整式的乘法练习题
- 格式:doc
- 大小:56.50 KB
- 文档页数:2
整式的乘法和因式分解经典练习题整式的乘法和因式分解一、选择题(共16小题)1.下列运算正确的是()A。
a+2a=3aB。
a3·a2=a5C。
(a4)2=a8D。
a4+a2=a62.若a+b=3,a2+b2=7,则ab等于()A。
2B。
1C。
-2D。
-13.计算(-a-b)2等于()A。
a2+b2B。
a2-b2C。
a2+2ab+b2D。
a2-2ab+b24.下列运算中正确的是()A。
(x4)2=x8B。
x+x=2xC。
x2·x3=x5D。
(-2x)2=4x25.(-am)5·an=A。
-a5+m+nB。
a5+m+nC。
a5m+nD。
-a5m+n6.若(x-3)(x+4)=x2+px+q,那么p、q的值是()A。
p=1,q=-12B。
p=-1,q=12C。
p=7,q=12D。
p=7,q=-127.(xn+1)2(x2)n-1=A。
x4nB。
x4n+3C。
x4n+1D。
x4n-18.下列各式中不能用平方差公式计算的是()A。
(x-y)(-x+y)B。
(-x+y)(-x-y)C。
(-x-y)(x-y)D。
(x+y)(-x+y)9.已知m+n=2,mn=-2,则(1-m)(1-n)的值为()A。
-3B。
-1C。
1D。
5二、填空题(共7小题)10.已知10m=3,10n=2,则102m-n=1000/10n-m,如果(a3)2·ax=a24,则x=1/a11.分解因式:x2-1=(x+1)(x-1)12.分解因式:3ax2-6axy+3ay2=3a(x-y)213.x2+kx+9是完全平方式,则k=-614.化简:(-2a2)3=-8a615.因式分解:y3-4x2y=y(y-2x)(y+2x)三、解答题16.(1) 分解因式:(a2+b2)2-4a2b2=(a+b)2(a-b)22) 化简求值:(x+3)-(x-1)(2x-2),其中x=-1.x+3)-(x-1)(2x-2)=x+3-(2x-2-x+1)=2,当x=-1时,(x+3)-(x-1)(2x-2)=217.已知。
整式的乘法简便运算练习题一、选择题1. 计算下列表达式的结果:A. (2x^2 - 3x + 1)(3x - 1)B. (4x + 1)(4x - 1)C. (x + 2)(x - 2)D. (3x + 2)^2答案:A2. 以下哪个表达式不能通过整式的乘法简便运算得到?A. (x^2 - 4)B. (2x + 3)(2x - 3)C. (x - 1)^2D. (3x + 1)(3x - 1)答案:A3. 如果(a + b)(a - b) = a^2 - b^2,那么以下哪个表达式是正确的?A. (a + b)^2 = a^2 + 2ab + b^2B. (a - b)^2 = a^2 - 2ab + b^2C. (a + b)(a - b) = a^2 + b^2D. (a + 2b)(a - 2b) = a^2 - 4b^2答案:D二、填空题1. 计算 (2x + 1)(2x - 1) 的结果,并将答案填入括号中:( )。
答案:4x^2 - 12. 已知 (x + 3)(x - 1) = 0,求 x 的值,并将答案填入括号中:( )。
答案:x = -3 或 x = 13. 计算 (3x - 2)^2 的结果,并将答案填入括号中:( )。
答案:9x^2 - 12x + 4三、计算题1. 计算下列表达式,并简化结果:(3x + 2)(3x - 2)答案:9x^2 - 12x + 42. 计算下列表达式,并简化结果:(2x - 1)^2答案:4x^2 - 4x + 13. 计算下列表达式,并简化结果:(a + b)(a - b)(a^2 + b^2)答案:a^4 - b^4四、解答题1. 已知 (x + 2y)(x - 2y) = 0,求 x 和 y 的值。
答案:x = -2y 或 x = 2y2. 计算并简化下列表达式:(2x + 3y)(2x - 3y) + (x^2 + y^2)答案:4x^2 - 9y^2 + x^2 + y^2 = 5x^2 - 8y^23. 计算下列表达式,并找出结果中 x 的最小幂次:(2x + 3)(4x^2 - 6x + 9)答案:8x^3 - 24x^2 + 18x + 36x^2 - 54x + 27 = 8x^3 + 12x^2 - 36x + 27五、应用题1. 某工厂生产一批零件,每件成本为 2x 元,销售价格为 3x 元,利润为每件 (3x - 2x) 元。
