高中数学会考专题训练大全完全版
- 格式:doc
- 大小:94.95 KB
- 文档页数:10
高中会考数学试题及答案一、选择题(每题3分,共30分)1. 下列哪个数是无理数?A. 2B. √2C. 0.5D. 3.14答案:B2. 函数y=x^2+2x+1的图像是:A. 抛物线B. 直线C. 双曲线D. 圆答案:A3. 以下哪个选项是等比数列?A. 2, 4, 6, 8B. 1, 2, 4, 8C. 3, 6, 9, 12D. 5, 10, 15, 20答案:B4. 已知a=3,b=4,求a^2+b^2的值。
A. 25B. 29C. 37D. 415. 一个圆的半径为5,求该圆的面积。
A. 25πB. 50πC. 75πD. 100π答案:B6. 以下哪个函数是奇函数?A. y=x^2B. y=x^3C. y=x^4D. y=x答案:D7. 以下哪个选项是不等式x+2>3的解集?A. x>1B. x<1C. x>-1D. x<-1答案:A8. 一个等差数列的首项是2,公差是3,求第5项的值。
A. 17B. 14C. 11D. 8答案:A9. 以下哪个选项是方程2x-3=7的解?B. x=3C. x=1D. x=-1答案:A10. 以下哪个选项是函数y=2sin(x)的图像?A. 正弦波形B. 余弦波形C. 正切波形D. 直线答案:A二、填空题(每题4分,共20分)11. 计算(3+4i)(2-i)的结果为______。
答案:8+5i12. 已知等差数列的第3项是7,第5项是11,求公差d。
答案:213. 计算极限lim(x→0) (sin(x)/x)的值为______。
答案:114. 已知函数f(x)=x^2-4x+3,求f(2)的值。
答案:-115. 计算定积分∫(0 to 1) x^2 dx的结果为______。
答案:1/3三、解答题(每题10分,共50分)16. 求函数y=x^3-3x^2+2x的导数。
答案:y'=3x^2-6x+217. 证明函数f(x)=x^2在(0, +∞)上是增函数。
高中会考试题及答案数学一、选择题(每题4分,共40分)1. 若函数f(x)=x^2-2x-3,那么f(-1)的值是:A. 0B. 4C. -4D. 6答案:B2. 已知等差数列的前三项为2,5,8,那么第10项的值是:A. 19B. 22C. 25D. 28答案:C3. 一个圆的直径为10cm,那么它的面积是:A. 25π cm^2B. 50π cm^2C. 100π cm^2D. 200π cm^2答案:B4. 如果a+b=7,ab=6,那么a^2+b^2的值是:A. 13B. 25C. 37D. 49答案:C5. 计算下列表达式的结果:(3x-2)(2x+3)是:A. 6x^2+7x-6B. 6x^2-7x+6C. 6x^2+7x+6D. 6x^2-7x-6答案:C6. 已知函数f(x)=x^3-3x^2+2x,求f'(x)的值:A. 3x^2-6x+2B. x^2-6x+2C. 3x^2-6xD. 3x^2-6x+1答案:A7. 一个三角形的三个内角之和是:A. 180°B. 360°C. 540°D. 720°答案:A8. 一个等腰三角形的两个底角相等,如果顶角是50°,那么每个底角的度数是:A. 65°B. 75°C. 80°D. 85°答案:B9. 一个数列的前四项为1,2,3,5,那么第五项是:A. 7B. 8C. 9D. 10答案:A10. 已知一个直角三角形的两条直角边分别为3和4,那么斜边的长度是:A. 5B. 6C. 7D. 8答案:A二、填空题(每题4分,共20分)1. 一个数的平方根是2和-2,那么这个数是______。
答案:42. 计算:(2x+1)(3x-2)=______。
答案:6x^2-x-23. 一个圆的半径是5cm,那么它的周长是______。
答案:10π cm4. 已知一个等差数列的前四项为2,5,8,11,那么这个数列的公差是______。
高中会考试题数学及答案一、选择题(每题3分,共30分)1. 若函数f(x) = 2x^2 + 4x + 3,则f(-1)的值为:A. 0B. 2C. 4D. 6答案:B2. 已知等差数列{a_n}的前三项分别为1, 4, 7,则该数列的公差为:A. 1B. 2C. 3D. 4答案:B3. 一个圆的半径为5,那么它的面积是:A. 25πB. 50πC. 75πD. 100π答案:B4. 若直线y = 2x + 1与直线y = -x + 3相交,则交点的横坐标为:A. -1B. 0C. 1D. 2答案:C5. 一个等腰三角形的两边长分别为3和4,那么它的周长是:A. 10B. 11C. 12D. 13答案:B6. 函数y = x^3 - 3x^2 + 4x - 2的导数是:A. 3x^2 - 6x + 4B. 3x^2 - 6x + 2C. 3x^2 - 9x + 4D. 3x^2 - 9x + 2答案:A7. 已知集合A = {1, 2, 3},集合B = {2, 3, 4},则A∩B的元素个数为:A. 1B. 2C. 3D. 4答案:B8. 若sin(α) = 3/5,且α为第一象限角,则cos(α)的值为:A. 4/5B. -4/5C. 3/5D. -3/5答案:A9. 一个数列的前四项为2, 5, 8, 11,若该数列是等差数列,则第五项为:A. 14B. 15C. 16D. 17答案:A10. 已知函数f(x) = x^2 - 4x + 3,若f(x) = 0,则x的值为:A. 1B. 2C. 3D. 4答案:B二、填空题(每题4分,共20分)1. 已知等比数列{a_n}的前三项分别为2, 6, 18,则该数列的公比为______。
答案:32. 一个矩形的长为10cm,宽为5cm,那么它的对角线长度为______。
答案:5√5 cm3. 函数y = √x的反函数是______。
答案:y = x^24. 已知一个抛物线的顶点为(2, -3),且开口向上,则它的标准方程为______。
高中数学会考练习题 练习一 集合与函数(一)={1,2,3,4,5},A ={1,2},B ={2,3,6},则__=B A I ,__=B A I ,__=B A I .2. 已知__=B A I则__=B A I ,__=B A I .3. 集合__=B A I 的所有子集个数是_____,含有2个元素子集个数是_____.4. 图中阴影部分的集合表示正确的有________.(1)__=B A I (2)__=B A I(3)__=B A I (4)__=B A I5. 已知__=B A I __=B A I .6. 下列表达式正确的有__________.(1)__=B A I (2)__=B A I(3)__=B A I (4)__=B A I7. 若__=B A I __=B A I __=B A I ,则满足A 集合的个数为____.8. 下列函数可以表示同一函数的有________.(1)__=B A I (2)__=B A I(3)__=B A I (4)__=B A I9. 函数__=B A I 的定义域为________.10. 函数__=B A I 的定义域为________.11. 若函数__=B A I .12. 已知__=B A I .13. 已知__=B A I ,则__=B A I .14. 已知__=B A I ,则__=B A I __=B A I .15. 函数__=B A I 的值域为________.16. 函数__=B A I 的值域为________.17. 函数__=B A I 的值域为________.21. 将函数__=B A I 的图象向左平移2个单位,再向下平移1个单位,则对应图象的解析式为 .练习二 集合与函数(二)I ={1,2,3,4,5,6},A ={1,2,3,4},B ={3,4,5,6},那么C I (A ∩B )=( ).A.{3,4}B.{1,2,5,6}C.{1,2,3,4,5,6}D.Ф2. 设集合M ={1,2,3,4,5},集合N ={__=B A I },M ∩N =( ).A.{__=B A I }B.{1,2}C.{1,2,3}D.{__=B A I }3. 设集合M ={-2,0,2},N ={0},则( ).A .N 为空集 B. N ∈M C. N __=B A I M D. M __=B A I N5. 函数y =__=B A I 的定义域是__________________.6. 已知函数f (__=B A I )=log 3(8x +7),那么f (__=B A I )等于_______________.8. 与函数y = x 有相同图象的一个函数是( ).A .y = B. y = C. y =a log a x (a >0, a ≠1) D. y = log a a x (a>0, a ≠1)9. 在同一坐标系中,函数y =__=B A I 与y =__=B A I 的图象之间的关系是( ).A.关于原点对称B.关于x 轴对称C.关于直线y =1对称.D.关于y 轴对称10. 下列函数中,在区间(0,+∞)上是增函数的是( ).A.y =-x 2B.y = x 2-x +2C.y =(__=B A I )xD.y =__=B A I11. 函数y =__=B A I 是( ).A. 在区间(-∞,0)上的增函数B. 在区间(-∞,0)上的减函数C. 在区间(0,+∞)上的增函数D. 在区间(0,+∞)上的减函数12. 函数f (x )=( ).A. 是偶函数,但不是奇函数B. 是奇函数,但不是偶函数C. 既是奇函数,又是偶函数D.不是奇函数,也不是偶函数14. 设函数f (x )=(m -1)x 2+(m +1)x +3是偶函数,则m=________.16. 函数y =__=B A I (x ∈R 且x ≠0)( ) .A. 为奇函数且在(-∞,0)上是减函数B. 为奇函数且在(-∞,0)上是增函数C. 是偶函数且在(0,+∞)上是减函数D. 是偶函数且在(0,+∞)上是增函数17. 若f (x )是以4为周期的奇函数,且f (-1)=a (a ≠0),则f (5)的值等于( ).A. 5aB. -aC. aD. 1-a18. 如果函数y =__=B A I 的图象过点(__=B A I ,2),则a =___________.19. 实数__=B A I –__=B A I ·log 2+lg4+2lg5的值为_____________.20. 设a =log 26.7, b =log 0.24.3, c =log 0.25.6,则a, b, c 的大小关系为( )A. b <c <aB. a <c <bC. a <b <cD. c <b <a21. 若__=B A I __=B A I ,则x 的取值范围是( ).A. __=B A IB.__=B A IC.__=B A ID.__=B A I练习二十 立体几何(三)1. 在四棱锥__=B A I 中,底面是边长为a 的正方形,侧棱__=B A I ,__=B A I .(1) 求证:__=B A I ;(2) 求证:__=B A I ;(3) 求PA 与底面所成角的大小;(4) 求PB 与底面所成角的余弦值.2. 在正四棱柱__=B A I 中,AB =1,__=B A I .(1) 求__=B A I 与__=B A I 所成角的余弦值; (2) 证明:__=B A I ;(3) 求__=B A I 与__=B A I 所成角的余弦值.3. 在直三棱柱ABC-A 1B 1C 1中,D 是AB 的中点, AC =BC=2,AA 1=__=B A I .(1) 求证:__=B A I ;(2) 求二面角__=B A I 的正切值;(3) 求二面角__=B A I 的大小.4. 四棱锥P -ABCD 的底面是正方形,PD ⊥底面ABCD ,且BD =__=B A I , PB 与底面所成角的正切值为__=B A I(1) 求证:PB ⊥AC ;(2) 求P 点到AC 的距离.练习十九 立体几何(二)3. 已知AB 为平面__=B A I 的一条斜线,B 为斜足,__=B A I ,O 为垂足,BC 为平面内的一条直线,__=B A I ,则斜线AB 与平面所成的角的大小为________.7. 在棱长均为a 的正四棱锥__=B AI 中,(1) 棱锥的高为______.(2) 棱锥的斜高为________.(3) SA 与底面ABCD 的夹角为________.(4) 二面角__=B A I 的大小为________.8. 已知正四棱锥的底面边长为__=B A I ,侧面与底面所成的角为__=B A I ,那么它的侧面积为_________.9. 在正三棱柱__=B A I 中,底面边长和侧棱长均为a , 取AA 1的中点M ,连结CM ,BM ,则二面角__=B A I 的大小为 _________.10.已知长方体的长、宽、高分别是2、3、4,那么它的一条对角线长为_____.11. 在正三棱锥中,已知侧面都是直角三角形,那么底面边长为a 时,它的全面积是______.12. 若球的一截面的面积是__=B A I ,且截面到球心的距离为8,则这个球的体积为______,表面积为_________. __________.练习十四 解析几何(一)1. 已知直线l 的倾斜角为__=B A I ,且过点__=B A I ,则m 的值为______.2. 已知直线l 的倾斜角为__=B A I ,且过点__=B A I ,则直线的方程为____________.3. 已知直线的斜率为4,且在x 轴上的截距为2,此直线方程为____________.4. 直线__=B A I 倾斜角为____________.9. 过点(2,3)且平行于直线__=B A I 的方程为________________.过点(2,3)且垂直于直线__=B A I 的方程为________________.10. 已知直线__=B A I ,当两直线平行时,a =______;当两直线垂直时,a =______.12. 设直线__=B A I ,则直线__=B A I 的交点到__=B A I 的距离为____________.13. 平行于直线__=B A I 且到它的距离为1的直线方程为____________.1. 下列条件,可以确定一个平面的是( ):(1)三个点 (2)不共线的四个点(3)一条直线和一个点 (4)两条相交或平行直线判断下列说法是否正确:[ ](1)如果两直线没有公共点,则它们平行[ ](3)分别位于两个平面内的两条直线是异面直线[ ](5)不在任何一个平面的两条直线异面[ ](10)过空间中一点有且只有一条直线和已知直线平行[ ](2)若__=B A I 则__=B A I[ ](3)如果一直线和一平面平行,则这条直线和平面的任意直线平行[ ](4)如果一条直线和一个平面平行,则这条直线和这个平面内的无数条直线平行[ ](5)若两条直线同时和一个平面平行,则这两条直线平行[ ](8)若__=B A I ,则__=B A I[ ](1)两个平面的公共点的个数可以是0个,1个或无数[ ](3)若__=B A I ,则a //b[ ](6)若__=B A I ,则__=B A I[ ](7)若一个平面内的无数条直线和另一个平面平行,则这两个平面平行[ ](8)若__=B A I ,则__=B A I[ ](10)若一个平面同两个平面相交且它们的交线平行,则两平面平行[ ](11)过平面外一点,有且只有一个平面和已知平面平行[ ](1)如果一直线垂直于一个平面内的所有直线,则这条直线垂直于这个平面[ ](5)过一点有且只有一条直线和已知平面垂直[ ] (3)若__=B A I ,则__=B A I[ ] (4)若__=B A I 则__=B A I[ ] (6)若__=B A I ,则__=B A I[ ] (8)垂直于同一条直线的两个平面平行[ ] (9)过平面外一点有且只有一个平面与已知平面垂直不等式1. 不等式__=B 的解集是__________.4. 不等式__=B A I 的解集是__________.5. 不等式__=B A I 的解集是__________.6. 不等式__=B A I 的解集是__________.7. 已知不等式__=B A I 的解集是__=B A I ,则m 和n 的值分别为__________.8. 不等式__=B A I 对于任意x 值恒成立,则m 的取值范围为________.10. 已知__=B A I ,则__=B A I 的取值范围是______________,则__=B A I 的取值范围是______________,__=B A I 的取值范围是___________.12. 已知__=B A I 且__=B A I 则__=B A I 的最___值为_______.13. 已知__=B A I 则函数__=B A I 的最___值为_______,此时m =_______.17. 若__=B A I ,则函数__=B A I 的取值范围是( ).A.__=B A IB. __=B A IC. __=B A ID. __=B A I18. 若__=B A I ,则函数__=B A I 有( ).A. 最大值__=B A IB. 最小值__=B A I __=B A I D. 最小值__=B A I平面向量19. 已知P 点在线段__=B A I 上,__=B A I =5,__=B A I =1,点P 分有向线段__=B A I 的比为__.2. 若向量__=B A I =(1,1),__=B A I =(1,-1),__=B A I =(-1,2),则__=B A I =( ).A. -__=B A I +__=B A IB. __=B A I -__=B A IC. __=B A I -__=B A ID.- __=B A I +__=B A I4. 若|__=B A I |=1,|__=B A I |=2,__=B A I =__=B A I +__=B A I ,且__=B A I ⊥__=B A I ,则向量__=B A I 与__=B A I 的夹角为( ).A.30oB.60oC.120o D150o6. 在⊿ABC 中,AB =4,BC =6,∠ABC =60o ,则AC 等于( ).A. 28B. 76C. 2D. 27. 在⊿ABC 中,已知a =+1, b =2, c =,那么角C 等于( ).A. 30oB. 45oC. 60oD. 120o8. 