2017中国石油大学《概率论与数理统计》第2阶段在线作业
- 格式:docx
- 大小:125.09 KB
- 文档页数:5
概率论与数理统计阶段练习2参考答案《概率论与数理统计》阶段练习2参考答案1、一报童卖报, 每份0.15元,其成本为0.10元. 报馆每天给报童1000份报, 并规定他不得把卖不出的报纸退回. 设X 为报童每天卖出的报纸份数, 试将报童赔钱这一事件用随机变量的表达式表示.2、设随机变量X 的概率分布为:0,,2,1,0,!}{>===λλ k k a K X P k.试确定常数a .解依据概率分布的性质:,1}{0}{==≥=∑kk X P k X P 欲使上述函数为概率分布应有,0≥a,1!0==∑∞=k kae K a λλ 从中解得.λ-=e a注: 这里用到了常见的幂级数展开式.!0∑∞==k kK e λλ3、X 具有离散均匀分布, 即,,,2,1,/1)(n i n x X P i ===求X 的分布函数.解将X 所取的n 个值按从小到大的顺序排列为)()2()1(n x x x ≤≤≤则)1(x x <时,,0}{)(=≤=x X P x F)2()1(x x x <≤时,,/1}{)(n x X P x F =≤= )3()2(x x x <≤时,,/2}{)(n x X P x F =≤= ……)1()(+<≤k k x x x 时,,/}{)(n k x X P x F =≤= )(n x x ≥时,1}{)(=≤=x X P x F故 )(x F<=≥<),,m a x (,1),,2,1(),,m i n (,/),,m i n (,0111n j n n x x x x k n j x x x x n k x x x 当个不大于中恰好有且当当4、设随机变量X 的概率分布为4/12/14/1421i p X -,求X 的的分布函数,并求{},2/1≤X P {},2/52/3≤<="" {}.32≤≤x="">5、设随机变量X 的密度函数为≤≤--=其它,011,12)(2x x x f π求其分布函数)(x F . 解∞-=≤=xdt t f x X P x F )(}{)(当,1-<="" f="" p="" 当,11≤≤-x="">--∞--+=xdt t dt x F 121120)(π21arcsin 112++-=x x xππ当,1>x ,1)(=x F 故>≤≤-++--<=.1,111,21 arcsin 111,0)(2x x x x x x x F ππ6、设随机变量X 具有概率密度≤≤-<≤=.,0,43,22,30,)(其它x x x kx x f}.2/71{)3();()2(;)1(≤<="" 解="">+∞∞-=,1)(dx x f 得,122433=??-+dx x kxdx 解得,6/1=k 于是X 的概率密度为., 043,2230,6)(≤≤-<≤=其它x x x xx f(2) X 的分布函数为)(x F≥<≤??? ??-+<≤<=??4,143,22630,60,03030x x dt t dt tx dt t x x x .4,143,4/2330,12/0,022??≥<≤-+-<≤<=x x x x x x x (3) ?=≤<2/71)(}2/71{dx x f X P ?-+=2/73312261dx x xdx 2/73231242121-+=x x x ,4841= 或)1()2/7(}2/71{F F X P -=≤<.48/41=7、设某项竞赛成绩N X ~(65, 100),若按参赛人数的10%发奖,问获奖分数线应定为多少?解设获奖分数线为,0x 则求使1.0}{0=≥x X P 成立的.0x)(1}{1}{000x F x X P x X P -=<-=≥,1.0106510=??-Φ-=x即,9.010650=??-Φx 查表得,29.110650=-x 解得,9.770=x 故分数线可定为78分.8、在电源电压不超过200伏,在200~240伏和超过240伏三种情形下,某种电子元件损坏的概率分别为0.1,0.001和0.2. 假设电源电压X 服从正态分布N (220,252),试求:(1) 该电子元件损坏的概率α;(2) 该电子元件损坏时,电源电压在200~240伏的概率β.解引入事件=1A {电压不超过200 伏},=2A {电压不超过200~240 伏},=3A {电压超过240伏};=B {电子元件损坏}.由条件知),25,220(~2N X 因此-≤-=≤=2522020025220}200{)(1X P X P A P ;212.0)8.0(1)8.0(=Φ-=-Φ=}240200{)(2≤≤=X P A P ?≤-≤-=8.0252208.0X P .576.01)8.0(2=-Φ= }240{1}240{)(3≤-=>=X P X P A P .212.0)8.0(1=Φ-=(1) 由题设条件,,1.0)|(1=A B P ,001.0)|(2=A B P 2.0)|(3=A B P于是由全概率公式, 有.0642.0)|()()(31===∑=i iiA B P A P B P α(2) 由贝叶斯公式, 有.009.0)()|()()|(222≈==B P A B P A P B A P β9、已知某台机器生产的螺栓长度X (单位:厘米)服从参数,05.10=μ06.0=σ的正态分布. 