新工人安全教育汇总表GDAQ20501
- 格式:xls
- 大小:27.00 KB
- 文档页数:1
新工人入场三级安全教育登记表(一)A Q2.5.21.应建立健全定期的安全生产教育培训制度。
2.新工人入场必须填写登记表个人部分的内容。
3.进行公司、项目部、班组每级安全教育后,经教育人和受教育人分别签名。
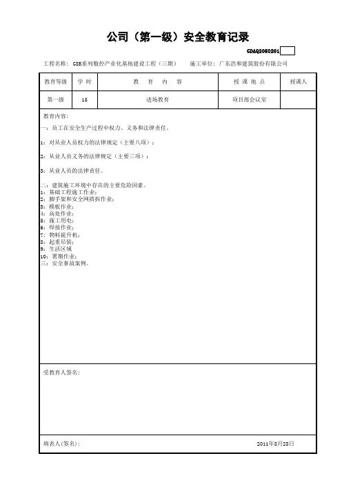
公司(第一级)安全教育记录工程名称:施工单位:注明:1.对新进工人或调换工种的工人必须按规定进行安全教育和技术培训,经考核合格,方准上岗。
三级安全教育是每个企业的新工人首次安全方面的基本教育,三级安全教育分为分公司或项目部、车间或工段、班组共三级。
2.一级教育:主要进行安全基本知识、法律、法规、规范的教育,授课人必须编写教学大纲或依据培训教材进行。
3.教育内容只写提纲,内容附后。
4.一级教育不少于15小时。
5.此表一式两份,公司或项目部、资料存档各一份。
工程项目部(第二级)安全教育记录工程名称:施工单位注明:1.对新进工人或调换工种的工人必须按规定进行安全教育和技术培训,经考核合格,方准上岗。
三级安全教育是每个企业的新工人首次安全方面的基本教育,三级安全教育分为分公司或项目部、车间或工段、班组共三级。
2.二级教育:主要进行现场规章制度、作业环境、遵章守纪教育。
3.教育内容只写提纲,内容附后。
4.二级教育不少于15小时。
5.此表一式三份,公司或项目部和车间或是工段、项目资料存档各一份。
班组(第三级)安全教育记录工程名称:施工单位:级安全教育是每个企业的新工人首次安全方面的基本教育,三级安全教育分为分公司或项目部、车间或工段、班组共三级。
2.三级教育:主要进行本工种安全技术操作规程、作业环境、遵章守纪及本班过去事故案例教育3.教育内容只写提纲,内容附后。
4.二级教育不少于20小时。
5.此表一式三份,公司或项目部、班组、项目资料存档各一份。
新工人入场三级安全教育汇总表工程名称:施工单位:填表人:日期:年月日。
新工人入场三级安全教育汇总表AQ2.5.1工程名称:天域米兰阳光园一期二区半地下室及8-17栋商住楼工程施工单位:浙江省东阳第三建筑工程有限公司填表人:赵聪日期:2010 年11月6日新工人入场三级安全教育汇总表AQ2.5.1工程名称:天域米兰阳光园一期二区半地下室及8-17栋商住楼工程施工单位:浙江省东阳第三建筑工程有限公司填表人:赵聪日期:2010 年9月6日新工人入场三级安全教育汇总表AQ2.5.1工程名称:天域米兰阳光园一期二区半地下室及8-17栋商住楼工程施工单位:浙江省东阳第三建筑工程有限公司填表人:赵聪日期:2010 年8月30日新工人入场三级安全教育汇总表AQ2.5.1工程名称:天域米兰阳光园一期二区半地下室及8-17栋商住楼工程施工单位:浙江省东阳第三建筑工程有限公司填表人:赵聪日期:2010 年8月30日新工人入场三级安全教育汇总表AQ2.5.1工程名称:天域米兰阳光园一期二区半地下室及8-17栋商住楼工程施工单位:浙江省东阳第三建筑工程有限公司填表人:赵聪日期:2010 年8月25日新工人入场三级安全教育汇总表AQ2.5.1工程名称:天域米兰阳光园一期二区半地下室及8-17栋商住楼工程施工单位:浙江省东阳第三建筑工程有限公司填表人:赵聪日期:2010 年8月29日新工人入场三级安全教育汇总表AQ2.5.1工程名称:天域米兰阳光园一期二区半地下室及8-17栋商住楼工程施工单位:浙江省东阳第三建筑工程有限公司填表人:赵聪日期:2010 年9月30日新工人入场三级安全教育汇总表AQ2.5.1工程名称:天域米兰阳光园一期二区半地下室及8-17栋商住楼工程施工单位:浙江省东阳第三建筑工程有限公司填表人:赵聪日期:2010 年8月30日新工人入场三级安全教育汇总表AQ2.5.1工程名称:天域米兰阳光园一期二区半地下室及8-17栋商住楼工程施工单位:浙江省东阳第三建筑工程有限公司填表人:赵聪日期:2010 年9月3日新工人入场三级安全教育汇总表AQ2.5.1工程名称:天域米兰阳光园一期二区半地下室及8-17栋商住楼工程施工单位:浙江省东阳第三建筑工程有限公司填表人:赵聪日期:2010 年9月30日新工人入场三级安全教育汇总表AQ2.5.1工程名称:天域米兰阳光园一期二区半地下室及8-17栋商住楼工程施工单位:浙江省东阳第三建筑工程有限公司填表人:赵聪日期:2010 年9月6日新工人入场三级安全教育汇总表AQ2.5.1工程名称:天域米兰阳光园一期二区半地下室及8-17栋商住楼工程施工单位:浙江省东阳第三建筑工程有限公司填表人:赵聪日期:2010 年8月23日新工人入场三级安全教育汇总表AQ2.5.1工程名称:天域米兰阳光园一期二区半地下室及8-17栋商住楼工程施工单位:浙江省东阳第三建筑工程有限公司新工人入场三级安全教育汇总表AQ2.5.1工程名称:天域米兰阳光园一期二区半地下室及8-17栋商住楼工程施工单位:浙江省东阳第三建筑工程有限公司新工人入场三级安全教育汇总表AQ2.5.1工程名称:天域米兰阳光园一期二区半地下室及8-17栋商住楼工程施工单位:浙江省东阳第三建筑工程有限公司新工人入场三级安全教育汇总表AQ2.5.1工程名称:天域米兰阳光园一期二区半地下室及8-17栋商住楼工程施工单位:浙江省东阳第三建筑工程有限公司。
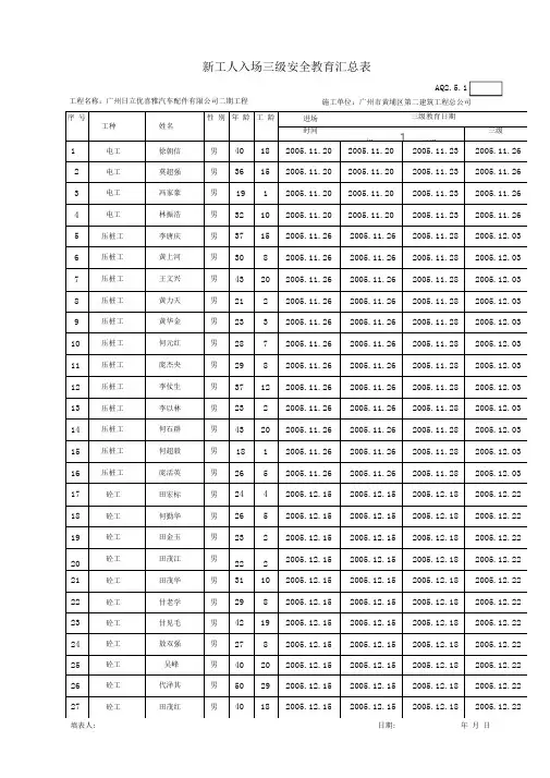
序 号工种姓名 性 别 年 龄 工 龄进场 三级教育日期时间一级1 二级三级1 电工 徐朝信 男 40 18 2005.11.20 2005.11.20 2005.11.232005.11.26 2 电工 莫超强 男 36 15 2005.11.20 2005.11.20 2005.11.23 2005.11.26 3 电工 冯家豪 男 19 1 2005.11.20 2005.11.20 2005.11.23 2005.11.26 4 电工 林振浩 男 32 10 2005.11.20 2005.11.20 2005.11.23 2005.11.26 5 压桩工 李唐庆 男 37 15 2005.11.26 2005.11.26 2005.11.28 2005.12.03 6 压桩工 黄上河 男 30 8 2005.11.26 2005.11.26 2005.11.28 2005.12.03 7 压桩工 王文兴 男 43 20 2005.11.26 2005.11.26 2005.11.28 2005.12.03 8 压桩工 黄力天 男 21 2 2005.11.26 2005.11.26 2005.11.28 2005.12.03 9 压桩工 黄华金 男 23 3 2005.11.26 2005.11.26 2005.11.28 2005.12.03 10 压桩工 何元红 男 28 7 2005.11.26 2005.11.26 2005.11.28 2005.12.03 11 压桩工 庞杰央 男 29 8 2005.11.26 2005.11.26 2005.11.28 2005.12.03 12 压桩工 李仗生 男 37 12 2005.11.26 2005.11.26 2005.11.28 2005.12.03 13 