等差数列经典例题
- 格式:doc
- 大小:1.97 MB
- 文档页数:17
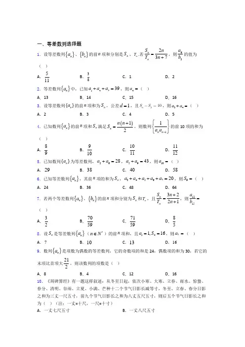
一、等差数列选择题1.设等差数列{}n a 、{}n b 的前n 项和分别是n S 、n T .若237n n S n T n =+,则63a b 的值为( ) A .511B .38C .1D .22.等差数列{}n a 中,已知14739a a a ++=,则4a =( ) A .13B .14C .15D .163.设等差数列{}n a 的前n 项和为n S ,公差1d =,且6210S S ,则34a a +=( )A .2B .3C .4D .54.已知数列{}n a 的前n 项和n S 满足()12n n n S +=,则数列11n n a a +⎧⎫⎨⎬⎩⎭的前10项的和为( ) A .89B .910C .1011D .11125.已知数列{}n a 为等差数列,2628a a +=,5943a a +=,则10a =( ) A .29B .38C .40D .586.已知等差数列{}n a ,其前n 项的和为n S ,3456720a a a a a ++++=,则9S =( ) A .24B .36C .48D .647.若两个等差数列{}n a ,{}n b 的前n 项和分别为n S 和n T ,且3221n n S n T n +=+,则1215a b =( ) A .32B .7059C .7159D .858.设n S 是等差数列{}n a (*n N ∈)的前n 项和,且141,16a S ==,则7a =( ) A .7B .10C .13D .169.数列{}n a 是项数为偶数的等差数列,它的奇数项的和是24,偶数项的和为30,若它的末项比首项大212,则该数列的项数是( ) A .8B .4C .12D .1610.《周碑算经》有一题这样叙述:从冬至日起,依次小寒、大寒、立春、雨水、惊蛰、春分、清明、谷雨、立夏、小满、芒种十二个节气日影长减等寸,冬至、立春、春分日影之和为三丈一尺五寸,前九个节气日影长之和为八丈五尺五寸,则后五个节气日影长之和为( )(注:一丈=十尺,一尺=十寸) A .一丈七尺五寸B .一丈八尺五寸C .二丈一尺五寸D .二丈二尺五寸11.在函数()y f x =的图像上有点列{},n n x y ,若数列{}n x 是等比数列,数列{}n y 是等差数列,则函数()y f x =的解析式可能是( ) A .3(4)f x x =+B .2()4f x x =C .3()4xf x ⎛⎫= ⎪⎝⎭D .4()log f x x =12.在等差数列{}n a 中,若n S 为其前n 项和,65a =,则11S 的值是( ) A .60B .11C .50D .5513.已知数列{}n a 的前项和221n S n =+,n *∈N ,则5a =( )A .20B .17C .18D .1914.等差数列{}n a 的前n 项和为n S ,已知58a =,36S =,则107S S -的值是( ) A .48B .60C .72D .2415.冬春季节是流感多发期,某地医院近30天每天入院治疗流感的人数依次构成数列{}n a ,已知11a =,22a=,且满足()211+-=+-nn n a a (n *∈N ),则该医院30天入院治疗流感的共有( )人A .225B .255C .365D .46516.已知数列{}n a 满足25111,,25a a a ==且*121210,n n n n a a a ++-+=∈N ,则*n N ∈时,使得不等式100n n a a +≥恒成立的实数a 的最大值是( ) A .19B .20C .21D .2217.记n S 为等差数列{}n a 的前n 项和,若542S S =,248a a +=,则5a 等于( ) A .6B .7C .8D .1018.在1与25之间插入五个数,使其组成等差数列,则这五个数为( )A .3、8、13、18、23B .4、8、12、16、20C .5、9、13、17、21D .6、10、14、18、2219.等差数列{}n a 中,若26a =,43a =,则5a =( ) A .32B .92C .2D .920.设等差数列{}n a 的前n 项和为n S ,若2938a a a +=+,则15S =( ) A .60B .120C .160D .240二、多选题21.意大利著名数学家斐波那契在研究兔子繁殖问题时,发现有这样一列数:1,1,2,3,5,….,其中从第三项起,每个数等于它前面两个数的和,后来人们把这样的一列数组成的数列{}n a 称为“斐波那契数列”,记n S 为数列{}n a 的前n 项和,则下列结论正确的是( ) A .68a =B .733S =C .135********a a a a a +++⋅⋅⋅+=D .22212201920202019a a a a a ++⋅⋅⋅⋅⋅⋅+=22.题目文件丢失!23.设等差数列{}n a 的前n 项和为n S .若30S =,46a =,则( ) A .23n S n n =- B .2392-=n n nSC .36n a n =-D .2n a n =24.等差数列{}n a 是递增数列,公差为d ,前n 项和为n S ,满足753a a =,下列选项正确的是( ) A .0d <B .10a <C .当5n =时n S 最小D .0n S >时n 的最小值为825.已知递减的等差数列{}n a 的前n 项和为n S ,57S S =,则( ) A .60a > B .6S 最大 C .130S >D .110S >26.已知正项数列{}n a 的前n 项和为n S ,若对于任意的m ,*n N ∈,都有m n m n a a a +=+,则下列结论正确的是( )A .11285a a a a +=+B .56110a a a a <C .若该数列的前三项依次为x ,1x -,3x ,则10103a = D .数列n S n ⎧⎫⎨⎬⎩⎭为递减的等差数列 27.等差数列{}n a 的前n 项和记为n S ,若10a >,717S S =,则( ) A .0d < B .120a > C .13n S S ≤ D .当且仅当0nS <时,26n ≥28.定义11222n nn a a a H n-+++=为数列{}n a 的“优值”.已知某数列{}n a 的“优值”2nn H =,前n 项和为n S ,则( )A .数列{}n a 为等差数列B .数列{}n a 为等比数列C .2020202320202S = D .2S ,4S ,6S 成等差数列29.已知数列{}n a 的前n 项和为,n S 25,n S n n =-则下列说法正确的是( )A .{}n a 为等差数列B .0n a >C .n S 最小值为214-D .{}n a 为单调递增数列30.记n S 为等差数列{}n a 的前n 项和.已知535S =,411a =,则( ) A .45n a n =-B .23n a n =+C .223n S n n =-D .24n S n n =+【参考答案】***试卷处理标记,请不要删除一、等差数列选择题 1.C 【分析】令22n S n λ=,()37n T n n λ=+,求出n a ,n b ,进而求出6a ,3b ,则63a b 可得. 【详解】令22n S n λ=,()37n T n n λ=+,可得当2n ≥时,()()221221221n n n a S S n n n λλλ-=-=--=-,()()()()137134232n n n b T T n n n n n λλλ-=-=+--+=+,当1n =,()11112,3710a S b T λλλ====+=,符合()221n a n λ=-,()232n b n λ=+故622a λ=,322b λ=,故631a b =. 【点睛】由n S 求n a 时,11,1,2n nn S n a S S n -=⎧=⎨-≥⎩,注意验证a 1是否包含在后面a n 的公式中,若不符合要单独列出,一般已知条件含a n 与S n 的关系的数列题均可考虑上述公式求解. 2.A 【分析】利用等差数列的性质可得1742a a a +=,代入已知式子即可求解. 【详解】由等差数列的性质可得1742a a a +=,所以1474339a a a a ++==,解得:413a =, 故选:A 3.B 【分析】根据等差数列的性质,由题中条件,可直接得出结果. 【详解】因为n S 为等差数列{}n a 的前n 项和,公差1d =,6210S S ,所以()()6543434343222410a a a a a d a d a a a a +++=+++++=++=, 解得343a a +=. 故选:B. 4.C 【分析】 首先根据()12n n n S +=得到n a n =,设11111n n n b a a n n +==-+,再利用裂项求和即可得到答案. 【详解】当1n =时,111a S ==, 当2n ≥时,()()11122n n n n n n n a S S n -+-=-=-=. 检验111a S ==,所以n a n =. 设()1111111n n n b a a n n n n +===-++,前n 项和为n T , 则10111111101122310111111T ⎛⎫⎛⎫⎛⎫=-+-++-=-= ⎪ ⎪ ⎪⎝⎭⎝⎭⎝⎭…. 故选:C 5.A 【分析】根据等差中项的性质,求出414a =,再求10a ; 【详解】因为{}n a 为等差数列,所以264228a a a +==, ∴414a =.由59410a a a a +=+43=,得1029a =, 故选:A. 6.B 【分析】利用等差数列的性质进行化简,由此求得9S 的值. 【详解】由等差数列的性质,可得345675520a a a a a a ++++==,则54a =19592993622a a aS +=⨯=⨯= 故选:B 7.C 【分析】可设(32)n S kn n =+,(21)n T kn n =+,进而求得n a 与n b 的关系式,即可求得结果. 【详解】因为{}n a ,{}n b 是等差数列,且3221n n S n T n +=+, 所以可设(32)n S kn n =+,(21)n T kn n =+,又当2n 时,有1(61)n n n a S S k n -=-=-,1(41)n n n b T T k n -=-=-, ∴1215(6121)71(4151)59a kb k ⨯-==⨯-, 故选:C . 8.C 【分析】由题建立关系求出公差,即可求解. 【详解】设等差数列{}n a 的公差为d ,141,16a S ==,41464616S a d d ∴=+=+=,2d ∴=, 71613a a d ∴=+=.故选:C 9.A 【分析】设项数为2n ,由题意可得()21212n d -⋅=,及6S S nd -==奇偶可求解. 【详解】设等差数列{}n a 的项数为2n , 末项比首项大212, ()212121;2n a a n d ∴-=-⋅=① 24S =奇,30S =偶,30246S S nd ∴-=-==奇偶②.由①②,可得32d =,4n =, 即项数是8, 故选:A. 10.D 【分析】由题知各节气日影长依次成等差数列,设为{}n a ,n S 是其前n 项和,已知条件为985.5S =,14731.5a a a ++=,由等差数列性质即得5a ,4a ,由此可解得d ,再由等差数列性质求得后5项和. 【详解】由题知各节气日影长依次成等差数列,设为{}n a ,n S 是其前n 项和, 则()19959985.52a a S a +===(尺),所以59.5a =(尺),由题知1474331.5a a a a ++==(尺),所以410.5a =(尺),所以公差541d a a =-=-, 则()8910111210555522.5a a a a a a a d ++++==+=(尺). 故选:D . 11.D 【分析】把点列代入函数解析式,根据{x n }是等比数列,可知1n nx x +为常数进而可求得1n n y y +-的结果为一个与n 无关的常数,可判断出{y n }是等差数列. 【详解】对于A ,函数3(4)f x x =+上的点列{x n ,y n },有y n =43n x +,由于{x n }是等比数列,所以1n nx x +为常数, 因此1n n y y +-=()()()()114343441n n n n n x x x x x q +++-+=-=-这是一个与n 有关的数,故{y n }不是等差数列;对于B ,函数2()4f x x =上的点列{x n ,y n },有y n =24n x ,由于{x n }是等比数列,所以1n nx x +为常数,因此1n n y y +-=()222214441n n n x x x q +-=-这是一个与n 有关的数,故{y n }不是等差数列;对于C ,函数3()4xf x ⎛⎫= ⎪⎝⎭上的点列{x n ,y n },有y n =3()4n x ,由于{x n }是等比数列,所以1n nx x +为常数, 因此1n n y y +-=133()()44n n x x+-=33()()144n qx⎡⎤-⎢⎥⎣⎦,这是一个与n 有关的数,故{y n }不是等差数列;对于D ,函数4()log f x x =上的点列{x n ,y n },有y n =4log n x,由于{x n }是等比数列,所以1n nx x +为常数, 因此1n n y y +-=114444log log log log n n n nx x x x q ++-==为常数,故{y n }是等差数列;故选:D . 【点睛】 方法点睛:判断数列是不是等差数列的方法:定义法,等差中项法. 12.D 【分析】根据题中条件,由等差数列的性质,以及等差数列的求和公式,即可求出结果. 【详解】因为在等差数列{}n a 中,若n S 为其前n 项和,65a =, 所以()1111161111552a a S a +===.故选:D. 13.C 【分析】根据题中条件,由554a S S =-,即可得出结果. 【详解】因为数列{}n a 的前项和2*21,n S n n N =+∈, 所以22554(251)(241)18a S S =-=⨯+-⨯+=. 故选:C . 14.A 【分析】根据条件列方程组,求首项和公差,再根据107891093S S a a a a -=++=,代入求值. 【详解】由条件可知114832362a d a d +=⎧⎪⎨⨯+=⎪⎩,解得:102a d =⎧⎨=⎩, ()10789109133848S S a a a a a d -=++==+=.15.B 【分析】直接利用分类讨论思想的应用求出数列的通项公式,进一步利用分组法求出数列的和 【详解】解:当n 为奇数时,2n n a a +=, 当n 为偶数时,22n n a a +-=, 所以13291a a a ==⋅⋅⋅==,2430,,,a a a ⋅⋅⋅是以2为首项,2为公差的等差数列,所以30132924301514()()1515222552S a a a a a a ⨯=++⋅⋅⋅++++⋅⋅⋅+=+⨯+⨯=, 故选:B 16.B 【分析】由等差数列的性质可得数列1n a ⎧⎫⎨⎬⎩⎭为等差数列,再由等差数列的通项公式可得1n n a ,进而可得1n a n=,再结合基本不等式即可得解. 【详解】 因为*121210,n n n n a a a ++-+=∈N ,所以12211n n n a a a ++=+, 所以数列1n a ⎧⎫⎨⎬⎩⎭为等差数列,设其公差为d , 由25111,25a a a ==可得25112,115a a a ==⋅, 所以111121145d a d a a ⎧+=⎪⎪⎨⎪+=⋅⎪⎩,解得1111a d ⎧=⎪⎨⎪=⎩,所以()1111n n d n a a =+-=,所以1n a n=,所以不等式100n n a a +≥即100n a n+≥对任意的*n N ∈恒成立,又10020n n +≥=,当且仅当10n =时,等号成立, 所以20a ≤即实数a 的最大值是20. 故选:B.关键点点睛:解决本题的关键是构造新数列求数列通项及基本不等式的应用. 17.D 【分析】由等差数列的通项公式及前n 项和公式求出1a 和d ,即可求得5a . 【详解】解:设数列{}n a 的首项为1a ,公差为d , 则由542S S =,248a a +=,得:111154435242238a d a d a d a d ⨯⨯⎛⎫+=+ ⎪⎝⎭+++=⎧⎪⎨⎪⎩,即{1132024a d a d +-+=, 解得:{123a d =-=,51424310a a d ∴=+=-+⨯=.故选:D. 18.C 【分析】根据首末两项求等差数列的公差,再求这5个数字. 【详解】在1与25之间插入五个数,使其组成等差数列,则171,25a a ==,则712514716a a d --===-, 则这5个数依次是5,9,13,17,21. 故选:C 19.A 【分析】由2a 和4a 求出公差d ,再根据54a a d =+可求得结果. 【详解】设公差为d ,则423634222a a d --===--, 所以5433322a a d =+=-=. 故选:A 20.B 【分析】根据等差数列的性质可知2938a a a a +=+,结合题意,可得出88a =,最后根据等差数列的前n 项和公式和等差数列的性质,得出()11515815152a a S a +==,从而可得出结果.【详解】解:由题可知,2938a a a +=+,由等差数列的性质可知2938a a a a +=+,则88a =,故()1158158151521515812022a a a S a +⨯====⨯=. 故选:B.