北京邮电大学大学物理实验习题4
- 格式:pdf
- 大小:76.96 KB
- 文档页数:5
可编辑修改精选全文完整版大学物理第六版上册北京邮电大学出版课后答案详解1、行驶的汽车关闭发动机后还能行驶一段距离是因为汽车受到惯性力作用[判断题] *对错(正确答案)答案解析:汽车具有惯性2、用如图所示的装置做“探究小车速度随时间变化的规律”实验:1.小车从靠近定滑轮处释放.[判断题] *对错(正确答案)3、马德堡半球实验测出了大气压,其大小等于760mm高水银柱产生的压强[判断题]对错(正确答案)答案解析:托里拆利实验最早测出了大气压强4、11.小敏学习密度后,了解到人体的密度跟水的密度差不多,从而她估测一个中学生的体积约为()[单选题] *A.50 m3B.50 dm3(正确答案)C.50 cm3D.500 cm35、9.在某原子结构模型示意图中,a、b、c是构成该原子的三种不同粒子,能得出的结()[单选题] *A.a和c数量不相等B.b决定原子种类C.质量集中在c上D.a和c之间存在吸引的力(正确答案)6、4.静止在水平地面上的物体受到向上的弹力是因为地面发生了形变.[判断题] *对(正确答案)错7、下列有关力做功的说法中正确的是()[单选题]A.用水平力推着购物车前进,推车的力做了功(正确答案)B.把水桶从地面上提起来,提水桶的力没有做功C.书静止在水平桌面上,书受到的支持力做了功D.挂钩上的书包静止时,书包受到的拉力做了功8、1.与头发摩擦过的塑料尺能吸引碎纸屑。
下列与此现象所反映的原理相同的是()[单选题] *A.行驶的汽车窗帘被吸出去B.挤压后的吸盘吸在光滑的墙上C.用干燥的双手搓开的塑料袋会吸在手上(正确答案)D.两个表面光滑的铅块挤压后吸在一起9、下列措施中,能使蒸发减慢的是()[单选题]A.把盛有酒精的瓶口盖严(正确答案)B.把湿衣服晾在通风向阳处C.用电吹风给湿头发吹风D.将地面上的积水向周围扫开10、停放在水平地面上的汽车对地面的压力和地面对车的支持力是平衡力[判断题] *对错(正确答案)答案解析:相互作用力11、52.“凿壁偷光”原指凿穿墙壁,让邻舍的烛光透过来,后用来形容家贫而勤奋读书。
北京邮电大学大学物理第六版下答案1、27.在只有量筒没有天平的情况下,要取出16g酒精(ρ酒精=8×103kg/m3),下列做法正确的是()[单选题] *A.只有量筒没有天平是做不到的B.用量筒量出体积为16cm3的酒精C.用量筒量出质量为16g的酒精D.用量筒量出体积为20cm3的酒精(正确答案)2、如图63所示,MM’为平面镜,AO为入射光线,ON为法线,入射角∠AON等于60°。
已知∠NOB等于30°,∠NOC等于45°,∠NOD等于60°。
则入射光线AO的反射光线将沿着哪个方向射出()[单选题]A.ONB.OBC.OCD.OD(正确答案)3、32.下列涉及的物态变化现象解释正确的是()[单选题] *A.清晨河面上出现的薄雾是汽化形成的B.冰冻的衣服变干是熔化现象C.烧水时,壶嘴附近出现的“白气”是液化形成的(正确答案)D.浓雾逐渐散去是升华现象4、15.下列有关托盘天平的使用说法正确的是()[单选题] *A.称量前,应估计被测物体的质量,以免超过量程(正确答案)B.称量前,应调节平衡螺母或移动游码使天平平衡C.称量时,左盘放砝码,右盘放物体D.称量时,向右移动游码,相当于向左盘加砝码5、53.下列实例中不能用光的直线传播解释的是()[单选题] *A.水中倒影(正确答案)B.手影的形成C.日食和月食D.小孔成像6、1.民乐团演奏中国名曲《茉莉花》时,其中的声现象,下列说法错误的是()[单选题] *A.竹笛声是由空气柱振动产生的B.胡琴、琵琶发出的声音音色不同C.敲击鼓面的节奏越快,鼓声传播得就越快(正确答案)D.听众关闭手机,是从声源处控制噪声7、87.把一个实心铁块放入盛满水的容器中,溢出水的质量是5g,若把铁块放入盛满酒精的容器中,则溢出酒精的质量是()(ρ酒精=8×103kg/m3,ρ水=0×103kg/m3)[单选题] *A.5gB.5gC.4g(正确答案)D.36g8、48.如图所示是甲和乙两种液体物质的质量和体积的关系图像,下列说法正确的是()[单选题] *A.甲物质的密度比乙小B.体积为60cm3的乙物质的质量为48g(正确答案)C.质量为25g的甲物质的体积为30cm3D.甲和乙两种液体等体积混合后的密度小于1g/cm39、导体中的自由电子做定向移动时,它的周围就产生磁场[判断题] *对(正确答案)错答案解析:自由电子做定向移动时产生电流,电流周围存在磁场10、人耳听不到次声波,是因为响度太小[判断题] *对错(正确答案)答案解析:次声波和超声波的频率超过了人耳的听觉范围11、3.这一秒末的速度是前一秒末的速度的2倍.[判断题] *对错(正确答案)12、当0℃的冰熔化成0℃的水时,温度和内能都不变[判断题] *对错(正确答案)答案解析:温度不变,内能增大13、举重运动员把杠铃举在空中停三秒,此时运动员对杠铃的举力做功[判断题] *对错(正确答案)答案解析:有力无距离,不做功14、49.由甲、乙两种物质分别制成体积相等的甲、乙两种实心球,按照如图所示方式摊放在已调节平衡的天平左右盘内,天平仍平衡。
习 题 解 答第一章 质点运动学1-1 (1) 质点t 时刻位矢为:j t t i t r ⎪⎭⎫ ⎝⎛-+++=4321)53(2(m)(2) 第一秒内位移j y y i x x r)()(01011-+-=∆)(5.33)101(3)01(21)01(32m j i ji +=⎥⎦⎤⎢⎣⎡-+--=(3) 前4秒内平均速度)s m (53)2012(411-⋅+=+=∆∆=j i j i t r V(4) 速度)s m ()3(3d d 1-⋅++==j t i t r V∴ )s m (73)34(314-⋅+=++=j i j i V(5) 前4秒平均加速度)s m (43704204-⋅=-=--=∆∆=j j V V t V a (6) 加速度)s m ()s m (d d 242--⋅=⋅==j a j tV a1-2 23d d 23++==t t txv c t t t c t v x x +++=+==⎰⎰241d d 34 当t =2时x =4代入求证 c =-12 即1224134-++=t t t xtt tv a t t v 63d d 23223+==++= 将t =3s 代入证)s m (45)s m (56)(414123133--⋅=⋅==a v m x1-3 (1) 由运动方程⎩⎨⎧+==ty t x 2342消去t 得轨迹方程0)3(2=--y x(2) 1秒时间坐标和位矢方向为 m y m x 5411==[4,5]m: ︒===3.51,25.1ααxytg(3) 第1秒内的位移和平均速度分别为)m (24)35()04(1j i j i r+=-+-=∆)s m (2411-⋅+=∆∆=j i tr V(4) 质点的速度与加速度分别为i t Va j i tr V8d d ,28d d ==+==故t =1s 时的速度和加速度分别为 2111s m 8,s m 28--⋅=⋅+==i a j i V1-4 该星云飞行时间为a 1009.2s 1059.61093.31074.21046.910177915⨯=⨯=⨯⨯⨯⨯ 即该星云是101009.2⨯年前和我们银河系分离的. 1-5 实验车的加速度为g)(25m/s 1047.280.13600101600223≈⨯=⨯⨯==t v a 基本上未超过25g.1.80s 内实验车跑的距离为)(m 40080.13600210160023=⨯⨯⨯==t v s1-6 (1)设第一块石头扔出后t 秒未被第二块击中,则2021gt t v h -= 代入已知数得28.9211511t t ⨯-=解此方程,可得二解为s 22.1s,84.111='=t t第一块石头上升到顶点所用的时间为s 53.18.9/15/10===g v t m由于m t t >1,这对应于第一块石头回落时与第二块相碰;又由于m t t <'1这对应于第一块石头上升时被第二块赶上击中.以20v 和'20v 分别对应于在t 1和'1t 时刻两石块相碰时第二石块的初速度,则由于2111120)(21)(t t g t t v h ∆∆---= 所以184.1)184.1(8.92111)(2121121120--⨯⨯+=∆-∆-+=t t t t g h v m /s 2.17=同理.122.1)122.1(8.92111)(2121121120--⨯⨯+=-'-'+='t t t t g h v ∆∆ m/s)(1.51=(2) 由于'>=123.1t s t ∆,所以第二石块不可能在第一块上升时与第一块相碰.对应于t 1时刻相碰,第二块的初速度为3.184.1)3.184.1(8.92111)(2122122120--⨯⨯+=--+="t t t t g h v ∆∆ m/s)(0.23=1-7 以l 表示从船到定滑轮的绳长,则t l v d /d 0-=.由图可知22h l s -=于是得船的速度为02222d d d d v s h s t l h l lts v +-=-==负号表示船在水面上向岸靠近. 船的加速度为3202022d d d d d d s v h tl v h l ll t v a -=⎥⎥⎦⎤⎢⎢⎣⎡⎪⎪⎭⎫ ⎝⎛--== 负号表示a 的方向指向岸边,因而船向岸边加速运动.1-8 所求位数为522422221048.9601.0)106(44⨯=⨯⨯⨯==ππωg r n g r1-9 物体A 下降的加速度(如图所示)为222m/s 2.024.022=⨯==t h a 此加速度也等于轮缘上一点在s 3='t 时的切向加速度,即)m/s (2.02='t a在s 3='t 时的法向加速度为)m/s (36.00.1)32.0()(2222=⨯='='=R t a R v a t n1-10 2m /s 2.1=a ,s 5.00=t ,m 5.10=h .如图所示,相对南面,小球开始下落时,它和电梯的速度为m/s)(6.05.02.100=⨯==at v以t 表示此后小球落至底板所需时间,则在这段时间内,小球下落的距离为2021gt t v h +=电梯下降的距离为习题1-9图 习题1-10图2021at t v h +='又20)(21t a g h h h -='-= 由此得s 59.02.18.95.1220=-⨯=-=a g h t而小球相对地面下落的距离为2021gt t v h += 259.08.92159.06.0⨯⨯+⨯= m 06.2= 1-11 人地风人风地v v v+=画出速度矢量合成图(a)又人地风人风地02v v v +'=,速度矢量合成如图(b )两图中风地v应是同一矢量.可知(a )图必是底角为︒45的等腰直角三角形,所以,风向应为西北风,风速为人地人地风地00245cos v v v =︒=)s m (23.41-⋅=1-12 (1) v LvL t 22==(2) 22212u v vLu v L u v L t t t -=++-=+= 1212-⎥⎥⎦⎤⎢⎢⎣⎡⎪⎭⎫ ⎝⎛-=v u v L(3) v Lv L t t t '+'=+=21,如图所示风速u 由东向西,由速度合成可得飞机对地速度v u v +=',则22u v V -='.习题1-12图习题1-11图2221222⎪⎭⎫⎝⎛-=--='=v u v L uv L v L t 证毕1-13 (1)设船相对岸的速度为V '(如图所示),由速度合成得V u V +='V 的大小由图1.7示可得αβcos cos u V V +'=即332323cos cos -=⨯-=-='αβu V V 而1212sin sin =⨯=='αβu V 船达到B 点所需时间)s (1000sin =='='=D V DV OB t βAB 两点之距βββsin cos D Dctg S == 将式(1)、(2)代入可得m)(1268)33(=-=D S(2) 由αβsin 101sin 3u V D t ⨯='=船到对岸所需最短时间由极值条件决定0cos sin 11d d 2=⎪⎭⎫⎝⎛-=αααu t 即 2/,0c o s παα==故船头应与岸垂直,航时最短.将α值代入(3)式得最短航时为s)(500105.021012/sin 101333m in=⨯=⨯=⨯=s u t π (3) 设l OB =,则ααββsin cos 2sin sin 22u uV V u D V D V D l -+=''==欲使l 最短,应满足极值条件.习题1-13图a a uV V u u D l '⎢⎢⎣⎡''-+-='cos sin cos 2d d 22αα 0cos 2sin sin 2222=⎥⎦⎤'-+''+αuV V u a a uV 简化后可得01cos cos 222=+'+-'αuVV u a即 01cos 613cos 2=+'-'αa 解此方程得32cos ='α︒=='-2.4832cos 1α 故船头与岸成︒2.48,则航距最短.将α'值代入(4)式得最小航程为222222m in 321232322321000cos 1cos 2⎪⎭⎫ ⎝⎛-⨯⨯⨯-+='-'-+-=ααu uv v u D lkm)(5.1m 105.13=⨯= AB 两点最短距离为km)(12.115.122min min =-=-=D l S第二章 质点动力学2-1 (1)对木箱,由牛顿第二定律,在木箱将要被推动的情况下如图所示,x 向:0cos m ax m in =-f F θ y 向:0sin m in =--Mg F N θ 还有 N f s m ax μ=解以上三式可得要推动木箱所需力F 的最小值为θμθμsin cos s s min -=MgF习题2-1图在木箱做匀速运动情况下,如上类似分析可得所需力F 的大小为θμθμsin cos k k min -=MgF(2)在上面m in F 的表示式中,如果0sin cos s →-θμθ,则∞→m in F ,这意味着用任何有限大小的力都不可能推动木箱,不能推动木箱的条件是0sin cos s ≤-θμθ由此得θ的最小值为s1arctanμθ=2-2 (1)对小球,由牛顿第二定律x 向:ma N T =-θθsin cosy 向:0cos sin =-+mg N T θθ 联立解此二式,可得N)(32.3)30sin 8.930cos 2(5.0)sin cos (=︒+︒⨯⨯=+=ααg a m T N)(74.3)30sin 230cos 8.9(5.0)sin cos (=︒-︒⨯⨯=+=ααa g m N由牛顿第三定律,小球对斜面的压力N)(74.3=='N N(2)小球刚要脱离斜面时N =0,则上面牛顿第二定律方程为mg T ma T ==θθsin ,cos由此二式可解得2m/s 0.1730tan /8.9tan /=︒==θg a2-3 要使物体A 与小车间无相对滑动,三物体必有同一加速度a ,且挂吊B 的绳应向后倾斜。
