2017 模拟试题(九)及答案
- 格式:doc
- 大小:551.00 KB
- 文档页数:5
2017年中考精英班中考押题卷(A卷)参考答案及评分标准语文题号分值参考答案及评分标准一、(24分)110分本题共5小题,每句错、漏、多一字都扣0.5分。
(1)1分不义而富且贵(2)1分芳草萋萋鹦鹉洲(3)2分青树翠蔓,蒙络摇缀(4)2分年少万兜鍪,坐断东南战未休(5)4分黄梅时节家家雨,青草池塘处处蛙。
有约不来过夜半,闲敲棋子落灯花。
24分(1)攫取(2)谰语(3)转弯抹角(4)顶礼膜拜33分D(妙笔生花,比喻杰出的写作才能,含褒义)43分C(句式杂糅,去掉“来围观”或把“挤满了”改为“有”)54分示例:如果忘记是秋季里残败的荷花,那么铭记就是灿烂的金菊。
如果忘记是冬季里凋零的瘦菊,那么铭记就是傲雪的红梅!二(46分)(一)(10分)63分(1)得到(1分)(2)提出(1分)(3)通“肢”,四肢(1分)(不写通假或者不解释意思均不给分)74分(1)有时遭到他的训斥,表情(脸色)更为恭敬,礼貌更为周到,不敢答复一句话或:有时;叱咄:训斥;色:表情,脸色;至:周到。
其中一个没翻译出来扣0.5分,句子不通顺扣1分)(2)同学舍的求学者都穿着锦绣衣服,戴着有红色帽带、饰有珍宝的帽子,腰间挂着白玉环。
(被:穿着;腰,动词。
其中一个没有翻译出来扣0.5分,句子不通顺扣1分)83分B(嗜学为主观条件,家贫为客观条件,两个对应关系不对)(二)(9分)93分D(A.准备/助词,不译;B.好处/增加;C.信用/通“伸”,伸张;D.军队)103分明恕而行/要之以礼/虽无有质/谁能间之113分①两国信用不是发自内心(1分)②依靠互换人质来获取信任,但没有按照礼义去履行盟约(1分)(只答到交换人质不给分。
)③郑国派军队收割了周地的麦子、稻谷(1分)(三)(10分)123分C(没有对比论证)133分B(强调学习的重要性)144分答案示例:本文认为要想取得某方面的成功,不能只依靠天资优越,而应该勤奋刻苦,肯下笨功夫。
我坚持每天练字摘抄,形成了良好的书写习惯和写作能力,成绩有了很大提升。
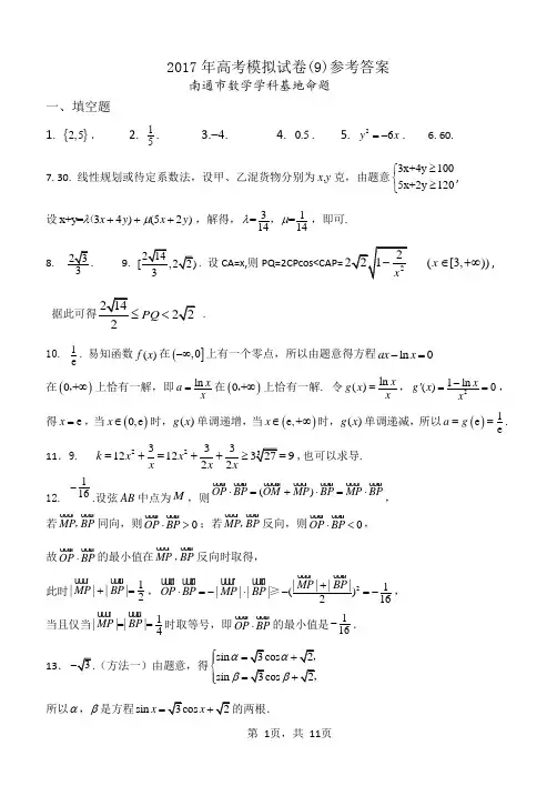
2017年高考模拟试卷(9)参考答案南通市数学学科基地命题一、填空题1. {}2,5.2. 15. 3.-4. 4. 0.5. 5. 26y x =-. 6. 60.7. 30. 线性规划或待定系数法,设甲、乙混货物分别为x ,y 克,由题意3x+4y 1005x+2y 120≥⎧⎨≥⎩,设x+y=34)(52)x y x y λμ+++(,解得,31==λμ,,即可. 8.. 9.. 设CA=x,则PQ=2CPcos<CAP=([3,))x ∈+∞,PQ ≤<. 10. 1e. 易知函数()f x 在(],0-∞上有一个零点,所以由题意得方程ln 0ax x -=在()0+∞,上恰有一解,即ln x a x =在()0+∞,上恰有一解. 令ln ()x g x x =,21ln ()0x g x x -'==,得e x =,当()0,e x ∈时,()g x 单调递增,当()e ,+x ∈∞时,()g x 单调递减,所以()1e e a g ==.11.9.223331212922k x x x x x=+=++≥=,也可以求导. 12. 116-.设弦AB 中点为M ,则()OP BP OM MP BP MP BP ⋅=+⋅=⋅ , 若MP BP ,同向,则0OP BP ⋅> ;若MP BP ,反向,则0OP BP ⋅< , 故OP BP ⋅的最小值在MP BP ,反向时取得,此时1||||2MP BP += ,2||||1||||()216MP BP OP BP MP BP +⋅=-⋅-=- ≥, 当且仅当1||||4MP BP == 时取等号,即OP BP ⋅ 的最小值是116-.13.(方法一)由题意,得sin sin ααββ⎧=⎪⎨=⎪⎩所以αβ,是方程sin x x即方程()πsin 3x -5ππ()26k k αβ+=+∈Z,所以tan()αβ+=(方法二)同上,αβ,sin 0x x -的两根.设()sin f x x x -()cos f x x x '=-.令()0f x '=,得0tan x =,所以02x αβ+=,所以(方法三)直线210x y +-=交单位圆于A B ,两点, 过O 作OH AB ⊥,垂足为H ,易知OH =因为OC 60COH ∠=︒,即1502αβ+=︒,所以tan()tan300αβ+=︒=14.9⎧-⎨⎩⎭.32()322x x a x f x x a x a x ⎧--⎪=⎨⎪--+-<⎩,≥,,,当x a ≥时,320x x --=,得11x =-,23x =,结合图形知,① 当1a <-时,313x -,,成等差数列,则35x =-,代入3220x a --+-=得,9a =-; ② 当13a -≤≤时,方程3220x a x--+-=,即22(1)30x a x +-+=的根为34x x ,, 则343x x =,且3432x x +=,解得4x ,又342(1)x x a +=-,所以a .③ 当3a >时,显然不符合. 所以a 的取值集合95⎧-⎨⎩⎭. 二、解答题:本大题共6小题,共90分.15. (1)因为tan α=2,所以sin αcos α=2,即sin α=2cos α.又sin 2α+cos 2α=1,所以5cos 2α=1,即cos 2α=15. 所以 cos2α=2cos 2α-1=-35.(2)由α∈(0,π),且tan α=2>1,得α∈(π4,π2),所以2α∈(π2,π). 由题知cos2α=-35,所以sin2α=45.又因为β∈(0,π),cos β=-7210∈(-1,0),所以β∈(π2,π), 所以sin β=210,且2α-β∈(-π2,π2).因为sin(2α-β)=sin2αcos β-cos2αsin β=45×(-7210)-(-35)×210=-22, 所以2α-β=-π4.16.(1)因为BD 垂直平分AC ,所以BA BC =,在△ABC 中,因为120ABC ∠=︒, 所以30BAC ∠=︒.因为△ACD 是正三角形,所以60DAC ∠=︒, 所以90BAD ∠=︒,即AD AB ⊥.因为=1AB ,120ABC ∠=︒,所以AD AC == 又因为1PA =,2PD =,由222PA AD PD +=, 知90PAD ∠=︒,即AD AP ⊥.因为AB AP ⊂,平面PAB ,AB AP A = , 所以AD ⊥平面PAB .(2)(方法一)取AD 的中点H ,连结CH ,NH . 因为N 为PD 的中点,所以HN ∥PA , 因为PA ⊂平面PAB ,HN ⊄平面PAB , 所以HN ∥平面PAB .由△ACD 是正三角形,H 为AD 的中点,所以CH AD ⊥.由(1)知,BA AD ⊥,所以CH ∥BA , 因为BA ⊂平面PAB ,CH ⊄平面PAB ,HPA BCDMN所以CH ∥平面PAB .因为CH HN ⊂,平面CNH ,CH HN H = , 所以平面CNH ∥平面PAB . 因为CN ⊂平面CNH , 所以CN ∥平面PAB .(方法二)取PA 的中点S ,过C 作CT ∥AD 交AB 的延长线于T ,连结ST ,SN .因为N 为PD 的中点,所以SN ∥AD ,且12SN AD =,因为CT ∥AD ,所以CT ∥SN . 由(1)知,AB AD ⊥,所以CT AT ⊥, 在直角△ CBT 中,1BC =,60CBT ∠=︒,得CT =由(1)知,AD =12CT AD =,所以CT SN =.所以四边形SNCT 是平行四边形, 所以CN ∥TS .因为TS ⊂平面PAB ,CN ⊄平面PAB , 所以CN ∥平面PAB .17.(1)由题意知,124()2b b =-=,解得a =1b =,所以椭圆的方程为2212x y +=. (2)① 由(2)N t ,,(01)A ,,(01)B -,,则 直线NA 的方程为11y x t =+,直线NB 的方程为31y x t=-.P A BCDMNTS由221122y x t x y ⎧=+⎪⎨⎪+=⎩,得,222422.2t x t t y t ⎧=-⎪+⎨-⎪=+⎩,,故()2224222t t t t P --++,. 由223122y x t x y ⎧=-⎪⎨⎪+=⎩,得,222121818.18t x t t y t ⎧=⎪+⎨-⎪=+⎩,,故()22212181818t t t t Q -++,. 所以直线PM 的斜率222221262482PMt t t k t t t ---+==-+, 直线QM 的斜率22218161812818QMt t t k t t t ---+==+, 所以PM QM k k =,故P M Q ,,三点共线.② 由①知,11k t =,213k t =,2368t k t-=. 所以21323122463182t k k k k k k t t t-+-=⨯-=-, 所以132312k k k k k k +-为定值1-.18.(1)设OP =r ,则l =r ·2θ,即r =l2θ,所以S 1=12lr =l 24θ,θ∈(0,π2).(2)设OC =a ,OD =b .由余弦定理,得l 2=a 2+b 2-2ab cos2θ,所以 l 2≥2ab -2ab cos2θ.所以 ab ≤l 22(1-cos2θ),当且仅当a =b 时“=”成立.所以S △OCD =12ab sin2θ≤l 2sin2θ4(1-cos2θ)=l 24tan θ,即S 2=l 24tan θ.(3)1S 2-1S 1=4l 2(tan θ-θ),θ∈(0,π2),. 令f (θ)=tan θ-θ,则f '(θ)=(sin θcos θ)'-1=sin 2θcos 2θ.当θ∈[0,π2)时,f '(θ)>0,所以f (θ)在区间[0,π2)上单调增.所以,当θ∈(0,π2)时,总有f (θ)>f (0)=0,即1S 2-1S 1>0,即S 1>S 2.答:为使养殖区面积最大,应选择方案一. 19. (1)易得2143a =.(2)由111241n n n a a S +-=-,得11241n nn n n a a a a S ++-=-,所以11241n n n n na a S a a ++-=-①.所以12121241n n n n n a a S a a +++++-=-②,由②-①,得12112112n n n n n n n n na a a aa a a a a +++++++=---.因为10n a +≠,所以22112n nn n n na a ++++=-. 所以121112n n n n n n a a a a a a +++++-=--,即12111n nn n n na a a a a a ++++-=--,即11n n b b +-=,所以数列{}n b 是公差为1的等差数列. 因为112134a b a a ==-,所以数列{}n b 的通项公式为14n b n =-.(3)由(2)知,114n n n a n a a +=--,所以11431141n n an a n n ++=+=--,所以14(1)141n n a a n n +=+--,所以数列41n a n ⎧⎫⎨⎬-⎩⎭是常数列.由124113a =⨯-,所以2(41)3n a n =-.(方法一)由m p r a a a ,,(m p r <<)成等比数列,则41m -,41p -,41r -成等比数列,所以2(41)(41)(41)p m r -=--, 所以2168164()0p p mr m r --++=,即2424()0p p mr m r --++=(*). (途径一)(*)式即为2424()4p p mr m r mr -=-+<-,所以2211(2))22p -<,即11222p -<,所以p <2p mr <.(途径二)(*)式即为24241p p rm r -+=-.由222222(42)(42)(41)()0414141p p r p p r r r p p r mr p r p r r r -+-+----=⋅-==>---,所以2p mr <.(方法二)由m p r a a a ,,(m p r <<)成等比数列, 则41m -,41p -,41r -成等比数列, 记4m α=,4p β=,4r γ=(1αβγ<<<), 则有1α-,1β-,1γ-成等比数列,所以2(1)(1)(1)βαγ-=--,即22()ββαγαγ-=-+.若2βαγ=,即2p mr =时,则2αγβ+=,所以αβγ==,矛盾; 若2βαγ>,则22()0βαγβαγ-+=->,所以1()12βαγ>+>,所以[][]2221(2)()()()()()0αγββαγαγαγαγαγαγ+---+>-+--+=->, 矛盾.所以2βαγ<,即2p mr <.20. (1) 由题意知曲线()y f x =过点(1,0),且'(1)e f =;又因为222'()ln e x a f x a x b x x+=-++⎛⎫ ⎪⎝⎭,则有(1)e(2)0,'(1)e()e,f b f a b =+==+=⎧⎨⎩解得3,2a b ==-.(2) ①当2a =-时,函数()y f x =的导函数22'()e 2ln 0x f x x b x=--+=⎛⎫ ⎪⎝⎭,若'()0f x =时,得222ln b x x =+, 设22()2ln g x x x =+(0)x > .由2332424'()x g x x x x-=-=0=,得x =1ln 2g =+.当0x <<'()0g x <,函数()y g x =在区间上为减函数,()(1ln 2,)g x ∈++∞;仅当1ln 2b >+时,()b g x =有两个不同的解,设为1x ,2x 12()x x <.此时,函数()y f x =既有极大值,又有极小值.②由题意2e ln x a x b xkx ++⎛⎫≥ ⎪⎝⎭对一切正实数x 恒成立,取1x =得(2)e k b ≤+.下证2e ln e (2)x a x b xb x ++⎛⎫≥+ ⎪⎝⎭对一切正实数x 恒成立.首先,证明e e xx ≥. 设函数()e e xu x x =-,则'()e e xu x =-,当1x >时,'()0u x >; 当1x <时,'()0u x <;得e e (1)0xx u -=≥,即e e xx ≥,当且仅当都在1x =处取到等号.再证1ln 1x x+≥. 设1()ln 1v x x x=+-,则21'()x v x x -=,当1x >时,'()0v x >;当1x <时,'()0v x <;得()(1)0v x v =≥,即1ln 1x x+≥,当且仅当都在1x =处取到等号. 由上可得2e ln (2)e x a x b xb x ++⎛⎫≥+ ⎪⎝⎭,所以min()(2)e f x b x ⎛⎫=+⎪⎝⎭, 即实数k 的最大值为(2)e b +.数学Ⅱ(附加题)21. A. 连结PQ ,因为四边形ACQP 是1O 的内接四边形, 所以A PQD ∠=∠, 又在2O 中,PBD PQD ∠=∠,所以A PBD ∠=∠, 所以AC ∥BD .B .(1) 设1234A ⎛⎫= ⎪⎝⎭,则12234A ==-, 1213122A --⎛⎫ ⎪∴= ⎪-⎝⎭, 21582131461122M -⎛⎫⎛⎫⎛⎫ ⎪∴== ⎪ ⎪ ⎪-⎝⎭⎝⎭⎝⎭. (2)11112x x x x x M M y y y y y -'''-⎛⎫⎛⎫⎛⎫⎛⎫⎛⎫⎛⎫=∴== ⎪ ⎪ ⎪ ⎪ ⎪⎪'''-⎝⎭⎝⎭⎝⎭⎝⎭⎝⎭⎝⎭ ,即,2,x x y y x y ''=-⎧⎨''=-+⎩ 代入22221x xy y ++=可得 ()()()()2222221x y x y x y x y ''''''''-+--++-+=,即22451x x y y ''''-+=,故曲线C '的方程为22451x xy y -+=.C. (1)曲线1C :22(1)2x y ++=,极坐标方程为22cos 10ρθ+-= 曲线2C 的直角坐标方程为1y x =-; (2) 曲线1C 与曲线2C 的公共点的坐标为(0,1)-,极坐标为3(1,)2π. D. 因为0x >,0y >,0z >,所以1233x y z++,2463y x z++, 所以1239()()2462yx z x y z ++++≥.当且仅当::1:2:3x y z =时,等号成立.22.(1)从7个顶点中随机选取3个点构成三角形,共有37=35C种取法.其中X ABF ,这类三角形共有6个.因此(376635P X C ===. (2)由题意,X2,其中X ABF ,这类三角形共有6个;其中2X =的三角形有两类,如△PAD (3个),△PAB (6个),共有9个;其中X PBD ,这类三角形共有6个;其中X =CDF ,这类三角形共有12个;其中X =BDF ,这类三角形共有2个.因此(635P X =,()9235P X ==,(635P X =,(1235P X ==,(235P X ==. 所以随机变量X 的概率分布列为:所求数学期望()E X 69612223535353535+⨯++. 23. (1)①当n =2时,a 2=2,不等式成立.②假设当n =k (k ≥2)时不等式成立,即a k ≥2,则当n =k +1时,a k +1=(1+1k (k +1))a k +12k >2.所以,当n =k +1时,不等式也成立. 根据①,②可知,对所有n ≥2,a n ≥2成立.(2)当n ≥2时,由递推公式及(1)的结论有a n +1=(1+1n 2+n )a n +12n ≤(1+1n 2+n +12n +1)a n (n ≥2).两边取对数,并利用已知不等式ln(1+x )<x ,得 ln a n +1≤ln(1+1n 2+n +12n +1)+ln a n <ln a n +1n 2+n +12n +1,第 11页,共 11页 故 ln a n +1-ln a n <1n 2+n +12n +1(n ≥2), 求和可得ln a n -ln a 2<12⨯3+1 3⨯4+…+1 (n -1)n+123+124+…+12n =(12-13)+(13-14)+…+(1n -1-1n )+123·1-12n -21-12=12-1n +122-12n <34. 由(1)知,a 2=2,故有ln a n 2<34,即a n <2e 34(n ≥2),而a 1=1<2e 34,所以对任意正整数n ,有a n <2e 34.。