规定螺栓长度在12.005.10±内为合格品, 试求螺栓为合格品的概率.解根据假设),06.0,05.10(~2N X记,12.005.10-=a ,12.005.10+=b 则}{b X a ≤≤表示螺栓为合格品. 于是}{b X a P ≤≤??-Φ-??? ??-Φ=σμσμa b )2()2(-Φ-Φ=)]2(1[)2(Φ--Φ=1)2(2-Φ=19772.02-?=.9544.0=即螺栓为合格品的概率等于0.9544. 10.已知)5.0,8(~2N X ,求(1) );7(),9(F F (2) }105.7{≤≤X P ;(3) };1|8{|≤-X P(4) }.5.0|9{|<-X P11.某种型号电池的寿命X 近似服从正态分布),(2σμN , 已知其寿命在250小时以上的概率和寿命不超过350小时的概率均为92.36%, 为使其寿命在x -μ和x +μ之间的概率不小于0.9, x 至少为多少?12、设)1,0(~N X , 求2X Y =的密度函数. 解记Y 的分布函数为),(x F Y 则}.{}{)(2x X P x Y P x F Y ≤=≤=显然, 当0<="" 时,;0}{)(2="≤=x">当0≥x 时, }{)(2x X P x F Y ≤=.1)(2}{-Φ=<<-=x x X x P从而2X Y =的分布函数为??<≥-Φ=0,00,1)(2)(x x x x F Y于是其密度函数为<≥='=0,00),(1)()(x x x x x F x f Y Y ?.0,00,212/??<≥=-x x e x x π注: 以上述函数为密度函数的随机变量称为服从)1(2χ分布, 它是一类更广泛的分布)(2n χ在1=n 时的特例. 关于)(2n χ分布的细节将在第五章中给出.13、设随机变量X 服从参数为λ的指数分布, 求 }2,m in{X Y = 的分布函数.解根据已知结果, X 的分布函数≤>-=-0,00,1)(x x e x F x X λ Y 的分布函数}}2,{m in{}{)(y X P y Y P y F Y ≤=≤=}}2,{m in{1y X P >-=}.2,{1y y X P >>-=当2-= 当2≥y 时,.1)(=y F Y代入X 的分布函数中可得.2,120,10,0)(??≥<<-≤=-y y e y y F y Y λ注:在本例中, 虽然X 是连续型随机变量, 但Y 不是连续型随机变量, 也不是离散型随机变量, Y 的分布在2=y 处间断.14、设随机变量X 在)1,0(上服从均匀分布, 求X Y ln 2-=的概率密度. 解在区间 (0,1) 上, 函数,0ln -=x y 02<-='xy 于是y 在区间),0(+∞上单调下降, 有反函数2/)(y e y h x -==从而 ??<<=---其它,010,)()()(2/2/2/y y y X Y e dye d ef y f 已知X 在在(0,1)上服从均匀分布,<<=其它,010,1)(x x f X 代入)(y f Y 的表达式中, 得>=-其它, 00,21)(2/y e y f y X即Y 服从参数为1/2的指数分布.15. 设X 的分布列为10/310/110/110/15/12/52101i p X -试求: (1) 2X 的分布律; (2) 2X 的分布律.16. 设随机变量X 的概率密度为<<=.,0,0,/2)(2其它ππx x x f 求X Y sin =的概率密度.。
201710概率论与数理统计(二)第1页/共3页共128条记录 1一、单选题•1、下列叙述中错误的是【】A.联合分布决定边缘分布B.边缘分布不能决定联合分布C.两个随机变量各自的联合分布不同,但边缘分布可能相同D.边缘分布之积即为联合分布参考答案:D•2、袋中有5个白球和3个黑球,从中任取两个,则取到的两个球是白球的概率是【】参考答案:A•3、下列关于“统计量”的描述中,不正确的是【】A.统计量为随机变量 B. 统计量是样本的函数C. 统计量表达式中不含有参数D. 估计量是统计量参考答案:C•4、参考答案:C•5、参考答案:B•6、参考答案:C•7、A.“甲种产品滞销,乙种产品畅销”B.“甲乙两种产品都畅销”C.“甲种产品畅销,乙种产品滞销”D.“甲乙两种产品都滞销”参考答案:B•8、参考答案:A•9、参考答案:C•10、A.0.004B.0.04C.0.4D.4参考答案:C•11、A.独立但分布不同B.分布相同但不相互独立C.不能确定D.独立同分布参考答案:D•12、A.AB.BC.CD.D参考答案:C•13、A.标准正态分布B.二项分布C.指数分布D.均匀分布参考答案:A•14、A.AB.BC.CD.D参考答案:D•15、A.AB.BC.CD.D参考答案:C•16、A.AB.BC.CD.D参考答案:C•17、A.0.004B.0.04C.0.4D.4参考答案:C•18、A.