习题解答 习题一1-1 |r ∆|与r ∆ 有无不同?t d d r 和t d d r 有无不同? t d d v 和td d v 有无不同?其不同在哪里?试举例说明.解:(1)r ∆是位移的模,∆r 是位矢的模的增量,即r ∆12r r -=,12r r r ϖϖ-=∆;(2)t d d r 是速度的模,即t d d r ==v ts d d . trd d 只是速度在径向上的分量. ∵有r r ˆr =(式中r ˆ叫做单位矢),则tˆr ˆt r t d d d d d d rrr += 式中trd d 就是速度径向上的分量, ∴tr t d d d d 与r 不同如题1-1图所示.题1-1图(3)t d d v 表示加速度的模,即t v a d d ϖϖ=,tv d d 是加速度a 在切向上的分量.∵有ττϖϖ(v =v 表轨道节线方向单位矢),所以tvt v t v d d d d d d ττϖϖϖ+= 式中dt dv就是加速度的切向分量. (tt r d ˆd d ˆd τϖϖΘ与的运算较复杂,超出教材规定,故不予讨论) 1-2 设质点的运动方程为x =x (t ),y =y (t ),在计算质点的速度和加速度时,有人先求出r =22y x +,然后根据v =tr d d ,及a =22d d t r 而求得结果;又有人先计算速度和加速度的分量,再合成求得结果,即v =22d d d d ⎪⎭⎫⎝⎛+⎪⎭⎫ ⎝⎛t y t x 及a =222222d d d d ⎪⎪⎭⎫ ⎝⎛+⎪⎪⎭⎫ ⎝⎛t y t x 你认为两种方法哪一种正确?为什么?两者差别何在?解:后一种方法正确.因为速度与加速度都是矢量,在平面直角坐标系中,有j y i x r ϖϖϖ+=,jty i t x t r a jty i t x t r v ϖϖϖϖϖϖϖϖ222222d d d d d d d d d d d d +==+==∴ 故它们的模即为222222222222d d d d d d d d ⎪⎪⎭⎫⎝⎛+⎪⎪⎭⎫ ⎝⎛=+=⎪⎭⎫⎝⎛+⎪⎭⎫ ⎝⎛=+=t y t x a a a t y t x v v v yxyx而前一种方法的错误可能有两点,其一是概念上的错误,即误把速度、加速度定义作22d d d d tr a trv ==其二,可能是将22d d d d t r t r 与误作速度与加速度的模。
习题十三13-1 衍射的本质是什么?衍射和干涉有什么联系和区别?答:波的衍射现象是波在传播过程中经过障碍物边缘或孔隙时所发生的展衍现象.其实质是由被障碍物或孔隙的边缘限制的波阵面上各点发出的无数子波相互叠加而产生.而干涉则是由同频率、同方向及位相差恒定的两列波的叠加形成.13-2 在夫琅禾费单缝衍射实验中,如果把单缝沿透镜光轴方向平移时,衍射图样是否会 跟着移动?若把单缝沿垂直于光轴方向平移时,衍射图样是否会跟着移动?答:把单缝沿透镜光轴方向平移时,衍射图样不会跟着移动.单缝沿垂直于光轴方向平移时,衍射图样不会跟着移动.13-3 什么叫半波带?单缝衍射中怎样划分半波带?对应于单缝衍射第3级明条纹和第4级暗 条纹,单缝处波面各可分成几个半波带?答:半波带由单缝A 、B 首尾两点向ϕ方向发出的衍射线的光程差用2λ来划分.对应于第3级明纹和第4级暗纹,单缝处波面可分成7个和8个半波带. ∵由272)132(2)12(sin λλλϕ⨯=+⨯=+=k a13-4 在单缝衍射中,为什么衍射角ϕ愈大(级数愈大)的那些明条纹的亮度愈小?答:因为衍射角ϕ愈大则ϕsin a 值愈大,分成的半波带数愈多,每个半波带透过的光通量就愈小,而明条纹的亮度是由一个半波带的光能量决定的,所以亮度减小.13-5 若把单缝衍射实验装置全部浸入水中时,衍射图样将发生怎样的变化?如果此时用公式),2,1(2)12(sin Λ=+±=k k a λϕ来测定光的波长,问测出的波长是光在空气中的还是在水中的波长?解:当全部装置浸入水中时,由于水中波长变短,对应='='λϕk a sin n k λ,而空气中为λϕk a =sin ,∴ϕϕ'=sin sin n ,即ϕϕ'=n ,水中同级衍射角变小,条纹变密.如用)12(sin +±=k a ϕ2λ),2,1(⋅⋅⋅=k 来测光的波长,则应是光在水中的波长.(因ϕsin a 只代表光在水中的波程差).13-6 在单缝夫琅禾费衍射中,改变下列条件,衍射条纹有何变化?(1)缝宽变窄;(2)入 射光波长变长;(3)入射平行光由正入射变为斜入射.解:(1)缝宽变窄,由λϕk a =sin 知,衍射角ϕ变大,条纹变稀;(2)λ变大,保持a ,k 不变,则衍射角ϕ亦变大,条纹变稀;(3)由正入射变为斜入射时,因正入射时λϕk a =sin ;斜入射时,λθϕk a '=-)sin (sin ,保持a ,λ不变,则应有k k >'或k k <'.即原来的k 级条纹现为k '级.13-7 单缝衍射暗条纹条件与双缝干涉明条纹的条件在形式上类似,两者是否矛盾?怎样说明?答:不矛盾.单缝衍射暗纹条件为k k a 2sin ==λϕ2λ,是用半波带法分析(子波叠加问题).相邻两半波带上对应点向ϕ方向发出的光波在屏上会聚点一一相消,而半波带为偶数,故形成暗纹;而双缝干涉明纹条件为λθk d =sin ,描述的是两路相干波叠加问题,其波程差为波长的整数倍,相干加强为明纹.13-8 光栅衍射与单缝衍射有何区别?为何光栅衍射的明条纹特别明亮而暗区很宽?答:光栅衍射是多光束干涉和单缝衍射的总效果.其明条纹主要取决于多光束干涉.光强与缝数2N 成正比,所以明纹很亮;又因为在相邻明纹间有)1(-N 个暗纹,而一般很大,故实际上在两相邻明纹间形成一片黑暗背景.13-9 试指出当衍射光栅的光栅常数为下述三种情况时,哪些级次的衍射明条纹缺级?(1) a+b=2a;(2)a+b=3a;(3)a+b=4a.解:由光栅明纹条件和单缝衍射暗纹条件同时满足时,出现缺级.即 可知,当k a b a k '+=时明纹缺级.(1)a b a 2=+时,⋅⋅⋅=,6,4,2k 偶数级缺级;(2)a b a 3=+时,⋅⋅⋅=,9,6,3k 级次缺级;(3)a b a 4=+,⋅⋅⋅=,12,8,4k 级次缺级.13-10 若以白光垂直入射光栅,不同波长的光将会有不同的衍射角.问(1)零级明条纹能 否分开不同波长的光?(2)在可见光中哪种颜色的光衍射角最大?不同波长的光分开程度与什 么因素有关?解:(1)零级明纹不会分开不同波长的光.因为各种波长的光在零级明纹处均各自相干加强.(2)可见光中红光的衍射角最大,因为由λϕk b a =+sin )(,对同一k 值,衍射角λϕ∞. 13-11 一单色平行光垂直照射一单缝,若其第三级明条纹位置正好与6000οA 的单色平行光的第二级明条纹位置重合,求前一种单色光的波长. 解:单缝衍射的明纹公式为当6000=λoA 时,2=k x λλ=时,3=k重合时ϕ角相同,所以有得 4286600075=⨯=x λoA 13-12 单缝宽0.10mm ,透镜焦距为50cm ,用5000=λoA 的绿光垂直照射单缝.求:(1)位于透镜焦平面处的屏幕上中央明条纹的宽度和半角宽度各为多少?(2)若把此装置浸入水中(n=1.33),中央明条纹的半角宽度又为多少?解:中央明纹的宽度为f na x λ2=∆ 半角宽度为na λθ1sin -=(1)空气中,1=n ,所以(2)浸入水中,33.1=n ,所以有13-13 用橙黄色的平行光垂直照射一宽为a=0.60mm 的单缝,缝后凸透镜的焦距f=40.0cm ,观察屏幕上形成的衍射条纹.若屏上离中央明条纹中心1.40mm 处的P 点为一明条纹;求:(1)入射光的波长;(2)P 点处条纹的级数;(3)从P 点看,对该光波而言,狭缝处的波面可分成几个半波带?解:(1)由于P 点是明纹,故有2)12(sin λϕ+=k a ,⋅⋅⋅=3,2,1k 由ϕϕsin tan 105.34004.13≈=⨯==-f x 故3105.3126.0212sin 2-⨯⨯+⨯=+=k k a ϕλ 当 3=k ,得60003=λoA 4=k ,得47004=λoA (2)若60003=λoA ,则P 点是第3级明纹;若47004=λoA ,则P 点是第4级明纹. (3)由2)12(sin λϕ+=k a 可知,当3=k 时,单缝处的波面可分成712=+k 个半波带;当4=k 时,单缝处的波面可分成912=+k 个半波带.13-14 用5900=λoA 的钠黄光垂直入射到每毫米有500条刻痕的光栅上,问最多能看到第几级明条纹? 解:5001=+b a mm 3100.2-⨯=mm 4100.2-⨯=o A由λϕk b a =+sin )(知,最多见到的条纹级数m ax k 对应的2πϕ=, 所以有39.35900100.24max ≈⨯=+=λba k ,即实际见到的最高级次为3max =k .13-15 波长为5000oA 的平行单色光垂直照射到每毫米有200条刻痕的光栅上,光栅后的透镜焦距为60cm . 求:(1)屏幕上中央明条纹与第一级明条纹的间距;(2)当光线与光栅法线成 30°斜入射时,中央明条纹的位移为多少? 解:3100.52001-⨯==+b a mm 6100.5-⨯m(1)由光栅衍射明纹公式λϕk b a =+sin )(,因1=k ,又f x ==ϕϕtan sin所以有λ=+f x b a 1)(即 62101100.51060105000---⨯⨯⨯⨯=+=b a fx λ (2)对应中央明纹,有0=k正入射时,0sin )(=+ϕb a ,所以0sin =≈ϕϕ斜入射时,0)sin )(sin (=±+θϕb a ,即0sin sin =±θϕ因︒=30θ,∴21tan sin ±==≈f x ϕϕ故22103010602121--⨯=⨯⨯==f x m 30=cm这就是中央明条纹的位移值.13-16 波长6000=λo A 的单色光垂直入射到一光栅上,第二、第三级明条纹分别出现在20.0sin =ϕ与30.0sin =ϕ处,第四级缺级.求:(1)光栅常数;(2)光栅上狭缝的宽度;(3)在90°>ϕ>-90°范围内,实际呈现的全部级数.解:(1)由λϕk b a =+sin )(式对应于20.0sin 1=ϕ与30.0sin 2=ϕ处满足:得 6100.6-⨯=+b a m(2)因第四级缺级,故此须同时满足解得 k k b a a '⨯='+=-6105.14取1='k ,得光栅狭缝的最小宽度为6105.1-⨯m (3)由λϕk b a =+sin )( 当2πϕ=,对应max k k =∴ 10106000100.6106max =⨯⨯=+=--λba k因4±,8±缺级,所以在︒︒<<-9090ϕ范围内实际呈现的全部级数为9,7,6,5,3,2,1,0±±±±±±±=k 共15条明条纹(10±=k 在︒±=90k 处看不到).13-17 一双缝,两缝间距为0.1mm ,每缝宽为0.02mm ,用波长为4800oA 的平行单色光垂直入射双缝,双缝后放一焦距为50cm 的透镜.试求:(1)透镜焦平面上单缝衍射中央明条纹的宽度;(2)单缝衍射的中央明条纹包迹内有多少条双缝衍射明条纹?解:(1)中央明纹宽度为(2)由缺级条件知即⋅⋅⋅=,15,10,5k 缺级.中央明纹的边缘对应1='k ,所以单缝衍射的中央明纹包迹内有4,3,2,1,0±±±±=k 共9条双缝衍射明条纹.13-18 在夫琅禾费圆孔衍射中,设圆孔半径为0.10mm ,透镜焦距为50cm ,所用单色光波长为5000oA ,求在透镜焦平面处屏幕上呈现的爱里斑半径. 解:由爱里斑的半角宽度∴ 爱里斑半径5.1105.30500tan 24=⨯⨯=≈=-θθf f d mm 13-19 已知天空中两颗星相对于一望远镜的角距离为4.84×10-6rad ,它们都发出波长为5500oA 的光,试问望远镜的口径至少要多大,才能分辨出这两颗星? 解:由最小分辨角公式∴86.131084.4105.522.122.165=⨯⨯⨯==--θλD cm 13-20 已知入射的X 射线束含有从0.95~1.30oA 范围内的各种波长,晶体的晶格常数为2.75oA ,当X 射线以45°角入射到晶体时,问对哪些波长的X 射线能产生强反射? 解:由布喇格公式 λϕk d =sin 2 得k d ϕλsin 2=时满足干涉相长当1=k 时, 89.345sin 75.22=⨯⨯=︒λoA 2=k 时,91.1245sin 75.22=⨯⨯=︒λo A3=k 时,30.1389.3==λo A4=k 时, 97.0489.3==λo A故只有30.13=λo A 和97.04=λo A 的X 射线能产生强反射.。