2017年普通高等学校招生全国统一考试仿真卷理科综合能力测试(九)化学试题第Ⅰ卷一、选择题:本大题共13小题,每小题6分。
在每小题给出的四个选项中,只有一项是符合题目要求的。
7。
化学源于生活,又高于生活.下列说法正确的是( )A.石油裂化、石油分馏、石油裂解、石油的催化重整都是化学变化B.分子式为C3H4Cl2的有机物中,与乙烯含有相同官能团的共有5种C.高纯度的晶体硅可以制备晶体管等半导体、电脑芯片和光导纤维D.酒精、NaCl溶液、CuSO4溶液、浓HNO3都可使蛋白质发生变性【解析】石油分馏是物理变化,A项错误;该有机物含有碳碳双键,可能的同分异构体为:,B项正确;制备光导纤维的不是晶体硅,而是SiO2,C项错误;NaCl属于无机轻金属盐,不会导致蛋白质变性,而是盐析,D项错误。
【答案】B8。
用N A表示阿伏加德罗常数的值,下列叙述正确的是( )A。
标准状况下,22。
4L SO3含有N A个分子B。
6。
4g氧气和3.2g臭氧(O3)混合气体所含有的氧原子数为0。
6N AC.过氧化钠与CO2反应时,0.1mol过氧化钠转移的电子数为0。
2N AD.标准状况下,2。
24L Cl2与过量的稀FeCl2溶液反应,转移电子总数为0。
1N A【解析】标准状况下,SO3是固体,所以标准状况下,22.4L SO3含有的分子数大于N A个,故A错。
氧气和臭氧都是由氧原子构成的,因此在该题中的氧原子的物质的量为氧气和臭氧的总质量除以氧原子的摩尔质量,为0.6mol,故B正确.过氧化钠与CO2反应时,1mol过氧化钠反应转移1mol电子,所以0.1mol过氧化钠转移的电子数为0。
1N A,故C错.标准状况下,2。
24L Cl2为0.1mol,氯气与足量的氯化亚铁反应时,氯气全部反应,氯气中氯元素的化合价从0价降为—1价,所以标准状况下,2。
24 L Cl2与过量的稀FeCl2溶液反应,转移电子总数为0.2N A,故D错.【答案】B9.有机物A的分子式为CmHn02,其中氧的质量分数约为18。
2017年高考模拟试卷(9)参考答案南通市数学学科基地命题一、填空题1. {}2,5.2. 15. 3.-4. 4. 0.5. 5. 26y x =-. 6. 60.7. 30. 线性规划或待定系数法,设甲、乙混货物分别为x ,y 克,由题意3x+4y 1005x+2y 120≥⎧⎨≥⎩,设x+y=34)(52)x y x y λμ+++(,解得,31==1414λμ,,即可. 8.. 9.. 设CA=x,则PQ=2CPcos<CAP=([3,))x ∈+∞,PQ ≤<. 10. 1e. 易知函数()f x 在(],0-∞上有一个零点,所以由题意得方程ln 0ax x -=在()0+∞,上恰有一解,即ln x a x =在()0+∞,上恰有一解. 令ln ()x g x x =,21ln ()0x g x x -'==,得e x =,当()0,e x ∈时,()g x 单调递增,当()e ,+x ∈∞时,()g x 单调递减,所以()1e e a g ==.11.9.223331212922k x x x x x=+=++≥=,也可以求导. 12. 1-.设弦AB 中点为M ,则()OP BP OM MP BP MP BP ⋅=+⋅=⋅,若MP BP ,同向,则0OP BP ⋅>;若MP BP ,反向,则0OP BP ⋅<, 故OP BP ⋅的最小值在MP BP ,反向时取得, 此时1||||2MP BP +=,2||||1||||()216MP BP OP BP MP BP +⋅=-⋅-=-≥, 当且仅当1||||4MP BP ==时取等号,即OP BP ⋅的最小值是116-.13.(方法一)由题意,得sin sin ααββ⎧=⎪⎨=⎪⎩所以αβ,是方程sin x x即方程()πsin 3x -5ππ()26k k αβ+=+∈Z,所以tan()αβ+=(方法二)同上,αβ,sin 0x x -的两根.设()sin f x x x -()cos f x x x '=-.令()0f x '=,得0tan x =,所以02x αβ+=,所以(方法三)直线210x y +-=交单位圆于A B ,两点, 过O 作OH AB ⊥,垂足为H ,易知OH =因为OC 60COH ∠=︒,即1502αβ+=︒,所以tan()tan300αβ+=︒=14.9⎧-⎨⎩⎭.32()322x x a x f x x a x a x ⎧--⎪=⎨⎪--+-<⎩,≥,,,当x a ≥时,320x x --=,得11x =-,23x =,结合图形知,① 当1a <-时,313x -,,成等差数列,则35x =-,代入3220x a --+-=得,9a =-; ② 当13a -≤≤时,方程3220x a x--+-=,即22(1)30x a x +-+=的根为34x x ,, 则343x x =,且3432x x +=,解得4x ,又342(1)x x a +=-,所以a .③ 当3a >时,显然不符合. 所以a 的取值集合95⎧-⎨⎩⎭. 二、解答题:本大题共6小题,共90分.15. (1)因为tan α=2,所以sin αcos α=2,即sin α=2cos α.又sin 2α+cos 2α=1,所以5cos 2α=1,即cos 2α=15. 所以 cos2α=2cos 2α-1=-35.(2)由α∈(0,π),且tan α=2>1,得α∈(π4,π2),所以2α∈(π2,π). 由题知cos2α=-35,所以sin2α=45.又因为β∈(0,π),cos β=-7210∈(-1,0),所以β∈(π2,π), 所以sin β=210,且2α-β∈(-π2,π2).因为sin(2α-β)=sin2αcos β-cos2αsin β=45×(-7210)-(-35)×210=-22, 所以2α-β=-π4.16.(1)因为BD 垂直平分AC ,所以BA BC =,在△ABC 中,因为120ABC ∠=︒, 所以30BAC ∠=︒.因为△ACD 是正三角形,所以60DAC ∠=︒, 所以90BAD ∠=︒,即AD AB ⊥.因为=1AB ,120ABC ∠=︒,所以AD AC == 又因为1PA =,2PD =,由222PA AD PD +=, 知90PAD ∠=︒,即AD AP ⊥. 因为AB AP ⊂,平面PAB ,AB AP A =,所以AD ⊥平面PAB .(2)(方法一)取AD 的中点H ,连结CH ,NH . 因为N 为PD 的中点,所以HN ∥PA , 因为PA ⊂平面PAB ,HN ⊄平面PAB , 所以HN ∥平面PAB .由△ACD 是正三角形,H 为AD 的中点,所以CH AD ⊥.由(1)知,BA AD ⊥,所以CH ∥BA , 因为BA ⊂平面PAB ,CH ⊄平面PAB ,HPA BCDMN所以CH ∥平面PAB . 因为CH HN ⊂,平面CNH ,CH HN H =,所以平面CNH ∥平面PAB . 因为CN ⊂平面CNH , 所以CN ∥平面PAB .(方法二)取PA 的中点S ,过C 作CT ∥AD 交AB 的延长线于T ,连结ST ,SN .因为N 为PD 的中点,所以SN ∥AD ,且12SN AD =,因为CT ∥AD ,所以CT ∥SN . 由(1)知,AB AD ⊥,所以CT AT ⊥, 在直角△ CBT 中,1BC =,60CBT ∠=︒,得CT =由(1)知,AD =12CT AD =,所以CT SN =.所以四边形SNCT 是平行四边形, 所以CN ∥TS .因为TS ⊂平面PAB ,CN ⊄平面PAB , 所以CN ∥平面PAB .17.(1)由题意知,124()2b b =-=,解得a =1b =,所以椭圆的方程为2212x y +=. (2)① 由(2)N t ,,(01)A ,,(01)B -,,则 直线NA 的方程为11y x t =+,直线NB 的方程为31y x t=-.P A BCDMNTS由221122y x t x y ⎧=+⎪⎨⎪+=⎩,得,222422.2t x t t y t ⎧=-⎪+⎨-⎪=+⎩,,故()2224222t t t t P --++,. 由223122y x t x y ⎧=-⎪⎨⎪+=⎩,得,222121818.18t x t t y t ⎧=⎪+⎨-⎪=+⎩,,故()22212181818t t t t Q -++,. 所以直线PM 的斜率2222162482PMt t t k t t t ---+==-+, 直线QM 的斜率222181261812818QMt t t k t t t ---+==+, 所以PM QM k k =,故P M Q ,,三点共线.② 由①知,11k t =,213k t =,2368t k t-=.所以21323122463182t k k k k k k t t t-+-=⨯-=-, 所以132312k k k k k k +-为定值12-.18.(1)设OP =r ,则l =r ·2θ,即r =l2θ,所以S 1=12lr =l 24θ,θ∈(0,π2).(2)设OC =a ,OD =b .由余弦定理,得l 2=a 2+b 2-2ab cos2θ,所以 l 2≥2ab -2ab cos2θ.所以 ab ≤l 22(1-cos2θ),当且仅当a =b 时“=”成立.所以S △OCD =12ab sin2θ≤l 2sin2θ4(1-cos2θ)=l 24tan θ,即S 2=l 24tan θ.(3)1S 2-1S 1=4l 2(tan θ-θ),θ∈(0,π2),. 令f (θ)=tan θ-θ,则f '(θ)=(sin θcos θ)'-1=sin 2θcos 2θ.当θ∈[0,π2)时,f '(θ)>0,所以f (θ)在区间[0,π2)上单调增.所以,当θ∈(0,π2)时,总有f (θ)>f (0)=0,即1S 2-1S 1>0,即S 1>S 2.答:为使养殖区面积最大,应选择方案一.19. (1)易得2143a =.(2)由111241n n n a a S +-=-,得11241n nn n n a a a a S ++-=-,所以11241n n n n na a S a a ++-=-①.所以12121241n n n n n a a S +++++-=②,由②-①,得12112112n n n n n n n n na a a aa a a a a +++++++=---.因为10n a +≠,所以22112n nn n n na a a a a a ++++=---. 所以121112n n n n n n a a a a a a +++++-=--,即12111n nn n n na a a a a a ++++-=--,即11n n b b +-=,所以数列{}n b 是公差为1的等差数列. 因为11213a b ==,所以数列{}n b 的通项公式为14n b n =-.(3)由(2)知,114n n n a n a a +=--,所以114311414n n an a n n ++=+=--,所以1n n a a +=,所以数列41n a n ⎧⎫⎨⎬-⎩⎭是常数列.由12a =,所以2(41)3n a n =-.(方法一)由m p r a a a ,,(m p r <<)成等比数列,则41m -,41p -,41r -成等比数列,所以2(41)(41)(41)p m r -=--, 所以2168164()0p p mr m r --++=,即2424()0p p mr m r --++=(*). (途径一)(*)式即为2424()4p p mr m r mr -=-+<-,所以2211(2))22p -<,即11222p -<,所以p <2p mr <.(途径二)(*)式即为24241p p rm r -+=-.由222222(42)(42)(41)()0414141p p r p p r r r p p r mr p r p r r r -+-+----=⋅-==>---,所以2p mr <.(方法二)由m p r a a a ,,(m p r <<)成等比数列, 则41m -,41p -,41r -成等比数列, 记4m α=,4p β=,4r γ=(1αβγ<<<), 则有1α-,1β-,1γ-成等比数列,所以2(1)(1)(1)βαγ-=--,即22()ββαγαγ-=-+.若2βαγ=,即2p mr =时,则2αγβ+=,所以αβγ==,矛盾; 若2βαγ>,则22()0βαγβαγ-+=->,所以1()12βαγ>+>,所以[][]2221(2)()()()()()024αγββαγαγαγαγαγαγ+---+>-+--+=->, 矛盾.所以2βαγ<,即2p mr <.20. (1) 由题意知曲线()y f x =过点(1,0),且'(1)e f =;又因为222'()ln e x a f x a x b xx+=-++⎛⎫ ⎪⎝⎭,则有(1)e(2)0,'(1)e()e,f b f a b =+==+=⎧⎨⎩解得3,2a b ==-.(2) ①当2a =-时,函数()y f x =的导函数22'()e 2ln 0x f x x b x =--+=⎛⎫ ⎪⎝⎭,若'()0f x =时,得222ln b x x =+, 设22()2ln g x x x =+(0)x > .由2332424'()x g x x x x-=-=0=,得x =1ln 2g =+.当0x <<'()0g x <,函数()y g x =在区间上为减函数,()(1ln 2,)g x ∈++∞;仅当1ln 2b >+时,()b g x =有两个不同的解,设为1x ,2x 12()x x <.此时,函数()y f x =既有极大值,又有极小值.②由题意2e ln x a x b xkx ++⎛⎫≥ ⎪⎝⎭对一切正实数x 恒成立,取1x =得(2)e k b ≤+.下证2e ln e (2)x a x b xb x ++⎛⎫≥+ ⎪⎝⎭对一切正实数x 恒成立.首先,证明e e xx ≥. 设函数()e e xu x x =-,则'()e e xu x =-,当1x >时,'()0u x >; 当1x <时,'()0u x <;得e e (1)0xx u -=≥,即e e xx ≥,当且仅当都在1x =处取到等号.再证1ln 1x x+≥. 设1()ln 1v x x x=+-,则21'()x v x x -=,当1x >时,'()0v x >;当1x <时,'()0v x <;得()(1)0v x v =≥,即1ln 1x x+≥,当且仅当都在1x =处取到等号. 由上可得2e ln (2)e x a x b xb x ++⎛⎫≥+ ⎪⎝⎭,所以min()(2)e f x b x ⎛⎫=+⎪⎝⎭, 即实数k 的最大值为(2)e b +.数学Ⅱ(附加题)21. A. 连结PQ ,因为四边形ACQP 是1O 的内接四边形, 所以A PQD ∠=∠, 又在2O 中,PBD PQD ∠=∠,所以A PBD ∠=∠, 所以AC ∥BD .B .(1) 设1234A ⎛⎫= ⎪⎝⎭,则12234A ==-, 1213122A --⎛⎫⎪∴= ⎪-⎝⎭, 21582131461122M -⎛⎫⎛⎫⎛⎫ ⎪∴== ⎪ ⎪ ⎪-⎝⎭⎝⎭⎝⎭. (2)11112x x x x x M M y y y y y -'''-⎛⎫⎛⎫⎛⎫⎛⎫⎛⎫⎛⎫=∴== ⎪ ⎪ ⎪ ⎪ ⎪⎪'''-⎝⎭⎝⎭⎝⎭⎝⎭⎝⎭⎝⎭,即,2,x x y y x y ''=-⎧⎨''=-+⎩ 代入22221x xy y ++=可得()()()()2222221x y x y x y x y ''''''''-+--++-+=,即22451x x y y ''''-+=,故曲线C '的方程为22451x xy y -+=.C. (1)曲线1C :22(1)2x y ++=,极坐标方程为22cos 10ρθ+-= 曲线2C 的直角坐标方程为1y x =-; (2) 曲线1C 与曲线2C 的公共点的坐标为(0,1)-,极坐标为3(1,)2π. D. 因为0x >,0y >,0z >,所以1233++,246y x z++, 所以1239()()2462yx z x y z ++++≥.当且仅当::1:2:3x y z =时,等号成立.22.(1)从7个顶点中随机选取3个点构成三角形,共有37=35C种取法.其中X ABF ,这类三角形共有6个.因此(376635P X C ===. (2)由题意,X2,其中X ABF ,这类三角形共有6个;其中2X =的三角形有两类,如△PAD (3个),△PAB (6个),共有9个;其中X PBD ,这类三角形共有6个;其中X =CDF ,这类三角形共有12个;其中X =BDF ,这类三角形共有2个.因此(635P X =,()9235P X ==,(635P X =,(1235P X ==,(235P X ==. 所以随机变量X 的概率分布列为:所求数学期望()E X 69612223535353535+⨯++. 23. (1)①当n =2时,a 2=2,不等式成立.②假设当n =k (k ≥2)时不等式成立,即a k ≥2,则当n =k +1时,a k +1=(1+1k (k +1))a k +12k >2.所以,当n =k +1时,不等式也成立. 根据①,②可知,对所有n ≥2,a n ≥2成立.(2)当n ≥2时,由递推公式及(1)的结论有a n +1=(1+1n 2+n )a n +12n ≤(1+1n 2+n +12n +1)a n (n ≥2).两边取对数,并利用已知不等式ln(1+x )<x ,得 ln a n +1≤ln(1+1n 2+n +12n +1)+ln a n <ln a n +1n 2+n +12n +1,故 ln a n +1-ln a n <1n 2+n +12n +1(n ≥2), 求和可得ln a n -ln a 2<12⨯3+1 3⨯4+…+1 (n -1)n+123+124+…+12n =(12-13)+(13-14)+…+(1n -1-1n )+123·1-12n -21-12=12-1n +122-12n <34. 由(1)知,a 2=2,故有ln a n 2<34,即a n <2e 34(n ≥2),而a 1=1<2e 34,所以对任意正整数n ,有a n <2e 34.。