在⊿ABC 中,已知三个内角之比A :B :C =1:2:3,那么三边之比a :b :c =( ).A. 1::2B. 1:2:3C. 2::1D. 3:2:1数列(一)1. 已知数列{n a }中,12=a ,121+=+n n a a ,则=1a ______.2. – 81是等差数列 – 5 , – 9 , – 13 , … 的第( )项.3. 若某一数列的通项公式为n a n 41-=,则它的前50项的和为______.5. 等比数列,54,18,6,2…的前n 项和公式n S =__________.6. 12-与12+的等比中项为__________.7. 若a ,b ,c 成等差数列,且8=++c b a ,则b= .8. 等差数列{an}中,a3+ a4+ a5+ a6+ a7=150,则a2+a8= .9. 在等差数列{an}中,若a5=2,a10=10,则a15=________.10. 在等差数列{an}中,,56=a 583=+a a , 则=9S _____.10. 数列1781,1327,99,53,11,…的一个通项公式为________.11. 在等比数列中,各项均为正数,且962=a a ,则__=B A I = .12. 等差数列中,2,241-==d a , 则n S =___________.13. 已知数列{ a n }的前项和为S n = 2n 2 – n ,则该数列的通项公式为_______.14. 已知三个数成等比数列,它们的和为14,它们的积为64,则这三个数为 .数列(二)1. 在等差数列}{n a 中,85=a ,前5项的和105=S , 它的首项是____,公差___.2. 在公比为2的等比数列中,前4项的和为45,则首项为_____.3. 在等差数列}{n a 中,已知154321=++++a a a a a ,则42a a+=_______. 4. 在等差数列}{n a 中,已知前n 项的和n n S n -=24, 则=20a _____.5. 在等差数列}{n a 公差为2,前20项和等于100,那么20642...a a a a ++++等于________.6. 已知数列}{n a 中的3231+=+n n a a ,且2053=+a a ,则=8a _______.7. 已知数列}{n a 满足n n a a =-+21,且11=a ,则通项公式=n a ______.8. 数列}{n a 中,如果)1(21≥=+n a a n n ,且21=a ,那么数列的前5项和=5S _.9. 两数15-和15+的等比中项是__________________.10. 等差数列}{n a 通项公式为72-=n a n ,那么从第10项到第15项的和___.11. 已知a, b, c, d 是公比为3 的等比数列,则d c ba ++22=___________. 551=a a ,则=)(log 4325a a a ________.三角函数(一)2. 已知角x 的终边与角__=B A I 的终边关于y 轴对称,则角x 的集合可以表示为__________________________.5. 在__=B A I 之间,与角__=B A I 终边相同的角有__________________.6. 在半径为2的圆中,弧度数为__=B A I 的圆心角所对的弧长为________,扇形面积为__________.7. 已知角__=B A I 的终边经过点(3,-4),则sin __=B A I =______ ,cos __=B A I =______,tan __=B A I =_______ .8. 已知__=B A I ,则角__=B A I 一定在第______象限.10. 计算:__=B A I =________.13. 已知__=B A I ,且__=B A I ,则__=B A I . 14. 已知__=B A I ,则__=B A I .__=B A I .三角函数(二)1. 求值: __=B A I =________,__=B A I ________.2. 已知__=B A I ,__=B A I 为第三象限角,则__=B A I ________,3. 已知__=B A I ,__=B A I 是方程__=B A I 的两个根,则__=B A I ______.4. 已知__=B A I ,__=B A I 为第二象限角,则__=B A I ______,__=B A I ______, __=B A I ______,__=B A I , __=B A I ,__=B A I ____, __=B A I ______7. 已知__=B A I 且__=B A I 都为锐角,则__=B A I ______.8. 已知__=B A I ,则__=B A I ______.9. 已知__=B A I ,则__=B A I ______.10. 在__=B A I 中,若__=B A I 则__=B A I ________.三角函数(三)1. 函数__=B 的图象的一个对称中心是( ).A. __=B A IB. __=B A IC. __=B A ID. __=B A I2. 函数__=B A I 的图象的一条对称轴是( ).A. __=B A I 轴B. __=B A IC. __=B A ID. __=B A I3. 函数__=B A I 的值域是________,周期是______,此函数的为____函数(填奇偶性).5. 函数__=B A I 的值域是________,周期是______,此函数的为____函数(填奇偶性).9. 比较大小:__=B A I , __=B A I__=B A I , __=B A I10. 要得到函数__=B A I 的图象,只需将__=B A I 的图象上各点____11. 将函数__=B A I 的图象向左平移__=B A I 个单位,得到图象对应的函数解析式为________________. __=B A I ,__=B A I ,则__=B A I 可能的值有_________.三角函数(四)2. 在__=范围内,与__=B A I 终边相同的角是___________.3. 若sin α<0且cos α<0 ,则α为第____象限角.5. 在半径为2的圆中,弧度数为__=B A I 的圆心角所对的弧长为______________.6. 已知角__=B A I 的终边经过点(3,-4),则cos __=B A I =______.8. sin(__=B A I )的值等于___________.9. 设<α<,角α的正弦. 余弦和正切的值分别为a ,b ,c ,则( ).A. a <b <cB. b <a <cC. a <c <bD. c <b <a10. 已知__=B A I 且__=B A I 为第三象限角,则__=B A I .11. 若 tan α=__=B A I 且sin α<0,则cos α的值等于_____________.12. 要得到函数y =sin(2x -)的图象,只要把函数y =sin2x 的图象( ).A.向左平移个单位B. 向右平移个单位C.向左平移个单位D. 向右平移个单位13. 已知tan α=-__=B A I (0<α<2π),那么角α所有可能的值是___________15. cos25o cos35o –sin25o sin35o 的值等于_____________(写具体值).16. 函数y =sin x +cos x 的值域是( )A.[-1,1]B.[-2,2]C.[-1,]D.[-,]18. 已知sin α=__=B A I ,90o <α<180o ,那么sin2α的值__________.19. 函数y=cos 2 x -sin 2x 的最小正周期是( )A. 4πB. 2πC. πD.21. 已知__=B A I ,则__=B A I ________.21. 在__=B A I 中,__=B A I ,__=B A I ,__=B A I ,则b =_______.22. 在__=B A I 中,__=B A I ,__=B A I ,__=B A I ,则C =_______.24. 在__=B A I 中,__=B A I ,__=B A I ,__=B A I ,则这个三角形中最大的内角为______.26. 在__=B A I 中,__=B A I ,__=B A I ,__=B A I ,则b =_______.。
数学会考高中试题及答案一、选择题(每题3分,共30分)1. 已知函数\( f(x) = 2x^2 - 4x + 3 \),下列说法正确的是:A. 函数的图像是开口向上的抛物线B. 函数的图像是开口向下的抛物线C. 函数的图像与x轴有两个交点D. 函数的图像与x轴没有交点答案:A2. 圆的方程为\( (x-2)^2 + (y-3)^2 = 9 \),圆心坐标为:A. (2, 3)B. (-2, 3)C. (2, -3)D. (-2, -3)答案:A3. 已知等差数列的前三项依次为1,3,5,则该数列的第五项为:A. 7B. 9C. 11D. 13答案:B4. 函数\( y = \log_2(x) \)的定义域是:A. \( x > 0 \)B. \( x < 0 \)C. \( x \geq 0 \)D. \( x \leq 0 \)答案:A5. 集合\( A = \{1, 2, 3\} \)和集合\( B = \{2, 3, 4\} \)的交集为:A. \( \{1\} \)B. \( \{2, 3\} \)C. \( \{2, 4\} \)D. \( \{3, 4\} \)答案:B6. 直线\( y = 2x + 1 \)与直线\( y = -x + 4 \)的交点坐标为:A. (1, 3)B. (-1, 3)C. (1, -1)D. (-1, -1)答案:A7. 已知\( \sin \alpha = \frac{1}{2} \),\( \alpha \)是第二象限角,则\( \cos \alpha \)的值为:A. \( \frac{1}{2} \)B. \( -\frac{1}{2} \)C. \( \frac{\sqrt{3}}{2} \)D. \( -\frac{\sqrt{3}}{2} \)答案:D8. 函数\( f(x) = x^3 - 3x^2 + 3x - 1 \)的单调递增区间为:A. \( (-\infty, 1) \)B. \( (1, +\infty) \)C. \( (-\infty, 2) \)D. \( (2, +\infty) \)答案:B9. 向量\( \vec{a} = (1, 2) \)和向量\( \vec{b} = (2, 1) \)的夹角为:A. \( \frac{\pi}{4} \)B. \( \frac{\pi}{3} \)C. \( \frac{\pi}{2} \)D. \( \frac{2\pi}{3} \)答案:A10. 已知等比数列的前三项依次为2,4,8,则该数列的公比为:A. 2B. 4C. 1D. 0.5答案:A二、填空题(每题4分,共20分)1. 已知\( \tan \theta = 3 \),\( \theta \)是第一象限角,则\( \sin \theta \)的值为______。
高中数学会考练习题集练习一 集合与函数(一) 1. 已知S ={1,2,3,4,5},A ={1,2},B ={2,3,6},则______=B A I ,______=B A Y ,______)(=B A C S Y .2. 已知},31|{},21|{<<=<<-=x x B x x A则______=B A I ,______=B A Y .3. 集合},,,{d c b a 的所有子集个数是_____,含有2个元素子集个数是_____.4. 图中阴影部分的集合表示正确的有________.(1))(B A C U Y (2))(B A C U I(3))()(B C A C U U Y (4))()(B C A C U U I5. 已知},6|),{(},4|),{(=+==-=y x y x B y x y x A ________B A =则I .6. 下列表达式正确的有__________.(1)A B A B A =⇒⊆I (2)B A A B A ⊆⇒=Y(3)A A C A U =)(I (4)U A C A U =)(Y7. 若}2,1{≠⊂}4,3,2,1{⊆A ,则满足A 集合的个数为____.8. 下列函数可以表示同一函数的有________.(1)2)()(,)(x x g x x f == (2)2)(,)(x x g x x f ==(3)x x x g x x f 0)(,1)(== (4))1()(,1)(+=+⋅=x x x g x x x f 9. 函数x x x f -+-=32)(的定义域为________.10. 函数291)(x x f -=的定义域为________.11. 若函数_____)1(,)(2=+=x f x x f 则.12. 已知_______)(,12)1(=-=+x f x x f 则.13. 已知1)(-=x x f ,则______)2(=f .14. 已知⎩⎨⎧≥<=0,20,)(2x x x x f ,则_____)0(=f _____)]1([=-f f .15. 函数xy 2-=的值域为________. 16. 函数R x x y ∈+=,12的值域为________.17. 函数)3,0(,22∈-=x x x y 的值域为________.18. 下列函数在),0(+∞上是减函数的有__________.(1)12+=x y (2)xy 2=(3)x x y 22+-= (4)12+--=x x y 19. 下列函数为奇函数的有________.(1)1+=x y (2)x x y -=2 (3)1=y (4)x y 1-= 20. 若映射B A f →:把集合A 中的元素(x,y )映射到B 中为),(y x y x +-,则(2, 6)的象是______,则(2, 6)的原象是________.21. 将函数xy 1=的图象向左平移2个单位,再向下平移1个单位,则对应 图象的解析式为 .22. 某厂从1998年起年产值平均每年比上一年增长12.4%,设该厂1998年的产值为a , 则该厂的年产值y 与经过年数x 的函数关系式为________.集合与函数(二)1. 已知全集I ={1,2,3,4,5,6},A ={1,2,3,4},B ={3,4,5,6}, 那么C I (A ∩B )=( ).A.{3,4}B.{1,2,5,6}C.{1,2,3,4,5,6}D.Ф2. 设集合M ={1,2,3,4,5},集合N ={9|2≤x x },M ∩N =( ).A.{33|≤≤-x x }B.{1,2}C.{1,2,3}D.{31|≤≤x x }3. 设集合M ={-2,0,2},N ={0},则( ).A .N 为空集 B. N ∈M C. N ⊂M D. M ⊂N4. 命题“b a >”是命题“22bc ac >”的____________条件.5. 函数y =)1lg(2-x 的定义域是__________________.6. 已知函数f (x )=log 3(8x +7),那么f (21)等于_______________. 7. 若f (x )=x + 1x ,则对任意不为零的实数x 恒成立的是( ). A. f (x )=f (-x ) B. f (x )=f (x 1) C. f (x )=-f (x 1) D. f (x ) f (x1)=0 8. 与函数y = x 有相同图象的一个函数是( ).A .y =x 2B. y =x 2xC. y =a log a x (a >0, a ≠1)D. y = log a a x (a>0, a≠1) 9. 在同一坐标系中,函数y =x 5.0log 与y =x 2log 的图象之间的关系是( ).A.关于原点对称B.关于x 轴对称C.关于直线y =1对称.D.关于y 轴对称10. 下列函数中,在区间(0,+∞)上是增函数的是( ).A.y =-x 2B.y = x 2-x +2C.y =(21)xD.y =x 1log 3.011. 函数y =)(log 2x -是( ).A. 在区间(-∞,0)上的增函数B. 在区间(-∞,0)上的减函数C. 在区间(0,+∞)上的增函数D. 在区间(0,+∞)上的减函数12. 函数f (x )=3x -13x +1 ( ).A. 是偶函数,但不是奇函数B. 是奇函数,但不是偶函数C. 既是奇函数,又是偶函数D.不是奇函数,也不是偶函数13. 下列函数中为奇函数的是( ).A. f (x )=x 2+x -1B. f (x )=|x |C. f (x )=23x x +D. f (x )=522xx --14. 设函数f (x )=(m -1)x 2+(m +1)x +3是偶函数,则m=________.15. 已知函数f (x )=||2x ,那么函数f (x )( ).A. 是奇函数,且在(-∞,0)上是增函数B. 是偶函数,且在(-∞,0)上是减函数C. 是奇函数,且在(0,+∞)上是增函数D. 是偶函数,且在(0,+∞)上是减函数16. 函数y =||log 3x (x ∈R 且x ≠0)( ) .A. 为奇函数且在(-∞,0)上是减函数B. 为奇函数且在(-∞,0)上是增函数C. 是偶函数且在(0,+∞)上是减函数D. 是偶函数且在(0,+∞)上是增函数17. 若f (x )是以4为周期的奇函数,且f (-1)=a (a ≠0),则f (5)的值等于(). A. 5a B. -a C. a D. 1-a18. 如果函数y =x a log 的图象过点(91,2),则a =___________.19. 实数2732–3log 22·log 218 +lg4+2lg5的值为_____________.20. 设a =log 26.7, b =log 0.24.3, c =log 0.25.6,则a, b, c 的大小关系为( )A. b <c <aB. a <c <bC. a <b <cD. c <b <a21. 若1log 21>x ,则x 的取值范围是( ).A. 21<xB.210<<x C.21>x D.0<x数列(一)1. 