完整版)整式的乘法练习题1.a8 = (-a)82.a15 = (a5)33.3m2·2m3 = 6m54.(x+a)(x+a) = x2 + 2ax + a25.a3·(-a)5·(-3a)2·(-7ab3) = 21a8b36.(-a2b)3·(-ab2) = a4b57.(2x)2·x4 = 4x68.24a2b3 = 6a2·4b39.[(am)n]p = amnp10.(-mn)2(-m2n)3 = m10n711.多项式的积(3x4-2x3+x2-8x+7)(2x3+5x2+6x-3)中x3项的系数是 -412.m是x的六次多项式,n是x的四次多项式,则2m-n 是x的十次多项式14.(3x2)3-7x3[x3-x(4x2+1)] = -28x915.{[(-1)4]m}n = 116.-{-[-(-a2)3]4}2 = -a9617.一长方体的高是(a+2)厘米,底面积是(a2+a-6)厘米2,则它的体积是 (a+2)(a-2)(a+3)厘米318.若10m=a,10n=b,那么10m+n=ab19.3(a-b)2[9(a-b)n+2](b-a)5 = -3(a-b)n+1120.已知3x·(xn+5)=3xn+1-8,那么x=-321.若a2n-1·a2n+1=a12,则n=222.(8a3)m÷[(4a2)n·2a]=2ma3-2n23.若a<1,n为奇数,则(an)5<a524.(x-x2-1)(x2-x+1)n(x-x2-1)2n = (x-x2-1)2n+1(x2-x+1)n25.(4+2x-3y2)·(5x+y2-4xy)·(xy-3x2+2y4)的最高次项是 -15x3y626.已知有理数x,y,z满足|x-z-2|+(3x-6y-7)2+|3y+3z-4|=0,则x3n+1y3n+1z4n-1的值(n为自然数)等于 127.选项C28.选项B9a3·2a2可以化简为18a5,2x5·3x4可以化简为5x9,3x3·4x3可以化简为12x3,3y3·5y3可以化简为15y9.ym)3·yn可以化简为y3m+n。
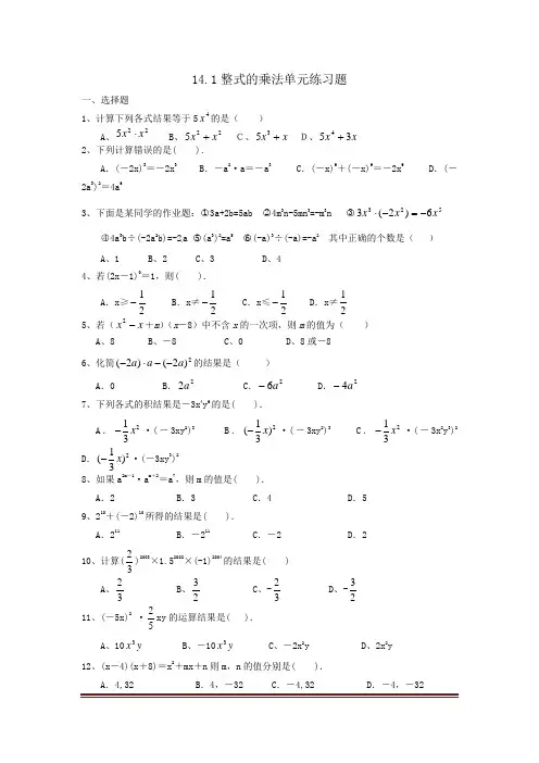
14.1整式的乘法单元练习题一、选择题1、计算下列各式结果等于54x 的是( )A 、225x x ⋅B 、225x x + C、x x +35 D、x x 354+2、下列计算错误的是( ).A .(-2x)3=-2x 3B .-a 2·a=-a3C .(-x)9+(-x)9=-2x9D .(-2a 3)2=4a 63、下面是某同学的作业题:○13a+2b=5ab ○24m 3n-5mn 3=-m 3n ○35236)2(3x x x -=-⋅ ○44a 3b ÷(-2a 2b)=-2a ○5(a 3)2=a 5 ○6(-a)3÷(-a)=-a 2 其中正确的个数是( ) A 、1 B 、2 C 、3 D 、4 4、若(2x -1)0=1,则( ).A .x≥12-B .x≠12-C .x≤12-D .x≠12 5、若(x x -2+m )(x -8)中不含x 的一次项,则m 的值为( )A 、8B 、-8C 、0D 、8或-8 6、化简2)2()2(a a a --⋅-的结果是( )A .0B .22aC .26a -D .24a - 7、下列各式的积结果是-3x 4y 6的是( ). A .213x -·(-3xy 2)3 B .21()3x -·(-3xy 2)3 C .213x -·(-3x 2y 3)2 D .21()3x -·(-3xy 3)2 8、如果a 2m -1·am +2=a 7,则m 的值是( ).A .2B .3C .4D .59、210+(-2)10所得的结果是( ). A .211B .-211C .-2D .210、计算(32)2003×1.52002×(-1)2004的结果是( ) A 、32 B 、23 C 、-32D 、-23 11、(-5x)2·52xy 的运算结果是( ).A 、10y x 3B 、-10y x 3C 、-2x 2y D 、2x 2y12、(x -4)(x +8)=x 2+mx +n 则m ,n 的值分别是( ).A .4,32B .4,-32C .-4,32D .-4,-3213、当()mn mnb 6-=-成立,则( )A 、m 、n 必须同时为正奇数B 、m 、n 必须同时为正偶数C 、m 为奇数D 、m 为偶数。