压桩工 李以林 男 23 2 2005.11.26 2005.11.26 2005.11.28 2005.12.03 14 压桩工 何石群 男 43 20 2005.11.26 2005.11.26 2005.11.28 2005.12.03 15 压桩工 何超毅 男 18 1 2005.11.26 2005.11.26 2005.11.28 2005.12.03 16 压桩工 庞活英 男 26 5 2005.11.26 2005.11.26 2005.11.28 2005.12.03 17 砼工 田宏标 男 24 4 2005.12.15 2005.12.15 2005.12.18 2005.12.22 18 砼工 何勤华 男 26 5 2005.12.15 2005.12.15 2005.12.18 2005.12.22 19 砼工 田金玉 男 23 2 2005.12.15 2005.12.15 2005.12.18 2005.12.22 20 砼工 田茂江 男 22 2 2005.12.15 2005.12.15 2005.12.18 2005.12.22 21 砼工 田茂华 男 31 10 2005.12.15 2005.12.15 2005.12.18 2005.12.22 22 砼工 甘老学 男 29 8 2005.12.15 2005.12.15 2005.12.18 2005.12.22 23 砼工 甘见毛 男 42 19 2005.12.15 2005.12.15 2005.12.18 2005.12.22 24 砼工 敖双强 男 27 8 2005.12.15 2005.12.15 2005.12.18 2005.12.22 25 砼工 吴峰 男 40 20 2005.12.15 2005.12.15 2005.12.18 2005.12.22 26 砼工 代泽其 男 50 29 2005.12.15 2005.12.15 2005.12.18 2005.12.22 工程名称:广州日立优喜雅汽车配件有限公司二期工程 AQ2.5.1施工单位:广州市黄埔区第二建筑工程总公司序 号工种姓名 性 别 年 龄 工 龄进场 三级教育日期时间一级1 二级三级28 铁工 文康健 男 26 6 2005.12.15 2005.12.15 2005.12.182005.12.22 29 铁工 文土坤 男 26 5 2005.12.15 2005.12.15 2005.12.18 2005.12.22 30 铁工 文振周 男 25 5 2005.12.15 2005.12.15 2005.12.18 2005.12.22 31 铁工 陈康木 男 22 3 2005.12.15 2005.12.15 2005.12.18 2005.12.22 32 铁工 柯志明 男 23 3 2005.12.15 2005.12.15 2005.12.18 2005.12.22 33 铁工 李卓浩 男 23 2 2005.12.15 2005.12.15 2005.12.18 2005.12.22 34 铁工 文土永 男 29 8 2005.12.15 2005.12.15 2005.12.18 2005.12.22 35 铁工 洪华 男 28 7 2005.12.15 2005.12.15 2005.12.18 2005.12.22 36 铁工 凌康杰 男 26 6 2005.12.15 2005.12.15 2005.12.18 2005.12.22 37 铁工 凌伟强 男 31 10 2005.12.15 2005.12.15 2005.12.18 2005.12.22 38 铁工 罗元坤 男 32 11 2005.12.15 2005.12.15 2005.12.18 2005.12.22 39 铁工 凌亚汗 男 38 15 2005.12.15 2005.12.15 2005.12.18 2005.12.22 40 木工 吴亚伟 男 35 12 2005.12.20 2005.12.20 2005.12.23 2005.12.27 41 木工 吴康森 男 26 6 2005.12.20 2005.12.20 2005.12.23 2005.12.27 42 木工 陈振森 男 23 3 2005.12.20 2005.12.20 2005.12.23 2005.12.27 43 木工 周土武 男 21 1 2005.12.20 2005.12.20 2005.12.23 2005.12.27 44 木工 李豪杰 男 18 1 2005.12.20 2005.12.20 2005.12.23 2005.12.27 45 木工 李亚林 男 47 20 2005.12.20 2005.12.20 2005.12.23 2005.12.27 46 木工 李亚兴 男 37 15 2005.12.20 2005.12.20 2005.12.23 2005.12.27 47 木工 梁亚金 男 47 22 2005.12.20 2005.12.20 2005.12.23 2005.12.27 48 木工 陈上金 男 45 20 2005.12.20 2005.12.20 2005.12.23 2005.12.27 49 木工 陈土兴 男 48 22 2005.12.20 2005.12.20 2005.12.23 2005.12.27 50 木工 叶伟瑞 男 30 10 2005.12.20 2005.12.20 2005.12.23 2005.12.27 51 瓦工 范凯 男 30 10 2005.12.27 2005.12.20 2005.12.23 2005.12.26 52 瓦工从腊元男36 12 2005.12.27 2005.12.20 2005.12.23 2005.12.26 53 瓦工 郑运德 男 39 15 2005.12.27 2005.12.20 2005.12.23 2005.12.26 工程名称:广州日立优喜雅汽车配件有限公司二期工程 AQ2.5.1施工单位:广州市黄埔区第二建筑工程总公司序 号工种姓名 性 别 年 龄 工 龄进场 三级教育日期时间一级1 二级三级55 瓦工 章启祥 男 37 15 2005.12.27 2005.12.20 2005.12.232005.12.26 56 瓦工 尹作虎 男 37 15 2005.12.27 2005.12.20 2005.12.23 2005.12.26 57 瓦工 丁开成 男 42 20 2005.12.27 2005.12.20 2005.12.23 2005.12.26 58 瓦工 李土照 男 34 13 2005.12.27 2005.12.20 2005.12.23 2005.12.26 59 瓦工 李观浩 男 18 1 2005.12.27 2005.12.20 2005.12.23 2005.12.26 60 瓦工 李观森 男 22 2 2005.12.27 2005.12.20 2005.12.23 2005.12.26 61 瓦工 李亚铨 男 41 20 2005.12.27 2005.12.20 2005.12.23 2005.12.26 62 瓦工 李俊呈 男 18 1 2005.12.27 