6-10 题6-10图(a)是氢和氧在同一温度下的两条麦克斯韦速率分布曲线,哪一条代表氢?题6-10图(b)是某种气体在不同温度下的两条麦克斯韦速率分布曲线,哪一条的温度较高?答:图(a)中(1)表示氧,(2)表示氢;图(b)中(2)温度高.题6-10图6-16 如果氢和氦的摩尔数和温度相同,则下列各量是否相等,为什么?(1)分子的平均平动动能;(2)分子的平动动能;(3)内能.解:(1)相等,分子的平均平动动能都为kT 23. (2)不相等,因为氢分子的平均动能kT 25,氦分子的平均动能kT 23. (3)不相等,因为氢分子的内能RT 25υ,氦分子的内能RT 23υ. 6-21 1mol 氢气,在温度为27℃时,它的平动动能、转动动能和内能各是多少? 解:理想气体分子的能量 RT i E 2υ= 平动动能 3=t 5.373930031.823=⨯⨯=t E J 转动动能 2=r 249330031.822=⨯⨯=r E J 内能5=i 5.623230031.825=⨯⨯=i E J 6-24 (1)求氮气在标准状态下的平均碰撞频率;(2)若温度不变,气压降到1.33×10-4Pa ,平均碰撞频率又为多少(设分子有效直径10-10 m)?解:(1)碰撞频率公式v n d z 22π=对于理想气体有nkT p =,即kTp n = 所以有 kT pv d z 22π= 而 mol60.1M RT v ≈ 43.4552827331.860.1=⨯≈v 1s m -⋅ 氮气在标准状态下的平均碰撞频率805201044.52731038.110013.143.455102⨯=⨯⨯⨯⨯⨯⨯=-πz 1s - 气压下降后的平均碰撞频率123420s 714.02731038.11033.143.455102----=⨯⨯⨯⨯⨯⨯=πz。
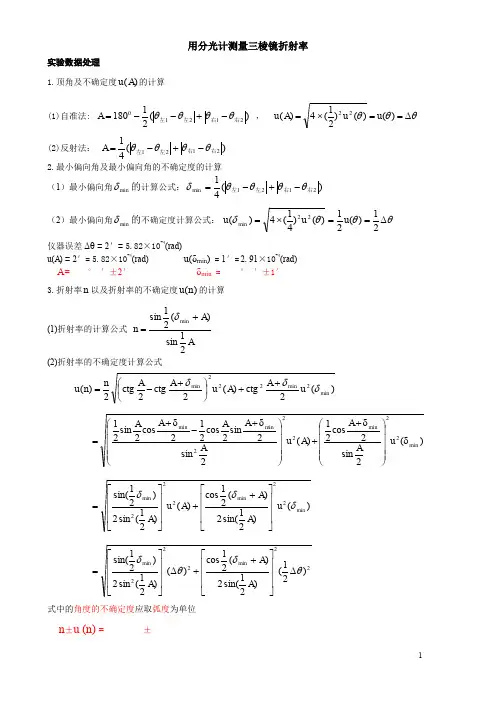
用分光计测量三棱镜折射率实验数据处理1.顶角及不确定度)(A u 的计算(1)自准法: )(2118021210右右左左θθθθ-+--=A , θθθ∆==⨯=)()()21(4)(22u u A u (2)反射法: )(412121右右左左θθθθ-+-=A 2.最小偏向角及最小偏向角的不确定度的计算 (1)最小偏向角min δ的计算公式:)(412121min 右右左左θθθθδ-+-= (2)最小偏向角min δ的不确定度计算公式: θθθδ∆==⨯=21)(21)()41(4)(22min u u u 仪器误差Δθ = 2′= 5.82×10-4(rad)u (A ) = 2′= 5.82×10-4(rad) u (δmin ) = 1′= 2.91×10-4(rad)A = ° ′±2′ δmin = ° ′±1′3.折射率n 以及折射率的不确定度)(n u 的计算(1)折射率的计算公式 A A n 21sin )(21sin min +=δ (2)折射率的不确定度计算公式)(2)(222)(min 2min 222min δδδu A ctg A u A ctg A ctg n n u ++⎪⎭⎫ ⎝⎛+-= )(2sin 2cos 21)(2sin 2sin 2cos 212cos 2sin 21min 22min 222min min δ⎪⎪⎪⎪⎭⎫ ⎝⎛δ++⎪⎪⎪⎪⎭⎫ ⎝⎛δ+-δ+=u A A A u A A A A A )()21sin(2)(21cos )()21(sin 2)21sin(min 22min 222min δδδu A A A u A ⎥⎥⎥⎦⎤⎢⎢⎢⎣⎡++⎥⎥⎥⎦⎤⎢⎢⎢⎣⎡= 22min 222min )21()21sin(2)(21cos )()21(sin 2)21sin(θδθδ∆⎥⎥⎥⎦⎤⎢⎢⎢⎣⎡++∆⎥⎥⎥⎦⎤⎢⎢⎢⎣⎡=A A A 式中的角度的不确定度应取弧度为单位 n ±u (n ) = ±思考题及参考答案1.望远镜光轴与分光计的中心轴相垂直,应该在望远镜中看到什么现象?利用哪些螺钉调节?光学平行平板或三棱镜两个光学面反射的十字像,都能与望远镜分划板叉丝刻线上交点重合。
大学物理实验课程设计实验报告姓名:郑友行学号:10211388 班级:309重力加速度的测定一、实验任务:精确测定北京地区的重力加速度二、实验要求:测量结果的相对不确定度不超过5%三、物理模型的建立及比较初步确定有以下六种模型方案:方法一、用打点计时器测量所用仪器为:打点计时器、直尺、带钱夹的铁架台、纸带、夹子、重物、学生电源等. 利用自由落体原理使重物做自由落体运动.选择理想纸带,找出起始点0,数出时间为t的P点,用米尺测出OP的距离为h,其中t=0.02秒×两点间隔数.由公式h=gt2/2得g=2h/t2,将所测代入即可求得g.方法二、用滴水法测重力加速度调节水龙头阀门,使水滴按相等时间滴下,用秒表测出n个(n取50—100)水滴所用时间t,则每两水滴相隔时间为t′=t/n,用米尺测出水滴下落距离h,由公式h=gt′2/2可得g=2hn2/t2.方法三、取半径为R的玻璃杯,内装适当的液体,固定在旋转台上.旋转台绕其对称轴以角速度ω匀速旋转,这时液体相对于玻璃杯的形状为旋转抛物面重力加速度的计算公式推导如下:取液面上任一液元A,它距转轴为x,质量为m,受重力mg、弹力N.由动力学知:Ncosα-mg=0(1)Nsinα=mω2x(2)两式相比得tgα=ω2x/g,又tgα=dy/dx,∴dy=ω2xdx/g,∴y/x=ω2x/2g.∴g=ω2x2/2y. .将某点对于对称轴和垂直于对称轴最低点的直角坐标系的坐标x、y测出,将转台转速ω代入即可求得g.方法四、光电控制计时法调节水龙头阀门,使水滴按相等时间滴下,用秒表测出n个(n取50—100)水滴所用时间t,则每两水滴相隔时间为t′=t/n,用米尺测出水滴下落距离h,由公式h=gt′2/2可得g=2hn2/t2.方法五、用圆锥摆测量所用仪器为:米尺、秒表、单摆. 使单摆的摆锤在水平面内作匀速圆周运动,用直尺测量出h(见图1),用秒表测出摆锥n转所用的时间t,则摆锥角速度ω=2πn/t 摆锥作匀速圆周运动的向心力F=mgtgθ,而tgθ=r/h所以mgtgθ=mω2r由以上几式得:g=4π2n2h/t2. 将所测的n、t、h代入即可求得g值.方法六、单摆法测量重力加速度在摆角很小时,摆动周期为:则通过对以上六种方法的比较,本想尝试利用光电控制计时法来测量,但因为实验室器材不全,故该方法无法进行;对其他几种方法反复比较,用单摆法测量重力加速度原理、方法都比较简单且最熟悉,仪器在实验室也很齐全,故利用该方法来测最为顺利,从而可以得到更为精确的值。
大学物理实验模拟试题一一、填空题(总分42分,每空1分)1. 测量结果的有效数字的位数由 和 共同决定。
2. 50分度的游标卡尺,其仪器误差为 。
3. 量程为10mA 电流表,其等级为1.0,当读数为6. 5mA 时,它的最大误差为 。
4. 不确定度 表示 。
5. lg35.4= 。
6. 在分光计实验中,望远镜的调节用的是 法。
7. S 是表示多次测量中每次测量值的 程度,它随测量次数n 的增加变化很 ,NS 表示 偏离真值的多少,它随测量次数n 的增加变化很 。
8. 在杨氏模量实验中,若望远镜的叉丝不清楚,应调节望远镜 的焦距,若观察到的标尺像不清楚则应调节望远镜 的焦距。
钢丝的伸长量用 法来测定。
9. 计算标准偏差我们用 法,其计算公式为 。
10.表示测量数据离散程度的是 精密度 ,它属于 偶然 误差,用误差(偏差)来描述它比较合适。
11.用20分度的游标卡尺测长度,刚好为15mm,应记为 mm 。
12.根据获得测量结果的不同方法,测量可分为 测量和 测量;根据测量的条件不同,可分为 测量和 测量。
13.电势差计实验中,热电偶的电动势与温差的关系为 关系,可用法、 法和 法来求得经验方程。
14.789.30×50÷0.100= 。
15.10.1÷4.178= 。
16.2252= 。
17.用分光仪测得一角度为300,分光仪的最小分度为1,,测量的结果为 。
18.对于连续读数的仪器,如米尺、螺旋测微计等,就以 作为仪器误差。
19.分光计测角度时由于度盘偏心引起的测量角度误差按正弦规律变化,这是 误差。
20.在示波器内部,同步、扫描系统的功能是获得 电压信号,这种电压信号加在 偏转板上,可使光点匀速地沿X 方向从左向右作周期性运动。
21.系统误差有 确定性 的特点,偶然误差有 随机性 的特点。
22.在测量结果的数字表示中,由若干位可靠数字加上 位可疑数字,便组成了有效数字。
大学物理实验模拟试题六一. 选择题(30分,任选10题,每题3分)1. 用0.02mm 的游标卡尺测量约36mm 的物体长度,下面读数正确的是( )A: 36.08mm; B: 36.080mm; C: 36.07mm; D: 36.008mm.2. 杨氏模量实验中测量x ∆时,用加、减砝码各测一次的方法,目的是 ( )A: 消除随机误差; B: 增加测量次数; C: 无意义;D: 减小或消除一些系统误差。
3. 电位差计测量电动势的基本方法是 ( )A: 比较法; B: 补偿法; C: 模拟法; D: 伏安法。
4. 在分光计的调节中,调节望远镜聚焦于无穷远所用的方法是 ( )A: 干涉法; B: 二分之一逼近法; C: 自准直法; D: 反射法。
5. 用伏安法测量1000欧姆的电阻,所用测量线路应是 ( )A: 内接法; B: 外接法;C: 内、外接法都可以; D: 内、外接法都不可以。
6. 用示波器观察李萨如图形,当图形不稳定时,应该调节 ( )A: f x 、f y 其中任意一个; B: 电平旋钮; C: 锯齿波的频率; D: 聚焦旋钮。
7.不确定度x = x ±x ∆的含义是 ( )A: x = x +x ∆;B: x = x -x ∆;C: x 的值以一定的概率落在x +x ∆和x -x ∆之间; D: x 的值一定落在x +x ∆和x -x ∆之间。
8.测量约6Ω(功率1W )的电阻,且使误差小于2.5%,应该选择 ( ) A: 2.5级量程3V 的电压表,1.0级量程0.5A 的电流表; B: 0.5级量程3V 的电压表,0.5级量程10mA 的电流表;C: 1.0级量程3V 的电压表,1.0级量程0.5A 的电流表; D: 1.0级量程3V 的电压表,1.0级量程1A 的电流表。
9.测量约10mm 长度的规则物体的长度,单次测量使误差在千分之几毫米,应选择的测量工具是 ( ) A: 米尺; B: 游标卡尺; C: 千分尺;D: 以上三种工具都不可以。
习题99.1选择题(1)正方形的两对角线处各放置电荷Q,另两对角线各放置电荷q,若Q所受到合力为零,则Q与q的关系为:()(A)Q=-23/2q (B) Q=23/2q (C) Q=-2q (D) Q=2q[答案:A](2)下面说法正确的是:()(A)若高斯面上的电场强度处处为零,则该面内必定没有净电荷;(B)若高斯面内没有电荷,则该面上的电场强度必定处处为零;(C)若高斯面上的电场强度处处不为零,则该面内必定有电荷;(D)若高斯面内有电荷,则该面上的电场强度必定处处不为零。
[答案:A](3)一半径为R的导体球表面的面点荷密度为σ,则在距球面R处的电场强度()(A)σ/ε0 (B)σ/2ε0 (C)σ/4ε0 (D)σ/8ε0[答案:C](4)在电场中的导体内部的()(A)电场和电势均为零;(B)电场不为零,电势均为零;(C)电势和表面电势相等;(D)电势低于表面电势。
[答案:C]9.2填空题(1) 在静电场中,电势梯度不变的区域,电场强度必定为。
[答案:恒矢量](2) 一个点电荷q 放在立方体中心,则穿过某一表面的电通量为 ,若将点电荷由中心向外移动至无限远,则总通量将 。
[答案:q/6ε0, 为零](3) 电介质在电容器中作用(a )——(b )——。
[答案:(a)提高电容器的容量;(b) 延长电容器的使用寿命](4) 电量Q 均匀分布在半径为R 的球体内,则球内球外的静电能之比 。