整式的乘法练习题(含答案)一.选择题(共10小题,满分30分,每小题3分)1.计算20200的结果是()A.2020B.1C.0D.2.下列运算正确的是()A.a2•a3=a6B.(3a)3 =9a3C.3a﹣2a=1D.(﹣2a2)3=﹣8a63.多项式2m+4与多项式m2+4m+4的公因式是()A.m+2B.m﹣2C.m+4D.m﹣44.下列四个等式从左到右的变形是因式分解的是()A.(a+b)(a﹣b)=a2﹣b2 B.ab﹣a2=a(b﹣a)C.x2+x﹣5=x(x+1)﹣5D.x2+1=x(x+)5.下列式子不能用平方差公式计算的是()A.(a﹣b)(a+b)B.(a﹣1)(﹣a+1)C.(﹣x﹣y)(x﹣y)D.(﹣x+1)(﹣1﹣x)6.下列多项式中,能用完全平方公式分解因式的是()A.a2+4B.a2+ab+b2C.a2+4ab+b2D.x2+2x+17.(2x+p)(x﹣2)的展开式中,不含x的一次项,则p值是()A.﹣1B.﹣4C.1D.48.某同学在计算﹣3x2乘一个多项式时错误的计算成了加法,得到的答案是x2﹣x+1,由此可以推断该多项式是()A.4x2﹣x+1B.x2﹣x+1C.﹣2x2﹣x+1D.无法确定9.如图,在边长为a+b的正方形的四个角上,分别剪去直角边长分别为a,b的四个直角三角形,则剩余部分面积,即图中的阴影部分的面积是()A.a2﹣b2B.2ab C.a2+b2D.4ab10.设a,b是实数,定义*的一种运算如下:a*b=(a+b)2,则下列结论有:①a*b=0,则a=0且b=0②a*b=b*a③a*(b+c)=a*b+a*c④a*b=(﹣a)*(﹣b)正确的有()个.A.1B.2C.3D.4二.填空题(共6小题,满分24分,每小题4分)11.分解因式:axy﹣ay2=.12.若x2+4x+m能用完全平方公式因式分解,则m的值为.13.若a m=9,a n=3,则a m﹣n=.14.计算:0.1252020×(﹣8)2021=.15.已知a﹣b=﹣5,ab=﹣2,则(a+b)(a2﹣b2)的值为.16.如图,利用图①和图②的阴影面积相等,写出一个正确的等式.三.解答题(共7小题,满分46分)17.(6分)因式分解:(1)m3﹣16m;(2)xy3﹣10xy2+25xy.18.(6分)已知有理数x,y满足x+y=,xy=﹣3.(1)求(x+1)(y+1)的值;(2)求x2+y2的值.19.(6分)我们约定a☆b=10a×10b,如2☆3=102×103=105.(1)试求12☆3和4☆8的值;(2)(a+b)☆c是否与a☆(b+c)相等?并说明理由.20.(6分)下面是一个正确的因式分解,但是其中部分一次式被墨水污染看不清了.2x2+3x﹣6+=(x﹣2)(2x+5).(1)求被墨水污染的一次式;(2)若被墨水污染的一次式的值不小于2,求x的取值范围.21.(6分)对于二次三项式a2+6a+9,可以用公式法将它分解成(a+3)2的形式,但对于二次三项式a2+6a+8,就不能直接应用完全平方式了,我们可以在二次三项式中先加上一项9,使其成为完全平方式,再减去9这项,使整个式子的值保持不变,于是有:a2+6a+8=a2+6a+9﹣9+8=(a+3)2﹣1=[(a+3)+1][(a+3)﹣1]=(a+4)(a+2)请仿照上面的做法,将下列各式因式分解:(1)x2﹣6x﹣16;(2)x2+2ax﹣3a2.22.(8分)请仔细阅读下面某同学对多项式(x2﹣4x+2)(x2﹣4x+6)+4进行因式分解的过程,然后回答问题:解:令x2﹣4x+2=y,则:原式=y(y+4)+4(第一步)=y2+4y+4(第二步)=(y+2)2(第三步)=(x2﹣4x+4)2(第四步)(1)该同学第二步到第三步运用了因式分解的;A.提取公因式B.平方差公式C.两数和的完全平方公式D.