商店将进货价10元的商品按每个18元出售时,每天可卖出60个商店经理到市场做了一番调查后发现,如将这种商品的售价(在每个18元的基础上)每提高1元,则日销售量就减少5个;如将这种商品的售价(在每个18元的基础上)每降低1元,则日销售量就增加10个为获得每日最大的利润,此商品售价应定为每个多少元20.12分已知函数的定义域为,且同时满足: (Ⅰ)对任意]1,0[∈x ,总有3)(≥x f ; (Ⅱ)4)1(=f ;(Ⅲ)若1,0,02121≤+≥≥x x x x ,则有3)()()(2121=+≥+x f x f x x f(1)试求的值;(2)试求函数的最大值;(3)试证明:当]1,31(∈x 时,33)(+<x x f21.(12分)如图,△AOE 和△BOE 都是边长为1的等边三角形,延长OB 到C 使|BC|=tt >0,连AC 交BE 于D 点.⑴用t 表示向量和的坐标;⑵求向量和的夹角的大小. 22.13分已知二次函数c bx ax x f ++=2)(1若c b a >>,且0)1(=f 证明的图象与轴有2个交点;2在1的条件下, 是否存在m ∈R,使得a m f -=)(成立时,)3(+m f 为正数, 若存在, 证明你的结论, 若不存在, 说明理由3若对,2)]()([21)(),()(,,,21212121个不等实根有方程且x f x f x f x f x f x x R x x +=≠<∈ ),(21x x 证明必有一个根属于参考答案:(独家供稿)1—6 ADDACB 7--12 CACBA 13.1,∞ 14.或304a << 15.②③ 16.1k λ+17.由,251cos cos sin 2sin ,51cos sin 22=++=+x x x x x x 平方得 即 .2549cos sin 21)cos (sin .2524cos sin 22=-=--=x x x x x x 又,0cos sin ,0cos ,0sin ,02<-><∴<<-x x x x x π故 .57cos sin -=-x x18.(本小题满分12分)解:(1){}36,AB x x =≤<∴(){3RC A B x x =<,或}6≥x{,2≤=x x B C R 或}9≥x ,()R C B A ∴={,2≤x x 或,63<≤x 或}9≥x (2),B C ⊆ 如图示(数轴略)⎩⎨⎧≤+≥∴912a a解之得[]8,2,82∈∴≤≤a a19.解:根据提高售价和降低售价后所得利润列出函数关系式,元,≥18时有S=[60-5-18]-10=-5-202500,即当商品提价为20元时,每日利润最大,最大利润为500元;当21==x x 3)0(2)0(-≥f f 3)0(≤f )30(=f ]1,0[,21∈x x 21x x <3)()()]([)(1211212--+≥-+=x x f x f x x x f x f 012>-x x 3)(12≥-x x f )()(12x f x f ≥∴]1,0[∈x 4)1()(=≤f x f ]1,31(∈x 314)1()(+==≤f x f ]1,31(∈x 13133=⨯>x .33)(+<x x f AD OA OD +=OEOC EC -=)1(23)12(2+++t t =错误!=错误!,∴向量与的夹角为60°.……14分22.解:1)(,04,00,0)1(2x f ac b c a c b a c b a f ∴>-=∆∴<>∴>>=++=且且 的图象与轴有两个交点20)(1,0)1(=∴=x f f 为 的一个根,由韦达定理知另一根为a c ,,,10,00c abc b a acc a --=>><<∴<>∴又且 10)1)((<<∴<-=--m a c a m a c m a 则13233=+->+>+∴acm)(x f 在1,∞单调递增,0)1()3(=>+∴f m f ,即存在这样的m 使0)3(>+m f3令)]()([21)()(21x f x f x f x g +-=,则是二次函数 0)]()([41]2)()()(][2)()()([)()(22121221121≤--=+-+-=⋅x f x f x f x f x f x f x f x f x g x g0)(0)()(),()(2121=∴<⋅≠x g x g x g x f x f 又的根必有一个属于),(21x x。
大庆实验中学实验一部2020级高(一)下学期期末考试数学试题一.选择题(本大题共12小题,共60分)1.下列调查中属于抽样调查的是( )①每隔5年进行一次人口普查;②调查某商品的质量优劣;③某报社对某个事情进行舆论调查;④高考考生的身体检查.A .②③B .①④C .③④D .①②2.棱柱,棱锥,直棱柱,正方体,正四面体,正三棱锥之间的关系,用Venn 图表示正确的是( )A BCD3.我校某次跳大绳比赛中,要求每个班级选派5名同学参加,与“5名同学都是男生”对立的事件是( )A .有一个女生参加B .都是女生参加C .至少一个女生参加D .既有女生又有男生参加 4.下列说法正确的是( )A.一组数据的中位数一定会出现在原数据中B.应用众数描述数值型数据(如身高、收入等)的集中趋势比应用平均数进行描述效果更好C.若从小到大排列的100个数据的第75百分位数是9.3,则该组数据第75个数据和第76个数据的平均数是9.3D.若123456,,,,,x x x x x x 的方差是m ,则12345621,21,21,21,21,21++++++x x x x x x 的方差是21+m 5.“平面α外一条直线l 与平面β垂直”可表示为( )A.∈α⊥βl ,lB.∉α⊥βl ,lC.⊂α⊥βl ,lD.⊄α⊥βl ,l 6.已知m ,n 是不同的直线,α,β是不重合的平面,则下列说法正确的是( )A.若//m α,则m 平行于平面α内的任意一条直线B.若//m α,//n α,则//m nC.若//αβ,⊂m α,n β⊂,则//m nD.若//αβ,⊂m α,则//m β7.高考毕业之际,小王、小李、小张、小丁四人各制作了一个毕业礼物,并送给其他三个人之一,若每个人只能收一件礼物,则小王拿到小李的礼物、小李拿到小张的礼物、小张拿到小丁的礼物、小丁拿到小王的礼物,以上四个事件同时发生的概率是多少( ) A .14B .19C .118 D .1368.如图,空间四边形ABCD ,点E F G H ,,,分别是AB BC CD DA ,,,列条件不能证明EH //FG 的是( )A .E F G H ,,,分别为AB BC CD DA ,,,边上的中点B .AE AH CF CGEB HD FB GD ==,C .BD //平面EFGH D .BE BF DH DGEA FC HA GC==,9.已知正方体1111ABCD A B C D -的边长为2,若点E 、F 分别为1A A ,BD 的中点,则直线1A F 和ED 夹角的余弦值为( )A .0B .15 C .3D .1510.由6个正方形和8个等边三角形围成的多面体如下图所示,已知下图中正方形的边长与等边三角形的边长都为 )A .32B .C .1603D .6411.《九章算术》中将四个面都为直角三角形的三棱锥称之为鳖臑,若三棱锥P ABC -为鳖臑,PA ⊥平面ABC ,4PA BC ,3AB =,AB BC ⊥,若三棱锥P ABC -的所有顶点都在球O 上,则球O 的半径为( )A .2B .34 C .38D .3212,如图所示,在角A 的两边上分别选取一个异于顶点的点做垂线,垂足分别为D 、E ,若A 30∠=︒,DE BC ,=λ正四面体正三棱锥棱锥棱锥正三棱锥正四面体棱柱直棱柱正方体正四面体棱柱直棱柱正方体C1B (第9题图)(第10题图)(第8题图)A .12B.3 C.D.二.填空题(本大题共4小题,共20分)13.某网店本月通过甲、乙、丙、丁四家快递公司寄出的快递数依次为400,160,240,200,若用分层抽样的方法从中抽取25件快递,则抽取的甲公司的快递数为.14.从1,3,4,12这四个数中任意抽取两个数,则这两个数都小于该四个数的平均数的概率为 .15.在ABC 中,A B 2,3=,且s i nc o s2s i n s i n c o s=-+A A B C C ,则A B CS =________________.16.已知三棱锥P ABC -是正三棱锥,PA PB PC 2,AB AC BC 1======,O 是ABC 的中心,一平面α经过点O ,且与三条侧棱或其延长线分别交于三个不同的点,,,D E F 则下列说法正确的是 .①若平面α与平面ABC 交于点M N ,,则M O N ,,三点共线.②若平面α与线段PC 交于点D ,则POD [0,]3π∠∈ ③点C 到平面α的距离小于3④111PE PF PD++为定值三.解答题(17题10分,其余大题每题12分)17.某校为了解学生在新冠病毒疫情期间学生自制力,学校随机抽取80位学生,请他们家长(每位学生请一位家长)对学生打分,满分为10分.下表是家长所打分数X 的频数统计.(1)求家长所打分数的平均数、中位数和众数;(2)若原来打9分的某4位家长改变主意,将孩子的分数改为了6分,那么新的平均数、中位数、众数又是什么?(3)你认为哪个统计量能反映学生在新冠病毒疫情期间学生自制力更多的信息?结合此问题简单谈一下你的看法.18.如图,已知三棱锥A BPC -中,AP PC ⊥,AC BC ⊥,M为AB 中点,D 为PB 中点,且PMB 为等边三角形. (1)求证:DM ∥平面APC ;(2)求证:平面ABC⊥平面APC .19.某城市100户居民的月平均用电量(单位:度),以[)160,180,[)180,200,[)200,220,[)220,240,[)240,260,[)260,280,[]280,300分组的频率分布直方图如图.(1)求直方图中的值;(2)在月平均用电量为[)240,260,[)260,280,[]280,300的三组用户中,用分层抽样的方法抽取6户居民,则月平均用电量在[)260,280的用户中应抽取多少户?若从这6户居民中选PBC(第16题图)取两名代表参加下一步的调查活动,则这两人都来自[)240,260的概率为多少? 20.如图,四棱锥P ABCD -中,底面 ABCD 是正方形,PA 是四棱锥P ABCD -的高,2PA AB ==,点 ,,M N E 分别是,,PD AD CD 的中点.(1)求证:平面//MNE ACP 平面;(2)求二面角M AC D --的平面角的正切值大小.21.在ABC 中,,,AB c AC b BC a ===,已知cos cos 2c cos ⋅+⋅=⋅a B b A A ,点D 是BC 边上的一点. (1)求A 的值;(2)证明:sin BAC sin BAD sin CADAD AC AB∠∠∠=+;(3)若AD 是A ∠的角平分线,且AD 1=,求AB AC +的最小值.22.如图,平行四边形ABCD 中,060,22DAB AB AD ∠===,M 为CD 边的中点,沿BM 将CBM ∆折起使得平面CBM ⊥平面ABMD .(1)求四棱锥C ABMD -的体积;(2)求折后直线AB 与平面AMC 所成的角的正弦值.ADBC大庆实验中学实验一部2020级高(一)下学期期末考试数学试题答案一.选择题(共12小题,每题5分,共60分)1---5AACCD 6--10DBDDC 11--12AC 二.填空题(共4小题,每题5分,共20分) 13.1014.1215.3216.①③④三.解答题(共6大题,17题10分,其余每题12分) 17.(10分)解:(1)家长所打分数的平均数为()154687208249161087.8()80X =××+×+×+×+×+×=分中位数为8 众数为8(2)新的平均数为()1546127208249121087.65()80X ′=××+×+×+×+×+×=分中位数为8 众数为8(3)在这个题中,平均数由原来的7.8分变为7.65分,中位数和众数没有变化,还是8,这是因为样本平均数与每一个样本数据有关,样本中的任何一个数据的改变都会引起平均数的变化,但中位数只利用了样本数据中间位置的一个或两个值,并未利用其它数据,所以不是任何一个数据的改变都会引起中位数的改变,同样,众数只与同种样本数据个数多少有关,任何一个数据的改变不一定会引起众数的改变,因此,与中位数、众数比较,平均数对样本中的极端值更加敏感,反映出样本数据中更多信息。