置信度越大,对参数取值范围估计越准确B.置信度越大,置信区间越长C.置信度越大,置信区间越短D.置信度大小与置信区间的长度无关参考答案:B•19、【】参考答案:C•20、【】A.3B.6C.10D.12参考答案:A•21、【】A.AB.BC.CD.D参考答案:C•22、【】A.AB.BC.CD.D参考答案:A•23、【】A.0.72B.0.98C.0.85D.1参考答案:B•24、【】A.AB.BC.CD.D参考答案:D•25、【】A.AB.BC.CD.D参考答案:A•26、【】A.AB.BC.CD.D参考答案:D•27、【】A.0.6B.0.2C.0.5D.0.3参考答案:B•28、【】A.0B.0.5C.1D.0.2参考答案:C•29、A.AB.BC.CD.D参考答案:A•30、A.0.32B.5C.1.6D.6参考答案:A•31、A.0.027B.0.189C.0.441D.0.343参考答案:B•32、A.AB.BC.CD.D参考答案:B•33、A.AB.BC.CD.D参考答案:A•34、A.AB.BC.CD.D参考答案:B•35、A.0B.0.5C.1D.0.2参考答案:B•36、A.AB.BC.CD.D参考答案:A•37、A.AB.BC.CD.D参考答案:C•38、A.AB.BC.CD.D参考答案:B•39、A.AB.BC.CD.D参考答案:C•40、A.0.06B.0.3C.0.5D.0.2参考答案:A•41、A.AB.BC.CD.D参考答案:D•42、A.AB.BC.CD.D参考答案:B•43、A.AB.BC.CD.D参考答案:A•44、A.AB.BC.CD.D参考答案:C•45、A.AB.BC.CD.D参考答案:D•46、参考答案:A •47、参考答案:B •48、参考答案:C •49、A.AB.BC.CD.D参考答案:B•50、A.0B.0.25C.0.5D.1参考答案:B一、单选题•1、A.0B.0.5C.1D.0.2参考答案:B•2、A.AB.BC.CD.D参考答案:A•3、A.AB.BC.CD.D参考答案:B二、填空题•4、我们通常所说的样本称为简单随机样本,它具有的两个特点是。
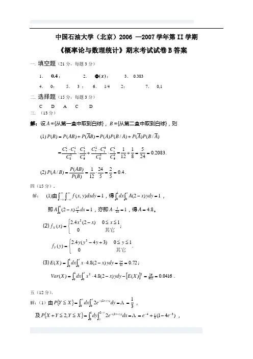
中国石油大学(北京)2006 —2007学年第II 学期《概率论与数理统计》期末考试试卷B 答案一. 填空题(21分,每题3分)1. 0.4; 2. ()x Φ; 3. 0.3834. 0; 5. 3 ; 6. 1/4 2; 7. 0,1 二. 选择题(15分,每题3分) C D A C D 三. (13分)解:设A ={从第一盒中取到白球},B ={从第二盒中取到白球},则(1))()()(B A P AB P B P +==)/()()/()(A B P A P A B P A P +=16112801271612281117C C C C C C C C C C ⋅⋅+⋅⋅=2083.024581121==+. (2)4.052524121)()()/(==⋅==B P AB P B A P . 四(15分). 解: (1)由1),(=⎰⎰∞∞-∞∞-dxdy y x f ,得1)2(1=-⎰⎰xydy x A dx ,即1)2(1022=-⎰dx x A x ,亦即1245=⋅A ,得8.4=A 。
(2)⎩⎨⎧≤≤-=其它10)2(4.2)(2x x x x f X ;⎩⎨⎧≤≤+-=其它10)34(4.2)(2y y y y y f Y .(3)72.0)2(8.4)(141==-⋅=⎰⎰xydy x x dx X E ; []0416.0)()2(8.4)(62526212==--⋅=⎰⎰X E ydy x x dx X Var x.五(12分).解:(1)由{}3120)2(===≤⎰⎰∞+- xy x dy e dx X Y P , 及{})41(2,2314102)2(---+--+===≤≤+⎰⎰e e dx e dy X Y Y X P yyy x ,得{}{}{})41(3,2)()2(34---+=≤≤≤+=≤≤+e e X Y P X Y Y X P X Y Y X P ;(2)设Z Y X =+,其概率密度函数为)(z f Z ,由⎰∞∞--=dx x z x f z f Z ),()(,得⎩⎨⎧<≥-=⎪⎩⎪⎨⎧<≥=--+-⎰0)1(2002)(0)(z z e e z z dx ez f z z zz x Z 六(12分).解:解:(1) 矩估计量 11(),E X X Xλλ==∴=(2) 最大似然估计量 1Xλ=七(12分). 解:(1)假设 01: 1.23;: 1.23H H μμ=≠. 当0H 为真,检验统计量 )1(~/0--=n t nS X T μ0.0252(1)(4) 2.7764t n t α-== , 拒绝域 (, 2.7764][2.7764,)W =-∞-⋃+∞2241.228,0.02168 4.710x s -===⨯, 00.2062T W =-∉,接受0H .(2)假设 222201:0.015;:0.015H H σσ≤>.当0H 为真,检验统计量)1(~)1(22022--=n S n χσχ220.05(1)(4)9.488n αχχ-==, 拒绝域 [9.488,)W =+∞. 208.36W χ=∉,接受0H .毋意,毋必,毋固,毋我。