(第3题)(第6题)2017年高考模拟试卷(9)南通市数学学科基地命题第Ⅰ卷(必做题,共160分)一、填空题:本大题共14小题,每小题5分,共70分 .1. 全集{}1,2,3,4,5U =,集合{}1,3,4A =,则U C A = ▲ .2. 设复数i z a b =+(a b ∈,R ,i 是虚数单位),若()2i i z -=则a b +的值为 ▲ .3. 在如图所示的算法流程图中,若输出的y 的值为26,则输入的x 的值为 ▲ .4. 概率为0.8,乙不输的概率为0.7,则两人下成和棋的概率为 ▲ .5. 顶点在原点且以双曲线1322=-y x 的右准线为准线的抛物线 方程是 ▲ .6. 为了解学生课外阅读的情况,随机统计了n 名学生的课外阅读时间,所得数据都在[50,150]中, 其频率分布直方图如图所示.已知在[50 100),中 的频数为24,则n 的值为 ▲. 7. 甲,乙两种食物的维生素含量如下表:100,120单位,则混合物重量的最小值为 ▲ kg .8. 60°,则该棱锥的体积为 ▲ .9.在平面直角坐标系xOy 中,已知圆C :22(3)2x y +-=,点A 是x 轴上的一个动点,AP ,AQ 分别切圆C 于P ,Q 两点,则线段PQ 长的取值范围为 ▲ . 10.若函数 0,2,()0ln ,≤x x x f x x ax x ⎧+=⎨>-⎩在其定义域上恰有两个零点,则正实数a 的值为 ▲ .12.扇形AOB 中,弦1AB =,C 为劣弧AB 上的动点,AB 与OC 交于点P ,则OP BP ⋅的最小值是 ▲ .13.在平面直角坐标系xOy 中,已知(cos sin )A αα,,(cos sin )B ββ,是直线y =上的两点,则tan()αβ+的值为 ▲ .14.已知函数3()2f x x a a =--+-有且仅有三个零点,且它们成等差数列,则实数a 的取值集合为 ▲ .二、解答题:本大题共6小题,共90分. 15.(本小题满分14分)已知tan α=2,cos β=- 7210,且α,β∈(0,π), (1)求cos2α的值; (2)求2α-β的值. 16.(本小题满分14分)如图,在四棱锥P ABCD -中,△ACD 是正三角形,BD 垂直平分AC ,垂足为M ,ABC ∠=120° ,=1PA AB =,2PD =,N 为PD 的中点.(1)求证:AD ⊥平面PAB ; (2)求证:CN ∥平面PAB .17. (本小题满分14分)在平面直角坐标系xOy 中,已知A B ,分别是椭圆22221(0)yx a b a b+=>>的上、下顶点,点()102M ,为线段AO的中点,AB =.(1)求椭圆的方程;(2)设(2)N t ,(0t ≠),直线NA ,NB 分别交椭圆于点P Q ,,直线NA ,NB ,PQ 的斜率分别为1k ,2k ,3k . ① 求证:P M Q ,,三点共线; D(第16题)PAPBPCM N18.(本小题满分16分)如图,一个角形海湾AOB ,∠AOB =2θ(常数θ为锐角).拟用长度为l (l 为常数)的围网围成一个养殖区,有以下两种方案可供选择: 方案一:如图1,围成扇形养殖区OPQ ,其中⌒PQ =l ; 方案二:如图2,围成三角形养殖区OCD ,其中CD =l ;(1)求方案一中养殖区的面积S 1 ;(2)求证:方案二中养殖区的最大面积S 2=l 24tan θ;(3)为使养殖区的面积最大,应选择何种方案?并说明理由.19.(本小题满分16分)已知数列{}n a 的首项为2,前n 项的和为n S ,且111241n n n a a S +-=-(*n ∈N ).(1)求2a 的值; (2)设1nn n na b a a +=-,求数列{}n b 的通项公式;(3)若m p r a a a ,,(*m p r ∈,,N ,m p r <<,)成等比数列,试比较2p 与mr 的大小,并证明.20.(本小题满分16分)已知函数2()ln )xf x e a x b x=++(,其中,a b R ∈. 2.71828e =是自然对数的底数. (1)若曲线()y f x =在1x =处的切线方程为(1)y e x =-.求实数,a b 的值;(2)① 若2a =-时,函数()y f x =既有极大值,又有极小值,求实数b 的取值范围; ② 若2a =,2b ≥-.若()f x kx ≥对一切正实数x 恒成立,求实数k 的最大值llAOBAOB图1Q PAOBC D 图2(第18题)2θ2θ2θ1O2O ABPQDC第II 卷(附加题,共40分)21.【选做题】本题包括A, B,C,D 四小题,每小题10分,请选定其中两小题,并在相应的答题.......区域内作答...... A ,(选修4-1;几何证明选讲)如图,1O ,2O 交于两点P Q ,,直线AB 过点P ,与1O ,2O 分别交于点A B ,,直线CD 过点Q ,与1O ,2O 分别交于点C D ,. 求证:AC ∥BD . B .(选修4-2:矩阵与变换)若二阶矩阵M 满足:12583446M ⎛⎫⎛⎫= ⎪ ⎪⎝⎭⎝⎭. (1)求二阶矩阵M ;(2)若曲线22:221C x xy y ++=在矩阵M 所对应的变换作用下得到曲线C ',求曲线C '的方程.C .(选修4-4:坐标系与参数方程)已知点(1)P αα-(其中[)0,2)απ∈,点P 的轨迹记为曲线1C ,以坐标原点 为极点,x 轴的正半轴为极轴建立极坐标系,点Q 在曲线21:)4C ρπθ=+上. (1)求曲线1C 的极坐标方程和曲线2C 的直角坐标方程;(2)当0,02ρθπ≥≤<时,求曲线1C 与曲线2C 的公共点的极坐标. D .(选修4-5:不等式选讲)已知实数0x >,0y >,0z >,证明:1239()()2462yx z x y z ++++≥.【选做题】第22题、23题,每题10分,共计20分.22.已知正六棱锥S ABCDEF -的底面边长为2,高为1.现从该棱锥的7个顶点中随机选取3个点构成三角形,设随机变量X 表示所得三角形的面积.(1)求概率(P X 的值;(2)求X 的分布列,并求其数学期望()E X .23.已知数列{a n }满足:a 1=1,对任意的n ∈N *,都有a n +1=(1+1n 2+n)a n +12n .(1)求证:当n ≥2时,a n ≥2;(2)利用“∀x >0,ln(1+x )<x ”,证明:a n <2e 34(其中e 是自然对数的底数).2017年高考模拟试卷(9)参考答案南通市数学学科基地命题一、填空题1. {}2,5.2. 15.3.-4. 4. 0.5. 5. 26y x =-.6. 60.7. 30. 线性规划或待定系数法,设甲、乙混货物分别为x ,y 克,由题意3x+4y 1005x+2y 120≥⎧⎨≥⎩,设x+y=34)(52)x y x y λμ+++(,解得,31==1414λμ,,即可. 8.. 9.[3. 设CA=x,则PQ=2CPcos<CAP=([3,))x ∈+∞,PQ ≤<. 10. 1e. 易知函数()f x 在(],0-∞上有一个零点,所以由题意得方程ln 0ax x -=在()0+∞,上恰有一解,即ln x a =在()0+∞,上恰有一解. 令ln ()x g x x =,21ln ()0x g x x -'==,得e x =,当()0,e x ∈时,()g x 单调递增,当()e ,+x ∈∞时,()g x 单调递减,所以()1e e a g ==.11.9.223331212922k x x x x x=+=++≥,也可以求导. 12. 116-.设弦AB 中点为M ,则()OP BP OM MP BP MP BP ⋅=+⋅=⋅ , 若MP BP ,同向,则0OP BP ⋅> ;若MP BP ,反向,则0OP BP ⋅< , 故OP BP ⋅的最小值在MP BP ,反向时取得,此时1||||2MP BP += ,2||||1||||()216MP BP OP BP MP BP +⋅=-⋅-=- ≥, 当且仅当1||||4MP BP == 时取等号,即OP BP ⋅ 的最小值是116-. 13.(方法一)由题意,得sin sin ααββ⎧=+⎪⎨=+⎪⎩所以αβ,是方程sin x x即方程()πsin 3x -5ππ()26k k αβ+=+∈Z,所以tan()αβ+=(方法二)同上,αβ,sin 0x x -的两根.设()sin f x x x -()cos f x x x '=-.令()0f x '=,得0tan x =,所以02x αβ+=,所以(方法三)直线210x y +-=交单位圆于A B ,两点, 过O 作OH AB ⊥,垂足为H ,易知OH =因为OC 60COH ∠=︒,即1502αβ+=︒,所以tan()tan300αβ+=︒=14.9⎧-⎨⎩⎭.32()322x x a x f x x a x a x ⎧--⎪=⎨⎪--+-<⎩,≥,,,当x a ≥时,320x x --=,得11x =-,23x =,结合图形知,① 当1a <-时,313x -,,成等差数列,则35x =-,代入3220x a --+-=得,9a =-; ② 当13a -≤≤时,方程3220x a x--+-=,即22(1)30x a x +-+=的根为34x x ,, 则343x x =,且3432x x +=,解得4x ,又342(1)x x a +=-,所以a .③ 当3a >时,显然不符合. 所以a 的取值集合95⎧-⎨⎩⎭. 二、解答题:本大题共6小题,共90分. 15. (1)因为tan α=2,所以sin αcos α=2,即sin α=2cos α. 又sin 2α+cos 2α=1,所以5cos 2α=1,即cos 2α=15.所以 cos2α=2cos 2α-1=-35.(2)由α∈(0,π),且tan α=2>1,得α∈(π4,π2),所以2α∈(π2,π).由题知cos2α=-35,所以sin2α=45.又因为β∈(0,π),cos β=-7210∈(-1,0),所以β∈(π2,π), 所以sin β=210,且2α-β∈(-π2,π2). 因为sin(2α-β)=sin2αcos β-cos2αsin β=45×(-7210)-(-35)×210=-22,所以2α-β=-π4.16.(1)因为BD 垂直平分AC ,所以BA BC =,在△ABC 中,因为120ABC ∠=︒, 所以30BAC ∠=︒.因为△ACD 是正三角形,所以60DAC ∠=︒, 所以90BAD ∠=︒,即AD AB ⊥.因为=1AB ,120ABC ∠=︒,所以AD AC == 又因为1PA =,2PD =,由222PA AD PD +=, 知90PAD ∠=︒,即AD AP ⊥.因为AB AP ⊂,平面PAB ,AB AP A = , 所以AD ⊥平面PAB .(2)(方法一)取AD 的中点H ,连结CH ,NH . 因为N 为PD 的中点,所以HN ∥PA , 因为PA ⊂平面PAB ,HN ⊄平面PAB , 所以HN ∥平面PAB .由△ACD 是正三角形,H 为AD 的中点,所以CH AD ⊥.由(1)知,BA AD ⊥,所以CH ∥BA , 因为BA ⊂平面PAB ,CH ⊄平面PAB , HPABCDMN因为CH HN ⊂,平面CNH ,CH HN H = , 所以平面CNH ∥平面PAB . 因为CN ⊂平面CNH , 所以CN ∥平面PAB .(方法二)取PA 的中点S ,过C 作CT ∥AD 交AB 的延长线于T ,连结ST ,SN .因为N 为PD 的中点,所以SN ∥AD ,且12SN AD =,因为CT ∥AD ,所以CT ∥SN . 由(1)知,AB AD ⊥,所以CT AT ⊥, 在直角△ CBT 中,1BC =,60CBT ∠=︒, 得CT =由(1)知,AD 12CT AD =,所以CT SN =.所以四边形SNCT 是平行四边形, 所以CN ∥TS .因为TS ⊂平面PAB ,CN ⊄平面PAB , 所以CN ∥平面PAB .17.(1)由题意知,124()2b b =-=,解得a =1b =,所以椭圆的方程为2212x y +=.(2)① 由(2)N t ,,(01)A ,,(01)B -,,则 直线NA 的方程为11y x t =+,直线NB 的方程为31y x t=-.P ABCDMNTS由221122y x t x y ⎧=+⎪⎨⎪+=⎩,得,222422.2t x t t y t ⎧=-⎪+⎨-⎪=+⎩,,故()2224222t t t t P --++,. 由223122y x t x y ⎧=-⎪⎨⎪+=⎩,得,222121818.18t x t t y t ⎧=⎪+⎨-⎪=+⎩,,故()22212181818t t t t Q -++,. 所以直线PM 的斜率2222162482PMt t t k t t t ---+==-+, 直线QM 的斜率222181261812818QMt t t k t t t ---+==+, 所以PM QM k k =,故P M Q ,,三点共线.② 由①知,11k t =,213k t =,2368t k t-=.所以21323122463182t k k k k k k t t t-+-=⨯-=-, 所以132312k k k k k k +-为定值12-.18.(1)设OP =r ,则l =r ·2θ,即r =l2θ,所以S 1=12lr =l 24θ,θ∈(0,π2).(2)设OC =a ,OD =b .由余弦定理,得l 2=a 2+b 2-2ab cos2θ,所以 l 2≥2ab -2ab cos2θ.所以 ab ≤l 22(1-cos2θ),当且仅当a =b 时“=”成立.所以S △OCD =12ab sin2θ≤l 2sin2θ4(1-cos2θ)=l 24tan θ,即S 2=l 24tan θ.(3)1S 2-1S 1=4l 2(tan θ-θ),θ∈(0,π2),. 令f (θ)=tan θ-θ,则f '(θ)=(sin θcos θ)'-1=sin 2θcos 2θ.当θ∈[0,π2)时,f '(θ)>0,所以f (θ)在区间[0,π2)上单调增.所以,当θ∈(0,π2)时,总有f (θ)>f (0)=0,即1S 2-1S 1>0,即S 1>S 2.19. (1)易得2143a =.(2)由111241n n n a a S +-=-,得11241n nn n n a a a a S ++-=-,所以11241n n n n na a S a a ++-=-①.所以12121241n n n n n a a S +++++-=②,由②-①,得12112112n n n n n n n n na a a aa a a a a +++++++=---.因为10n a +≠,所以22112n nn n n na a a a a a ++++=---. 所以121112n n n n n n a a a a a a +++++-=--,即12111n nn n n na a a a a a ++++-=--,即11n n b b +-=,所以数列{}n b 是公差为1的等差数列. 因为11213a b ==,所以数列{}n b 的通项公式为14n b n =-.(3)由(2)知,114n n n a n a a +=--,所以114311414n n an a n n ++=+=--,所以1n n a a +=,所以数列41n a n ⎧⎫⎨⎬-⎩⎭是常数列.由12a =,所以2(41)3n a n =-.