大庆实验中学2020-2021上学期高三期末考试数学(文)试题一.选择题:本大题共12个小题,每小题5分,满分60分. 1.设集合{|}A x y x ==,{|124}B x x =-<<,则A B =( )A .[0,2)B .(0,2)C .1(,2)2-D .[0,4)2.若复数z 满足1i (2i )z +=(i 为虚数单位),则z =( ) A .1B .2C .2D .33.已知(1,2),A -(4,1),B -(3,2),C 则cos BAC ∠=( )A .2-B .2C .2-D .24.已知a ,b 都是实数,那么22a b >是22a b>的( )A .充分不必要条件B .必要不充分条件C .充要条件D .既不充分也不必要条件 5.若点P 为圆221x y +=上的一个动点,点(1,0)A -,(1,0)B 为两个定点,则||||PA PB +的最大值为( ) A.2 B.22 C.4 D. 426.《九章算术》是我国古代内容极为丰富的数学名著,系统地总结了战国、秦、汉时期的数学成就.书中将底面为长方形且有一条侧棱与底面垂直的四棱锥称之为“阳马”,若某“阳马”的三视图如图所示(网格纸上小正方形的边长为1),则该“阳马”最长的棱长为( ) A .5 B .34 C .41 D .527.已知双曲线()2222:10,0x y C a b a b-=>>的一条渐近线与直线0x =的夹角为60°,若以双曲线C 的实轴和虚轴为对角线的四边形周长为8,则双曲线C 的标准方程为( )A .2213x y -=B .22193x y -=C .22139x y -=D .2213y x -=8.已知正方体1111ABCD A B C D -体积为8,底面1111A B C D 在一个半球的底面上,A 、B 、C 、D 四个顶点都在此半球面上,则此半球的体积为( ) A.323πB.42πC.12πD. 46π 9.已知实数ln 22a =,22ln 2b =+,2(ln 2)c =,则,,a b c 的大小关系是( ) A .c a b << B .c b a << C .b a c << D .a c b << 10.已知()f x 是定义域为(,)-∞+∞的奇函数,满足(1)(1)f x f x -=+,若(1)2f =,则(1)(2)(3)(2018)f f f f ++++=( )A .2018-B .2C .0D .5011.定义行列式运算12122112a a ab a b b b =-,已知函数sin 1()(0)cos 3x f x xωωω-=>,满足:1()0f x =,2()2f x =-,且12||x x -的最小值为π2,则ω的值为( ) A .1B .2C .3D .4()()[]()()222121112.,,1,1,,2,2,xf x x ag x x e x x g x f x ⎡⎤=-+=∈-∈-⎢⎥⎣⎦=已知函数若对任意的存在唯一的 使得则实数a 的取值范围是( )A .(],4eB .1,44e ⎛⎤+⎥⎝⎦C .1,44e ⎛⎫+⎪⎝⎭D .1,44⎛⎫⎪⎝⎭二.填空题:本大题共4小题;每小题5分,共20分. 13.两直线330x y +-=与01my x 6=++平行,则它们之间的距离为_______.14.函数24,0()(),0x x f x g x x ⎧->=⎨<⎩是奇函数,则函数()f x 的零点是 .15.如图所示的圆锥中,轴截面APB 是等腰直角三角形,M 是底面圆周上AB的中点,N 为PB 的中点,则异面直线PA 与MN 所成角的正切值是 . 16.各项均为正数且公比01q <<的等比数列{}n a 的前n 项和为n S ,若154a a =,245a a +=,则2522n nS a ⎛⎫+ ⎪⎝⎭的最小值为_____.三.解答题:本大题共6小题,共70分,解答时应写出必要的文字说明、证明过程或演算步骤. 17.(本小题满分12分) {}()122n n n a a a a n N +++=∈已知数列满足 (){}1n a 求数列的通项公式;()()2121log ,.n n n n b n a n S b ⎧⎫=+⎨⎬⎩⎭若求数列的前项和18.(本小题满分12分)为了了解甲、乙两个工厂生产的轮胎的宽度是否达标,分别从两厂随机各选取了10个轮胎,将每个轮胎的宽度(单位:mm )记录下来并绘制出如下的折线图:(1)分别计算甲、乙两厂提供的10个轮胎宽度的平均值;(2)轮胎的宽度在[194,196]内,则称这个轮胎是标准轮胎.(i )若从甲厂提供的10个轮胎中随机选取1个,求所选的轮胎是标准轮胎的概率;(ii )试比较甲、乙两厂分别提供的10个轮胎中所有标准轮胎宽度的方差的大小,根据两厂的标准轮胎宽度的平均水平及其波动情况,判断这两个工厂哪个厂的轮胎相对更好?19.(本小题满分12分)如图,在底面为梯形的四棱锥S ABCD -中,已知AD BC ∥,60ASC ∠=︒,2AD DC ==,2SA SC SD ===.(1)求证:AC SD ⊥;(2)求三棱锥B SAD -的体积.20.(本小题满分12分)已知圆221:60C x y x ++=关于直线1:21l y x =+对称的圆为C .(1)求圆C 的方程;(2)过点(1,0)-作直线l 与圆C 交于A ,B 两点,O 是坐标原点,是否存在这样的直线l ,使得OA OB ⊥?若存在,求出所有满足条件的直线l 的方程;若不存在,请说明理由.21.(本小题满分12分) 设函数()(2)xf x x e =-. (1)求()f x 在0x =处的切线;(2)当0x ≥时,()2f x ax ≤+,求a 的取值范围.请考生在第22、23二题中任选一题做答,如果多做,则按所做的第一题记分.做答时,用2B 铅笔在答题卡上把所选题目对应的题号涂黑.22.在直角坐标系xOy 中,圆C 的参数方程为22cos (2sin x y ααα=+⎧⎨=⎩为参数),以O 为极点,x 轴的非负半轴为极轴建立极坐标系,直线的极坐标方程为(sin 3cos )3ρθθ+=.(1)求C 的极坐标方程; (2)射线OM :1θθ=1()63ππθ≤≤与圆C 的交点为O P 、,与直线l 的交点为Q ,求||||OP OQ 的范围.23.已知函数1()||(0)2f x x a a a=-+≠. (1)若不等式()()1f x f x m -+≤恒成立,求实数m 的最大值;(2)当12a <时,函数()()|21|g x f x x =+-有零点,求实数a 的取值范围. 大庆实验中学2020-2021上学期高三期末考试数学(文)试题答案一.选择题 ACDDB DADAB AB 二.填空题 13.20107;14.2±;15.2;16.64441三.解答题17.【解析】(1)当n =1时,12a =,当2n ≥时a 1+a 2+a 3+…+1n a -=12n -②①-②得12n n a -=经检验1a 不符合上式∴12,12,2n n n a n =-=⎧⎨≥⎩.(6分)(2)由(1)得当n =1时12b = 当2n ≥时()()n2n b n 1log a 11n n =+=+-(),∴()()()n 111112b 11211n n n n n ⎛⎫==-≥ ⎪-+-+⎝⎭. ()n 12n 111521...b b b 421n S n n +∴=+++=-+.(12分) 18.【解析】(1)甲厂这批轮胎宽度的平均值为195194196193194197196195193197195(mm)10x +++++++++==甲;乙厂这批轮胎宽度的平均值为195196193192195194195192195193194(mm)10x +++++++++==乙.(2)甲厂这批轮胎宽度都在[194,196]内的数据为195,194,196,194,196,195, (i )63105P ==. (ii )甲厂标准轮胎的平均数为195,方差为23. 乙厂这批轮胎宽度都在[194,196]内的数据为195,196,195,194,195,195, 平均数为195,方差为13. 由于两厂标准轮胎宽度的平均数相等,但乙的方差更小,所以乙厂的轮胎相对更好. 19.【解析】(1)设O 为AC 的中点,连接OS ,OD ,∵SA SC =,∴OSAC ⊥,∵DA DC =,∴DO AC ⊥,又OS ,OD ⊂平面SOD ,且OS DO O =,AC ⊥平面SOD ,又SD ⊂平面SOD ,∴AC SD ⊥. (2)连接BD ,在ASC △中,∵SA SC =,60ASC ∠=︒,O 为AC 的中点, ∴ASC △为正三角形,且2AC =,3OS =,∵在ACD △中,2224DA DC AC +==,O 为AC 的中点,∴90ADC ∠=︒,且1OD =, ∵在SOD △中,222OS OD SD +=,∴SOD △为直角三角形,且90SOD ∠=︒,∴SO OD ⊥, 又OSAC ⊥,且AC DO O =,∴SO ⊥平面ABCD ,∴111113223332323BAD B SADS BAD V V S SO AD CD SO --==⋅⋅=⨯⋅⋅⋅=⨯⨯⨯⨯=△. 20.解析:(1)圆化为标准为22(3)9x y ++=,设圆1C 的圆心1(3,0)C -关于直线1:21l y x =+的对称点为(,)C a b ,则111CC k k =-, 且1CC 的中点3(,)22a bM -在直线1:21l y x =+上, 所以有213(3)102ba b a ⎧⨯=-⎪⎪+⎨⎪--+=⎪⎩,解得12a b =⎧⎨=-⎩,所以圆C 的方程为22(1)(2)9x y -++=.(2)①当直线l 的斜率不存在时,可得直线l 的方程为1x =-,与圆22:(1)(2)9C x y -++=,交于两点(1,52)A --,(1,52)B ---.因为(1)(1)(52)(52)0OA OB ⋅=-⨯-+-⨯--=,所以OA OB ⊥, 所以当直线l 的斜率不存在时,直线:1l x =-满足条件; ②当直线l 的斜率存在时,可设直线l 的方程为(1)y k x =+,设11(,)A x y ,22(,)B x y ,由22(1)(2)9(1)x y y k x ⎧-++=⎨=+⎩,得2222(1)(242)440k x k k x k k +++-++-=. 由于点(1,0)-在圆C 内部,所以0Δ>恒成立,21222421k k x x k +-+=-+,2122441k k x x k +-=+, 要使OA OB ⊥,必须使0OA OB ⋅=,即12120x x y y +=,也就是22122()441()101k k k x x k+-+++=+, 整理得222222244242(1)011k k k k k k k k k+-+-+-⋅+=++,解得1k =, 所以直线l 的方程为1y x =+,存在直线1x =-和1y x =+,使得OA OB ⊥.21.解析:(1)()(1)xf x x e '=-,(0)1f '=,(0)2f =,∴()f x 在0x =处的切线方程20y x --=.(2)()2(2)xg x ax x e =+--,()(1)xx a g x e =+-'. ∵()()0xg x xe '=≥'且仅有0x =,()()0g x ''=, ∴()g x '在[0,)+∞单调递增,∴()(0)1g x g a ''≥=-. (i )1a ≥时,()(0)10g x g a ''≥=-≥,()g x 在[0,)+∞单调递增,()(0)0g x g ≥=满足题意;(ii )01a <<时,(0)10g a '=<-,(1)0g a '=>, 而()g x '连续且递增,所以存在唯一01()0,x ∈使00()g x '=,00[),x x ∀∈,()0g x '<,在0[0,)x 上()g x 单调递减,取100(),x x ∈,则1()(0)0g x g <=,不合题意; (iii )0a ≤时,(0)10g a '=-<,(1)0g a '=≤,而()g x '连续且递增,,1[)0x ∀∈,()0g x '<,在[0,1)上()g x 单调递减, 取11()0,x ∈,则1()(0)0g x g <=,不合题意,综上所述,1a ≥.22.【解析】(1)圆C 的普通方程是22(2)4x y -+=,…………………………………2分 将cos x ρθ=,sin y ρθ=,代入上述方程,得22(cos 2)(sin )4ρθρθ-+=, …………………………………3分 由222x y ρ=+,化简得圆C 的极坐标方程为4cos ρθ=. …………………………5分(2)设11(,)P ρθ,则有114cos ρθ=, …………………………………6分 设21(,)Q ρθ,且直线l 的方程是(sin 3)3ρθθ=,则有2113sin 3cos ρθθ=+, …………………………………8分所以11211114343||||()63sin 3cos 3tan OP OQ ππρρθθθθ===≤≤++,……………9分所以2||||3OP OQ ≤≤. …………………………………10分 23.【解析】(1)因为1()||2f x x a a =-+,所以1()||2f x m x m a a+=+-+,………1分 所以()()||||f x f x m x a x m a m -+=--+-≤,………………………………………3分所以||1m ≤,得11m -≤≤, ………………………………………4分所以实数m 的最大值为1. ………………………………………5分 (2)当12a <时, 1()()|21||||21|2g x f x x x a x a =+-=-+-+131,2111,221131,22x a x a a x a a x a x a x a ⎧-+++<⎪⎪⎪=--++≤≤⎨⎪⎪-+->⎪⎩,……7分 所以2min11121[()]()02222a a g x g a a a-++==-+=≤,………………………………8分所以2102210a a a ⎧<<⎪⎨⎪-++≤⎩或20210a a a <⎧⎨-++≥⎩,………………………………………9分 所以102a -≤≤, 所以实数a 的取值范围是1[,0)2-. ………………………………………10分。