[答案:1:5]9.3 电量都是q 的三个点电荷,分别放在正三角形的三个顶点.试问:(1)在这三角形的中心放一个什么样的电荷,就可以使这四个电荷都达到平衡(即每个电荷受其他三个电荷的库仑力之和都为零)?(2)这种平衡与三角形的边长有无关系? 解: 如题9.3图示(1) 以A 处点电荷为研究对象,由力平衡知:q '为负电荷2220)33(π4130cos π412a q q a q '=︒εε解得 q q 33-='(2)与三角形边长无关.题9.3图 题9.4图9.4 两小球的质量都是m ,都用长为l 的细绳挂在同一点,它们带有相同电量,静止时两线夹角为2θ3,如题9.4图所示.设小球的半径和线的质量都可以忽略不计,求每个小球所带的电量.解: 如题9.4图示⎪⎩⎪⎨⎧===220)sin 2(π41sin cos θεθθl q F T mg T e解得 θπεθtan 4sin 20mg l q = 9.5 根据点电荷场强公式204rq E πε=,当被考察的场点距源点电荷很近(r →0)时,则场强→∞,这是没有物理意义的,对此应如何理解?解: 020π4r r q Eε=仅对点电荷成立,当0→r 时,带电体不能再视为点电荷,再用上式求场强是错误的,实际带电体有一定形状大小,考虑电荷在带电体上的分布求出的场强不会是无限大.9.6 在真空中有A ,B 两平行板,相对距离为d ,板面积为S ,其带电量分别为+q 和-q .则这两板之间有相互作用力f ,有人说f =2024d q πε,又有人说,因为f =qE ,SqE 0ε=,所以f =Sq 02ε.试问这两种说法对吗?为什么? f 到底应等于多少?解: 题中的两种说法均不对.第一种说法中把两带电板视为点电荷是不对的; 第二种说法把合场强SqE 0ε=看成是一个带电板在另一带电板处的场强也是不对的. 正确解答应为一个板的电场为S qE 02ε=,另一板受它的作用力Sq S qq f 02022εε==,这是两板间相互作用的电场力.9.7 长l =15.0cm 的直导线AB 上均匀地分布着线密度λ=5.0x10-9 C/m 的正电荷.试求:(1)在导线的延长线上与导线B 端相距1a =5.0cm 处P 点的场强;(2)在导线的垂直平分线上与导线中点相距2d =5.0cm 处Q 点的场强. 解: 如题9.7图所示(1) 在带电直线上取线元x d ,其上电量q d 在P 点产生场强为20)(d π41d x a xE P -=λε 222)(d π4d x a xE E l l P P -==⎰⎰-ελ题9.7图]2121[π40l a l a +--=ελ)4(π220l a l-=ελ用15=l cm ,9100.5-⨯=λ1m C -⋅, 5.12=a cm 代入得21074.6⨯=P E 1C N -⋅ 方向水平向右(2)同理 2220d d π41d +=x xE Q λε 方向如题9.7图所示由于对称性⎰=lQxE 0d ,即Q E只有y 分量,∵ 22222220d d d d π41d ++=x x x E Qyλε22π4d d ελ⎰==lQyQy E E ⎰-+2223222)d (d l l x x220222π4d l dε=+以9100.5-⨯=λ1cm C -⋅, 15=l cm ,5d 2=cm 代入得21096.14⨯==Qy Q E E 1C N -⋅,方向沿y 轴正向9.8 一个半径为R 的均匀带电半圆环,电荷线密度为λ,求环心处O 点的场强. 解: 如图在圆上取ϕRd dl =ϕλλd d d R l q ==,它在O 点产生场强大小为 20π4d d R R E εϕλ=方向沿半径向外则 ϕϕελϕd sin π4sin d d 0R E E x == ϕϕελϕπd cos π4)cos(d d 0RE E y -=-=积分R R E x 000π2d sin π4ελϕϕελπ==⎰0d cos π400=-=⎰ϕϕελπRE y ∴ RE E x 0π2ελ==,方向沿x 轴正向.9.9 均匀带电的细线弯成正方形,边长为l ,总电量为q .(1)求这正方形轴线上离中心为r 处的场强E ;(2)证明:在l r >>处,它相当于点电荷q 产生的场强E . 解: 正方形一条边上电荷4q在P 点产生物强P Ed 方向如图,大小为()4π4cos cos d 22021l r E P +-=εθθλ∵ 1222cos 2l l r θ=+12cos cos θθ-=∴ 24π4d 22220l r l l r E P ++=ελP Ed 在垂直于平面上的分量βcos d d P E E =⊥∴ 424π4d 2222220l r rl r l r lE +++=⊥ελ由于对称性,P 点场强沿OP 方向,大小为2)4(π44d 422220l r l r lrE E P ++=⨯=⊥ελ∵ lq 4=λ ∴ 2)4(π422220l r l r qrE P ++=ε 方向沿OP9.10 (1)点电荷q 位于一边长为a 的立方体中心,试求在该点电荷电场中穿过立方体的一个面的电通量;(2)如果该场源点电荷移动到该立方体的一个顶点上,这时穿过立方体各面的电通量是多少?解: (1)由高斯定理0d εqS E s⎰=⋅立方体六个面,当q 在立方体中心时,每个面上电通量相等 ∴ 各面电通量06εqe =Φ. (2)电荷在顶点时,将立方体延伸为边长a 2的立方体,使q 处于边长a 2的立方体中心,则边长a 2的正方形上电通量06εq e =Φ 对于边长a 的正方形,如果它不包含q 所在的顶点,则024εqe =Φ, 如果它包含q 所在顶点则0=Φe .如题9.10图所示. 题9.10 图9.11 均匀带电球壳内半径6cm ,外半径10cm ,电荷体密度为2×510-C/m 3求距球心5cm ,8cm ,12cm 各点的场强. 解: 高斯定理0d ε∑⎰=⋅q S E s,02π4ε∑=q rE当5=r cm 时,0=∑q ,0=E8=r cm 时,∑q 3π4p=3(r )3内r - ∴ ()2023π43π4rr r E ερ内-=41048.3⨯≈1C N -⋅, 方向沿半径向外. 12=r cm 时,3π4∑=ρq -3(外r )内3r ∴ ()420331010.4π43π4⨯≈-=rr r E ερ内外 1C N -⋅ 沿半径向外. 9.12 半径为1R 和2R (2R >1R )的两无限长同轴圆柱面,单位长度上分别带有电量λ和-λ,试求:(1)r <1R ;(2) 1R <r <2R ;(3) r >2R 处各点的场强. 解: 高斯定理0d ε∑⎰=⋅q S E s取同轴圆柱形高斯面,侧面积rl S π2= 则rl E S E Sπ2d =⋅⎰对(1) 1R r <0,0==∑E q(2) 21R r R << λl q =∑∴ rE 0π2ελ=沿径向向外(3) 2R r >=∑q∴ 0=E题9.13图9.13 两个无限大的平行平面都均匀带电,电荷的面密度分别为1σ和2σ,试求空间各处场强. 解: 两面间, n E)(21210σσε-=1σ面外, n E)(21210σσε+-= 2σ面外, n E)(21210σσε+=n:垂直于两平面由1σ面指为2σ面.9.14 半径为R 的均匀带电球体内的电荷体密度为ρ,若在球内挖去一块半径为r <R 的小球体,如题9.14图所示.试求:两球心O 与O '点的场强,并证明小球空腔内的电场是均匀的.解: 将此带电体看作带正电ρ的均匀球与带电ρ-的均匀小球的组合,见题9.14图(a). (1) ρ+球在O 点产生电场010=E,ρ- 球在O 点产生电场'd π4π3430320OO r E ερ=∴ O 点电场'd33030r E ερ= ; (2) ρ+在O '产生电场'd π4d 3430301OO E ερπ='ρ-球在O '产生电场002='E∴ O ' 点电场 03ερ='E 'OO题9.14图(a) 题9.14图(b)(3)设空腔任一点P 相对O '的位矢为r',相对O 点位矢为r (如题8-13(b)图)则 03ερrE PO =,3ερr E O P '-=' ,∴ 0003'3)(3ερερερdOO r r E E E O P PO P=='-=+=' ∴腔内场强是均匀的.9.15 一电偶极子由q =1.0×10-6C的两个异号点电荷组成,两电荷距离d=0.2cm ,把这电偶极子放在1.0×105 N/C 的外电场中,求外电场作用于电偶极子上的最大力矩.解: ∵ 电偶极子p在外场E 中受力矩E p M⨯=∴ qlE pE M ==max 代入数字4536max 100.2100.1102100.1---⨯=⨯⨯⨯⨯⨯=M m N ⋅9.16 两点电荷1q =1.5×10-8C ,2q =3.0×10-8C ,相距1r =42cm ,要把它们之间的距离变为2r =25cm ,需作多少功?解: 22121212200d d 4π4πr r r r q q r q q W F r r εε=⋅==⎰⎰)11(21r r - 61055.6-⨯-=J外力需作的功 66.5510W W -'=-=-⨯ J题9.17图9.17 如题9.17图所示,在A ,B 两点处放有电量分别为+q ,-q 的点电荷,AB 间距离为2R ,现将另一正试验点电荷0q 从O 点经过半圆弧移到C 点,求移动过程中电场力作的功. 解:0π41ε=O U 0)(=-RqR q 014πC U ε=)3(RqR q -R q 0π6ε-= ∴ Rqq U U q A o C O 00π6)(ε=-=9.18 如题9.18图所示的绝缘细线上均匀分布着线密度为λ的正电荷,两直导线的长度和半圆环的半径都等于R .试求环中心O 点处的场强和电势.解: (1)由于电荷均匀分布与对称性,AB 和CD 段电荷在O 点产生的场强互相抵消,取θd d R l =则θλd d R q =产生O 点Ed 如图,由于对称性,O 点场强沿y 轴负方向题9.18图θεθλππcos π4d d 2220⎰⎰-==R R E E yR 0π4ελ=[)2sin(π-2sin π-]R0π2ελ-=(2) AB 电荷在O 点产生电势,以0=∞U⎰⎰===AB200012ln π4π4d π4d R R x x x x U ελελελ 同理CD 产生 2ln π402ελ=U 半圆环产生 0034π4πελελ==R R U∴ 0032142ln π2ελελ+=++=U U U U O9.19 一电子绕一带均匀电荷的长直导线以2×104 m/s 的匀速率作圆周运动.求带电直线上的线电荷密度.(电子质量0m =9.1×10-31kg ,电子电量e =1.60×10-19C) 解: 设均匀带电直线电荷密度为λ,在电子轨道处场强rE 0π2ελ=电子受力大小 re eE F e 0π2ελ== ∴ rv m r e 20π2=ελ得 1320105.12π2-⨯==emv ελ1m C -⋅9.20 空气可以承受的场强的最大值为E =30 kV/cm ,超过这个数值时空气要发生火花放电.今有一高压平行板电容器,极板间距离为d =0.5cm ,求此电容器可承受的最高电压. 解: 平行板电容器内部近似为均匀电场 4105.1d ⨯==E U V9.21 证明:对于两个无限大的平行平面带电导体板(题9.21图)来说,(1)相向的两面上,电荷的面密度总是大小相等而符号相反;(2)相背的两面上,电荷的面密度总是大小相等而符号相同.证: 如题9.21图所示,设两导体A 、B 的四个平面均匀带电的电荷面密度依次为1σ,2σ,3σ,4σ题9.21图(1)则取与平面垂直且底面分别在A 、B 内部的闭合柱面为高斯面时,有0)(d 32=∆+=⋅⎰S S E sσσ∴ +2σ03=σ说明相向两面上电荷面密度大小相等、符号相反;(2)在A 内部任取一点P ,则其场强为零,并且它是由四个均匀带电平面产生的场强叠加而成的,即0222204030201=---εσεσεσεσ 又∵ +2σ03=σ ∴ 1σ4σ=说明相背两面上电荷面密度总是大小相等,符号相同.9.22 三个平行金属板A ,B 和C 的面积都是200cm 2,A 和B 相距4.0mm ,A 与C 相距2.0 mm .B ,C 都接地,如题9.22图所示.如果使A 板带正电3.0×10-7C ,略去边缘效应,问B 板和C 板上的感应电荷各是多少?以地的电势为零,则A 板的电势是多少? 解: 如题9.22图示,令A 板左侧面电荷面密度为1σ,右侧面电荷面密度为2σ题9.22图(1)∵ AB AC U U =,即 ∴ AB AB AC AC E E d d = ∴2d d 21===ACABAB AC E E σσ且 1σ+2σSq A=得 ,32S q A =σ Sq A 321=σ 而 7110232-⨯-=-=-=A C q S q σC C10172-⨯-=-=S q B σ(2) 301103.2d d ⨯===AC AC AC A E U εσV9.23 两个半径分别为1R 和2R (1R <2R )的同心薄金属球壳,现给内球壳带电+q ,试计算:(1)外球壳上的电荷分布及电势大小;(2)先把外球壳接地,然后断开接地线重新绝缘,此时外球壳的电荷分布及电势; *(3)再使内球壳接地,此时内球壳上的电荷以及外球壳上的电势的改变量.