《概率论与数理统计》作业(参考答案)班级 学号 姓名 得分 注意:书写清楚、整洁;并有主要的解题过程.1. 设1021,,,X X X 是来自总体)3.0,0(2N 的样本,求统计量∑=10129100i i X 的分布(需说明理由).解:因)1,0(~3.0/N X i ,)1(~)3.0(22χi X ,由可加性)10(~910010122=∑χi i X 2. 设总体),3(~2σN X ,有n=9的样本,样本方差42=s ,求统计量2/)93(-X 的分布(需说明理由).)8(~293t X - 3. 设总体)9,(~,)4,(~μμN Y N X ,有16,1121==n n 的两个独立样本,求统计量222149S S 的分布(需说明理由). )1510~492221,F (S S 4. 4. 设总体X 的概率密度函数为⎩⎨⎧<<+=其他,010,)1(),;(x x x f θθθ,),,,(21n X X X 是来自该总体的一个样本,),,,(21n x x x 是相应的样本值,求(1)未知参数θ的矩估计量;(2)最大似然估计量.((1)XX --=∧112θ;(2) 1ln 1--=∑=∧ni iXnθ班级 学号 姓名 得分 注意:书写清楚、整洁;并有主要的解题过程.5. 设),,(321X X X 是来自总体X 的样本,(1)证明:3211213161X X X ++=μ;3212525251X X X ++=μ;3213313131X X X ++=μ 是总体均值μ的无偏估计量;(2)说明哪一个估计较有效?(需说明理由)提示:(1)求)(1μE =++=)213161(321X X X E μ=++)(21)(31)(61321X E X E X E同理求另外两个……………………….. (2)求)(1μD =++=)213161(321X X X D )(187)(41)(91)(361321X D X D X D X D =++ 同理求另外两个的方差,比较大小,小的较有效6. 设有一批胡椒粉,每袋净重X (单位:g )服从正态分布,从中任取9袋,计算得样本均值21.12=x ,样本方差09.02=s ,求总体均值μ的置信度为0.95的置信区间.(306.2)8(025.0=t ,2622.2)9(025.0=t ) 参考答案()44.12,98.11())1(2/=-±n t ns x α7. 设高速公路上汽车的速度服从正态分布,现对汽车的速度独立地做了6次测试,求得这6次测试的方差22)/(08.0s m s=,求汽车速度的方差2σ的置信度为0.9的置信区间.(488.9)5(205.0=χ,145.1)5(295.0=χ)参考答案()3493.0,0422.0())1()1(,)1()1(22/1222/2≈-----n s n n s n ααχχ班级 学号 姓名 得分 注意:书写清楚、整洁;并有主要的解题过程.8. 甲、乙两位化验员各自独立地用相同的方法对某种聚合物的含氯量各作了10次测量,分别求得测定值的样本方差为6065.0,5419.02221==s s ,设测定值总体服从正态分布),(,),(222211σμσμN N ,试求方差比2221σσ的置信度为0.95的置信区间.(03.4)9,9(025.0=F )参考答案()6007.3,2217.0())1,1(,)1(1122/222112/2221≈---n n F s s n F s s αα9. 某糖厂用自动打包机打包,每包标准重量为50公斤,每天开工后需检验一次打包机是否正常工作,某日开工后,测得9包重量,计算得样本均值82.49=x,样本方差44.12=s ,假设每包的重量服从正态分布.在显著性水平为05.0=α下,打包机工作是否正常? (即检验假设:50:,50:10≠=μμH H ,306.2)8(025.0=t ,2622.2)9(025.0=t )解:由题意,需检验假设:50:,50:10≠=μμH H ;9=n拒绝域为:)1(/2/0->-n t ns x αμ;计算:)8(306.245.03/2.15082.49/025.00t ns x t =<=-=-=μ,不在拒绝域内,即可以认为打包机工作是正常的。