绝密★启用前2020-2021学年黑龙江省大庆铁人中学高一上学期期末考试数学试题注意事项:1、答题前填写好自己的姓名、班级、考号等信息 2、请将答案正确填写在答题卡上一、单选题1.已知集合{|12}A x x =-<<,{|1}B x x =>,则A B =()A .(1,1)-B .(1,2)C .(1,)-+∞D .(1,)+∞答案:C【分析】根据并集的概念,求出,A B 的并集即可. 解:由集合{|12}A x x =-<<,{|1}B x x =>,则{}1A B x x =>-.故选:C.2.命题“00,4x π⎛⎫∃∈ ⎪⎝⎭,00sin cos x x <”的否定是() A .0,4x π⎛⎫∀∉ ⎪⎝⎭,sin cos x x ≥ B .0,4x π⎛⎫∀∈ ⎪⎝⎭,sin cos x x < C .00,4x π⎛⎫∃∉ ⎪⎝⎭,00sin cos x x ≥D .0,4x π⎛⎫∀∈ ⎪⎝⎭,sin cos x x ≥答案:D【分析】直接利用特称命题的否定为全称命题的定义,即可得答案.解:∵命题“00,4x π⎛⎫∃∈ ⎪⎝⎭,00sin cos x x <”,∴命题的否定为:0,4x π⎛⎫∀∈ ⎪⎝⎭,sin cos x x ≥. 故选:D.点评:本题考查特称命题的否定,考查对概念的理解与应用,求解时注意将存在改成任意,同时对结论进行否定.3.若01x y <<<,则下面大小关系正确的是() A .3y x <3B .0.50.5log log x y <C .sin sin x y <D .11x y --<答案:C【分析】根据01x y <<<,利用不等式的性质即可得到结论.解:由01x y <<<,则33x y <,即A 错误;则0.50.5log log x y >,即B 错误;则11x y>,即D 错误;由012x y π<<<<,则sin sin x y <,即C 正确.故选:C.点评:本题考查了不等式性质,考查基本初等函数的性质,属于基础题. 4.34πcos()3-=()A .12B .12-C .2D . 答案:B【分析】由三角函数的诱导公式,化简即可. 解:由题意,34π34π2ππ1cos()cos(12π)cos cos 33332-=-==-=-. 故选:B.点评:本题考查三角函数的求值计算,注意三角函数的诱导公式的运用,属于基础题.5.函数y =定义域为() A .1,2⎡⎫+∞⎪⎢⎣⎭B .1,12⎛⎤⎥⎝⎦C .[1,)+∞D .(0,1]答案:D【分析】根据根号下非负与对数单调性解不等式即可. 解:由题,0.50.50.5log 0log log 10100x x x x x ≥≥⎧⎧⇒⇒<≤⎨⎨>>⎩⎩.故选:D点评:本题主要考查了定义的求解与对数不等式的求解,属于基础题. 6.幂函数()()2231m m f x m m x+-=--在()0,∞+时是减函数,则实数m 的值为()A .2或-1B .-1C .2D .-2或-1答案:B【分析】先由()f x 是幂函数,得21m m --=1,1m =-或,2m =,再分类讨论,验证是否满足在()0,∞+上是减函数. 解:因为()f x 是幂函数 所以21m m --=1 解得1m =-或,2m =当1m =-时,()3f x x -=,在()0,∞+时是减函数当2m =时,()3f x x =,在()0,∞+时是增函数,不符合题意所以1m =- 故选:B点评:本题主要考查了幂函数的图象和性质,还考查了运算求解的能力,属于基础题.7.已知函数()2121x x f x +=-,()1lg 1x g x x -=+,则函数()()()h x f x g x =⋅的图象关于() A .原点对称 B .y 轴对称C .x 轴对称D .y x =对称答案:B【分析】根据奇偶性的定义,分别判断()f x 和()g x 的奇偶性,即可得()h x 的奇偶性,即可得答案.解:由题意得:因为210x -≠,解得0x ≠,所以()f x 的定义域为{}0x x ≠,()1121211222()1122112122xx x x x x x xx xf x f x --++++-=====-----,所以()f x 为奇函数; 令101xx->+,解得()g x 的定义域为(1,1)-,()1111lg lg()lg ()111x x xg x g x x x x-+---===-=--++,所以()g x 为奇函数,()()()h x f x g x =⋅,定义域为(1,0)(0,1)-,()()()()[()]()()()f x g h x f x x f x g x h x g x --==-⋅-=⋅=⋅-,所以()h x 为偶函数,即()h x 图像关于y 轴对称, 故选:B8.某工厂的年产值第二年比第一年的增长率为1p ,第三年比第二年的增长率是2p ,而这两年中的年平均增长率为p ,在12p p +为定值的情况下,p 的最大值是()A .122p p + BC .122p pD 答案:A【分析】先根据题意列出方程,再由基本不等式可得出p 和122p p +的大小关系. 解:由题意知:()()()212111p p p +=++,所以1212111122p p p p p +++++=≤=+,当且仅当12p p =时取等号; 所以122p p p +≤, 所以在12p p +为定值的情况下,p 的最大值是122p p +;故选:A.点评:易错点睛:利用基本不等式求最值时,要注意其必须满足的三个条件: (1)“一正二定三相等”“一正”就是各项必须为正数;(2)“二定”就是要求和的最小值,必须把构成和的二项之积转化成定值;要求积的最大值,则必须把构成积的因式的和转化成定值;(3)“三相等”是利用基本不等式求最值时,必须验证等号成立的条件,若不能取等号则这个定值就不是所求的最值,这也是最容易发生错误的地方. 9.已知1(0,),sin cos ,cos 22απααα∈+=且则的值为()A .±B C D .-34答案:C 解:试题分析:1sin cos 2αα+=,(0,)απ∈, 3,24ππα⎛⎫∴∈ ⎪⎝⎭32,2παπ⎛⎫∴∈ ⎪⎝⎭,sin 44πα⎛⎫+= ⎪⎝⎭,cos 44πα⎛⎫∴+=-⎪⎝⎭cos 2sin 22sin cos 2244πππαααα⎛⎛⎫⎛⎫⎛⎫=+=++== ⎪ ⎪ ⎪ ⎝⎭⎝⎭⎝⎭⎝⎭二倍角公式的运用,同角三角函数间的关系. 10.已知函数()()23,12ln ,1a x a x f x x x ⎧-+<=⎨≥⎩的值域为R ,那么实数a 的取值范围是()A .(],1-∞-B .[-1,2)C .(0,2)D .(]2,1-答案:B【分析】先求出函数2ln ,1y x x =≥的值域,而()f x 的值域为R ,进而得20230a a a -<⎧⎨-+≥⎩,由此可求出a 的取值范围. 解:解:因为函数2ln ,1y x x =≥的值域为[0,)+∞,而()f x 的值域为R ,所以20230a a a ->⎧⎨-+≥⎩,解得12a -≤<,故选:B点评:此题考查由分段函数的值域求参数的取值范围,分段函数的值域等于各段上的函数的值域的并集是解此题的关键,属于基础题.11.定义在R 上的偶函数()f x 满足()()11f x f x +=-且()f x 在[3,2]--上是减函数,又,αβ是锐角三角形的两个内角,则() A .()()sin cos f f αβ> B .()()sin cos f f αβ< C .()()sin sin f f αβ> D .()()cos cos f f αβ<答案:A【分析】由定义在R 上的偶函数f (x )满足()()11f x f x +=-得函数的周期为2,然后利用函数的周期和奇偶性进行转化,确定函数f (x )在区间[0,1]上的单调性,即可判断得到答案.解:解:∵定义在R 上的偶函数f (x )满足()()11f x f x +=-, ∴()()11f x f x =+-∴函数f (x )为周期函数,周期T =2,∵f(x )在[﹣3,﹣2]上为减函数, ∴f(x )在[﹣1,0]上为减函数,∵f(x )为偶函数,根据偶函数在对称区间上单调性相反, ∴f(x )在[0,1]上为单调增函数. ∵在锐角三角形中,则π﹣α﹣β2π<,∴α+β2>π,∴2π>α2>π-β>0,∴sinα>sin (2π-β)=c osβ, ∵f(x )在[0,1]上为单调增函数. ∴f(sinα)>f (cosβ). 故选:A .点评:本题主要考查了函数的奇偶性和周期性的应用,三角函数的图象和性质,综合考查了函数的奇偶性、周期性和单调性的应用,综合性较强,涉及的知识点较多.属于中档题.12.已知定义在R 上的奇函数()f x ,满足()()2f x f x +=-,当[]0,1x ∈时,()f x ()()()21g x x f x =--在区间[]3,6-上的所有零点之和为()A .2B .4C .6D .8答案:D【分析】推导出函数()y f x =是周期为4的周期函数,且该函数的图象关于直线1x =对称,令()0g x =,可得出()12f x x =-,转化为函数()y f x =与函数12y x =-图象交点横坐标之和,数形结合可得出结果.解:由于函数()y f x =为R 上的奇函数,则()()()2f x f x f x +=-=-,()()()42f x f x f x ∴+=-+=,所以,函数()y f x =是周期为4的周期函数,且该函数的图象关于直线1x =对称, 令()0g x =,可得()12f x x =-,则函数()yg x =在区间[]3,6-上的零点之和为函数()y f x =与函数12y x =-在区间[)(]3,22,6-上图象交点横坐标之和,如下图所示:由图象可知,两个函数的四个交点有两对关于点()2,0对称, 因此,函数()y g x =在区间[]3,6-上的所有零点之和为428⨯=. 故选:D.点评:本题考查函数零点之和,将问题转化为两个函数的交点,结合函数图象的对称性来求解是解答的关键,考查数形结合思想的应用,属于中等题. 二、填空题 13.函数()11a f x x -=-在区间()1,+∞上单调递减,则实数a 的取值范围为______. 答案:()1,+∞【分析】由已知结合反比例函数的图像平移及函数的单调性求解即可. 解:因为函数()11a f x x -=-在区间()1,+∞上单调递减, 所以10a ->, 即1a >,则实数a 的取值范围为()1,+∞; 故答案为:()1,+∞.14.已知α,β为锐角,且(13)(13)4αβ=,则αβ+=_____. 答案:23π 【分析】将题目所给方程展开后,化简为()tan αβ+的形式,由此求得αβ+的大小. 解:将()()13tan 13tan 4αβ=展开得)()3tan tan 31tan tan αβαβ-+=-⋅,即()tan tan tan 31tan tan αβαβαβ+=+=-⋅由于α,β为锐角,0παβ<+<,故2π3αβ+=. 点评:本小题主要考查利用两角和的正切公式对已知条件进行化简,考查特殊角的三角函数值,属于中档题. 15.给出下列命题:(1)设角α的始边为x 轴非负半轴,则“角α的终边在第二、三象限”是“cos 0α<”的充要条件; (2)若函数:2sin 13y x πω⎛⎫=+- ⎪⎝⎭的最小正周期为2π;那么实数4ω=; (3)若一扇形的圆心角为2,圆心角所对的弦长为2,则此扇形的面积为:21sin 1; (4)若A ,B ,C 为ABC 的三个内角,则:41A B C ++的最小值为:9π; 其中正确的命题是______. 答案:(3)(4)【分析】利用象限角的定义以及三角函数在各个象限符号的判定分析选项(1),利用三角函数的周期公式分析选项(2),利用扇形的弧长公式以及面积公式分析选项(3),利用三角形的内角和公式,再运用换元法结合基本不等式求最值分析选项(4),即可得到答案.解:因为角α的始边为x 轴非负半轴,若角α的终边在第二、三象限,则角α为第二、三象限角,所以cos 0α<;若cos 0α<,则角α的终边在第二、三象限或者在x 轴的非正半轴上,故“角α的终边在第二、三象限”是cos 0α<”的充分不必要条件,故(1)错误;因为函数:2sin 13y x πω⎛⎫=+- ⎪⎝⎭的最小正周期为2π;则2||2ππω=,解得实数4ω=±;故(2)错误;因为扇形的圆心角为2,圆心角所对的弦长为2,所以扇形的半径为:1sin1r =,弧长为122sin1sin1⨯=,所以此扇形的面积为212112sin1sin1sin 1⨯⨯=,故(3)正确; 因为A ,B ,C 为ABC 的三个内角,所以A B C π++=,令,,a A B C β==+则a βπ+=,有1αβπ+=,所以414141()141()A B C αβαβαβαβπ++=+⨯=⋅+++=1419(5)5),αβπβαππ=++≥⋅=当且仅当4αββα=,即2a β=时取等号,故(4)正确. 故答案为:(3)(4).