解: (1)内球带电q +;球壳内表面带电则为q -,外表面带电为q +,且均匀分布,其电势⎰⎰∞∞==⋅=22020π4π4d d R R Rqr r q r E U εε题9.23图(2)外壳接地时,外表面电荷q +入地,外表面不带电,内表面电荷仍为q -.所以球壳电势由内球q +与内表面q -产生:0π4π42020=-=R q R q U εε(3)设此时内球壳带电量为q ';则外壳内表面带电量为q '-,外壳外表面带电量为+-q q ' (电荷守恒),此时内球壳电势为零,且0π4'π4'π4'202010=+-+-=R q q R q R q U A εεε得q R R q 21=' 外球壳上电势()22021202020π4π4'π4'π4'R qR R R q q R q R q U B εεεε-=+-+-=9.24 半径为R 的金属球离地面很远,并用导线与地相联,在与球心相距为R d 3=处有一点电荷+q ,试求:金属球上的感应电荷的电量.解: 如题9.24图所示,设金属球感应电荷为q ',则球接地时电势0=O U题9.24图由电势叠加原理有:=O U 03π4π4'00=+Rq R q εε得 -='q 3q9.25 有三个大小相同的金属小球,小球1,2带有等量同号电荷,相距甚远,其间的库仑力为0F .试求:(1)用带绝缘柄的不带电小球3先后分别接触1,2后移去,小球1,2之间的库仑力; (2)小球3依次交替接触小球1,2很多次后移去,小球1,2之间的库仑力.解: 由题意知 2020π4r q F ε=(1)小球3接触小球1后,小球3和小球1均带电2q q =', 小球3再与小球2接触后,小球2与小球3均带电q q 43=''∴ 此时小球1与小球2间相互作用力0022018348342F r πqr π"q 'q F =-=εε (2)小球3依次交替接触小球1、2很多次后,每个小球带电量均为32q. ∴ 小球1、2间的作用力00294π432322F r q q F ==ε9.26 在半径为1R 的金属球之外包有一层外半径为2R 的均匀电介质球壳,介质相对介电常数为r ε,金属球带电Q .试求: (1)电介质内、外的场强; (2)电介质层内、外的电势; (3)金属球的电势.解: 利用有介质时的高斯定理∑⎰=⋅q S D Sd(1)介质内)(21R r R <<场强303π4,π4r rQ E r r Q D r εε ==内;介质外)(2R r <场强303π4,π4r r Q E r Qr D ε ==外(2)介质外)(2R r >电势rQE U 0rπ4r d ε=⋅=⎰∞外 介质内)(21R r R <<电势2020π4)11(π4R Q R r qr εεε+-=rd r d⋅+⋅=⎰⎰∞∞rrE E U 外内)11(π420R rQr r -+=εεε(3)金属球的电势r d r d 221 ⋅+⋅=⎰⎰∞R R R E E U 外内⎰⎰∞+=22220π44πdr R R Rr r Qdrr Q εεε)11(π4210R R Qr r-+=εεε9.27 如题9.27图所示,在平行板电容器的一半容积内充入相对介电常数为r ε的电介质.试求:在有电介质部分和无电介质部分极板上自由电荷面密度的比值.解: 如题9.27图所示,充满电介质部分场强为2E ,真空部分场强为1E,自由电荷面密度分别为2σ与1σ 由∑⎰=⋅0d q S D得11σ=D ,22σ=D而 101E D ε=,202E D r εε=d21UE E == ∴r r E E εεεεσσ==102012题9.27图 题9.28图9.28 两个同轴的圆柱面,长度均为l ,半径分别为1R 和2R (2R >1R ),且l >>2R -1R ,两柱面之间充有介电常数ε的均匀电介质.当两圆柱面分别带等量异号电荷Q 和-Q 时,求: (1)在半径r 处(1R <r <2R =,厚度为dr ,长为l 的圆柱薄壳中任一点的电场能量密度和整个薄壳中的电场能量;(2)电介质中的总电场能量; (3)圆柱形电容器的电容. 解: 取半径为r 的同轴圆柱面)(S则 rlD S D S π2d )(=⋅⎰当)(21R r R <<时,Q q =∑∴ rlQD π2=(1)电场能量密度 22222π82l r Q D w εε==薄壳中 rlrQ rl r l r Q w W εευπ4d d π2π8d d 22222===(2)电介质中总电场能量⎰⎰===211222ln π4π4d d R R VR R l Q rl r Q W W εε (3)电容:∵ CQ W 22=∴ )/ln(π22122R R lW Q C ε==题9.29图9.29 如题9.29 图所示,1C =0.25μF ,2C =0.15μF ,3C =0.20μF .1C 上电压为50V .求:AB U .解: 电容1C 上电量111U C Q =电容2C 与3C 并联3223C C C += 其上电荷123Q Q =∴ 355025231123232⨯===C U C C Q U 86)35251(5021=+=+=U U U AB V 9.30 1C 和2C 两电容器分别标明“200 pF 、500 V”和“300 pF、900 V”,把它们串联起来后等值电容是多少?如果两端加上1000 V 的电压,是否会击穿? 解: (1) 1C 与2C 串联后电容1203002003002002121=+⨯=+='C C C C C pF(2)串联后电压比231221==C C U U ,而100021=+U U ∴ 6001=U V ,4002=U V 即电容1C 电压超过耐压值会击穿,然后2C 也击穿.9.31半径为1R =2.0cm 的导体球,外套有一同心的导体球壳,壳的内、外半径分别为2R =4.0cm 和3R =5.0cm ,当内球带电荷Q =3.0×10-8C 时,求:(1)整个电场储存的能量;(2)如果将导体壳接地,计算储存的能量; (3)此电容器的电容值.解: 如图,内球带电Q ,外球壳内表面带电Q -,外表面带电Q题9.31图(1)在1R r <和32R r R <<区域0=E在21R r R <<时 301π4r rQ E ε=3R r >时 302π4rrQ E ε=∴在21R r R <<区域⎰=21d π4)π4(21222001R R r r rQ W εε ⎰-==21)11(π8π8d 2102202R R R R Q rr Q εε 在3R r >区域⎰∞==32302220021π8d π4)π4(21R R Q r r rQ W εεε ∴ 总能量 )111(π83210221R R R Q W W W +-=+=ε41082.1-⨯=J(2)导体壳接地时,只有21R r R <<时30π4r rQ E ε=,02=W∴ 4210211001.1)11(π8-⨯=-==R R Q W W ε J(3)电容器电容 )11/(π422102R R Q W C -==ε 121049.4-⨯=F习题1010.1选择题(1) 对于安培环路定理的理解,正确的是:(A )若环流等于零,则在回路L 上必定是H 处处为零; (B )若环流等于零,则在回路L 上必定不包围电流;(C )若环流等于零,则在回路L 所包围传导电流的代数和为零; (D )回路L 上各点的H 仅与回路L 包围的电流有关。
大学物理实验模拟试题五一、填空题:1.物理学从本质上说是一门____科学,物理规律的发现和物理理论的建立,都必须以严格的____为基础。
并受到____的检验。
2.测量的四要素是______、____、____和____.3.误差按性质可分为____ 和____误差.4.表示重复测量数据离散程度的是____度,它属于____误差,用____误差(偏差)来描述它比较合适。
5.指出下列各数的有效数字的位数.(1) 0。
05cm 是____,(2)mm 310321.4-⨯是____位,( 3)周长R π2=中的2是____,( 4)kg )012.0842.3(±中的kg 842.3是____位.6.计算 =⨯+01.0647.9326.000.100____ ,其中00.100=____,0.326+9.647=____,=+647.9326.000.100____。
7.分光仪的四大组成部分是____、____、____和____。
8.在牛顿环实验的调节过程中,若发现视场中半明半暗,应调节____,若发现视场非常明亮.但却调节不出于涉环,其原因是____,若干涉环不够清晰应调节____________。
9.试举出米尺(类)外的三种测量长度的仪器(具) :(l)____(2)____(3)________10.在落球法测液体的粘度系数中,要测小球的运动过度,这个速度应是小球作____运动的速度;如果实验时。
液体中有气泡,可能使这个速度____,从而使η值的测量值____.二、选择题:1、选出下列说法的正确者().A .可用仪器最小分度或最小分度的一半作为该仪器的一次测量的误差;B .可以用仪器精度等级估算该仪器一次测量的误差;C .只要知道仪器的最小分度值,就可以大致确定仪器误差的数量级;D .以上三种说法都正确.2.测量一约为1.5伏特的电压时要求其结果的相对误差小于1。
5%,则应选用下列哪一种规格的伏特表()。
习题11.1选择题(1) 一运动质点在某瞬时位于矢径),(y x r的端点处,其速度大小为(A)dtdr(B)dt r d(C)dtr d ||(D) 22)()(dt dy dt dx[答案:D](2) 一质点作直线运动,某时刻的瞬时速度s m v /2 ,瞬时加速度2/2s m a ,则一秒钟后质点的速度(A)等于零 (B)等于-2m/s (C)等于2m/s (D)不能确定。
[答案:D](3) 一质点沿半径为R 的圆周作匀速率运动,每t 秒转一圈,在2t 时间间隔中,其平均速度大小和平均速率大小分别为(A)t R t R 2,2 (B) tR2,0 (C) 0,0 (D) 0,2tR[答案:B]1.2填空题(1) 一质点,以1s m 的匀速率作半径为5m 的圆周运动,则该质点在5s 内,位移的大小是 ;经过的路程是 。
[答案: 10m ; 5πm](2) 一质点沿x 方向运动,其加速度随时间的变化关系为a=3+2t (SI),如果初始时刻质点的速度v 0为5m·s -1,则当t 为3s 时,质点的速度v= 。
[答案: 23m·s -1 ](3) 轮船在水上以相对于水的速度1V 航行,水流速度为2V ,一人相对于甲板以速度3V行走。
如人相对于岸静止,则1V 、2V 和3V的关系是 。
[答案: 0321 V V V]1.3 一个物体能否被看作质点,你认为主要由以下三个因素中哪个因素决定:(1) 物体的大小和形状; (2) 物体的内部结构; (3) 所研究问题的性质。
解:只有当物体的尺寸远小于其运动范围时才可忽略其大小的影响,因此主要由所研究问题的性质决定。
1.4 下面几个质点运动学方程,哪个是匀变速直线运动?(1)x=4t-3;(2)x=-4t 3+3t 2+6;(3)x=-2t 2+8t+4;(4)x=2/t 2-4/t 。
给出这个匀变速直线运动在t=3s 时的速度和加速度,并说明该时刻运动是加速的还是减速的。
大学物理(北邮大)习题4答案习题四4-1 符合什么规律的运动才是谐振动?分别分析下列运动是不是谐振动: (1)拍皮球时球的运动;(2)如题4-1图所示,一小球在一个半径很大的光滑凹球面内滚动(设小球所经过的弧线很 短).题4-1图解:要使一个系统作谐振动,必须同时满足以下三个条件:一 ,描述系统的各种参量,如质量、转动惯量、摆长……等等在运动中保持为常量;二,系统 是在 自己的稳定平衡位置附近作往复运动;三,在运动中系统只受到内部的线性回复力的作用. 或者说,若一个系统的运动微分方程能用0d d 222=+ξωξt描述时,其所作的运动就是谐振动. (1)拍皮球时球的运动不是谐振动.第一,球的运动轨道中并不存在一个稳定的平衡位置; 第二,球在运动中所受的三个力:重力,地面给予的弹力,击球者给予的拍击力,都不是线 性回复力.(2)小球在题4-1图所示的情况中所作的小弧度的运动,是谐振动.显然,小球在运动过程中 ,各种参量均为常量;该系统(指小球凹槽、地球系统)的稳定平衡位置即凹槽最低点,即系统势能最小值位置点O ;而小球在运动中的回复力为θsin mg -,如题4-1图(b)所示.题 中所述,S ∆<<R ,故R S ∆=θ→0,所以回复力为θmg -.式中负号,表示回复力的方向始终与角位移的方向相反.即小球在O 点附近的往复运动中所受回复力为线性的.若以小球为对象,则小球在以O '为圆心的竖直平面内作圆周运动,由牛顿第二定律,在凹槽切线方向上有θθmg tmR -=22d d令Rg =2ω,则有0d d 222=+ωθt4-2 劲度系数为1k 和2k 的两根弹簧,与质量为m 的小球按题4-2图所示的两种方式连 接,试证明它们的振动均为谐振动,并分别求出它们的振动周期.题4-2图解:(1)图(a)中为串联弹簧,对于轻弹簧在任一时刻应有21F FF ==,设串联弹簧的等效倔强系数为串K 等效位移为x ,则有111xk F xk F -=-=串 222x k F -=又有 21x xx +=2211k F k F k Fx +==串所以串联弹簧的等效倔强系数为2121k k k k k +=串即小球与串联弹簧构成了一个等效倔强系数为)/(2121k k kk k +=的弹簧振子系统,故小球作谐振动.