中国石油大学远程教育石油工程在线作业第一阶段在线作业答案第1题采油工程渗流形态指的是井筒多相流您的答案:错误题目分数:0.5此题得分:0.5批注:渗流形态还包括油层中的渗流第2题采油工程就是研究从油井井底到地面这一过程规律的科学您的答案:错误题目分数:0.5此题得分:0.5批注:还包括从地面注入井下这一过程第3题采油工程目标就是有效提高油井产量和采收率您的答案:正确题目分数:0.5此题得分:0.5批注:这是大的目标第4题IPR曲线表示产量与井底流压关系的曲线您的答案:正确题目分数:0.5此题得分:0.5批注:也叫流入动态曲线第5题采油指数是指单位生产压差下的日产油量您的答案:正确题目分数:0.5此题得分:0.5批注:可做为井与井之间的对比第6题油井流入动态曲线基本形状与油藏驱动类型无关您的答案:错误题目分数:0.5此题得分:0.5批注:理解驱动能量对生产的影响第7题井底流压是流体沿井筒向上流动的唯一动力您的答案:错误题目分数:0.5此题得分:0.5批注:还有油气的弹性能量的释放第8题单相流动时的IPR曲线为直线,其斜率的负倒数是采油指数您的答案:正确题目分数:0.5此题得分:0.5批注:理解采油指数的定义第9题当井底压力高于泡点压力时,IPR曲线为直线您的答案:正确题目分数:0.5此题得分:0.5批注:为单相液流,渗流为线性流第10题沃格尔方程是用来解决油气两相渗流时的一种方法您的答案:正确题目分数:0.5此题得分:0.5批注:是通过试验得到的重要规律第11题当井底压力低于饱和压力时,油藏渗流为油气两相流您的答案:正确题目分数:0.5此题得分:0.5批注:有气析出,自然会是油气两相流第12题当油气水三相时计算IPR曲线采用含水率加权法您的答案:正确题目分数:0.5此题得分:0.5批注:是一种比较简单实用的方法第13题多层油藏同时开采时,注入水较难均匀推进,影响各层生产您的答案:正确题目分数:0.5此题得分:0.5批注:分层开采的意义第14题多相流在垂直井筒中流动时严格分为五种形态您的答案:错误题目分数:0.5此题得分:0.5批注:有时流动形态不是区分太明显第15题滑脱现象的产生是气液两相的密度差异造成的您的答案:错误题目分数:0.5此题得分:0.5批注:不同流动速度和密度共同造成第16题滑脱现象不在泡流中产生,而是在环流中产生您的答案:错误题目分数:0.5此题得分:0.5批注:泡流中就已经产生第17题多相管流压力分布计算按深度增量计算是给定压差计算深度您的答案:正确题目分数:0.5此题得分:0.5批注:多次运算后得到压力分布第18题油井自喷产生的条件是总压力损失小于油藏能量您的答案:正确题目分数:0.5此题得分:0.5批注:意思是油藏能量足以把油举到地面第19题临界流动是流体的流速达到压力波在流体介质中的传播速度时的流动状态您的答案:正确题目分数:0.5此题得分:0.5批注:临界流动是计算油嘴参数的重要参数第20题油井自喷的主要动力是岩石压力您的答案:错误题目分数:0.5此题得分:0.5批注:是井底渗压第21题为了稳定生产有油嘴系统的设计要求嘴流可不用达到临界流动条件您的答案:错误题目分数:0.5此题得分:0.5批注:必须达到临界流动第22题若不安排气举阀则气举启动会有很大的启动压力您的答案:正确题目分数:0.5此题得分:0.5批注:为了减轻气启的动力才设计的气举阀第23题气举的能量来源主要是气体的膨胀能您的答案:正确题目分数:0.5此题得分:0.5批注:气体压缩注入管鞋,压力降低弹性能量释放第24题气举的方式可分为连续气举和间歇气举两种您的答案:正确题目分数:0.5此题得分:0.5批注:从能量补充角度来考虑第25题气举阀的作用是逐步排出油套环形空间的液体,降低启动压力您的答案:正确题目分数:0.5此题得分:0.5批注:与气举阀作用一样第26题采油工程渗流形态有哪些您的答案:A,B,D,E题目分数:0.5此题得分:0.5批注:考查采油工程的工作范围,自油层到地面的流动过程第27题自喷采油时主要的天然能量有哪些您的答案:A,B,C,D,E题目分数:0.5此题得分:0.5批注:从油藏受弹性力\重力\水压力等方面出发找能量第28题采油工程是下列哪些内容的总称您的答案:A,B,C,D题目分数:0.5此题得分:0.5批注:采油工程不仅包括采油井,还包括注水井,以及通过它们对油层的各种措施第29题机械采油包括哪些方式您的答案:A,C,D,E题目分数:0.5此题得分:0.5批注:地层能量不足以把油驱到井口,需加入人工能量的采油第30题采油工程任务主要有您的答案:A,B,C,D题目分数:0.5此题得分:0.5批注:理解采油工程的定义后即可得答案第31题IPR曲线的影响因素有您的答案:A,B,C,D题目分数:0.5此题得分:0.5批注:IPR曲线是反映油藏向井底供液能力大小的特征曲线,与之相关的都应包括在内第32题IPR曲线的作用有您的答案:A,B,C,D,E题目分数:0.5此题得分:0.5批注:理解IPR曲线的特征含义即可得第33题井口装置结构主要由哪些组成您的答案:A,B,D题目分数:0.5此题得分:0.5批注:井口装置的构成第34题自喷井系统构成有哪些您的答案:A,B,C,D,E题目分数:0.5此题得分:0.5批注:了解自喷井的结构第35题多相流在油井流动形态有您的答案:A,B,C,D,E题目分数:0.5此题得分:0.5批注:油从井底到井口压力与温度要下降,气要析出,气大小不同流动形态不同第36题影响多相管流流形的因素主要有您的答案:C,D,E题目分数:0.5此题得分:0.5批注:与流动形态相结合更好第37题多相管流能量损失主要有您的答案:A,C,D题目分数:0.5此题得分:0.5批注:能量守恒与质量守恒第38题油井自喷压力总损失包括您的答案:B,C