已知数列{n a }中,12=a ,121+=+n n a a ,则=1a ______.2. – 81是等差数列 – 5 , – 9 , – 13 , … 的第( )项.3. 若某一数列的通项公式为n a n 41-=,则它的前50项的和为______.4. 等比数列,271,91,31,1…的通项公式为________. 5. 等比数列,54,18,6,2…的前n 项和公式n S =__________.6. 12-与12+的等比中项为__________.7. 若a ,b ,c 成等差数列,且8=++c b a ,则b = .8. 等差数列{a n }中,a 3+ a 4+ a 5+ a 6+ a 7=150,则a 2+a 8= .9. 在等差数列{a n }中,若a 5=2,a 10=10,则a 15=________.10. 在等差数列{a n }中,,56=a 583=+a a , 则=9S _____.10. 数列1781,1327,99,53,11,…的一个通项公式为________. 11. 在等比数列中,各项均为正数,且962=a a ,则)(log 54331a a a = .12. 等差数列中,2,241-==d a , 则n S =___________.13. 已知数列{ a n }的前项和为S n = 2n 2 – n ,则该数列的通项公式为_______.14. 已知三个数成等比数列,它们的和为14,它们的积为64,则这三个数为 .数列(二)1. 在等差数列}{n a 中,85=a ,前5项的和105=S ,它的首项是__________,公差是__________.2. 在公比为2的等比数列中,前4项的和为45,则首项为_____.3. 在等差数列}{n a 中,已知1554321=++++a a a a a ,则42a a +=_______.4. 在等差数列}{n a 中,已知前n 项的和n n S n -=24, 则=20a _____.5. 在等差数列}{n a 公差为2,前20项和等于100,那么20642...a a a a ++++等于________.6. 已知数列}{n a 中的3231+=+n n a a ,且2053=+a a ,则=8a _______. 7. 已知数列}{n a 满足n n a a =-+21,且11=a ,则通项公式=n a ______.8. 数列}{n a 中,如果)1(21≥=+n a a n n ,且21=a ,那么数列的前5项和=5S _.9. 两数15-和15+的等比中项是__________________.10. 等差数列}{n a 通项公式为72-=n a n ,那么从第10项到第15项的和为___.11. 已知a, b, c, d 是公比为3 的等比数列,则dc b a ++22=___________. 12. 在各项均为正数的等比数列中,若551=a a ,则=)(log 4325a a a ________.三角函数(一)1. 下列说法正确的有____________.(1)终边相同的角一定相等(2)锐角是第一象限角(3)第二象限角为钝角(4)小于︒90的角一定为锐角 (5)第二象限的角一定大于第一象限的角2. 已知角x 的终边与角︒30的终边关于y 轴对称,则角x 的集合可以表示为__________________________.3. 终边在y 轴上角的集合可以表示为________________________.4. 终边在第三象限的角可以表示为________________________.5. 在︒︒-720~360之间,与角︒175终边相同的角有__________________.6. 在半径为2的圆中,弧度数为3π的圆心角所对的弧长为________,扇形面积为__________.7. 已知角α的终边经过点(3,-4),则sin α=______ , cos α=______, tan α=_______ .8. 已知0cos 0sin ><θθ且,则角θ一定在第______象限.9. “0sin >θ”是“θ是第一或第二象限角”的________条件.10. 计算:πππ2cos cos 0tan 20sin 1223cos 7-+++=________. 11. 化简:tan cos ____θθ=.12. 已知,54cos -=α 且α为第三象限角,则_____tan _____,sin ==αα . 13. 已知31tan =α,且23παπ<<,则_____cos _____,sin ==αα . 14. 已知2tan =α,则____sin cos cos 2sin =+-αααα. 15. 计算:_____)317sin(=-π, _____)417cos(=-π. 16. 化简:____)cos()sin()2sin()cos(=----++αππαπααπ.三角函数(二)1. 求值: ︒165cos =________,=︒-)15tan(________.2. 已知21cos -=θ,θ为第三象限角,则=+)3sin(θπ________, =+)3cos(θπ________,=+)3tan(θπ________. 3. 已知x tan ,y tan 是方程0762=++x x 的两个根,则=+)tan(y x ______. 4. 已知31sin =α,α为第二象限角,则=α2sin ______, =α2cos ______,=α2tan ______.5. 已知21tan =α,则=α2tan ______.6. 化简或求值:=---y y x y y x cos )cos(sin )sin(______,=︒︒-︒︒170sin 20sin 10cos 70sin ______,=-ααsin 3cos ______,____15tan 115tan 1=︒-︒+, _____5tan 65tan 35tan 65tan =︒︒-︒-︒, =︒︒15cos 15sin ____, =-2cos 2sin 22θθ______15.22cos 22-︒=______, ︒-︒150tan 1150tan 22=______. 7. 已知,3tan ,2tan ==ϕθ且ϕθ,都为锐角,则=+ϕθ______.8. 已知21cos sin =+θθ,则=θ2sin ______. 9. 已知41sin =θ,则=-θθ44cos sin ______. 10. 在ABC ∆中,若,53sin ,135cos =-=B A 则=C sin ________.三角函数(三)1. 函数)4sin(π+=x y 的图象的一个对称中心是( ).A. )0,0(B. )1,4(πC. )1,43(πD. )0,43(π 2. 函数)3cos(π-=x y 的图象的一条对称轴是( ).A. y 轴B. 3π-=x C. 65π=x D. 3π=x 3. 函数x x y cos sin =的值域是________,周期是______,此函数的为____函数(填奇偶性).4. 函数x x y cos sin -=的值域是________,周期是______,此函数的为____函数(填奇偶性).5. 函数x x y cos 3sin +=的值域是________,周期是______,此函数的为____函数(填奇偶性).8. 函数)42tan(3π-=x y 的定义域是__________________,值域是________,周期是______,此函数为______函数(填奇偶性).9. 比较大小:︒︒530cos ___515cos , )914sin(____)815sin(ππ-- ︒︒143tan ____138tan , ︒︒91tan ___89tan10. 要得到函数)42sin(2π+=x y 的图象,只需将x y 2sin 2=的图象上各点____11. 将函数x y 2cos =的图象向左平移6π个单位,得到图象对应的函数解析式为________________.12. 已知22cos -=θ,)20(πθ<<,则θ可能的值有_________.三角函数(四)1. 在︒︒360~0范围内,与-1050o 的角终边相同的角是___________.2. 在π2~0范围内,与π310终边相同的角是___________. 3. 若sinα<0且cosα<0 ,则α为第____象限角.4. 在︒︒-360~360之间,与角︒175终边相同的角有_______________.5. 在半径为2的圆中,弧度数为3π的圆心角所对的弧长为______________. 6. 已知角α的终边经过点(3,-4),则cos α=______. 7. 命题 “x = π2 ” 是命题 “sin x =1” 的_____________条件.8. sin(π617-)的值等于___________. 9. 设π4 <α<π2 ,角α的正弦. 余弦和正切的值分别为a ,b ,c ,则( ). A. a <b <c B. b <a <c C. a <c <b D. c <b <a10. 已知,54cos -=α 且α为第三象限角,则_____tan =α. 11. 若 tan α=2且sin α<0,则cos α的值等于_____________.12. 要得到函数y =sin(2x -π3)的图象,只要把函数y =sin2x 的图象( ). A.向左平移π3 个单位 B. 向右平移π3 个单位C.向左平移π6 个单位D. 向右平移π6 个单位13. 已知tan α=-3 (0<α<2π),那么角α所有可能的值是___________14. 化简cos x sin(y -x )+cos(y -x )sin x 等于_____________15. cos25o cos35o –sin25o sin35o 的值等于_____________(写具体值).16. 函数y =sin x +cos x 的值域是( )A.[-1,1]B.[-2,2]C.[-1, 2 ]D.[- 2 , 2 ]17. 函数y =cos x - 3 sin x 的最小正周期是( )A.2π B. 4π C. π D.2π 18. 已知sin α=53,90o <α<180o ,那么sin2α的值__________. 19. 函数y=cos 2 x -sin 2x 的最小正周期是( )A. 4πB. 2πC. πD. π220. 函数y =sin x cos x 是( )A.周期为2π的奇函数B. 周期为2π的偶函数C. 周期为π的奇函数D. 周期为π的偶函数21. 已知2tan =α,则=α2tan ________.练习九 平面向量(一)1. 下列说法正确的有______________.(1)零向量没有方向 (2)零向量和任意向量平行(3)单位向量都相等 (4)(a ·b )·c =a ·(b ·c )(5)若a ·c = b ·c ,且c 为非零向量,则a =b(6)若a ·b =0,则a,b 中至少有一个为零向量.2. “b a =”是“a ∥b ”的________________条件.3. 下列各式的运算结果为向量的有________________.(1)a +b (2)a -b (3)a ·b (4)λa (5)||b a + (6)a ·0 4. 计算:=-++MP MN NQ QP ______.5. 如图,在ABC ∆中,BC 边上的中点为M , 设=AB a, =AC b ,用a , b 表示下列向量: =BC ________,=AM ________,=MB ________.6. 在□ABCD 中,对角线AC ,BD 交于O 点,设=AB a, =AD b ,用a , b 表示下列向量:=AC ________,. =BD ________,=CO ________,=OB ________.7. 已知21,e e 不共线,则下列每组中a , b 共线的有______________.(1)113,2e b e a -== (2)213,2e b e a -==(3)212121,2e e b e e a +-=-= (4)2121,e e b e e a +=-= 8. 已知,4||,3||==b a 且向量b a,的夹角为︒120,则=b a ·________, =-||b a __________.9. 已知)1,1(),3,2(-==b a ,则=-b a 2______,=b a ·________, =||a ______,向量b a,的夹角的余弦值为_______.12. 已知)1,2(),2,1(-==b a k ,当b a,共线时,k =____;当b a,垂直时,k =____.13. 已知)4,2(),2,1(B A -,)3,(x C ,且A,B,C 三点共线,则x =______.14. 把点)5,3(P 按向量a =(4,5)平移至点P ’,则P ’的坐标为_______.15. 将函数22x y =的图象F 按a =(1,-1)平移至F ’, 则F ’的函数解析式为____.16. 将一函数图象按a =(1,2)平移后,所得函数图象所对应的函数解析式为x y lg =,则原图象的对应的函数解析式为_______.17. 将函数x x y 22+=的图象按某一向量平移后得到的图象对应的函数解析式为2x y =,则这个平移向量的坐标为________.18. 已知)3,2(),5,1(B A ,点M 分有向线段的比2-=λ,则M 的坐标为____.19. 已知P 点在线段21P P 上,21P P =5,P P 1=1,点P 分有向线段21P P 的比为__.20. 已知P 点在线段21P P 的延长线上,21P P =5,P P 2=10,点P 分有向线段21P P 的比为_____.21. 在ABC ∆中,︒=45A ,︒=105C ,5=a ,则b =_______.22. 在ABC ∆中,2=b ,1=c ,︒=45B ,则C =_______.23. 在ABC ∆中,32=a ,6=b ,︒=30A ,则B =_______.24. 在ABC ∆中,3=a ,4=b ,37=c ,则这个三角形中最大的内角为______.25. 在ABC ∆中,1=a ,2=b ,︒=60C ,则c =_______.26. 在ABC ∆中,7=a ,3=c ,︒=120A ,则b =_______.平面向量(二)1. 小船以10 3 km/h 的速度向垂直于对岸的方向行驶,同时河水的流速为10km/h ,则小船实际航行速度的大小为( ).A.20 2 km/hB.20km/hC. 10 2 km/hD. 10km/h2. 若向量→a =(1,1),→b =(1,-1),→c =(-1,2),则→c =( ).A. -12 →a +32 →bB. 12 →a -32 →bC. 32 →a -12 →bD.- 32 →a +12 →b3. 有以下四个命题:① 若→a ·→b =→a ·→c 且→a ≠→0,则→b =→c ;② 若→a ·→b =0,则→a =→0或→b =→0;③ ⊿ABC 中,若→AB ·→AC >0,则⊿ABC 是锐角三角形;④ ⊿ABC 中,若→AB ·→BC =0,则⊿ABC 是直角三角形.其中正确命题的个数是( ). A.0 B.1 C.2 D.34. 若|→a |=1,|→b |=2,→c =→a +→b ,且→c ⊥→a ,则向量→a 与→b 的夹角为( ).A.30oB.60oC.120o D150o5. 已知→a . →b 是两个单位向量,那么下列命题中真命题是( ).A. →a =→bB. →a ·→b =0C. |→a ·→b |<1D. →a 2=→b 26. 在⊿ABC 中,AB =4,BC =6,∠ABC =60o ,则AC 等于( ).A. 28B. 76C. 27D. 2197. 在⊿ABC 中,已知a = 3 +1, b =2, c = 2 ,那么角C 等于( ).A. 30oB. 45oC. 60oD. 120o8. 在⊿ABC 中,已知三个内角之比A :B :C =1:2:3,那么三边之比a :b :c =( ).A. 1: 3 :2B. 1:2:3C. 2: 3 :1D. 3:2:1不等式1. 不等式3|21|>-x 的解集是__________.2. 不等式2|1|≤-x 的解集是__________.3. 不等式42>x 的解集是__________.4. 不等式022>--x x 的解集是__________.5. 不等式012<++x x 的解集是__________.6. 不等式032≥--xx 的解集是__________. 7. 已知不等式02>++n mx x 的解集是}2,1|{>-<x x x 或,则m 和n 的值分别为__________.8. 不等式042>++mx x 对于任意x 值恒成立,则m 的取值范围为________.9. 已知d c b a >>,,下列命题是真命题的有_______________.(1)d b c a +>+ (2)d b c a ->- (3)x b x a ->- (4)bd ac >(5)c b d a > (6)22b a > (7)33b a > (8)33b a > (9)ba 11< (11) 22bx ax > 10. 已知64,52<<<<b a ,则b a +的取值范围是______________,则a b -的取值范围是______________,ab 的取值范围是___________. 11. 已知0,>b a 且,2=ab 则b a +的最___值为_______.12. 已知0,>b a 且,2=+b a 则ab 的最___值为_______.13. 已知,0>m 则函数mm y 82+=的最___值为_______, 此时m =_______.14. a >0,b >0是ab >0的( ).A. 充分条件但不是必要条件B. 必要条件但不是充分条件C. 充分必要条件D. 既非充分条件也非必要条件15. 若0<<b a ,则下列不等关系不能成立的是( ).A. b a 11>B. ab a 11>- C. ||||b a > D. 22b a > 16. 若0>>b a ,0>m ,则下列不等式中一定成立的是( ).A. m a m b a b ++>B. m b m a b a -->C. m a m b a b ++<D. mb m a b a --< 17. 