其振动周期为2121)(222k k k k m k mT +===ππωπ串(2)图(b)中可等效为并联弹簧,同上理,应有21F F F ==,即21x xx ==,设并联弹簧的倔强系数为并k ,则有2211x k x k x k +=并故 21k k k +=并同上理,其振动周期为212k k m T +='π4-3 如题4-3图所示,物体的质量为m ,放在光滑斜面上,斜面与水平面的夹角为θ,弹簧的倔强系数为k ,滑轮的转动惯量为I ,半径为R .先把物体托住,使弹簧维持原长,然 后由静止释放,试证明物体作简谐振动,并求振动周期.题4-3图解:分别以物体m 和滑轮为对象,其受力如题4-3图(b)所示,以重物在斜面上静平衡时位置为坐标原点,沿斜面向下为x 轴正向,则当重物偏离原点的坐标为x 时,有221d d sin tx m T mg =-θ ①βI R T R T =-21J 1058.1212-⨯===E E E k p当pkE E=时,有pE E 2=,即 )21(212122kA kx ⋅=∴ m 20222±=±=A x (3) ππωφ32)15(8)(12=-=-=∆t t4-5 一个沿x 轴作简谐振动的弹簧振子,振幅为A,周期为T ,其振动方程用余弦函数表示.如果0=t 时质点的状态分别是:(1)Ax-=0;(2)过平衡位置向正向运动; (3)过2A x =处向负向运动; (4)过2A x -=处向正向运动.试求出相应的初位相,并写出振动方程. 解:因为⎩⎨⎧-==0000sin cos φωφA v A x将以上初值条件代入上式,使两式同时成立之值即为该条件下的初位相.故有)2cos(1πππφ+==t T A x )232cos(232πππφ+==t T A x )32cos(33πππφ+==t T A x)452cos(454πππφ+==t T A x4-6 一质量为kg10103-⨯的物体作谐振动,振幅为cm24,周期为s 0.4,当0=t 时位移为cm 24+.求:(1)s 5.0=t 时,物体所在的位置及此时所受力的大小和方向;(2)由起始位置运动到cm 12=x 处所需的最短时间; (3)在cm 12=x 处物体的总能量. 解:由题已知 s0.4,m 10242=⨯=-T A ∴ 1s rad 5.02-⋅==ππωT又,0=t 时,0,00=∴+=φA x故振动方程为m)5.0cos(10242t x π-⨯= (1)将s 5.0=t 代入得0.17mm )5.0cos(102425.0=⨯=-t x πN102.417.0)2(10103232--⨯-=⨯⨯⨯-=-=-=πωxm ma F方向指向坐标原点,即沿x 轴负向. (2)由题知,0=t 时,0=φ, tt =时 3,0,20πφ=<+=t v A x故且∴ s 322/3==∆=ππωφt (3)由于谐振动中能量守恒,故在任一位置处或任一时刻的系统的总能量均为J101.7)24.0()2(10102121214223222--⨯=⨯⨯⨯===πωA m kA E4-7 有一轻弹簧,下面悬挂质量为g 0.1的物体时,伸长为cm 9.4.用这个弹簧和一个质量为g 0.8的小球构成弹簧振子,将小球由平衡位置向下拉开cm 0.1后 ,给予向上的初速度1s cm 0.5-⋅=v ,求振动周期和振动表达式. 解:由题知12311mN 2.0109.48.9100.1---⋅=⨯⨯⨯==x g m k而0=t 时,-12020s m 100.5m,100.1⋅⨯=⨯-=--v x( 设向上为正)又 s 26.12,51082.03===⨯==-ωπωT m k 即m102)5100.5()100.1()(22222220---⨯=⨯+⨯=+=∴ωv x A45,15100.1100.5tan 022000πφωφ==⨯⨯⨯=-=--即x v∴ m)455cos(1022π+⨯=-t x4-8 图为两个谐振动的t x -曲线,试分别写出其谐振动方程.题4-8图解:由题4-8图(a),∵0=t 时,s 2,cm 10,,23,0,00===∴>=T A v x 又πφ 即 1s rad 2-⋅==ππωT 故 m)23cos(1.0ππ+=t xa由题4-8图(b)∵0=t 时,35,0,200πφ=∴>=v Ax1=t 时,22,0,0111ππφ+=∴<=vx又 ππωφ253511=+⨯=∴ πω65= 故 mt xb)3565cos(1.0ππ+=4-9 一轻弹簧的倔强系数为k ,其下端悬有一质量为M 的盘子.现有一质量为m 的物体从离盘底h 高度处自由下落到盘中并和盘子粘在一起,于是盘子开始振动.(1)此时的振动周期与空盘子作振动时的周期有何不同?(2)此时的振动振幅多大?(3)取平衡位置为原点,位移以向下为正,并以弹簧开始振动时作为计时起点,求初位相并写出物体与盘子的振动方程. 解:(1)空盘的振动周期为kM π2,落下重物后振动周期为km M +π2,即增大.(2)按(3)所设坐标原点及计时起点,0=t 时,则kmg x -=0.碰撞时,以M m ,为一系统动量守恒,即)(2v M m gh m +=则有 Mm gh m v +=20于是gM m khk mg M m gh m k mg v x A )(21))(2()()(22222++=++=+=ω(3)gm M kh x v )(2tan 000+=-=ωφ (第三象限),所以振动方程为⎥⎦⎤⎢⎣⎡+++++=g m M kh t M m k gM m khk m g x )(2arctan cos )(214-10 有一单摆,摆长m 0.1=l ,摆球质量kg10103-⨯=m ,当摆球处在平衡位置时,若给小球一水平向右的冲量14s m kg 100.1--⋅⋅⨯=∆t F ,取打击时刻为计时起点)0(=t ,求振动的初位相和角振幅,并写出小球的振动方程.解:由动量定理,有-=∆⋅mv t F∴1-34s m 01.0100.1100.1⋅=⨯⨯=∆⋅=--m t F v按题设计时起点,并设向右为x 轴正向,则知=t 时,100s m 01.0,0-⋅==v x>0∴ 2/30πφ=又 1s rad 13.30.18.9-⋅===l g ω∴ m 102.313.301.0)(302020-⨯===+=ωωv v x A故其角振幅rad 102.33-⨯==ΘlA小球的振动方程为rad)2313.3cos(102.33πθ+⨯=-t4-11 有两个同方向、同频率的简谐振动,其合成振动的振幅为m 20.0,位相与第一振动的位相差为6π,已知第一振动的振幅为m 173.0,求第二个振动的振幅以及第一、第二两振动的位相差.题4-11图解:由题意可做出旋转矢量图如下. 由图知01.02/32.0173.02)2.0()173.0(30cos 222122122=⨯⨯⨯-+=︒-+=A A A A A∴ m1.02=A 设角θ为O AA 1,则θcos 22122212A A A A A -+=即1.0173.02)02.0()1.0()173.0(2cos 2222122221=⨯⨯-+=-+=A A A A A θ即2πθ=,这说明,1A 与2A 间夹角为2π,即二振动的位相差为2π. 4-12 试用最简单的方法求出下列两组谐振动合成后所得合振动的振幅: (1) ⎪⎩⎪⎨⎧+=+=cm)373cos(5cm )33cos(521ππt x t x(2)⎪⎩⎪⎨⎧+=+=cm)343cos(5cm )33cos(521ππt x t x解: (1)∵ ,233712πππφφφ=-=-=∆∴合振幅 cm1021=+=AA A(2)∵ ,334πππφ=-=∆∴合振幅 0=A4-13 一质点同时参与两个在同一直线上的简谐振动,振动方程为⎪⎩⎪⎨⎧-=+=m)652cos(3.0m )62cos(4.021ππt x t x试分别用旋转矢量法和振动合成法求合振动的振动幅和初相,并写出谐振方程。
习题99.1选择题(1)正方形的两对角线处各放置电荷Q,另两对角线各放置电荷q,若Q所受到合力为零,则Q与q的关系为:()(A)Q=-23/2q (B) Q=23/2q (C) Q=-2q (D) Q=2q[答案:A](2)下面说法正确的是:()(A)若高斯面上的电场强度处处为零,则该面内必定没有净电荷;(B)若高斯面内没有电荷,则该面上的电场强度必定处处为零;(C)若高斯面上的电场强度处处不为零,则该面内必定有电荷;(D)若高斯面内有电荷,则该面上的电场强度必定处处不为零。
[答案:A](3)一半径为R的导体球表面的面点荷密度为σ,则在距球面R处的电场强度()(A)σ/ε0 (B)σ/2ε0 (C)σ/4ε0 (D)σ/8ε0[答案:C](4)在电场中的导体内部的()(A)电场和电势均为零;(B)电场不为零,电势均为零;(C)电势和表面电势相等;(D)电势低于表面电势。
[答案:C]9.2填空题(1) 在静电场中,电势梯度不变的区域,电场强度必定为 。
[答案:恒矢量](2) 一个点电荷q 放在立方体中心,则穿过某一表面的电通量为 ,若将点电荷由中心向外移动至无限远,则总通量将 。
[答案:q/6ε0, 为零](3) 电介质在电容器中作用(a )——(b )——。
[答案:(a)提高电容器的容量;(b) 延长电容器的使用寿命](4) 电量Q 均匀分布在半径为R 的球体内,则球内球外的静电能之比。
[答案:1:5]9.3 电量都是q 的三个点电荷,分别放在正三角形的三个顶点.试问:(1)在这三角形的中心放一个什么样的电荷,就可以使这四个电荷都达到平衡(即每个电荷受其他三个电荷的库仑力之和都为零)?(2)这种平衡与三角形的边长有无关系? 解: 如题9.3图示(1) 以A 处点电荷为研究对象,由力平衡知:q '为负电荷2220)33(π4130cos π412a q q a q '=︒εε解得 q q 33-='(2)与三角形边长无关.题9.3图 题9.4图9.4 两小球的质量都是m ,都用长为l 的细绳挂在同一点,它们带有相同电量,静止时两线夹角为2θ3,如题9.4图所示.设小球的半径和线的质量都可以忽略不计,求每个小球所带的电量.解: 如题9.4图示⎪⎩⎪⎨⎧===220)sin 2(π41sin cos θεθθl q F T mg T e解得 θπεθtan 4sin 20mg l q = 9.5 根据点电荷场强公式204rq E πε=,当被考察的场点距源点电荷很近(r →0)时,则场强→∞,这是没有物理意义的,对此应如何理解?解: 020π4r r q Eε=仅对点电荷成立,当0→r 时,带电体不能再视为点电荷,再用上式求场强是错误的,实际带电体有一定形状大小,考虑电荷在带电体上的分布求出的场强不会是无限大.9.6 在真空中有A ,B 两平行板,相对距离为d ,板面积为S ,其带电量分别为+q 和-q .则这两板之间有相互作用力f ,有人说f =2024d q πε,又有人说,因为f =qE ,S q E 0ε=,所以f =Sq 02ε.试问这两种说法对吗?为什么? f 到底应等于多少?解: 题中的两种说法均不对.第一种说法中把两带电板视为点电荷是不对的; 第二种说法把合场强SqE 0ε=看成是一个带电板在另一带电板处的场强也是不对的. 正确解答应为一个板的电场为S qE 02ε=,另一板受它的作用力Sq S qq f 02022εε==,这是两板间相互作用的电场力.9.7 长l =15.0cm 的直导线AB 上均匀地分布着线密度λ=5.0x10-9 C/m 的正电荷.试求:(1)在导线的延长线上与导线B 端相距1a =5.0cm 处P 点的场强;(2)在导线的垂直平分线上与导线中点相距2d =5.0cm 处Q 点的场强. 解: 如题9.7图所示(1) 在带电直线上取线元x d ,其上电量q d 在P 点产生场强为20)(d π41d x a xE P -=λε 222)(d π4d x a xE E l l P P -==⎰⎰-ελ题9.7图]2121[π40l a l a +--=ελ)4(π220l a l-=ελ用15=l cm ,9100.5-⨯=λ1m C -⋅, 5.12=a cm 代入得21074.6⨯=P E 1C N -⋅ 方向水平向右(2)同理2220d d π41d +=x xE Q λε 方向如题9.7图所示由于对称性⎰=l QxE 0d ,即Q E只有y 分量,∵ 22222220d d d d π41d ++=x x x E Qyλε22π4d d ελ⎰==lQyQy E E ⎰-+2223222)d (d l l x x220222π4ld l dλε=+以9100.5-⨯=λ1cm C -⋅, 15=l cm ,5d 2=cm 代入得21096.14⨯==Qy Q E E 1C N -⋅,方向沿y 轴正向9.8 一个半径为R 的均匀带电半圆环,电荷线密度为λ,求环心处O 点的场强. 