2005.12.20 2005.12.23 2005.12.26 63 瓦工 李康信 男 17 0 2005.12.27 2005.12.20 2005.12.23 2005.12.26 64 瓦工 李康泉 男 31 10 2005.12.27 2005.12.20 2005.12.23 2005.12.26 65 瓦工 李上福 男 24 3 2005.12.27 2005.12.20 2005.12.23 2005.12.26 66 瓦工 李亚强 男 39 15 2005.12.27 2005.12.20 2005.12.23 2005.12.26 67 瓦工 李生 男 40 18 2005.12.27 2005.12.20 2005.12.23 2005.12.26 68 瓦工 李亚来 男 43 20 2005.12.27 2005.12.20 2005.12.23 2005.12.26 69 瓦工 李华 男 42 20 2005.12.27 2005.12.20 2005.12.23 2005.12.26 70 瓦工 李土生 男 46 22 2005.12.27 2005.12.20 2005.12.23 2005.12.26 71 瓦工 李华福 男 17 0 2005.12.27 2005.12.20 2005.12.23 2005.12.26 72 瓦工 李亚舵 男 39 18 2005.12.27 2005.12.20 2005.12.23 2005.12.26 73 架子工 黄华龙男 18 1 2006.01.07 2006.01.04 2006.01.06 2006.01.09 74 架子工 f [. r , > , A黄志军男 29 8 2006.01.07 2006.01.04 2006.01.06 2006.01.09 75 架子工 李水兴 男 43 20 2006.01.07 2006.01.04 2006.01.06 2006.01.09 76 架子工 李兵 男 28 7 2006.01.07 2006.01.04 2006.01.06 2006.01.09 77 钢构工 刘兴中 男 33 12 2006.02.09 2006.02.07 2006.02.09 2006.02.11 78 钢构工 龙文兀 男 26 5 2006.02.09 2006.02.07 2006.02.09 2006.02.11 79 钢构工 黄乾 男 35 13 2006.02.09 2006.02.07 2006.02.09 2006.02.11 80 钢构工 邓小元 男 37 14 2006.02.09 2006.02.07 2006.02.09 2006.02.11 工程名称:广州日立优喜雅汽车配件有限公司二期工程 AQ2.5.1施工单位:广州市黄埔区第二建筑工程总公司序 号工种姓名 性 别 年 龄 工 龄进场 三级教育日期时间一级1二级三级82 钢构工 蒋征云 男 30 8 2006.02.09 2006.02.07 2006.02.09 2006.02.11 83 钢构工 李夏生 男 39 15 2006.02.09 2006.02.07 2006.02.09 2006.02.11 84 钢构工 肖义华 男 26 5 2006.02.09 2006.02.07 2006.02.09 2006.02.11 85 钢构工 唐志强 男 27 6 2006.02.09 2006.02.07 2006.02.09 2006.02.11 86 钢构工 黄德文 男 32 10 2006.02.09 2006.02.07 2006.02.09 2006.02.11 87 钢构工 李华柏 男 36 15 2006.02.09 2006.02.07 2006.02.09 2006.02.11 88 钢构工 王涛 男 18 1 2006.02.09 2006.02.07 2006.02.09 2006.02.11 89钢构工邵现军男2332006.02.092006.02.072006.02.092006.02.11工程名称:广州日立优喜雅汽车配件有限公司二期工程 AQ2.5.1施工单位:广州市黄埔区第二建筑工程总公司。
广东省建筑施工安全管理资料统一用表目录第一章施工企业安全生产管理第一节企业安全管理策划1.在建项目一览表GDAQ1101 (2)2.安全生产保证体系文件一览表GDAQ1102 (3)3.企业安全目标GDAQ1103 (4)4.企业安全目标管理方案(无表式)GDAQ1104 (5)5.施工现场安全生产保证计划(无表式)GDAQ1105 (6)6.施工现场安全生产保证计划评审记录表GDAQ1106 (7)7.施工现场安全生产保证计划变更审评记录表GDAQ1107 (8)8.在建项目危险源与不利环境因素识别与评价汇总表GDAQ1108 (9)9.在建项目危险源与不利环境因素识别评价表GDAQ1109 (10)10.在建项目危险源或不利环境因素控制措施方案要素表GDAQ1110 (11)第二节企业安全管理实施1.安全管理制度一览表GDAQ1201 (13)2.安全教育培训记录汇总表GDAQ1202 (14)3.安全教育培训记录表GDAQ1203 (15)4.安全物资供应商选择、评价记录表GDAQ1204 (16)5.采购和租赁安全物资验证记录表GDAQ1205 (17)6.分包方评价记录表GDAQ1206 (18)7.分包方控制记录表GDAQ1207 (19)8.分包方采购、租赁或自备安全物资验证记录表GDAQ1208 (20)9.施工企业生产安全事故应急救援预案GDAQ1209 (21)第三节企业安全检查1.安全检查和整改记录GDAQ1301 (23)2.安全会议记录表GDAQ1302 (24)3.安全监测仪器校准和维护记录表GDAQ1303 (25)第四节企业安全生产评价一、安全生产条件评价1.安全生产管理评分表(含续表)GDAQ1401 (27)2.安全技术管理评分表GDAQ1402 (29)3.设备与设施管理分项评分表GDAQ1403 (36)4.企业市场行为评分表GDAQ1404 (37)二、安全生产业绩评价5.施工现场安全管理评分表GDAQ1405 (38)三、安全生产评价汇总6.施工企业安全生产评价汇总表GDAQ1406 (39)第二章工程项目安全生产管理第一节工程项目基本情况1.工程概况表GDAQ20101 (43)2.项目安全管理组织机构框架图(无表式)GDAQ20102 (44)3.项目管理人员登记表GDAQ20103 (45)4.项目安全生产管理人员登记表GDAQ20104 (46)5.项目特种作业人员登记表GDAQ20105 (47)6.作业人员平安卡办理情况汇总表GDAQ20106 (48)7.施工总承包单位安全生产管理人员签名笔迹备查表GDAQ20107 (49)8.专业分包单位安全生产管理人员签名笔迹备查表GDAQ20108 (50)9.安全防护、文明施工措施费用使用计划(无表式)GDAQ20109 (51)10.分包方进场登记表GDAQ20110 (52)11.危险性较大分部分项工程汇总表GDAQ20111 (53)12.超过一定规模的危险性较大分部分项工程汇总表GDAQ20112 (54)13.