点评:易错点睛:利用基本不等式求最值时,要注意其必须满足的三个条件:(1)“一正二定三相等”“一正”就是各项必须为正数;(2)“二定”就是要求和的最小值,必须把构成和的二项之积转化成定值;要求积的最大值,则必须把构成积的因式的和转化成定值;(3)“三相等”是利用基本不等式求最值时,必须验证等号成立的条件,若不能取等号则这个定值就不是所求的最值,这也是最容易发生错误的地方. 三、双空题 16.若函数())ln2f x x =是定义在实数集上的奇函数;则实数a =______;满足关于x 的不等式()()22sin cos 0f m m x f x -+≥恒成立,则实数m 的取值范围______.答案:4[)0,+∞【分析】先利用函数的奇偶性求解实数a ;再利用定义证明函数的单调性,利用奇偶性和单调性将不等式恒成立问题转化为分离参数问题,利用基本不等式以及双勾函数的单调性求解即可.解:函数()f x 的定义域为R , 由函数()f x 为R 上的奇函数, 可得()()))()22ln2ln2ln 140f x f x x x ax x -+=+=+-=,即221414ax x a +-=⇒=, 则实数4a =; 所以())ln 2f x x =,设12x x <,则()()))1212ln2ln 2f x f x x x -=-=,2112142xx x +<<,1<,则lnln10<=,所以()()12f x f x <,则函数()f x 为R 上的增函数; 又函数()f x 为R 上的奇函数,所以不等式()()22sin cos 0f m m x f x -+≥恒成立, 转化为()()()222sin cos cos f m m x f x f x -≥-=-,即22sin cos m m x x -≥-对x R ∀∈恒成立, 所以2sin sin 210x m x m +--≤对x R ∀∈恒成立,即()()222sin 42sin 3sin 132sin 42sin 2sin 2sin x x x m x x x x ---+-≥==-+----,令2sin t x =-, 因1sin 1x -≤≤, 则12sin 3x ≤-≤, 即13t ≤≤,则332sin 4442sin x t x t-+-=+-≥-,当且仅当t =时取等号,由双勾函数的单调性知:t ⎡∈⎣,函数单调递减,t ⎤∈⎦,函数单调递增,当1t =时,340t t +-=,当3t =时,340t t +-=,所以342sin 402sin x x≤-+-≤-,所以0m ≥,故实数m 的取值范围为[)0,+∞. 故答案为:4;[)0,+∞.点评:关键点睛:本题考查函数奇偶性的定义,以及利用奇偶性,单调性解不等式恒成立问题,利用奇偶性和单调性将不等式恒成立问题转化为分离参数问题是解决本题的关键. 四、解答题 17.已知:4tan 3α=-,,2παπ⎛⎫∈ ⎪⎝⎭,5cos 13β=-,β是第三象限角:(1)求3sin cos sin cos αααα+-的值;(2)求()cos αβ-的值.答案:(1)97;(2)3365-.【分析】(1)利用同角三角函数的基本关系求得sin ,cos αα的值,进而即可代入求解;(2)利用同角三角函数的基本关系求得sin β的值,再利用两角差的余弦公式求得()cos αβ-的值.解:(1)sin 4tan cos 3ααα==-,,2παπ⎛⎫∈ ⎪⎝⎭,22sin cos 1αα+=,43sin ,cos 55αα∴==-,可得4333sin cos 95543sin cos 755αααα⨯-+==-+;(2)5cos 13β=-,β是第三象限角,12sin 13β∴==-,所以()cos cos cos sin sin αβαβαβ-=+354123351351365⎛⎫⎛⎫-⨯-+⨯-=- ⎪ ⎪⎝⎭⎝⎭. 18.已知函数()2sin 23f x x π⎛⎫=+ ⎪⎝⎭.(1)求函数()f x 在[]0,π的单调递增区间; (2)关于x 的不等式:()1f x <的解集.答案:(1)单调递增区间为70,,,1212πππ⎡⎤⎡⎤⎢⎥⎢⎥⎣⎦⎣⎦;(2)()11,412k k k Z ππππ⎛⎫++∈ ⎪⎝⎭. 【分析】(1)利用正弦函数的性质,由222232k x k πππππ-≤+≤+,可求出单调递增区间,再找出[]0,π的部分即可;(2)利用正弦函数的性质,可得511222636k x k πππππ+<+<+,化简即可得到答案.解:解(1)令222232k x k πππππ-≤+≤+,解得51212k x k ππππ-≤≤+,k Z ∈, 故()f x 的单调递增区间()5,1212k k k Z ππππ⎡⎤-+∈⎢⎥⎣⎦, 令0k =,单调递增区间为0,12π⎡⎤⎢⎥⎣⎦,令1k =,单调递增区间为7,12ππ⎡⎤⎢⎥⎣⎦, 故()f x 在[]0,π上的单调递增区间为70,,,1212πππ⎡⎤⎡⎤⎢⎥⎢⎥⎣⎦⎣⎦. (2)2sin 213x π⎛⎫+< ⎪⎝⎭1sin 232x π⎛⎫+< ⎪⎝⎭故511222636k x k πππππ+<+<+ 解得11412k x k ππππ+<<+故解集为:()11,412k k k Z ππππ⎛⎫++∈ ⎪⎝⎭点评:方法点睛:1.讨论三角函数性质,应先把函数式化成y =Asin(ωx+φ)(ω>0)的形式.2.函数y =Asin(ωx+φ)和y =Acos(ωx+φ)的最小正周期为2T πω=,y =tan(ωx+φ)的最小正周期为T πω=. 3.对于函数的性质(定义域、值域、单调性、对称性、最值等)可以通过换元的方法令t =ωx+φ,将其转化为研究y =sint 的性质.19.已知函数())2cos sin 3f x x x x x R π⎛⎫=+∈ ⎪⎝⎭. (1)求()f x 在闭区间,44ππ⎡⎤-⎢⎥⎣⎦的最大值和最小值; (2)设函数()g x 对任意x ∈R ,有()2g x g x π⎛⎫+= ⎪⎝⎭,且当0,2x π⎡⎤∈⎢⎥⎣⎦时,()()12g x f x =-.求()g x 在区间[],0π-上的解析式. 答案:(1)最大值为14,最小值为12-;(2)()11sin 2,0223211sin 2,2232x x g x x x πππππ⎧⎛⎫+--≤≤ ⎪⎪⎪⎝⎭=⎨⎛⎫⎪---≤< ⎪⎪⎝⎭⎩.【分析】(1)利用两角和的正弦公式,二倍角公式以及辅助角公式将()f x 化简,再由三角函数的性质求得最值;(2)利用0,2x π⎡⎤∈⎢⎥⎣⎦时,()()12g x f x =-,对x 分类求出函数的解析式即可.解:(1)()2cos sin 34f x x x x ⎛⎫ ⎪⎝⎭π=++2cos sin cos cos sin 334x x x x ππ⎛⎫=++⎪⎝⎭1sin 224x x = 1sin 223x π⎛⎫=- ⎪⎝⎭, 因为,44x ππ⎡⎤∈-⎢⎥⎣⎦,所以52,366x πππ⎡⎤-∈-⎢⎥⎣⎦,则1sin 21,32x π⎛⎫⎡⎤-∈- ⎪⎢⎥⎝⎭⎣⎦, 111sin 2,2324x π⎛⎫⎡⎤-∈- ⎪⎢⎥⎝⎭⎣⎦, 所以()f x 的最大值为14;()f x 的最小值为12-; (2)当0,2x π⎡⎤∈⎢⎥⎣⎦时, ()11sin 2223g x x π⎛⎫=-- ⎪⎝⎭, 当,02x ⎡⎤∈-⎢⎥⎣⎦π时,0,22x ππ⎡⎤+∈⎢⎥⎣⎦,()11sin 22223g x g x x ππ⎛⎫⎛⎫=+=+- ⎪ ⎪⎝⎭⎝⎭,当,2x ππ⎡⎫∈--⎪⎢⎣⎭时,0,2x ππ⎡⎫+∈⎪⎢⎣⎭; ()()11sin 2223g x g x x ππ⎛⎫=+=-- ⎪⎝⎭, 综上:()g x 在区间[],0π-上的解析式为:()11sin 2,0223211sin 2,2232x x g x x x πππππ⎧⎛⎫+--≤≤ ⎪⎪⎪⎝⎭=⎨⎛⎫⎪---≤< ⎪⎪⎝⎭⎩.点评:关键点睛:本题考查了三角函数中的恒等变换应用,三角函数的周期性及其求法.熟练掌握两角和的正弦公式,二倍角公式以及辅助角公式是解决本题的关键. 20.已知函数()()2224xf x log x log =⋅, (1)当[]1,4x ∈时,求该函数的最值;(2)若()2f x mlog x <对于[]1,4x ∈恒成立,求实数m 的取值范围. 答案:(1)最小值94-;最大值0;(2)()0,∞+ 【分析】(1)由题意可得()2222f x log x log x =--,令2log x t =,则函数化为[]22,0,2y t t t =--∈,利用二次函数的性质得到函数的最值;(2)()[]2 1,4f x mlog x x <∈,恒成立,即()[]222120,1,4log x m log x x -+-<∈恒成立,令2log x t =,则()[]2120,0,2t m t t -+-<∈恒成立,利用三个二次的关系,得到结果.解:解(1):()()()()222222221224xf x log x log log x log x log x log x =⋅=+-=-- 令2log x t =,则函数化为[]22,0,2y t t t =--∈ 因此当12t =时,[]22,0,2y t t t =--∈取得最小值94-当2t =时,[]22,0,2y t t t =--∈取得最大值0即当x =()f x 取得最小值94-;当4x =时,函数()f x 取得最大值0. (2)()[]2 1,4f x mlog x x <∈,恒成立,即()[]222120,1,4log x m log x x -+-<∈恒成立令2log x t =,则()[]2120,0,2t m t t -+-<∈恒成立令()()[]2120,0,2g t t m t t =-+-<∈则()()0020g g ⎧<⎪⎨<⎪⎩,即()2042120m -<⎧⎨-+-<⎩,解得0m >∴实数m 的取值范围()0,∞+.点评:本题考查对数型函数的性质,考查二次函数的性质,考查数形结合思想,换元法,属于中档题.21.已知()()22101f x ax ax b a b =-+-≠>-,在区间[]2,3上的最大值为4,最小值为1.(1)求()f x 的表达式; (2)设()()f x g x x=,若[]1,1x ∃∈-,不等式()220x xg m -⋅≥成立,求m 的取值范围.答案:(1)()221f x x x =-+;(2)(],1-∞.【分析】(1)先求出二次函数的对称轴方程,然后根据开口方向讨论其单调性,由最大最小值确定出,a b 的值;(2)由(1)结果先化简出()g x 表达式,根据已知条件转化为求函数的最大值问题,利用换元法即可求出函数的最大值,即得到m 的取值范围. 解:解:(1)()221f x ax ax b =-+-的对称轴为1x =.当0a >时,()f x 在[]2,3上为增函数,则()()34{21f f ==即9614{4411a a b a a b -+-=-+-=解得10a b =⎧⎨=⎩,故()221f x x x =-+. 当0a <时,()f x 在[]2,3上为减函数,则()()24{31f f ==即4414{9611a a b a a b -+-=-+-=解得13a b =-⎧⎨=-⎩,由于1b >-,所以这组解舍去.综上,()221f x x x =-+.(2)()()22112f x x x g x x xx x-+===+-若[]1,1x ∃∈-,不等式()220xx g m -⋅≥成立,即122202x xx m +--⋅≥成立 即[]2max1121,1,122x xm x ⎡⎤⎛⎫≤-⋅+∈-⎢⎥ ⎪⎝⎭⎢⎥⎣⎦. 令12x t =,则1,22t ⎡⎤∈⎢⎥⎣⎦,()22211y t t t =-+=-,当2t =时,max 1y =,故1m ≤. 即m 的取值范围为(],1-∞.点评:本题考查二次函数的单调性、不等式恒成立问题,关键在于不等式恒成立问题转化为求函数最值问题,属于中档题.22.已知函数()2231f x x x =-+;()2sin 6g x x π⎛⎫=-⎪⎝⎭(1)a 为何值时,方程:()sin sin f x a x =-在[]0,2π上有两解? (2)若()()7563h x g x a g x a a R ππ⎛⎫⎛⎫⎛⎫⎛⎫=++++∈ ⎪⎪ ⎪⎪⎝⎭⎝⎭⎝⎭⎝⎭,试求:()h x 的最大值. 答案:(1)()1,5a ∈或12a =;(2)当0a ≤时,(2max y a =;当0a >时,(2max y a =.【分析】(1)先把原式转化为22sin 2sin 1x x a -+=在[]0,2π上有两解,再用换元法令[]sin ,1,1t x t =∈-,可得到2221t t a -+=在[]1,1-的解的情况可结合两函数图像的交点情况讨论;(2)先化简()h x ,再令sin cos x x t +=,t ⎡∈⎣,转化为关于t 的二次函数,从而可求最大值.解:解:(1)()2sin 2sin 3sin 1sin f x x x a x =-+=-,可化为:22sin 2sin 1x x a -+=在[]0,2π上有两解, 令[]sin ,1,1t x t =∈-,则:2221t t a -+=在[]1,1-的解如下:①当()1,1t ∈-时只有一个解或相等解时,x 有俩解, 即:()()510a a --<或0∆=,所以:()1,5a ∈或12a =; ②当1t =-时,有唯一解,32x π=; ③当1t =时,有唯一解,2x π=;故()1,5a ∈或12a =; (2)由()()7563h x g x a g x a a R ππ⎛⎫⎛⎫⎛⎫⎛⎫=++++∈ ⎪⎪ ⎪⎪⎝⎭⎝⎭⎝⎭⎝⎭, 得()()()()22sin 2cos 4sin cos 2sin cos h x x a x a x x a x x a =-+-+=-++,令sin cos x x t +=,t ⎡∈⎣,则21sin cos 2t x x -=,原式转化为:22222y t at a =-+-,t ⎡∈⎣,即:222222a a y t ⎛⎫=-+- ⎪⎝⎭,当0a ≤时,(2max y a =;当0a >时,(2maxy a =+.综上:当0a ≤时,(2maxy a =-;当0a >时,(2maxy a =+.点评:关键点睛:本题主要考查了函数的性质与应用问题.解题时利用换元法,把三角函数化为研究普通函数在某一区间上的性质问题是解决本题的关键.。