解: 如图在圆上取ϕRd dl =ϕλλd d d R l q ==,它在O 点产生场强大小为 20π4d d R R E εϕλ=方向沿半径向外则 ϕϕελϕd sin π4sin d d 0R E E x == ϕϕελϕπd cos π4)cos(d d 0RE E y -=-=积分R R E x 000π2d sin π4ελϕϕελπ==⎰0d cos π400=-=⎰ϕϕελπRE y ∴ RE E x 0π2ελ==,方向沿x 轴正向.9.9 均匀带电的细线弯成正方形,边长为l ,总电量为q .(1)求这正方形轴线上离中心为r 处的场强E ;(2)证明:在l r >>处,它相当于点电荷q 产生的场强E .解: 正方形一条边上电荷4q在P 点产生物强P Ed 方向如图,大小为()4π4cos cos d 22021l r E P +-=εθθλ∵ 1222cos 2l l r θ=+12cos cos θθ-=∴ 24π4d 22220l r l l r E P ++=ελP Ed 在垂直于平面上的分量βcos d d P E E =⊥∴ 424π4d 2222220l r rl r l r lE +++=⊥ελ由于对称性,P 点场强沿OP 方向,大小为2)4(π44d 422220l r l r lrE E P ++=⨯=⊥ελ∵ lq 4=λ ∴ 2)4(π422220l r l r qrE P ++=ε 方向沿OP9.10 (1)点电荷q 位于一边长为a 的立方体中心,试求在该点电荷电场中穿过立方体的一个面的电通量;(2)如果该场源点电荷移动到该立方体的一个顶点上,这时穿过立方体各面的电通量是多少?解: (1)由高斯定理0d εqS E s⎰=⋅立方体六个面,当q 在立方体中心时,每个面上电通量相等 ∴ 各面电通量06εqe =Φ. (2)电荷在顶点时,将立方体延伸为边长a 2的立方体,使q 处于边长a 2的立方体中心,则边长a 2的正方形上电通量06εq e =Φ 对于边长a 的正方形,如果它不包含q 所在的顶点,则024εqe =Φ, 如果它包含q 所在顶点则0=Φe .如题9.10图所示. 题9.10 图9.11 均匀带电球壳内半径6cm ,外半径10cm ,电荷体密度为2×510-C/m 3求距球心5cm ,8cm ,12cm 各点的场强.解: 高斯定理0d ε∑⎰=⋅qS E s,02π4ε∑=q r E当5=r cm 时,0=∑q ,0=E8=r cm 时,∑q 3π4p=3(r )3内r - ∴ ()2023π43π4rr r E ερ内-=41048.3⨯≈1C N -⋅, 方向沿半径向外. 12=r cm 时,3π4∑=ρq -3(外r )内3r ∴ ()420331010.4π43π4⨯≈-=rr r E ερ内外 1C N -⋅ 沿半径向外. 9.12 半径为1R 和2R (2R >1R )的两无限长同轴圆柱面,单位长度上分别带有电量λ和-λ,试求:(1)r <1R ;(2) 1R <r <2R ;(3) r >2R 处各点的场强.解: 高斯定理0d ε∑⎰=⋅qS E s取同轴圆柱形高斯面,侧面积rl S π2=则 rl E S E Sπ2d =⋅⎰对(1) 1R r <0,0==∑E q(2) 21R r R << λl q =∑∴ rE 0π2ελ=沿径向向外(3) 2R r >=∑q∴ 0=E题9.13图9.13 两个无限大的平行平面都均匀带电,电荷的面密度分别为1σ和2σ,试求空间各处场强. 解: 两面间, n E)(21210σσε-=1σ面外, n E)(21210σσε+-= 2σ面外, n E)(21210σσε+=n:垂直于两平面由1σ面指为2σ面.9.14 半径为R 的均匀带电球体内的电荷体密度为ρ,若在球内挖去一块半径为r <R 的小球体,如题9.14图所示.试求:两球心O 与O '点的场强,并证明小球空腔内的电场是均匀的.解: 将此带电体看作带正电ρ的均匀球与带电ρ-的均匀小球的组合,见题9.14图(a). (1) ρ+球在O 点产生电场010=E,ρ- 球在O 点产生电场'dπ4π3430320OO r E ερ=∴ O 点电场'd33030OO r E ερ= ; (2) ρ+在O '产生电场'dπ4d 3430301OO E ερπ='ρ-球在O '产生电场002='E∴ O ' 点电场 003ερ='E 'OO题9.14图(a) 题9.14图(b)(3)设空腔任一点P 相对O '的位矢为r',相对O 点位矢为r (如题8-13(b)图)则 03ερrE PO =,3ερr E O P '-=' ,∴ 0003'3)(3ερερερdOO r rE E E O P PO P=='-=+=' ∴腔内场强是均匀的.9.15 一电偶极子由q =1.0×10-6C的两个异号点电荷组成,两电荷距离d=0.2cm ,把这电偶极子放在1.0×105N/C 的外电场中,求外电场作用于电偶极子上的最大力矩.解: ∵ 电偶极子p在外场E中受力矩E p M⨯=∴ qlE pE M ==max 代入数字4536max 100.2100.1102100.1---⨯=⨯⨯⨯⨯⨯=M m N ⋅9.16 两点电荷1q =1.5×10-8C ,2q =3.0×10-8C ,相距1r =42cm ,要把它们之间的距离变为2r =25cm ,需作多少功?解: 22121212200d d 4π4πr r r r q q r q q W F r r εε=⋅==⎰⎰)11(21r r - 61055.6-⨯-=J外力需作的功 66.5510W W -'=-=-⨯ J题9.17图9.17 如题9.17图所示,在A ,B 两点处放有电量分别为+q ,-q 的点电荷,AB 间距离为2R ,现将另一正试验点电荷0q 从O 点经过半圆弧移到C 点,求移动过程中电场力作的功. 解:0π41ε=O U 0)(=-RqR q 014πC U ε=)3(R qR q -Rq 0π6ε-= ∴ Rqq U U q A o C O 00π6)(ε=-=9.18 如题9.18图所示的绝缘细线上均匀分布着线密度为λ的正电荷,两直导线的长度和半圆环的半径都等于R .试求环中心O 点处的场强和电势.解: (1)由于电荷均匀分布与对称性,AB 和CD 段电荷在O 点产生的场强互相抵消,取θd d R l =则θλd d R q =产生O 点Ed 如图,由于对称性,O 点场强沿y 轴负方向题9.18图θεθλππcos π4d d 2220⎰⎰-==R R E E yR 0π4ελ=[)2sin(π-2sin π-]R0π2ελ-=(2) AB 电荷在O 点产生电势,以0=∞U⎰⎰===AB200012ln π4π4d π4d R R x x x x U ελελελ 同理CD 产生 2ln π402ελ=U 半圆环产生 0034π4πελελ==R R U∴ 0032142ln π2ελελ+=++=U U U U O9.19 一电子绕一带均匀电荷的长直导线以2×104m/s 的匀速率作圆周运动.求带电直线上的线电荷密度.(电子质量0m =9.1×10-31kg ,电子电量e =1.60×10-19C)解: 设均匀带电直线电荷密度为λ,在电子轨道处场强rE 0π2ελ=电子受力大小 re eE F e 0π2ελ== ∴ rv m r e 20π2=ελ得 1320105.12π2-⨯==emv ελ1m C -⋅9.20 空气可以承受的场强的最大值为E =30 kV/cm ,超过这个数值时空气要发生火花放电.今有一高压平行板电容器,极板间距离为d =0.5cm ,求此电容器可承受的最高电压.解: 平行板电容器内部近似为均匀电场 4105.1d ⨯==E U V9.21 证明:对于两个无限大的平行平面带电导体板(题9.21图)来说,(1)相向的两面上,电荷的面密度总是大小相等而符号相反;(2)相背的两面上,电荷的面密度总是大小相等而符号相同.证: 如题9.21图所示,设两导体A 、B 的四个平面均匀带电的电荷面密度依次为1σ,2σ,3σ,4σ题9.21图(1)则取与平面垂直且底面分别在A 、B 内部的闭合柱面为高斯面时,有0)(d 32=∆+=⋅⎰S S E sσσ∴ +2σ03=σ说明相向两面上电荷面密度大小相等、符号相反;(2)在A 内部任取一点P ,则其场强为零,并且它是由四个均匀带电平面产生的场强叠加而成的,即0222204030201=---εσεσεσεσ 又∵ +2σ03=σ ∴ 1σ4σ=说明相背两面上电荷面密度总是大小相等,符号相同.9.22 三个平行金属板A ,B 和C 的面积都是200cm 2,A 和B 相距4.0mm ,A 与C 相距2.0 mm .B ,C 都接地,如题9.22图所示.如果使A 板带正电3.0×10-7C ,略去边缘效应,问B 板和C 板上的感应电荷各是多少?以地的电势为零,则A 板的电势是多少? 解: 如题9.22图示,令A 板左侧面电荷面密度为1σ,右侧面电荷面密度为2σ题9.22图(1)∵ AB AC U U =,即 ∴ AB AB AC AC E E d d = ∴2d d 21===ACABAB AC E E σσ且 1σ+2σSq A=得 ,32S q A =σ Sq A 321=σ 而 7110232-⨯-=-=-=A C q S q σC C 10172-⨯-=-=S q B σ(2) 301103.2d d ⨯===AC AC AC A E U εσV9.23 两个半径分别为1R 和2R (1R <2R )的同心薄金属球壳,现给内球壳带电+q ,试计算:(1)外球壳上的电荷分布及电势大小;(2)先把外球壳接地,然后断开接地线重新绝缘,此时外球壳的电荷分布及电势; *(3)再使内球壳接地,此时内球壳上的电荷以及外球壳上的电势的改变量.解: (1)内球带电q +;球壳内表面带电则为q -,外表面带电为q +,且均匀分布,其电势⎰⎰∞∞==⋅=2220π4π4d d R R R qr r q r E U εε题9.23图(2)外壳接地时,外表面电荷q +入地,外表面不带电,内表面电荷仍为q -.所以球壳电势由内球q +与内表面q -产生:0π4π42020=-=R q R q U εε(3)设此时内球壳带电量为q ';则外壳内表面带电量为q '-,外壳外表面带电量为+-q q ' (电荷守恒),此时内球壳电势为零,且0π4'π4'π4'202010=+-+-=R q q R q R q U A εεε得 q R R q 21='外球壳上电势()22021202020π4π4'π4'π4'R qR R R q q R q R q U B εεεε-=+-+-=9.24 半径为R 的金属球离地面很远,并用导线与地相联,在与球心相距为R d 3=处有一点电荷+q ,试求:金属球上的感应电荷的电量.解: 如题9.24图所示,设金属球感应电荷为q ',则球接地时电势0=O U题9.24图由电势叠加原理有:=O U 03π4π4'00=+Rq R q εε得 -='q 3q9.25 有三个大小相同的金属小球,小球1,2带有等量同号电荷,相距甚远,其间的库仑力为0F .试求:(1)用带绝缘柄的不带电小球3先后分别接触1,2后移去,小球1,2之间的库仑力; (2)小球3依次交替接触小球1,2很多次后移去,小球1,2之间的库仑力.解: 由题意知 2020π4rq F ε=(1)小球3接触小球1后,小球3和小球1均带电2q q =', 小球3再与小球2接触后,小球2与小球3均带电q q 43=''∴ 此时小球1与小球2间相互作用力0022018348342F r πqr π"q 'q F =-=εε (2)小球3依次交替接触小球1、2很多次后,每个小球带电量均为32q.∴ 小球1、2间的作用力00294π432322F r qq F ==ε9.26 在半径为1R 的金属球之外包有一层外半径为2R 的均匀电介质球壳,介质相对介电常数为r ε,金属球带电Q .试求: (1)电介质内、外的场强; (2)电介质层内、外的电势; (3)金属球的电势.解: 利用有介质时的高斯定理∑⎰=⋅q S D Sd(1)介质内)(21R r R <<场强303π4,π4r rQ E r r Q D r εε ==内; 介质外)(2R r <场强303π4,π4r r Q E r Qr D ε ==外(2)介质外)(2R r >电势rQE U 0rπ4r d ε=⋅=⎰∞外 介质内)(21R r R <<电势2020π4)11(π4R Q R r qr εεε+-=)11(π420R r Qr r -+=εεε(3)金属球的电势r d r d 221⋅+⋅=⎰⎰∞R R R E E U 外内rd r d ⋅+⋅=⎰⎰∞∞rrE E U 外内⎰⎰∞+=22220π44πdr R R Rr r Qdrr Q εεε)11(π4210R R Qr r-+=εεε9.27 如题9.27图所示,在平行板电容器的一半容积内充入相对介电常数为r ε的电介质.试求:在有电介质部分和无电介质部分极板上自由电荷面密度的比值.解: 如题9.27图所示,充满电介质部分场强为2E ,真空部分场强为1E,自由电荷面密度分别为2σ与1σ 由∑⎰=⋅0d q S D得11σ=D ,22σ=D而 101E D ε=,202E D r εε=d21UE E == ∴r r E E εεεεσσ==102012题9.27图 题9.28图9.28 两个同轴的圆柱面,长度均为l ,半径分别为1R 和2R (2R >1R ),且l >>2R -1R ,两柱面之间充有介电常数ε的均匀电介质.