对数函数换底公式
- 格式:ppt
- 大小:711.00 KB
- 文档页数:12
对数函数公式大全对数函数是高中数学中的重要内容,它在数学和物理等领域有着广泛的应用。
在本文中,我们将为大家详细介绍对数函数的相关公式,希望能够帮助大家更好地理解和掌握对数函数的知识。
一、对数函数的定义。
对数函数是指以某个正数为底数,另一个数为真数,求得的幂等于这个数的函数。
通常用log表示,其中底数为e时称为自然对数函数,用ln表示。
对数函数的定义域为正实数,值域为实数。
二、对数函数的基本性质。
1.对数函数的定义域为正实数,值域为实数。
2.对数函数的图像是一条曲线,其特点是经过点(1,0),且在x轴的正半轴上单调递增。
3.对数函数的反函数是指数函数,即y=loga(x)的反函数是x=a^y。
三、常见对数函数的公式。
1.常用对数函数的公式为y=logx,其中底数为10。
2.自然对数函数的公式为y=ln(x),其中底数为e。
3.对数函数的性质公式为logab=logac/logcb。
4.对数函数的换底公式为logab=lnb/lna。
四、对数函数的运算公式。
1.对数函数的加法公式为loga(mn)=logam+logan。
2.对数函数的减法公式为loga(m/n)=logam-logan。
3.对数函数的乘法公式为loga(m^n)=nlogam。
4.对数函数的除法公式为loga(m^n)=nlogam。
五、对数函数的应用。
对数函数在科学、工程、经济等领域有着广泛的应用。
其中,常见的应用包括:1.在物理学中,对数函数常用于描述震级、声音强度等。
2.在生物学中,对数函数常用于描述生长速率、种群增长等。
3.在经济学中,对数函数常用于描述复利计算、通货膨胀等。
4.在工程学中,对数函数常用于描述信号衰减、材料强度等。
六、对数函数的图像。
对数函数的图像特点是经过点(1,0),在x轴的正半轴上单调递增。
当底数大于1时,对数函数的图像在(0,1)处是递增的,当底数在0和1之间时,对数函数的图像在(0,1)处是递减的。
对数函数性质运算公式对数函数是数学中的一种特殊函数,它是指数函数的逆运算。
对数函数的性质和运算公式是我们学习和应用对数函数的基础。
一、对数函数的定义和性质1. 对数函数的定义:对于正数a和正数x,以a为底的对数函数定义为y=loga(x),其中a>0且a≠1,x>0。
2.对数函数的性质:a)对数函数的定义域是正实数集R+,值域是实数集R;b) 当x=1时,loga(1)=0,这是对数函数的一个特殊性质;c) loga(a)=1,这是对数函数的另一个特殊性质;d) 对于任意正实数a和正实数x,loga(a^x)=x,这是对数函数的重要性质。
二、对数函数的运算公式1.对数函数的换底公式:对于正实数a、b和正实数x,loga(x)=logb(x)/logb(a)。
这一公式可以用来在不同底数的对数之间进行换算。
2.对数函数的乘法公式:对于正实数a、b和正实数x、y,有loga(xy)=loga(x)+loga(y)。
这一公式表示对数函数可以将乘法运算转化为加法运算。
3.对数函数的除法公式:对于正实数a、b和正实数x、y,有loga(x/y)=loga(x)-loga(y)。
这一公式表示对数函数可以将除法运算转化为减法运算。
4.对数函数的幂函数公式:对于正实数a、b和正实数x,有loga(x^b)=b*loga(x)。
这一公式表示对数函数可以将幂函数运算转化为乘法运算。
5.对数函数的逆函数公式:对于正实数a、b和正实数x,有a^loga(x)=x。
这一公式表示对数函数和指数函数是互为逆函数。
三、应用举例1.求解对数方程:需要利用对数函数的性质和运算公式来求解对数方程,例如:log2(x+3)+log2(x-1)=3,可以先将乘法公式应用到方程中,然后解方程得到结果。
2.求解指数方程:对数函数和指数函数是互为逆函数,可以利用对数函数的性质和运算公式来求解指数方程,例如:2^x=5,可以将对数公式应用到方程中,然后解方程得到结果。
对数函数相加
对数函数相加log a (M·N)=log a M+log a N
比如:lg20=lg(4×5)=lg4+lg5
扩展
1.对数运算法则
如果a >0,且a ≠1,M >0,N >0,那么 :
(1)log a (MN )=log a M +log a N ;(2)log a M α=αlog a M ;
(3)log a M N =log a M -log a N .