二、多选题21.ABCD 【分析】由题意可得数列{}n a 满足递推关系12211,1,(3)n n n a a a a a n --===+≥,对照四个选项可得正确答案. 【详解】对A ,写出数列的前6项为1,1,2,3,5,8,故A 正确; 对B ,71123581333S =++++++=,故B 正确;对C ,由12a a =,342a a a =-,564a a a =-,……,201920202018a a a =-, 可得:135********a a a a a +++⋅⋅⋅+=.故1352019a a a a +++⋅⋅⋅+是斐波那契数列中的第2020项.对D ,斐波那契数列总有21n n n a a a ++=+,则2121a a a =,()222312321a a a a a a a a =-=-,()233423423a a a a a a a a =-=-,……,()220182018201920172018201920172018a a a a a a a a =-=-,220192019202020192018a a a a a =-2222123201920192020a a a a a a +++⋅⋅⋅⋅⋅⋅+=,故D 正确;故选:ABCD. 【点睛】本题以“斐波那契数列”为背景,考查数列的递推关系及性质,考查方程思想、转化与化归思想,考查逻辑推理能力和运算求解能力,求解时注意递推关系的灵活转换.22.无23.BC 【分析】由已知条件列方程组,求出公差和首项,从而可求出通项公式和前n 项和公式 【详解】解:设等差数列{}n a 的公差为d ,因为30S =,46a =,所以113230236a d a d ⨯⎧+=⎪⎨⎪+=⎩,解得133a d =-⎧⎨=⎩, 所以1(1)33(1)36n a a n d n n =+-=-+-=-,21(1)3(1)393222n n n n n n nS na d n ---=+=-+=, 故选:BC 24.BD 【分析】由题意可知0d >,由已知条件753a a =可得出13a d =-,可判断出AB 选项的正误,求出n S 关于d 的表达式,利用二次函数的基本性质以及二次不等式可判断出CD 选项的正误. 【详解】由于等差数列{}n a 是递增数列,则0d >,A 选项错误;753a a =,则()11634a d a d +=+,可得130a d =-<,B 选项正确;()()()22171117493222224n n n d n n d n n d S na nd n d -⎡⎤--⎛⎫=+=-+==--⎢⎥ ⎪⎝⎭⎢⎥⎣⎦,当3n =或4时,n S 最小,C 选项错误; 令0n S >,可得270n n ->,解得0n <或7n >.n N *∈,所以,满足0n S >时n 的最小值为8,D 选项正确.故选:BD. 25.ABD 【分析】转化条件为670a a +=,进而可得60a >,70a <,再结合等差数列的性质及前n 项和公式逐项判断即可得解. 【详解】因为57S S =,所以750S S -=,即670a a +=,因为数列{}n a 递减,所以67a a >,则60a >,70a <,故A 正确; 所以6S 最大,故B 正确; 所以()113137131302a a S a+⨯==<,故C 错误; 所以()111116111102a a S a+⨯==>,故D 正确.故选:ABD. 26.AC令1m =,则11n n a a a +-=,根据10a >,可判定A 正确;由256110200a a a a d -=>,可判定B 错误;根据等差数列的性质,可判定C 正确;122n d d n a n S ⎛⎫=+- ⎪⎝⎭,根据02>d ,可判定D 错误. 【详解】令1m =,则11n n a a a +-=,因为10a >,所以{}n a 为等差数列且公差0d >,故A 正确;由()()22225611011119209200a a a a a a d daa d d -=++-+=>,所以56110a a a a >,故B错误;根据等差数列的性质,可得()213x x x -=+,所以13x =,213x -=, 故1011109333a =+⨯=,故C 正确; 由()111222n n n na dS d d n a n n -+⎛⎫==+- ⎪⎝⎭,因为02>d ,所以n S n ⎧⎫⎨⎬⎩⎭是递增的等差数列,故D 错误. 故选:AC . 【点睛】解决数列的单调性问题的三种方法;1、作差比较法:根据1n n a a +-的符号,判断数列{}n a 是递增数列、递减数列或是常数列;2、作商比较法:根据1(0n n na a a +>或0)n a <与1的大小关系,进行判定; 3、数形结合法:结合相应的函数的图象直观判断. 27.AB 【分析】根据等差数列的性质及717S S =可分析出结果. 【详解】因为等差数列中717S S =, 所以89161712135()0a a a a a a ++++=+=,又10a >,所以12130,0a a ><,所以0d <,12n S S ≤,故AB 正确,C 错误; 因为125251325()2502a a S a +==<,故D 错误,【点睛】关键点睛:本题突破口在于由717S S =得到12130a a +=,结合10a >,进而得到12130,0a a ><,考查学生逻辑推理能力.28.AC 【分析】 由题意可知112222n n nn a a a H n-+++==,即112222n n n a a a n -+++=⋅,则2n ≥时,()()111221212n n n n n a n n n ---=⋅--⋅=+⋅,可求解出1n a n =+,易知{}n a 是等差数列,则A 正确,然后利用等差数列的前n 项和公式求出n S ,判断C ,D 的正误. 【详解】 解:由112222n n nn a a a H n-+++==,得112222n n n a a a n -+++=⋅,①所以2n ≥时,()211212212n n n a a a n ---+++=-⋅,②得2n ≥时,()()111221212n n n n n a n n n ---=⋅--⋅=+⋅,即2n ≥时,1n a n =+,当1n =时,由①知12a =,满足1n a n =+.所以数列{}n a 是首项为2,公差为1的等差数列,故A 正确,B 错, 所以()32n n n S +=,所以2020202320202S =,故C 正确.25S =,414S =,627S =,故D 错,故选:AC . 【点睛】本题考查数列的新定义问题,考查数列通项公式的求解及前n 项和的求解,难度一般. 29.AD 【分析】利用11,1,2n nn S n a S S n -=⎧=⎨-≥⎩求出数列的通项公式,可对A ,B ,D 进行判断,对25,n S n n =-进行配方可对C 进行判断【详解】解:当1n =时,11154a S ==-=-,当2n ≥时,2215[(1)5(1)]26n n n a S S n n n n n -=-=-----=-,当1n =时,14a =-满足上式,所以26n a n =-,由于()122n n a a n --=≥,所以数列{}n a 为首项为4-,公差为2的等差数列, 因为公差大于零,所以{}n a 为单调递增数列,所以A ,D 正确,B 错误, 由于225255()24n S n n n =-=--,而n ∈+N ,所以当2n =或3n =时,n S 取最小值,且最小值为6-,所以C 错误, 故选:AD 【点睛】此题考查,n n a S 的关系,考查由递推式求通项并判断等差数列,考查等差数列的单调性和前n 项和的最值问题,属于基础题 30.AC 【分析】由535S =求出37a =,再由411a =可得公差为434d a a =-=,从而可求得其通项公式和前n 项和公式 【详解】由题可知,53535S a ==,即37a =,所以等差数列{}n a 的公差434d a a =-=, 所以()4445n a a n d n =+-=-,()2451232n n n S n n --==-.故选:AC. 【点睛】本题考查等差数列,考查运算求解能力.。
等差数列试题精选一、选择题:(每小题5分,计50分)1.等差数列{}n a 的前n 项和为n S ,若=则432,3,1S a a ==( ) (A )12 (B )10 (C )8 (D )62.已知{a n }为等差数列,a 2+a 8=12,则a 5等于( )(A)4 (B)5 (C)6 (D)73.设n S 是等差数列{}n a 的前n 项和,若735S =,则4a =( )A .8B .7C .6D .54.记等差数列{}n a 的前n 项和为n S ,若42=S ,204=S ,则该数列的公差d=( ) A .7 B. 6 C. 3 D. 2 5.等差数列{}n a 中,已知31a 1=,4a a 52=+,33a n =,则n 为( ) (A )48 (B )49 (C )50 (D )516.等差数列{a n }中,a 1=1,a 3+a 5=14,其前n 项和S n =100,则n =( )(A)9 (B)10 (C)11 (D)12 7.设S n 是等差数列{}n a 的前n 项和,若==5935,95S Sa a 则( ) A .1 B .-1 C .2 D .21 8.已知等差数列{a n }满足α1+α2+α3+…+α101=0则有( )A .α1+α101>0B .α2+α100<0C .α3+α99=0D .α51=51 9.如果1a ,2a ,…,8a 为各项都大于零的等差数列,公差0d ≠,则( ) (A )1a 8a >45a a (B )8a 1a <45a a (C )1a +8a >4a +5a (D )1a 8a =45a a 10.若一个等差数列前3项的和为34,最后3项的和为146,且所有项的和为390,则这个数列有( )(A )13项 (B )12项 (C )11项 (D )10项 二、填空题:(每小题5分,计20分)11设数列{}n a 的首项)N n ( 2a a ,7a n 1n 1∈+=-=+且满足,则=+++1721a a a _____________.12.已知{a n }为等差数列,a 3 + a 8 = 22,a 6 = 7,则a 5 = __________13.已知数列的通项a n = -5n +2,则其前n 项和为S n = . 三、解答题:(15、16题各12分,其余题目各14分)14.等差数列{n a }的前n 项和记为S n .已知.50,302010==a a (Ⅰ)求通项n a ; (Ⅱ)若S n =242,求n.15.已知数列{}n a 是一个等差数列,且21a =,55a =-。
一、等差数列选择题1.已知等差数列{}n a ,其前n 项的和为n S ,3456720a a a a a ++++=,则9S =( ) A .24B .36C .48D .642.数列{}n a 是项数为偶数的等差数列,它的奇数项的和是24,偶数项的和为30,若它的末项比首项大212,则该数列的项数是( ) A .8B .4C .12D .163.南宋数学家杨辉《详解九张算法》和《算法通变本末》中,提出垛积公式,所讨论的高阶等差数列与一般等差数列不同,前后两项之差不相等,但是逐项差数之差或者高次成等差数列.在杨辉之后一般称为“块积术”.现有高阶等差数列,其前7项分别1,7,15,27,45,71,107,则该数列的第8项为( ) A .161B .155C .141D .1394.已知数列{}n a 的前n 项和为n S ,且满足212n n n a a a ++=-,534a a =-,则7S =( ) A .7B .12C .14D .215.设等差数列{}n a 的前n 项和为n S ,公差1d =,且6210S S ,则34a a +=( )A .2B .3C .4D .56.在等差数列{}n a 中,3914a a +=,23a =,则10a =( ) A .11B .10C .6D .37.设数列{}n a 的前n 项和21n S n =+. 则8a 的值为( ).A .65B .16C .15D .148.已知等差数列{a n }的前n 项和为S n ,则下列判断错误的是( ) A .S 5,S 10-S 5,S 15-S 10必成等差数列 B .S 2,S 4-S 2,S 6-S 4必成等差数列 C .S 5,S 10,S 15+S 10有可能是等差数列D .S 2,S 4+S 2,S 6+S 4必成等差数列9.题目文件丢失!10.已知等差数列{}n a 的前n 项和为n S ,且110a =,56S S ≥,下列四个命题:①公差d 的最大值为2-;②70S <;③记n S 的最大值为M ,则M 的最大值为30;④20192020a a >.其真命题的个数是( ) A .4个B .3个C .2个D .1个11.设等差数列{}n a 的前n 项和为n S ,若7916+=a a ,则15S =( ) A .60B .120C .160D .24012.已知等差数列{}n a 的前n 项和为n S ,31567a a a +=+,则23S =( ) A .121B .161C .141D .15113.已知数列{}n a 的前n 项和为n S ,112a =,2n ≥且*n ∈N ,满足120n n n a S S -+=,数列1n S ⎧⎫⎨⎬⎩⎭的前n 项和为n T ,则下列说法中错误的是( ) A .214a =-B .648211S S S =+ C .数列{}12n n n S S S +++-的最大项为712D .1121n n n n nT T T n n +-=++ 14.《周碑算经》有一题这样叙述:从冬至日起,依次小寒、大寒、立春、雨水、惊蛰、春分、清明、谷雨、立夏、小满、芒种十二个节气日影长减等寸,冬至、立春、春分日影之和为三丈一尺五寸,前九个节气日影长之和为八丈五尺五寸,则后五个节气日影长之和为( )(注:一丈=十尺,一尺=十寸) A .一丈七尺五寸 B .一丈八尺五寸 C .二丈一尺五寸D .二丈二尺五寸15.在等差数列{}n a 中,已知前21项和2163S =,则25820a a a a ++++的值为( )A .7B .9C .21D .42 16.若等差数列{a n }满足a 2=20,a 5=8,则a 1=( )A .24B .23C .17D .1617.设等差数列{}n a 的前n 和为n S ,若()*111,m m a a a m m N +-<<->∈,则必有( )A .0m S <且10m S +>B .0m S >且10m S +>C .0m S <且10m S +<D .0m S >且10m S +<18.已知等差数列{}n a 中,7916+=a a ,41a =,则12a 的值是( ) A .15B .30C .3D .6419.等差数列{}n a 中,若26a =,43a =,则5a =( ) A .32B .92C .2D .920.已知数列{}n a 的前n 项和221n S n n =+-,则13525a a a a ++++=( )A .350B .351C .674D .675二、多选题21.已知S n 是等差数列{}n a (n ∈N *)的前n 项和,且S 5>S 6>S 4,以下有四个命题,其中正确的有( )A .数列{}n a 的公差d <0B .数列{}n a 中S n 的最大项为S 10C .S 10>0D .S 11>022.已知数列{}n a 满足112a =-,111n na a +=-,则下列各数是{}n a 的项的有( )A .2-B .23C .32D .323.记n S 为等差数列{}n a 前n 项和,若81535a a = 且10a >,则下列关于数列的描述正确的是( ) A .2490a a += B .数列{}n S 中最大值的项是25S C .公差0d >D .数列{}na 也是等差数列24.意大利著名数学家斐波那契在研究兔子繁殖问题时,发现有这样一列数:1,1,2,3,5,…,其中从第三项起,每个数等于它前面两个数的和,后来人们把这样的一列数组成的数列{a n }称为“斐波那契数列”,记S n 为数列{a n }的前n 项和,则下列结论正确的是( ) A .a 8=34 B .S 8=54C .S 2020=a 2022-1D .a 1+a 3+a 5+…+a 2021=a 202225.意大利人斐波那契于1202年从兔子繁殖问题中发现了这样的一列数:1,1,2,3,5,8,13,….即从第三项开始,每一项都是它前两项的和.后人为了纪念他,就把这列数称为斐波那契数列.下面关于斐波那契数列{}n a 说法正确的是( ) A .1055a = B .2020a 是偶数C .2020201820223a a a =+D .123a a a +++…20202022a a +=26.设{}n a 是等差数列,n S 是其前n 项和,且56678,S S S S S <=>,则下列结论正确的是( ) A .0d < B .70a =C .95S S >D .67n S S S 与均为的最大值27.数列{}n a 满足11,121nn n a a a a +==+,则下列说法正确的是( ) A .数列1n a ⎧⎫⎨⎬⎩⎭是等差数列B .数列1n a ⎧⎫⎨⎬⎩⎭的前n 项和2n S n =C .数列{}n a 的通项公式为21n a n =-D .数列{}n a 为递减数列28.已知等差数列{}n a 的前n 项和为n S ()*n N ∈,公差0d ≠,690S=,7a 是3a 与9a 的等比中项,则下列选项正确的是( ) A .2d =-B .120a =-C .当且仅当10n =时,n S 取最大值D .当0nS <时,n 的最小值为2229.设等差数列{}n a 的前n 项和为n S ,公差为d .已知312a =,120S >,70a <则( )A .60a >B .