两数差的完全平方公式(2)另外一名同学发现第四步因式分解的结果不彻底,请你直接写出因式分解的最后结果;(3)请你模仿以上方法尝试对多项式(x2﹣2x)(x2﹣2x+2)+1进行因式分解.23.(8分)数形结合是解决数学问题的一种重要的思想方法,借助图的直观性,可以帮助理解数学问题.(1)请写出图1,图2,图3阴影部分的面积分别能解释的乘法公式.图1,图2,图3.(2)用4个全等的长和宽分别为a,b的长方形拼摆成一个如图4的正方形,请你通过计算阴影部分的面积,写出这三个代数式(a+b)2,(a﹣b)2,ab之间的等量关系.(3)根据(2)中你探索发现的结论,计算:当x+y=3,xy=﹣10时,求x﹣y的值.参考答案一.选择题(共10小题,满分30分,每小题3分)1.解:20200=1,故选:B.2.解:A、a2•a3=a5,故原题计算错误;B、(3a)3 =27a3,故原题计算错误;C、3a﹣2a=a,故原题计算错误;D、(﹣2a2)3=﹣8a6,故原题计算正确;故选:D.3.解:2m+4=2(m+2),m2+4m+4=(m+2)2,∴多项式2m+4与多项式m2+4m+4的公因式是(m+2),故选:A.4.解:A、是整式的乘法,故此选项不符合题意;B、把一个多项式化为几个整式的积的形式,故此选项符合题意;C、没把一个多项式化为几个整式的积的形式,故此选项不符合题意;D、把一个多项式化为整式与分式的积的形式,不是把一个多项式化为几个整式的积的形式,故此选项不符合题意;故选:B.5.解:A、能用平方差公式进行计算,故本选项不符合题意;B、结果是﹣(a﹣1)2,不能用平方差公式进行计算,故本选项符合题意;C、能用平方差公式进行计算,故本选项不符合题意;D、能用平方差公式进行计算,故本选项不符合题意;故选:B.6.解:A、a2+4,无法分解因式,故此选项错误;B、a2+ab+b2,无法运用公式分解因式,故此选项错误;C、a2+4ab+b2,无法运用公式分解因式,故此选项错误;D、x2+2x+1=(x+1)2,正确.故选:D.7.解:根据题意得:(2x+p)(x﹣2)=2x2﹣4x+px﹣2p=2x2+(﹣4+p)x﹣2p,∵(2x+p)与(x﹣2)的乘积中不含x的一次项,∴﹣4+p=0,∴p=4;故选:D.8.解:根据题意得:多项式为x2﹣x+1﹣(﹣3x2),x2﹣x+1﹣(﹣3x2)=x2﹣x+1+3x2=4x2﹣x+1,故选:A.9.解:由题意得,S阴影部分=S正方形﹣4S三角形=(a+b)2﹣ab×4=a2+2ab+b2﹣2ab═a2+b2,故选:C.10.解:∵a*b=0,a*b=(a+b)2,∴(a+b)2=0,即:a+b=0,∴a、b互为相反数,因此①不符合题意,a*b=(a+b)2,b*a=(b+a)2,因此②符合题意,a*(b+c)=(a+b+c)2,a*b+a*c=(a+b)2+(a+c)2,故③不符合题意,∵a*b=(a+b)2,(﹣a)*(﹣b)=(﹣a﹣b)2,∵(a+b)2=(﹣a﹣b)2,∴a*b=(﹣a)*(﹣b)故④符合题意,因此正确的个数有2个,故选:B.二.填空题(共6小题,满分24分,每小题4分)11.解:axy﹣ay2=ay(x﹣y).故答案为:ay(x﹣y).12.解:x2+4x+4=(x+2)2,故答案为:4.13.解:∵a m=9,a n=3,∴a m﹣n=a m÷a n=9÷3=3.故答案为:3.14.解:0.1252020×(﹣8)2021=0.1252020×82020×(﹣8)=(0.125×8)2020×(﹣8)=12020×(﹣8)=1×(﹣8)=﹣8.15.解:∵(a+b)2=(a﹣b)2+4ab,a﹣b=﹣5,ab=﹣2,∴(a+b)2=25﹣8=17,∴(a+b)(a2﹣b2)=(a+b)(a+b)(a﹣b)=(a+b)2(a﹣b)=17×(﹣5)=﹣85.16.解:①阴影部分的面积=(a+2)(a﹣2);②阴影部分的面积=a2﹣22=a2﹣4;∴(a+2)(a﹣2)=a2﹣4,故答案为(a+2)(a﹣2)=a2﹣4;三.解答题(共7小题,满分46分)17.解:(1)原式=m(m2﹣16)=m(m+4)(m﹣4);(2)原式=xy(y2﹣10y+25)=xy(y﹣5)2.18.解:(1)(x+1)(y+1)=xy+(x+y)+1=﹣3++1=﹣1;(2)x2+y2=(x+y)2﹣2xy=﹣6=﹣5.19.