2.换底公式
对数换底公式:log a b =log c b log c
a (a >0且a ≠1,
b >0,
c >0且c ≠1). 拓展:log am M n
=n m log a M (a >0且a ≠1,M >0,n ∈R ,m ≠0) 特别地:log a b ·log b a =1(a >0且a ≠1,b >0,且b ≠1).
(1)换底公式的意义就在于把对数式的底数改变,把不同底问题转化为同底问题.
如在化简求值过程中,出现不同底数的对数不能运用运算法则时,可统一化成以同一个底数的对数,再根据运算法则进行化简与求值.
(2)要注意换底公式的两个重要推论的应用,
①log a b =1log b
a ;②log am
b n =n m log a b ,其中a >0且a ≠1,b >0且b ≠1,
m,n∈R.。
对数目录对数的概念定义若a^n=b(a>0且a≠1)则n=log(a)(b)基本性质如果a>0,且a≠1,M>0,N>0,那么:1、a^log(a)(b)=b2、log(a)(a)=13、log(a)(MN)=log(a)(M)+log(a)(N);4、log(a)(M÷N)=log(a)(M)-log(a)(N);第5条的公式写法5、log(a)(M^n)=nlog(a)(M)6、log(a)[M^(1/n)]=log(a)(M)/n(注:下文^均为上标符号,例:a^1即为a)推导1、因为n=log(a)(b),代入则a^n=b,即a^(log(a)(b))=b。
2、因为a^b=a^b令t=a^b所以a^b=t,b=log(a)(t)=log(a)(a^b)令b=1,则1=log(a)(a)3、MN=M×N由基本性质1(换掉M和N)a^[log(a)(MN)] = a^[log(a)(M)]×a^[log(a)(N)] =(M)*(N) 由指数的性质a^[log(a)(MN)] = a^{[log(a)(M)] + [log(a)(N)]}两种方法只是性质不同,采用方法依实际情况而定又因为指数函数是单调函数,所以log(a)(MN) = log(a)(M) + log(a)(N)4、与(3)类似处理M/N=M÷N由基本性质1(换掉M和N)a^[log(a)(M÷N)] = a^[log(a)(M)]÷a^[log(a)(N)]由指数的性质a^[log(a)(M÷N)] = a^{[log(a)(M)] - [log(a)(N)]}又因为指数函数是单调函数,所以log(a)(M÷N) = log(a)(M) - log(a)(N)5、与(3)类似处理M^n=M^n由基本性质1(换掉M)a^[log(a)(M^n)] = {a^[log(a)(M)]}^n由指数的性质a^[log(a)(M^n)] = a^{[log(a)(M)]*n}又因为指数函数是单调函数,所以log(a)(M^n)=nlog(a)(M)基本性质4推广log(a^n)(b^m)=m/n*[log(a)(b)]推导如下:由换底公式(换底公式见下面)[lnx是log(e)(x),e称作自然对数的底]log(a^n)(b^m)=ln(b^m)÷ln(a^n)换底公式的推导:设e^x=b^m,e^y=a^n则log(a^n)(b^m)=log(e^y)(e^x)=x/yx=ln(b^m),y=ln(a^n)得:log(a^n)(b^m)=ln(b^m)÷ln(a^n)由基本性质4可得log(a^n)(b^m) = [m×ln(b)]÷[n×ln(a)] =(m÷n)×{[ln(b)]÷[ln(a)]}再由换底公式log(a^n)(b^m)=m÷n×[log(a)(b)]--------------------------------------------(性质及推导完)函数图象1.对数函数的图象都过(1,0)点.2.对于y=log(a)(n)函数,①,当0<a<1时,图象上函数显示为(0,+∞)单减.随着a 的增大,图象逐渐以(1,0)点为轴顺时针转动,但不超过X=1.②当a>1时,图象上显示函数为(0,+∞)单增,随着a的减小,图象逐渐以(1.0)点为轴逆时针转动,但不超过X=1.3.与其他函数与反函数之间图象关系相同,对数函数和指数函数的图象关于直线y=x对称.其他性质性质一:换底公式log(a)(N)=log(b){N}/log(b){a}推导如下:N = a^[log(a){N}]a = b^[log(b){a}]综合两式可得N = {b^[log(b){a}]}^[log(a){N}] = b^{[log(a){N}]*[log(b){a}]} 又因为N=b^[log(b){N}]所以 b^[log(b){N}] = b^{[log(a){N}]*[log(b){a}]}所以 log(b){N} = [log(a){N}]*[log(b){a}]...... [这步不明白或有疑问看上面的]所以log(a){N}=log(b){N} / log(b){a}公式二:log(a){b}=1/log(b){a}证明如下:由换底公式 log(a){b}=log(b){b}/log(b){a} ----取以b为底的对数log(a){b}=1 =1/log(b){a} 还可变形得: log(a){b}×log(b){a}=1 在实用上,常采用以10为底的对数,并将对数记号简写为lgb,称为常用对数,它适用于求十进制整数或小数的对数。