数列1n a ⎧⎫⎨⎬⎩⎭是递增数列 C .0n S <时,n 的最小值为13D .数列n n S a ⎧⎫⎨⎬⎩⎭中最小项为第7项30.公差为d 的等差数列{}n a ,其前n 项和为n S ,110S >,120S <,下列说法正确的有( ) A .0d <B .70a >C .{}n S 中5S 最大D .49a a <【参考答案】***试卷处理标记,请不要删除一、等差数列选择题 1.B 【分析】利用等差数列的性质进行化简,由此求得9S 的值. 【详解】由等差数列的性质,可得345675520a a a a a a ++++==,则54a =19592993622a a aS +=⨯=⨯= 故选:B 2.A 【分析】设项数为2n ,由题意可得()21212n d -⋅=,及6S S nd -==奇偶可求解. 【详解】设等差数列{}n a 的项数为2n , 末项比首项大212, ()212121;2n a a n d ∴-=-⋅=① 24S =奇,30S =偶,30246S S nd ∴-=-==奇偶②.由①②,可得32d =,4n =, 即项数是8,故选:A. 3.B 【分析】画出图形分析即可列出式子求解. 【详解】所给数列为高阶等差数列,设该数列的第8项为x ,根据所给定义:用数列的后一项减去前一项得到一个新数列,得到的新数列也用后一项减去前一项得到一个新数列,即得到了一个等差数列,如图:由图可得:3612107y x y -=⎧⎨-=⎩ ,解得15548x y =⎧⎨=⎩.故选:B. 4.C 【分析】判断出{}n a 是等差数列,然后结合等差数列的性质求得7S . 【详解】∵212n n n a a a ++=-,∴211n n n n a a a a +++-=-,∴数列{}n a 为等差数列. ∵534a a =-,∴354a a +=,∴173577()7()1422a a a a S ++===. 故选:C 5.B 【分析】根据等差数列的性质,由题中条件,可直接得出结果. 【详解】因为n S 为等差数列{}n a 的前n 项和,公差1d =,6210S S ,所以()()6543434343222410a a a a a d a d a a a a +++=+++++=++=, 解得343a a +=. 故选:B. 6.A 【分析】利用等差数列的通项公式求解1,a d ,代入即可得出结论. 【详解】由3914a a +=,23a =,又{}n a 为等差数列, 得39121014a a a d +=+=,213a a d =+=,解得12,1a d ==, 则101+92911a a d ==+=; 故选:A. 7.C 【分析】利用()12n n n a S S n -=-≥得出数列{}n a 的通项公差,然后求解8a . 【详解】由21n S n =+得,12a =,()2111n S n -=-+,所以()221121n n n a S S n n n -=-=--=-, 所以2,121,2n n a n n =⎧=⎨-≥⎩,故828115a =⨯-=.故选:C. 【点睛】本题考查数列的通项公式求解,较简单,利用()12n n n a S S n -=-≥求解即可. 8.D 【分析】根据等差数列的性质,可判定A 、B 正确;当首项与公差均为0时,可判定C 正确;当首项为1与公差1时,可判定D 错误. 【详解】由题意,数列{}n a 为等差数列,n S 为前n 项和,根据等差数列的性质,可得而51051510,,S S S S S --,和24264,,S S S S S --构成等差数列,所以,所以A ,B 正确;当首项与公差均为0时,5101510,,S S S S +是等差数列,所以C 正确;当首项为1与公差1时,此时2426102,31,86S S S S S =+=+=,此时24264,,S S S S S ++不构成等差数列,所以D 错误. 故选:D.9.无10.B 【分析】设公差为d ,利用等差数列的前n 项和公式,56S S ≥,得2d ≤-,由前n 项和公式,得728S ≤,同时可得n S 的最大值,2d =-,5n =或6n =时取得,结合递减数列判断D . 【详解】设公差为d ,由已知110a =,56S S ≥,得5101061015d d ⨯+≥⨯+,所以2d ≤-,A 正确;所以7710217022128S d =⨯+≤-⨯=,B 错误;1(1)10(1)0n a a n d n d =+-=+-≥,解得101n d≤-+,11100n a a nd nd +=+=+≤,解得10n d≥-, 所以10101n d d-≤≤-+,当2d =-时,56n ≤≤, 当5n =时,有最大值,此时51010(2)30M =⨯+⨯-=,当6n =时,有最大值,此时61015(2)30M =⨯+⨯-=,C 正确. 又该数列为递减数列,所以20192020a a >,D 正确. 故选:B . 【点睛】关键点点睛:本题考查等差数列的前n 项和,掌握等差数列的前n 和公式与性质是解题关键.等差数列前n 项和n S 的最大值除可利用二次函数性质求解外还可由10n n a a +≥⎧⎨≤⎩求得.11.B 【分析】利用等差数列的性质,由7916+=a a ,得到88a =,然后由15815S a =求解. 【详解】因为7916+=a a ,所以由等差数列的性质得978216a a a +==, 解得88a =, 所以()11515815151581202a a S a +===⨯=. 故选:B 12.B 【分析】由条件可得127a =,然后231223S a =,算出即可. 【详解】因为31567a a a +=+,所以15637a a a =-+,所以1537a d =+,所以1537a d -=,即127a =所以231223161S a == 故选:B 13.D 【分析】当2n ≥且*n ∈N 时,由1n n n a S S -=-代入120n n n a S S -+=可推导出数列1n S ⎧⎫⎨⎬⎩⎭为等差数列,确定该数列的首项和公差,可求得数列1n S ⎧⎫⎨⎬⎩⎭的通项公式,由221a S S =-可判断A 选项的正误;利用n S 的表达式可判断BC 选项的正误;求出n T ,可判断D 选项的正误. 【详解】当2n ≥且*n ∈N 时,由1n n n a S S -=-, 由120n n n a S S -+=可得111112020n n n n n nS S S S S S ----+=⇒-+=, 整理得1112n n S S --=(2n ≥且n +∈N ). 则1n S ⎧⎫⎨⎬⎩⎭为以2为首项,以2为公差的等差数列()12122n n n S ⇒=+-⋅=,12n S n ∴=. A 中,当2n =时,221111424a S S =-=-=-,A 选项正确; B 中,1n S ⎧⎫⎨⎬⎩⎭为等差数列,显然有648211S S S =+,B 选项正确; C 中,记()()1212211221n n n n b S S n n n S ++=+-=+-++, ()()()1123111212223n n n n b S S S n n n ++++=+-=+-+++,()()()1111602223223n n n b b n n n n n n ++∴-=--=-<++++,故{}n b 为递减数列, ()1123max 111724612n b b S S S ∴==+-=+-=,C 选项正确; D 中,12n n S =,()()2212n n n T n n +∴==+,()()112n T n n +∴=++. ()()()()()()11112112111n n n n T T n n n n n n n n n n n n n n +-=⋅++⋅++=+--+++++222122212n n n n n n T =-++=+-≠,D 选项错误.故选:D . 【点睛】关键点点睛:利用n S 与n a 的关系求通项,一般利用11,1,2n nn S n a S S n -=⎧=⎨-≥⎩来求解,在变形过程中要注意1a 是否适用,当利用作差法求解不方便时,应利用1n n n a S S -=-将递推关系转化为有关n S 的递推数列来求解. 14.D 【分析】由题知各节气日影长依次成等差数列,设为{}n a ,n S 是其前n 项和,已知条件为985.5S =,14731.5a a a ++=,由等差数列性质即得5a ,4a ,由此可解得d ,再由等差数列性质求得后5项和. 【详解】由题知各节气日影长依次成等差数列,设为{}n a ,n S 是其前n 项和, 则()19959985.52a a S a +===(尺),所以59.5a =(尺),由题知1474331.5a a a a ++==(尺),所以410.5a =(尺),所以公差541d a a =-=-, 则()8910111210555522.5a a a a a a a d ++++==+=(尺). 故选:D . 15.C 【分析】利用等差数列的前n 项和公式可得1216a a +=,即可得113a =,再利用等差数列的性质即可求解. 【详解】设等差数列{}n a 的公差为d ,则()1212121632a a S +==, 所以1216a a +=,即1126a =,所以113a =, 所以()()()2582022051781411a a a a a a a a a a a ++++=++++++111111111122277321a a a a a =+++==⨯=,故选:C 【点睛】关键点点睛:本题的关键点是求出1216a a +=,进而得出113a =,()()()2582022051781411117a a a a a a a a a a a a ++++=++++++=即可求解.16.A 【分析】由题意可得5282045252a a d --===---,再由220a =可求出1a 的值 【详解】解:根据题意,5282045252a a d --===---,则1220(4)24a a d =-=--=, 故选:A. 17.D 【分析】由等差数列前n 项和公式即可得解. 【详解】由题意,1110,0m m a a a a ++>+<, 所以1()02m m m a a S +=>,111(1)()02m m m a a S ++++=<. 故选:D. 18.A 【分析】设等差数列{}n a 的公差为d ,根据等差数列的通项公式列方程组,求出1a 和d 的值,12111a a d =+,即可求解.【详解】设等差数列{}n a 的公差为d ,则111681631a d a d a d +++=⎧⎨+=⎩,即117831a d a d +=⎧⎨+=⎩ 解得:174174d a ⎧=⎪⎪⎨⎪=-⎪⎩,所以12117760111115444a a d =+=-+⨯==, 所以12a 的值是15, 故选:A 19.A 【分析】由2a 和4a 求出公差d ,再根据54a a d =+可求得结果. 【详解】设公差为d ,则423634222a a d --===--, 所以5433322a a d =+=-=. 故选:A 20.A【分析】先利用公式11,1,2n nn S n a S S n -=⎧=⎨-≥⎩求出数列{}n a 的通项公式,再利用通项公式求出13525a a a a ++++的值.【详解】当1n =时,21112112a S ==+⨯-=;当2n ≥时,()()()22121121121n n n a S S n n n n n -⎡⎤=-=+---+--=+⎣⎦.12a =不适合上式,2,121,2n n a n n =⎧∴=⎨+≥⎩.因此,()()3251352512127512235022a a a a a a ⨯+⨯+++++=+=+=;故选:A. 【点睛】易错点睛:利用前n 项和n S 求通项n a ,一般利用公式11,1,2n nn S n a S S n -=⎧=⎨-≥⎩,但需要验证1a 是否满足()2n a n ≥.二、多选题21.AC 【分析】由564S S S >>,可得650,0a a ,且650a a +>,然后逐个分析判断即可得答案 【详解】解:因为564S S S >>,所以650,0a a ,且650a a +>,所以数列的公差0d <,且数列{}n a 中S n 的最大项为S 5,所以A 正确,B 错误, 所以110105610()5()02a a S a a +==+>,11111611()1102a a S a +==<, 所以C 正确,D 错误, 故选:AC 22.BD 【分析】根据递推关系式找出规律,可得数列是周期为3的周期数列,从而可求解结论. 【详解】因为数列{}n a 满足112a =-,111n na a +=-,212131()2a ∴==--;32131a a ==-; 4131112a a a ==-=-; ∴数列{}n a 是周期为3的数列,且前3项为12-,23,3; 故选:BD . 【点睛】本题主要考查数列递推关系式的应用,考查数列的周期性,解题的关键在于求出数列的规律,属于基础题. 23.AB 【分析】根据已知条件求得1,a d 的关系式,然后结合等差数列的有关知识对选项逐一分析,从而确定正确选项. 【详解】依题意,等差数列{}n a 中81535a a =,即()()1137514a d a d +=+,1149249,2a d a d =-=-. 对于A 选项,24912490a a a d +=+=,所以A 选项正确. 对于C 选项,1492a d =-,10a >,所以0d <,所以C 选项错误. 对于B 选项,()()149511122n a a n d d n d n d ⎛⎫=+-=-+-=- ⎪⎝⎭,令0n a ≥得51510,22n n -≤≤,由于n 是正整数,所以25n ≤,所以数列{}n S 中最大值的项是25S ,所以B 选项正确. 对于D 选项,由上述分析可知,125n ≤≤时,0n a ≥,当26n ≥时,0n a <,且0d <.所以数列{}na 的前25项递减,第26项后面递增,不是等差数列,所以D 选项错误.故选:AB 【点睛】等差数列有关知识的题目,主要把握住基本元的思想.要求等差数列前n 项和的最值,可以令0n a ≥或0n a ≤来求解. 24.BCD 【分析】由题意可得数列{}n a 满足递推关系()12211,1,+3n n n a a a a a n --===≥,依次判断四个选项,即可得正确答案. 【详解】对于A ,可知数列的前8项为1,1,2,3,5,8,13,21,故A 错误; 对于B ,81+1+2+3+5+8+13+2154S ==,故B 正确; 对于C ,可得()112n n n a a a n +-=-≥, 则()()()()1234131425311++++++++++n n n a a a a a a a a a a a a a a +-=----即212++1n n n n S a a a a ++=-=-,∴202020221S a =-,故C 正确; 对于D ,由()112n n n a a a n +-=-≥可得,()()()135202124264202220202022++++++++a a a a a a a a a a a a =---=,故D 正确.故选:BCD. 【点睛】本题以“斐波那契数列”为背景,考查数列的递推关系及性质,解题的关键是得出数列的递推关系,()12211,1,+3n n n a a a a a n --===≥,能根据数列性质利用累加法求解. 25.AC 【分析】由该数列的性质,逐项判断即可得解. 【详解】对于A ,821a =,9211334a =+=,10213455a =+=,故A 正确; 对于B ,由该数列的性质可得只有3的倍数项是偶数,故B 错误;对于C ,20182022201820212020201820192020202020203a a a a a a a a a a +=++=+++=,故C 正确; 对于D ,202220212020a a a =+,202120202019a a a =+,202020192018a a a =+,32121,a a a a a ⋅⋅⋅=+=,各式相加得()2022202120202021202020192012182a a a a a a a a a ++⋅⋅⋅+=+++⋅⋅⋅++, 所以202220202019201811a a a a a a =++⋅⋅⋅+++,故D 错误. 故选:AC. 【点睛】关键点点睛:解决本题的关键是合理利用该数列的性质去证明选项. 26.ABD 【分析】由1n n n S S a --=()2n ≥,判断6780,0,0a a a >=<,再依次判断选项. 【详解】因为5665600S S S S a <⇒->⇒>,677670S S S S a =⇒-==,788780S S S S a >⇒-=<,所以数列{}n a 是递减数列,故0d <,AB 正确;()9567897820S S a a a a a a -=+++=+<,所以95S S <,故C 不正确;由以上可知数列{}n a 是单调递减数列,因为6780,0,0a a a >=<可知,67n S S S 与均为的最大值,故D 正确. 故选:ABD 【点睛】本题考查等差数列的前n 项和的最值,重点考查等差数列的性质,属于基础题型. 27.ABD 【分析】 首项根据11,121n n n a a a a +==+得到1112n n a a +-=,从而得到1n a ⎧⎫⎨⎬⎩⎭是以首项为1,公差为2的等差数列,再依次判断选项即可.【详解】对选项A ,因为121nn n a a a +=+,11a =, 所以121112n n n n a a a a ++==+,即1112n na a +-= 所以1n a ⎧⎫⎨⎬⎩⎭是以首项为1,公差为2的等差数列,故A 正确. 对选项B ,由A 知:112121nn n a数列1n a ⎧⎫⎨⎬⎩⎭的前n 项和()21212nn n S n +-==,故B 正确. 