项目部劳动防护用品发放登记表GDAQ20113 (55)第二节责任、目标考核1.安全生产管理人员岗位安全责任书(无表式)GDAQ20201 (59)2.安全生产责任制考核汇总表(年)GDAQ20202 (60)(1)管理人员安全生产责任制考核表GDAQ (61)(2)安全生产责任制班组(部门)考核表GDAQ (62)3.安全生产管理目标考核表(年月)GDAQ20203 (63)4.项目部安全生产管理目标考核表(含续表)GDAQ20204 (64)第三节安全检查一、检查评分1.建筑施工安全检查评分汇总表GDAQ (69)2.安全管理检查评分表GDAQ (70)3.文明施工检查评分表(含续表)GDAQ (71)4.落地式外脚手架检查评分表GDAQ (73)5.悬挑式脚手架检查评分表GDAQ (74)6.门型脚手架检查评分表GDAQ (75)7.挂脚手架检查评分表GDAQ (76)8.吊篮脚手架检查评分表GDAQ (77)9.附着式升降脚手架(整体提升架或爬架)检查评分表(含续表)GDAQ (78)10.基坑支护安全检查评分表GDAQ (80)11.模板工程安全检查评分表GDAQ (81)12.“三宝”、“四口”防护检查评分表GDAQ (82)13.施工用电检查评分表GDAQ (83)14.物料提升机(龙门架、井字架)检查评分表(含续表)GDAQ (84)15.外用电梯(人货两用电梯)检查评分表GDAQ (86)16.塔吊检查评分表GDAQ (87)17.起重吊装安全检查评分表GDAQ (88)18.施工机具检查评分表GDAQ (89)二、隐患整改、停工通知1.项目部安全检查及隐患整改记录表GDAQ (90)2.停工通知书(公司对项目)GDAQ (91)3.复工申请书(项目部报公司)GDAQ (92)第四节分部分项工程安全技术交底1.管理人员进场安全交底表GDAQ20401 (95)2.分部(分项)工程安全技术交底GDAQ20402 (96)3.分部(分项)工程安全技术交底汇总表GDAQ20403 (97)第五节安全教育1.新工人安全教育汇总表GDAQ20501 (101)2.新工人入场三级安全教育登记表GDAQ20502 (102)(1)公司(第一级)安全教育记录GDAQ (103)(2)项目部(第二级)安全教育记录GDAQ (105)(3)班组(第三级)安全教育记录GDAQ (107)广东省建筑安全统一用表3.变换工种安全教育登记表GDAQ20503 (109)4.作业人员安全教育登记表GDAQ20504 (110)5.管理人员安全教育登记表GDAQ20505 (111)6.急救人员安全教育登记表GDAQ20506 (112)7.节后安全教育登记表GDAQ20507 (113)8.日常安全教育登记表GDAQ20508 (114)9.应急知识教育登记表GDAQ20509 (115)第六节安全活动记录1.班组班前安全活动记录(含续表)GDAQ20601 (119)2.施工安全日记GDAQ20602(含续表) (121)3.基坑支护水平位移观测记录表GDAQ20603 (124)4.基坑支护沉降观测记录表GDAQ20604 (125)5.气体检测记录GDAQ20605 (126)6.施工现场临时用电设备明细表GDAQ20606 (127)7.接地电阻测试记录表GDAQ20607 (128)8.电气线路绝缘强度测试记录表GDAQ20608 (129)9.施工现场临时用电设备检查记录表GDAQ20609 (130)10.安全防护用具检查记录表GDAQ20610 (131)11.施工机具及配件检查维护保养记录表GDAQ20611 (132)12.建筑起重机械维护保养记录表(含续表)GDAQ20612 (133)13.建筑起重机械运行记录(含续表)GDAQ20613 (135)第七节事故应急救援及调查处理1.事故应急救援演练计划(无表式)GDAQJ207012.事故应急救援演练记录(无表式)GDAQ3.工程建设质量安全事故快报(含续表)GDAQ20703 (141)4.事故调查处理有关文件汇总(无表式)GDAQ20704 (143)5.意外伤害保险登记表GDAQ20705 (144)第八节安全警示标志1.安全警示标志平面布置图GDAQ20801 (147)2.施工现场安全警示标志检查表(含续表)GDAQ20802 (148)第九节安全防护用具、设备设施验收表一、安全防护用具、设备验收表1.安全防护用具进场查验登记表GDAQ (153)2.机械设备进场查验登记表GDAQ (154)3.施工机具及配件进场查验登记表GDAQ (155)4.建筑起重机械安装验收表GDAQ (157)5.建筑起重机械基础验收表GDAQ (158)6.施工升降机附着验收表(含续表)GDAQ (159)7.塔式起重机附着验收记录表GDAQ (161)8.安装自检记录表(1)施工升降机安装自检表(含续表)GDAQ (162)(2)施工升降机附着自检表(含续表)GDAQ (173)(3)塔式起重机安装自检表(含续表)GDAQ (175)(4)塔式起重机附着自检表(含续表)GDAQ (187)(5)物料提升机安装自检表(含续表)GDAQ (189)(6)架桥机安装自检表(含续表)GDAQ (197)(7)桥(门)式起重机安装自检表(含续表)GDAQ (207)9.定期自检记录表(1)施工升降机定期自检表(含续表)GDAQ (218)(2)塔式起重机定期自检表(含续表)GDAQ (220)共9页第3页(3)物料提升机定期自检表(含续表)GDAQ (222)(4)架桥机定期自检表(含续表)GDAQ (224)(5)桥(门)式起重机定期自检表(含续表)GDAQ (226)二、设施验收表1.脚手架验收表(1)扣件式钢管脚手架基础验收表GDAQ (228)(2)门式钢管脚手架基础验收表GDAQ (229)(3)扣件式钢管脚手架验收表GDAQ (230)(4)门型脚手架验收表(含续表)GDAQ (232)(5)悬挑式脚手架验收表GDAQ (234)(6)吊篮脚手架验收表GDAQ (235)(7)附着式整体和分片提升脚手架验收表(含续表)GDAQ (236)2.混凝土模板工程验收表(含续表)GDAQ (238)3.临边洞口防护验收表GDAQ (240)4.施工现场临时用电验收表(含续表)GDAQ (241)5.人工挖孔桩防护验收表(含续表)GDAQ (243)第十节建筑起重机械产权备案、安装(拆卸)告知、使用登记用表1.建筑起重机械备案申报表(施工升降机)GDAQ21001 (247)2.建筑起重机械备案申报表(塔式起重机)GDAQ21002 (248)3.建筑起重机械备案申报表(门式起重机)GDAQ21003 (249)4.建筑起重机械备案申报表(物料提升机)GDAQ21004 (250)5.建筑起重机械备案申报材料清单GDAQ21005 (251)6.建筑起重机械安装(拆卸)告知表GDAQ21006 (252)7.建筑起重机械安装(拆卸)告知材料清单GDAQ21007 (253)8.安装塔式起重机相关安全条件确认表GDAQ21008 (254)9.建筑起重机械使用登记牌(施工升降机)GDAQ21009 (255)10.建筑起重机械使用登记牌(塔式起重机)GDAQ21010 (256)11.建筑起重机械使用登记牌(门式起重机)GDAQ21011 (257)12.