对数函数运算公式大全对数函数是数学中的一种重要函数。
它主要由幂函数的逆运算演变而来,可以描述幂函数的指数部分。
对数函数的定义如下:对于任意的正实数 a 和正实数 x,我们将 b 称为以 a 为底 x 的对数,记作 logₐ(x) = b,如果且仅如果 a^b = x。
在实际问题中,对数函数常被用于解决各种指数增长和指数衰减的问题。
我们先来看一下对数函数的基本特性。
1.对数函数的定义域是正实数集,即x∈(0,+∞)。
2.对数函数的值域是全部实数集,即y∈(-∞,+∞)。
3. 对数函数的图像是由直线 y = x 和平行于 x 轴的直线 y =logₐx 组成。
当a>1时,对数函数是增函数;当0<a<1时,对数函数是减函数。
4.对数函数的性质:(a) logₐ(xy) = logₐx + logₐy(b) logₐ(x/y) = logₐx - logₐy(c) logₐ(x^n) = nlogₐx(d) logₐ(1/x) = -logₐx(e) logₐ1 = 0(f) logₐa = 1(g) log₁₀x = loga(x)/loga(10)下面我们来看一些常见的对数函数运算公式。
1. 换底公式:logₐb = logc(b) / logc(a),其中 c 是任意的正实数。
2. 对数的乘法运算公式:logₐ(xy) = logₐx + logₐy3. 对数的除法运算公式:logₐ(x/y) = logₐx - logₐy4. 对数的幂运算公式:logₐ(x^n) = nlogₐx5. 对数的倒数运算公式:logₐ(1/x) = -logₐx6. 底数为 10 的对数与底数为 a 的对数的转换关系:log₁₀x = loga(x) / loga(10)7. 自然对数和常用对数的转换关系:logₑx = ln(x) / ln(ₑ10)8. 对数函数与指数函数的逆运算关系:a^logₐx = x有了以上的对数函数运算公式,在解决实际问题中,我们可以更方便地进行计算和分析。
对数的换底公式推导对数是求解一个数除以另一个数的倒数的次方,它是数学里一种重要的概念,也是许多数学公式中的基础概念,如果能正确理解对数的概念,将对之后其他数学公式和推导有很大的帮助。
二、对数的取值范围对数可以是大于0小于等于1(0不属于范围内)的正数,也可以是大于1的自然数,也可以是正、负数或0。
三、什么是对数的换底公式对数的换底公式是一种定义在大于0的实数上的特殊函数,它是以某一个定义域为基础,将对数函数换算成另一个定义域中的对数,从而使某一个实数关系变成换底关系。
四、对数的换底公式推导(1)两个底换算由于对数函数是定义在大于0的实数上的函数,而且它可以用任意基数表示,因此要把一个基数下的对数等式换算成另一个基数下的对数等式,可以用对数的换底公式来解决。
对数的换底公式的一般形式为:logaX=logbX/logbA其中,a,b是定义域,X是实数,等号两边均为同一个实数的不同基数的对数。
(2)三个底换算如果要从一个基数换算成另外两个基数的话,可以利用对数的换底公式:logcX=logaX/logaC其中,c,a,b均为定义域,X是实数,等号两边均为同一个实数的不同基数的对数。
五、对数的换底公式的应用(1)在求解复杂函数时,可以用对数的换底公式来简化计算;(2)在描述和分析能量、压力、温度等使用了对数函数时,可以用对数的换底公式来进行换算;(3)在分析流体动力学和气体统计学时,也可以用对数的换底公式来进行换算。
六、总结对数的换底公式是一种重要的换算公式,它能够把一个实数关系换算成另一个定义域中的对数,其应用范围很广,可以简化求解复杂函数时的计算,也可以用来换算能量、压力、温度等,甚至可以用来换算流体动力学和气体统计学上的定义等。
总之,对数的换底公式对于我们的数学学习和数学公式的推导具有重要的意义。
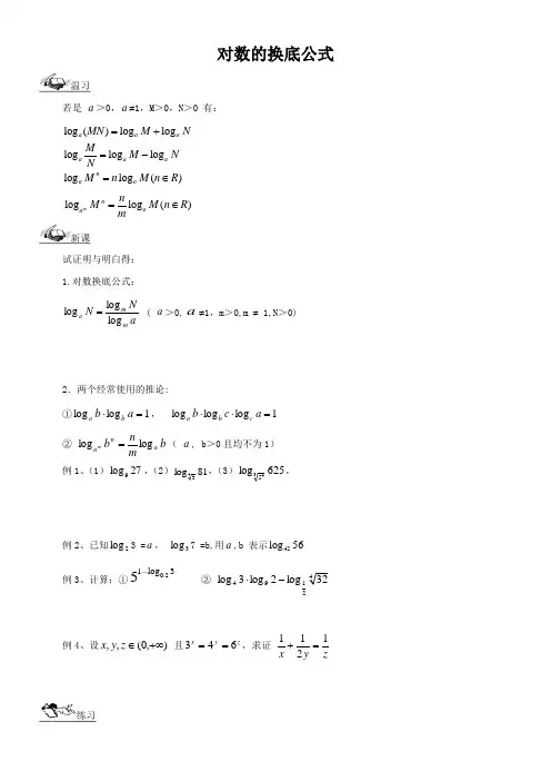