(方法一)由m p r a a a ,,(m p r <<)成等比数列,则41m -,41p -,41r -成等比数列,所以2(41)(41)(41)p m r -=--, 所以2168164()0p p mr m r --++=,即2424()0p p mr m r --++=(*). (途径一)(*)式即为2424()4p p mr m r mr -=-+<-,所以2211(2))22p -<,即11222p -<,所以p <2p mr <.(途径二)(*)式即为24241p p rm r -+=-.由222222(42)(42)(41)()0p p r p p r r r p p r mr p r p -+-+----=⋅-==>,所以2p mr <.(方法二)由m p r a a a ,,(m p r <<)成等比数列, 则41m -,41p -,41r -成等比数列, 记4m α=,4p β=,4r γ=(1αβγ<<<), 则有1α-,1β-,1γ-成等比数列,所以2(1)(1)(1)βαγ-=--,即22()ββαγαγ-=-+.若2βαγ=,即2p mr =时,则2αγβ+=,所以αβγ==,矛盾; 若2βαγ>,则22()0βαγβαγ-+=->,所以1()12βαγ>+>,所以[][]2221(2)()()()()()024αγββαγαγαγαγαγαγ+---+>-+--+=->, 矛盾.所以2βαγ<,即2p mr <.20. (1) 由题意知曲线()y f x =过点(1,0),且'(1)e f =;又因为222'()ln e x a f x a x b x x+=-++⎛⎫ ⎪⎝⎭,则有(1)e(2)0,'(1)e()e,f b f a b =+==+=⎧⎨⎩解得3,2a b ==-.(2) ①当2a =-时,函数()y f x =的导函数22'()e 2ln 0x f x x b x=--+=⎛⎫ ⎪⎝⎭,若'()0f x =时,得222ln b x x =+, 设22()2ln g x x x =+(0)x > .由2332424'()x g x x x x-=-=0=,得x =1ln 2g =+.当0x <<时,'()0g x <,函数()y g x =在区间()上为减函数,()(1ln 2,)g x ∈++∞;仅当1ln 2b >+时,()b g x =有两个不同的解,设为1x ,2x 12()x x <.此时,函数()y f x =既有极大值,又有极小值.②由题意2e ln x a x b xkx ++⎛⎫≥ ⎪⎝⎭对一切正实数x 恒成立,取1x =得(2)e k b ≤+.下证2e ln e (2)x a x b xb x ++⎛⎫≥+ ⎪⎝⎭对一切正实数x 恒成立.首先,证明e e xx ≥. 设函数()e e xu x x =-,则'()e e xu x =-,当1x >时,'()0u x >; 当1x <时,'()0u x <;得e e (1)0xx u -=≥,即e e xx ≥,当且仅当都在1x =处取到等号.再证1ln 1x x+≥. 设1()ln 1v x x x=+-,则21'()x v x x -=,当1x >时,'()0v x >;当1x <时,'()0v x <;得()(1)0v x v =≥,即1ln 1x x+≥,当且仅当都在1x =处取到等号. 由上可得2e ln (2)e x a x b xb x ++⎛⎫≥+ ⎪⎝⎭,所以min()(2)e f x b x ⎛⎫=+⎪⎝⎭,即实数k 的最大值为(2)e b +.数学Ⅱ(附加题)21. A. 连结PQ ,因为四边形ACQP 是1O 的内接四边形, 所以A PQD ∠=∠, 又在2O 中,PBD PQD ∠=∠,所以A PBD ∠=∠, 所以AC ∥BD .B .(1) 设1234A ⎛⎫= ⎪⎝⎭,则12234A ==-,1213122A --⎛⎫⎪∴= ⎪-⎝⎭, 21582131461122M -⎛⎫⎛⎫⎛⎫ ⎪∴== ⎪ ⎪ ⎪-⎝⎭⎝⎭⎝⎭. (2)11112x x x x x M M y y y y y -'''-⎛⎫⎛⎫⎛⎫⎛⎫⎛⎫⎛⎫=∴== ⎪⎪ ⎪ ⎪ ⎪⎪'''-⎝⎭⎝⎭⎝⎭⎝⎭⎝⎭⎝⎭, 即,2,x x y y x y ''=-⎧⎨''=-+⎩ 代入22221x xy y ++=可得 ()()()()2222221x y x y x y x y ''''''''-+--++-+=,即22451x x y y ''''-+=,故曲线C '的方程为22451x xy y -+=.C. (1)曲线1C :22(1)2x y ++=,极坐标方程为22cos 10ρθ+-= 曲线2C 的直角坐标方程为1y x =-; (2) 曲线1C 与曲线2C 的公共点的坐标为(0,1)-,极坐标为3(1,)2π. D. 因为0x >,0y >,0z >,所以123x y z++,2463y x z++, 所以1239()()yx z ++++≥.当且仅当::1:2:3x y z =时,等号成立.22.(1)从7个顶点中随机选取3个点构成三角形,共有37=35C种取法.其中X ABF ,这类三角形共有6个.因此(376635P X C ===. (2)由题意,X2,其中X ABF ,这类三角形共有6个;其中2X =的三角形有两类,如△P AD (3个),△P AB (6个),共有9个;其中X PBD ,这类三角形共有6个;其中X =CDF ,这类三角形共有12个;其中X =BDF ,这类三角形共有2个.因此(635P X =,()9235P X ==, (635P X =,(1235P X ==,(235P X ==. 所以随机变量X 的概率分布列为:所求数学期望()E X 69612223535353535+⨯+++. 23. (1)①当n =2时,a 2=2,不等式成立.②假设当n =k (k ≥2)时不等式成立,即a k ≥2,则当n =k +1时,a k +1=(1+1k (k +1))a k +12k >2.所以,当n =k +1时,不等式也成立. 根据①,②可知,对所有n ≥2,a n ≥2成立.(2)当n ≥2时,由递推公式及(1)的结论有a n +1=(1+1n 2+n )a n +12n ≤(1+1n 2+n +12n +1)a n (n ≥2).两边取对数,并利用已知不等式ln(1+x )<x ,得 ln a n +1≤ln(1+1n 2+n +12n +1)+ln a n <ln a n +1n 2+n +12n +1,故 ln a n +1-ln a n <1n 2+n +12n +1(n ≥2),求和可得ln a n -ln a 2<12⨯3+1 3⨯4+…+1 (n -1)n +123+124+…+12n=(12-13)+(13-14)+…+(1n -1-1n )+123·1-12n -21-12=12-1n +122-12n <34. 由(1)知,a 2=2,故有ln a n 2<34,即a n <2e 34(n ≥2),而a 1=1<2e 34,所以对任意正整数n ,有a n <2e 34.。
2017年浙江省普通高校招生选考科目考试模拟卷(九)(时间:45分钟满分:50分)一、选择题(本大题共12小题,每小题2分,共24分。
每小题列出的四个备选项中只有一个符合题目要求,不选、多选、错选均不得分)1.某用户在根据导航软件设置好的导航路径行驶,途中高德地图提示前方有拥堵现象,建议改道,并实时提供新的导航路径,该实例最能体现信息的() A.载体依附性B.时效性C.共享性D.真伪性B[本题主要考查信息及其特征。
导航系统提供最新的实时路况信息,最能体现信息特征的“时效性”,因此选择B。
]2.某网页文件如图所示,对该网页文件的分析如下:①该网页标题为:中国国家图书馆·中国国家数字图书馆②该网站的URL为http:///③HTTP是超文本标记语言④可将网页中的图片、文字、超链接等添加到收藏夹中⑤可使用“FrontPage”软件编辑其中正确的是()A.①②③④⑤B.③④⑤C.②③④D.①②⑤D[本题考查的主要是网站、网页的基本知识。
URL:统一资源地址,又称网址;HTTP是超文本传输协议;收藏夹的功能是收藏网址;FrontPage、DreamWeaver、记事本都可以编辑网页;网页的标题可以从浏览器标题栏中看出。
所以本题正确的有①②⑤。
]3.下列应用中,没有使用智能处理技术的是( ) A .利用指纹快速解锁手机 B .用Siri 语音功能启动QQ 软件 C .使用在线翻译实现中英文转换 D .将书籍扫描成图像保存到计算机中D [本题主要考查了智能处理的知识。
选项D “将书籍扫描成图像保存到计算机中”没有使用智能处理,只是使用了扫描而没有使用智能识别功能。
本题其他几个选项都使用了智能处理技术。
因此答案是D 。
]4.使用Access 软件创建数据表,存储如下表所示的图书信息:C [ 本题考查Access 数据库知识。
“编号”字段包含“SN -”,属于文本类型,“自动编号”属于数字类型,因此B 、D 都不符合要求;“书价”字段有货币符号,可能是货币类型或是文本类型,“出版时间”可能为日期/时间型或文本型。
2017年普通高等学校招生全国统一考试仿真卷理科综合能力测试(九)物理试题第Ⅰ卷二、选择题:本题共8小题,每题6分,在每小题给出的四个选项中,第14~18题只有一个选项符合题目要求。
第19~21题有多选项题目要求。
全部答对的得6分,选对但不全的得3分,有选错的的0分。
14.关于光电效应,下列说法正确的是()A.极限频率越大的金属材料逸出功越大B.只要光照射的时间足够长,任何金属都能产生光电效应C.从金属表面出来的光电子的最大初动能越大,这种金属的逸出功越小D.入射光的光强一定时,频率越高,单位时间内逸出的光电子数就越多【解析】根据W=hγc知,极限频率越大的金属材料逸出功越大.故选项A正确;发生光电效应的条件是入射光的频率大于极限频率,与入射光照射的时间无关.故选项B错误;根据光电效应方程E k=hγ-W知,光电子的最大初动能与入射光的频率和逸出功两个因素有关,光电子的最大初动能越大,这种金属的逸出逸出功不一定越小,也可能是因为入射光的频率高的缘故.故选项C错误;光的强度影响的是单位时间发出光电子数目,与入射光的强度无关.故D错误。
【答案】A15. 如图所示,在x轴相距为L的两点固定两个等量异种点电荷+Q、-Q,虚线是以+Q所在点为圆心、L/2为半径的圆,a、b、c、d是圆上的四个点,其中a、c两点在x轴上,b、d两点关于x轴对称。
下列判断不正确的是()A.b、d两点处的电势相同B.四点中c点处的电势最低C.b、d两点处的电场强度相同D.将一试探电荷+q沿圆周由a点移至c点,+q的电势能减小【解析】由图知,b、d两点到两电荷的距离一样远,所以电势相等,A正确;四个点到正电荷的距离一样远,故正电荷在四点的电势相等,根据沿电场线的方向电势降低,负电荷点c 点的电势最低,且为负值,叠加后,c 点电势最低,所以B 正确;b 、d 两点处的电场强度的方向不同,所以C 错误; a 的电势高于c 点的电势,正电荷由高电势移动到低电势,电场力做正功,电势能减小,D 正确。
2017年普通高等学校招生全国统一考试高考模拟信息卷(九)理综生物试卷1.糖类、蛋白质、脂质是生物体的三大能源物质,下列有关叙述正确的是A.细胞通过氧化分解各种单糖来生成ATPB.细胞内丧失活性的蛋白质会被分解,生成的氨基酸主要用于新蛋白质的合成C.脂防除储存能量外,还是构成动物细胞生物膜系统的重要组成成分D.机体可以通过将蛋白质(氨基酸)、脂质等非糖物质转化为糖原来升高血糖2.下图是影响几种小分子物质进出细胞的因素与运输速率的相关曲线。
下列相关叙述正确的是A.图中①、②所表示的物质运输方式均不需要消耗能量B.性激素和K+进入细胞,前者可以用曲线①和③来描述,后者可用②和④来描述C.图②中最终限制运输速率不再增加的原因是载体数量有限D.如果将图④的横轴换成氧气浓度,则④中的曲线一定不变3.下图的核基因模型为控制某种酶的基因内部和周围的DNA片段情况。
距离以千碱基对(kb)表示,但未按比例画出,基因长共8kb,人为划分出a-g这7个区间,转录直接生成的mRNA 中d区间所对应的区域会被加工切除,成为成熟的mRNA。
下列相关分析正确的是A.该酶是由299个氨基酸组成的B.起始密码子对应的位点是RNA聚合酶结合的位点C.一次细胞有丝分裂过程中核基因只进行一次转录过程D.mRNA上某一特定位点对应的氨基酸可以由几种特定的tRNA将它转运到核糖体上4.下图虚线框表示人体的体液组成及相互关系。
下列相关叙述正确的是A.图中的②、③、⑤可分别表示淋巴、组织液、血液B.图中②和③的组成成分更接近,⑤的蛋白质含量最高C.图中⑤的渗透压的维持只与Na+和Cl-有关,⑥的渗透压的维持与K+密切相关D.图中的①、④、⑥内部都能进行ATP的合成以及水解5.下列关于科学研究和实验方法的叙述,不正确的是A.摩尔根等人通过假说——演绎法,证明了基因在染色体上B.“建立血糖的调节模型”采用的研究方法是模型方法,模拟活动本身就是在构建动态的物理模型,之后再根据活动中的体会构建概念模型C.在低温诱导植物细胞染色体数目变异实验中,卡诺氏液处理根尖后,需要蒸馏水冲洗2次D.在土壤中小动物类群丰富度的研究中,不适于用样方法或标志重捕法进行调查6.下列有关种群和群落的叙述,正确的是A.种群密度越大种群个体数越多B.种群数量的“S”型曲线在K/2之前等同于“J”型曲线C.群落的丰富度越大,生态系统的营养结构相对越复杂D.随着演替的进行,群落的物种组成、生物量都将增大29.(10分)下图1是番茄光合作用过程图解,图2是在密闭、透明的玻璃小室中培养番茄幼苗的实验装置。
2017届高三九月份模拟考历史部分一、单项选择题(本大题共12小题,每小题4分,共48分。
)24.右图为春秋晚期,晋国卿大夫之间举行盟誓时记载誓词的文书。
其誓词为:一定要“忠心事主”,决不“与贼为徒”,否则夷灭氏族,绝子绝孙。
这一定程度上反映出A.宗法制度的严酷苛刻 B.分封制遭到了破坏C.卿大夫对诸侯的忠诚 D.中央集权得到加强【答案】 B25.“秦汉帝国的结构并不是任何人设计的,而是经过旧中国时代的列国纷争、一个个国家个别尝试,又互相模仿,方出现了秦汉帝国所承袭的国家形态。
”以下最能反映该观点的是A.王位世袭制度 B.皇帝制度C.“推恩令”制度 D.郡县制度【答案】 D26.学者李国祁等曾对清朝五万余名地方官的任期做了量化分析,发现50%的地方官任期只有一年左右,75%~80%的任期在三年以下,这表明A.清朝吏治腐败,官员更替频繁 B.中央王权对官僚控制相当有效C.中央已对地方失去了有效控制D.皇权的强化使地方失去积极性【答案】 B27.梁启超在《国家思想变迁异同论》中说:“两平等者相遇,无所谓权力,道理即权力也;两不平等者相遇,无所谓道理,权力即道理也。
”该主张意在A.说明国际社会中强权政治盛行 B.阐释道理是平等与权力的基础C.强调民族平等有利于世界进步 D.激发国民救亡图存的民族意识【答案】 D28.1913年的一篇新闻短评《袁总统之徒弟》中写道:“一日记者之车夫与一车夫相哄,站岗巡警过而叱两车夫曰:得了得了,知道吗,现在是共和时代,大家对付着罢了。
”由此可知,作者真实的看法是A.民主共和观念深入人心 B.民众生活坚持共和原则C.政府消极对待共和政治 D.共和制为当时唯一选择29.五四游行总指挥傅斯年在运动后不久说:“我对这五四运动所以重视,因为它的出发点是直接行动,是唤起公众责任心的运动。
”该观点A.认为五四运动是民众的自发行动B.说明五四运动起到了社会动员作用C.着重强调了五四运动的直接作用D.揭示出五四运动具有广泛社会基础【答案】 B30.1920年,《新青年》从第八卷起成为中共的机关刊物。
2017届宁波市新初三摸底联考物理试卷学校:__________ 姓名:__________ 班级:__________ 考号:__________一、二、单选题1.为全面推进“和谐武汉”建设,实现“四城同创”的目标,我市采取了一些措施。
有关说法正确的是............................................................................................................................... ( ) A.城区禁鸣——是为了在人耳处减弱噪声,可以减少环境污染;B.道路路面刷黑——是因为沥青比热容较小,可以缓解“热岛效应”;C.焚烧垃圾发电——是因为垃圾热值很大,可以减少核污染;D.开展“文明过马路”活动——是由于行驶的汽车因惯性不易停下,可以防止交通事故2.把一瓶酒精倒去一半,则剩下酒精的()A.比热容和热值均变为原来的一半B.比热容变为原来的一半,热值不变C.热值变为原来的一半,比热容不变D.比热容和热值均不变3.下列现象中,不属于利用惯性现象的是....................................................................... ()A.用手拍打衣服上的灰尘B.锤头松了,将锤柄在地上撞击几下C.动员采用助跑跳远D.骑自行车时为了减速捏刹车闸4.下列物体中做匀速直线运动的是................................................................................... ()A.沿平直轨道出站的火车.B.竖直向上抛出的小球.C.匀速通过拱型桥的汽车.D.放在传送带上被输送的货物.5.影视中拍摄房屋倒塌砸伤人的特技镜头时,常选用泡沫塑料材料制做的“房屋”道具,这主要是因为泡沫塑料材料:()A.不导电; B.体积大; C.比热容小; D.密度小.6.下图所示的物体最接近70g的是()A.一枚图钉B.一只小鸡C.一张课桌D.一瓶可乐7.如图所示,动圈式话筒的膜片与线圈固定在一起,结圈套在磁铁上。