解:(1)12☆3=1012×103=1015;4☆8=104×108=1012;(2)相等,理由如下:∵(a+b)☆c=10a+b×10c=10a+b+c,a☆(b+c)=10a×10b+c=10a+b+c,∴(a+b)☆c=a☆(b+c).20.解:(1)被墨水污染的一次式为(x﹣2)(2x+5)﹣(2x2+3x﹣6)=2x2+5x﹣4x﹣10﹣2x2﹣3x+6=﹣2x﹣4;(2)根据题意得:﹣2x﹣4≥2,解得:x≤﹣3,即x的取值范围是x≤﹣3.21.解:(1)x2﹣6x﹣16=x2﹣6x+9﹣9﹣16=(x﹣3)2﹣25=(x﹣3+5)(x﹣3﹣5)=(x+2)(x﹣8);(2)x2+2ax﹣3a2=x2+2ax+a2﹣a2﹣3a2=(x+a)2﹣(2a)2=(x+a+2a)(x+a﹣2a)=(x+3a)(x﹣a).22.解:(1)运用了C,两数和的完全平方公式;故答案为:C;(2)x2﹣4x+4还可以分解,分解不彻底;(x2﹣4x+4)2=(x﹣2)4.故答案为:(x﹣2)4.(3)设x2﹣2x=y.(x2﹣2x)(x2﹣2x+2)+1,=y(y+2)+1,=y2+2y+1,=(y+1)2,=(x2﹣2x+1)2,=(x﹣1)4.23.解:(1)图1、;图2、;图3、.(2)由题意可知,阴影部分的面积=大正方形面积﹣4×小长方形面积,大正方边长为(a+b),面积为(a+b)2,小长方形长为a,宽为b,面积为ab,则=a2+2ab+b2﹣4ab=a2﹣2ab+b2=(a﹣b)2,∴(a﹣b)2=(a+b)2﹣4ab.(3)由(x﹣y)2=(x+y)2﹣4xy,∴(x﹣y)2=32﹣4×(﹣10)=49,∴x﹣y=±7.。
整式的乘法练习题(一)填空1.a8=(-a5)______.2.a15=( )5.3.3m2·2m3=______.4.a3·(-a)5·(-3a)2·(-7ab3)=______.4.(-a2b)3·(-ab2)=______.5.(2x)2·x4=( )2.6.24a2b3=6a2·______.7.(-mn)2(-m2n)3=______.8.(3x2)3-7x3[x3-x(4x2+1)]=______.9.一长方体的高是(a+2)厘米,底面积是(a2+a-6)厘米2,则它的体积是______.10.若10m=a,10n=b,那么10m+n=______.11.3(a-b)2[9(a-b)n+2](b-a)5=______(a-b)n+9.12.已知3x·(x n+5)=3x n+1-8,那么x=______.21.若a2n-1·a2n+1=a12,则n=______.13.(8a3)m÷[(4a2)n·2a]=______..若a<0,n为奇数,则(a n)5______0.14.已知有理数x,y,z满足|x-z-2|+(3x-6y-7)2+|3y+3z-4|=0,则x3n+1y3n+1z4n-1的值(n为自然数)等于______.(二)选择15.(y m)3·y n的运算结果是[ ]B.y3m+n;C.y3(m+n);D.y3mn.16.下列计算错误的是[ ]A.(x+1)(x+4)=x2+5x+4;B.(m-2)(m+3)=m2+m-6;C.(y+4)(y-5)=y2+9y-20;D.(x-3)(x-6)=x2-9x+18.17.计算-a2b2·(-ab3)2所得的结果是 [ ]A.a4b8;B.-a4b8;C.a4b7;D.-a3b8.18.(a-b)2n·(b-a)·(a-b)m-1的结果是[ ]A.(a-b)2n+m;B.-(a-b)2n+m;C.(b-a)2n+m;D.以上都不对.19.(-2.5m3)2·(-4m)3的计算结果是 [ ]A.40m9;B.-40m9;C.400m9;D.-400m9.20.如果b2m<b m(m为自然数),那么b的值是[ ]A.b>0;B.b<0;C.0<b<1;D.b≠1.21.下列计算中正确的是[ ]A.a m+1·a2=a m+2;D.[-(-a)2]2=-a4.22.(-6x n y)2·3x n-1y的计算结果是[ ]A.18x3n-1y2;B.-36x2n-1y3;C.-108x3n-1y;D.108x3n-1y3.23.下列计算正确的是[ ]A.(a+b)2=a2+b2;B.a m·a n=a mn;C.