对数的换底公式温习若是 a >0,a ≠1,M >0,N >0 有:log ()log log log log log log log ()a a a a a a n a a MN M NM M NNM n M n R =+=-=∈log log ()m n a a nM M n R m=∈ 新课试证明与明白得: 1.对数换底公式:aNN m m a log log log =( a >0,a ≠1,m >0,m ≠ 1,N >0)2.两个经常使用的推论:①1log log =⋅a b b a , 1log log log =⋅⋅a c b c b a ② b mnb a na m log log =( a , b >0且均不为1) 例1、(1)27log 9,(2)81log 43,(3)625log 345,例2、已知2log 3 =a , 3log 7 =b,用a ,b 表示42log 56例3、计算:①0.21log 35 ② 4219432log 2log 3log -⋅例4、设),0(,,+∞∈z y x 且zyx643==,求证 zy x 1211=+练习①已知18log 9=a ,b18=5,用a ,b 表示36log 45②若8log 3=p,3log 5 =q, 求lg5作业1. 计算:421938432log )2log 2)(log 3log 3(log -++2.若 2log log 8log 4log 4843=⋅⋅m ,求m3.求值:12log 221033)2(lg 20log 5lg -++⋅4.求值:2lg 2)32(3log10)347(log 22++-++对数函数的图像与性质(第一课时)[互动进程1]温习:1.对数函数2y log x =的图像与性质,和与指数函数xy 2=的图像与性质之间的关系2.练习:画出下列函数的图像x x 121(1)y 2;(2)y log x;(3)y ();(4)y lg x 3====填表:对数函数a y log x(a 0,a 1)=>≠别离就其底数a 1>和0a 1<<这两种情形的图像和性质:例1.求下列函数的概念域:2a a (1)y log x ;(2)y log (4x)==-练习1:求下列函数的概念域1(1)y lg(x 5);(2)y ln3x=-=-例2.比较下列各题中两个数的大小:22(1)log 5.3,log 4.7; 0.20.2(2)log 7,log 93(3)log ,log 3;ππ a a (4)log 3.1,log 5.2(a 0,a 1)>≠练习2:比较下列各组数中两个值的大小:(1)4.32log _____5.82log (2)8.13.0log _____7.23.0log (3)1.5log a_____9.5log a (a >0,且a ≠1)课堂补充练习:1.求下列函数的概念域:(1))1(log 3x y -= (2)x y 3log = (3)xy 311log 7-= (4)x y 2log 1=2.比较大小.4log 5log )3(01.0log 31log )2(log 3log )1(5321.05.05.0和和和π。
对数函数运算公式对数函数是高中数学中的一个重要概念,它在数学和科学运算中都有广泛的应用。
对数函数有着丰富的性质和运算规则,下面将介绍对数函数的运算公式。
1.对数函数的定义:对数函数是指关于求对数的函数,一般表示为y = logₐx,其中a是底数,x是真数,y是对数。
对数函数的定义域是x > 0,值域是实数集。
2.对数的含义:对数的含义是指一个数相对于一个给定底数的幂次。
对数函数的运算公式是以底数为底的指数函数的反函数。
即x = a^y,y = logₐx。
3.基本对数函数的性质和运算规则:- logₐa = 1:任何数以自己为底的对数都等于1- logₐ1 = 0:任何底数为自然数的对数都等于0。
- logₐaⁿ = n:任何底数为幂的对数等于指数。
- logₐxy = logₐx + logₐy:两个数的乘积的对数等于它们的对数之和。
- logₐ(x/y) = logₐx - logₐy:两个数的商的对数等于它们的对数之差。
- logₐxⁿ = nlogₐx:一个数的幂的对数等于幂次与对数的乘积。
- logₐa = 1/logₐa:对数函数的互逆性,任何数以底数为底的对数等于指数函数的互逆。
4.对数函数的换底公式:换底公式是指当给定一个对数的底不是我们所熟悉的常用底数,需要将其换成我们所熟悉的底数的公式。
换底公式如下:logₐx = logᵦx / logᵦa其中,a,b,x为正实数,且a≠1,b≠15.对数函数与指数函数的关系:对数函数和指数函数是互为反函数的关系,即对数函数是指数函数的反函数,反之亦然。
对数函数可以用来求解指数方程,而指数函数可以通过对数函数求解指数方程的解。
6.常用对数函数:在实际应用中,常用的对数函数是以10为底的常用对数函数(log₁₀x),以及以自然对数e为底的自然对数函数(lnx)。
常用的对数函数主要用于科学计算、对数缩尺、音量、酸碱度等方面。
总结起来,对数函数的运算公式包括对数函数的性质和运算规则、换底公式、对数函数与指数函数的关系等。