若0>x ,则函数xx y 1+=的取值范围是( ). A.]2,(--∞ B. ),2[+∞ C. ),2[]2,(+∞--∞Y D. ]2,2[-18. 若0≠x ,则函数22364x xy --=有( ). A. 最大值264- B. 最小值264-C. 最大值264+D. 最小值264+19. 解下列不等式:(1) 5|32|1<-≤x (2) 6|5|2>-x x(3) 10|83|2<-+x x解析几何(一)1. 已知直线l 的倾斜角为︒135,且过点)3,(),1,4(--m B A ,则m 的值为______.2. 已知直线l 的倾斜角为︒135,且过点)2,1(,则直线的方程为____________.3. 已知直线的斜率为4,且在x .轴.上的截距为2,此直线方程为____________. 4. 直线023=+-y x 倾斜角为____________.5. 直线042=+-y x 与两坐标轴围成的三角形面积为__________.6. 直线042=+-y x 关于y 轴对称的直线方程为________________.7. 过点)3,2(P 且在两坐标轴上截距互为相反数的直线方程为_____________.8. 下列各组直线中,互相平行的有____________;互相垂直的有__________.(1)022121=+-+=y x x y 与 (2)0322=-+-=y x x y 与 (3)0322=--=y x x y 与 (4)023=++y x 与33+=x y(5)052052=+=+y x 与 (6)052052=-=+x x 与9. 过点(2,3)且平行于直线052=-+y x 的方程为________________. 过点(2,3)且垂直于直线052=-+y x 的方程为________________.10. 已知直线01:,022:21=--+=--+a y ax l a ay x l ,当两直线平行时, a =______;当两直线垂直时,a =______.11. 直线53=-y x 到直线032=-+y x 的角的大小为__________.12. 设直线0243:,022:,0243:321=+-=++=-+y x l y x l y x l ,则直线 21l l 与的交点到3l 的距离为____________.13. 平行于直线0243=-+y x 且到它的距离为1的直线方程为____________.解析几何(二)1. 圆心在)2,1(-,半径为2的圆的标准方程为____________,一般方程为__________,参数方程为______________.2. 圆心在点)2,1(-,与y 轴相切的圆的方程为________________,与x 轴相切的圆的方程为________________,过原点的圆的方程为________________3. 半径为5,圆心在x 轴上且与x =3相切的圆的方程为______________.4. 已知一个圆的圆心在点)1,1(-,并与直线0334=+-y x 相切,则圆的方程为______.5. 点)1,1(-P 和圆024222=--++y x y x 的位置关系为________________.6. 已知4:22=+y x C 圆,(1)过点)3,1(-的圆的切线方程为________________.(2)过点)0,3(的圆的切线方程为________________.(3)过点)1,2(-的圆的切线方程为________________.(4)斜率为-1的圆的切线方程为__________________.7. 已知直线方程为043=++k y x ,圆的方程为05622=+-+x y x(1)若直线过圆心,则k =_________.(2)若直线和圆相切,则k =_________.(3)若直线和圆相交,则k 的取值范围是____________. (4)若直线和圆相离,则k 的取值范围是____________.8. 在圆822=+y x 内有一点)2,1(-P ,AB 为过点P 的弦.(1)过P 点的弦的最大弦长为__________.(2)过P 点的弦的最小弦长为__________.解析几何(三)1. 已知椭圆的方程为116922=+x y ,则它的长轴长为______,短轴长为______, 焦点坐标为________,离心率为________,准线方程为____________. 在坐标系中画出图形.2. 已知双曲线的方程为116922=-x y ,则它的实轴长为______,虚轴长为______,焦点坐标为________,离心率为________,准线方程为____________,渐近线方程为__________. 在坐标系中画出图形.3. 经过点)2,0(),0,3(--Q P 的椭圆的标准方程是_____________.4. 长轴长为20,离心率为53,焦点在y 轴上的椭圆方程为__________. 5. 焦距为10,离心率为35,焦点在x 轴上的双曲线的方程为__________. 6. 与椭圆1492422=+y x 有公共焦点,且离心率为45的双曲线方程为________. 7. 已知椭圆的方程为16422=+y x ,若P 是椭圆上一点,且,7||1=PF则________||2=PF .8. 已知双曲线方程为14491622-=-y x ,若P 是双曲线上一点,且,7||1=PF 则________||2=PF .9. 已知双曲线经过)5,2(-P ,且焦点为)6,0(±,则双曲线的标准方程为______10. 已知椭圆12516922=+y x 上一点P 到左焦点的距离为12,则P 点到左准线的距离为__________.11. 已知双曲线1366422=-y x 上点P 到右准线的距离为532,则P 点到右焦点的距离为__________.12. 已知一等轴双曲线的焦距为4,则它的标准方程为____________________.13. 已知曲线方程为14922=-+-k y k x , (1) 当曲线为椭圆时,k 的取值范围是______________.(2) 当曲线为双曲线时,k 的取值范围是______________.14. 方程y 2 = 2px (p >0)中的字母p 表示( ).A .顶点、准线间的距离B .焦点、准线间的距离C .原点、焦点间距离D .两准线间的距离15. 抛物线x y 22=的焦点坐标为__________,准线方程为____________.16. 抛物线y x 212-=的焦点坐标为__________,准线方程为____________. 17. 顶点在原点,对称轴为坐标轴,焦点为)0,2(-的抛物线方程为________.18. 顶点在原点,对称轴为坐标轴,准线方程为81-=y 的抛物线方程为____. 19. 经过点)8,4(-P ,顶点在原点,对称轴为x 轴的抛物线方程为__________.解析几何(四) 1. 如果直线l 与直线3x -4y +5=0关于y 轴对称,那么直线l 的方程为_____.2. 直线3x + y +1=0的倾斜角的大小是__________.3. 过点(1,-2)且倾斜角的余弦是-35的直线方程是______________.4. 若两条直线l 1: ax+2y+6=0与l 2: x+(a-1)y+3=0平行,则a等于_________.5. 过点(1,3)且垂直于直线052=-+yx的方程为________________.6. 图中的阴影区域可以用不等式组表示为().A.⎪⎩⎪⎨⎧≤+-≤≥11yxyxB.⎪⎩⎪⎨⎧≤+-≥≤11yxyxC.⎪⎩⎪⎨⎧≥+-≥≤11yxyxD.⎪⎩⎪⎨⎧≥+-≥≥11yxyx7. 已知圆的直径两端点为)4,3(),2,1(-,则圆的方程为_____________.8. 圆心在点)2,1(-且与x轴相切的圆的方程为________________.9. 已知02024:22=---+yxyxC圆,它的参数方程为_________________.10. 已知圆的参数方程是θθsin2cos2{==yx(θ为参数),那么该圆的普通方程是______11. 圆x2+y2-10x=0的圆心到直线3x+4y-5=0的距离等于___________.12. 过圆x2+y2=25上一点P(4, 3),并与该圆相切的直线方程是____________.13. 已知椭圆的两个焦点是F1(-2, 0)、F2(2, 0),且点A(0, 2)在椭圆上,那么这个椭圆的标准方程是_________.14. 已知椭圆的方程为x29+y225=1,那么它的离心率是__________.15. 已知点P在椭圆x236+y2100=1上,且它到左准线的距离等于10,那么点P 到左焦点的距离等于______.16. 与椭圆x29+y24=1有公共焦点,且离心率e=52的双曲线方程是()A. x2-y24=1 B. y2-x24=1 C.x24-y2=1 D.y24-x2=117. 双曲线x24-y29=1的渐近线方程是___________.18. 如果双曲线x 264 -y 236 =1上一点P 到它的右焦点的距离是5,那么点P 到它的右准线的距离是___________.19. 抛物线x y 22=的焦点坐标为__________.20. 抛物线y x 212-=的准线方程为__________. 21. 若抛物线y 2=2px 上一点横坐标为6,这个点与焦点的距离为10,那么此 抛物线的焦点到准线的距离是_______.立体几何(一)判断下列说法是否正确:1. 下列条件,是否可以确定一个平面:[ ](1)不共线的三个点[ ](2)不共线的四个点[ ](3)一条直线和一个点[ ](4)两条相交或平行直线2. 关于空间中的直线,判断下列说法是否正确:[ ](1)如果两直线没有公共点,则它们平行[ ](2)如果两条直线分别和第三条直线异面,则这两条直线也异面[ ](3)分别位于两个平面内的两条直线是异面直线[ ](4)若βαβα//,,⊂⊂b a ,则a,b 异面[ ](5)不在任何一个平面的两条直线异面[ ](6)两条直线垂直一定有垂足[ ](7)垂直于同一条直线的两条直线平行[ ](8)若c a b a //,⊥,则b c ⊥[ ](9)过空间中一点有且只有一条直线和已知直线垂直[ ](10)过空间中一点有且只有一条直线和已知直线平行3. 关于空间中的直线和平面,判断下列说法是否正确:[ ](1)直线和平面的公共点个数可以是0个,1个或无数[ ](2)若,,//α⊂b b a 则α//a[ ](3)如果一直线和一平面平行,则这条直线和平面的任意直线平行[ ](4)如果一条直线和一个平面平行,则这条直线和这个平面内的无数条直线平行[ ](5)若两条直线同时和一个平面平行,则这两条直线平行[ ](6)过平面外一点,有且只有一条直线和已知平面平行[ ](7)过直线外一点,有无数个平面和已知直线平行[ ](8)若共面且b a b a ,,,//αα⊂,则b a //4. 关于空间中的平面,判断下列说法是否正确:[ ](1)两个平面的公共点的个数可以是0个,1个或无数[ ](2)若b a b a //,,βα⊂⊂,则βα//[ ](3)若βαβα//,,⊂⊂b a ,则a //b[ ](4)若βαα//,⊂a ,则β//a[ ](5)若αα//,//b a ,则b a //[ ](6)若βα//,//a a ,则βα//[ ](7)若一个平面内的无数条直线和另一个平面平行,则这两个平面平行[ ](8)若αβα⊂a ,//,则β//a[ ](9)若两个平面同时和第三个平面平行,则这两个平面平行[ ](10)若一个平面同两个平面相交且它们的交线平行,则两平面平行[ ](11)过平面外一点,有且只有一个平面和已知平面平行5. 关于直线与平面的垂直,判断下列说法是否正确:[ ](1)如果一直线垂直于一个平面内的所有直线,则这条直线垂直于这个平面[ ](2)若αα⊂⊥a l ,,则a l ⊥[ ](3)若m l m ⊥⊂,α,则α⊥l[ ](4)若n l m l n m ⊥⊥⊂,,,α,则α⊥l[ ](5)过一点有且只有一条直线和已知平面垂直[ ](6)过一点有无数个平面和已知直线垂直6. 关于平面和平面垂直,判断下列说法是否正确:[ ] (1)若,,βα⊥⊂a a 则βα⊥[ ] (2)若b a b a ⊥⊂⊂,,βα,则βα⊥[ ] (3)若,,,βαβα⊂⊂⊥b a ,则b a ⊥[ ] (4)若,,βαα⊥⊂a 则β⊥a[ ] (6)若γαβα//,⊥,则γβ⊥[ ] (7)垂直于同一个平面的两个平面平行[ ] (8)垂直于同一条直线的两个平面平行[ ] (9)过平面外一点有且只有一个平面与已知平面垂直7. 判断下列说法是否正确:[ ] (1)两条平行线和同一平面所成的角相等[ ] (2)若两条直线和同一平面所的角相等,则这两条直线平行[ ] (3)平面的平行线上所有的点到平面的距离都相等[ ] (4)若一条直线上有两点到一个平面的距离相等,则这条直线和平面平行练习十九 立体几何(二)1. 若平面的一条斜线长为2,它在平面内的射影的长为3,则这条斜线和平面所成的角为________.2. 在一个锐二面角的一个面内有一点,它到棱的距离是到另一个平面距离的2倍,则这个二面角的大小为________.3. 已知AB 为平面α的一条斜线,B 为斜足,α⊥AO ,O 为垂足,BC 为平面内的一条直线,︒=∠︒=∠45,60OBC ABC ,则斜线AB 与平面所成的角的大小为________.4. 观察题中正方体ABCD-A 1B 1C 1D 1中, 用图中已有的直线和平面填空:(1) 和直线BC 垂直的直线有_________________.(2) 和直线BB 1垂直且异面的直线有__________.(3) 和直线CC 1平行的平面有________________.(4) 和直线BC 垂直的平面有________________.(5) 和平面BD 1垂直的直线有________________.5. 在边长为a 正方体!111D C B A ABCD -中(1)C B C A 111与所成的角为________.(2)1AC 与平面ABCD 所成的角的余弦值为________.(3)平面ABCD 与平面11B BDD 所成的角为________.(4)平面ABCD 与平面11B ADC 所成的角为________.(5)连结11,,DA BA BD ,则二面角1A BD A --的正切值为________.(6)BC AA 与1的距离为________.(7)11BC AA 与的距离为________.6. 在棱长均为a 的正三棱锥ABC S -中,(1) 棱锥的高为______.(2) 棱锥的斜高为________.(3) SA 与底面ABC 的夹角的余弦值为________.(4) 二面角A BC S --的余弦值为________.(5) 取BC 中点M ,连结SM ,则AC 与SM 所成的角的余弦值是_____.(6) 若一截面与底面平行,交SA 于A ’,且SA’:A’A =2:1,则截面的面积为______.7. 在棱长均为a 的正四棱锥ABCD S -中,(1) 棱锥的高为______.(2) 棱锥的斜高为________.(3) SA 与底面ABCD 的夹角为________.(4) 二面角A BC S --的大小为________.8. 已知正四棱锥的底面边长为24,侧面与底面所成的角为︒45,那么它的侧面积为_________.,. 9. 在正三棱柱111C B A ABC -中,底面边长和侧棱长均为a , 取AA 1的中点M ,连结CM ,BM ,则二面角A BC M --的大小为 _________.10.已知长方体的长、宽、高分别是2、3、4,那么它的一条对角线长为_____.11. 在正三棱锥中,已知侧面都是直角三角形,那么底面边长为a 时,它的全面积是______.12. 若球的一截面的面积是π36,且截面到球心的距离为8,则这个球的体积为______,表面积为_________.13. 半径为R 球的内接正方体的体积为__________.14. 已知两个球的大圆面积比为1:4,则它们的半径之比为________,表面积之比为_______,体积之比为______.练习二十 立体几何(三)解答题:1. 在四棱锥ABCD P -中,底面是边长为a 的正方形,侧棱a PD =,a PC PA 2==.(1) 求证:ABCD PD 平面⊥;(2) 求证:AC PB ⊥;(3) 求P A 与底面所成角的大小;(4) 求PB 与底面所成角的余弦值.2. 在正四棱柱1111D C B A ABCD -中,AB =1,21=AA .(1) 求1BC 与ABCD 平面所成角的余弦值;(2) 证明:BD AC ⊥1;(3) 求1AC 与ABCD 平面所成角的余弦值.,.3. 在直三棱柱ABC-A 1B 1C 1中,D 是AB 的中点, AC =BC=2,AA 1=32.(1) 求证:DC D A ⊥1;(2) 求二面角A CD A --1的正切值;(3) 求二面角A BC A --1的大小.4. 四棱锥P -ABCD 的底面是正方形,PD ⊥底面ABCD , 且BD =6, PB 与底面所成角的正切值为66(1) 求证:PB ⊥AC ;(2) 求P 点到AC 的距离.。
高中会考数学练习题及讲解目# 高中会考数学练习题及讲解## 一、选择题1. 题目:已知函数 \(f(x) = 3x^2 - 2x + 1\),求导后得到的导数函数为:- A. \(6x - 2\)- B. \(6x^2 - 4x + 1\)- C. \(f'(x) = 6x - 2\)- D. \(3x - 2\)答案:C解析:根据导数的定义,对于函数 \(f(x) = 3x^2 - 2x + 1\),其导数 \(f'(x)\) 计算如下:\[f'(x) = \frac{d}{dx}(3x^2 - 2x + 1) = 6x - 2\]2. 题目:下列哪个选项是不等式 \(x^2 - 5x + 6 \leq 0\) 的解集? - A. \(x \leq 1\) 或 \(x \geq 6\)- B. \(1 \leq x \leq 6\)- C. \(x \leq 6\) 或 \(x \geq 1\)- D. \(2 \leq x \leq 3\)答案:B解析:首先解方程 \(x^2 - 5x + 6 = 0\),得到 \(x = 2\) 或\(x = 3\)。