对选项C ,因为121n n a =-,所以121n a n =-,故C 错误. 对选项D ,因为121n a n =-,所以数列{}n a 为递减数列,故D 正确. 故选:ABD 【点睛】本题主要考查等差数列的通项公式和前n 项和前n 项和,同时考查了递推公式,属于中档题. 28.AD 【分析】运用等差数列的通项公式和求和公式,解方程可得首项和公差,可判断A ,B ;由二次函数的配方法,结合n 为正整数,可判断C ;由0n S <解不等式可判断D .【详解】等差数列{}n a 的前n 项和为n S ,公差0d ≠,由690S =,可得161590a d +=,即12530a d +=,①由7a 是3a 与9a 的等比中项,得2739a a a =,即()()()2111628a d a d a d +=++,化为1100a d +=,②由①②解得120a =,2d =-,则202(1)222n a n n =--=-,21(20222)212n S n n n n =+-=-,由22144124n S n ⎛⎫=--+ ⎪⎝⎭,可得10n =或11时,n S 取得最大值110; 由2102n S n n -<=,解得21n >,则n 的最小值为22.故选:AD 【点睛】本题考查等差数列的通项公式和求和公式,以及等比中项的性质,二次函数的最值求法,考查方程思想和运算能力,属于中档题. 29.ACD 【分析】 由已知得()()612112712+12+220a a a a S ==>,又70a <,所以6>0a ,可判断A ;由已知得出2437d -<<-,且()12+3n a n d =-,得出[]1,6n ∈时,>0n a ,7n ≥时,0n a <,又()1112+3n a n d =-,可得出1na 在1,6n n N上单调递增,1na 在7n nN ,上单调递增,可判断B ;由()313117713+12203213a a a S a ⨯==<=,可判断C ;判断 n a ,n S 的符号, n a 的单调性可判断D ; 【详解】由已知得311+212,122d a a a d ===-,()()612112712+12+220a a a a S ==>,又70a <,所以6>0a ,故A 正确;由7161671+612+40+512+3>0+2+1124+7>0a a d d a a d d a a a d d ==<⎧⎪==⎨⎪==⎩,解得2437d -<<-,又()()3+312+3n a n d n d a =-=-,当[]1,6n ∈时,>0n a ,7n ≥时,0n a <,又()1112+3n a n d=-,所以[]1,6n ∈时,1>0na ,7n ≥时,10n a <,所以1na 在1,6n n N上单调递增,1na 在7n n N ,上单调递增,所以数列1n a ⎧⎫⎨⎬⎩⎭不是递增数列,故B 不正确;由于()313117713+12203213a a a S a ⨯==<=,而120S >,所以0n S <时,n 的最小值为13,故C 选项正确 ;当[]1,6n ∈时,>0n a ,7n ≥时,0n a <,当[]1,12n ∈时,>0n S ,13n ≥时,0n S <,所以当[]7,12n ∈时,0n a <,>0n S ,0nnS a <,[]712n ∈,时,n a 为递增数列,n S 为正数且为递减数列,所以数列n n S a ⎧⎫⎨⎬⎩⎭中最小项为第7项,故D 正确; 【点睛】本题考查等差数列的公差,项的符号,数列的单调性,数列的最值项,属于较难题. 30.AD 【分析】先根据题意得1110a a +>,1120a a +<,再结合等差数列的性质得60a >,70a <,0d <,{}n S 中6S 最大,49a a <-,即:49a a <.进而得答案.【详解】解:根据等差数列前n 项和公式得:()111111102a a S +=>,()112121202a a S +=<所以1110a a +>,1120a a +<, 由于11162a a a +=,11267a a a a +=+, 所以60a >,760a a <-<, 所以0d <,{}n S 中6S 最大, 由于11267490a a a a a a +=+=+<, 所以49a a <-,即:49a a <. 故AD 正确,BC 错误. 故选:AD. 【点睛】本题考查等差数列的前n 项和公式与等差数列的性质,是中档题.。
精心整理1.等差数列的定义一般地,假如一个数列从第2项起,每一项与它的前一项的差等于同一个常数,那么这个数列就叫做等差数列,这个常数叫做等差数列的公差,往常用字母__d__表示.2.等差数列的通项公式假如等差数列{a n}的首项为a1,公差为d,那么它的通项公式是a n=a1+(n-1)d. 3.等差中项假如A=,那么A叫做a与b的等差中项.4.等差数列的常用性质(1)通项公式的推行:a n=a m+(n-m)d(n,m∈N*).(2)若{an}为等差数列,且k+l=m+n(k,l,m,n∈N*),则ak+al=am+an.(3)若{an}是等差数列,公差为d,则{a2n}也是等差数列,公差为2d.(4)若{an},{bn}是等差数列,则{pan+qbn}也是等差数列.(5)若{an}是等差数列,公差为d,则ak,ak+m,ak+*5.等差数列的前n项和公式设等差数列{a n}的公差为d,其前n项和S n=或S nna1+d.6.等差数列的前n项和公式与函数的关系S n=n2+n.数列{a n}是等差数列?S n=An2+Bn(A、B为常数).7.等差数列的前n项和的最值在等差数列{an}中,a1>0,d<0,则Sn存在最__大__值;若a1<0,d>0,则Sn存在最__小__值.【思虑辨析】判断下边结论能否正确(请在括号中打“√”或“×”)(1)若一个数列从第二项起每一项与它的前一项的差都是常数,则这个数列是等差数列.(×)(2)数列{an}为等差数列的充要条件是对随意n∈N*,都有2an+1=an+an+2.(√)(3)等差数列{an}的单一性是由公差d决定的.(√)(4)数列{a n}为等差数列的充要条件是其通项公式为n的一次函数.(×)(5)数列{an}知足an+1-an=n,则数列{an}是等差数列.(×)(6)已知数列{an}的通项公式是an=pn+q(此中p,q为常数),则数列{an}必定是等差数列.(√)1.(2015重·庆)在等差数列{an}中,若a2=4,a4=2,则a6等于()A.-1B.0C.1D.6答案B分析由等差数列的性质,得a6=2a4-a2=2×2-精心整理4=0,选B.2.(2014福·建)等差数列{a n}的前n项和为S n,若a1=2,S3=12,则a6等于()A.8B.10C.12D.14答案C分析由题意知a1=2,由S3=3a1+×d=12,解得d=2,所以a6=a1+5d=2+5×2=12,应选C.3.在等差数列{a n}中,已知a4+a8=16,则该数列前11项和S11等于()A.58B.88C.143D.176答案B分析S11===88.4.设数列{a n}是等差数列,若a3+a4+a5=12,则a1+a2++a7等于()精心整理A.14B.21C.28D.35答案C分析∵a3+a4+a5=3a4=12,∴a4=4,a1+a2++a7=7a4=28.5.(2014·京北)若等差数列{a n}知足a7+a8+a9>0,a7+a10<0,则当n=________时,{a n}的前n项和最大.答案8分析{a n}是等差数列,且a7+a8+a9=3a8因为数列>0,所以a8>0.又a7+a10=a8+a9<0,所以a9<0.故当n=8时,其前n项和最大.题型一等差数列基本量的运算例1(1)在数列{a n}中,若a1=-2,且对随意的n∈N*有2a n+1=1+2a n,则数列{a n}前10项的和为()精心整理A.2B.10C.D.(2)已知在等差数列{a n}中,a2=7,a4=15,则前10项和S10等于()A.100B.210C.380D.400答案(1)C(2)B分析(1)由2a n+1=1+2a n得a n+1-a n=,所以数列{a n}是首项为-2,公差为的等差数列,所以S10=10×(-2)+×=.(2)因为a2=7,a4=15,所以d=4,a1=3,故S10=10×3+×10×9×4=210.思想升华(1)等差数列运算问题的一般求法是设出首项a1和公差d,而后由通项公式或前n项和公式转变成方程(组)求解.(2)等差数列的通项公式及精心整理前n项和公式,共波及五个量a1,a n,d,n,S n,知此中三个就能求此外两个,表现了方程的思想.(1)(2015课·标全国Ⅱ)设S n是等差数列{a n}的前n项和,若a1+a3+a5=3,则S5等于()A.5B.7C.9D.11(2)已知等差数列{a n}的前n项和为S n,且知足-=1,则数列{a n}的公差是().1C.2D.3答案(1)A(2)C分析(1)∵{a n}为等差数列,∴a1+a5=2a3,a1+a3+a5=3a3=3,得a3=1,S5==5a3=5.应选A.(2)∵S n=,∴=,又-=1,得-=1,即a3-a2=2,∴数列{a n}的公差为2.精心整理题型二等差数列的判断与证明例2已知数列{a n}中,a1=,a n=2-(n≥2,n∈N*),数列{b n}知足b n=(n∈N*).(1)求证:数列{b n}是等差数列;(2)求数列{a n}中的最大项和最小项,并说明原因.(1)证明因为a n=2-(n≥2,n∈N*),b n=(n∈N*),所以b n+1-b n=-=-=-=1.又b1==-.所以数列{b n}是以-为首项,1为公差的等差数列.(2)解由(1)知b n=n-,则a n=1+=1+.精心整理设f(x)=1+,则f(x)在区间(-∞,)和(,+∞)上为减函数.所以当n=3时,a n获得最小值-1,当n=4时,a n 获得最大值3.引申研究例2中,若条件变成a1=,na n+1=(n+1)a n+n(n 1),研究数列{a n}的通项公式.解由已知可得=+1,即-=1,又a1=,∴是以=为首项,1为公差的等差数列,∴=+(n-1)·1=n-,∴a n=n2-n.思想升华等差数列的四个判断方法精心整理(1)定义法:证明对随意正整数n都有a n+1-a n等于同一个常数.(2)等差中项法:证明对随意正整数n都有2a n+1=a n+a n+2后,可递推得出a n+2-a n+1=a n+1-a n=a na n-1=a n-1-a n-2==a2-a1,依据定义得出数列{a n}为等差数列.(3)通项公式法:得出a n=pn+q后,得a n+1-a n=p对随意正整数 n恒建立,依据定义判断数列{a n}为等差数列.(4)前n项和公式法:得出S n =An2+Bn后,依据S n,a n的关系,得出a n,再使用定义法证明数列{a n}为等差数列.(1)若{a n}是公差为1的等差数列,则{a2n-1精心整理+2a2n}是()A.公差为3的等差数列B.公差为4的等差数列C.公差为6的等差数列D.公差为9的等差数列(2)在数列{a n}中,若a1=1,a2=,=+(n∈N*),则该数列的通项为()A.a n=B.a n=C.a n=D.a n=答案(1)C(2)A分析(1)∵a2n-1+2a2n-(a2n-3+2a2n-2)(a2n-1-a2n-3)+2(a2n-a2n-2)2+2×2=6,∴{a2n-1+2a2n}是公差为6的等差数列.(2)由已知式=+可得-=-,知{}是首项为=1,公差为-=2-1=1的精心整理等差数列,所以=n,即a n=.精心整理题型三等差数列的性质及应用命题点1等差数列的性质例3(1)(2015广·东)在等差数列{a n}中,若a3+a4a5+a6+a7=25,则a2+a8=________.(2)已知等差数列{a n}的前n项和为S n,且S10=10,S20=30,则S30=________.答案(1)10(2)60分析(1)因为{a n}是等差数列,所以a3+a7=a4+a6a2+a8=2a5,a3+a4+a5+a6+a7=5a5=25,即a5=5,a2+a8=2a5=10.(2)∵S10,S20-S10,S30-S20成等差数列,且S10=10,S20=30,S20-S10=20,S30-30=10+2×10=30,∴S30=60.命题点2等差数列前n项和的最值例4在等差数列{a n}中,已知a1=20,前n项和为精心整理S n,且S10=S15,求当n取何值时,S n获得最大值,并求出它的最大值.解∵a1=20,S10=S15,10×20+d=15×20+d,d=-.方法一由a n=20+(n-1)×=-n+.得a13=0.即当n≤12时,a n>0,当n≥14时,a n<0.∴当n=12或13时,S n获得最大值,且最大值为S12=S13=12×20+×=130.方法二S n=20n+·=-n2+n精心整理=-2+.∵n∈N*,∴当n=12或13时,S n有最大值,且最大值为S12=S13=130.方法三由S10=S15得a11+a12+a13+a14+a15=0.5a13=0,即a13=0.∴当n=12或13时,S n有最大值,且最大值为S12 S13=130.引申研究例4中,若条件“a1=20”改为a1=-20,其余条件不变,求当n取何值时,S n获得最小值,并求出最小值.解由S10=S15,得a11+a12+a13+a14+a15=0,∴a13=0.又a1=-20,∴a12<0,a14>0,精心整理∴当n=12或13时,S n获得最小值,最小值S12=S13==-130.思想升华(1)等差数列的性质:①项的性质:在等差数列{a n}中,a m-a n=(m-n)d?d(m≠n),其几何意义是点(n,a n),(m,a m)所在直线的斜率等于等差数列的公差.②和的性质:在等差数列{a n}中,S n为其前n项和,则a.S2n=n(a1+a2n)==n(a n+a n+1);b.S2n-1=(2n-1)a n.(2)求等差数列前n项和S n最值的两种方法:①函数法:利用等差数列前n项和的函数表达式S n精心整理an2+bn,经过配方或借助图象求二次函数最值的方法求解.②邻项变号法:a.当a1>0,d<0时,知足的项数m使得S n获得最大值S m;b.当a1<0,d>0时,知足的项数m使得S n获得最小值S m.(1)等差数列{a n}的前n项和为S n,已知a5+a7=4,a6+a8=-2,则当S n取最大值时,n的值是()A.5B.6C.7D.8(2)设数列{a n}是公差d<0的等差数列,S n为前n项和,若S6=5a1+10d,则S n取最大值时,n的值为()精心整理A.5B.6C.5或6D.11(3)已知等差数列{a n}的首项a1=20,公差d=-2,则前n项和S n的最大值为________.答案(1)B (2)C(3)110分析(1)依题意得2a6=4,2a7=-2,a6=2>0,a7=-1<0;又数列{a n}是等差数列,所以在该数列中,前6项均为正数,自第7项起此后各项均为负数,于是当S n取最大值时,n=6,选B.(2)由题意得S6=6a1+15d=5a1+10d,所以a6=0,故当n=5或6时,S n最大,选C.(3)因为等差数列{a n}的首项a1=20,公差d=-2,代入乞降公式得,S n=na1+d=20n-×2精心整理=-n2+21n=-2+2,又因为n∈N*,所以n=10或n=11时,S n获得最大值,最大值为110.6.等差数列的前n项和及其最值典例(1)在等差数列{a n}中,2(a1+a3+a5)+3(a7+a9)=54,则此数列前10项的和S10等于()A.45B.60C.75D.90(2)在等差数列{a n}中,S10=100,S100=10,则S110 ________.(3)等差数列{a n}中,已知a5>0,a4+a7<0,则{a n}的前n项和S n的最大值为()A.S4B.S5C.S6D.S7思想点拨(1)求等差数列前n项和,能够经过求解基本量a1,d,代入前n项和公式计算,也能够利用精心整理等差数列的性质:a1+a n=a2+a n-1=;(2)求等差数列前 n项和的最值,能够将S n化为对于的二次函数,求二次函数的最值,也能够察看等差数列的符号变化趋向,找最后的非负项或非正项.分析(1)由题意得a3+a8=9,所以S10====45.(2)方法一设数列{a n}的公差为d,首项为a1,则解得所以S110=110a1+d=-110.方法二因为S100-S10==-90,所以a11+a100=-2,所以S110===-110.精心整理(3)因为所以所以S n的最大值为S5.答案(1)A (2)-110(3)B温馨提示(1)利用函数思想求等差数列前n项和S n的最值时,要注意到n∈N*;(2)利用等差数列的性质求S n,突出了整体思想,减少了运算量.[方法与技巧]1.在解相关等差数列的基本量问题时,可经过列关于a1,d的方程组进行求解.2.证明等差数列要用定义;此外还能够用等差中项法,通项公式法,前n项和公式法判断一个数列是否为等差数列.精心整理3.等差数列性质灵巧使用,能够大大减少运算量.4.在碰到三个数成等差数列问题时,可设三个数为(1)a,a+d,a+2d;(2)a-d,a,a+d;(3)a-d,a +d,a+3d等,可视详细状况而定.[失误与防备]1.当公差d≠0时,等差数列的通项公式是n的一次函数,当公差d=0时,a n为常数.2.公差不为0的等差数列的前 n项和公式是n的二次函数,且常数项为0.若某数列的前n项和公式是常数项不为0的二次函数,则该数列不是等差数列,它从第二项起成等差数列.A组专项基础训练(时间:35分钟)1.设等差数列{a n}的前n项和为S n,若S3=9,S6精心整理=36,则a7+a8+a9等于()A.63B.45C.36D.27答案B分析由{a n}是等差数列,得S3,S6-S3,S9-S6为等差数列.即2(S6-S3)=S3+(S9-S6),获得S9-S6=2S6-3S3=45,应选B. 2.