,D,E题目分数:0.5此题得分:0.5批注:结合自喷井工作原理第39题分层开采的意义您的答案:A,B,C,D,E题目分数:0.5此题得分:0.5批注:理解分层开采的问题第40题气举的适用情况为您的答案:A,B,C,D题目分数:0.5此题得分:0.5批注:气举需要高压地面管汇,气藏具有较高能量等作业总得分:20.0作业总批注:中国石油大学远程教育石油工程在线作业第二阶段在线作业答案第1题抽油机是将电动机的高速旋转运动变成抽油杆的快速往复运动您的答案:错误题目分数:0.5此题得分:0.5批注:慢速往复运动第2题链条式和皮带式抽油机都属于无游梁抽油机您的答案:正确题目分数:0.5此题得分:0.5批注:没有游梁第3题从检泵方便程度考虑筒式泵优于杆式泵您的答案:错误题目分数:0.5此题得分:0.5批注:杆式泵优于管式泵第4题从可供产量调节范围考虑杆式泵优于管式泵您的答案:错误题目分数:0.5此题得分:0.5批注:管式泵优于杆式泵第5题沉没度是指抽油泵的吸入阀与静液面之间的相对高度您的答案:错误题目分数:0.5此题得分:0.5批注:与动液面的相对高度第6题柱塞上冲程过程中游动阀打开,固定阀关闭您的答案:错误题目分数:0.5此题得分:0.5批注:要充分理解泵的工作原理第7题柱塞下冲程过程中液柱载荷作用于油管您的答案:正确题目分数:0.5此题得分:0.5批注:要理解悬点所受载荷第8题抽油机悬点运动规律可简化为简谐运动也可简化为曲柄滑块运动您的答案:正确题目分数:0.5此题得分:0.5批注:悬点运动简化有利于分析第9题悬点在上冲程中到上死点时加速度最大,方向向上您的答案:错误题目分数:0.5此题得分:0.5批注:方向向下第10题上冲程中沉没压力对悬点载荷没有影响您的答案:错误题目分数:0.5此题得分:0.5批注:有影响是动力第11题井口回压在下冲程中减少抽油杆柱悬点载荷您的答案:正确题目分数:0.5此题得分:0.5批注:正确第12题悬点最大载荷发生在上冲程您的答案:正确题目分数:0.5此题得分:0.5批注:提液冲程第13题上下冲程中悬点载荷不同是设计抽油机平衡的主要原因您的答案:正确题目分数:0.5此题得分:0.5批注:抽油机平衡就是因为上下载荷不同第14题抽油机平衡原理是上冲程储存能量,下冲程应用储存的能量作功您的答案:错误题目分数:0.5此题得分:0.5批注:下种程储存能量,上冲程作功第15题所谓冲程损失是指明光杆冲程和活塞冲程之和您的答案:错误题目分数:0.5此题得分:0.5批注:应该为之差第16题抽油泵的泵效是指在抽油井生产过程中理论产量与实际产量的比值您的答案:错误题目分数:0.5此题得分:0.5批注:实际产量与理论产量比值第17题油管锚的作用是将油管柱的上端固定,减小冲程损失您的答案:错误题目分数:0.5此题得分:0.5批注:是下端固定第18题选择油井工作制度的原则是长冲程、低冲数、小泵径及较小的下泵深度您的答案:错误题目分数:0.5此题得分:0.5批注:应该为合理的下泵深度第19题抽油机井示功图是载荷随位移的变化关系曲线所构成的封闭曲线图您的答案:正确题目分数:0.5此题得分:0.5批注:是描述载荷运动规律的有交效方法第20题气体和充不满时的典型示功图为刀把形您的答案:正确题目分数:0.5此题得分:0.5批注:气体受压缩,泵内压力不能迅速提高,使排出阀滞后打开,卸载变慢。
视窗×loading...第三次在线作业单选题 (共35道题)展开收起1.(2.5分)•A、.•B、.•C、.•D、.我的答案:D 此题得分:2.5分•A、.•B、.•C、.•D、.我的答案:B 此题得分:2.5分3.(2.5分)•A、.•B、.•C、.•D、.我的答案:B 此题得分:2.5分•A、.•B、.•C、.•D、.我的答案:B 此题得分:2.5分5.(2.5分)•A、.•B、.•C、.•D、.我的答案:B 此题得分:2.5分•A、.•B、.•C、.•D、.我的答案:B 此题得分:2.5分7.(2.5分)•A、.•B、.•C、.•D、.我的答案:D 此题得分:2.5分•A、.•B、.•C、.•D、.我的答案:C 此题得分:2.5分9.(2.5分)•A、.•B、.•C、.•D、.我的答案:B 此题得分:2.5分•A、.•B、.•C、.•D、.我的答案:A 此题得分:2.5分11.(2.5分)•A、.•B、.•C、.•D、.我的答案:B 此题得分:2.5分•A、.•B、.•C、.•D、.我的答案:D 此题得分:2.5分13.(2.5分)•A、.•B、.•C、.•D、.我的答案:A 此题得分:2.5分•A、.•B、.•C、.•D、.我的答案:A 此题得分:2.5分15.(2.5分)•A、.•B、.•C、.•D、.我的答案:B 此题得分:2.5分•A、.•B、.•C、.•D、.我的答案:A 此题得分:2.5分17.(2.5分)•A、.•B、.•C、.•D、.我的答案:D 此题得分:2.5分•A、.•B、.•C、.•D、.我的答案:C 此题得分:2.5分19.(2.5分)•A、.•B、.•C、.•D、.我的答案:C 此题得分:2.5分•A、.•B、.•C、.•D、.我的答案:D 此题得分:2.5分21.