(-a2)3=(-a3)2;D.(a-b)3(b-a)2=(a-b)5.24.使(x2+px+8)(x2-3x+q)的积中不含x2和x3的p,q的值分别是[ ] A.p=0,q=0;B.p=-3,q=-9;C.p=3,q=1;D.p=-3,q=1.25.若n为正整数,且x2n=7,则(3x3n)2-4(x2)2n的值为[ ] A.833;B.2891;C.3283;D.1225.(三)计算26.(6×108)(7×109)(4×104).27.(-3ab)·(-a2c)·6ab228.(-4a)·(2a2+3a-1).29.(3m-n)(m-2n).30.(-ab)3·(-a2b)·(-a2b4c)2.31.[(-a)2m]3·a3m+[(-a)5m]2.32.(-2ab2)3·(3a2b-2ab-4b2)33.5x(x2+2x+1)-(2x+3)(x-5).34.-8(a-b)3·3(b-a) 35. 2[(x+2)(x+1)-3]+(x-1)(x-2)-3x(x+3).36.先化简(x-2)(x-3)+2(x+6)(x-5)-3(x2-7x+13),再求其值,其中x=37.已知ab2=-6,求-ab(a2b5-ab3-b)的值.38.已知(x-1)(x+1)(x-2)(x-4)≡(x2-3x)2+a(x2-3x)+b,求a,b的值.39.若x3-6x2+11x-6≡(x-1)(x2+mx+n),求m,n的值.40.试求(2-1)(2+1)(22+1)(24+1)…(232+1)+1的个位数字.41.解方程3x(x+2)+(x+1)(x-1)=4(x2+8).42.求不等式(3x+4)(3x-4)>9(x-2)(x+3)的正整数解.43.试证代数式(2x+3)(3x+2)-6x(x+3)+5x+16的值与x的值无关.。
整式的乘法算式练习题1. 求解下列乘法算式,并把结果写出来。
a) (2x + 3)(4x + 5)b) (3a - 4)(5a + 2)c) (7m + 2)(m - 3)d) (6y - 1)(y - 2)e) (x + 5)(x + 5)2. 计算一下下列乘法算式的积。
a) (4 + 2x)(3 - x)b) (2a + 5)(a - 3)c) (7m - 2)(m + 3)d) (5y - 4)(y + 2)e) (3x + 5)(2x - 1)3. 求解下列乘法算式,并把结果写出来。
a) (-2x + 3)(4x - 5)b) (-3a - 4)(5a + 2)c) (7m + 2)(-m - 3)d) (-6y - 1)(y - 2)e) (-x + 5)(x + 5)4. 计算一下下列乘法算式的积。
a) (4 - 2x)(3 + x)b) (-2a + 5)(-a - 3)c) (7m - 2)(-m - 3)d) (-5y - 4)(y + 2)e) (-3x + 5)(2x - 1)5. 解下列乘法算式,并把结果写出来。
a) (x + 3)(x - 3)b) (3y - 4)(3y + 4)c) (4m + 1)(4m - 1)d) (2a - 2)(2a + 2)e) (5x + 2)(5x - 2)6. 计算下列乘法算式的积。
a) (x - 5)(x + 5)b) (4y - 7)(4y + 7)c) (3m + 2)(3m - 2)d) (5a - 1)(5a + 1)e) (2x + 3)(2x - 3)7. 解下列乘法算式,并把结果写出来。
a) (2 - x)(2 + x)b) (5 - 2y)(5 + 2y)c) (4 - 3m)(4 + 3m)d) (3 - 2a)(3 + 2a)e) (x - 1)(x + 1)8. 计算下列乘法算式的积。
a) (7 - 3x)(7 + 3x)b) (6 - 5y)(6 + 5y)c) (8 - 4m)(8 + 4m)d) (9 - 6a)(9 + 6a)e) (2 - x)(2 + x)9. 解下列乘法算式,并把结果写出来。