2017联考9月行测模拟真题2017联考9月行测模拟真题想要考好公务员行测考试,备考阶段多学习行测模拟试题考生可以得到有效提升。
以下是店铺为你整理的2017联考9月行测模拟试题,希望能帮到你。
2017联考9月行测模拟试题第一部分常识判断(共20题,参考时限15分钟)根据题目要求,在四个选项中选出一个最恰当的答案。
1.党的十八届五中全会决定,我国将在坚持计划生育的基本国策,完善人口发展战略的基础上,全面实施一对夫妇可生育两个孩子政策,积极开展应对人口老龄化行动。
这是继2013年十八届三中全会决定启动实施“单独二孩”政策之后的又一次人口政策调整。
下列有关我国人口政策变迁的说法错误的是( )A.党的十一大报告提出,实行计划生育是我国的一项基本国策B.1978年,计划生育政策被载入宪法C.2001年底,《中华人民共和国人口与计划生育法》颁布D.2013年,十八届三中全会决定,启动实施一方是独生子女的夫妇可生育两个孩子的政策2.中国共产党第十八届五中全会审议通过了《中共中央关于制定国民经济和社会发展第十三个五年规划的建议》。
下列关于该《建议》的说法错误的是( )A.提出创新、协调、绿色、开放、共享“五大发展”理念B.提出到2020年实现国内生产总值和城乡居民人均收入比2010年翻一番C.提出到2020年实现贫困县全部摘帽D.提出要发挥投资对增长的基础作用,发挥消费对增长的关键作用,发挥出口对增长的促进作用3.为实现城市管理现代化,北京市人民政府决定撤销市城管局、市规划局、市园林局等单位,设立市城市综合管理局。
依照法律规定,设立该局应经哪一机关批准( )A.北京市人民政府B.国务院C.北京市人民代表大会D.国务院机构编制管理委员会4.下列事项中,不属于行政诉讼受理范围的是( )A.行政法规、规章或者行政机关制度、发布的具有普遍约束力的决定、命令B.行政机关违法集资、摊派费用或者违法要求履行其他义务的C.行政机关没有依法支付抚恤金、最低生活保障待遇或者社会保险待遇的D.行政机关侵犯经营自主权或者农村土地承包经营权、农村土地经营权的5.下列刑事案件中,哪一情形不得适用简易程序( )A.未成年人案件B.共同犯罪案件C.有重大社会影响的案件D.被告人没有辩护人的案件6.下列成语与历史人物对应错误的一组是( )A.指鹿为马--赵高B.怒发冲冠--蔺相如C.阳春白雪--李斯D.入木三分--王羲之7.2014年沃尔玛中国由于业务发展需要,对目前的架构进行调整,简化业务流程,20多个中层管理岗位受到影响。
【关键字】统一2017年普通高等学校招生全国统一考试仿真卷理科数学九第Ⅰ卷一、选择题:本大题共12小题,每小题5分,在每小题给出的四个选项中,只有一项是符合题目要求的。
1.[2017怀仁一中]如果单数,则()A.的共轭单数为B.的实部为1C.D.的虚部为2.[2017临川一中]已知全集,集合,,那么集合()A.B.C.D.3.[2017皖南八校]某校为了解1000名高一新生的身体生长状况,用系统抽样法(按等距的规则)抽取40名同学进行检查,将学生从1~1000进行编号,现已知第18组抽取的号码为443,则第一组用简单随机抽样抽取的号码为()A.16 B.17 C.18 D.194.[2017重庆一中]已知是抛物线的焦点,点在抛物线上,且,则()A.B.C.D.5.[2017重庆一诊]函数的图象大致是()A.B..D.6.[2017天水一中]若不等式组表示的平面区域经过所有四个象限,则实数的取值范围是()A.B.C.D.7.[2017汕头模拟]假设你家订了一份牛奶,送奶人在早上6:30~7:30之间随机地把牛奶送到你家,而你在早上7:00~8:00之间随机离家上学,则你在离家前能收到牛奶的概率是()A.B.C.D.8.[2017郑州一中]我们可以用随机模拟的方法估计的值,如图程序框图表示其基本步骤(函数是产生随机数的函数,它能随机产生内的任何一个实数).若输出的结果为,则由此可估计的近似值为()A.3.119 B.3.126 C.3.132 D.3.1519.[2017抚州七校]将函数的图像向左平移个单位,再向上平移1个单位,得到的图像.若,且,则的最大值为()A.B.C.D.10.[2017长郡中学]三棱锥及其三视图中的正视图和侧视图如图所示,则该三棱锥的外接球的表面积为()A.B.C.D.11.[2017南阳一中]过椭圆:的左顶点且斜率为的直线交椭圆于另一点,且点在轴上的射影恰好为右焦点,若,则椭圆的离心率的取值范围是()A.B.C.D.12.[2017雅礼中学]已知实数满足,,则的最小值为()A.B.C.D.第Ⅱ卷本卷包括必考题和选考题两部分。
2017年普通高等学校招生全国统一考试仿真卷英语(九)第Ⅰ卷第一部分听力(共两节,满分30 分)略第二部分阅读理解(共两节,满分40分)第一节(共15小题:每小题2分,满分30分)阅读下列短文,从每题所给的四个选项(A、B、C和D)中选出最佳选项,并在答题卡上将该项涂黑。
AAre you looking for a museum off the beaten path? Try these places.Bata Shoe MuseumThe Bata Shoe Museum opened in 1995 on the premise(前提) that “footwear is a source of delight and reflection of human history”. The space was designed by Raymond Moriyama. Permanent collection includes 12000 pairs of shoes and artifacts. Notable shoes are those belonging to Marilyn Monroe, Princess Diana, Elton John and Madonna.Campbell HouseCampbell House was built in 1822 by Sir William Campbell – chief justice of Upper Canada from 1825-1829. Campbell lived in the house for 12 years before he died. The house was occupied by various other families and used for various other uses (vinegar factory, glassworks). In 1972 in order to preserve the building, the Advocate’s Society moved from its location on Adelaide St to its current home at Queensland University. The building was restored to be as historically accurate as possible.Gibson House MuseumThe Gibson House Museum is an example of Georgian architecture. It was built in the mid 19th century as a farm house for David Gibson – a member of the Legislative Assembly. After being used as a boarding house for many years, the building interior was restored. The museum has a hands -on “discovery gallery”with interactive(互动的)games and exhibits. On weekends workshops are offered on cooking, desserts, breads and preserves.Black Creek Pioneer VillageBlack Creek is a recreation of a Victorian Farm with buildings moved and reconstructed from aroundOntario. The result is a 1860s Ontario village. Exhibits demonstrate how domestic tasks were completed before modern technology. Activities include spinning, baking, and a history lesson.Historical interpreters dress in the clothing of the period and answer visitors’ questions. Favorite destinations in the village include the farm, doctor’s house, and the mill. At the historic brewery, beer is brewed using all natural ingredients. The restaurant serves meals using locally sourced ingredients. On site are also areas for concerts and gift shop. Black Creek is operated by the Toronto and Region Conservation (TRCA).21. Who designed Bata shoe Museum?A. Princess DianaB. Elton JohnC. Raymond MoriyamaD. Marilyn Monroe22. Campbell House once served as a.A. universityB. glue worksC. farm houseD. vinegar factory23. If you are into interacting with others in games, you will probably go to.A. Bata Shoe MuseumB. Gibson House MuseumC. Campbell HouseD. Black Creek Pioneer Village24. We can learn from the passage that.A. Campbell House was occupied by Campbell for a score of years.B. Bata Shoe Museum includes 1200 pairs of notable shoes and artifacts.C. Gibson House Museum was constructed approximately in the 1820s.D. Visitors can know about historic farming culture when visiting Black Creek.BMy wife, daughter, and I moved into our home nine years ago and we spent a lot of time and energy in the yard to get it looking like it does today. We live on a corner, higher than street level, and the entire side of the yard is surrounded by a professionally built rock wall. The front of the house though is another story because instead of a wall along the sidewalk, the rocks appear to be just thrown up onto the dirt as if someone were in a hurry to finish.We did the best we could with what we had to work with and called this area our “rock garden”. Whenever we had leftover flowers or plants, Denise or I would stick them out front, just to bring some color to the area. We would do all of the yard work on our own, even the tiring weed-pulling.Last summer I had reached the end of the rock garden and found a tiny little plant that I could not immediately identify, I knew I didn’t plant it and Denise claimed that she didn’t either. We decided to let it continue growing until we could figure out what it was.Weeks passed and as I made my way back to the mystery plant, it appeared to be a Sunflower with a tall skinny stalk(茎,杆) and only one head on it. I decided to baby it along and weed around it. As I pulled rocks from the area to get to the weeds, I noticed something unusual. The Sunflower had not started where I saw the stalk begin. It actually had begun under a big rock and grown under and around it to reach the sun.That’s when I realized that if a tiny little Sunflower didn’t let a big rock stand in its way of developing, we too have the ability of doing the same thing. Once our environment begins to see that we believe in ourselves like that little Sunflower, we can attain the same nourishment(营养) and growth as well.Stand tall like the Sunflower and be proud of who and what you are and the environment will begin to support you. You will find a way to go under or around your big obstacle in order to reach your desires.25. Why is the front of the house another story according to the author?A. The workers finished it in a hurry.B. There is a wall along the sidewalk.C. The family view it as a rock garden.D. The rocks are piled there at random.26. The author found it unusual that_______.A. the Sunflower grew under and around a big rockB. the Sunflower had a tall stalk and only one headC. the mystery plant turned out to be a SunflowerD. a rock stood in the way of the flower’s growth27. Which of the following best describes the