(2.5分)•A、.•B、.•C、.•D、.我的答案:D 此题得分:2.5分•A、.•B、.•C、.•D、.我的答案:B 此题得分:2.5分23.(2.5分)•A、.•B、.•C、.•D、.我的答案:C 此题得分:2.5分•A、.•B、.•C、.•D、.我的答案:C 此题得分:2.5分25.(2.5分)•A、.•B、.•C、.•D、.我的答案:D 此题得分:2.5分•A、.•B、.•C、.•D、.我的答案:C 此题得分:2.5分27.(2.5分)•A、.•B、.•C、.•D、.我的答案:A 此题得分:2.5分•A、.•B、.•C、.•D、.我的答案:B 此题得分:2.5分29.(2.5分)•A、.•B、.•C、.•D、.我的答案:C 此题得分:2.5分•A、.•B、.•C、.•D、.我的答案:B 此题得分:2.5分31.(2.5分)•B、.•C、.•D、.我的答案:C 此题得分:2.5分32.(2.5分)•A、.•B、.•C、.•D、.我的答案:D 此题得分:2.5分33.(2.5分)•A、.•C、.•D、.我的答案:B 此题得分:2.5分34.(2.5分)•A、.•B、.•C、.•D、.我的答案:C 此题得分:2.5分35.(2.5分)•A、.•B、.•D、.我的答案:C 此题得分:2.5分判断题 (共5道题)展开收起36.(2.5分)•正确•错误我的答案:正确此题得分:2.5分37.(2.5分)•错误我的答案:正确此题得分:2.5分38.(2.5分)•正确•错误我的答案:正确此题得分:2.5分39.(2.5分)•正确•错误我的答案:正确此题得分:2.5分40.(2.5分)•正确•错误我的答案:正确此题得分:2.5分。
------------------------------------------------------------------------------------------------------------------------------ (单选题) 1: 题目及选项如下:A: AB: BC: CD: D正确答案:(单选题) 2: 题目如下:A: 保持不变B: 单调减少C: 单调增加D: 增减不定正确答案:(单选题) 3: 设X与Y独立同分布,记U=X-Y,V=X+Y,则U、V必然()。
A: 不独立B: 独立C: 相关系数为零D: 相关系数不为零正确答案:(单选题) 4: 题目及选项如下:A: AB: BC: CD: D正确答案:(单选题) 5: 题目及选项如下:A: AB: BC: CD: D正确答案:(单选题) 6: X与Y独立且DX=16,DY=9,则D(X+Y)=()。
A: 25B: 16C: 9D: 7正确答案:(单选题) 7: 题目及选项如下:A: AB: BC: CD: D正确答案:(单选题) 8: 题目及选项如下:------------------------------------------------------------------------------------------------------------------------------ A: AB: BC: CD: D正确答案:(单选题) 9: 题目如下:A: 3B: 1/3C: 2D: 1/2正确答案:(单选题) 10: 题目如下:A: 1/64B: 3/64C: 9/64D: 27/64正确答案:(单选题) 1: 题目及选项如下:A: AB: BC: CD: D正确答案:(单选题) 2: 题目如下:A: 保持不变B: 单调减少C: 单调增加D: 增减不定正确答案:(单选题) 3: 设X与Y独立同分布,记U=X-Y,V=X+Y,则U、V必然()。
0.0閔ffi机变童丄卜则P{X = 2)=(27/64参考答案:C解析:解析:无10.0设DX = 5, DY Cov(_X,Y) =.则如=(1参考答案:D10.0设随机变童X的概率分布分别沏八艾)匸(-oo<x<4-0o) H'J DX =A)1B)2C)1/2D)参考答案:C解析:无*:抽*達昜畀畧(a__________________ MlfMW(o___________________________ 彳溉IM寅(a___________________________ 壷立畀制(v 圉心却哗樹関心垦朗耐(产喇\N~XW00d10.00.0设X 与Y 独立同分布,记 U=X-Y,V 二X+Y,则U V 必然()参考答案:C解析:无 6分)X与Y独立且DX=16 DY=9,则D(X+Y)二()7参考答案:A解析:无7分)0.0设陋机变矍X和F均脈从正态分布八&匕护),丫〜M(站5® 记鬥二亠4},先二卩{7二"十另,则( hA)对任何实数戸都有P1 = P2~~B)对任何实数川都有期€为C)仅对M的■■卜别值有p x Fp aD)对任伺买教口都有戸二耳参考答案:A解析:无8分)0.0已知某种型号的雷管在一定刺激下发火率为1/5,今独立重复地作刺激试验,直到发火为止,则消耗的雷管数为3的概率为()。