由于这是一个开口向上的二次函数,不等式 \(x^2 - 5x + 6 \leq 0\) 的解集是 \(x\) 在两个根之间,即 \(1 \leq x \leq 6\)。
## 二、填空题1. 题目:若 \(\sin(\alpha) = \frac{3}{5}\) 且 \(\alpha\) 在第一象限,求 \(\cos(\alpha)\) 的值。
答案:\(\frac{4}{5}\)解析:根据三角函数的基本关系,\(\sin^2(\alpha) +\cos^2(\alpha) = 1\)。
由于 \(\sin(\alpha) = \frac{3}{5}\),我们可以解出 \(\cos(\alpha)\):\[\cos(\alpha) = \sqrt{1 - \sin^2(\alpha)} = \sqrt{1 -\left(\frac{3}{5}\right)^2} = \frac{4}{5}\]2. 题目:若 \(\log_{10}(100) = 2\),求 \(\log_{10}(0.01)\) 的值。
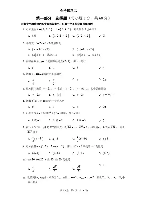
会考练习二第一部分 选择题(每小题3分,共60分)在每个小题给出的四个备选答案中,只有一个是符合题目要求的. 1. 已知集合{}123A =,,,{}345B =,,,那么集合AB 等于A. {3}B. {}12345,,,,C. {}1245,,,D. ∅2. 不等式2230x x +-<的解集是A. {|31}x x -<<B. {|13}x x -<<C. {|3x x <-,或1}x >D. {|1x x <-,或3}x >3. 如果函数()f x x α=的图象经过点(28),,那么α等于A. 1B. 2C. 3D. 44. 函数sin 2y x =的最小正周期是A.π4B.π2C. πD. 2π5. 已知四个函数 2y x =,||y x =,2xy =,2log y x =,其中偶函数是A. 2y x =B. ||y x =C. 2xy =D. 2log y x =6. 函数()cos f x x x =⋅的一个零点是A. 0B. 1C. πD. 2π7. 已知直线x c =与圆221x y +=相切,那么c 等于A. 1或1-B. 2或2-C. 3或3-D. 08. 在△ABC 中,M 是BC 的中点,设AB =a ,AC =b ,如果用a ,b 表示AM , 那么AM 等于A.()12-a b B. -a b C.1()2+a b D. +a b9. 已知向量(12)=,a ,(12)=-,b ,那么与2-a b 共线的一个向量是A. (64),B. (46),C. (04),D. (16),10. cos80cos 20sin80sin 20︒︒︒︒+的值是A.12B.2C.2D. 111. 设数列{}n a 的前n 项和为n S ,如果15a =-,12n n a a +=+,那么1S ,2S ,3S ,4S 中最小的是A. 1SB. 2SC. 3SD. 4S12. 当[30]x ∈-,时,函数223y x x =++的最小值是A. 1B. 2C. 3D. 413. 如果函数220()log 0xx f x x x ⎧≤⎪=⎨>⎪⎩,,,,那么(2)f 等于A. 0B.14C.12D. 114. 为应对自然灾害,某市应急救援指挥中心筹建医疗专家组. 现要从甲、乙、丙3位脑外科专家中随机选取2位进入专家组,那么甲被选中的概率是 A.14B.13C.12D.2315. 已知圆C 的圆心在y 轴上,半径为1,且经过点(12),,那么圆C 的方程为A. 22(1)1x y +-= B. 22(1)1x y -+= C. 221x y +=D. 22(2)1x y +-=16. 已知两点(00)O ,,(14)P ,,如果直线OP 与直线30ax y --=平行,那么a 等于A. 4-B. 4C. 14-D.1417. 在长度为6的线段AB 上任取一点C ,那么线段AC 的长度不超过2的概率是A.16B.14C.13D.1218. 函数4y x x=+的值域是 A. (,1][1,)-∞-+∞ B. (,2][2,)-∞-+∞C. (,3][3,)-∞-+∞D. (,4][4,)-∞-+∞19. 一个空间几何体的三视图如右图所示, 该几何体的侧面积...为 A. 100 B. 128 C. 144 D. 15220. 已知点()P x y ,的坐标满足||||1x y +≤,那么2x y +的最小值是 A. 3-B. 2-C. 1-D. 2俯视图左(侧)视图主(正)视图0.04分数0.030.020.01第二部分 非选择题(共40分)一、填空题(共4个小题,每小题3分,共12分) 21. 为普及环保知识,某校组织了以“节能减排我能行”为主题的知识竞赛. 经统计,全校500名同学的成绩全部介于60分与100分之间. 将成绩以10为组距分成以下4组:[6070),,[7080),,[8090),,[]90100,,得到如图所示的频率分布直方图,那么成绩大于或等于80分的学生人数为__ . 22. 已知4cos 5α=-,且π(π)2α∈,,那么sin α=__ ,tan (π)α-=__ . 23. 已知函数()2xf x =,如果lg3a =,lg 2b =,那么()f a __()f b (请在横线上填写“>”,“=”或“<”).24. 阅读下面的程序框图,运行相应的程序,输出的结果为__ .二、解答题(共3个小题,共28分) 25.(本小题满分9分)如图,三棱柱111ABC A B C -中,1A A ⊥底面ABC ,AB AC =,D 是BC 的中点 .(Ⅰ)求证 :BC ⊥平面1A AD ; (Ⅱ)若90BAC ∠=,14BC A D ==, 求三棱柱111ABC A B C -的体积 .26.(本小题满分9分)B 1C 1A 1DCBA在直角坐标系xOy 中,已知向量(,)OA k k =,(,)OB m m =-+, 其中00k m >>,.(Ⅰ)当1m k ==时,证明OA AB ⊥; (Ⅱ)求向量OA 和OB 夹角的大小; (Ⅲ)设3AB =,求OA OB +的最大值 .27.(本小题满分10分)已知数列{}n a 的前n 项和31n n S =-,数列{}n b 满足11b =,13(2)n n n b b a n -=+≥,记数列{}n b 的前n 项和为n T .(Ⅰ)证明{}n a 为等比数列 ; (Ⅱ)求n T ;(Ⅲ)设n n n P S T =+,若对于任意*n ∈N ,都有11(1)1(1)n n n n P P λ-+-<+-⋅成立,求实数λ的取值范围 .数学试卷答案及评分参考[说明]1. 第一部分选择题,机读阅卷.2. 第二部分包括填空题和解答题.为了阅卷方便,解答题中的推导步骤写得较为详细,考生只要写明主要过程即可.若考生的解法与本解答不同,正确者可参照评分标准给分.解答右端所注分数,表示考生正确做到这一步应得的累加分数.第一部分 选择题(共60分)选择题(每小题3分,共60分)第二部分 非选择题(共40分)一、填空题(每小题3分,共12分) 21. 350 22.35, 3423. > 24. 14二、解答题(共3个小题,共28分) 25.(本小题满分9分)如图,三棱柱111ABC A B C -中,1A A ⊥底面ABC ,AB AC =,D 是BC 的中点.(Ⅰ)求证 :BC ⊥平面1A AD ; (Ⅱ)若90BAC ∠=,14BC A D ==, 求三棱柱111ABC A B C -的体积.(Ⅰ)证明 :因为 1A A ⊥底面ABC ,且BC ⊂底面ABC , 所以 1A A BC ⊥.因为 AB AC =,D 是BC 的中点, 所以 AD BC ⊥. 因为 1A AAD A =,所以 BC ⊥平面1A AD . …………………………… 5分 (Ⅱ)解 :B 1C 1A 1DCBA因为 90BAC ∠=,D 是BC 的中点,4BC =, 所以 122AD BC ==. 所以 142ABCS BC AD ∆=⋅=. 因为 1A A ⊥底面ABC ,且AD ⊂底面ABC , 所以 1A A AD ⊥.在Rt △1A AD 中,14A D =,所以 1A A ==.所以 三棱柱111ABC A B C -的体积1ABC V S A A ∆=⋅=. ……… 9分26.(本小题满分9分)在直角坐标系xOy 中,已知向量(,)OA k k =,(,)OB m m =, 其中00k m >>,.(Ⅰ)当1m k ==时,证明OA AB ⊥; (Ⅱ)求向量OA 和OB 夹角的大小; (Ⅲ)设3AB =,求OA OB +的最大值 . (Ⅰ)证明 : 因为 1m k ==,所以 (11)OA =,,(11OB =.所以 (AB OB OA =-=.因为 30OA AB ⋅=-=,所以 OA AB ⊥. ……………………… 2分 (Ⅱ)解 :因为 ()OA k k =,,()OB m m =+,,且00k m >>,, 所以 2OA =,22OB =,2OA OB km ⋅=.设向量OA 和OB 的夹角为θ,所以 1cos 2OA OB OA OBθ⋅==. 所以向量OA 和OB 的夹角等于π3. …………………… 5分 (Ⅲ)解 :在△OAB 中,由余弦定理得 22π2cos33OA OB OA OB +-=. 因为 ()24OA OB OA OB +≤,所以 ()()()2223334OA OBOA OB OA OB OA OB+=+-≥+-.所以 ()212OA OB+≤,当且仅当3OA OB ==时,等号成立.所以 OA OB +的最大值为…………………… 9分27.(本小题满分10分)已知数列{}n a 的前n 项和31n n S =-,数列{}n b 满足11b =,13(2)n n n b b a n -=+≥,记数列{}n b 的前n 项和为n T .(Ⅰ)证明{}n a 为等比数列 ; (Ⅱ)求n T ;(Ⅲ)设n n n P S T =+,若对于任意*n ∈N ,都有11(1)1(1)n n nn P P λ-+-<+-⋅成立,求实数λ的取值范围 . (Ⅰ)证明 :因为 数列{}n a 的前n 项和31nn S =-, 所以 111(31)(31)23nn n n n n a S S ---=-=---=⋅ (2)n ≥.因为 1n =时,112a S ==,也适合上式, 所以 123n n a -=⋅ *()n ∈N .因为1123323n n n na a +-⋅==⋅,所以 数列{}n a 是首项为2,公比为3的等比数列. ……………… 2分 (Ⅱ)解 :当2n ≥时,11323n n n b b --=+⋅,将其变形为112233n n n n b b ---=+,即112233n n n n b b ----=.所以 数列13n n b -⎧⎫⎨⎬⎩⎭是首项为1013b =,公差为2的等差数列.所以112(1)213n n b n n -=+-=-.所以 1(21)3n n b n -=-⋅ *()n ∈N . 因为 0121133353(21)3n n T n -=⨯+⨯+⨯++-⋅, 所以 1233133353(21)3n n T n =⨯+⨯+⨯++-⋅. 两式相减得 121212(333)(21)3n n n T n -=--++++-⋅.整理得 (1)31n n T n =-⋅+ *()n ∈N . …………………………… 6分 (Ⅲ)解 :由 3nn n n P S T n =+=⋅, 得113(1)333n n n n P n nP n n ++⋅==+⋅+. 于是 11(1)1(1)n n n n P P λ-+-<+-⋅化为 1(1)1(1)33n n nn λ--<+-⋅+. (*) ① 当n 是正奇数时,(*)式可化为21333n λ<++, 显然,133n +大于0,且随着正奇数n 的增大而减小.由于(*)式对任意正奇数n 恒成立,所以 23λ≤. ② 当n 是正偶数时,(*)式可化为41333n λ>-++, 显然,133n +随着正偶数n 的增大而减小.由于(*)式对任意正偶数n 恒成立,所以411133239λ>-+=-⨯+.综上,实数λ的取值范围是112(]93-,.…………………………10分。
高中数学会考函数的概念与性质专题训练一、选择题:(本大题共12小题,每小题4分,共48分)1、映射f :X →Y 是定义域到值域的函数,则下面四个结论中正确的是 A 、Y 中的元素不一定有原象 B 、X 中不同的元素在Y 中有不同的象C 、Y 可以是空集D 、以上结论都不对2、下列各组函数中,表示同一函数的是 A 、||2x y x y ==与B 、2lg lg 2x y x y ==与C 、23)3)(2(+=--+=x y x x x y 与D 、10==y x y 与3、函数1+=x y 的定义域是A 、(-∞,+∞)B 、[-1,+∞ )C 、[0,+∞]D 、(-1,+∞)4、若函数y f x =()的图象过点(0,1), 则y f x =+()4的反函数的图象必过点A 、(4,—1)B 、(—4,1)C 、(1,—4)D 、(1,4)5、函数)10(≠>+=+=a a b ax y b a y x 且与函数的图像有可能是A B C D6、函数241x y --=的单调递减区间是A 、 ⎥⎦⎤ ⎝⎛∞-21,B 、 ⎪⎭⎫⎢⎣⎡+∞,21C 、 ⎥⎦⎤⎢⎣⎡-0,21 D 、 ⎥⎦⎤⎢⎣⎡21,07、函数f(x)()R x ∈是偶函数,则下列各点中必在y=f(x)图象上的是A 、())(,a f a -B 、())(,a f a --C 、())(,a f a ---D 、())(,a f a --8、如果奇函数f(x)在区间[3,7]上是增函数且最大值为5,那么f(x)在区间[-7,-3]上是A 、增函数且最小值是-5B 、增函数且最大值是-5C 、减函数且最大值是-5D 、减函数且最小值是-59、偶函数)(x f y =在区间[0,4]上单调递减,则有 A 、)()3()1(ππ->>-f f fB 、)()1()3(ππ->->f f fC 、)3()1()(ππf f f >->-D 、)3()()1(ππf f f >->-10、若函数)(x f 满足)()()(b f a f ab f +=,且n f m f ==)3(,)2.(,则)72(f 的值为A 、n m +B 、n m 23+C 、n m 32+D 、23n m +11、已知函数)(x f y =为奇函数,且当0>x 时32)(2+-=x x x f ,则当0<x 时,)(x f 的解析式 A 、32)(2-+-=x x x f B 、32)(2---=x x x fC 、32)(2+-=x x x fD 、32)(2+--=x x x f12、某学生离家去学校,由于怕迟到,所以一开始就跑步,等跑累了再走余下的路程。
高中数学会考试题及答案第一部分:选择题1. 下列哪个不是一次函数?A. f(x) = 2x + 3B. f(x) = 5x^2 - 3C. f(x) = 4x - 1D. f(x) = x/2 + 12. 已知直角三角形ABC,∠A = 90°,AB = 5 cm,AC = 12 cm,求BC的长度。
A. 10 cmB. 11 cmC. 13 cmD. 15 cm3. 解方程2x + 5 = 17的解为:A. x = 6B. x = 7C. x = 8D. x = 94. 已知函数f(x) = 3x - 2,求f(a + b)的值。
A. 4a + b - 2B. 2a + 3b - 2C. 3a + 3b - 2D. 3a + 3b + 25. 若三角形的三边分别为a, b, c,且满足c^2 = a^2 + b^2,这个三角形是:A. 等腰三角形B. 锐角三角形C. 直角三角形D. 钝角三角形第二部分:填空题6. 一个几何中心名为 ____________。
7. 一条直线和一个平面相交,交点个数为 ____________。
8. 未知数的指数为负数,表示 ____________。
9. 若两个角的和等于180°,则这两个角称为 ____________。
10. 在一个等边三角形中,每个内角大小为 ____________。
第三部分:解答题11. 用二分法求方程x^2 - 4x + 3 = 0在区间[1, 3]上的一个根的精确值。
12. 已知函数f(x) = 3x^2 - 12x + 9,求f(x)的最小值。
13. 若平面内通过点A(-2, 3)和点B(4, 1)的直线与x轴交于点C,求直线AC的斜率和方程。
答案:1. B2. C3. A4. B5. C6. 几何中心7. 一个8. 负数9. 互补角10. 60°11. 使用二分法可得根的精确值为2。
12. f(x)的最小值为 0。