建筑起重机械使用登记牌(物料提升机)GDAQ21012 (258)13.建筑起重机械办理使用登记牌材料清单GDAQ21013 (259)14.建筑起重机械安装(拆卸)作业公示牌GDAQ21014 (260)第十一节报审表1.安全专项施工方案GDAQ21101 (263)2.专业承包工程安全专项施工方案GDAQ21102 (264)3.安全专项施工方案报审表GDAQ21103 (265)4.模板拆除审批表GDAQ21104 (266)第十二节文明施工1.五牌一图(无表式)GDAQ21201 (269)2.消防安全管理组织机构框架图(无表式)GDAQ21202 (270)3.动火作业审批表GDAQ21203 (271)4.急救人员登记表GDAQ21204 (273)5.厨房工作人员健康证登记表GDAQ21205 (274)6.施工现场消防设施验收表GDAQ21206 (275)7.施工现场消防重点部位登记表GDAQ21207 (276)第十三节施工起重机械、安全设施、安全防护用品检测报告1.安全带检验报告GDAQ21301 (279)2.安全帽检验报告GDAQ21302 (280)3.安全网检验报告GDAQ21303 (281)4.钢管脚手架(对接)扣件检验报告GDAQ21304 (282)5.钢管脚手架(旋转)扣件检验报告GDAQ21305 (283)6.钢管脚手架(直角)扣件检验报告GDAQ21306 (284)广东省建筑安全统一用表7.门式钢管脚手架(门架)检验报告GDAQ21307 (285)8.门式钢管脚手架(底座)检验报告GDAQ21308 (286)9.碗扣式钢管脚手架检验报告GDAQ21309 (287)10.广东省建筑工程施工升降机安装检验评定报告GDAQ21310 (288)11.广东省建筑工程塔式起重机安装检验评定报告(含续表)GDAQ21311 (301)12.广东省建筑工程物料提升机安装检验评定报告(含续表)GDAQ21312 (312)13.高处作业吊篮检测报告GDAQ2131314.桥(门)式起重机检验报告GDAQ21314第三章施工安全生产技术资料第一节安全生产管理制度1.项目安全管理制度汇编GDAQ3101 (327)第二节安全专项施工方案1.施工现场临时用电安全专项施工方案编制要点GDAQ32012.建筑基坑支护安全专项施工方案编制要点GDAQ32023.土方开挖施工安全专项施工方案编制要点GDAQ32034.模板施工安全专项施工方案编制要点GDAQ32045.起重吊装工程安全专项施工方案编制要点GDAQ32056.扣件式钢管脚手架安全专项施工方案编制要点GDAQ32067.塔式起重机、施工升降机、物料提升机安装(拆卸)安全专项施工方案编制要点GDAQ32078.人工挖孔桩工程安全专项施工方案编制要点GDAQ32089.拆除工程安全专项施工方案编制要点GDAQ320910.施工现场应急救援预案编制要点GDAQ3210第三节安全技术交底一、地基与基础工程1.土方工程安全技术交底GDAQ (359)2.回填土工程安全技术交底GDAQ (360)3.深基坑工程安全技术交底GDAQ (361)4.静力压桩工程安全技术交底GDAQ (362)5.钻孔桩机安全技术交底GDAQ (363)6.冲孔桩机安全技术交底GDAQ (364)7.蒸汽打桩机安全技术交底GDAQ (365)8.多功能打桩机安全技术交底GDAQ (367)9.水上打桩工程安全技术交底GDAQ (368)10.振动沉拔桩机安全技术交底GDAQ (369)11.人工挖孔桩安全技术交底GDAQ (370)12.人工挖孔桩钢筋安装安全技术交底GDAQ (371)13.人工挖孔桩混凝土浇灌安全技术交底GDAQ (372)14.人工土方开挖安全技术交底GDAQ (373)15.地下连续墙施工安全技术交底GDAQ (374)16.沉井施工安全技术交底GDAQ (375)17.干作业螺旋钻孔成孔灌注桩施工安全技术交底GDAQ (376)18.钻孔灌注桩安全技术交底GDAQ (377)二、模板工程1.模板工程安全技术交底GDAQ (378)2.高支模模板支架工程安全技术交底GDAQ (379)3.大模板的堆放、安装和拆除安全技术交底GDAQ (380)4.滑升模板安全技术交底GDAQ (381)5.拆除模板支架安全技术交底GDAQ (382)三、脚手架工程1.门型钢管外脚手架安全技术交底GDAQ (383)共9页第5页2.落地式钢管外脚手架搭设安全技术交底GDAQ (384)3.落地式钢管外脚手架拆除安全技术交底GDAQ (385)4.附着式整体和分片提升脚手架工程安全技术交底GDAQ (386)5.附着整体和分片提升脚手架升降作业技术交底GDAQ (387)6.附着整体和分片脚手架安装搭设施工技术交底GDAQ (388)7.悬挑脚手架作业安全技术交底GDAQ (389)四、钢筋混凝土工程1.钢筋工程安全技术交底GDAQ (390)2.钢筋调直机安全技术交底GDAQ (391)3.钢筋弯曲机安全技术交底GDAQ (392)4.钢筋冷拉机安全技术交底GDAQ (393)5.预应力钢筋拉伸设备安全技术交底GDAQ (394)6.钢筋切断机安全技术交底GDAQ (395)7.钢筋对焊机安全技术交底GDAQ (396)8.混凝土工程安全技术交底GDAQ (397)9.砌块工程施工安全技术交底GDAQ (398)10.泵送混凝土工程作业安全技术交底GDAQ (399)五、施工机具1.混凝土喷射机安全技术交底GDAQ (400)2.搅拌机安全技术交底GDAQ (401)3.砂浆拌和机安全技术交底GDAQ (402)4.圆盘锯安全技术交底GDAQ (403)5.木工平刨安全技术交底GDAQ (404)6.自动压刨安全技术交底GDAQ (405)7.砂轮转机安全技术交底GDAQ (406)8.空气压缩机安全技术交底GDAQ (407)9.机动翻斗车安全技术交底GDAQ (409)10.水磨石机安全技术交底GDAQ (410)六、机械设备1.塔式起重机安装(拆卸)安全技术交底GDAQ2.塔式起重机附着爬升(降塔)安全技术交底GDAQ3.塔式起重机操作安全技术交底GDAQ4.施工升降机安装(拆卸)安全技术交底GDAQ5.施工升降机操作安全技术交底GDAQ6.物料提升机安装(拆卸)安全技术交底GDAQ7.物料提升机操作安全技术交底GDAQ8.桥(门)式起重机安装(拆卸)安全技术交底GDAQ9.桥(门)式起重机操作安全技术交底GDAQ10.架桥机安装(拆卸)安全技术交底GDAQ11.架桥机操作安全技术交底GDAQ12.挖掘机安全技术交底GDAQ13.起重指挥司索工安全技术交底GDAQ七、装饰装修工程1.外墙装饰抹灰工程安全技术交底GDAQ (433)2.油漆作业安全技术交底GDAQ (434)3.玻璃工程安全技术交底GDAQ (435)4.玻璃幕墙工程安全技术交底GDAQ (436)5.门窗安装工程安全技术交底GDAQ (437)6.卷材屋面施工安全技术交底GDAQ (438)7.灌浆堵漏施工安全技术交底GDAQ (439)八、钢结构工程1.金属加工、机修工程安全技术交底GDAQ (440)2.铁器构件安装工程安全技术交底GDAQ (441)3.钢结构及铁件制作工程安全技术交底GDAQ (442)4.