Sunflower?A. Brave and stubborn.B. Confident and persistent.C. Optimistic and modest.D. Mysterious and devoted.One of our expectations about education is that it will pay off in terms of upward mobility.Historically, the relation between education and income has been strong. But in the early 1970s, a contradiction developed between education and the economy. Our value of education and our average educational attainment(获得)run faster than the capacity of the economy to absorb the graduates.Since the 1970s, high-school graduates have experienced a striking decrease in earnings, making them the first generation since World War Ⅱ to face a lower standard of living than their parents had. Experts have argued that this contradiction is at the heart of the problem of public education today. It is not, as business leaders claim, that the schools are failing to properly educate students, that they are turning out young people who are inadequately prepared to function in the workplace. The real problem is a shortage of economic opportunities for students who are not continuing on to college. College graduates also are having difficulty finding jobs. Even when they do, the jobs may not be consistent with their training and expectations. Part of the problem is that too many young Americans expect to have professional jobs, making disappointment and frustration unavoidable for some.Many students assumed that what was true of an individual— that the higher the education, the better the job opportunities — would also be true for an entire society. But when the numbers of better-educated young people became too great, the economy could no longer absorb them. Another part of the problem is the assumption that greater educational attainment guarantees career advancement. In fact, employers do not routinely reward educational attainment; rather, they reward it only when they believe it will contribute to the employee’s productivity.We should not overlook the fact that there is still a strong relationship between education and occupation and income. College graduates have a strong advantage over those with less education. But the payoff is neither as large nor as certain as it once was. Unfortunately, Americans have focused so strong on the economic payoff that many consider their college education useless if it does not create a desirable, well-paying job. Only in this sense can we speak of an “oversupply” of college graduates.We could argue that all or at least the majority of Americans would profit by some degree because higher education can enable the individual to think more deeply, explore more widely, and enjoy a greater range of experiences.28. The underlined phrase “turning out” in Paragraph.2 probably means.A. bringing upB. putting outC. bringing outD. putting up29. When do employers reward higher education?A. It offers better job opportunities.B. It makes for higher productivity.C. It guarantees career advancement.D. It brings a definite advantage over others.30. The passage mainly talks about ________.A. our expectations about educationB. the problem of public education todayC. the contradiction between education and economyD. the connection between education and occupation31. What’s the writer’s attitude towards higher education?A. ObjectiveB. IndifferentC. DisapprovingD. FavorableDEver since Donald Trump was elected the next president of the US, the entire Trump family has been put under a microscope.In China, the spotlight has been mainly focused on Trump and his daughter Ivanka. She is described on WeChat as an extremely influential role model with stunning beauty, a successful career, and a happy family.She leads a dream life that a million girls would kill for. Yes, she was born with a silver spoon in her mouth. But she got where she is by herself.There’s always going to be articles that say people born into wealthy families are better looking and have a better family background than you, but these people do work harder than you.Are you a loser if you were raised in an ordinary family? Should you feel guilty that you sleep eight hours a day because Ivanka sleeps five? If you just want to keep a stable nine-to-five job, does it mean you are not ambitious? How about if you don’t work out or eat healthy, does that mean you will not find your Mr. or Miss Right?There is a tendency in media nowadays to encourage elitism(精英主义).They are trying to brainwash young people into thinking that they should invest an enormous amount of time and money in bodybuilding and appearance enhancement, even plastic surgery. They encourage lifestyle makeovers: wine tasting classes and expensive trips overseas. They make you believe that if you do as they say, you can improve the quality of your life and join the elites (社会精英).But what’s the downside of being ordinary? Do you really need to go to the gym five days a week unless you are a gym maniac(热衷者)? Do you need to take hundreds of selfies and Photoshop the selected ones to post on WeChat? Do you really need to break your neck and sacrifice to earn your first pot of gold only to worry constantly about how to enter high society later?Don’t let the idea of elitism get to you. Everybody has a right to the life they want. Human beings should not be judged as a success or failure based on whether they are a part of the elite or not. As long as you lead a happy and comfortable life, why bother to chase after other people’s shadows? Choose your own life path and go for it.32. Why does Ivanka become a hit online?A. She lives such a dream life that a million girls would like to kill her.B. She together with her family is put under careful investigation.C. She is a virtual role model frequently seen among ordinary people.D. She gets what she has through personal efforts despite decent origin.33. Which of the following are considered as a life belonging to people of higher social rank?①Polish and post carefully- selected selfies on WeChat;②Break your neck to earn your first pot of gold;③Spare no expense to improve physical appearance;④Sign up for wine tasting classes and oversea trips;A. ①④B. ②④C.②③D. ③④34. It can be inferred from the text that ____________.A. Ivanka sleeping five hours a day makes the vast majority guilty.B. Keeping a stable nine-to- five job will be thought of as a loser.C. Being distinguished is a commonly advocated culture nowadays.D. Improving the quality of life will promote one’s social status.35. Which attitude towards life would the writer probably agree with?A. Life is like a dogsled team. If you aren’t the lead dog, the scenery never changes.B. There is only one success — to be able to spend your life in your own way.C. Life consists not in holding good cards but in playing those you hold well.D. The greatest lesson in life is to know that even fools are right sometimes.第二节(共 5 小题,每小题 2 分,满分10 分)根据短文内容,从短文后的选项中选出能填入空白处的最佳选项,选项中有两项为多余选项。
2017生物中考模拟试题(带答案)D生物试题第 2 页共 8页生物试题第 3 页共 8页生物试题第 4 页共 8页生物试题第 5 页共 8页生物试题第 6 页共 8页谱:米饭、红烧鲫鱼、麻辣鸡丝、黑椒杏鲍菇。
你认为添加下列哪项会使这份食谱更合理( )A.凉拌豆角B.牛奶咖啡C.肉末鸡蛋D.小米稀饭9.如图是某人在一次平静呼吸中肺内气压的变化曲线。
请分析曲线BC段的变化中,胸廓的前后径和左右径的变化分别是()A.前后径增大、左右径缩小B.前后径缩小、左右径增大C.前后径和左右径均增大D.前后径和左右径均缩小10.从花蕊的情况和花着生的情况两方面看,桃花的花属于( )A.单性花单生花B.两性花单生花C.两性花花序D.单性花花序11. 同学们在初中生物课中做过许多实验。