当两圆柱面分别带等量异号电荷Q 和-Q 时,求:(1)在半径r 处(1R <r <2R =,厚度为dr ,长为l 的圆柱薄壳中任一点的电场能量密度和整个薄壳中的电场能量; (2)电介质中的总电场能量; (3)圆柱形电容器的电容. 解: 取半径为r 的同轴圆柱面)(S则 rlD S D S π2d )(=⋅⎰当)(21R r R <<时,Q q =∑∴ rlQD π2=(1)电场能量密度 22222π82l r Q D w εε==薄壳中 rlrQ rl r l r Q w W εευπ4d d π2π8d d 22222===(2)电介质中总电场能量⎰⎰===211222ln π4π4d d R R VR R l Q rl r Q W W εε (3)电容:∵ CQ W 22=∴ )/ln(π22122R R lW Q C ε==题9.29图9.29 如题9.29 图所示,1C =0.25μF ,2C =0.15μF ,3C =0.20μF .1C 上电压为50V .求:AB U . 解: 电容1C 上电量111U C Q =电容2C 与3C 并联3223C C C += 其上电荷123Q Q = ∴ 355025231123232⨯===C U C C Q U86)35251(5021=+=+=U U U AB V 9.30 1C 和2C 两电容器分别标明“200 pF 、500 V ”和“300 pF 、900 V ”,把它们串联起来后等值电容是多少?如果两端加上1000 V 的电压,是否会击穿? 解: (1) 1C 与2C 串联后电容1203002003002002121=+⨯=+='C C C C C pF(2)串联后电压比231221==C C U U,而100021=+U U ∴ 6001=U V ,4002=U V 即电容1C 电压超过耐压值会击穿,然后2C 也击穿.9.31半径为1R =2.0cm 的导体球,外套有一同心的导体球壳,壳的内、外半径分别为2R =4.0cm 和3R =5.0cm ,当内球带电荷Q =3.0×10-8C时,求:(1)整个电场储存的能量;(2)如果将导体壳接地,计算储存的能量; (3)此电容器的电容值.解: 如图,内球带电Q ,外球壳内表面带电Q -,外表面带电Q题9.31图(1)在1R r <和32R r R <<区域0=E在21R r R <<时 301π4r rQ E ε= 3R r >时 302π4r rQ E ε=∴在21R r R <<区域⎰=21d π4)π4(21222001R R r r rQ W εε ⎰-==21)11(π8π8d 2102202R R R R Q r r Q εε在3R r >区域⎰∞==32302220021π8d π4)π4(21R R Q r r rQ W εεε ∴ 总能量 )111(π83210221R R R Q W W W +-=+=ε41082.1-⨯=J(2)导体壳接地时,只有21R r R <<时30π4rrQ E ε=,02=W ∴ 4210211001.1)11(π8-⨯=-==R R Q W W ε J(3)电容器电容 )11/(π422102R R QW C -==ε 121049.4-⨯=F习题1010.1选择题(1) 对于安培环路定理的理解,正确的是:(A )若环流等于零,则在回路L 上必定是H 处处为零; (B )若环流等于零,则在回路L 上必定不包围电流;(C )若环流等于零,则在回路L 所包围传导电流的代数和为零; (D )回路L 上各点的H 仅与回路L 包围的电流有关。
大学物理简明教程北京邮电大学第四版答案1、图60表示甲、乙两人看物体时的光路图,要在视网膜上成清晰的像,则()[单选题]A.甲需配戴的眼镜是凸透镜B.乙需配戴的眼镜是凹透镜C.甲需配戴的眼镜是近视镜(正确答案)D.乙需配戴的眼镜是近视镜2、94.由同种材料制成的A,B两个金属球,其中有一个是空心的,它们的质量分别为mA =128g、mB=72g,体积分别为VA=16cm3、VB=12cm3,则下列说法正确的是()[单选题] *A.A是空心球,B是实心球B.空心球的空心部分体积为3cm3(正确答案)C.实心球的密度是8kg/cm3D.空心球的密度是8g/cm33、5.推着自行车前行时前轮和后轮所受摩擦力的方向相同.[判断题] *对(正确答案)错4、40.寒冷冬天的早晨,思雨同学从家里到学校后,发现头发上有白花花的霜;进入教室后,过一会儿头发变湿了。
这里先后发生的物态变化是()[单选题] *A.凝固、汽化B.凝华、熔化(正确答案)C.凝华、升华D.凝固、液化5、C.影动疑是玉人来D.厕所大脏,奇臭难闻(正确答案)答案解析:A、酒香不怕巷子深,说明酒精分子能产生扩散现象,说明酒精分子可以做无规则的热运动.故A正确.B、花香扑鼻是一种扩散现象,说明分子在做无规则的热运动.故B正确.C、隔墙花影动,疑是玉人来,是由于光直线传播产生的现象,与分子热运动无关.D、厕所太脏,其臭难闻同,说明分子在做无规则运动.故D正确.有关电动势的说法中正确的是()*A.电源的电动势等于内、外电路电势降之和(正确答案)6、1.用手拍打桌面,手也很疼,充分说明力的作用是相互的.[判断题] *对(正确答案)错7、1.公式v2-v02=2ax适用于任何直线运动.[判断题] *对错(正确答案)8、22.小芳在阅读古诗词时,发现很多诗词蕴含着物理知识,下列理解正确的是([单选题] *A.“夜半钟声到客船”﹣﹣“钟声”是根据音色来辨别的(正确答案)B.“池外轻雷池上雨”﹣﹣“轻”指音调低C.“谁家玉笛暗飞声”﹣﹣“声”是由笛子振动产生D.“不敢高声语,恐惊天上人”﹣﹣“高“描述声音频率高9、14.在“用托盘天平称物体质量”的实验中,下列操作错误的是()[单选题] *A.使用天平时,应将天平放在水平的桌面上B.称量时左边托盘应放置待称物体,右边托盘放置砝码C.观察到指针指在分度盘的中线处,确定天平已平衡D.天平调平后在称量过程中发现横梁不水平,此时可以通过调节平衡螺母使横梁水平(正确答案)10、57.彩色电视机荧光屏上呈现各种颜色,都是由三种基本色光混合组成的,这三种基本色光是()[单选题] *A.红、橙、绿B.红、绿、蓝(正确答案)C.蓝、靛、紫D.红、黄、蓝11、一吨棉花的体积会比一吨石头的体积大很多。
大学物理第二版答案(北京邮电大学出版社)习题解答第一章质点运动学1-1(1)质点t时刻位矢为:r(3t5)i12t23t4j(m)(2)第一秒内位移r1(某1某0)i(y1y0)j3(10)i12(10)23(110)j3i3.5j(m)(3)前4秒内平均速度Vr1t4(12i20j)3i5j(m1)(4)速度Vdr3i(t3)j(m1dt)∴V43i(43)j3i7j(m1)A;/。
(5)前4秒平均加速度aVV4V0734jj(m2t40)(6)加速度adVdtj(m2)a4j(m2)1-2vd某dtt33t22某d某vdtc14t4t32tc当t=2时某=4代入求证c=-12即某14t4t32t12vt33t22adv3t2dt6t将t=3代入证某41134(m)v356(m1)a345(m2)1-3(1)由运动方程某4t22t消去t得轨迹方程y3某(y3)20(2)1秒时间坐标和位矢方向为某14m[4,5]m:tgy某1.25,51.3(3)第1秒内的位移和平均速度分别为y15mr1(40)i(53)j4i2j(m)r1V4i2j(m1)t(4)质点的速度与加速度分别为drV8i2j,dtdVa8idt故t=1时的速度和加速度分别为V18i2jm1,a18im21-4该星云飞行时间为9.4610152.741096.5910172.091010a73.9310即该星云是2.091010年前和我们银河系分离的.1-5实验车的加速度为v1600103a2.47102m/225(g)t36001.80基本上未超过25g.1.80内实验车跑的距离为v1600103t1.80400(m)2236001-6(1)设第一块石头扔出后t秒未被第二块击中,则hv0t12gt2代入已知数得11115t9.8t22解此方程,可得二解为t11.84,t11.22第一块石头上升到顶点所用的时间为tmv10/g15/9.81.53由于t1tm,这对应于第一块石头回落时与第二块相碰;又由于t1tm这对应于第一块石头上升时被第二块赶上击中.以v20和v20分别对应于在t1和t1时刻两石块相碰时第二石块的初速度,则由于hv20(t1t1)1g(t1t1)22所以hv2011g(t1t1)2119.8(1.841)222t1t11.84117.2m/同理.2v20h11g(t1t1)2119.8(1.221)2221.221t1t151.1(m/)(2)由于t21.3t1,所以第二石块不可能在第一块上升时与第一块相碰.对应于t1时刻相碰,第二块的初速度为h12g(t)21119.8(1.841.3)2v201t2tt2121.841.323.0(m/)1-7以l表示从船到定滑轮的绳长,则v0dl/dt.由图可知l2h2于是得船的速度为vdldl2h2dtl2h2dtv0习题1-7图负号表示船在水面上向岸靠近.船的加速度为advdldtvdlh2v20dll2h20dt3负号表示a的方向指向岸边,因而船向岸边加速运动.1-8所求位数为2r42n2r42(6104)2gg0.16029.841051-9物体A下降的加速度(如图所示)为a2h20.40.2m/2t222此加速度也等于轮缘上一点在t3时的切向加速度,即at0.2(m/2)在t3时的法向加速度为av2(att)2R(0.23)2n1.00.36(m/2R)习题1-9图习题1-10图1-10a1.2m/2,t00.5,h01.5m.如图所示,相对南面,小球开始下落时,它和电梯的速度为3v0at01.20.50.6(m/)以t表示此后小球落至底板所需时间,则在这段时间内,小球下落的距离为hv0t12gt2电梯下降的距离为hv0t12at2又h0hh1(ga)t22由此得t2h021.50.59ga9.81.2而小球相对地面下落的距离为hv0t12gt20.60.599.80.5922.06m1-11v风地v风人v人地2v0人地,速度矢量合成如图(b)两图中v风地应是同一矢量.可知(a)v风人画出速度矢量合成图(a)又v风地12图必是底角为45的等腰直角三角形,所以,风向应为西北风,风速为v风地4.23(m1)v0人地co452v0人地1-12(1)t(2)2L2LvvLL2vLtt1t22vuvuvu222Lu1vv1习题1-11图(3)u由东习题1-12图tt1t2LL,如图所示风速vv向西,由速度合成可得飞机对地速度vuv,则Vv2u2.t2L2L22vvu2Luv1v2证毕1-13(1)设船相对岸的速度为V(如图所示),由速度合成得VuVV的大小由图1.7示可得VVcouco习题1-13图4即VcoVuco323332而Vinuin21船达到B点所需时间tAB两点之距SDctgOBDD1000()VVincoin12D将式(1)、(2)代入可得SD(33)1268(m)(2)由D1103tVinuin船到对岸所需最短时间由极值条件决定dt1du1in2co0即co0,/2故船头应与岸垂直,航时最短.将值代入(3)式得最短航时为3t110minuin/2110320.5103500()(3)设OBl,则lDVDDu2V22inuVcoVinuin欲使l最短,应满足极值条件.dlDu2V22uVcoduacoainuVin2ain2au2V22uVco0简化后可得2u2V2coauVco10即co2a136co10解此方程得co23co12348.2故船头与岸成48.2,则航距最短.将值代入(4)式得最小航程为2lu2v22uvco10002232223minDu1co23221231.5103m1.5(km)AB两点最短距离为52SminlminD21.511.12(km)第二章质点动力学2-1(1)对木箱,由牛顿第二定律,在某向:Fmincofma某0y向:NFmininMg0还有fma某N习题2-1图木箱将要被推动的情况下如图所示,解以上三式可得要推动木箱所需力F的最小值为FminMgcoin在木箱做匀速运动情况下,如上类似分析可得所需力F的大小为FminkMgcokin(2)在上面Fmin的表示式中,如果coin0,则Fmin,这意味着用任何有限大小的力都不可能推动木箱,不能推动木箱的条件是coin0由此得的最小值为arctan12-2(1)对小球,由牛顿第二定律某向:TcoNinmay向:TinNcomg0联立解此二式,可得Tm(acogin)0.5(2co309.8in30)3.32(N)Nm(gcoain)0.5(9.8co302in30 )3.74(N)由牛顿第三定律,小球对斜面的压力NN3.74(N)(2)小球刚要脱离斜面时N=0,习题2-2图则上面牛顿第二定律方程为Tcoma,Tinmg由此二式可解得ag/tan9.8/tan3017.0m/22-3要使物体A与小车间无相对滑动,三物体必有同一加速度a,且挂吊B的绳应向后倾斜。