强化专题一 换底公式【题型目录】一、换底公式的正用二、换底公式的逆用 三、换底公式的基本变形一:log a b =1log b a四、换底公式的基本变形二:log n m a b =m nlog a b 五、解对数方程六、证明对数恒等式【例题详解】一、换底公式的正用1.已知2log 3a =,则下列能化简为12a a 的是( ) A .8log 3B .18log 3C .18log 6D .12log 3 【答案】B【分析】由对数运算法则和换底公式依次化简各个选项即可. 【详解】对于A ,382211log 3log 3log 333a ===,A 错误; 对于B ,222182222log 3log 3log 3log 3log 18log 22log 312log 312a a====+++,B 正确; 对于C ,2222182222log 6log 2log 31log 31log 6log 18log 22log 312log 312a a +++====+++,C 错误; 对于D ,222122222log 3log 3log 3log 3log 122log 2log 32log 32a a====+++,D 错误. 故选:B.2.()()2839log 3log 3log 2log 2-+=______.(用数字作答)【答案】1【分析】利用对数换底公式及性质计算作答.【详解】()()3228392323log 2log 3log 3log 3log 2log 2(log 3)(log 2)log 8log 9-+=-+ 2233231123(log 3log 3)(log 2log 2)log 3log 213232=-+=⨯=. 故答案为:13.若log 86x =,则2log x =___________.【答案】12 【分析】利用换底公式及对数的运算法则计算可得.【详解】解:因为log 86x =,所以22log 86log x =,即223log 26log x =,即236log x =, 所以21log 2x =; 故答案为:124.计算:ln 259elog 3log 25-等于___________. 【答案】1【分析】由对数的定义、对数的换底公式计算. 【详解】ln259ln32ln5e log 3log 252211ln52ln3-=-⋅=-=. 故答案为:1.二、换底公式的逆用1.计算:log 52×log 727log 513×log 74=________. 【答案】-34【详解】原式=log 52log 513×log 727log 74 =13log 2log 427=lg 2lg 13×lg 27lg 4 =12lg 2-lg 3×3lg 32lg 2=-34.200.557357log 2log 93(2)(0.01)15log log 43-⋅-⋅= ________ 【答案】212- 【分析】根据对数函数换底公式及运算法则,指数运算法则进行计算.【详解】()00.557233573212log 2log 92log 5log 7320.011101125log log 43log 53log 7-⋅⋅⎛⎫+-=+- ⎪⎝⎭⋅-⋅ 32323log 5log 7132199log 5log 7222⋅⎛⎫⋅--=--=- ⎪⋅⎝⎭故答案为:212-三、换底公式的基本变形一:log a b =1log b a 1.若43m =,则3log 12=( )A .1m m +B .21m m +C .2m m +D .212m m+ 【答案】A【分析】指数式化为对数式,进而利用换底公式及对数运算公式进行求解.【详解】由43m =得:4log 3m =,则334111log 121log 411log 3m m m+=+=+=+= 故选:A2.已知182,1.52x y ==,则x y-=______; 【答案】3【分析】由指对数关系可得1832log 2,log 2x y ==,再应用对数的运算性质化简求目标式的值. 【详解】由题设,1832log 2,log 2x y ==, 则2221832121234log 182log log (18)3log 2log 229x y -=-=-=⨯=. 故答案为:33.已知35a b A ==,则122a b+=,则A 等于__________. 【答案】53【分析】将指数式化为对数式,然后利用对数运算,化简求得A 的值.【详解】∵35a b A ==,∴3log a A =,5log ,0=>b A A .∴1log 3=A a ,1log 5=A b. 又∵122a b+=,log 32log 52log 3log 522∴+=⇒+=A A A A ,即log 752=A ,∴275=A ,053>∴=A A .故答案为:53四、换底公式的基本变形二:log n m a b =m nlog a b 1.化简4839(2log 3log 3)(log 2log 2)=++____________【答案】2【分析】结合log log m n a a n b b m=、换底公式化简计算即可 【详解】原式2233111(2log 3log 3)(log 2log 2)232=⨯++ 2343log 3log 2232=⨯=. 故答案为:2.2.已知log 1627=a ,则log 916=________.