2020-2021学年黑龙江省大庆实验中学高一上学期期末考试数学试题一、单选题1.由实数2,,|,x x x -所组成的集合,最多可含有( )个元素A .2B .3C .4D .5【答案】B【分析】把2,,|,x x x -分别可化为x ,x -,2x ,x ,2x ,,根据集合中元素的互异性,即可得到答案. 【详解】由题意,当0x ≠时所含元素最多,此时2,,|,x x x -分别可化为x ,x -,2x ,所以由实数2,,|,x x x -所组成的集合,最多可含有3个元素.故选:B2.“||||||x y x y +=+”是“0xy >”的( ) A .充分不必要条件 B .必要不充分条件 C .充要条件 D .不充分不必要条件【答案】B【分析】根据充分条件,必要条件及绝对值的定义即可求解.【详解】由绝对值的定义知,||||||,x y x y x y +=+⇒同号或至少有一个为0, 所以||||||x y x y +=+成立推不出0xy >,0xy >⇒||||||x y x y +=+,所以“||||||x y x y +=+”是“0xy >”的必要不充分条件, 故选:B3.sin2cos3tan4的值( ) A .等于0 B .大于0 C .小于0 D .不存在【答案】C【解析】试题分析:∵1弧度大约等于57度,2弧度等于114度,∴20sin >,∵3弧度小于π弧度,在第二象限,∴30cos <,∵4弧度小于32π弧度,大于π弧度,在第三象限,∴40tan >,∴2340sin cos tan <,故选C. 【解析】三角函数值的符号.4.下图是函数()||2y sin x πωϕϕ⎛⎫=+<⎪⎝⎭的图象,那么( )A .2,6πωϕ==-B .2,3πωϕ==C .3=2,πωϕ=-D .=2,6πωϕ=【答案】B 【分析】根据2362T πππ⎛⎫=--= ⎪⎝⎭求出T 的值即可求ω,令()226k k Z πϕπ⎛⎫⨯-+=∈ ⎪⎝⎭结合||2ϕπ<即可求ϕ得值,进而可得正确选项.【详解】由图知:2362T πππ⎛⎫=--= ⎪⎝⎭,解得:T π=, 所以222T ππωπ===,()2y sin x ϕ=+ 令()226k k Z πϕπ⎛⎫⨯-+=∈ ⎪⎝⎭, 所以()23k k Z πϕπ=+∈, 因为||2ϕπ<,所以0,3k πϕ==,所以2,3πωϕ==,故选:B5.如图所示,面积为8的平行四边形OABC 的对角线AC ⊥CO ,AC 与BO 交于点E .若指数函数(0x y a a =>且1)a ≠的图象经过点E ,B ,则a 等于( )A .B .C .2D .3【答案】A【分析】由已知可得848(,),(,),(,2)A m E m B m m m m,根据点E ,B 在指数函数的图象上,列出方程组,即可求解.【详解】设点(0,)(0)C m m >,则由已知可得848(,),(,),(,2)A m E m B m m m m, 又因为点E ,B 在指数函数的图象上,所以48(1)2(2)mm m am a ⎧=⎪⎨⎪=⎩, (1)式两边平方得82mm a =,(3)(2)(3)联立,得220m m -=,所以0m =(舍去)或2m =,所以2a =故选:A.【点睛】本题主要考查了指数函数的图象与性质及其应用,其中解答中根据指数函数的解析式列出方程组是解答的关键,着重考查推理与运算能力. 6.函数()f x 对于任意x ∈R ,恒有()12f x f x ⎛⎫<+ ⎪⎝⎭,那么( ) A .可能不存在单调区间 B .()f x 是R 上的增函数 C .不可能有单调区间 D .一定有单调区间【答案】A【分析】根据题意,举出两个满足()12f x f x ⎛⎫<+⎪⎝⎭的例子,据此分析选项可得答案.【详解】根据题意,函数()f x 对于任意x ∈R ,恒有()12f x f x ⎛⎫<+ ⎪⎝⎭,则()f x 的解析式可以为:()2,1 1.51,0.510,00.5x f x x x ⎧⎪<≤⎪⎪=<≤⎨⎪<≤⎪⎪⎩,满足()12f x f x ⎛⎫<+ ⎪⎝⎭,不是增函数,没有单调区间,也可以为()f x x =,满足()12f x f x ⎛⎫<+ ⎪⎝⎭, 是增函数,其递增区间为R ,则()f x 可能存在单调区间,也可能不存在单调区间, 则A 正确;BCD 错误; 故选:A.【点睛】关键点睛:本题考查函数单调性的定义,构造反例是解决本题的关键. 7.对任意实数x ,不等式2(2)2(2)40a x a x -+--<恒成立,则a 的取值范围是( ). A .22a -<≤B .22a -≤≤C .2a <-或2a ≥D .2a ≤-或2a ≥【答案】A【分析】20a -≠时,利用二次函数的性质可求解,20a -=时直接验证即得.【详解】由已知得220[2(2)]4(2)(4)0a a a -<⎧⎨∆=---⨯-<⎩,即222a a <⎧⎨-<<⎩,解得22a -<<.又当2a =时,原不等式可化为40-<,显然恒成立. 故a 的取值范围是22a -<. 故选:A .【点睛】本题考查一元二次不等式恒成立问题,解题时要注意对最高次项系数分类讨论, 8.若定义在R 上的函数()f x 满足:对任意1,x 2x R ∈有1212()()()1f x x f x f x +=++则下列说法一定正确的是A .()f x 为奇函数B .()f x 为偶函数C .()1f x +为奇函数D .()1f x +为偶函数 【答案】C【详解】x 1=x 2=0,则()()()0001f f f =++,()01f ∴=-, 令x 1=x ,x 2=-x ,则()()()01f f x f x =+-+, 所以()()110f x f x ++-+=,即()()11f x f x ⎡⎤+=--+⎣⎦,()1f x +为奇函数,故选C. 9.函数y =的值域是( ) A .11,22⎡⎤-⎢⎥⎣⎦ B .[]0,1C .10,2⎡⎤⎢⎥⎣⎦D .[)0,+∞【答案】C 【分析】令t =,转化为21ty t =+,0t ≥,根据均值不等式求解即可. 【详解】令t =,则0t ≥,当0t =时,0y =,当0t ≠时,2110112t y t t t <==≤=++,当且仅当1t =时,即2x =时等号成立, 综上102y ≤≤, 故选:C【点睛】关键点点睛:注意含根号式子中,经常使用换元法,利用换元法可简化运算,本题注意均值不等式的使用,属于中档题.10.若函数()()2log 3a f x x ax =-+在区间,2a ⎛⎤-∞ ⎥⎝⎦上是减函数,则a 的取值范围是( ) A .()0,1 B.(C.(D .()(0,1⋃【答案】C【分析】函数()()2log 3a f x x ax =-+是由log a y t =和23t x ax =-+复合而成,23t x ax =-+在,2a ⎛⎤-∞ ⎥⎝⎦单调递减,所以log a y t =为增函数,可得1a >,且min 02a t t ⎛⎫=> ⎪⎝⎭,即可求得a 的范围.【详解】函数()()2log 3a f x x ax =-+是由log a y t =和23t x ax =-+复合而成,因为23t x ax =-+为开口向上的抛物线,对称轴为2a x =, 所以23t x ax =-+在,2a ⎛⎤-∞ ⎥⎝⎦单调递减,且2min 30222a a a t t a ⎛⎫⎛⎫==-⨯+> ⎪ ⎪⎝⎭⎝⎭,即234a <,解得:a -<<又因为函数()()2log 3a f x x ax =-+在区间,2a ⎛⎤-∞ ⎥⎝⎦上是减函数,所以log a y t =为增函数,所以1a >,所以1a << 故选:C【点睛】关键点点睛:本题解题的关键是根据内层函数23t x ax =-+在,2a ⎛⎤-∞ ⎥⎝⎦单调递减,以及函数()()2log 3a f x x ax =-+在区间,2a ⎛⎤-∞ ⎥⎝⎦上是减函数,可得log a y t=为增函数,还必须使23t x ax =-+最小值大于0,两个条件可破解此问题. 11.为使函数()cos 02y x πωω⎛⎫=->⎪⎝⎭在区间[]0,1上至少出现100次最大值,则ω的最小整数值是( ) A .616 B .624C .627D .629【答案】B【分析】根据诱导公式化简函数解析式,利用一个周期内只有一个最大值,即可求解. 【详解】由()cos sin 02y x x πωωω⎛⎫=-=>⎪⎝⎭知, 在区间[]0,1上至少出现100次最大值,需要最少有99+4TT 个周期,所以21299+14ππωω⨯⨯≤, 解得623.29ω≥, 故ω的最小整数值是624. 故选:B12.已知函数()(2f x m x =+,()22xg x lnx+=-,[]10,1x ∃∈,对于[]20,4x ∀∈都有()()12g x f x <,则实数m 的取值范围是( )A .1,12⎡⎤-⎢⎥⎣⎦B .1113,13422ln ln ⎛⎫--⎪⎝⎭C .1,12⎛⎫- ⎪⎝⎭D .1113,13422ln ln ⎡⎤--⎢⎥⎣⎦ 【答案】C【分析】由题意可得()()min min g x f x <,判断g (x )在[0,1]递增,可得其最小值;再讨论m =0,m <0,m >0,结合函数y =x 和y =f (x )的单调性,可得其最小值,解不等式可得m 的取值范围.【详解】由∃x 1∈[0,1],对于∀x 2∈[0,4]都有g (x 1)<f (x 2),可得()()min min g x f x <, 由2()ln()2x g x x +=-,得4()ln(1)2g x x =---在[0,1]递增, ∴g (x )min =g (0)=0,∵()(2f x m x =-+, ∴当m =0,f (x )=2>0恒成立;当m >0时,f (x )在[0,4]递增,可得f (x )min =f (0)=﹣2m +2, 由﹣2m +2>0,解得m <1,即0<m <1成立;当m <0时,f (x )在[0,4]递减,可得f (x )min =f (4)=4m +2, 由4m +2>0,解得12m >-,即102m -<<.综上,m 的范围是1,12⎛⎫- ⎪⎝⎭. 故选:C【点睛】关键点点睛:本题关键点在于对[]10,1x ∃∈,对于[]20,4x ∀∈都有()()12g x f x <的理解,理解为()()min min g x f x <是解题的关键所在,属中档题.二、填空题 13.()tan 225︒-=_____.【答案】1-【分析】利用诱导公式及特殊角的三角函数值进行求值. 【详解】由()()tan 225tan 18045tan 451︒-=-︒-︒=-︒=-,故答案为:1-14.已知函数2log my x =,当01x <<时图象在直线y x =上方,则m 的取值范围是____.【答案】(0,2) 【分析】根据函数2log my x=,当01x <<时图象在直线y x =上方,可得2log m x x >,再求出m 的取值范围即可. 【详解】函数2log my x=,当01x <<时图象在直线y x =上方,当01x <<时,2log m x x >,2log 1m ∴<, 02m ∴<<,∴m 的取值范围是(0,2)故答案为:(0,2)15.已知实数x 满足316281536x x x ⨯+⨯=⨯,则x 的值为____. 【答案】0或12【分析】根据指数幂的运算将式子因式分解,再分别解方程即可;【详解】解:因为316281536x x x ⨯+⨯=⨯,所以()2443223523xx x ⨯+⨯=⨯⨯,42243223523x x x x ⨯+⨯=⨯⨯,所以422432235230x x x x ⨯+⨯-⨯⨯=,即()()22223223230xxxx --⨯⨯=,所以2232230x x -⨯⨯=,或22230x x -=解得12x =或0x = 故答案为:0或1216.给出下列4个命题:①若函数()f x 在(2021,2023)上有零点,则一定有()()202120230f f ⋅<; ②函数y =既不是奇函数又不是偶函数;③若函数()f x 满足条件()()14,0f x f x x R x x ⎛⎫-=∈≠⎪⎝⎭,则()||f x 的最小值为415. ④若函数()()254f lg ax x x =++的值域为R .则实数a 的取值范围是250,16⎛⎤⎥⎝⎦. 