高中数学会考练习题集练习一集合与函数(一)S={1,2,3,4,5},A={1,2},B={2,3,6},那么A B ______,A B ______,(C S A) B ______.2.A {x| 1 x 2},B {x|1 x 3},那么A B ______,A B ______.集合{a,b,c,d}的所有子集个数是_____,含有2个元素子集个数是_____. 图中阴影局部的集合表示正确的有________.( 1)C U(A B)(2)C U(A B)( 3)(CU A)(C U B)(4)(C U A)(C U B)A {(x,y)|x y 4},B {(x,y)|x y 6},那么A B=________.6 .以下表达式正确的有__________.(1)A BA B A(2)AB AAB (3)A(C U A)A(4)A(C U A)U7.假设{1,2}A{1,2,3,4},那么满足A集合的个数为____.以下函数可以表示同一函数的有________.(1)f(x)x,g(x)(x)2(2)f(x)x,g(x)x2(3)f(x)1,g(x)x0(4)f(x)x x1,g(x)x(x1)x x9.函数f(x)x23x的定义域为________.10.函数f(x)1的定义域为________.9x211.假设函数f(x)x2,那么f(x1)_____.12.f(x1) 2x 1,那么f(x) _______.13. f( x)x1,那么f(2)______.14. f(x)x 2,x 0,那么f(0)_____f[f(1)]_____.2,x15. 函数y2的值域为________.x16. 函数yx 2 1,x R 的值域为________. 17. 函数yx 2 2x,x(0,3)的值域为________.以下函数在(0,)上是减函数的有__________.(1)y2x1(2)y2(3)yx 2 2x (4)yx 2 x1x以下函数为奇函数的有________.(1)yx1 (2)yx 2x (3)y1(4)y1x20.假设映射f :AB 把集合A 中的元素(x,y)映射到B 中为(xy,xy),那么(2,6)的象是______,那么(2,6)的原象是________.21.将函数y1的图象向左平移2个单位,再向下平移1个单位,那么对应x .图象的解析式为某厂从1998年起年产值平均每年比上一年增长12.4%,设该厂1998年的产值为a,那么该厂的年产值y 与经过年数x 的函数关系式为________.练习二 集合与函数(二)1. 全集I={1,2,3,4,5,6},A={1,2,3,4},B={3,4,5,6}, 那么C I ∩ ).(A B)=(A.{3,4}B.{1,2,5,6}C.{1,2,3,4,5,6}D.Ф 2. 设集合M={1,2,3,4,5},集合N={x|x 2 9},M ∩N=( ).A.{x|3 x 3}B.{1,2}C.{1,2,3}D.{x|1x3}3. 设集合M={-2,0,2},N={0},那么( ).A .N 为空集 B.N ∈M M N4. 命题“ab 〞是命题“ac 2bc 2〞的____________条件.5. 函数y=lg(x 21)的定义域是__________________.6. 函数f(x )=log 3(8x+7),那么f(1)等于_______________.27.假设 f(x)=x+1 x ,那么对任意不为零的实数x 恒成立的是().A.f(x)=f(-x)B.f(x)=f(1)C.f(x)=-f(1)D.f(x)f(1)=0xxx8. 与函数y=x 有相同图象的一个函数是().2x2log a x(a>0,a ≠1)ax≠1)A.y=xB.y=xC.y=aD.y=loga(a>0,a 9.在同一坐标系中,函数y=logx 与y=log 2x 的图象之间的关系是().A.关于原点对称B.关于x 轴对称C.关于直线y=1对称.D.关于y 轴对称10. 以下函数中,在区间(0,+∞)上是增函数的是().2B.y=x 2-x+2C.y=(1) x D.y=log1A.y=-x2 x11. 函数y=log 2(x)是( ).在区间(-∞,0)上的增函数B.在区间(-∞,0)上的减函数C.在区间(0,+∞)上的增函数D.在区间(0,+∞)上的减函数 3x-112. 函数f(x)=3x +1( ).A.是偶函数,但不是奇函数B.是奇函数,但不是偶函数C.既是奇函数,又是偶函数D.不是奇函数,也不是偶函数 13. 以下函数中为奇函数的是().2x 2x2B.f(x)=|x|C.f(x)=x 3x 2A.f(x)=x+x -1D.f(x)=514.设函数f(x)=(m -1)x 2+(m+1)x+3是偶函数,那么m=________. 15. 函数f(x)=2|x|,那么函数f(x)().是奇函数,且在(-∞,0)上是增函数 是偶函数,且在(-∞,0)上是减函数 是奇函数,且在(0,+∞)上是增函数 是偶函数,且在(0,+∞)上是减函数 16.函数y=log 3|x|(x ∈R 且x ≠0)( ). 为奇函数且在(-∞,0)上是减函数 为奇函数且在(-∞,0)上是增函数 是偶函数且在(0,+∞)上是减函数 是偶函数且在(0,+∞)上是增函数 17.假设f(x)是以4为周期的奇函数,且 f(-1)=a(a ≠0),那么f(5)的值等于( ).A.5aB.-aC.aD.1-a 如果函数y=log a x 的图象过点(1,2),那么a=___________. 92 –log 23119. 实数27·log+lg4+2lg5的值为_____________.32820. 设a=log6.7,b=log5.6,那么a,b,c 的大小关系为()4.3,c=log2A.b<c<aB.a<c<bC.a<b<cD.c<b<a21.假设log 1 x 1,x 的取范是().2A.x1 1 C.x1 D.x2B.0x22练习三数列(一)1. 数列{a n }中,a 2 1,a n12a n1,a 1______.2.–81是等差数列–5,–9,–13,⋯的第〔 〕.3. 假设某一数列的通公式 a n 14n ,它的前50的和______.等比数列1,1,1,1,⋯的通公式________.3927等比数列2,6,18,54,⋯的前n 和公式S n =__________.21与21的等比中__________.7. 假设a,b,c 成等差数列,且a b c 8,b= .8. 等差数列{a n }中,a 3+a 4+a 5+a 6+a 7=150,a 2+a 8= .9. 在等差数列{a}中,假设a=2,a=10,a=________.n5101510.在等差数列{a}中,a 6 5, a 3 a 85,S 9_____.n数列1,3,9,27,81,⋯的一个通公式________.1591317 11. 在等比数列中,各均正数,且a 2a 69,log 1 (a 3a 4a 5)=.312. 等差数列中,a 124,d 2,S n =___________.数列{a n }的前和S n =2n 2–n ,数列的通公式_______.三个数成等比数列,它的和14,它的64,三个数 .练习四 数列(二)1.在等差数列{a n }中,a 5 8,前5的和S 510,它的首是__________,公差是__________.2.在公比2的等比数列中,前4的和45,首_____.3.在等差数列{a n}中,a1a2a3a4a515,那么a2a4=_______.4.在等差数列{a n}中,前n项的和S n4n2n,那么a20_____.5.在等差数列{a n}公差为2,前20项和等于100,那么a2a4a6...a20等于________.6.数列{a n}中的a n13a n2,且a3a520,那么a8_______. 37.数列{a n}满足a n12a n,且a11,那么通项公式a n______.8.数列{a n}中,如果2a n1a n(n1),且a12,那么数列的前5项和S5_.9.两数 5 1和 5 1的等比中项是__________________.10.等差数列{a n}通项公式为a n2n7,那么从第10项到第15项的和为___.11.a,b,c,d是公比为3的等比数列,那么2a b=___________.2c d12.在各项均为正数的等比数列中,假设a1a55,那么log5(a2a3a4)________.练习五三角函数(一)1.以下说法正确的有____________.(1)终边相同的角一定相等(2)锐角是第一象限角(3)第二象限角为钝角(4)小于90的角一定为锐角(5)第二象限的角一定大于第一象限的角角x的终边与角30的终边关于y轴对称,那么角x的集合可以表示为__________________________.终边在y轴上角的集合可以表示为________________________.终边在第三象限的角可以表示为________________________.在360~720之间,与角175终边相同的角有__________________.6.在半径为2的圆中,弧度数为的圆心角所对的弧长为________,扇形面积为__________.3角的终边经过点(3,-4),那么sin=______,cos=______,tan=_______.8.sin0且cos0,那么角一定在第______象限.9. “0〞是“是第一或第二象限角〞的________条件. sin 310. 计算:7cos 12sin0 2tan0 cos cos2 =________.2 11. 化简:tan cos ____.12. cos4, 且为第三象限角,那么sin _____,tan_____.513. tan1,且3,那么sin_____,cos_____.3214. tan2,那么sin2cos____.cos sin 15. 计算:sin(17) _____,cos(17)_____.3416. 化简:cos()sin( 2)____.sin()cos()练习六 三角函数(二)1. 求值:cos165=________,tan( 15)________.2. cos1,为第三象限角,那么sin()________,23cos() ________,tan()________.333. tanx,tany 是方程x 2 6x7 0的两个根,那么tan(xy)______.4. sin1, 为第二象限角,那么sin2 ______,3cos2______,tan2 ______.5. tan1,那么tan2 ______.26. 化简或求值:sin(xy)sinycos(xy)cosy ______,sin70cos10sin20sin170 ______,cos3sin______,1 tan15____,tan65tan53tan65tan5_____,1 tan15sin15cos15____, sin 2cos 2 ______222cos 21=______, 2tan150 =______.1 tan 21507.tan2,tan3,且, 都为锐角,那么______.8. sincos1,那么sin2______.29. sin1,那么sin 4 cos 4______.45,sinB3,那么sinC________.10.在ABC 中,假设cosA135练习七 三角函数(三)1. 函数y sin(x)的图象的一个对称中心是( ).4A.(0,0)B. (,1)C.(3,1)D.(3,0)44 42. 函数y cos(x )的图象的一条对称轴是().3 5A.y 轴B. xC.x xD. 33 6函数ysinxcosx 的值域是________,周期是______, 此函数的为____函数(填奇偶性).4. 函数ysinxcosx 的值域是________,周期是______,此函数的为____函数(填奇偶性).5. 函数ysinx3cosx 的值域是________,周期是______,此函数的为____函数(填奇偶性).8. 函数y3tan(x)的定义域是__________________,值域是________,周2 4期是______,此函数为______函数(填奇偶性).9. 比较大小:cos515___cos530,sin(15)____sin(14)89tan138____tan143,tan89 ___tan9110.要得到函数y2sin(2x)的图象,只需将y2sin2x 的图象上各点____411.将函数ycos2x 的图象向左平移个单位,得到图象对应的函数解析式为6________________.12.cos2 2),那么可能的值有_________.,(02练习八 三角函数(四)1.在0~360范围内,与-1050o 的角终边相同的角是___________.2.在0~2范围内,与10终边相同的角是___________. 3假设sinα<0且cosα<0,那么α为第____象限角.在360~360之间,与角175终边相同的角有_______________.5.在半径为2的圆中,弧度数为的圆心角所对的弧长为______________.36.角的终边经过点(3,-4),那么cos=______.π7.命题“x=2〞是命题“sinx=1〞的_____________条件.17)的值等于___________.8.sin(6ππ9.设4<α<2,角α的正弦.余弦和正切的值分别为a,b,c,那么().A.a<b<cB.b<a<cC.a<c<bD.c<b<a10.cos 4,且为第三象限角,那么tan_____. 511.假设tanα=2且sinα<0,那么cosα的值等于_____________.π12.要得到函数y=sin(2x-3)的图象,只要把函数y=sin2x的图象().ππA.向左平移3个单位B.向右平移3个单位ππC.向左平移6个单位D.向右平移6个单位tanα=-3(0<α<2π),那么角α所有可能的值是___________化简cosxsin(y-x)+cos(y-x)sinx等于_____________cos25o cos35o–sin25o sin35o的值等于_____________(写具体值).16.函数y=sinx+cosx的值域是()A.[-1,1]B.[-2,2]C.[-1,2]D.[-2,2]17.函数y=cosx-3sinx的最小正周期是()A. B.4C.ππ218.α3,90oαo,那么sin2α的值__________.sin=<<180519.函数y=cos2x-sin2x的最小正周期是()A.4πB.2πC.πD.π220.函数y=sinxcosx是()A.周期为2π的奇函数B.周期为2π的偶函数C.周期为π的奇函数D.周期为π的偶函数21.tan2,那么tan2________.练习九平面向量(一)1.以下说法正确的有______________.(1)零向量没有方向(2)零向量和任意向量平行(3)单位向量都相等(4)(a·b)·c=a·(b·c)(5)假设a·c=b·c,且c为非零向量,那么a=b(6)假设a·b=0,那么a,b中至少有一个为零向量.“ab〞是“a∥b〞的________________条件.以下各式的运算结果为向量的有________________. (1)a+b (2)a-b(3)a·b (4) a (5)|a b|(6)0·a 4.计算:QPNQ MN MP______.5.如图,在ABC中,BC边上的中点为M,设AB a,AC b,用a,b表示以下向量:BC ________,AM________,MB________.在□ABCD中,对角线AC,BD交于O点,设AB a,ADb,用a,b表示以下向量:AC________,.BD________,CO________,OB________.7.e1,e2不共线,那么以下每组中a,b共线的有______________.(1)a2e1,b3e1(2)a2e1,b3e2(3)a2e1e2,b e11e2(4)ae1e2,be1e2 28.|a|3,|b|4,且向量a,b的夹角为120,那么a·b________,|a b|__________.9.a(2,3),b(1,1),那么2ab______,a·b________,|a|______,向量a,b的夹角的余弦值为_______.12.a(1,2k),b(2,1),当a,b共线时,k=____;当a,b垂直时,k=____. A(1,2),B(2,4),C(x,3),且A,B,C三点共线,那么x=______.把点P(3,5)按向量a=(4,5)平移至点P’,那么P’的坐标为_______.将函数y2x2的图象F按a=(1,-1)平移至F’那么,F’的函数解析式为____.将一函数图象按a=(1,2)平移后,所得函数图象所对应的函数解析式为lgx,那么原图象的对应的函数解析式为_______.将函数yx22x的图象按某一向量平移后得到的图象对应的函数解析式为x2,那么这个平移向量的坐标为________.18.A(1,5),B(2,3),点M分有向线段AB的比2,那么M的坐标为____.19.P点在线段P1P2上,P1P2=5,P1P=1,点P分有向线段P1P2的比为__.20.P点在线段P1P2的延长线上,P1P2=5,P2P=10,点P分有向线段P1P2的比为_____.21.在ABC中,A45,C105,a5,那么b=_______.22.在ABC中,b2,c1,B45,那么C=_______.23.在ABC中,a23,b6,A30,那么B=_______.24.在ABC中,a3,b4,c37,那么这个三角形中最大的内角为______.25.在ABC中,a1,b2,C60,那么c=_______.26.在ABC中,a7,c3,A120,那么b=_______.练习十平面向量(二)小船以103km/h的速度向垂直于对岸的方向行驶,同时河水的流速为10km/h,那么小船实际航行速度的大小为().2km/h C.102km/h D.10km/h2.假设向量a=(1,1),b=(1,-1),c=(-1,2),那么c=().13133131A.-2a+2bB.2a-2bC.2a-2bD.-2a+2b 有以下四个命题:①假设a·b=a·c且a≠0,那么b=c;②假设b=0,那么a=0或b=0;③⊿ABC中,假设AB·AC>0,那么⊿ABC是锐角三角形;④⊿ABC中,假设AB·BC=0,那么⊿ABC是直角三角形.其中正确命题的个数是().4.假设|a|=1,|b|=2,c=a+b,且c⊥a,那么向量a与b的夹角为().o o o D150o5.a.b是两个单位向量,那么以下命题中真命题是().A.a=bB.a·b=0C.|a·b|<1D.a2=b26.在⊿ABC中,AB=4,BC=6,∠ABC=60o,那么AC等于().A.28B.76C.27D.2197.在⊿ABC中,a=3+1,b=2,c=2,那么角C等于().A.30oB.45oC.60oD.120o在⊿ABC中,三个内角之比A:B:C=1:2:3,那么三边之比a:b:c=().A.1: 3:2B.1:2:3C.2: 3:1D.3:2:1练习十一不等式1.不等式|12x|3的解集是__________.2.不等式|x1|2的解集是__________.3.不等式x24的解集是__________.4.不等式x2x20的解集是__________.5. 不等式x 2 x 10的解集是__________.6. 不等式x2 0的解集是__________.3 x7. 不等式x 2mxn0的解集是{x|x1,或x 2},那么m 和n 的值分别为__________.8.不等式 x 2 mx 4 0对于任意x 值恒成立,那么m 的取值范围为________.9.ab,cd ,以下命题是真命题的有_______________.(1)acb d (2)ac b d(3)a x b x(4)ac bd(5) a b(6)a 2b 2 (7)a 3 b 3(8)3 a3b (9) 11 (11)ax 2bx 2d ca b10. 