以下是洋洋同学对几个实验的认识,其中错误的生物试题第 7 页共 8页是( )A.在玉米种子剖面上滴一滴碘液,染成蓝色的是胚乳B.在制作洋葱鳞片叶内表皮细胞临时装片的过程中要用碘液染色C.制作口腔上皮细胞临时装片的程序为:一擦→二刮→三涂→四染D.用显微镜观察小鱼尾鳍内血液流动时,可见红细胞在最小血管中呈单行通过12.如图所示的是进入和离开身体某器官的血液内四种物质的相对含量,该器官是()A.脑 B.肾 C.小肠D.肺13. 下列各组疾病中均与激素无关的一组是()A.呆小症、大脖子病、夜盲症B.佝偻病、贫血、坏血病C.巨人症、佝偻病、坏血病D.侏儒症、生物试题第 8 页共 8页贫血、夜盲症14.下列有关人体生命活动调节的描述中,不正确的是()A.人体神经细胞与其他细胞明显不同,它的细胞体生有许多突起B.人醉酒后会出现语无伦次、走路不稳的现象,分别与大脑和小脑有关C.某同学抓起一个烫手馒头,先感觉烫后迅速松手D.新生儿的嘴唇第一次接触奶头就会有吮吸动作,这是非条件反射15.有关人体结构与功能的下列叙述中,正确的是( )A.中医给病人“切脉”时,感受的是手臂上静脉的搏动B.在些神经分布较浅,肉眼就可以分辨,如手臂上的“青筋”C.某病人右侧躯体偏瘫时,最可能是左侧躯体运动中枢受损生物试题第 9 页共 8页D.在人臀部肌肉注射青霉素时,主要由肌肉细胞将药物进行吸收16.下列全都属于先天性行为的一组是()A.狗辨主客、飞蛾扑火、老马识途B.猫捉老鼠、蜻蜓点水、鹦鹉学舌C.蜜蜂采蜜、蜘蛛结网、大雁南飞D.望梅止渴、谈虎色变、孔雀开屏17.课外兴趣小组的同学用显微镜观察池塘水时发现水中有一种再生能力较强的喇叭虫。
2017年中考模拟测试试题生物说明:1、全卷共6页,全部为单项选择题,每小题2分,满分为100分,考试用时为50分钟。
2、答卷前,考生务必用黑色字迹的钢笔或签字笔在答题卡上填写自己的准考证号、姓名、考 场号、座位号。
用2B 铅笔将考场号和座位号相应号码的标号涂黑。
3、每小题选出答案后,用2B 铅笔把答题卡上对应题目选项的答案信息点涂黑,如需改动, 用橡皮擦干净后,再选涂其他答案,答案不能答在试题上。
4、考生务必保持答题卡的整洁。
考试结束时,将试卷和答题卡一并交回。
1、在同一块地里同时栽培大蒜,若栽培在露天环境中,长出的叶片是绿色的;而在遮光条件下栽培,长出的叶片是黄色的、该探究实验说明影响叶绿素形成的环境因素是A 、水分B 、光C 、无机盐D 、空气 2、生物体的形态结构总是与其生活环境相适应,下列有关叙述错误的是A 、蜥蜴的体表有角质的鳞片,可以防止体内水分的蒸发B 、野兔神经系统发达,能迅速躲避天敌C 、蝗虫有外骨骼,不易被天敌发现D 、鲫鱼身体两侧各有一条侧线,可感知水流和测定方向3、为探究草履虫对刺激的反应,某同学制作了如图所示的临时装片,用显微镜观察发现草履虫将A 、从左向右运动B 、从右向左运动C 、没有特定的移动方向D 、不运动4、二氧化硫是污染大气的主要有害物质之一,下列可作为 大气污染程度指示植物的是A 、水绵B 、葫芦藓C 、肾蕨D 、满江红5、如图表示某细胞分裂过程中遗传物质的含量曲线,正确的是6、“垂涎三尺”、“望梅止渴”都与人体唾液腺有关,你认为人的唾液腺主要由什么组织构成A 、上皮组织B 、结缔组织C 、肌肉组织D 、神经组织 7、关于器官的说法正确的是A 、肾脏是形成尿液的器官,尿液的形成受大脑的控制左B、花椰菜(俗称“花菜”)是属于营养器官C、皮肤是人体最大的器官D、肝脏是人体最大的消化器官8、下列关于实验的叙述中“实验方法”和“结论或观点”能匹配的是A、用稀碘液检测唾液淀粉酶在不同温度下对馒头的消化,可知温度越高酶的活性越强B、滴加生理盐水制作洋葱鳞片叶表皮细胞临时装片,是为了维持细胞形态C、盆中植物用塑料袋罩一晚后袋内会出现水珠,说明植物晚上也能进行蒸腾作用D、“测定某食物中的能量”实验中,实验结果均超过标准值很多,原因是材料燃烧不充分9、某同学于6月中旬晴朗的一天做了如下的探究:从上午8点开始,在同一植株的相同位臵上,每隔5小时(8点、13点、18点和23点)摘取一片大小相同的叶片,摘取了4片叶子,并按时间顺序编号,甲、乙、丙和丁,低温保存,同时进行脱色处理再滴加碘液,颜色最蓝的是A、甲叶B、乙叶C、丙叶D、丁叶10、现在的菜农在种植黄瓜、丝瓜、西红柿、菜豆等蔬菜时,都要给这些植物搭架供其在上面生长。
2017济南槐荫区九年级模拟考试语文试题本试题共6页,满分为120分,考试时间为120分钟。
答卷前,请考生务必将自己的姓名、座号和准考证号填写在答题卡上,并将考点、姓名、准考证号和座号填写在试卷规定的位置。
考试结束后,将答题卡和试卷一并交回。
注意事项:1.答选择题时,必须使用2B铅笔填涂答题卡上相应题目的答案标号,修改时,要用橡皮擦干净。
2.答非选择题时,必须使用0.5毫米黑色签字笔书写,要求笔迹清晰、字体工整,务必在答题卡题号所指示的答题区域内作答。
一、(每小题3分,共15分)1.下列词语中加点字的读音完全正确....的一项是()(3分)A.造诣.(yì)亘.古(gân)钥匙.(shi)循规蹈矩.(jù)B.殷.红(yān)顷.刻(qīng)剔.透(tī)忍俊不禁.(jīn)C.狩.猎(shǒu)洗濯.(zhuó)绮.丽(yǐ)戛.然而止(jiá)D.号召.(zhào)处.理(chǔ)招徕.(lái)汗流浃.背(jiā)答案:D解析:A项循规蹈矩.jǔ B项顷刻qǐng C项绮丽qǐ2.下列词语中没有错别字.....的一项是()(3分)A.座落纪传体抑扬顿挫美伦美奂B.奥秘照像机神采奕奕跋山涉水C.范畴俯卧撑目不暇接喜出望外D.寒喧保健操相形见拙按部就班答案:C解析:A项坐落、美轮美奂 B项照相机 D项寒暄3.下列句子中加点成语使用恰当....的一项是()(3分)A.除夕夜,亲朋好友围炉守岁,欢聚畅饮,享受着天伦之乐....。
B.我敬佩女排姑娘们的拼搏精神,她们面对困难不以为然....,一次次书写绝地反击的奇迹。
C.一万多辆橘红色“摩拜单车”在济南街头捷足先登....,服务于泉城市民的绿色出行。
D.好的教育能够引导人不断完善自己,让学生在不知不觉中潜移默化....,成长为优秀人才。
答案:C解析:A项天伦之乐:天伦:旧指父子、兄弟等亲属关系。
2017年苏州市初三英语模拟试题(九)一、单项填空( )1. Life is like ocean: Only strong-willed can reach the other shore(海岸).A. an; theB. the; aC. the; /D. /; a( )2. If you don't know the to the science museum, here is a map of the city.A. dateB. wayC. priceD. time( )3. Pay no attention to those who laugh at you. What most is how you see yourself.A. mattersB. mindsC. caresD. values( )4. There is only one more day to go your favourite music group play live.A. sinceB. whileC. whenD. before( )5.—Are you going to Tom's party this weekend?—not. I may have to work.A. ProbablyB. CertainlyC. EspeciallyD. Properly( )6. Many Internet users, especially women, showed pictures of with an A4-sized piece of paper.A. herselfB. themselvesC. himselfD. itself( )7.一Have you watched the boat races this Dragon Boat Festival?一Yes. wonderful races!A. What anB. What aC. WhatD. How( )8. The fridge doesn't work. Why not consider a new one?A. buyB. boughtC. to buyD. buying( )9.一Tom said he planned to sell his shop and go to a medical school. It be true, right?—Well,you're probably wrong. He always wants to learn medicine, you know.A. shouldn'tB. can'tC. needn'tD. mustn't( )10. "I want to go to Mars, because it's a place that no one to before, "said Carson.A. has goneB. has beenC. wasD. went( )11.The population of China is than that of Australia.A. far moreB. far lessC. much smallerD. much larger( )12. It that the method didn't work well. He had to try another one.A. ran outB. found outC. turned outD. worked out( )13.一it is from our own planet Earth to Mars!一Yes. It takes months to travel to Mars by spacecraft.A. How soonB. How farC. How longD. How often( )14.一Excuse me, could you tell me ?一There's a bank on the second floor. You can make it there.A. if there's a bank near hereB. how I can get to the bankC. where 1 can change moneyD. where the bank is( )15.一Hi, Jack. We will go on an outing this weekend. Would you like to join us?一. That's the last thing in the world I would ever want to do.A. It dependsB. With pleasureC. It's up to youD. No, thanks二、完形填空The first note I ever wrote to my mother said "Hi,Mom! Have a nice day! Love,Marie! " I was twelve when I wrote it, and I folded(折叠)the note into her change purse.My mother worked as a cleaner in a clothing factory. I knew that when she 16 meals in the dining hall,she would have to look for change in her purse. I didn't know that she would 17 that note, and always carry it with her.From the day that I 18 folded the small piece of paper into my mother's change purse, she and I left each other 19 notes. They would be put in the fridge, under a lamp, or beside the TV set. I 20 found one hidden in my shoe. From the outside, our notes may have been general 21 of our days, ideas and wishes. But to my mother and me, they were a lifeline- the communication between each other that no one else 22 .On October 20,2009,my mother died after a long illness. I stood near her bed,holding her hand. I didn't cry the day my mother died, 23 I didn't cry a week later when I went to collect her things. I was so thankful that she no longer had aches and pains.Recently, I found a note that my mom had left me. It had been hidden in the 24 of my favourite childhood book for years. It read "Dear Marie. I love you always. Miss you a lot. Don't forget me. Be 25 ! Love, Mom." That day, I cried.( )16. A. prepared B. sold C. bought D. cooked( )17. A. forget B. keep C. lose D. pick( )18. A. carefully B. wisely C. quickly D. carelessly( )19. A. big B. funny C. secret D. beautiful( )20. A. hardly B. never C. even D. seldom( )21. A. programs B. courses C. excuses D. records( )22. A. shared B. believed C. promised D. remembered( )23. A. and B. but C. or D. because( )24. A. lines B. poems C. pages D. pictures( )25. A. serious B. happy C. patient D. strict三、阅读理解AWith an announcement made on 1 April, 2017, Xiongan has become a well-known name in China overnight. Xiongan New Area, about 100 kilometers south-west of Beijing, covers three counties: Xiongxian, Rongcheng and Anxin.26. Xiongan New Area is ______.A. in TianjinB. in BeijingC. in Hebei ProvinceD. in Baoding27. Which of the following is TRUE?A. Xiongan New Area covers four counties.B. Xiongan New Area will become larger and larger.C. Xiongan New Area is 100 kilometres north-west of Beijing.D. Xiongan New Area will cover about 200 square km in the long term.BWhile many young people were enjoying the summer vacation, Zach Bonner was working his hardest. Zach started walking from Valrico, Florida, his hometown, on Christmas, 2009. He reached Los Angeles nine months later in September, 2010. He covered a total of 2,478 miles and raised $120,000 for kids in need. Along the way, Zach attended school online. His mother, brother and sister took turns to walk or drive together with him.Although he is very young, Zach has a long history of helping others. When a terrible storm hit town in 2004, Zach, when six, pulled a wagon(小推车)through his community and collected food for people in need.He has raised $400,000 for his Little Red Wagon Foundation since then. It gives money to projects which help homeless children. In 2007, Zach began walking to support a children's charity in Tampa, Florida. He finished his journey 23 days later, 280 miles away in Tallahassee. Then in the summer of 2009, he trekked(跋涉) about 670 miles from Atlanta to Washington, D.C., in just two months."As long as there are homeless kids, I will never stop walking for them. " Zach says.