(2015·京北)设{a n}是等差数列,以下结论中正确的是()A.若a1+a2>0,则a2+a3>0B.若a1+a3<0,则a1+a2<0C.若0<a1<a2,则a2>D.若a1<0,则(a2-a1)(a2-a3)>0答案C精心整理分析设等差数列{a n}的公差为d,若a1+a2>0,a2a3=a1+d+a2+d=(a1+a2)+2d,因为d正负不确立,因此a2+a3符号不确立,应选项A错;若a1a3<0,a1+a2=a1+a3-d=(a1+a3)-d,因为d正负不确立,因此a1+a2符号不确立,应选项B错;若0<a1<a2,可知a1>0,d>0,a2>0,a3>0,所以a-a1a3=(a1+d)2-a1(a1+2d)=d2>0,所以a2>,应选项C正确;若a1<0,则(a2-a1)·(a2-a3)=d·(-d)=-d2≤0,应选项D错.3.设等差数列{a n}的前n项和为S n,若S m-1=-2,S m=0,S m+1=3,则m等于()A.3B.4C.5D.6答案C精心整理分析∵数列{a n}为等差数列,且前n项和为S n,∴数列也为等差数列.∴+=,即+=0,解得m=5,经查验为原方程的解,应选 C.4.数列{a n}的首项为3,{b n}为等差数列,且b n=a n+1-a n(n∈N*),若b3=-2,b10=12,则a8等于()A.0B.3C.8D.11答案B设{b n}的公差为d,∵分析∵∵-b3=7d=12-(-2)=14,∴d=2.∵b10∵∵b3=-2,∴b1=b3-2d=-2-4=-6.精心整理b1+b2++b7=7b1+d7×(-6)+21×2=0.又b1+b2++b7=(a2-a1)+(a3-a2)++(a8-a7)=a8-a1=a8-3=0,a8=3.应选B.5.已知数列{a n}知足a n+1=a n-,且a1=5,设{a n}的前n项和为S n,则使得S n获得最大值的序号n的值为()A.7B.8C.7或8D.8或9答案C分析由题意可知数列{a n}是首项为5,公差为-的等差数列,所以a n=5-(n-1)=,该数列前7项是正数项,第8项是0,从第9项开始是负数项,所精心整理以S n获得最大值时,n=7或8,应选C.6.已知数列{a n}中,a1=1且=+(n∈N*),则a10 ________.答案分析由已知得=+(10-1)×=1+3=4,故a10=.7.已知递加的等差数列{a n}知足a1=1,a3=a-4,则a n=________.答案2n-1分析设等差数列的公差为d,a3=a-4,∴1+2d=(1+d)2-4,解得d2=4,即d=±2.因为该数列为递加数列,故d=2.∴a n=1+(n-1)×2=2n-1.精心整理8.设数列{a n}的通项公式为a n=2n-10(n∈N*),则|a1|+|a2|++|a15|=________.答案130分析由a=-∈N*知是以-为首项,n2n10(n)n8 {a}为公差的等差数列,又由a n=2n-10≥0得n≥5,∴n≤5时,a n≤0,当n>5时,a n>0,∴|a1|+|a2|++|a15|=-(a1+a2+a3+a4)+(a5+a6++a15)20+110=130.9.若数列{a n}的前n项和为S n,且知足a n+2S n S n 1=0(n≥2),a1=.(1)求证:成等差数列;(2)求数列{a n}的通项公式.(1)证明当n≥2时,由an+2S nn-1=0,S得S n-S n-1=-2S n S n-1,所以-=2,精心整理又==2,故是首项为2,公差为2的等差数列.(2)解由(1)可得=2n,∴S n=.当n≥2时,a n=S n-S n-1=-==-.当n=1时,a1=不合适上式.故a n=10.等差数列{a n}中,设S n为其前n项和,且a1>0,S3=S11,则当n为多少时,S n最大?解方法一由S3=S11得3a1+d=11a1+d,则d=-a1.进而S n=n2+n=-(n-7)2+a1,又a1>0,所以-<0.故当n=7时,S n最大.方法二因为S n=an2+bn是对于n的二次函数,由S3=S11,可知S n=an2+bn的图象对于n==7精心整理对称.由方法一可知a=-<0,故当n=7时,S n 最大.方法三由方法一可知,d=-a1.要使S n最大,则有即解得≤n≤,故当n=7时,S n最大.方法四由S3=S11,可得2a1+13d=0,即(a1+6d)+(a1+7d)=0,故a7+a8=0,又由a1>0,S3=S11可知d<0,所以a7>0,a8<0,所以当n=7时,S n最大.B组专项能力提高(时间:20分钟)11.设S n为等差数列{a n}的前n项和,(n+1)S n<精心整理nS n+1(n∈N*).若<-1,则()A.S n的最大值是S8B.S n的最小值是S8C.S n的最大值是S7D.S n的最小值是S7答案D分析由条件得<,即<,所以a n<a n+1,所以等差数列{a n}为递加数列.又<-1,所以a8>0,a7<0,即数列{a n}前7项均小于0,第8项大于零,所以S n的最小值为S7,应选D.12.设等差数列{a n}的前n项和为S n,若a1=-3,a k+1=,S k=-12,则正整数k=________.答案13分析S k+1=S k+a k+1=-12+=-,又S k+1=精心整理==-,解得k=13.13.设等差数列{a n},{b n}的前n项和分别为S n,T n,若对随意自然数n都有=,则+的值为________.答案分析∵{a n},{b n}为等差数列,∴+=+==.∵====,∴=.14.已知数列{a n}是首项为a,公差为1的等差数列,b n=,若对随意的n∈N*,都有b n≥b8建立,则实数a的取值范围为________.精心整理答案(-8,-7)分析依题意得b n=1+,对随意的n∈N*,都有b n≥b8,即数列{b n}的最小项是第8项,于是有≥.又数列{a n}是公差为1的等差数列,所以有即由此解得-8<a<-7,即实数a的取值范围是(-8,-7).15.已知公差大于零的等差数列{a n}的前n项和为S n,且知足a3·a4=117,a2+a5=22.(1)求通项a n;(2)求S n的最小值;(3)若数列{b n}是等差数列,且b n=,求非零常数 c.解(1)因为数列{a n}为等差数列,所以a3+a4=a2+a5=22.又a3·a4=117,所以a3,a4是方程x2-22x+117=0的两实根,又公差d>0,所以a3<a4,精心整理所以a3=9,a4=13,所以所以所以通项a n=4n-3.(2)由(1)知a1=1,d=4,所以S n=na1+×d=2n2-n=22-.所以当n=1时,S n最小,最小值为S1=a1=1.(3)由(2)知S n=2n2-n,所以b n==,所以b1=,b2=,b3=.因为数列{b n}是等差数列,精心整理所以2b2=b1+b3,即×2=+,所以2c2+c=0,所以c=-或c=0(舍去),经考证c=-时,{b n}是等差数列,故c=-.。
高考数学-等差数列典型例题【例1】 在100以内有多少个能被7个整除的自然数?解 ∵100以内能被7整除的自然数构成一个等差数列,其中a 1=7,d =7,a n =98.代入a n =a 1+(n -1)d 中,有98=7+(n -1)·7解得n =14答 100以内有14个能被7整除的自然数.【例2】 在-1与7之间顺次插入三个数a ,b ,b 使这五个数成等差数列,求此数列.解 设这五个数组成的等差数列为{a n }由已知:a 1=-1,a 5=7∴7=-1+(5-1)d 解出d =2所求数列为:-1,1,3,5,7.【例3】 53122在等差数列-,-,-,-,…的相邻两项之间12插入一个数,使之组成一个新的等差数列,求新数列的通项.解 d =312 (5) d =d =34原数列的公差-=,所以新数列的公差′,期通项为--3212a n n n n =-+-=--534134234234()即 a =34n【例4】 在[1000,2000]内能被3整除且被4除余1的整数共有多少个? 解 设a n =3n ,b m =4m -3,n ,m ∈N令,则=-=为使为整数,令=,a =b 3n 4m 3n n m 3k n m ⇒-433m得n =4k -1(k ∈N),得{a n },{b m }中相同的项构成的数列{c n }的通项c n =12n -3(n ∈N).则在[1000,2000]内{c n }的项为84·12-3,85·12-3,…,166·12-3 ∴n =166-84+1=83 ∴共有83个数.【例5】 三个数成等差数列,其和为15,其平方和为83,求此三个数. 解 设三个数分别为x -d ,x ,x +d .则-+++-+++(x d)x (x d)=15(x d)x (x d)=83222⎧⎨⎩ 解得x =5,d =±2∴ 所求三个数为3、5、7或7、5、3说明 注意学习本题对三个成等差数列的数的设法.【例6】 已知a 、b 、c 成等差数列,求证:b +c ,c +a ,a +b 也成等差数列. 证 ∵a 、b 、c 成等差数列∴2b=a +c∴(b +c)+(a +b)=a +2b +c=a +(a +c)+c=2(a +c)∴b +c 、c +a 、a +b 成等差数列.说明 如果a 、b 、c 成等差数列,常化成2b =a +c 的形式去运用;反之,如果求证a 、b 、c 成等差数列,常改证2b=a +c .本例的意图即在让读者体会这一点.【例7】 a b a b 若、、成等差数列,且≠,求证:、、、不111a b cc 可能是等差数列.分析 直接证明a 、b 、c 不可能是等差数列,有关等差数列的知识较难运用,这时往往用反证法.证 假设a 、b 、c 是等差数列,则2b=a +c又∵、、成等差数列,∴,即=+.111211a b c b a c=+2ac b(a c) ∴2ac =b(a +c)=2b 2,b 2=ac .又∵ a 、b 、c 不为0,∴ a 、b 、c 为等比数列,又∴ a 、b 、c 为等差数列,∴ a 、b 、c 为常数列,与a ≠b 矛盾,∴ 假设是错误的.∴ a 、b 、c 不可能成等差数列.【例8】 解答下列各题:(1)已知等差数列{a n },a n ≠0,公差d ≠0,求证:①对任意k ∈N ,关于x 的方程a k x 2+2a k+1x +a k+2=0有一公共根;②若方程的另一根为,求证数列是等差数列;在△中,已知三边、、成等差数列,求证:、、也成等差数列.x (2)ABC a b c k {}cot cot cot 11222+x A B C k分析与解答(1)a k x 2+2a k+1x +a k+2=0∵{a n }为等差数列,∴2a k+1=a k +a k+2∴a k x 2+(a k +a k+2)x +a k+2=0∴(a k x +a k+2)(x +1)=0,a k ≠0∴=-或=- x 1x k a a x a a a a a a d k kk k kk k k k ++++=-=-=-22211112 ∵{a n }为等差数列,d 为不等于零的常数∴方程有一公共根-,数列是等差数列1{}11+x k(2)由条件得 2b=a +c∴4RsinB =2RsinA +2RsinC ,2sinB =sinA +sinC∴∵++=π∴∴4sin B 2cos B 2=2sin A +C 2cos A C 2A B C sin A +C 2=cos B 22sin B 2=cos A 2--C 分析至此,变形目标需明确,即要证2cot B 2=cot A 2cot C 2+ 由于目标是半角的余切形式,一般把切向弦转化,故有cot cot cos sin cos sin sin sin sin sin (cos cos )()cos sin sin cot A C A A C C A C A C A C A C A C B B B B 222222222212222222222+=+=+=+-+--=--=将条件代入 ∴、、成等差数列.cot A 2cot B 2cot C 2【例9】 若正数a 1,a 2,a 3,…a n+1成等差数列,求证:1111223111a a a a a a n a a n n n ++++++=+-+… 分析11111a a a a a a a a d n n n n n n n n +=--=--++++ 证明 设该数列的公差为d ,则a 1-a 2=a 2-a 3=…=a n -a n+1=-d∴a 1-a n+1=-nd∴-左式…d =a =a 11---+--++--+++a n a a a a a a a a a a a n n n n n 1212232311 =--=--=+=++++a a d a a a a nn a a n n n n 11111111右式 ∴ 原等式成立.【例10】 设x ≠y ,且两数列x ,a 1,a 2,a 3,y 和b 1,x ,b b y b 234,,,均为等差数列,求.b b a a 4321-- 分析解 d =y x51(1)=y x52(2)可采用=由a a m na ab b m n----------21433264 (2)(1)÷,得b b a a 432183--=。
完整版)数列典型例题(含答案)等差数列的前n项和公式为代入已知条件,得到解得代入已知条件,得到解得代入已知条件,得到解得代入已知条件,得到解得代入已知条件,得到解得代入已知条件,得到解得代入已知条件,得到解得代入已知条件,得到解得代入已知条件,得到解得代入已知条件,得到解得代入已知条件,得到解得代入已知条件,得到解得代入已知条件,得到解得代入已知条件,得到解得代入已知条件,得到解得代入已知条件,得到解得代入已知条件,得到解得代入已知条件,得到解得代入已知条件,得到解得代入已知条件,得到解得代入已知条件,得到解得代入已知条件,得到解得代入已知条件,得到解得代入已知条件,得到解得代入已知条件,得到解得代入已知条件,得到解得。
因此,前项和为。
⑵由已知条件可得代入等差数列的前n项和公式,得到化简得因此,前项和为。
8.(2010山东理) 已知等差数列 $a_1,a_2,\ldots,a_n,\ldots$,其中 $a_1=1$,公差为 $d$。
1) 求 $a_5$ 和 $a_{10}$。
2) 满足 $a_1+a_2+\ldots+a_k=100$,$a_1+a_2+\ldots+a_{k+1}>100$,$k\in\mathbb{N}$,求该等差数列的前 $k$ XXX。
考查目的:考查等差数列的通项公式和前项和公式等基础知识,考查数列求和的基本方法以及运算求解能力。
答案:(1) $a_5=5d+1$,$a_{10}=10d+1$;(2) $k=13$,前$k$ 项和为 $819$。
解析:(1) 根据等差数列的通项公式 $a_n=a_1+(n-1)d$,可得 $a_5=1+4d$,$a_{10}=1+9d$。
2) 设该等差数列的前 $k$ 项和为 $S_k$,则由等差数列的前项和公式可得 $S_k=\dfrac{k}{2}[2a_1+(k-1)d]$。
根据已知条件可列出不等式组:begin{cases}S_k=100\\S_{k+1}>100end{cases}将 $S_k$ 代入得:frac{k}{2}[2+(k-1)d]=100整理得:$k^2+kd-400=0$。
数列A 、等差数列知识点及例题一、数列由与的关系求n a n S na 由求时,要分n=1和n≥2两种情况讨论,然后验证两种情况可否用统一的解析式表示,若不能,则用分段函数的n S n a 形式表示为。
11(1)(2)n n n S n a S S n -=⎧=⎨-≥⎩〖例〗根据下列条件,确定数列的通项公式。
{}na 分析:(1)可用构造等比数列法求解;(2)可转化后利用累乘法求解;(3)将无理问题有理化,而后利用与的关系求解。
n a n S 解答:(1)(2)……累乘可得,故(3)二、等差数列及其前n 项和(一)等差数列的判定1、等差数列的判定通常有两种方法:第一种是利用定义,,第二种是利用等差中项,即。
1()(2)n n a a d n --=≥常数112(2)n n n a a a n +-=+≥2、解选择题、填空题时,亦可用通项或前n 项和直接判断。
(1)通项法:若数列{}的通项公式为n 的一次函数,即=An+B,则{}是等差数列;n a n a n a (2)前n 项和法:若数列{}的前n 项和是的形式(A ,B 是常数),则{}是等差数列。
n a n S 2n S An Bn =+n a 注:若判断一个数列不是等差数列,则只需说明任意连续三项不是等差数列即可。
〖例〗已知数列{}的前n 项和为,且满足n a n S 111120(2),2n n n n S S S S n a ---+=≥=A (1)求证:{}是等差数列;1nS (2)求的表达式。
n a 分析:(1)与的关系结论;1120n n n n S S S S ---+=A →1n S 11n S -→(2)由的关系式的关系式1nS →n S →n a 解答:(1)等式两边同除以得-+2=0,即-=2(n≥2).∴{}是以==2为首1n n S S -A 11n S -1n S 1n S 11n S -1n S 11S 11a 项,以2为公差的等差数列。