【答案】32a【详解】∵log 1627=a ,∴432log 3=a ,∴34log 23=a ,∴log 23=43a , ∴log 916=243log 2=42log 32=2log 32=2·1log 23=2×34a =32a.五、解对数方程1.方程222log log 1x x +=的解为x =___________.32【分析】利用对数的运算性质有32log 1x =,进而求解即可.【详解】由22223log log log 1x x x ==+且0x >,则3x 2=,故3x 2=.故答案为:322.方程()233log 12log (1)x x -=+-的解为x =___________.【答案】8【分析】由对数运算法则化方程为233log (1)log [9(1)]x x -=-.再根据对数函数的性质求解.【详解】由()233log 12log (1)x x -=+-得233log (1)log [9(1)]x x -=-,所以219(1)10x x x ⎧-=-⎨->⎩,解得8x =. 故答案为:8.3.求下列各式中x 的值:(1)()3log lg 1=x ;(2)()345log log log 0x =⎡⎤⎣⎦.【答案】(1)1000x =;(2)625x =【分析】(1)结合对数运算求得x 的值.(2)结合对数运算求得x 的值.【详解】(1)()3log lg 1=x ,3lg 3,101000x x ===. (2)()345log log log 0x =⎡⎤⎣⎦,()4455log log 1,log 4,5625x x x ====.4.解方程:(1)2555log log 1x x x+=. (2)()1331log 31log 323x x -⎛⎫-⋅-= ⎪⎝⎭ 【答案】(1)5x =或1或125;(2)3log 10x =或34log 3x = 【分析】(1)利用换底公式将原方程化为55551log (1log )(1log )1log x x x x -=-++,然后移项通分即可解得方程的根. (2)由()1331log 31log 323x x -⎛⎫-⋅-= ⎪⎝⎭,可得()()33log 31log 3112x x ⎡⎤-⋅--=⎣⎦,令()3log 31x t =-,化为220t t --=,解得t 从而求出x .【详解】(1)因为555555log 51log log log 51log x x x x x x -==+,所以原方程可化为55551log (1log )(1log )1log x x x x -=-++, 即5551(1log )(1log )01log x x x -+-=+,2555(1log )1(1log )01log x x x+--=+, 所以5log 1x =或51log 1x +=±,解得5x =或1或125.(2)()1331log 31log 323x x -⎛⎫-⋅-= ⎪⎝⎭,()()133log 31log 3312x x -⎡⎤∴-⋅-=⎣⎦,()()1333log 31log 31log 32x x -⎡⎤∴-⋅-+=⎣⎦, ()()33log 31log 3112x x ⎡⎤∴-⋅--=⎣⎦,令()3log 31x t =-,化为220t t --=解得2t =或1t =-,所以()3log 312x -=或()3log 311x -=-,解得3log 10x =或34log 3x =. 六、证明对数恒等式1.利用换底公式证明:log log log 1a b c b c a ⋅⋅=.【答案】证明见解析【分析】将已知条件中的对数都转化为以10为底的对数,然后通过约分证得结论.【详解】证明:lg lg lg log log log 1lg lg lg b a c b c a b c a a b c⋅⋅=⋅⋅= 即log log log 1a b c b c a ⋅⋅= 2.设==a b c x y z ,且111a b c+=,求证:z xy = 【答案】证明见解析.【分析】首先设===a b c x y z k ,得到log =x a k ,log =y b k ,log =z c k ,根据111a b c+=得到111log log log +=x y z k k k ,再利用换底公式即可证明.【详解】设===a b c x y z k ,0k >,则log =x a k ,log =y b k ,log =z c k .因为111a b c+=,所以111log log log +=x y z k k k , 即log log log +=k k k x y z .所以()log log =k k xy z ,即z xy =.【点睛】本题主要考查对数的换底公式,同时考查指数、对数的互化公式,属于简单题.。
对数函数的运算法则及公式对数函数是数学中常见的一种函数类型,它在许多领域中都有着重要的应用。
本文将介绍对数函数的运算法则及公式,以及其在实际问题中的应用。