其中正确命题的序号是____.(写出所有正确命题的序号) 【答案】③【分析】对于①:直接利用函数的零点的概念判断选项;对于②:函数的定义域和函数的奇偶性判断选项;对于③:赋值法求函数的解析式判断选项;对于④:特殊值代入法判断选项即可;【详解】对于①:若函数()f x 在(2021,2023)上有零点, 且函数()f x 在(2021,2023)上严格单调, 则一定有()()202120230f f ⋅<, 当函数()f x 在(2021,2023)上有零点, 但函数()f x 在(2021,2023)上不单调时, 不一定得到()()202120230f f ⋅<;例如:如果函数()f x 在(2021,2022)上单调递减, 在(2022,2023)上单调递增,且()20220f =, 满足函数()f x 在(2021,2023)上有零点, 但是不能得到()()202120230f f ⋅<; 故①错;对于②:由函数y =,得函数的定义域:()-4,4,所以函数y =令()f x则()()-f x f x ,则函数y =为偶函数,故②错误;对于③:函数()f x 满足条件()()14,0f x f x x R x x ⎛⎫-=∈≠ ⎪⎝⎭(1), 用1x替换x , 则得()114f f x x x ⎛⎫-=⎪⎝⎭(2), 由(1)(2)得:()41515xf x x =--, ()4415151515x x f x x x =--=+, 因为415x 与15x同号,所以()4441515151515x x f x x x =+=+≥=, 当且仅当421515x x x =⇒=±时取等号; 故③正确;对于④:若函数()()254f lg ax x x =++的值域为R ,当0a =时,()()54f lg x x =+,值域为R , 故④不正确; 故答案为:③.【点睛】关键点睛:本题考查了函数的综合问题;熟练的掌握函数的零点概念,函数的定义域以及函数的奇偶性的定义,赋值法求函数的解析式,以及对数的性质是解决本题的关键.三、解答题17.已知关于x 的函数()22sin cos 2y a x x a b =-++的定义域是0,2π⎡⎤⎢⎥⎣⎦,值域为[]4,1-,求实数a ,b 的值.【答案】52a =-,72b =或52a =,132b =-.【分析】由已知利用同角三角函数基本关系式化简可得函数解析式为22sin y a x a b =++,结合范围x ∈0,2π⎡⎤⎢⎥⎣⎦,可求2sin [0,1]x ∈,利用正弦函数的性质分类讨论即可求解.【详解】()222sin cos 22sin y a x x a b a x a b =-++=++, ∵0,2x π⎡⎤∈⎢⎥⎣⎦∴2sin [0,1]x ∈. 当0a >时,有31,4,a b a b +=⎧⎨+=-⎩得52a =,132b =-;当0a <时,有34,1,a b a b +=-⎧⎨+=⎩得52a =-,72b =.18.已知函数()326f x sin x π⎛⎫=+ ⎪⎝⎭.(1)求函数()f x 在[]0,π上的单调增区间; (2)当,63x ππ⎡⎤∈-⎢⎥⎣⎦时,求函数值的取值范围; (3)若将此图象向右平移()0θθ>个单位后图象关于y 轴对称,求θ的最小值. 【答案】(1)06,π⎡⎤⎢⎥⎣⎦和2π,π3;(2)3,32⎡⎤-⎢⎥⎣⎦;(3)3π. 【分析】(1)令()222262k x k k Z πππππ-+≤+≤+∈,求得x 的范围再与[]0,π求交集即可; (2)先由,63x ππ⎡⎤∈-⎢⎥⎣⎦求出26x π+的范围,再结合正弦函数的性质求出sin 26x 的范围即可求解;(3)先求出()f x 图象向右平移()0θθ>个单位后的解析式为()3sin 226f x x πθ⎛⎫=+- ⎪⎝⎭,再利用其为偶函数即可求解.【详解】(1)令()222262k x k k Z πππππ-+≤+≤+∈,解得:()36k x k k Z ππππ-+≤≤+∈,令0k =可得36x ππ-≤≤,令1k =可得2736x ππ≤≤, 因为[]0,x π∈,所以06x π≤≤或2ππ3x,所以函数()f x 在[]0,π上的单调增区间为06,π⎡⎤⎢⎥⎣⎦和2π,π3; (2)因为,63x ππ⎡⎤∈-⎢⎥⎣⎦,所以52666x πππ-≤+≤, 所以1sin 2126x π⎛⎫-≤+≤ ⎪⎝⎭,33sin 2326x π⎛⎫-≤+≤ ⎪⎝⎭,所以当,63x ππ⎡⎤∈-⎢⎥⎣⎦时,求函数值的取值范围为3,32⎡⎤-⎢⎥⎣⎦; (3)将()326f x sin x π⎛⎫=+ ⎪⎝⎭图象向右平移()0θθ>个单位后可得()()323sin 2266f x sin x x ππθθ⎡⎤⎛⎫=-+=+- ⎪⎢⎥⎣⎦⎝⎭,因为其图象关于y 轴对称, 所以()262k k Z ππθπ-=+∈,解得()62k k Z ππθ=--∈, 所以1k =-时,θ最小为623πππ-+=,【点睛】结论点睛:三角函数的奇偶性 ①对于()y Asin x ωϕ=+,若为奇函数,则()k k Z ϕπ=∈,若为偶函数,则()2k k Z πϕπ=+∈;②对于函数()cos y A x ωϕ=+ 若为奇函数,则()2k k Z πϕπ=+∈,若为偶函数,则()k k Z ϕπ=∈;③对于函数()tan y A x ωϕ=+, 若为奇函数,则()2k k Z πϕ=∈. 19.已知二次函数264y ax x a =+-的图像开口向上,且与x 轴由左到右分别交于A ,B 两点,且||42AB =. (1)求这条抛物线的解析式;(2)设抛物线的顶点为C ,与y 轴的交点为D ,求A ,B ,C ,D 四点围成的四边形的面积.【答案】(1)23662y x x =+-;(2)12182+. 【分析】(1)利用已知条件得到264(4)a a AB a--=求解即可;(2)由题意可求,C D ,然后结合二次函数与x 轴交点与二次方程根的关系可求,A B ,进而可求. 【详解】解:(1)0a >,0∆>,且264(4)42a a AB a--==,易解得294a =, 则32a =, 故23662y x x =+-.(2)点(2,12)C --,点(0,6)D -. 令0y =,解得1222x =--2222x =-+, 故点(22,0)A --,(2B -+.连接OC (O 为坐标原点), 则AOCOCDBOD ABCD S SSS ∆=++四边形111(21262(26222=+⨯+⨯⨯+-+⨯12=+20.设函数()221xf x a =-+. (1)求证:()f x 为增函数(2)若()f x 为奇函数,求实数a 的值,并求出()f x 的值域. 【答案】(1)证明见解析;(2)1,(1,1)-.【分析】(1)利用定义法证明()f x 为增函数,先假设12x x <,然后计算并化简()()12f x f x -,通过分析()()12f x f x -与0的大小关系,确定出()()12,f x f x 的大小关系,由此证明出单调性;(2)先根据()f x 为奇函数,得到()()f x f x -=-,由此求解出a 的值,然后结合不等式以及指数函数的值域求解出()f x 的值域.【详解】(1)∵()f x 的定义域为R ,∴任取12,x x R ∈且12x x <,则()()()()()121212122222221211212x x x x x x f x f x a a ⋅--=--+=++++, ∵12x x <,∴12220x x -<,()()1212120xx ++>,∴()()120f x f x -<,即()()12f x f x <,所以不论a 为何实数()f x 总为增函数; (2)∵()f x 为奇函数,∴()()f x f x -=-,即222121x xa a --=-+++, ∴2222222212121x x x x a -⋅+=+==+++,解得:1a =,∴2()121xf x =-+. 由以上知2()121xf x =-+,∵211x +>,∴20221x <<+, ∴22021x -<-<+,∴1()1f x -<<, 所以()f x 的值域为(1,1)-.【点睛】思路点睛:用定义法证明函数单调性的步骤:(1)设:设两个自变量12,x x ,并给定大小关系; (2)作差:计算()()12f x f x -;(3)变形:将()()12f x f x -的结果化简至容易判断出正负;(4)判号:根据()()12f x f x -的化简结果并结合12,x x 的大小,判断出()()12f x f x -的正负;(5)下结论:说明()f x 的单调性. 21.已知函数()2ln2ax f x x +=+,且()f x 不恒为0. (1)若()f x 为奇函数,求实数a 的值; (2)若()()x f g x e=,且函数()g x 在()0,1上单调递减,求实数a 的取值范围.【答案】(1)1-;(2)21a -≤<.【分析】(1)由条件可知()()f x f x -=-,由此列出关于a 的方程,求解出a 的值; (2)先计算出()g x 的解析式,采用分离常数的方法对()g x 进行变形,然后结合单调性和对数的真数大于零列出关于a 的不等式组,求解出a 的取值范围. 【详解】(1)由奇函数的定义可知:()()f x f x -=-,即222lnln ln 222ax ax x x x ax -+++=-=-+++,则:2222ax x x ax -++=-++22244x a x ⇔-=-1a ⇔=±,又当1a =时,()f x 恒为0,矛盾,所以1a =-. (2)()()f xg x e=在()0,1x ∈上单调递减,()202ax g x x +∴=>+在()0,1x ∈上恒成立,且()22222ax ag x a x x +-==+++在()0,1x ∈上单调递减,()()min 2103a g x g +∴==≥且220a ->, 解得:21a -≤<.【点睛】结论点睛:常见函数的单调性分析:(1)一次函数()()0f x kx b k =+≠:当0k >时,在R 上递增,当0k <时,在R 上递减;(2)反比例类型的函数()()0kf x k x a=≠-,当0k >时,在(),a -∞和(),a +∞上递减;当0k <时,在(),a -∞和(),a +∞上递增;(3)二次函数()()20f x ax bx c a =++≠:当0a >时,在,2b a ⎛⎫-∞-⎪⎝⎭上递减,在,2b a ⎛⎫-+∞ ⎪⎝⎭上递增;当0a <时,在,2b a ⎛⎫-∞- ⎪⎝⎭上递增,在,2b a ⎛⎫-+∞ ⎪⎝⎭上递减. 22.已知定义域为R 的函数()f x 和()g x ,其中()f x 是奇函数,()g x 是偶函数,且()()12x f x g x ++=.(1)求函数()f x 和()g x 的解析式; (2)解不等式:()()2f x g x ;(3)已知实数0λ>,且关于x 的方程()()10x f x g λ-+=有实根,求λ的表达式(用x 表示),并求λ的取值范围.【答案】(1)()22x xf x -=-,()22x xg x -=+;(2)21log 3,2⎡⎫+∞⎪⎢⎣⎭;(3)2222121x x xλ+-=+,⎛⎝⎦. 【分析】(1)利用奇偶性,结合()()12x f x g x ++=,得到1()()2x f x g x -+-+=,联立方程解得()f x 和()g x 的解析式即可;(2)代入函数解析式并化简得到223x ≥,再结合指数函数单调性解不等式即可;(3)代入函数解析式并分离参数得到2222121x x xλ+-=+,再进行换元20x t =>,使22212111t t t t t λ+--==+++有正根,设2t m -=,则2m >-,转化成2145m m m λ=+++有2m >-的实根,最后对m 进行讨论,结合对勾函数的单调性研究值域问题即可. 【详解】解:(1)因为()f x 是奇函数,()g x 是偶函数, 所以()()f x f x -=-,()()g x g x -=, 因为1()()2x f x g x ++=,所以1()()2x f x g x -+-+-=,即1()()2x f x g x -+-+=,联立两个方程,可解得1122()222x x x x f x +-+--==-,()22x x g x -=+;(2)2()()f x g x ≥可化为()22222x xxx ---≥+,化简得232x x -≥⨯,即223x ≥,而2log 332=,所以22log 3x ≥,得21log 32x ≥, 所以不等式2()()f x g x ≥的解集为21log 3,2⎡⎫+∞⎪⎢⎣⎭;(3)关于x 的方程()()10f x g x λ-+=有实根,即()222210x x x xλ----++=有实根,所以()()22212120x x x λ⎡⎤--++=⎢⎥⎣⎦有实根, 则2222121x x xλ+-=+. 令20x t =>,则()22110t t t λ--++=有正根,所以22212111t t t t t λ+--==+++有正根, 因为222211(22)1(2)4(2)5t t t t t λ--=+=+-++-+-+,设2t m -=,则2m >-,2145mm m λ=+++.当0m =时,1λ=,此时22x t ==,方程有实根1x =;当0m ≠且2m >-时,方程即2145541m m m m mλ++==++-有2m >-的实根,则11λ-的值域,即是54m m++的值域.因为对勾函数5()4m m mϕ=++在(2,0)-上递减,在上递减,在)+∞上递增,故(2,0)m ∈-时,1()(2)2m ϕϕ<-=;(0,)m ∈+∞时()4m ϕϕ≥=+所以1112λ<--或141λ≥+-0λ>,故解得01λ<<或12λ<≤,综上所述:λ取值范围是⎛ ⎝⎦. 【点睛】方法点睛:已知函数有零点(方程有根)求参数值(取值范围)常用的方法: (1)直接法:直接求解方程得到方程的根,再通过解不等式确定参数范围; (2)分离参数法:先将参数分离,转化成求函数的值域问题加以解决;(3)数形结合法:先对解析式变形,进而构造两个函数,然后在同一平面直角坐标系中画出函数的图象,利用数形结合的方法求解.。