高二数学等差数列典型例题【例1】 在100以内有多少个能被 7个整除的自然数?解•/ 100以内能被7整除的自然数构成一个等差数列,其中 a 1 =7, d = 7, a n = 98-代入 a n = a 〔 + (n - 1)d 中,有 98= 7+ (n - 1) • 7 解得n = 14答100以内有14个能被7整除的自然数.【例2】 在—1与7之间顺次插入三个数 a , b , b 使这五个数成等差数列,求此数列.解 设这五个数组成的等差数列为 {a n } 由已知:a 〔 = — 1, = 7 ••• 7=— 1 + (5 — 1)d 解出 d = 2 所求数列为:—1 , 1, 3, 5, 7.1 1【例3】 在等差数列一5,— 3?,— 2,—,…的相邻两项之间插入一个数,使之组成一个新的等差数列,求新数列的通项.33 23a n 5 (n 1)n44 4 即a n=3 23n4 4【例4】 在[1000 , 2000]内能被解 设 a n =3n , b m = 4m — 3, n , m € N令a n = b m ,则 3n = 4m — 3n = 一3 为使 n 为整数,令 m = 3k ,3得n = 4k — 1(k € N),得{a n } , {b m }中相同的项构成的数列{c n }的通项c n = 12n—3(n € N).则在[1000 , 2000]内{c n }的项为 84 • 12 — 3, 85 • 12— 3,…,166 • 12— 3••• n = 166 — 84+ 仁83 二共有 83 个数.1解原数列的公差d= 321 3 2d =-,期通项为 2 43(-5)=-,所以新数列的公差d3整除且被 4除余1的整数共有多少个?【例5】三个数成等差数列,其和为15,其平方和为83,求此三个数.解设三个数分别为x—d, x, x+ d.r (x —d) + x+ (x + d) = 15则(x —d)2+ x2+ (x + d)2 = 83解得x= 5, d =± 2•所求三个数为3、5、7或7、5、3说明注意学习本题对三个成等差数列的数的设法.【例6】已知a、b、c成等差数列,求证:b+ c, c+ a, a+ b也成等差数列.证■/ a、b、c成等差数列• 2b=a + c•- (b + c) + (a+ b) = a+ 2b + c=a+ (a+ c) + c=2(a + c)• b+ c、c+ a、a+ b成等差数列.说明如果a、b、c成等差数列,常化成2b = a+ c的形式去运用;反之,如果求证a、b、c成等差数列,常改证2b=a + c.本例的意图即在让读者体会这一点.1 1 1【例7】若-、一、-成等差数列,且b,求证:a、b、c、不a b c可能是等差数列.分析直接证明a、b、c不可能是等差数列,有关等差数列的知识较难运用,这时往往用反证法.证假设a、b、c是等差数列,则2b=a+ c1 1 1又•••丄、11成等差数列,a b c2 1 1…,即2ac= b(a+ c).b a c• 2ac= b(a+ c)=2b2, b2= ac.又T a、b、c不为0,• a、b、c为等比数列,又• a、b、c为等差数列,• a、b、c为常数列,与b矛盾,•假设是错误的.• a、b、c不可能成等差数列.【例8】解答下列各题:(1)已知等差数列{a n} , a n丰0,公差d丰0,求证:①对任意k € N,关于x的方程akX2+ 2ak+1 x+ ak+2 = 0 有一公共根;⑵在△ ABC 中,已知三边a 、b 、c 成等差数列,求证:B Ccot 、cot 也成等差数列.2 2分析与解答(1)a k x2+ 2a k+i x + a k+2 = 0 •••{an }为等差数列,••• 2a k+1 = a k + a k+2二 akX 2+(ak + ak+2)x + ak+2= 0•(a k x + a k+2)(x + I =0, ak M 0• x = — 1或 x k = 1 1a k 2a ka ka ka k a k 2 2dd 为不等于零的常数1•方程有一公共根—1,数列{—「}是等差数列1 X k⑵由条件得 2b=a + c• 4Rs inB = 2Rs inA + 2Rsi nC , 2sinB = si nA + si nCB B A +C AC…4sin cos = 2sincos -2 2 2 2B =cos —2 B A C• 2sin 2 =cos 丁分析至此,变形目标需明确,即要证B AC 2cot = cot + cot —2 22I X k 1 ak 2 a k••• {a n }为等差数列,②若方程的另一根为 X k ,求证数列{彳1切是等差数列;A cot —、 2sin A +C2由于目标是半角的余切形式,一般把切向弦转化,故有【例10】设x丰y,且两数列x, a「a2,a3,y和b1,x,A C cot cot —2 2Acos—___ 2Asin2Ccos$Csin2Asin —2A C sin—A Csin sin2 21 A C(cos—2 2B2 cos— 2Bsin 2 si n2 2ABC••• cot —、cot -、cot —成等差数列.2 2 2 (将条件代入)A Ccos 2 )B2 cot -2【例9】右正数a〔,a?,83,:.ai a2分析:a2. a3ad…a n+1成等差数列,求证:anan 11a证明..a n -:;a n 1设该数列的公差为d,则ai —a2=a2 —a3 =••• =a n —a n+1 = —d…a1 一a n+1 = _ nda 1 an 1••— d =n左式-占1 W2.a2 a3a2 a3 a n a n 1d弩a1W a n 1a1a n 1nn;a1..a n 1右式'■/ a1 订a n 1【例10】设x 丰y ,且两数列x , a 「a2, a 3, y 和 b 1, x ,a 2 a 1 y x 解由——1 = 3 2 5 1 b 4 b 3 = y x 6 4=52b 2, b 3, y , b 4均为等差数列,求b 4 b 3 a ? a i分析可采用d =a nn(2) 一(1),得b 4 a 2b a a i(1)⑵。
等差数列例题:1.已知等差数列{a n }的通项公式a n =3-2n ,则它的公差为( )A .2B .3C .-2D .-32.已知数列{a n }满足a 1=2,a n +1-a n +1=0,则数列的通项a n 等于( )A .n 2+1B .n +1C .1-nD .3-n3.等差数列-3,-1,1,…,的第1 000项为( )A .1 990B .1 995C .2 010D .2 0154.等差数列1,-1,-3,-5,…,-89,它的项数为( )A .92B .47C .46D .45 5.lg(3-2)与lg(3+2)的等差中项为( )A .0B .lg 3-23+2C .lg(5-26)D .1 6.一个首项为23,公差为整数的等差数列,第7项开始为负数,则它的公差是( )A .-2B .-3C .-4D .-67.在等差数列{a n }中,a 3=7,a 5=a 2+6,则a 6=( )A .11B .12C .13D .148.等差数列{a n }中,a 1+a 5=10,a 4=7,则数列{a n }的公差为( )A .1B .2C .3D .49.设等差数列{a n }中,已知a 1=13,a 2+a 5=4,a n =33,则n 是( ) A .48 B .49 C .50 D .5110.已知等差数列{a n }中,a 2=-9,a 3a 2=-23,则a n 为( ) A .14n +3 B .16n -4 C .15n -39 D .15n +811.在等差数列{a n }中,若a 2+a 4+a 6+a 8+a 10=80,则a 7-12a 8的值为( ) A .4 B .6 C .8 D .1012.等差数列{a n }的首项为70,公差为-9,则此数列中绝对值最小的一项为( )A .a 8B .a 9C .a 10D .a 11 13.在等差数列-5,-312,-2,-12,…中,每相邻两项之间插入一个数,使之组成一个新的等差数列,则新数列的通项公式为( )A .a n =34n -234B .a n =-5-32(n -1)C .a n =-5-34(n -1)D .a n =54n 2-3n14.设公差为-2的等差数列{a n },如果a 1+a 4+a 7+…+a 97=50,那么a 3+a 6+a 9+…+a 99等于( )A .-182B .-78C .-148D .-8215.已知数列{a n }中,a 3=2,a 7=1,又数列{1a n +1}是等差数列,则a 11等于( )A .0 B.12 C.23 D .-1练习:1.在数列{a n }中,a 1=2,2a n +1=2a n +1,则a 101的值为( )A .49B .50C .51D .522.等差数列{a n }中,a 5=33,a 45=153,则201是该数列的第( )项A .60B .61C .62D .633.已知a =13+2,b =13-2,则a ,b 的等差中项为( )A.3B.2C.13 D.124.在等差数列{a n }中,a 1+a 9=10,则a 5的值为( )A .5B .6C .8D .105.已知{a n }为等差数列,a 1+a 3+a 5=105,a 2+a 4+a 6=99,则a 20等于( )A .-1B .1C .3D .76.△ABC 中,三内角A ,B ,C 成等差数列,则B 等于( )A .30°B .60°C .90°D .120°7.等差数列20,17,14,11,…中第一个负数项是( )A .第7项B .第8项C .第9项D .第10项8.{a n }是首项a 1=1,公差d =3的等差数列,若a n =2 011,则n 等于( )A .671B .670C .669D .6689.在等差数列{a n }中,a 2=-5,a 6=a 4+6,则a 1等于( )A .-9B .-8C .-7D .-410.已知等差数列{a n }中,a 7+a 9=16,a 4=1,则a 12等于( )A .15B .30C .31D .6411.若数列{a n }是等差数列,且a 1+a 4=45,a 2+a 5=39,则a 3+a 6=( )A .24B .27C .30D .3312.等差数列{a n }的公差d <0,且a 2·a 4=12,a 2+a 4=8,则数列{a n }的通项公式是() A .a n =2n -2(n ∈N *) B .a n =2n +4(n ∈N *)C .a n =-2n +12(n ∈ N *)D .a n =-2n +10(n ∈ N *)13.已知数列{a n }为等差数列且a 1+a 7+a 13=4π,则tan(a 2+a 12)的值为( )A. 3 B .±3 C .-33 D .- 314.已知等差数列{a n }的公差为d (d ≠0),且a 3+a 6+a 10+a 13=32,若a m =8,则m 为( )A .12B .8C .6D .415.等差数列{a n }中,a 1+a 4+a 7=39,a 2+a 5+a 8=33,则a 3+a 6+a 9的值为( )A .30B .27C .24D .2116.等差数列中,若a 3+a 4+a 5+a 6+a 7+a 8+a 9=420,则a 2+a 10等于( )A .100B .120C .140D .16017.在等差数列{a n }中,若a 4+a 6+a 8+a 10+a 12=120,则a 9-13a 11的值为( )A .14B .15C .16D .1718.数列{a n }是等差数列,则有 ( )A .a 2 007+a 2 008=a 2 009+a 2 010B .a 2 007+a 2 009=a 2 008+a 2 010C .a 2 007+a 2 010=a 2 008+a 2 009D .a 2 007+a 2 008≤a 2 009+a 2 01019.在3与27之间插入7个数,使这9个数成等差数列,则插入这7个数中的第4个数为() A .18 B .9 C .12 D .1520.若a ≠b ,两个等差数列a ,x 1,x 2,b 与a ,y 1,y 2,y 3,b 的公差分别为d 1、d 2,则d1d 2等于() A.32 B.23 C.43 D.3421.若数列{a n }为等差数列,a p =q ,a q =p (p ≠q ),则a p +q 为( )A .p +qB .0C .-(p +q ) D. p +q222.如果等差数列{a n }中,a 3+a 4+a 5=12,那么a 1+a 2+…+a 7=( )A .14B .21C .28D .3523.等差数列的首项为125,且从第10项开始为比1大的项,则公差d 的取值范围是( )A .d >875B .d <325 C.875<d <325 D.875<d ≤32524.在等差数列{a n }中,已知a 1=2,a 2+a 3=13,则a 4+a 5+a 6=________.25.等差数列{a n }的前三项依次为x,2x +1,4x +2,则它的第5项为__________.26.若{a n }是等差数列,a 15=8,a 60=20,则a 75=______27.已知{a n }为等差数列,a 1+a 3+a 5=105,a 2+a 4+a 6=99,则a 20=______.28.在等差数列{a n }中,a 3+a 7=37,则a 2+a 4+a 6+a 8=________.29.在等差数列{a n }中,已知a 3+a 8=10,则3a 5+a 7=________.30.已知递增的等差数列{a n }满足a 1=1,a 3=a 22-4,则a n =________.31.等差数列{a n }中,公差为12,且a 1+a 3+a 5+…+a 99=60,则a 2+a 4+a 6+…+a 100=____.32.已知⎩⎨⎧⎭⎬⎫1a n 是等差数列,且a 4=6,a 6=4,则a 10=__________. 33.已知等差数列{a n }中,a 2+a 6+a 10=1,求a 3+a 9.34.在等差数列{a n }中,a 3+a 4+a 5=84,a 9=73.求数列{a n }的通项公式.35.等差数列{a n } 中,首项为33,公差为整数,若前7项均为正数,第7项以后各项都为负数,则公差d 的值为多少?36.等差数列{a n }的公差d ≠0,试比较a 4a 9与a 6a 7的大小.37.若1n a ⎧⎫⎨⎬⎩⎭是首项和公差都是3的等差数列.(1)求数列{a n }的通项公式;(2)证明:数列{}2n n a 是等差数列,并求出公差.等差数列答案例题:CDBCA CCBCC CBADB练习:DBAAB BBABA DDDBB BCCDC BCD24. 42;25. 4;26. 24;27. 1;28. 74;29. 20;30. 2n -1;31. 85;32. 12533.解法一:a 2+a 6+a 10=a 1+d +a 1+5d +a 1+9d =3a 1+15d =1,∴a 1+5d =13. ∴a 3+a 9=a 1+2d +a 1+8d =2a 1+10d =2(a 1+5d )=23. 解法二:∵{a n }为等差数列,∴2a 6=a 2+a 10=a 3+a 9,∴a 2+a 6+a 10=3a 6=1,∴a 6=13,∴a 3+a 9=2a 6=23. 34.因为{a n }是一个等差数列,所以a 3+a 4+a 5=3a 4=84,a 4=28. 设数列{a n }的公差为d , 则5d =a 9-a 4=73-28=45,故d =9. 由a 4=a 1+3d ,得28=a 1+3×9,即a 1=1. 所以a n =a 1+(n -1)d =1+9(n -1)=9n -8(n ∈N *).35.解:由题意,得⎩⎪⎨⎪⎧ a 7=a 1+6d >0,a 8=a 1+7d <0,即⎩⎪⎨⎪⎧33+6d >0,33+7d <0,得:-336<d <-337, ∴d ∈N ,∴d =-5.36.解 设a n =a 1+(n -1)d ,则a 4a 9-a 6a 7=(a 1+3d )(a 1+8d )-(a 1+5d )(a 1+6d ) =(a 21+11a 1d +24d 2)-(a 21+11a 1d +30d 2)=-6d 2<0,所以a 4a 9<a 6a 7. 37.。
等差数列练习题等差数列练习题(一):一、选择题1.在等差数列{an}中,a2=5,a6=17,则a14=()A.45 B.41C.39 D.372.在等差数列{an}中,a1=21,a7=18,则公差d=()A。
12 B。
13C.-12 D.-13解析:选C。
∵a7=a1+(7-1)d=21+6d=18,∴d=-12。
解析:选B。
a6=a2+(6-2)d=5+4d=17,解得d=3。
所以a14=a2+(14-2)d=5+12×3=41。
3.已知数列{an}对任意的n∈N*,点Pn(n,an)都在直线y =2x+1上,则{an}为()A.公差为2的等差数列 B.公差为1的等差数列C.公差为-2的等差数列 D.非等差数列解析:选A。
an=2n+1,∴an+1-an=2,应选A。
4.数列{an}是首项为2,公差为3的等差数列,数列{bn}是首项为-2,公差为4的等差数列.若an=bn,则n的值为()A.4 B.5C.6 D.7解析:选B。
an=2+(n-1)×3=3n-1,bn=-2+(n-1)×4=4n-6,令an=bn得3n-1=4n-6,∴n=5。
5.下方数列中,是等差数列的有()①4,5,6,7,8,…②3,0,-3,0,-6,…③0,0,0,0,…④110,210,310,410,…A.1个 B.2个C.3个 D.4个解析:选C。
利用等差数列的定义验证可知①、③、④是等差数列.6.已知m和2n的等差中项是4,2m和n的等差中项是5,则m 和n的等差中项是()A.2 B.3C.6 D.9解析:选B。
由题意得m+2n=82m+n=10,∴m+n=6, ∴m、n的等差中项为3。