2a5,4 b 6,那么ab 的取值范围是______________,那么ba 的 取值范围是______________,b的取值范围是___________.a11. a,b 0且ab 2,那么a b 的最___值为_______.12. a,b 0且a b 2, 那么ab 的最___值为_______.13. m0, 那么函数y2m8的最___值为_______,此时m=_______.m14. a>0,b>0是ab>0的( ).A.充分条件但不是必要条件B.必要条件但不是充分条件C.充分必要条件D.既非充分条件也非必要条件15. 假设a b 0,那么以下不等关系不能成立的是( ).A.11B.1 1 C.|a||b|D.a 2 b 2a b a b a16. 假设a b 0,m 0,那么以下不等式中一定成立的是().bbm B. aam C. bbm D.aamA.bbm aam bbmaam17. 假设x 0,那么函数y x1的取值范围是().xA.(, 2]B.[2, )C.(,2] [2,) D.[2,2]18. 假设x 0,那么函数y 463x 2有( ).x 2A.最大值 4 6 2B.最小值 46 2C.最大值46 2D.最小值46 2解以下不等式:(1) 1|2x3|5(2)|5xx 2|6(3) |x 23x8| 10练习十四 解析几何(一)直线l 的倾斜角为135,且过点A(4,1),B(m,3),那么m 的值为______.直线l 的倾斜角为135,且过点(1,2),那么直线的方程为____________. ..直线的斜率为4,且在x 轴上的截距为2,此直线方程为____________.4. 直线x3y2 0倾斜角为____________.5. 直线x 2y4 0 与两坐标轴围成的三角形面积为__________.6. 直线x 2y 4 0 关于y 轴对称的直线方程为________________.7.过点P(2,3)且在两坐标轴上截距互为相反数的直线方程为_____________. 以下各组直线中,互相平行的有____________;互相垂直的有__________.(1)y1x1与x2y2 0(2)yx 与2x 2y32(3)y x 与2x2y 3 0(4) x 3y2 0与y 3x3(5)2x 50与2y5(6)2x50与2x59.过点(2,3)且平行于直线2xy 5 0的方程为________________. 过点(2,3)且垂直于直线2xy5 0的方程为________________.直线l 1:xay2a20,l 2:axy1a0,当两直线平行时,a=______;当两直线垂直时,a=______.11. 直线x3y 5到直线x2y30的角的大小为__________. 12. 设直线l 1:3x4y20,l 2:2xy20,l 3:3x4y20,那么直线l 1与l 2的交点到l 3的距离为____________.13. 平行于直线3x4y20且到它的距离为 1的直线方程为____________.练习十五 解析几何(二)圆心在(1,2),半径为2的圆的标准方程为____________,一般方程为__________,参数方程为______________.圆心在点(1,2),与y轴相切的圆的方程为________________,与x轴相切的圆的方程为________________,过原点的圆的方程为________________3.半径为5,圆心在x轴上且与x=3相切的圆的方程为______________.4.一个圆的圆心在点(1,1),并与直线4x3y30相切,那么圆的方程为______.5.点P(1,1)和圆x2y22x4y20的位置关系为________________.6.圆C:x2y24,1〕过点(1,3)的圆的切线方程为________________.2〕过点(3,0)的圆的切线方程为________________.3〕过点(2,1)的圆的切线方程为________________.4〕斜率为-1的圆的切线方程为__________________.7.直线方程为3x4yk0,圆的方程为x2y26x50〔1〕假设直线过圆心,那么k=_________.〔2〕假设直线和圆相切,那么k=_________.〔3〕假设直线和圆相交,那么k的取值范围是____________.〔4〕假设直线和圆相离,那么k的取值范围是____________.8.在圆x2y28内有一点P(1,2),AB为过点P的弦.〔1〕过P点的弦的最大弦长为__________.〔2〕过P点的弦的最小弦长为__________.练习十六解析几何(三)1.椭圆的方程为y2x21,那么它的长轴长为______,短轴长为______,916焦点坐标为________,离心率为________,准线方程为____________.在坐标系中画出图形.2.双曲线的方程为y2x21,那么它的实轴长为______,虚轴长为916______,焦点坐标为________,离心率为________,准线方程为____________,渐近线方程为__________.在坐标系中画出图形.3.经过点P(3,0),Q(0,2)的椭圆的标准方程是_____________.4.长轴长为20,离心率为3,焦点在y轴上的椭圆方程为__________. 55.焦距为10,离心率为5,焦点在x轴上的双曲线的方程为__________.36.与椭圆x2y21有公共焦点,且离心率为5的双曲线方程为________.244947.椭圆的方程为x24y216,假设P是椭圆上一点,且|PF1|7,那么|PF2|________.8.双曲线方程为16x29y2144,假设P是双曲线上一点,且|PF1|7,那么|PF2|________.双曲线经过P(2,5),且焦点为(0,6),那么双曲线的标准方程为______10.椭圆x2y21上一点P到左焦点的距离为12,那么P点到左准线的距16925离为__________.11.双曲线x2y21上点P到右准线的距离为32,那么P点到右焦点的距64365离为__________.12.一等轴双曲线的焦距为4,那么它的标准方程为____________________.13.曲线方程为x2y29k k1,4当曲线为椭圆时,k的取值范围是______________.当曲线为双曲线时,k的取值范围是______________.14.方程y2=2px(p>0)中的字母p表示().A.顶点、准线间的距离B.焦点、准线间的距离C.原点、焦点间距离D.两准线间的距离15.抛物线y22x的焦点坐标为__________,准线方程为____________.16.抛物线x21y的焦点坐标为__________,准线方程为____________. 217.顶点在原点,对称轴为坐标轴,焦点为(2,0)的抛物线方程为________.18.顶点在原点,对称轴为坐标轴,准线方程为y1的抛物线方程为____.8经过点P(4,8),顶点在原点,对称轴为x 轴的抛物线方程为__________.练习十七 解析几何(四)如果直线l 与直线3x -4y+5=0关于y 轴对称,那么直线l 的方程为_____.直线3x+y+1=0的倾斜角的大小是__________. 3过点(1,-2)且倾斜角的余弦是-5的直线方程是______________. 假设两条直线l 1:ax+2y+6=0与l 2:x+(a -1)y+3=0平行,那么a 等于_________.5. 过点(1,3)且垂直于直线2xy50的方程为________________.6. 图中的阴影区域可以用不等式组表示为〔〕.x 0 x 1x 1x 1A.y1B.y 0C.y 0D.yx y10xy10 xy10 xy10圆的直径两端点为(1,2),(3,4),那么圆的方程为_____________.圆心在点(1,2)且与x 轴相切的圆的方程为________________.9.圆C:x 2 y 2 4x 2y 20 0,它的参数方程为_________________.x 2cos θ圆的参数方程是{(θ为参数),那么该圆的普通方程是______ y2sin θ 圆x 2+y 2-10x=0的圆心到直线3x+4y -5=0的距离等于___________. 过圆x 2+y 2=25上一点P(4,3),并与该圆相切的直线方程是____________. 椭圆的两个焦点是F 1(-2,0)、F 2(2,0),且点A(0,2)在椭圆上,那么这个椭圆的标准方程是_________.14. 椭圆的方程为x 2+y2=1,那么它的离心率是__________.9 25x 2 y 215. 点P 在椭圆36+100=1上,且它到左准线的距离等于 10,那么点P 到左焦点的距离等于______.x 2 y 2 5 16. 与椭圆9+4=1有公共焦点,且离心率e=2的双曲线方程是〔〕y 2x 2x 2y 2A.x 2-4=1B.y 2-4=1C.4-y 2=1D.4-x 2=1 17. x 2y 2 =1的渐近线方程是___________.双曲线4-9x2y218. 如果双曲线 64-36=1上一点P 到它的右焦点的距离是 5,那么点P 到它的 右准线的距离是___________.19. 抛物线y 2 2x 的焦点坐标为__________.20. 抛物线x 21 y 的准线方程为__________.2假设抛物线y 2=2px 上一点横坐标为6,这个点与焦点的距离为10,那么此抛物线的焦点到准线的距离是_______.练习十八立体几何(一)判断以下说法是否正确: 以下条件,是否可以确定一个平面: [](1)不共线的三个点 [ ](2)不共线的四个点 [ ](3)一条直线和一个点 [](4)两条相交或平行直线 关于空间中的直线,判断以下说法是否正确:[ ](1)如果两直线没有公共点,那么它们平行[ ](2)如果两条直线分别和第三条直线异面,那么这两条直线也异面[ ](3)分别位于两个平面内的两条直线是异面直线[ ](4)假设a,b,//,那么a,b 异面 [ ](5)不在任何一个平面的两条直线异面 [ ](6)两条直线垂直一定有垂足[ ](7)垂直于同一条直线的两条直线平行[ ](8)假设ab,a//c ,那么cb [ ](9)过空间中一点有且只有一条直线和直线垂直[ ](10)过空间中一点有且只有一条直线和直线平行关于空间中的直线和平面,判断以下说法是否正确:[ ](1)直线和平面的公共点个数可以是 0个,1个或无数 [ ](2) 假设a//b,b ,那么a//[[](3)如果一直线和一平面平行,那么这条直线和平面的任意直线平行](4)如果一条直线和一个平面平行,那么这条直线和这个平面内的无数条直线平行[](5)假设两条直线同时和一个平面平行,那么这两条直线平行[](6)过平面外一点,有且只有一条直线和平面平行[](7)过直线外一点,有无数个平面和直线平行[](8)假设a//,b,且a,b共面,那么a//b关于空间中的平面,判断以下说法是否正确:[](1)两个平面的公共点的个数可以是0个,1个或无数[](2)假设a,b,a//b,那么//[](3)假设a,b,//,那么a//b[](4)假设a,//,那么a//[](5)假设a//,b//,那么a//b[](6)假设a//,a//,那么//[](7)假设一个平面内的无数条直线和另一个平面平行,那么这两个平面平行[](8)假设//,a,那么a//[](9)假设两个平面同时和第三个平面平行,那么这两个平面平行[](10)假设一个平面同两个平面相交且它们的交线平行,那么两平面平行[](11)过平面外一点,有且只有一个平面和平面平行关于直线与平面的垂直,判断以下说法是否正确:[](1)如果一直线垂直于一个平面内的所有直线,那么这条直线垂直于这个平面[](2)假设l,a ,那么l a[](3)假设m,l m,那么l[](4)假设m,n,l m,l n,那么l[](5)过一点有且只有一条直线和平面垂直[](6)过一点有无数个平面和直线垂直关于平面和平面垂直,判断以下说法是否正确:[](1)假设a,a,那么[](2)假设a,b,a b,那么[](3)假设,a,b,,那么ab[](4)假设a,,那么a[](6)假设,//,那么[](7)垂直于同一个平面的两个平面平行[](8)垂直于同一条直线的两个平面平行[](9)过平面外一点有且只有一个平面与平面垂直判断以下说法是否正确:[](1)两条平行线和同一平面所成的角相等[](2)假设两条直线和同一平面所的角相等,那么这两条直线平行[](3)平面的平行线上所有的点到平面的距离都相等[](4)假设一条直线上有两点到一个平面的距离相等,那么这条直线和平面平行练习十九立体几何(二)1.假设平面的一条斜线长为2,它在平面内的射影的长为3,那么这条斜线和平面所成的角为________.2.在一个锐二面角的一个面内有一点,它到棱的距离是到另一个平面距离的2倍,那么这个二面角的大小为________.3.AB为平面的一条斜线,B为斜足,AO,O为垂足,BC为平面内的一条直线,ABC60,OBC45,那么斜线AB与平面所成的角的大小为________.(1)观察题中正方体ABCD-A1B1C1D1中,用图中已有的直线和平面填空:和直线BC垂直的直线有_________________.和直线BB1垂直且异面的直线有__________.和直线CC1平行的平面有________________.和直线BC垂直的平面有________________.和平面BD1垂直的直线有________________.在边长为a正方体ABCDA1B1C1D!中A1C1与B1C所成的角为________.AC1与平面ABCD所成的角的余弦值为________.(3)平面ABCD与平面BDD1B1所成的角为________.(4)平面ABCD与平面ADC1B1所成的角为________.(5)连结BD,BA1,DA1,那么二面角A BD A1的正切值为________.AA1与BC的距离为________.AA1与BC1的距离为________.在棱长均为a的正三棱锥SABC中,棱锥的高为______.棱锥的斜高为________.SA与底面ABC的夹角的余弦值为________.二面角SBCA的余弦值为________.取BC中点M,连结SM,那么AC与SM所成的角的余弦值是_____.假设一截面与底面平行,交SA于A’,且SA’:A’A=2:1,那么截面的面积为______.在棱长均为a的正四棱锥SABCD中,棱锥的高为______.棱锥的斜高为________.SA与底面ABCD的夹角为________.二面角SBCA的大小为________.8.正四棱锥的底面边长为42,侧面与的角为45,那么它的侧面积为_________.底面所成在正三棱柱ABCA1B1C1中,底面边长和侧棱长均为a,取AA1的中点M,连结CM,BM,那么二面角M BC A的大小为_________.10.长方体的长、宽、高分别是2、3、4,那么它的一条对角线长为_____.在正三棱锥中,侧面都是直角三角形,那么底面边长为a时,它的全面积是______.假设球的一截面的面积是36,且截面到球心的距离为8,那么这个球的体积为______,外表积为_________.半径为R球的内接正方体的体积为__________.两个球的大圆面积比为1:4,那么它们的半径之比为________,外表积之比为_______,体积之比为______.练习二十立体几何(三)解答题:1.在四棱锥P ABCD中,底面是边长为a的正方形,侧棱PD a,PA PC2a.求证:PD平面ABCD;(2)求证:PB AC;求PA与底面所成角的大小;(4)求PB与底面所成角的余弦值.2.在正四棱柱ABCD A1B1C1D1中,AB=1,AA12.(1)求BC1与平面ABCD所成角的余弦值;证明:AC1BD;求AC1与平面ABCD所成角的余弦值.在直三棱柱ABC-A1B1C1中,D是AB的中点,AC=BC=2,AA1=23.求证:A1DDC;(2)求二面角A1CD A的正切值;(3)求二面角A1BC A的大小.4.四棱锥P-ABCD的底面是正方形,PD⊥底面ABCD,且BD=6,PB与底面所成角的正切值为(1)求证:PB⊥AC;求P点到AC的距离. 6 6。
高中数学会考练习题一、选择题(每题3分,共30分)1. 已知函数f(x) = 2x - 3,求f(2)的值。
A. 1B. -1C. 3D. 52. 若a > 0,b < 0,且|a| < |b|,则a + b的符号是:A. 正B. 负C. 零D. 不确定3. 计算下列三角函数值:sin(30°) = ?A. 1/2B. √3/2C. 1/√2D. √2/24. 一个等差数列的首项是3,公差是2,那么它的第5项是多少?A. 13B. 11C. 9D. 75. 一个圆的半径是5,那么它的面积是多少?A. 25πB. 50πC. 100πD. 256. 已知集合A={1, 2, 3},B={2, 3, 4},求A∩B。
A. {1, 2, 3}B. {2, 3}C. {1, 2}D. {3, 4}7. 直线y = 2x + 1与x轴的交点坐标是:A. (1/2, 0)B. (-1/2, 0)C. (0, 1)D. (0, -1)8. 计算复数(1+i)(1-i)的值。
A. 2B. 0C. -2D. 19. 一个长方体的长、宽、高分别为2、3、4,那么它的体积是多少?A. 24B. 12C. 8D. 610. 函数y = x^2 - 4x + 4的最小值是:A. 0B. 1C. 4D. -4二、填空题(每题4分,共20分)11. 已知等比数列的首项是2,公比是3,那么它的第3项是________。
12. 一个直角三角形的两条直角边长分别为3和4,那么它的斜边长是________。
13. 计算定积分∫(0 to 1) x^2 dx的值是________。
14. 一个正六边形的边长是a,那么它的面积是________。
15. 已知函数f(x) = x^3 - 3x^2 + 2,求f'(x)。
三、解答题(每题10分,共50分)16. 已知函数f(x) = x^2 - 6x + 8,求该函数的顶点坐标。