1.填空:(1)24= ×××; (2)103= ××;(3)3×3×3×3×3=3(); (4)a·a·a·a·a·a=a( ).2.填空:(1)68的底数是,指数是,幂是;(2)86的底数是,指数是,幂是;(3)x4的底数是,指数是,幂是;(4)x的底数是,指数是,幂是 .3.直接写出结果:(1)65×64= (2)103×102= (3)a7·a6= (4)x3·x=(5)a n·a n+1= (6)x5-m·x m= (7)x3·x7·x2= (8)2m·2·22m-1= 4.填空:(1)b5·b( )=b8; (2)y( )·y3=y6; (3)10×10( )=106; (4)5( )×58=59.5.判断正误:对的画“√”,错的画“×”.(1)b5·b5=2b5;() (2)b5+b5=b10;()(3)b5·b5=b25;() (4)b·b5=b5;()(5)b5·b5=b10. ()6.填空:某台电子计算机每秒可进行1014次运算,它工作103秒进行次运算.1.填空:同底数幂相乘,底数,指数,即a m·a n= (m,n都是正整数).2.判断正误:对的画“√”,错的画“×”.(1)53+53=56;() (2)a3·a4=a12;()(3)b5·b5=2b5;() (4)c·c3=c3;()(5)m3·n2=m5. ()3.直接写出结果:(1)33×35= (2)105×106= (3)x2·x4= (4)y2·y=(5)a m·a2= (6)2n-1×2n+1= (7)42×42×42= (8)a3·a3·a3·a3= 4.直接写出结果:(1)(102)3= (2)(y6)2= (3)-(x3)5 = (4)(a n)6=5.填空:(1)a2·a3= ; (2)(x n)4= ; (3)x n+x n= ;(4)(a2)3= ; (5)x n·x4= ; (6)a3+a3= .6.计算:(1)(x2)3·(x3)2 (2)(a2)8-(a4)4= == =1.填空:同底数幂相乘,底数不变,指数;幂的乘方,底数不变,指数.2.判断正误:对的画“√”,错的画“×”.(1)(a3)3=a6;() (2)x3+x3=x6;() (3)x3·x4=x12;() (4)(x4)2=x8;() (5)a6·a4=a10;() (6)a5+a5=2a5.()3.直接写出结果:(1)7×76= (2)(33)5= (3)y2+y2=(4)t2·t6= (5)-(a4)6= (6)(x2)5·x4=4.计算:(写清过程)(1)(3x)2= (2)(-2y)3= (3)(2ab)3= (4)(-xy)4=5.计算:(写清过程)(1)(bc3)2= (2)(2x2)3=(3)(-2a2b)3= (4)(-3x2y3)2=6.判断正误:对的画“√”,错的画“×”.(1)b3·b3=2b3;() (2)x4·x4=x16;()(3)(a5)2=a7;() (4)(a3)2·a4=a9;()(5)(ab2)3=ab6;() (6)(-2a)2=-4a2. ()一、填空题1.(a +b )(a -b )=_____, (x -1)(x +1)=_____,2.(2a +b )(2a -b )=_____, (31x -y )(31x +y )=_____. 3.(x +4)(-x +4)=_____, (x +3y )(_____)=9y 2-x 2, (-m -n )(_____)=m 2-n 2 4.98×102=(_____)(_____)=( )2-( )2=_____.5.-(2x 2+3y )(3y -2x 2)=____ _= .6.(a -b )(a +b )(a 2+b 2)=_____ = .7.(_____-4b )(_____+4b )=9a 2-16b 2,(_____-2x )(_____-2x )=4x 2-25y 28.(xy -z )(z +xy )=_____ = ,(65x -0.7y )(65x +0.7y )=____ _= . 9.(41x +y 2)(_____)=y 4-161x 2 二、解答题(写清过程)10.1.03×0.97 11.(-2x 2+5)(-2x 2-5)12.a (a -5)-(a +6)(a -6) 13.(2x -3y )(3y +2x )-(4y -3x )(3x +4y ) 14.(31x +y )(31x -y )(91x 2+y 2) 15.