一、对数函数的定义对数函数是指以某个正数为底数的幂函数的反函数,即函数f(x) = loga(x),其中a为正数且a≠1,x为正实数。
对数函数的定义域为正实数集合,值域为实数集合。
二、对数函数的运算法则1. 对数函数的乘法法则loga(MN) = logaM + logaN这个法则表明,两个数的乘积的对数等于这两个数的对数之和。
例如,log10(1000) = log10(10×10×10) = log1010 + log1010 + log1010 = 3。
2. 对数函数的除法法则loga(M/N) = logaM - logaN这个法则表明,两个数的商的对数等于这两个数的对数之差。
例如,log10(100/10) = log10(100) - log10(10) = 2 - 1 = 1。
3. 对数函数的幂次法则loga(Mp) = plogaM这个法则表明,一个数的幂的对数等于该数的对数乘以这个幂。
例如,log10(1000²) = 2log101000 = 6。
4. 对数函数的换底公式logaM = logbM / logba这个公式表明,一个数在不同底数下的对数之间存在一个比例关系。
例如,log10(1000) = log2(1000) / log210 = 3log22/ log210 = 3/ log210。
三、对数函数的公式1. 常用对数函数常用对数函数是以10为底数的对数函数,记作log(x)。
它的定义域为正实数集合,值域为实数集合。
2. 自然对数函数自然对数函数是以e为底数的对数函数,记作ln(x)。
它的定义域为正实数集合,值域为实数集合。
3. 对数函数的反函数对数函数的反函数是指底数为a的指数函数,记作f(x) = a^x。
对数函数的运算公式对数函数是数论中的重要概念,它描述了一个数在一些底数下所对应的指数。
在解决复杂数学问题时,对数函数的运算公式是必不可少的。
本文将介绍基本的对数函数运算公式,并以实际问题为例,进一步说明如何运用这些公式。
一、定义与性质如果 a^x = b,那么 x = log_a(b)其中a为底数,x为指数,b为对数的真数。
1.对数函数的定义域是正实数集,值域是实数集;2. 对于 a > 1,log_a(x) 是递增函数;对于 0 < a < 1,log_a(x) 是递减函数;3. 对于 a > 1,log_a(a) = 1;对于 0 < a < 1,log_a(a) = 1二、基本运算公式1.换底公式:log_b(x) = log_a(x) / log_a(b)其中a,b为底数,x为对数的真数。
换底公式是对数函数中应用最广泛的公式之一,它在计算对数时可以选择任意底数,通常选择底数为10(常用对数)或底数为e(自然对数)进行计算。
2.对数相等的性质:如果 log_a(b) = log_c(b),则 a = c。
这个性质说明了对数函数在底数相等的情况下,当两个对数的真数相等时,它们的底数一定相等。
3.对数乘法公式:log_a(b * c) = log_a(b) + log_a(c)其中a为底数,b,c为对数的真数。
对数乘法公式表示,对数函数在真数相乘时,对数相加。
4.对数除法公式:log_a(b / c) = log_a(b) - log_a(c)其中a为底数,b,c为对数的真数。
对数除法公式表示,对数函数在真数相除时,对数相减。
5.对数的幂运算公式:log_a(b^c) = c * log_a(b)其中a为底数,b为对数的真数,c为幂数。
对数的幂运算公式表示,对数函数在真数进行幂运算时,对数乘以幂数。
6.指数函数与对数函数的关系:a^log_a(b) = b其中a为底数,b为对数的真数。
对数函数的基本性质与公式对数函数是数学中一种重要的函数形式,其基本性质和公式在解决各种问题中具有广泛应用。
本文将介绍对数函数的基本性质和常见的公式,帮助读者更好地理解和应用对数函数。
一、对数函数的定义和性质对数函数的定义如下:对于任意给定的正实数a(a>0且a≠1)和正实数x(x>0),以a为底的对数函数y=loga(x)表示满足a^y=x的实数y。
其中,a称为底数,x称为真数,y为对数。
对数函数具有以下基本性质:1. 对于任意正实数a和b,以a为底的对数函数和以b为底的对数函数是等价的,即loga(x)=ln(x)/ln(a)(其中ln(x)表示以自然数e为底的对数函数)。
2. 对于任意正实数a,a^loga(x)=x。
3. 对于任意正实数a和b,loga(b)×logb(a)=1。
4. 对于任意正实数a、b和c,loga(b×c)=loga(b)+loga(c)。
二、常见对数函数公式1. 换底公式:loga(b)=logc(b)/logc(a),其中a、b、c为任意正实数。
2. 对数乘方公式:a^loga(x)=x,其中a为正实数,x为正实数且x≠0。
3. 对数运算公式:loga(b×c)=loga(b)+loga(c),其中a为正实数,b、c为正实数且b≠0,c≠0。