2021-2022学年黑龙江省大庆实验中学高一(上)期末数学试卷一、单项选择题:本大题共8小题,每小题5分,共40分,在每小题给出的四个选项中,只有一个符合题目要求。
1.下列各对角中,终边相同的是( ) A .32π和2k π-32π(k ∈Z ) B .-5π和225πC .-79π和119πD .203π和1229π2.若命题“∃x ∈R ,使x 2+(a -1)x +1<0”是假命题,则实数a 的取值范围为( ) A .[1,3]B .[-1,3]C .[-3,3]D .[-1,1]3.已知f (α)=()()cos sin 22cos tan ππααπαπα⎫⎫⎛⎛+- ⎪ ⎪⎝⎝⎭⎭---,则f (-20213π)=( )A .-32B .-12C .12D .324.设奇函数f (x )在(0,+∞)上为减函数,且f (-3)=0,则不等式xf (x -3)<0的解集为( ) A .(-∞,0)∪(0,3)∪(6,+∞)B .(-∞,-3)∪(-3,0)∪(3,+∞)C .(-∞,-3)∪(3,+∞)D .(-6,0)∪(0,6)5.函数f (x )=A sin(ωx +φ)(A >0,|φ|<2π,ω>0)的图象如图所示,为了得到f (x )图象,则只需将g (x )=sin2x 的图象( )A .向右平移6π个长度单位 B .向左平移6π个长度单位 C .向右平移3π个长度单位D .向左平移3π个长度单位6.已知f (x )是R 上的奇函数,且对x ∈R ,有f (x +2)=-f (x ).当x ∈(0,1)时,f (x )=2x -1,则f (log 241)=( ) A .40 B .2516C .2341D .41237.已知0<x <12,则1x +1212x x+-的最小值是( ) A .5B .6C .7D .88.已知函数f (x )=2sin(ωx -6π)(ω>12,x ∈R),若f (x )的图象的任何一条对称轴与x 轴交点的横坐标均不属于区间(3π,4π),则ω的取值范围是( ) A .(12,23]∪[89,76] B .(12,1724]∪[1718,2924] C .[59,23]∪[89,1112]D .[1118,1724]∪[1718,2324] 二、多项选择题:本大题共4小题,每小题5分,共20分,在每小题给出的四个选项中,至少有一个符合题目要求,每道题全对得5分,部分选对得2分。
大庆铁人中学高一年级上学期期末考试数学试题试卷说明:1.本试卷满分150分,考试时间120分钟。
2.请将答案填写在答题卡上,考试结束只上交答题卡。
第I 卷选择题(共60分)一.选择题(本大题共12小题,每小题5分,共60分,每小题的四个选项中,只有一项是符合要求的)1.已知集合022xxx A ,1202xBx,则A B = ( )A.12, B.1, C.12, D.1,2.函数2ln f xx ()A .是偶函数且在(-∞,0)上单调递增; B.是偶函数且在(0,+∞)上单调递增;C .是奇函数且在(0,+∞)上单调递增;D .是奇函数且在(-∞,0)上单调递增;3.已知是锐角,31,sin ,cos ,43ab ,且//a b ,则为 ()A .15°B .45°C .75°D.15°或75°4.已知角的始边与x 轴的非负半轴重合,终边上一点-3,4P ,则c o s s i n c o ss in 等于()A.1-7B.3 C.-3 D.175.已知向量,1a ,2,1b,若a b a b ,则实数的值为 ( ) A .2 B .2 C.1 D.16.设11113,2,1,,,,,1,2,32332,则使x xf 为奇函数且在,0上单调递减的的值的个数是()A.1B.2C.3D.47.若将函数sin 64yx图象上各点的横坐标伸长到原的3倍(纵坐标不变),再将所得图象沿x 轴向右平移8个单位长度,则所得图象的一个对称中心是()A.,016B.,09C.,04D.,028.设 1.13.13log 7,2,0.8a bc,则 ()A .ba c B.c a b C.c b a D .a c b9.设对任意实数]1,1[x,不等式032a axx恒成立,则实数a 的取值范围是 ( )A.0aB.21aC.0a 或12a D.41a10.函数sin0,0f x A x A 的一个最高点坐标为(2,2),相邻的对称轴与对称中心之间的距离为2,则函数y f x 的单调增区间是()A.28,28k kk Z B. 24,24k k k ZC.28,68k kkZ D.24,64k kkZ11.已知函数()y f x =(x )R 满足x f x f 2,且当1,1x时,()f x x =,函数sin,01,x x g xxx ,则函数h()()()x f x g x =-在区间[]5,5-上的零点的个数为()A . 8B . 9 C.10 D .1112.已知ABC V 的外接圆的圆心为O ,2,3,6ABAC BC则AO BC 的值为()A.94 B. 94C. 12D. 12第Ⅱ卷非选择题(共90分)二.填空题(本大题包括4个小题,每小题5分,共20分,把正确答案填在答题卡的指定位置)13. 在平面直角坐标系Oy 中,已知OA →=(-1,t),OB →=(2,2).若∠ABO =90°,则实数t 的值为________.14. 若21025cba且0abc,则bc a c_______________.15.70cos 20cos 10sin 2的值是 .16.给出以下命题:①若a b a b ,则a 与b 同向共线;②函数cos sin f x x 的最小正周期为;③在ABC 中,3,4,5ACBCAB,则16AB BC;④函数tan 23fxx的一个对称中心为5,012;其中正确命题的序号为___________________.三.解答题:(本大题包括6个小题,共70分,解答应写出文字说明,证明过程或演算步骤)17. (本小题满分10分)已知1,2a b ,a 与b 的夹角为.(1)若//a b ,求a b ;(2)若ab 与a 垂直,求.18.(本小题满分12分)已知30,444,335cos,sin45413,(1)求sin 的值;(2)求sin的值.19. (本小题满分12分)已知函数14226xx f x ,其中0,3x .(1)求函数f x 的最大值和最小值;(2)若实数a 满足20xfxa 恒成立,求a 的取值范围.20.(本小题满分12分)已知函数()sin() (0,0)f x x 的最小正周期为,其图象的一条对称轴是直线8x .(1)求,;(2)利用“五点法”画出函数)(x f y 在区间],0[上的图象.21. (本小题满分12分)已知(sin ,cos ),(sin ,sin )m a x x nx b x u rr,其中,,a b xR ,若()f x m n u r rg ,满足26f,且()f x 的图象关于直线6x对称.(1)求,a b的值;(2)若对任意的[0,]2x,都有2()log 2f x k,求实数k 的取值范围.22. (本小题满分12分) 已知函数2()(1)f x xx x a(1)若1a,解方程()1f x ;(2)若函数()f x 在R 上单调递增,求实数a 的取值范围;(3)若1a且不等式()23f x x 对一切实数xR 恒成立,求a 的取值范围.xy840382580 3478012 -1-2大庆铁人中学高一年级上学期期末考试数学试题一.选择题1.C2.B3.D4.A5.D6.C7.D8.B9.B 10.A 11.C 12.D二.填空题13. 5 14.2 15. 3 16. ①②④三.解答题17. 解析:(1)∵a∥b,∴θ=0°或180°,∴a·b=|a||b|cos θ=± 2. ……5分(2)∵a-b与a垂直,∴(a-b)·a=0,即|a|2-a·b=1-2cos θ=0,∴cos θ=2 2 .又0°≤θ≤180°,∴θ=45°. ……5分18.(1)30 44244sin45423272sin sin44525210……6分(2)340sin442445 333120cos4444133sin cos cos244312455651351365……12分19.(1)令2,1,8xt t246 y t tmin max486106432626y y ……6分(2)4426244262x x xxxxa a 即求44262xxx的最小值;442662422xxxxx单调递增,9a ……6分20.解:(1))(8x f yx是函数的图像的对称轴,,1)82sin(.,24Z k k.43,0=2 ………………4分(2)由知)432sin(xy8838587y22-1122………………8分故函数()y f x 在[0,]区间上图像是………………12分-1-3232112-1278345823848oyx21.2(1)()sin sin cos (1cos2)sin 222()2,638(0)()633(2)2,23(2)()1cos23sin 22sin(2)165[0,],226662sin(2)13,(6f x m na xb x x a b x xf a b x f f ba a bf x x xxx xxf u r rg Q 由得(1)由(1),(2)可得由(1)得即22maxmin2)[0,3]()log 2[0,]22()log 2()[0,]22()2,2()1,2log 11111[,].4242x f x k f x kf x f x f x k kkQ又在上恒成立,即在上恒成立,解得,即22. 【解析】(1)当1a时,有1,11,12)(2xx xx f 当1x 时,1122x,解得:1x 或1x当1x时,1)(x f 恒成立,∴方程的解集为1|{xx 或}1x.………………3分(2)axaxa a xa x a xx f ,)1(,)1(2)(2若)(x f 在R 上单调递增,则有141a aa ,解得31a ,………………7分(3)设)32()()(xx f x g ,则axax a a xa x a xx g 3)1(,3)3(2)(2即不等式0)(x g 对一切实数R x 恒成立,∴1a ,∴当a x时,)(x g 单调递减,其值域为),32(2a a,∴22)1(3222a a a,∴0)(x g 恒成立,当a x 时,∴1a ,∴43a a,∴08)3(3)43()(2m in a a a g x g ,得53a ,∴1a,∴13a ,综上:13a .………………12分。
黑龙江省大庆市东风中学2020-2021学年高一数学上学期期末考试试题一、选择题(本大题共12小题,共60.0分)1.已知集合,,若,则A. 1,B.C. 1,2,D.2.已知a,b,,那么下列命题中正确的是A. 若,则B. 若,则C. 若,且,则D. 若,且则3.函数的零点所在的区间为A. B. C. D.4.已知点在第二象限,则角的终边在A. 第一象限B. 第二象限C. 第三象限D. 第四象限5.设,则“”是“”的条件.A. 必要不充分B. 充分不必要C. 既不充分也不必要D. 充要6.设则A. B. C. D.7.已知扇形OAB的圆心角为4rad,面积为8,则该扇形的周长为A. 12B. 10C.D.8.函数且的图象恒过定点A,若点A在直线上,其中,,则mn的最大值为A. B. C. D.9.已知,则的值为A. B. 1 C. D.10.若,则A. B. C. D.11.已知函数在上单调递减,则a的取值范围为A. B. C. D.12.(不定项选择题)下列说法正确的是A. “”是“”的一个必要不充分条件;B. 若集合中只有一个元素,则或;C. 已知p:,则;D. 已知集合,则满足条件的集合N的个数为4。