1.等差数列的定义一般地,如果一个数列从第2项起,每一项与它的前一项的差等于同一个常数,那么这个数列就叫做等差数列,这个常数叫做等差数列的公差,通常用字母__d__表示.2.等差数列的通项公式如果等差数列{a n}的首项为a1,公差为d,那么它的通项公式是a n=a1+(n-1)d.3.等差中项如果A=,那么A叫做a与b的等差中项.4.等差数列的常用性质(1)通项公式的推广:a n=a m+(n-m)d(n,m∈N*).(2)若{a n}为等差数列,且k+l=m+n(k,l,m,n∈N*),则a k+a l=a m+a n.(3)若{a n}是等差数列,公差为d,则{a2n}也是等差数列,公差为2d.(4)若{a n},{b n}是等差数列,则{pa n+qb n}也是等差数列.(5)若{a n}是等差数列,公差为d,则a k,a k+m,a k+2m,…(k,m∈N*)是公差为md的等差数列.5.等差数列的前n项和公式设等差数列{a n}的公差为d,其前n项和S n=或S n=na1+d. 6.等差数列的前n项和公式与函数的关系S n=n2+n.数列{a n}是等差数列?S n=An2+Bn(A、B为常数).7.等差数列的前n项和的最值在等差数列{a n}中,a1>0,d<0,则S n存在最__大__值;若a1<0,d>0,则S n存在最__小__值.【思考辨析】判断下面结论是否正确(请在括号中打“√”或“×”)(1)若一个数列从第二项起每一项与它的前一项的差都是常数,则这个数列是等差数列.(×)(2)数列{a n}为等差数列的充要条件是对任意n∈N*,都有2a n+1=a n+a n+2.(√)(3)等差数列{a n}的单调性是由公差d决定的.(√)(4)数列{a n}为等差数列的充要条件是其通项公式为n的一次函数.(×)(5)数列{a n}满足a n+1-a n=n,则数列{a n}是等差数列.(×)(6)已知数列{a n}的通项公式是a n=pn+q(其中p,q为常数),则数列{a n}一定是等差数列.(√)1.(2015·重庆)在等差数列{a n}中,若a2=4,a4=2,则a6等于() A.-1B.0C.1D.6答案B解析由等差数列的性质,得a6=2a4-a2=2×2-4=0,选B. 2.(2014·福建)等差数列{a n}的前n项和为S n,若a1=2,S3=12,则a6等于()A.8B.10C.12D.14答案C解析由题意知a1=2,由S3=3a1+×d=12,解得d=2,所以a6=a1+5d=2+5×2=12,故选C.3.在等差数列{a n}中,已知a4+a8=16,则该数列前11项和S11等于()A.58B.88C.143D.176答案B解析S11===88.4.设数列{a n}是等差数列,若a3+a4+a5=12,则a1+a2+…+a7等于()A.14B.21C.28D.35答案C解析∵a3+a4+a5=3a4=12,∴a4=4,∴a1+a2+…+a7=7a4=28.5.(2014·北京)若等差数列{a n}满足a7+a8+a9>0,a7+a10<0,则当n=________时,{a n}的前n项和最大.答案8解析因为数列{a n}是等差数列,且a7+a8+a9=3a8>0,所以a8>0.又a7+a10=a8+a9<0,所以a9<0.故当n=8时,其前n项和最大.题型一等差数列基本量的运算例1(1)在数列{a n}中,若a1=-2,且对任意的n∈N*有2a n+1=1+2a n,则数列{a n}前10项的和为()A.2B.10C.D.(2)已知在等差数列{a n}中,a2=7,a4=15,则前10项和S10等于()A.100B.210C.380D.400答案(1)C(2)B解析(1)由2a n+1=1+2a n得a n+1-a n=,所以数列{a n}是首项为-2,公差为的等差数列,所以S10=10×(-2)+×=.(2)因为a2=7,a4=15,所以d=4,a1=3,故S10=10×3+×10×9×4=210.思维升华(1)等差数列运算问题的一般求法是设出首项a1和公差d,然后由通项公式或前n项和公式转化为方程(组)求解.(2)等差数列的通项公式及前n项和公式,共涉及五个量a1,a n,d,n,S n,知其中三个就能求另外两个,体现了方程的思想.(1)(2015·课标全国Ⅱ)设S n是等差数列{a n}的前n项和,若a1+a3+a5=3,则S5等于()A.5B.7C.9D.11(2)已知等差数列{a n}的前n项和为S n,且满足-=1,则数列{a n}的公差是()A.B.1C.2D.3答案(1)A(2)C解析(1)∵{a n}为等差数列,∴a1+a5=2a3,∴a1+a3+a5=3a3=3,得a3=1,∴S5==5a3=5.故选A.(2)∵S n=,∴=,又-=1,得-=1,即a3-a2=2,∴数列{a n}的公差为2.题型二等差数列的判定与证明例2已知数列{a n}中,a1=,a n=2-(n≥2,n∈N*),数列{b n}满足b n=(n∈N*).(1)求证:数列{b n}是等差数列;(2)求数列{a n}中的最大项和最小项,并说明理由.(1)证明因为a n=2-(n≥2,n∈N*),b n=(n∈N*),所以b n+1-b n=-=-=-=1.又b1==-.所以数列{b n}是以-为首项,1为公差的等差数列.(2)解由(1)知b n=n-,则a n=1+=1+.设f(x)=1+,则f(x)在区间(-∞,)和(,+∞)上为减函数.所以当n=3时,a n取得最小值-1,当n=4时,a n取得最大值3.引申探究例2中,若条件变为a1=,na n+1=(n+1)a n+n(n+1),探求数列{a n}的通项公式.解由已知可得=+1,即-=1,又a1=,∴是以=为首项,1为公差的等差数列,∴=+(n-1)·1=n-,∴a n=n2-n.思维升华等差数列的四个判定方法(1)定义法:证明对任意正整数n都有a n+1-a n等于同一个常数.(2)等差中项法:证明对任意正整数n都有2a n+1=a n+a n+2后,可递推得出a n+2-a n+1=a n+1-a n=a n-a n-1=a n-1-a n-2=…=a2-a1,根据定义得出数列{a n}为等差数列.(3)通项公式法:得出a n=pn+q后,得a n+1-a n=p对任意正整数n恒成立,根据定义判定数列{a n}为等差数列.(4)前n项和公式法:得出S n=An2+Bn后,根据S n,a n的关系,得出a n,再使用定义法证明数列{a n}为等差数列.(1)若{a n}是公差为1的等差数列,则{a2n-1+2a2n}是()A.公差为3的等差数列B.公差为4的等差数列C.公差为6的等差数列D.公差为9的等差数列(2)在数列{a n}中,若a1=1,a2=,=+(n∈N*),则该数列的通项为()A.a n=B.a n=C.a n=D.a n=答案(1)C(2)A解析(1)∵a2n-1+2a2n-(a2n-3+2a2n-2)=(a2n-1-a2n-3)+2(a2n-a2n-2)=2+2×2=6,∴{a2n-1+2a2n}是公差为6的等差数列.(2)由已知式=+可得-=-,知{}是首项为=1,公差为-=2-1=1的等差数列,所以=n,即a n=.题型三等差数列的性质及应用命题点1等差数列的性质例3(1)(2015·广东)在等差数列{a n}中,若a3+a4+a5+a6+a7=25,则a2+a8=________.(2)已知等差数列{a n}的前n项和为S n,且S10=10,S20=30,则S30=________.答案(1)10(2)60解析(1)因为{a n}是等差数列,所以a3+a7=a4+a6=a2+a8=2a5,a3+a4+a5+a6+a7=5a5=25,即a5=5,a2+a8=2a5=10.(2)∵S10,S20-S10,S30-S20成等差数列,且S10=10,S20=30,S20-S10=20,∴S30-30=10+2×10=30,∴S30=60.命题点2等差数列前n项和的最值例4在等差数列{a n}中,已知a1=20,前n项和为S n,且S10=S15,求当n取何值时,S n取得最大值,并求出它的最大值.解∵a1=20,S10=S15,∴10×20+d=15×20+d,∴d=-.方法一由a n=20+(n-1)×=-n+.得a13=0.即当n≤12时,a n>0,当n≥14时,a n<0.∴当n=12或13时,S n取得最大值,且最大值为S12=S13=12×20+×=130.方法二S n=20n+·=-n2+n=-2+.∵n∈N*,∴当n=12或13时,S n有最大值,且最大值为S12=S13=130.方法三由S10=S15得a11+a12+a13+a14+a15=0.∴5a13=0,即a13=0.∴当n=12或13时,S n有最大值,且最大值为S12=S13=130.引申探究例4中,若条件“a1=20”改为a1=-20,其他条件不变,求当n取何值时,S n取得最小值,并求出最小值.解由S10=S15,得a11+a12+a13+a14+a15=0,∴a13=0.又a1=-20,∴a12<0,a14>0,∴当n=12或13时,S n取得最小值,最小值S12=S13==-130.思维升华(1)等差数列的性质:①项的性质:在等差数列{a n}中,a m-a n=(m-n)d?=d(m≠n),其几何意义是点(n,a n),(m,a m)所在直线的斜率等于等差数列的公差.②和的性质:在等差数列{a n}中,S n为其前n项和,则a.S2n=n(a1+a2n)=…=n(a n+a n+1);b.S2n-1=(2n-1)a n.(2)求等差数列前n项和S n最值的两种方法:①函数法:利用等差数列前n项和的函数表达式S n=an2+bn,通过配方或借助图象求二次函数最值的方法求解.②邻项变号法:a.当a1>0,d<0时,满足的项数m使得S n取得最大值S m;b.当a1<0,d>0时,满足的项数m使得S n取得最小值S m.(1)等差数列{a n}的前n项和为S n,已知a5+a7=4,a6+a8=-2,则当S n取最大值时,n的值是()A.5B.6C.7D.8(2)设数列{a n}是公差d<0的等差数列,S n为前n项和,若S6=5a1+10d,则S n取最大值时,n的值为()A.5B.6C.5或6D.11(3)已知等差数列{a n}的首项a1=20,公差d=-2,则前n项和S n的最大值为________.答案(1)B(2)C(3)110解析(1)依题意得2a6=4,2a7=-2,a6=2>0,a7=-1<0;又数列{a n}是等差数列,因此在该数列中,前6项均为正数,自第7项起以后各项均为负数,于是当S n取最大值时,n=6,选B.(2)由题意得S6=6a1+15d=5a1+10d,所以a6=0,故当n=5或6时,S n最大,选C.(3)因为等差数列{a n}的首项a1=20,公差d=-2,代入求和公式得,S n=na1+d=20n-×2=-n2+21n=-2+2,又因为n∈N*,所以n=10或n=11时,S n取得最大值,最大值为110.6.等差数列的前n项和及其最值典例(1)在等差数列{a n}中,2(a1+a3+a5)+3(a7+a9)=54,则此数列前10项的和S10等于()A.45B.60C.75D.90(2)在等差数列{a n}中,S10=100,S100=10,则S110=________.(3)等差数列{a n}中,已知a5>0,a4+a7<0,则{a n}的前n项和S n 的最大值为()A.S4B.S5C.S6D.S7思维点拨(1)求等差数列前n项和,可以通过求解基本量a1,d,代入前n项和公式计算,也可以利用等差数列的性质:a1+a n=a2+a n-1=…;(2)求等差数列前n项和的最值,可以将S n化为关于n的二次函数,求二次函数的最值,也可以观察等差数列的符号变化趋势,找最后的非负项或非正项.解析(1)由题意得a3+a8=9,所以S10====45.(2)方法一设数列{a n}的公差为d,首项为a1,则解得所以S110=110a1+d=-110.方法二因为S100-S10==-90,所以a11+a100=-2,所以S110===-110.(3)因为所以所以S n的最大值为S5.答案(1)A(2)-110(3)B温馨提醒(1)利用函数思想求等差数列前n项和S n的最值时,要注意到n∈N*;(2)利用等差数列的性质求S n,突出了整体思想,减少了运算量.[方法与技巧]1.在解有关等差数列的基本量问题时,可通过列关于a1,d的方程组进行求解.2.证明等差数列要用定义;另外还可以用等差中项法,通项公式法,前n项和公式法判定一个数列是否为等差数列.3.等差数列性质灵活使用,可以大大减少运算量.4.在遇到三个数成等差数列问题时,可设三个数为(1)a,a+d,a+2d;(2)a-d,a,a+d;(3)a-d,a+d,a+3d等,可视具体情况而定.[失误与防范]1.当公差d≠0时,等差数列的通项公式是n的一次函数,当公差d=0时,a n为常数.2.公差不为0的等差数列的前n项和公式是n的二次函数,且常数项为0.若某数列的前n项和公式是常数项不为0的二次函数,则该数列不是等差数列,它从第二项起成等差数列.A组专项基础训练(时间:35分钟)1.设等差数列{a n}的前n项和为S n,若S3=9,S6=36,则a7+a8+a9等于()A.63B.45C.36D.27答案B解析由{a n}是等差数列,得S3,S6-S3,S9-S6为等差数列.即2(S6-S3)=S3+(S9-S6),得到S9-S6=2S6-3S3=45,故选B.2.(2015·北京)设{a n}是等差数列,下列结论中正确的是() A.若a1+a2>0,则a2+a3>0B.若a1+a3<0,则a1+a2<0C.若0<a1<a2,则a2>D.若a1<0,则(a2-a1)(a2-a3)>0答案C解析设等差数列{a n}的公差为d,若a1+a2>0,a2+a3=a1+d +a2+d=(a1+a2)+2d,由于d正负不确定,因而a2+a3符号不确定,故选项A错;若a1+a3<0,a1+a2=a1+a3-d=(a1+a3)-d,由于d正负不确定,因而a1+a2符号不确定,故选项B错;若0<a1<a2,可知a1>0,d>0,a2>0,a3>0,所以a-a1a3=(a1+d)2-a1(a1+2d)=d2>0,所以a2>,故选项C正确;若a1<0,则(a2-a1)·(a2-a3)=d·(-d)=-d2≤0,故选项D错.3.设等差数列{a n}的前n项和为S n,若S m-1=-2,S m=0,S m+1=3,则m等于()A.3B.4C.5D.6答案C解析∵数列{a n}为等差数列,且前n项和为S n,∴数列也为等差数列.∴+=,即+=0,解得m=5,经检验为原方程的解,故选C.4.数列{a n}的首项为3,{b n}为等差数列,且b n=a n+1-a n(n∈N*),若b3=-2,b10=12,则a8等于()A.0B.3C.8D.11答案B解析设{b n}的公差为d,∵b10-b3=7d=12-(-2)=14,∴d=2.∵b3=-2,∴b1=b3-2d=-2-4=-6.∴b1+b2+…+b7=7b1+d=7×(-6)+21×2=0.又b1+b2+…+b7=(a2-a1)+(a3-a2)+…+(a8-a7)=a8-a1=a8-3=0,∴a8=3.故选B.5.已知数列{a n}满足a n+1=a n-,且a1=5,设{a n}的前n项和为S n,则使得S n取得最大值的序号n的值为()A.7B.8C.7或8D.8或9答案C解析由题意可知数列{a n}是首项为5,公差为-的等差数列,所以a n=5-(n-1)=,该数列前7项是正数项,第8项是0,从第9项开始是负数项,所以S n取得最大值时,n=7或8,故选C.6.已知数列{a n}中,a1=1且=+(n∈N*),则a10=________.答案解析由已知得=+(10-1)×=1+3=4,故a10=.7.已知递增的等差数列{a n}满足a1=1,a3=a-4,则a n=________.答案2n-1解析设等差数列的公差为d,∵a3=a-4,∴1+2d=(1+d)2-4,解得d2=4,即d=±2.由于该数列为递增数列,故d=2.∴a n=1+(n-1)×2=2n-1.8.设数列{a n}的通项公式为a n=2n-10(n∈N*),则|a1|+|a2|+…+|a15|=________.答案130解析由a n=2n-10(n∈N*)知{a n}是以-8为首项,2为公差的等差数列,又由a n=2n-10≥0得n≥5,∴n≤5时,a n≤0,当n >5时,a n>0,∴|a1|+|a2|+…+|a15|=-(a1+a2+a3+a4)+(a5+a6+…+a15)=20+110=130.9.若数列{a n}的前n项和为S n,且满足a n+2S n S n-1=0(n≥2),a1=.(1)求证:成等差数列;(2)求数列{a n}的通项公式.(1)证明当n≥2时,由a n+2S n S n-1=0,得S n-S n-1=-2S n S n-1,所以-=2,又==2,故是首项为2,公差为2的等差数列.(2)解由(1)可得=2n,∴S n=.当n≥2时,a n=S n-S n-1=-==-.当n=1时,a1=不适合上式.故a n=10.等差数列{a n}中,设S n为其前n项和,且a1>0,S3=S11,则当n为多少时,S n最大?解方法一由S3=S11得3a1+d=11a1+d,则d=-a1.从而S n=n2+n=-(n-7)2+a1,又a1>0,所以-<0.故当n=7时,S n最大.方法二由于S n=an2+bn是关于n的二次函数,由S3=S11,可知S n=an2+bn的图象关于n==7对称.由方法一可知a=-<0,故当n=7时,S n最大.方法三由方法一可知,d=-a1.要使S n最大,则有即解得6.5≤n≤7.5,故当n=7时,S n最大.方法四由S3=S11,可得2a1+13d=0,即(a1+6d)+(a1+7d)=0,故a7+a8=0,又由a1>0,S3=S11可知d<0,所以a7>0,a8<0,所以当n=7时,S n最大.B组专项能力提升(时间:20分钟)11.设S n为等差数列{a n}的前n项和,(n+1)S n<nS n+1(n∈N*).若<-1,则()A.S n的最大值是S8B.S n的最小值是S8C.S n的最大值是S7D.S n的最小值是S7答案D解析由条件得<,即<,所以a n<a n+1,所以等差数列{a n}为递增数列.又<-1,所以a8>0,a7<0,即数列{a n}前7项均小于0,第8项大于零,所以S n的最小值为S7,故选D.12.设等差数列{a n}的前n项和为S n,若a1=-3,a k+1=,S k=-12,则正整数k=________.答案13解析S k+1=S k+a k+1=-12+=-,又S k+1===-,解得k=13.13.设等差数列{a n},{b n}的前n项和分别为S n,T n,若对任意自然数n都有=,则+的值为________.答案解析∵{a n},{b n}为等差数列,∴+=+==.∵====,∴=.14.已知数列{a n}是首项为a,公差为1的等差数列,b n=,若对任意的n∈N*,都有b n≥b8成立,则实数a的取值范围为________.答案(-8,-7)解析依题意得b n=1+,对任意的n∈N*,都有b n≥b8,即数列{b n}的最小项是第8项,于是有≥.又数列{a n}是公差为1的等差数列,因此有即由此解得-8<a<-7,即实数a的取值范围是(-8,-7).15.已知公差大于零的等差数列{a n}的前n项和为S n,且满足a3·a4=117,a2+a5=22.(1)求通项a n;(2)求S n的最小值;(3)若数列{b n}是等差数列,且b n=,求非零常数c.。