钢结构吊装安全技术交底GDAQ (443)5.构件吊装安全技术交底GDAQ (444)广东省建筑安全统一用表九、其他作业1.电焊工安全技术交底GDAQ (445)2.高处作业及登高架设作业安全技术交底GDAQ (446)3.气焊(割)作业技术交底GDAQ (447)4.拆除工程安全技术交底GDAQ (448)5.临时用电工程安全技术交底GDAQ (449)6.装卸工作安全技术交底GDAQ (451)7.爆破工程安全技术交底GDAQ (452)8.顶管工程安全技术交底GDAQ (453)9.管道施工工程安全技术交底GDAQ (454)10.电梯安装安全技术交底GDAQ (455)11.通风与空调工程设备安装安全技术交底GDAQ (456)第四节各工种及机械设备安全操作规程一、各工种安全操作规程1.普通工(杂工)安全操作规程GDAQ (459)2.凿岩爆破工安全操作规程GDAQ (460)3.木工安全操作规程GDAQ (462)4.钢筋工安全操作规程GDAQ (463)5.混凝土工安全操作规程GDAQ (465)6.搅拌机操作工安全操作规程GDAQ (466)7.抹灰工安全操作规程GDAQ (467)8.瓦工安全操作规程GDAQ (468)9.架子工安全操作规程GDAQ (469)10.高空作业安全操作规程GDAQ (471)11.建筑电工安全操作规程GDAQ (472)12.电焊工安全操作规程GDAQ (474)13.气焊(割)工安全操作规程GDAQ (475)14.机械操作工安全操作规程GDAQ (476)15.机械维修工安全操作规程GDAQ (477)16.卷扬机司机安全操作规程GDAQ (478)17.物料提升机司机安全操作规程GDAQ (479)18.施工升降机司机安全操作规程GDAQ (480)19.塔式起重机司机安全操作规程GDAQ (481)20.架桥机司机安全操作规程GDAQ (482)21.门式起重机司机安全操作规程GDAQ (484)22.桥式起重机司机安全操作规程GDAQ (486)23.起重指挥司索工安全操作规程GDAQ24.流动式起重机司机安全操作规程GDAQ J3T4012425.打桩机司机安全操作规程GDAQ26.打桩工安全操作规程GDAQ27.机动车司机安全操作规程GDAQ28.土方机械司机安全操作规程GDAQ29.保温、防水工安全操作规程GDAQ30.安装钳工铆工安全操作规程GDAQ31.管道安装工安全操作规程GDAQ L32.通风工安全操作规程GDAQ33.油漆涂料工安全操作规程GDAQ34.玻璃工安全操作规程GDAQ二.各种机械设备安全操作规程1.塔式起重机安全操作规程GDAQ (503)2.施工升降机安全操作规程GDAQ (505)3.物料提升机安全操作规程GDAQ (507)4.架桥机安全操作规程GDAQ (508)共9页第7页5.门式、桥式起重机安全操作规程GDAQ (514)6.起重吊车安全操作规程GDAQ (515)7.圆盘锯安全操作规程GDAQ (517)8.木工平刨机安全操作规程GDAQ (518)9.钢筋切断机安全操作规程GDAQ (519)10.钢筋对焊机安全操作规程GDAQ (520)11.钢筋弯曲机安全操作规程GDAQ (521)12.套丝切管机安全操作规程GDAQ (522)13.钢筋冷挤压连接机安全操作规程GDAQ (523)14.混凝土泵机安全操作规程GDAQ (524)15.混凝土搅拌机安全操作规程GDAQ (526)16.混凝土插人式振动器安全操作规程GDAQ (528)17.混凝土附着式、平板式振动器安全操作规程GDAQ (529)18.砂浆搅拌机安全操作规程GDAQ (530)19.蛙式夯实机安全操作规程GDAQ (531)20.振动冲击夯机安全操作规程GDAQ (532)21.交流电焊机安全操作规程GDAQ (533)22.水磨石机安全操作规程GDAQ (534)23.手持电动工具安全操作规程GDAQ (535)24.砂轮机安全操作规程GDAQ (537)25.机动翻斗车安全操作规程GDAQ (538)26.装载机安全操作规程GDAQ (539)27.柴油锤桩机安全操作规程GDAQ (540)28.振动锤桩机安全操作规程GDAQ (541)29.静力压桩机安全操作规程GDAQ (543)30.强夯机安全操作规程GDAQ (544)31.风动凿岩机安全操作规程GDAQ (545)32.空气压缩机安全操作规程GDAQ (546)33.发电机安全操作规程GDAQ (547)34.潜水泵安全操作规程GDAQ (548)35.混凝土真空吸水设备安全操作规程GDAQ (549)36.混凝土切割机安全操作规程GDAQ (550)37.推土机安全操作规程GDAQ (551)38.振动压路机安全操作规程GDAQ (553)第四章安全监理资料第一节安全监理制度1.监理单位安全监理责任制编制要点GDAQ4101 (557)2.监理单位安全管理制度编制要点GDAQ4102 (560)3.监理单位安全教育培训制度编制要点GDAQ4103 (562)第二节安全监理方案及实施细则1.安全监理方案GDAQ4201 (565)2.安全监理实施细则GDAQ4202 (566)第三节安全监理用表1.监理单位管理人员签名笔迹备查表GDAQ4301 (569)2.安全会议纪要(含续表)GDAQ4302 (570)3.安全监理工作计划表GDAQ4303 (572)4.安全监理工作联系单GDAQ4304 (573)5.安全监理日志GDAQ4305 (574)6.施工安全监理周报(报建设工程安全监督站)GDAQ4306 (575)7.建筑施工起重机械安装/拆卸旁站监理记录表GDAQ4307 (576)8.危险性较大的分部分项工程旁站监理记录表GDAQ4308 (577)广东省建筑安全统一用表9.安全隐患整改通知(监理对施工单位项目部)GDAQ430910.安全隐患整改通知回复(施工单位项目部报监理)GDAQ431011.暂时停止施工通知(监理对施工单位项目部)GDAQ431112.复工申请(施工单位项目部报监理)GDAQ431213.安全监理重大情况报告GDAQ431314.安全专项施工方案报审表GDAQ2110315.危险性较大分部分项工程安全专项施工方案专家论证审查表GDAQ431416.安全防护、文明施工措施费用使用计划报审表GDAQ431517.施工单位(总包,分包)安全管理体系报审表GDAQ431618.施工安全防护用具、设备、器材报审表GDAQ431719.建设工程施工安全评价书GDAQ4318附录一工程项目安全生产管理资料组卷目录共9页第9页。
新工人入场三级安全教育登记表AQ2.5.2 工程名称:施工单位:填表说明:1.应建立健全定期的安全生产教育培训制度。
2.新工人入场必须填写登记表个人部分的内容。
3.进行公司、项目部、班组每级安全教育后,经教育人和受教育人分别签名。
公司(第一级)安全教育记录注明:1.对新进工人或调换工种的工人必须按规定进行安全教育和技术培训,经考核合格,方准上岗。
三级安全教育是每个企业的新工人首次安全方面的基本教育,三级安全教育分为分公司或项目部、车间或工段、班组共三级。
2.一级教育:主要进行安全基本知识、法律、法规、标准规范的教育,授课人必须编写教学大纲或依据培训教材进行。