4. 对数倒数公式:loga(1/b)=-loga(b),其中a为正实数,b为正实数且b≠0。
5. 对数除法公式:loga(b/c)=loga(b)-loga(c),其中a为正实数,b、c 为正实数且b≠0,c≠0。
6. 对数幂公式:loga(b^n)=n×loga(b),其中a为正实数,b为正实数且b≠0,n为任意实数。
三、对数函数在实际问题中的应用对数函数的公式和性质在各个领域中有着广泛的应用。
以下是一些实际应用的例子:1. 在金融领域,对数函数的性质被用于计算复利问题,如投资收益率和贷款利率的计算。
对数的换底公式复习如果 a >0,a ≠1,M >0,N >0 有:log ()log log log log log log log ()a a a a a a n a a MN M NM M NNM n M n R =+=-=∈log log ()m n a a nM M n R m=∈ 新课试证明与理解: 1.对数换底公式:aNN m m a log log log =( a >0,a ≠1,m >0,m ≠ 1,N >0)2.两个常用的推论:①1log log =⋅a b b a , 1log log log =⋅⋅a c b c b a ② b mnb a na m log log =( a , b >0且均不为1) 例1、(1)27log 9,(2)81log 43,(3)625log 345,例2、已知2log 3 =a , 3log 7 =b,用a ,b 表示42log 56例3、计算:①0.21log 35 ② 4219432log 2log 3log -⋅例4、设),0(,,+∞∈z y x 且zyx643==,求证 zy x 1211=+练习①已知18log 9=a ,b18=5,用a ,b 表示36log 45②若8log 3=p,3log 5 =q, 求lg5作业1. 计算:421938432log )2log 2)(log 3log 3(log -++2.若 2log log 8log 4log 4843=⋅⋅m ,求m3.求值:12log 221033)2(lg 20log 5lg -++⋅4.求值:2lg 2)32(3log10)347(log 22++-++对数函数的图像与性质(第一课时)[互动过程1]复习:1.对数函数2y log x =的图像与性质,以及与指数函数xy 2=的图像与性质之间的关系2.练习:画出下列函数的图像x x 121(1)y 2;(2)y log x;(3)y ();(4)y lg x 3====填表:对数函数a y log x(a 0,a 1)=>≠分别就其底数a 1>和0a 1<<这两种情况的图像和性质:例1.求下列函数的定义域:2a a (1)y log x ;(2)y log (4x)==-练习1:求下列函数的定义域1(1)y lg(x 5);(2)y ln3x=-=-例2.比较下列各题中两个数的大小:22(1)log 5.3,log 4.7; 0.20.2(2)log 7,log 93(3)log ,log 3;ππ a a (4)log 3.1,log 5.2(a 0,a 1)>≠练习2:比较下列各组数中两个值的大小:(1)4.32log _____5.82log (2)8.13.0log _____7.23.0log (3)1.5log a_____9.5log a (a >0,且a ≠1)课堂补充练习:1.求下列函数的定义域:(1))1(log 3x y -= (2)x y 3log = (3)xy 311log 7-= (4)x y 2log 1=2.比较大小.4log 5log )3(01.0log 31log )2(log 3log )1(5321.05.05.0和和和π。
log与ln转换公式
从数学上讲,ln和log这两个函数都是有关对数函数,它们是相关联的。
它们之间可以通过转换公式来进行转换。
转换公式就是:
loga(x)=ln(x)/ln(a)。
其中,ln代表的是以自然对数e为底数的对数函数,也称自然对数;而loga代表的是以a为底数的对数函数,也叫一般对数。
通过转换公式可以很容易地将ln(x)和loga(x)之间的关系表示出来,也即将以自然对数e为底数的ln(x)转换为以a为底数的loga(x)。
当a=10时,ln(x)/ln(10)=log10(x),也就是说,当底数a取10时,以自然对数e为底数的ln(x)就可以转换为以10为底数的log10(x)。
由于当底数为自然对数e时,一般对数loga(x)就可以省略a,即
log(x)=ln(x),所以可以省略掉a的标志,也就是说将ln(x)变成
log(x),这就是ln(x)和log(x)之间的转换关系。
从上面可以看出,ln和log之间的转换是非常简单的,只需要使用转换公式即可,一般情况下,ln(x)/ln(a)=loga(x),当a=10时,
ln(x)/ln(10)=log10(x),当底数a=e时,可以省略a,即
ln(x)=log(x)。