二、填空题(本大题共4小题,共20.0分)13.函数则________.14.已知幂函数的图象经过点,则的值为___________.15.已知函数对任意不相等的实数,,都有,则a的取值范围为__________________.16.函数的值域是,单调递增区间是.三、解答题(本大题共6小题,共70.0分)17.(10分)已知角的顶角在坐标原点,始边与x轴的非负半轴重合,终边经过点.求,的值;求的值.18.(12分)已知二次函数满足,且.求函数的解析式;求函数在区间上的值域;19.(12分)已知函数.求函数的单调递增区间与对称轴方程;当时,求函数的最大值与最小值.20.(12分)已知函数,且.证明函数在上是增函数.求函数在区间上的最大值和最小值.21.(12分)已知函数.求函数的定义域,并判断函数的奇偶性;求使的x的取值范围.22.(12分)函数.解不等式;若方程有实数解,求实数m的取值范围.2020-2021学年度上学期期末教学质量检测高一数学答案一、选择题(每小题5分,共12个小题,共60分,12题多选)1. A2. A3. C4. C5. B6. D7. A8. D9. A10. B11. D12. AD二、填空题(13-15每小题5分,16题第一空3分,第二空2分,共20分)13. 2 14. 15. 16. ;三、解答题(本大题共6小题,共70.0分)17.(10分)解由三角函数定义知,;.18.(12分)解:由题设,即,由函数解析式为;由得根据二次函数的性质可知,开口向上,对称轴为,当当则值域为.19.(12分)解:,由,,可得,,函数的单调递增区间为,,由,,得,,的对称轴方程为,,,,,当,即时,的最小值为,当即时,的最大值为2.20.(12分)解:,所以,即,任取,,且,,,,,.,,在上为增函数.(2)在上单调递增,在上单调递减在上的最大值和最小值为,.21.(12分)解:要使函数且有意义,则,解得.故函数的定义域为,关于原点对称,又,所以,为奇函数.由,即,当时,原不等式等价为,解得当,原不等式等价为,解得又因为的定义域为,所以,当时,使的x的取值范围是当时,使的x的取值范围是22.(12分)解:即,,,,故不等式的解集为;有实数解,,,且,在上有解,即在上有解,设即在上有解,当时,,故实数m的取值范围:23.。
【最新】黑龙江大庆实验中学高一上期末数学试卷学校:___________姓名:___________班级:___________考号:___________一、单选题 1.已知集合,则集合( )A .B .C .D .2.根据表格内的数据,可以断定方程的一个根所在区间是( )A .B .C .D .3.若,则的大小关系是( )A 、B 、C 、D 、4.某工厂生产某种产品的月产量y 和月份x 满足关系0.5x y a b =+.现已知该厂1月份、2月份生产该产品分别为1万件、1.5万件.则此厂3月份该产品的产量为( )A .1.75万件B .1.7万件C .2万件D .1.8万件5.已知,且,则下列各式中正确的是( )A 、B 、x xc b x a x ln ln 2,)21(,ln ),1,0(===∈c b a ,,a b c >>b a c >>b c a >>c b a >>R y x ∈,2323x y y x--+>+0x y ->0x y +<C 、D 、 6.已知为锐角,,则的值是( )A 、B 、C 、D 、7.已知非零向量,且,则与的夹角是( ) A 、B 、C 、D 、8.已知函数给出函数的下列五个结论:(1)最小值为; (2)一个单调递增区间是; (3)其图像关于直线对称;(4)最小正周期为; (5)将其图像向左平移后所得的函数是偶函数. 其中正确结论的个数是( )A 、 4B 、3C 、2D 、1 9.将函数的图象向右平移个单位后得到函数的图象,若对满足的,有,则=( ) A .B .C .D .10.若,则( ) A 、1 B 、 C 、 D 、11.是内一点,的面积分别记为,已知,其中,则=( )0x y -<0x y +>A n A m A=-=+)cos 1lg(,)cos 11lg(A sin lg b ,a =)2(b a a +⊥a b 3π2π23π56π⎩⎨⎧<≥=xx x xx x x f cos sin ,cos cos sin ,sin )()(x f 22-)2,43(ππ-)(4Z k k x ∈+=πππ24π7tan 3tan πα=sin()75cos()14παπα-=-213141A .B .C .D . 12.已知函数,点为坐标原点,点,向量是向量与的夹角,则( )A .B .C .D .1二、填空题 13.设集合,则_________.14.若函数,则满足的的取值范围是____________.15.若函数满足:,则________.16.设定义域为上的单调函数,对于任意的,都有,则_____________.三、解答题 17.(1)若求; (2)若,求的值.18.已知点(1)求证:恒为锐角; (2)若四边形为菱形,求的值19.已知定义在上的奇函数.当时,.(1)试求的表达式(2)若对于上的每一个值,不等式恒成立,求实数的取值范围.20.已知函数)图象的一部分如图所示.5sin ,13α=-αtan 2tan =ααααcos sin 2sin 2+)1,1(-)(x f )0,1(-∈x xxx f -+=22)()(x f )1,0(∈x 14)(2-<⋅⋅xx x f t t )0,0)(6sin()(>>+=ωπωA x A x f(1)求函数的解析式; (2)设,求的值. 21.已知函数的定义域为,值域为(1)用含有的表达式表示的最大值,最小值(2)若设,当时,求的最小值. 22.函数(1)如果 时,有意义,确定的取值范围; (2)若值域为,求的值;(3)在(2)条件下,为定义域为的奇函数,且时,对任意的恒成立,求的取值范围.)(x f 56)3(,1310)23(],,2[,-=+=-∈πβπαππβαf f )cos(βα-13()log f x x =],[b a ],0[t t a b -)(t M )(t N )()()(t N t M t g -=21≤≤t ])()[()(k t g t g t h +=)(k h )124lg()(-+⋅=xxa x f )2,1(∈x )(x f a ,0≤a )(x f R a )(x g R 0>x .110)()(+=x f x g |)(|)()(],1,1[32x g x g tx x g t ≥+-∈x参考答案1.D 【解析】试题分析:由题可得,A 不对;,B 不对;,C 不对;,D 正确;故选D.考点:集合的运算 2.C 【解析】试题分析:构造函数,由上表可得,,,,所以方程的一个根所在区间为,故选C.考点:零点存在性定理 3.C 【解析】试题分析:因为,所以,,所以,故选C.考点:函数值的大小比较 4.A 【解析】由题设可得10.51.50.25a ba b=+⎧⎨=+⎩,解得a=﹣2,b=2,所以y=﹣2×0.5x +2, 将x=3代入解得,y=1.75 ,故选A .点睛:本题解答的关键是求出模型中的两个参数,由于给出了一月份和二月份的产量,所以采用待定系数法求参数,从而求出函数解析式,计算3月份的产量,待定系数法是已知函数类型求解析式的常用方法. 5. B()0,1x ∈ln 0a x =<ln ln 11,0212xx b c ⎛⎫=><=< ⎪⎝⎭b c a >>【解析】试题分析:若,因为指数在上单调递增,所以,两式 相加得,与题意相符,因此满足条件,故选B. 考点:指数的单调性 6.D 【解析】 试题分析:由题所以,故选D. 考点:对数的运算 7.C 【解析】试题分析:因为,所以,所以,,所以,故选C. 考点:向量的夹角 8.A 【解析】试题分析:如图实线即为的图像,,单调增区间为, 单调递减区间为, 0,x y x y y x +<∴<-<-2,3xxy y ==R 22,22x y y x --<<2323x y x x --+<+0x y +<()()221lg 1cos lg lg 1cos lg sin 2lg sin 1cos n m A A A A A ⎛⎫-=--=-== ⎪+⎝⎭()1lgsin 2A n m =-)2(b a a +⊥()2220a a b a a b ⋅+=+⋅=2cos 2a b a θ=-=12cos 23πθθ=-∴=()f x 52,2,2,22,424k k k k k Z ππππππππ⎡⎤⎡⎤++++∈⎢⎥⎢⎥⎣⎦⎣⎦52,2,2,2,424k k k k k Z πππππππ⎡⎤⎡⎤+++∈⎢⎥⎢⎥⎣⎦⎣⎦为周期函数,.①最小值为正确;②一个单调递增区间是,错误;③其图像关于对称,正确;最小正周期为,正确;将其图像向左平移后所得的函数是偶函数,正确.故选A. 考点:(1)三角函数的最值(2)正弦函数的对称性 9.B 【解析】试题分析:由题可得,由,所以,所以,又,故选B.考点:三角函数图像的平移 10. B 【解析】试题分析:,故选B.考点:三角恒等变换 11.C 【解析】 试题分析:延长到,使,连接,延长交的中点.,,又,所以,故选C.()()()max min 1,f x f x f x ==2T π=3,42ππ⎛⎫-⎪⎝⎭()4x k k Z ππ=+∈2π4πsin()sin cos cos sin sin cos cos sin777775cos()cos sin 14727πππππαααααππππααα---==⎛⎫⎛⎫-+-+ ⎪ ⎪⎝⎭⎝⎭sin cos cos sin tan tan 2tan177772sin coscos sintan tan4tan7777ππππαααππππααα--===++考点:向量加减运算及其几何意义【思路点睛】在利用平面向量基本定理解题时要注意三点⑴充分利用平面几何的一些结论,转化为相等向量、相反向量、共线向量及比例关系,建立已知向量与未知向量有直接关系的向量来解决问题;⑵注意几何条件的运用:如平行四边形的性质等;⑶此类问题直接转化困难时,可建立相关向量的方程求解.12.A【解析】试题分析:由题意可得是直线的倾斜角,,,故选A.考点:(1)三角恒等变换(2)裂项相消法求和【思路点睛】使用裂项相消法求和,要注意正项,负项相消时消去了哪些项,保留了哪些项;应注意到,由于数列中每一项均裂成一正一负两项,所以互为相反数的项合并为零后,所剩正数项与负数项的项数必是一样多,切不可漏写未被消去的项有前后对称的特点,即经过裂项后有“对称剩项”的特征.另外从实质上看,正,负项相消是裂项法的根源和目的. 13.【解析】试题分析:由题可得考点:集合的运算14.【解析】试题分析:.考点:不等式的解集 15.2 【解析】 试题分析:令,,所以周期为6;,令(舍去),.考点:抽象函数及其应用【思路点睛】解决抽象函数的求值问题,一般都要根据所给等式进行适当的赋值,而本题中要求的所对应的值很大,所以肯定具有周期性或者满足某个关系.赋值化简后发现其具有周期性且6为其一个周期,要求经过化简可得只需求即可,由于题设只给了的值,再进行适当的赋值即可求出所求的值. 16.6 【解析】 试题分析:令,令(舍去),.考点:函数的值【思路点睛】本题采用换元法进行求解,换元是通过引进新的变量,可以把分散的条件联系起来,隐含的条件显露出来,或者把条件与结论联系起来.或者变为熟悉的形式,把复杂的计算和推证简化.其中换元法在高中阶段又常用的是整体代数换元和三角换元两种,同学们在做题时要把握住采用的是哪一种,其中最常用的整体代数换元. 17.(1)或(2) 【解析】512512 85试题分析:(1)要求,需要知道,又,所以是第三或第四象限角,讨论可得的值,进而求出;(2)本题考查的是同角三角函数的基本关系,利用齐次式,把原式化简成只与已知有关的式子,代入即可求出其值.试题解析:(1) 若 第三象限角,则若 第四象限角,则(2) 考点:三角恒等变换【思路点睛】三角函数的求值问题常见的题型有:给式求值、给值求值、给值就角等,本题考查的是给值求值,给出某些角的三角函数式的值,求另外一些角的三角函数值,解题关键在于“变角”,使其角相同或者具有某种关系,解题的基本方法是①将待求式用已知三角函数表示;②将已知条件转化而推出结论,其中“凑角法”是解此类问题的常用技巧,解题时首先要分析已知条件和结论中各种角之间的互相关系,并根据这些关系来选择公式. 18.(1)证明见解析(2)2 【解析】试题分析:(1)只需证明且三点不在一条直线上即可;(2)利用菱形的定义可求得坐标,进而求出所求的值. 试题解析:(1)∵点∴∴.若A ,P ,B 三点在一条直线上,则,得到,此方程无解,∴∴∠APB 恒为锐角.(2)∵四边形ABPQ 为菱形,∴,即,化简得到解得设Q (a ,b ),∵,tan αsin ,cos αα5sin 13α=-αcos αtan α2tan =α,1cos sin ,135sin 22=+-=ααα ,169144cos 2=∴αα,125cos sin tan ,1312cos ==-=ααααα125cos sin tan ,1312cos -===αααα581tan tan 2tan cos sin cos sin 2sin cos sin 2sin 222222=++=++=+ααααααααααα∴,∴考点:平面向量数量积的运算 19.(1)(2)【解析】试题分析:(1)由是定义在上的奇函数可得时,,从而写出的表达式;(2)对于上的每一个值,不等式恒成立转化为对于上的每一个值,不等式恒成立,从而可得. 试题解析:(1)∵是定义在上的奇函数,∴设,则,则(2)由题意,可化为,令∴,故若对于上的每一个值,不等式恒成立,则考点:指数函数的综合题【思路点睛】本题采用换元法进行求解,换元是通过引进新的变量,可以把分散的条件联系起来,隐含的条件显露出来,或者把条件与结论联系起来。