高中数学会考练习题集Last updated on the afternoon of January 3, 2021當中数学会考练习題集练习一僚合与函数(一)1.已知S二{1, 2, 3, 4, 5} , A 二{1, 2} , B= {2, 3, 6},贝IJAAB = _____ MUB = _______ , (C S A)\JB = _______ .2.已知A = {xl -1 < x< 2),B = (xl 1 <x < 3),贝A C\B =_____ , A U B = _____ .3. ______________________________ 集合{a.b^d}的所有子集个数是,含有2个元素子集个数是4. ___________________________________ 图中阴影部分的集合表示正确的有■(DgUB) (2)C“(AC|B)(3) (Q. A) U (5 B) (4)(Q. A) A (Q. B)5.已知A = {(x,y)Ix-y = 4},B = {(x,y)lx+y = 6),则A AB = _____________6. _________________________ 下列表达式正确的有•(3)An(C£/A) = A ^A{j(C u A) = U7.若{1,2}号Ac{1,2,3,4},则满足A集合的个数为—.&下列函数可以表示同一函数的有_______ •(1)/(X)= x, g(x)=(仮)2 (2) f(x) = x, g(x)=纭(3) /(x) = —, g(x) = —(4) /(x) = 4x・ Jx + 1, g(x) = Jx(x+1)X X9.函数/(兀)=片I + _ 的定义域为•10. ________________________________ 函数/⑴=^2=的定义域为•V9-x211.若函数加」,贝悴+ 1) = ________ .12•已知f(x+\) = 2x- = ________ ・13. ______________________________ 已知/(V7) = X-1,则/(2) = •r ~ r < 014•已知/(%)= J & 则/(°)=____________ /[/(-!)] = ____ ・2,x > 0215 •函数y =—二的值域为______ ・x16.函数y = x2 +l,xe /?的值域为________ •17. __________________________________ 函数y = x2 - 2x,x e (0,3)的值域为.21.将函数>=丄的图象向左平移2个单位,再向下平移1个单位,则对应X图象的解析式为:练习二僚合与出數(二)1•已知全集/={1, 2, 3, 4, 5, 6}, A={1, 2, 3, 4), B={3, 4, 5, 6), 那么C/(AClB)=().A.{3, 4}B.{1, 2, 5, 6)C.{1, 2, 3, 4, 5, 6}D.①2.设集合M={1, 2, 3, 4, 5},集合N={X\X2<9}, MAA^=().A.{X I-3<X<3)B.{1, 2}C.{1, 2, 3}D.{ xl 1 < x< 3 }3.设集合M={ - 2, 0, 2}, N={0},则0.A . N为空集Euu函数y=lg(x2-l)的定义域是 _____________________ •6.已知函数)=log?(8x+7),那么几[)等于 __________________ •&与函数)=1•有相同图象的一个函数是().===6/1°"/(^>0,«7:1 )=logflt/(a>0,a7=l)9.在同一坐标系中,函数y=log05x与)=log2X的图象之间的关系是().A.关于原点对称B.关于x轴对称C.关于直线)=1对称.D.关于y轴对称10.下列函数中,在区间(0, P)上是增函数的是()•二 _*_对二()二log。
高中会考试题数学及答案一、选择题(每题3分,共30分)1. 下列函数中,哪一个是奇函数?A. f(x) = x^2B. f(x) = x^3C. f(x) = x^4D. f(x) = x^5答案:B2. 已知集合A={1, 2, 3},集合B={2, 3, 4},则A∩B等于:A. {1, 2, 3}B. {2, 3}C. {2, 4}D. {1, 4}答案:B3. 若直线方程为y = 2x + 3,则该直线的斜率是:A. 1/2B. 2C. 3D. -2答案:B4. 计算下列极限:\[\lim_{x \to 0} \frac{\sin x}{x}\]A. 0B. 1C. -1D. ∞答案:B5. 已知函数f(x) = 2x - 1,求f(3)的值:A. 4B. 5C. 6D. 7答案:B6. 计算下列定积分:\[\int_{0}^{1} x^2 dx\]A. 1/3B. 1/2C. 2/3D. 1答案:A7. 已知向量a = (3, -2),向量b = (-1, 4),则向量a与向量b的点积为:A. -5B. -2C. -10D. 10答案:B8. 计算下列二项式展开式的第三项:\[(1 + x)^5\]A. 5x^3B. 10x^2C. 10x^3D. 5x^2答案:C9. 已知矩阵A和B,且AB = BA,下列哪个矩阵是A和B的乘积?A. ABB. BAC. A + BD. A - B答案:A10. 计算下列方程的解:\[2x^2 - 5x + 2 = 0\]A. x = 1/2 或 x = 2B. x = 1 或 x = 2C. x = 1/2 或 x = 1D. x = 2 或 x = 4答案:A二、填空题(每题4分,共20分)11. 已知函数f(x) = x^2 - 4x + 3,求该函数的顶点坐标。
答案:(2, -1)12. 计算下列三角函数值:\[\sin(30^\circ)\]答案:1/213. 已知等差数列的首项a1 = 3,公差d = 2,求第5项的值。
数学高中会考试题及答案一、选择题(每题3分,共30分)1. 若函数f(x) = 2x^2 - 4x + 3,下列哪个选项是f(x)的对称轴?A. x = 1B. x = -1C. x = 2D. x = 0答案:A2. 已知集合A = {1, 2, 3},B = {2, 3, 4},求A∩B。
A. {1, 2}B. {1, 3}C. {2, 3}D. {3, 4}答案:C3. 若复数z = 1 + i,求|z|。
A. 1B. √2C. 2D. √3答案:B4. 已知等差数列{an}的首项a1 = 2,公差d = 3,求a5。
A. 11B. 14C. 17D. 20答案:B5. 函数y = sin(x) + cos(x)的值域是?A. [-1, 1]B. [-√2, √2]C. [0, 2]D. [1, 2]答案:B6. 若直线l:y = 2x + 1与x轴交于点A,与y轴交于点B,求|AB|。
A. √5B. √10C. 2√5D. 5答案:A7. 已知双曲线C:x^2/a^2 - y^2/b^2 = 1(a > 0,b > 0),若其渐近线方程为y = ±(√2)x,求b/a的值。
A. √2B. √3C. 2D. 3答案:A8. 已知抛物线y^2 = 4x的焦点F,点P(1, 2)在抛物线上,求|PF|。
A. 1B. 2C. 3D. 4答案:C9. 已知向量a = (3, -2),b = (1, 2),求a·b。
A. -1B. 2C. 4D. -4答案:D10. 若函数f(x) = x^3 - 3x^2 + 2在x = 1处取得极值,求该极值。
A. 0B. 1C. -1D. 2答案:B二、填空题(每题4分,共20分)11. 已知等比数列{bn}的首项b1 = 2,公比q = 3,求b3。
答案:1812. 已知圆C:(x - 1)^2 + (y + 2)^2 = 9,求圆心坐标和半径。
.高中数学会考函数的概念与性质专题训练一、选择题:Y1fX是定义域到值域的函数,则下面四个结论中正确的是:、映射→YY BX A 中有不同的象中的元素不一定有原象、中不同的元素在、 D CY 、以上结论都不对可以是空集、2、下列各组函数中,表示同一函数的是2xy?lg?y2lgx与2 A B 、、|xy?x与y?|))(2x?3(x?02??xy?与y1?与yy?x C D、、3?x??x1y3 、函数的定义域是) (1,+[0,+] D A(,+) B[1,+ C、)、、、????????)4(fx?f(x)y?y? 4(01), 的反函数的图象必过点、若函数的图象过点则, 4 D141 C14 A41 B),,)),—、(—、(、(、(,—)x)1且a?b(a?y?a0?b与函数y?ax? 5的图像有可能是、函数yyyyxxxxOO O ODC B A2 6的单调递减区间是、函数x?y?1?41111????????,,????,0,?0?? A B C D 、、、、??????2222??????????Rx?y=f(x)f(x) 7图象上的是、函数是偶函数,则下列各点中必在????????)?a,?ffa,?(?a)(a(aa?,f()a?,?fa)? C B A D 、、、、8f(x)[37]5f(x)[73] 上是,那么,-上是增函数且最大值为、如果奇函数在区间在区间,-A5 B5 、增函数且最大值是-、增函数且最小值是-D 55 C 、减函数且最小值是-、减函数且最大值是-y?f(x)[094] 上单调递减,则有、偶函数在区间,;...????)?f(?f()?f(?1f(?1)?f()?f(?))BA 、、33????)()?f(?1)?f(f(?)?f(?1)?f()?f CD 、、33)72?nf()?m,f(3)(ab)?f(a)?f(b)f.(2f(x)f 10的值为满足、若函数,且,则n?m23n?3m3m?2n2 B ACD n?m、、、、2)xf(y?f(x)3?2?xx?f(x)0xx?0?11 的解析式,则当、已知函数时,为奇函数,且当时2232x??x????xf?2x?3(x))f(x B A 、、2232x(fx)?x??2x?3?x??f(x) D C 、、12、某学生离家去学校,由于怕迟到,所以一开始就跑步,等跑累了再走余下的路程。
在下图中纵轴表示离学校的距离,横轴表示出发后的时间,则下图中的四个图象中较符合该学生走法的是d ddd 0 0tOOt tt 0 0 B、A、d d dd0ttOt Ot 0 0 D、C、二、填空题:f(5)f(x)=5g(x)g(x)f5=5, 13。
--,且为奇函数,已知则(-的值为、设)x?1?y?x1 14 。
)反函数为≤(、函数1)≤?x?2 (x??2?x2)??1?xf(x)?x (3?(x)f 15 ?。
,则、设,若?2)x2 (x≥?xxxx.16Rf(x)f(x)f()=若函数满足,则称、对于定义在上的函数的一个不动点,若实数是函数00002af(x)=1?ax?x。
的取值范围是没有不动点,则实数分)三、解答题:(本大题共364小题,共2??xf(x)[+∞17 )上的单调性.、试判断函数,在2xa2)xfy?(01a(fa??)?)?a(?f21118,试,、函数在(-)上是减函数,且为奇函数,满足求的范围.;...1920m的铁丝网,一边靠墙,围成三个大小相等、紧紧相连的长方形,那么长方形长、、如图,长为宽、各为多少时,三个长方形的面积和最大?x?2(a?0,a)f(x?log?1) 20.、给出函数a x?2 1求函数的定义域;)(2判断函数的奇偶性;();...夹角、距离、简单多面体与球专题训练高中数学会考分)一、选择题:(本大题共12小题,每小题4分,共48 1、两个对角面都是矩形的平行六面体是 D A B C 、直平行六面体、长方体、正四棱柱、正方体ABC-A2BCACBC所成的角是与中,异面直线、正三棱柱11111000 0 C90A 30DB60120、、、、8332,那么这个正六棱柱的高是,最长的对角线长为、已知一个正六棱柱的底面边长是3 C4 D A B 3342、、、、4、正四棱锥相邻的侧面所成二面角的平面角是 D A B C 、以上均有可能、直角、锐角、钝角1:25,则此棱锥的高(自上而下)、一棱锥被平行于底面的平面所截,若截面面积与底面面积之比是被分成两段长度之比为)?2?1)1(2( D1:1: B 1:4 C A1: 、、、、2 6、在四棱锥的四个侧面中,可以是直角三角形的个数最多是 1 C2 D4 A B3 个、、、、个个个P7P-ABCPA=PB=PC在底面三角形的射影是底面三角形的中,若,则顶点、三棱锥 C D A B 、垂心、外心、内心、重心8、四棱柱成为平行六面体的一个充分不必要条件是 B A 、底面是平行四边形、底面是矩形 D C 、两个相邻侧面是矩形、有一个侧面为矩形BCAABC9AD2ABCAD到折成直二面角后,点、已知的边上的高,沿是边长为将△的正三角形的距离为143147CADB 、、、、42220030bPP5010aba的直线为空间一定点,则过点所成角都是、已知异面直线,、所成的角为且与、有且仅有A1 B2 C3 D4 条、、、条条条、;.. .??????, B,B??,A,? ??A?AB 11、是直二面角,,设直线所成的角分别为、二面角与1?则200????90?90???AB 、、221100????90???90? C D 、、2112???,, P123O、、二面角,若空间有一点两两垂直且交于一点到这三个平面的距离分别是PO412的距离为则点、到点 D.135 B C A101534、、、、分)分,共16二、填空题:(本大题共4小题,每小题4=,ABCABCDABCD-ABC13AB=3,BC=1,CCD3中,则平面长方体所成的角的度数是与平面、111111____________14V-ABCaM,NVC,ABMN______的长为、正三棱锥分别是的各棱长均为的中点,则,00090?C?A?30?,AB45 15ABC,BC角时,、有一个三角尺,贴于桌面上,当三角尺与桌面成________.边与桌面所成角的正弦值是???04A,BABAB3016,在平面,线段同侧,线段、已知点所在直线与内射影长为所成角为在??_____________________8AB ABM。
,则的距离分别为的距离为两端到平面的中点和到分)364小题,共三、解答题:(本大题共17 径为的直,冰留下一个空穴面圆面上取出冰后,湖着一面上、湖漂浮个球面结将球,冰24cm8cm ,求该球的半径。
,空穴最深处距冰面为;...高中数学会考指数函数与对数函数专题训练一、选择题:(本大题共12小题,每小题4分,共48分)3 1 2、化简[]的结果为3)?5(45C5BD A55、-、、、-x 2y=5+1的反函数是、函数5y=log5+1Cy=log(x1)D Ay=log(x+1)By=log、-、、、(x+1)x55x0xf()?x1f(x)?2? 3的值的集合是、函数,使成立的????????1xx?0xx?0xx?1xx? C ADB、、、、10.90.44?1.5)?4,yy,?8?y( 4,则、设3212Byyy Cyyy Dyyy Ayyy >>>>、>、、>、>>23132321321125532?lg2lg?lg 5等于、16981Blg3 Clg4 Dlg5Alg2 、、、、a=2log82log6a3-6,的代数式可表示为则、若用332 2 aD3a B(1+a)3a 5a2 C2 Aa ---、-、、、72002125200320%,问哪一年这个、某企业万元,计划从年的产值为年起平均每年比上一年增长216 万元企业的产值可达到A2004 B2005 C2006 D2007 年、年年、年、、2=2logx=18logx 成立”的、“等式成立”是“等式33 A B 、必要不充分条件、充分不必要条件D C、既不充分也不必要条件、充要条件x)=xf(3) 9f(10的值是、若,则310310D 10AlogBlg3C、、、、3xx的图象b)(a)(则函数?,?其中?lgalg?b0(a1b1),fx?与gx? 10、若;...x B Ay=x轴对称、关于直线、关于对称DC y 、关于原点对称轴对称、关于yax)?(1?x)?a1(a?0且ay?11 ,与函数的图象只能是、下列函数图象中,函数y y y y1111 O x O x O x O xA B C D12 、下列说法中,正确的是xxxxx--y x∈Ra③a=(①x ∈R3)2a ②13是增函数>>当都有>任取都有时,任取xx||y?logx y=x 1 ⑤y=2④y=2对称在同一坐标系中,与的最小值为的图象关于直线2 A①②④B④⑤C②③④D①⑤、、、、分)分,共164小题,每小题4二、填空题:(本大题共2logx?1?log3x 13 。
的值是、已知,则66111?031??14 9??()(24??(?)).、计算:=242?1a= 15y=lg(ax+1) 。
、函数的定义域为(-),则,x)-1 _ 2∈16x2=3y .、当-[-的值域是,时,分)36三、解答题:(本大题共4小题,共x1-178f(x)=ab(13)f(x)(20)f(x)点,试确定的图象过+的图象过点(分)已知函数,,且它的反函数,、的解析式.;...?Ay=log≤x ∈A188xR2≤x 上的函数|={},定义在集合、(分)设a(a0a≠1)1a 的值>,,求的最大值比最小值大;...≥2xxbxaxfffx )2-1)=-且恒成立,1019、(分).已知(()=+(2+lg )lg+2,(ab的值.求、12a?xx1??24a??≤2200≤10xy=的最大值和最小值.(、分)设,求函数22;...不等式专题训练高中数学会考一、选择题:0b?a? 1,则下列不等式中成立的是、已知a11?1?221a?b? C AD B b?a、、、、bab2 2的定义域为、函数xy??4??????2,?2??,?22 ?? B A、、??????2??,?2 ,2,???2 CD 、、11??,?2??ba? 30ax?bx?2?等于、不等式的解集为,则32??10?14?B10CD14 A 、、、、Rb?a,0ab? 4,那么下列不等式中恒成立的是、设且b?b?a?a?ba?a?b BA 、、b??a??aba?ba?b D C 、、1?x 5同解的是、下列不等式中,与11?1x??2 A B x?x、、xx????????2222 CD 4xx?x?4x??x?44x?、、2b?,且a?,b?R,a?ba 6,则、已知2222ba?b?a A B ?1?ab1ab??、、222222ba?ba? DC?ab?1?1ab?、、221?0?a 7,给出下列四个不等式:、对于1??1??1?1?1?aloglog ???1;①;②③;④?1a?1a1?a?aaa?a a aa a??)其中成立的是(DCB A 、②④、①④、①③、②③二、填空题:x?x?2 1 。