( )28. We can learn from Paragraph 2 that Zach .A. began to help people at a very early ageB. made money to pay for his educationC. enjoyed playing around in his communityD. worked very hard for his family( )29. At what age did Zach start walking to support a Tampa children's charity?A. At six.B. At nine.C. At eleven.D. At twelve.( )30. Which of the following best describes Zach?A. Friendly and shy.B. Silly but lovely.C. Kind and helpful.D. Clever but lazy.CIt is most difficult for parents to decide whether to have a second child or not.It is often heard that a single child is like to be a lonely child. There are no other children inthe family for the child to talk or play with. An only child is not able to get along well with children of his age. Some parents regretted making the decisions to have only one child.But the number of parents choosing to have only one child is increasing in many parts of the world. In the US, for example, more than14 % of women between 18 and 34 plan to have just one child. The same can be seen in the UK. In Japan, the average(平均) number of children born per family had gone down to 1.42 by 1996.For some single-child parents, especially who are busy working every day, time and energy seem to beoverwhelming. They don't have enough time and energy to share with more children. For other people, money is their first consideration. Many couples in Japan choose not to have large families as the cost of supporting a child up to the age of 18 reaches around US$160,000.( )31.What do people not think about when they choose to have a second child ?A. timeB. energyC. moneyD. food( )32.What does the underlined word "overwhelming" mean in the last paragraphA. 压倒一切的B. 宽松的C. 流行的D. 充足的( )33. Parents choose not to have a second child because .A. The cost of supporting a child is so high.B. Parents are too busy working every day to share their time and energy with more children.C. Some parents regretted making the decisions to have only one child.D. Both A and B.DPhysical activity has many advantages. It makes bones and muscles(肌肉)stronger. improves mental health and mood,lowers blood pressure, and reduces the risk of cardiovascular(心血管的)disease, and all kinds of cancers. Exercise is also good for your brain. It may not be a cure-all for obesity(肥胖),however.Though better nutrition(营养)together with exercise has long been the good treatment for losing weight and avoiding obesity, a new study suggests diet,in fact,plays the key role.Researchers compare African-American women in Chicago with women in the countries of Nigeria. On average(平均),the Chicago women weighed 184 pounds and the Nigerian women weighed 127 pounds. Researchers had expected to find that the slimmer Nigerian women would be more physically active. To their surprise, they found no important difference between the two groups in the amount of calories burned during physical activity."Less physical activity may not be the main drive of obesity. " said Richard Cooper, a member of the study team. "People burn more calories when they exercise. The thing is, they make up by eating more. We would love to say that physical activity has a positive effect on weight control, but that does not appear to be the case. "Diet is a more likely explanation than physical activity expenditure(消耗)for why Chicago women weigh more than Nigerian women, Cooper said. She noted the Nigerian diet is low in fat and animal protein(动物蛋白).Lout the Chicago diet is 40 percent to 45 percent in fat.More research seems to be needed,however, as the new finding is different from other studies. A study found that Old Order Amish people who had a gene(基因)related to obesity stayed thin because they exercised a lot.( )34. By saying the underlined words in Paragraph 4,Cooper meant that .A. exercise may not do good to your brainB. less exercise may not lead to obesity at allC. exercise doesn't play a key role in losing weightD. people need to eat more to do enough physical activity( )35. At the mention of Old Order Amish people,the writer wants to prove that .A. obesity is a serious medical problemB. the result of the new study is reasonableC. obesity is mainly related to one's genesD. the result of the new study needs to be tested further ( )36. What can we know about Chicago women and Nigerian women from the passage?A. They don't like doing physical activities.B. They burn almost the same amount of calories during physical activity.C. Chicago women are slimmer than Nigerian women.D. Nigerian women like to do more exercise than Chicago women.( )37. The writer's purpose of writing the passage is to expect us to_.A. control our diet to stay thinB. take more exercise to lose weightC. do more physical activity to avoid diseasesD. find a way that can treat obesity completely四、词汇检测38. Try to calm down and not to get (急躁的)while facing much stress.39. Everyone hopes to live (和平地)with their family in the world.40. The coal and oil we are burning is of poor quality and don't meet the (标准)for environmental protection.41. The point we must insist on (保持不变)to be discussed.42. (以,凭借)his efforts he succeeded in making so many useful inventions.43. Thank you for giving me some useful (建议). It's of great value to me.44. Shirley was standing at the door .Her long hair (垂下)down to the chest.45.一Yesterday, my father bought me a new mobile phone as a present,but I don't know how to use it.一Why not read the first before using it?46.一Who is the most modest boy in your class?一Daniel. He often wins some prizes but never off in public.2017年苏州市初三英语模拟试题(九)参考答案一、1一5 ABADA 6-10 BCDBB 11一15 DCBCD二、16一20 CBACC 2.1一25 DAACB三、26一30 CBABC 31一35 DADCD 36一37 BA四、38. impatient 39. peacefully 40. standard 41. remains42. Through 43. advice 44. hung 45. instructions46. shows 47. lasted五、48. More and more parents begin to pay attention to children's safety.49. The robot seems to be out of control.50. These silk scarves are made by hand.51. Could you tell why you didn't try out for the school team then?52. The 70-year-old man was considered to be/as the best dancer at last night's competition.六、53. Upton Sinclair.54. They tell people important information about food and help people to make good choices.55. Yes. Because food safety is closely related to our daily life./No. As the saying goes, we must eat a peck of dirtbefore we die, so we don't need to pay too much attention to food safety.七、I like films best, especially English films. Why?Firstly, I can learn many English words and practice listening and speaking by watching English films. secondly, most of the English films are educational. Some of them can make you more confident. Thirdly, I can know some famous actors and actresses, such as Audrey Hepburn. She was considered a superstar, not only for her acting in the films but for her efforts in charity. Finally, I can also learn about the culture of England and America.However, there is a problem. I have no time to watch films because of too much homework. I hope to balance the relationship between study and hobbies.。