3.教育内容只写提纲,内容附后。
4.一级教育不少于15小时。
5.此表一式两份,公司或项目部、资料存档各一份。
工程项目部(第二级)安全教育记录注明:1.对新进工人或调换工种的工人必须按规定进行安全教育和技术培训,经考核合格,方准上岗。
三级安全教育是每个企业的新工人首次安全方面的基本教育,三级安全教育分为分公司或项目部、车间或工段、班组共三级。
2.二级教育:主要进行现场规章制度、作业环境、遵章守纪教育。
3.教育内容只写提纲,内容附后。
4.二级教育不少于15小时。
5.此表一式三份,公司或项目部和车间或是工段、项目资料存档各一份。
班组(第三级)安全教育记录注明:1.对新进工人或调换工种的工人必须按规定进行安全教育和技术培训,经考核合格,方准上岗。
三级安全教育是每个企业的新工人首次安全方面的基本教育,三级安全教育分为分公司或项目部、车间或工段、班组共三级。
2.三级教育:主要进行本工种安全技术操作规程、作业环境、遵章守纪及本班过去事故案例教育3.教育内容只写提纲,内容附后。
4.二级教育不少于20小时。
5.此表一式三份,公司或项目部、班组、项目资料存档各一份。
新工人入场三级安全教育汇总表工程名称:施工单位:。
新工人入场三级安全教育汇总表AQ2.5.1填表人:谢旭忠日期: 2004年10月11日新工人入场三级安全教育汇总表AQ2.5.1 工程名称:广州美术学院设计教学综合大楼施工单位:广东省第一建筑工程有限公司填表人:谢旭忠日期: 2004年10月11日新工人入场三级安全教育汇总表AQ2.5.1 工程名称:广州美术学院设计教学综合大楼施工单位:广东省第一建筑工程有限公司填表人:谢旭忠日期: 2004年12月11日新工人入场三级安全教育汇总表AQ2.5.1 工程名称:广州美术学院设计教学综合大楼施工单位:广东省第一建筑工程有限公司填表人:谢旭忠日期: 2005年3月20日新工人入场三级安全教育汇总表AQ2.5.1 工程名称:广州美术学院设计教学综合大楼施工单位:广东省第一建筑工程有限公司填表人:谢旭忠日期: 2005年3月20日新工人入场三级安全教育汇总表AQ2.5.1 工程名称:广州美术学院设计教学综合大楼施工单位:广东省第一建筑工程有限公司填表人:谢旭忠日期: 2005年5月09日新工人入场三级安全教育汇总表AQ2.5.1 工程名称:广州美术学院设计教学综合大楼施工单位:广东省第一建筑工程有限公司填表人:谢旭忠日期: 2005年6月10日新工人入场三级安全教育汇总表AQ2.5.1 工程名称:广州美术学院设计教学综合大楼施工单位:广东省第一建筑工程有限公司填表人:谢旭忠日期: 2005年6月10日新工人入场三级安全教育汇总表AQ2.5.1填表人:谢旭忠日期: 2005年7月24日新工人入场三级安全教育汇总表AQ2.5.1 工程名称:广州美术学院设计教学综合大楼施工单位:广东省第一建筑工程有限公司填表人:谢旭忠日期: 2005年5月24日新工人入场三级安全教育汇总表AQ2.5.1 工程名称:广州美术学院设计教学综合大楼施工单位:广东省第一建筑工程有限公司填表人:谢旭忠日期: 2005年7月25日新工人入场三级安全教育汇总表AQ2.5.1 工程名称:广州美术学院设计教学综合大楼施工单位:广东省第一建筑工程有限公司填表人:谢旭忠日期: 2005年7月25日新工人入场三级安全教育汇总表AQ2.5.1填表人:谢旭忠日期: 2005年7月25日新工人入场三级安全教育汇总表AQ2.5.1填表人:谢旭忠日期: 2005年9月10日新工人入场三级安全教育汇总表AQ2.5.1 工程名称:广州美术学院设计教学综合大楼施工单位:广东省第一建筑工程有限公司填表人:谢旭忠日期: 2006年02月24日新工人入场三级安全教育汇总表AQ2.5.1 工程名称:广州美术学院设计教学综合大楼施工单位:广东省第一建筑工程有限公司填表人:谢旭忠日期: 2006年02月24日新工人入场三级安全教育汇总表AQ2.5.1填表人:谢旭忠日期: 2006年02月16日新工人入场三级安全教育汇总表AQ2.5.1填表人:谢旭忠日期: 2006年02月22日新工人入场三级安全教育汇总表AQ2.5.1 工程名称:广州美术学院设计教学综合大楼施工单位:广东省第一建筑工程有限公司填表人:谢旭忠日期: 2006年02月17日新工人入场三级安全教育汇总表AQ2.5.1填表人:谢旭忠日期: 2006年02月19日新工人入场三级安全教育汇总表AQ2.5.1 工程名称:广州美术学院设计教学综合大楼施工单位:广东省第一建筑工程有限公司填表人:谢旭忠日期: 2006年02月19日新工人入场三级安全教育汇总表AQ2.5.1填表人:谢旭忠日期: 2006年05月21日新工人入场三级安全教育汇总表AQ2.5.1填表人:谢旭忠日期: 2006年05月21日新工人入场三级安全教育汇总表AQ2.5.1 工程名称:广州美术学院设计教学综合大楼施工单位:广东省第一建筑工程有限公司填表人:谢旭忠日期: 2006年05月29日。
新工人入场三级安全教育汇总表AQ 2.5.1□工程名称:施工单位:序号工种姓名性别年龄工龄进场时间三级教育日期一级二级三级填表人:日期:年月日2.5.2新工人入场三级安全教育登记表AQ 2.5.2□工程名称:施工单位:姓名性别出生年月文化程度家庭地址入场日期班组工作卡号身份证号三级安全教育内容教育人受教育人公司教育进行安全基本知识、法规、法制教育,主要内容是:1、党和国家的安全生产方针、政策2、安全生产法规、标准和安全知识3、企业安全生产规章制度、安全纪律4、安全生产形势及重大事故案例教训5、发生事故后如何抢救伤员、排险、保护现场和及时进行报告。
签名:签名:年月日工程项目部教育进行现场规章制度和遵章守纪教育,主要内容是:1、本项目施工特点、可能存在的部安全因素及必须遵守的事项2、本单位(包括施工、生产现场)安全生产制度、规定和安全注意事项3、本工种的安全技术操作规程4、高处作业、机械设备、电气安全基础知识5、防火、防毒、防尘、防爆知识及紧急情况安全处置和安全疏散知识6、防护用品发放标准及防护用品、用具使用的基本知识签名:签名:年月日班组教育进行本工种岗位安全操作及班组安全制度、纪律教育,主要内容是:1、本班组作业特点及安全操作规程2、班组安全活动制度及纪律3、正确使用安全防护装置(设施)及个人劳动防护用品4、本岗位易发生事故的不安全因素及其防范对策,本工种事故案例剖析5、本岗位的作业环境及使用的机械签名:签名:设备、工具的安全要求填表说明:1、应建立健全定期的安全生产教育培训制度2、新工人入场必须填写登记表个人部分的内容3、进行公司、项目部、班组每级安全教育后,经教育人和受教育人分别签名。