64/125参考答案:C解析:9分)0.0无9分)0.0对于随机变量筈、Y .若BXY=EX BY则()DA)二ar 阳B)□(尤+y)m”C)左与y独立D)x与y不独立参考答案:B解析:无10分)ng i)>『一呻$且X^Y相互独立,roi(A)<o)= i/2B)P{X^-YC)<0}= 1/2D)^{^-r <i} = V2参考答案:B。
一. 填空题1 0.4 0.282 0.53 0.54 μ 2nσ5 896 27 (4.412,5.58 8220(1)n S σ-二.选择题1D 2 D 3C 4A 5A 6D 7A 8A三.(10分)解:(1)设事件A 表示“取到的产品是次品”, i A 表示“取到的产品是第i 家工厂生产”, (1,2,3)i =,则123A A A =Ω ,且()0i P A >,又由于123,,A A A 两两互不相容, 1分由全概率公式知31()()(|)i i i P A P A P A A ==∑ 4分由题设知1()0.2P A =,1(|)0.05P A A =;2()0.4P A =,2(|)0.025P A A =;3()0.4P A =,3(|)0.025P A A =, 5分 故()0.20.050.40.0250.40.0250.03P A =⨯+⨯+⨯= 6分(2)由Bayes 公式知 31()(|)(|)()(|)i ii i i i P A P A A P A A P A P AA ==∑ 8分 从而得11131()(|)0.050.21(|)0.033()(|)iii P A P A A P A A P A P A A =⨯===∑ 10分四.(10分)解:(1)由归一性知0.10.20.31p +++=,知0.4p = 2分(2)2111{0}0.10.20.3j j p P X p =====+=∑ ,同理20.7p = ,故(,)X Y 关于X 的边缘分布律为X 0 1i p 0.3 0.73分 同理(,)X Y 关于Y 的边缘分布律为Y 0 1j p 0.4 0.64分 (3)100.310.70.7k k k EX x p ∞===⨯+⨯=∑, 5分同理0.6EY = 6分 22()DX EX EX =-,又2221()00.310.70.7k k k EX g x p ∞===⨯+⨯=∑,故0.21DX = 7分同理0.24DY = 8分 (,)Cov X Y EXY EXEY =-,由题意知10.40.4EXY =⨯=故(,)0.40.70.60.02Cov X Y =-⨯=- 9分0.089XY ρ===- 10分五.(10分)解:当0x >,_()0()(,)x y x X f x f x y dy e dy e +∞+∞+--∞===⎰⎰, 2分0x ≤时,()0X f x = 3分故,0()0,0x X e x f x x -⎧>=⎨≤⎩ 4分同理,0()0,0y Y e y f y y -⎧>=⎨≤⎩, 6分 当0,0x y >>时,有()()(,)x y X Y f x f y e e f x y --=⨯=其他情况类似有()()(,)X Y f x f y f x y =,故X 和Y 相互独立 8分 (2)当0z <时,()0;Z F z =当0z ≥时,()()()(,)Z x y zF z P Z z P X Y z f x y dxdy +≤=≤=+≤=⎰⎰()1z z x x y z e dx e dy ze ----==-⎰⎰故Z X Y =+的分布函数为1,0()0,0z Z ze z F z z -⎧-≥=⎨<⎩Z X Y =+的概率密度为,0()0,0z Z ze z f z z -⎧≥=⎨<⎩10分六.(10分)解: (1)由数学期望的性质知道()E X Y EX EY +=+,而20()20.5x EX xf x dx x x dx +∞+∞--∞==⨯=⎰⎰同理0.25EY =,故()0.50.250.75E X Y +=+=(2)由数学期望的性质知道222(23)(2)(3)23()E X Y E X E Y EX E Y -=-=-, 又2224()()418y E Y y f y dy y y dy +∞+∞--∞-∞==⨯=⎰⎰故21(23)20.5358E X Y -=⨯-⨯= 七.(8分)解:设12,,...,n x x x 是12,,...,n X X X 的一组观察值,则极大似然函数为 ()11()(;)1n niii i L f x x θθθθ====+∏∏ 3分()1ln ()ln 1(ln )nii L n x θθθ==++∑ 4分对ln ()L θ关于θ求导,并令ln ()0,d L d θθ=解出11ln nii nxθ==--∑ 7分故θ的极大似然估计为11ln nii nXθ==--∑ 8分八.(8分)解:(1)令,Z X Y =-则(0,1)Z N 2分(||)(||)||()E X Y E Z z f z dz +∞-∞-==⎰2222()zzz edz z edz +∞---∞=⨯+-⨯=5分 (2)由(0,1)Z N ,知道22(1)Z χ ,故2()1E X Y -= 6分 则22(||)1D X Y π-=-8分。