等差数列1.数列1,3,6,10,…的一个通项公式是_2. 在数列-1, 0, 19, 18, ……, n-2n2中,0.08是它的第_ 项3.有穷数列1, 23, 26, 29,…,23n+6的项数是_4.已知数列{an }满足a1=2,an+1-an+1=0,(n∈N),则此数列的通项an=_5.已知等差数列{an }的前三项依次为a-1,a+1,2a+3,则此数列的通项an=_6.在等差数列{an }中,若a4+a6+a8+a10+a12=120,则2a9-a10=_7.在等差数列{an }中,a5=33 , a45=153, 则201是该数列的第 _ 项8.在-1,7之间插入三个数,使它们顺次成等差数列,则这三个数分别是_9.数列{ a n }为等差数列,a2与a6的等差中项为5,a3与a7的等差中项为7,则数列的通项a n=__10.若 a、b、c成等差数列,则函数 f(x)=ax2+bx+c 的图象与x轴的交点个数是_11.已知f(x)是一次函数,其图像过点(3,5),又f(2)、f(5)、15成等差数列,则f(1)+f(2)+f(3)+f(4)+f(5)=_12.若关于x的方程x2-x+a=0和x2-x+b=0(a)的四个根可以组成首项为的等差数列,则a+b=_13.在1与9之间插入n-1个数b1,b2,…bn-1,使这n+1个数成等差数列,记为An+1,,则数列{An+1}的通项公式为_14.已知两个数列3,7,11,…,139与2,9,16,…,142,则它们所有公共项的个数为_15.数列{an }是首项为2,公差为3的等差数列,数列{bn}是首项为-2,公差为4的等差数列,若an =bn,则n=_16.等差数列{an }中,am=n,an=m,则am+n= _17.一个直角三角形的三条边成等差数列,则它的最短边与最长边的比为_18.一个凸n边形内角的度数成等差数列,公差为5°,且最大角为160°,则n=_19.等差数列{an}中, 前4项和为26, 后4项之和为110, 且n项和为340, 则n= _20.已知数列{an}为等差数列,前30项的和为50,前50项的和为30,则前80项的和为_ 21.等差数列中,≠0,若m>1且,,则m=_22.是等差数列的前n项和,(n≥5,), =336,则n n1n+1n1220|=25.在等差数列{an }中,Sm=Sn,则Sm+n的值为_26.在等差数列{an }中,Sp=q,Sq=q,Sp+q的值为_27.在等差数列{an }中,已知a2+a7+a8+a9+a14=70,则a8=28.等差数列{an }中,若a2+a4+a9+a11=32,则a6+a7= _29.在等差数列{an }中,已知a3=2,则前5项之和为_ _30.在等差数列{an }中,若a1+a4+a7=39,a2+a5+a8=33,则a3+a6+a9的值为_31.等差数列{an }中,若a1+a3+a5=-1,则a1+a2+a3+a4+a5=_________32.等差数列{an }中,若a2+a3+a4+a5=34, a2a5=52, 且a4>a2, 则a5=________33.设是公差为正数的等差数列,若,则34.在等差数列{an }中,S4=6,S8=20,则S16=35.等差数列共3n项,前n项和为10,后n项和为30,前2n项和为_36.等差数列{an}的前m项和为30,前2m项和为100,则它的前3m项和为_37.数列前n项和为Sn =n2+3n, 则其通项an等于_________38.已知数列{an }的前n项和为Sn=n2+C(C为常数),求数列{a}的通项公式,并判断{an}是不是等差数列。
4.2 等差数列4.2.1等差数列的概念例1(1)已知等差数列*a n+的通项公式为a n=5−2n,求*a n+的公差和首项;(2)求等差数列8,5,2,…的第20项.分析:(1)已知等差数列的通项公式,只要根据等差数列的定义,由a n−a n;1=d即可求出公差d;(2)可以先根据数列的两个已知项求出通项公式,再利用通项公式求数列的第20项.解:(1)当n⩾2时,由*a n+的通项公式a n=5−2n,可得a n;1=5−2(n−1)=7−2n.于是d=a n−a n;1=(5−2n)−(7−2n)=−2.把n=1代入通项公式a n=5−2n,得a1=5−2×1=3.所以,*a n+的公差为−2,首项为3.(2)由已知条件,得d=5−8=−3.把a1=8,d=−3代入a n=a1+(n−1)d,得a n=8−3(n−1)=11−3n.把n=20代入上式,得a20=11−3×20=−49.所以,这个数列的第20项是−49.例2 −401是不是等差数列−5,−9,−13,……的项?如果是,是第几项?分析:先求出数列的通项公式,它是一个关于n的方程,再看−401是否能使这个方程有正整数解.解:由a1=−5,d=−9−(−5)=−4,得这个数列的通项公式为a n=−5−4(n−1)=−4n−1.令−4n−1=−401,解这个关于n的方程,得n=100.所以,−401是这个数列的项,是第100项.练习1.判断下列数列是否是等差数列.如果是,写出它的公差.(1)95,82,69,56,43,30;(2)1,1.1,1.11,1.111,1.1111,1.11111;(3)1,-2,3,-4,5,-6;(4)1,1112,56,34,23,712,12.【答案】(1)是等差数列,公差为−13;(2)不是等差数列;(3)不是等差数列;(4)是等差数列,公差为−112.【分析】根据等差数列的定义对(1)、(2)、(3)、(4)逐个分析即可求解.【详解】解:(1)由82−95=69−82=56−69=43−56=30−43=−13,即该数列从第二项起,每一项与前一项之差为同一个常数−13,所以由等差数列的定义知该数列为等差数列,公差为−13;(2)通过观察可知,1.1−1=0.1,1.11−1.1=0.01,⋯该数列从第二项起,每一项与前一项之差不是同一个常数,所以由等差数列的定义知该数列不是等差数列;(3)通过观察可知,−2−1=−3,3−(−2)=5,⋯该数列从第二项起,每一项与前一项之差不是同一个常数,所以由等差数列的定义知该数列不是等差数列;(4)由1112−1=56−1112=34−56=23−34=712−23=12−712=−112,即该数列从第二项起,每一项与前一项之差为同一个常数−112,所以由等差数列的定义知该数列为等差数列,公差为−112.2.求下列各组数的等差中项:(1)647和895;(2)−1213和2435.【答案】(1)771;(2)9215.【分析】由等差中项的定义直接求解即可.【详解】(1)设647和895的等差中项为a,则a=647:8952=771,故647和895的等差中项为771;(2)设−1213和2435的等差中项为b,则b=;1213:24352=9215,故−1213和2435的等差中项为9215.3.已知在等差数列*a n+中,a4+a8=20,a7=12.求a4.【答案】a4=6【分析】设等差数列的公差为d,由等差数列通项公式性质知a4+a8=2a6,求得a6=10,进而求得公差d,即可得解.【详解】设等差数列的公差为d,则在等差数列*a n+中,a 4+a 8=2a 6=20,∴a 6=10∴d =a 7−a 6=12−10=2 ∴a 4=a 7−3d =12−6=64.在7和21中插入3个数,使这5个数成等差数列. 【答案】10.5,14,17.5【分析】利用等差数列通项公式能求出插入的这3个数.【详解】解:∵在7和21之间插入3个数,使这5个数成等差数列, ∴ {a 1=7a 5=a 1+4d =21 ,解得d =3.5, ∴a 2=7+3.5=10.5, a 3=7+2×3.5=14, a 4=7+3×3.5=17.5,∴插入的这3个数为10.5,14,17.5.例3 某公司购置了一台价值为220万元的设备,随着设备在使用过程中老化,其价值会逐年减少.经验表明,每经过一年其价值就会减少d (d 为正常数)万元.已知这台设备的使用年限为10年,超过10年,它的价值将低于购进价值的5%,设备将报废.请确定d 的取值范围.分析:这台设备使用n 年后的价值构成一个数列*a n +.由题意可知,10年之内(含10年),这台设备的价值应不小于(220×5%=)11万元;而10年后,这台设备的价值应小于11万元.可以利用*a n +的通项公式列不等式求解.解:设使用n 年后,这台设备的价值为a n 万元,则可得数列*a n +.由已知条件,得 a n =a n;1−d(n ⩾2).由于d 是与n 无关的常数,所以数列*a n +是一个公差为−d 的等差数列.因为购进设备的价值为220万元,所以a 1=220−d ,于是 a n =a 1+(n −1)(−d)=220−nd . 根据题意,得{a 10⩾11,a 11<11,即{220−10d ⩾11,220−11d <11,解这个不等式组,得19<d⩽20.9.所以,d的取值范围为19<d⩽20.9.例4已知等差数列*a n+的首项a1=2,公差d=8,在*a n+中每相邻两项之间都插入3个数,使它们和原数列的数一起构成一个新的等差数列*b n+.(1)求数列*b n+的通项公式.(2)b29是不是数列*a n+的项?若是,它是*a n+的第几项?若不是,说明理由.分析:(1)*a n+是一个确定的数列,只要把a1,a2表示为*b n+中的项,就可以利用等差数列的定义得出*b n+的通项公式;(2)设*a n+中的第n项是*b n+中的第c n项,根据条件可以求出n 与c n的关系式,由此即可判断b29是否为*a n+的项.解:(1)设数列*b n+的公差为d′.由题意可知,b1=a1,b5=a2,于是b5−b1=a2−a1=8.因为b5−b1=4d′,所以4d′=8,所以d′=2.所以b n=2+(n−1)×2=2n.所以,数列*b n+的通项公式是b n=2n.(2)数列*a n+的各项依次是数列*b n+的第1,5,9,13,…项,这些下标构成一个首项为1,公差为4的等差数列*c n+,则c n=4n−3.令4n−3=29,解得n=8.所以,b29是数列*a n+的第8项.例5 已知数列*a n+是等差数列,p,q,s,t∈N∗,且p+q=s+t.求证a p+a q=a s+a t. 分析:只要根据等差数列的定义写出a p,a q,a s,a t,再利用已知条件即可得证.证明:设数列*a n+的公差为d,则a p=a1+(p−1)d,a q=a1+(q−1)d,a s=a1+(s−1)d,a t=a1+(t−1)d.所以a p+a q=2a1+(p+q−2)d,a s+a t=2a1+(s+t−2)d.因为p+q=s+t,所以a p+a q=a s+a t.练习5.某体育场一角看台的座位是这样排列的:第1排有15个座位,从第2排起每一排都比前一排多2个座位.你能用a n表示第n排的座位数吗?第10排有多少个座位?【答案】a n=2n+13;a10=33【分析】可将每排座位数看成等差数列,列出通项公式.【详解】由条件可知,每排的座位数,看成等差数列,首项a1=15,d=2,则a n=15+(n−1)×2=2n+13,a10=2×10+13=33.综上可知,a n=2n+13,第10排的座位数a10=33个.6.画出数列a n={18,n=1a n;1−3,1<n≤6的图象,并求通过图象上所有点的直线的斜率. 【答案】图象见解析,−3【分析】由递推关系a n={18,n=1a n;1−3,1<n≤6,求出a n(1≤n≤6)值,然后再作出图象,在根据斜率公式即可求出通过图象上所有点的直线的斜率.【详解】根据递推关系a n={18,n=1a n;1−3,1<n≤6,可知a1=18,a2=15,a3=12,a4= 9,a5=6,a6=3,作出数列a n={18,n=1a n;1−3,1<n≤6的图象,如下图所示:通过图象上所有点的直线的斜率a6;a16;1=3;185=−3.7.在等差数列*a n+中,a n=m,a m=n,且n≠m,求a m;n.【答案】2n【分析】利用等差数列的通项公式,解出a1、d,代入a m;n即可. 【详解】设等差数列*a n+的公差为d则{a n=a1+(n−1)d=ma m=a1+(m−1)d=n ⇒{a1=m+n−1d=−1所以a m;n=a1+(m−n−1)d=m+n−1−m+n+1=2n8.已知数列*a n+,*b n+都是等差数列,公差分别为d1,d2,数列*c n+满足c n=a n+2b n.(1)数列*c n+是否是等差数列?若是,证明你的结论;若不是,请说明理由.(2)若*a n+,*b n+的公差都等于2,a1=b1=1,求数列*c n+的通项公式.【答案】(1)数列*c n+是等差数列,证明见解析;(2)c n=6n−3.【分析】(1)根据等差数列的定义即可证得结论;(2)由等差数列的通项公式运算即可得解.【详解】(1)数列*c n+是等差数列,证明:因为数列*a n+,*b n+都是等差数列,公差分别为d1,d2,所以a n=a1+(n−1)d1,b n=b1+(n−1)d2,又因为c n=a n+2b n=(a1+2b1)+(n−1)(d1+2d2),故c n:1−c n=,(a1+2b1)+n(d1+2d2)-−,(a1+2b1)+(n−1)(d1+2d2)-=d1+2d2,而c1=a1+2b1,所以数列*c n+是以a1+2b1为首项,d1+2d2为公差的等差数列.(2)由(1)知:数列*c n+是以a1+2b1为首项,d1+2d2为公差的等差数列,而c1=a1+2b1=3,d1+2d2=6,所以c n=3+6(n−1)=6n−3.9.已知一个无穷等差数列*a n+的首项为a1,公差为d.(1)将数列中的前m项去掉,其余各项组成一个新的数列,这个新数列是等差数列吗?如果是,它的首项和公差分别是多少?(2)取出数列中的所有奇数项,组成一个新的数列,这个新数列是等差数列吗?如果是,它的首项和公差分别是多少?(3)取出数列中所有序号为7的倍数的项,组成一个新的数列,它是等差数列吗?你能根据得到的结论作出一个猜想吗?【答案】(1)是等差数列,首项为a1+md,公差为d;(2)是等差数列,首项为首项为a1,公差为2d;(3)是等差数列,首项为a1+6d,公差为7d;猜想:等差数列每隔一定距离抽取一项后所组成的新数列仍是等差数列.【分析】(1)由题意可知,新的数列为:a m:1, a m:2, a m:3,⋯,可知新等差数列的首项及公差;(2)由题意可知,新的数列为:a1, a3, a5,⋯,a2n:1,⋯,可知新等差数列的首项及公差;(3)由题意可知,新的数列为:a7, a14, a21,⋯,a7n,⋯,可知新等差数列的首项及公差,进而得到猜想.【详解】(1)由题意可知,将无穷等差数列*a n+的前m项去掉,其余各项组成一个新的数列为:a m:1, a m:2, a m:3,⋯,这个新数列是等差数列,首项为a m:1=a1+md,公差为d.(2)由题意可知,取出无穷等差数列*a n+中的所有奇数项,组成一个新的数列为:a1, a3, a5,⋯,a2n:1,⋯,这个新数列是等差数列,首项为a1,公差为2d.(3)由题意可知,取出无穷等差数列*a n+中所有序号为7的倍数的项,组成一个新的数列为:a7, a14, a21,⋯,a7n,⋯,这个新数列是等差数列,首项为a7=a1+6d,公差为a14−a7=7d. 猜想:等差数列每隔一定距离抽取一项后所组成的新数列仍是等差数列.4.2.2等差数列的前n项和公式例6 已知数列*a n+是等差数列.(1)若a1=7,a50=101,求S50;(2)若a1=2,a2=52,求S10;(3)若a1=12,d=−16,S n=−5,求n.分析:对于(1),可以直接利用公式S n=n(a1:a n)2求和;在(2)中,可以先利用a1和a2的值求出d,再利用公式S n=na1+n(n;1)2d求和;(3)已知公式S n=na1+n(n;1)2d中的a1,d和S n,解方程即可求得n.解:(1)因为a1=7,a50=101,根据公式S n=n(a1:a n)2,可得S50=50×(7:101)2=2700.(2)因为a1=2,a2=52,所以d=12.根据公式S n=na1+n(n;1)2d,可得S10=10×2+10×(10;1)2×12=852.(3)把a1=12,d=−16,S n=−5代入S n=na1+n(n;1)2d,得−5=12n+n(n;1)2×.−16/.整理,得n2−7n−60=0.解得n=12,或n=−5(舍去).所以n=12.例7已知一个等差数列*a n+前10项的和是310,前20项的和是1220.由这些条件能确定这个等差数列的首项和公差吗?分析:把已知条件代入等差数列前n项和的公式(2)后,可得到两个关于a1与d的二元一次方程.解这两个二元一次方程所组成的方程组,就可以求得a1和d.解:由题意,知S10=310,S20=1240.。