目录第一部分安全管理一、工程项目基本情况1.工程概况表GDAQ201012.项目安全管理组织机构框架图(无表式)GDAQ201023.项目管理人员登记表GDAQ201034.项目安全生产管理人员登记表GDAQ201045.项目特种作业人员登记表GDAQ201056.作业人员平安卡办理情况汇总表GDAQ201067.施工总承包单位安全生产管理人员签名笔迹备查表GDAQ20107 8.专业分包单位安全生产管理人员签名笔迹备查表GDAQ201089.安全防护、文明施工措施费用使用计划(无表式)GDAQ2010910.分包方进场登记表GDAQ2011011.危险性较大分部分项工程汇总表GDAQ2011112.超过一定规模的危险性较大分部分项工程汇总表GDAQ2011213.项目部劳动防护用品发放登记表GDAQ20113二、安全生产责任制度三、安全生产责任制考核1.安全生产管理人员岗位安全责任书(无表式)GDAQ202012.安全生产责任制考核汇总表GDAQ202023.管理人员安全生产责任制考核表GDAQ20202014.安全生产责任制班组(部门)考核表GDAQ20202025.安全生产管理目标考核表GDAQ202036.项目部安全生产管理目标考核表GDAQ20204四、安全专项施工方案(分别归档至各分部分项工程)五、各工种及机械设备安全技术操作规程(分别归档至各分部分项工程)(一)各工种安全操作规程1.普通工(杂工)安全操作规程GDAQ3401012.凿岩爆破工安全操作规程GDAQ3401023.木工安全操作规程GDAQ3401034.钢筋工安全操作规程GDAQ3401045.混凝土工安全操作规程GDAQ3401056.搅拌机操作工安全操作规程GDAQ3401067.抹灰工安全操作规程GDAQ3401078.瓦工安全操作规程GDAQ3401089.架子工安全操作规程GDAQ34010910.高空作业安全操作规程GDAQ34011011.建筑电工安全操作规程GDAQ34011112.电焊工安全操作规程GDAQ34011213.气焊(割)工安全操作规程GDAQ34011314.机械操作工安全操作规程GDAQ34011415.机械维修工安全操作规程GDAQ34011516.卷扬机司机安全操作规程GDAQ34011617.物料提升机司机安全操作规程GDAQ34011718.施工升降机司机安全操作规程GDAQ34011819.塔式起重机司机安全操作规程GDAQ34011920.架桥机司机安全操作规程GDAQ34012021.门式起重机司机安全操作规程GDAQ34012122.桥式起重机司机安全操作规程GDAQ34012223.起重指挥司索工安全操作规程GDAQ34012324.流动式起重机司机安全操作规程GDAQ34012425.打桩机司机安全操作规程GDAQ34012526.打桩工安全操作规程GDAQ34012627.机动车司机安全操作规程GDAQ34012728.土方机械司机安全操作规程GDAQ34012829.保温、防水工安全操作规程GDAQ34012930.安装钳工铆工安全操作规程GDAQ34013031.管道安装工安全操作规程GDAQ34013132.通风工安全操作规程CDAQ34013233.油漆涂料工安全操作规程GDAQ34013334.玻璃工安全操作规程GDAQ34013435.其他工种安全操作规程(根据工程现场情况制定)(二)各种机械设备安全操作规程1.塔式起重机安全操作规程GDAQ3402012.施工升降机安全操作规程GDAQ3402023.物料提升机安全操作规程GDAQ3402035.门式、桥式起重机安全操作规程GDAQ3402056.起重吊车安全操作规程GDAQ3402067.圆盘锯安全操作规程GDAQ3402078.木工平刨机安全操作规程GDAQ3402089.钢筋切断机安全操作规程GDAQ340209IO. 钢筋对焊机安全操作规程GDAQ34021011. 钢筋弯曲机安全操作规程GDAQ34021112. 套丝切管机安全操作规程GDAQ34021213. 钢筋冷挤压连接机安全操作规程GDAQ34021314. 混凝土泵机安全操作规程GDAQ34021415. 混凝土搅拌机安全操作规程GDAQ34021516. 混凝土插人式振动器安全操作规程GDAQ34021617. 混凝土附着式、平板式振动器安全操作规程GDAQ34021718. 砂浆搅拌机安全操作规程GDAQ34021819. 蛙式夯实机安全操作规程GDAQ34021920. 振动冲击夯机安全操作规程GDAQ34022021. 交流电焊机安全操作规程GDAQ34022122. 水磨石机安全操作规程GDAQ34022223.手持电动工具安全操作规程GDAQ34022324.砂轮机安全操作规程GDAQ34022425.机动翻斗车安全操作规程GDAQ34022527.柴油锤桩机安全操作规程GDAQ34022728.振动锤桩机安全操作规程GDAQ34022829.静力压桩机安全操作规程GDAQ34022930.强夯机安全操作规程GDAQ34023031.风动凿岩机安全操作规程GDAQ34023132.空气压缩机安全操作规程GDAQ34023233.发电机安全操作规程GDAQ34023334.潜水泵安全操作规程GDAQ34023435.混凝土真空吸水设备安全操作规程GDAQ34023536.混凝土切割机安全操作规程GDAQ34023637.推土机安全操作规程GDAQ34023738.振动压路机安全操作规程GDAQ34023839.其他设备安全操作规程(根据工程现场情况制定)六、分部(分项)工程安全技术交底(分别归档至各分部分项工程)(一)分部(分项)工程安全技术交底汇总表GDAQ20403(二)地基与基础工程1.土方工程安全技术交底GDAQ3301012.回填土工程安全技术交底GDAQ3301023.深基坑工程安全技术交底GDAQ3301034.静力压桩工程安全技术交底GDAQ3301045.钻孔桩机安全技术交底GDAQ3301056.冲孔桩机安全技术交底GDAQ3301067.蒸汽打桩机安全技术交底GDAQ3301078.多功能打桩机安全技术交底GDAQ3301089.水上打桩工程安全技术交底GDAQ33010910.振动沉拔桩机安全技术交底GDAQ33011011.人工挖孔桩安全技术交底GDAQ33011112.人工挖孔桩钢筋安装安全技术交底GDAQ33011213.人工挖孔桩混凝土浇筑安全技术交底GDAQ33011314.人工土方开挖安全技术交底GDAQ33011415.地下连续墙施工安全技术交底GDAQ33011516.沉井施工安全技术交底GDAQ33011617.干作业螺旋钻孔成孔灌注桩施工安全技术交底GDAQ33011718.钻孔灌注桩安全技术交底GDAQ33011819.其他地基与基础工程安全技术交底(根据工程现场情况制定)(三)模板工程1.模板工程安全技术交底GDAQ3302012.高支模模板支架工程安全技术交底GDAQ3302023.大模板的堆放、安装和拆除安全技术交底GDAQ3302034.滑升模板安全技术交底GDAQ3302045.拆除模板支架安全技术交底GDAQ3302056.其他模板工程安全技术交底(根据工程现场情况制定)(四)脚手架工程1.门式钢管脚手架安全技术交底GDAQ3303012.落地式钢管脚手架搭设安全技术交底GDAQ3303023.落地式钢管脚手架拆除安全技术交底GDAQ3303034.附着式整体和分片提升脚手架工程安全技术交底GDAQ3303045.附着式整体和分片提升脚手架升降作业技术交底GDAQ3303056.附着式整体和分片脚手架安装搭设施工技术交底GDAQ3303067.悬挑脚手架作业安全技术交底GDAQ3303078.其他脚手架工程安全技术交底(根据工程现场情况制定)(五)钢筋混凝土工程1.钢筋工程安全技术交底GDAQ3304012.钢筋调直机安全技术交底GDAQ3304023。