(x +y )(x -y )-x (x +y )16.3(2x +1)(2x -1)-2(3x +2)(2-3x ) 17.9982-4 18.2003×2001-2002219、(2m+n-1)(2m-n+1) 20、232)(c b a -+计算1、(6×108)(7×109)(4×104).2、(-5x n+1y)·(-2x).3、(-3ab)·(-a 2c)·6ab 2.4、(-4a)·(2a 2+3a-1).5、(3m-n)(m-2n).6、(x+2y)(5a+3b).7、(-ab)3·(-a 2b)·(-a 2b 4c)2. 8、(-2x -5)(2x -5) 9、 10、(x+y)(x 2-xy+y 2).11、5x(x 2+2x+1)-(2x+3)(x-5). 12、2(-2a m b n )(-a 2b n )(-3ab 2). 13、 14、解答 15、已知, 求xy 的值16、已知的值17、已知的值18、比较2100与375的大小19、化简求值:22)2()2()2)(12(+---+-x x x x ,其中211-=x。
整式的乘法综合练习题(125题)时间2021.03.10 创作:欧阳治(一)填空1.a8=(-a5)______.2.a15=( )5.3.3m2·2m3=_ _____.4.(x+a)(x+a)=______.5.a3·(-a)5·(-3a)2·(-7ab3)=______.6.(-a2b)3·(-ab2)=______.7.(2x)2·x4=()2.8.24a2b3=6a2·______.9.[(am)n]p=______.10.(-mn)2(-m2n)3=______.11.多项式的积(3x4-2x3+x2-8x+7)(2x3+5x2+6x-3)中x3项的系数是______.12.m是x的六次多项式,n是x的四次多项式,则2m-n是x的______次多项式.14.(3x2)3-7x3[x3-x(4x2+1)]=______.15.{[(-1)4]m}n=______.16.-{-[-(-a2)3]4}2=______.17.一长方体的高是(a+2)厘米,底面积是(a2+a-6)厘米2,则它的体积是______.18.若10m=a,10n=b,那么10m+n=______.19.3(a-b)2[9(a-b)n+2](b-a)5=______(a-b)n+9.20.已知3x·(xn+5)=3xn+1-8,那么x=______.21.若a2n-1·a2n+1=a12,则n=______.22.(8a3)m÷[(4a2)n·2a]=______.23.若a<0,n为奇数,则(an)5______0.24.(x-x2-1)(x2-x+1)n(x-x2-1)2n=______.25.(4+2x-3y2)·(5x+y2-4xy)·(xy-3x2+2y4)的最高次项是______.26.已知有理数x,y,z满足|x-z-2|+(3x-6y-7)2+|3y+3z-4|=0,则x3n+1y3n+1z4n-1的值(n为自然数)等于______.(二)选择:27.下列计算最后一步的依据是[ ]5a2x4·(-4a3x)=[5×(-4)]·a2·a3·x4·x(乘法交换律)=-20(a2a3)·(x4x)(乘法结合律)=-20a5x5.( )A.乘法意义;B.乘方定义;C.同底数幂相乘法则;D.幂的乘方法则.28.下列计算正确的是[ ]A.9a3·2a2=18a5;B.2x5·3x4=5x9;C.3x3·4x3=12x3;D.3y3·5y3=15y9.29.(ym)3·yn的运算结果是[ ]B.y3m+n;C.y3(m+n);D.y3mn.30.下列计算错误的是[ ]A.(x+1)(x+4)=x2+5x+4;B.(m-2)(m+3)=m2+m-6;C.(y+4)(y-5)=y2+9y-20;D.(x-3)(x-6)=x2-9x+18.31.计算-a2b2·(-ab3)2所得的结果是 [ ]A.a4b8;B.-a4b8;C.a4b7;D.-a3b8.32.下列计算中错误的是[ ]A.[(a+b)2]3=(a+b)6;B.[(x+y)2n]5=(x+y)2n+5;C.[(x+y)m]n=(x+y)mn;D.[(x+y)m+1]n=(x+y)mn+n.33.(-2x3y4)3的值是[ ]A.-6x6y7;B.-8x27y64;C.-8x9y12;D.-6xy10.34.下列计算正确的是[ ]A.(a3)n+1=a3n+1;B.(-a2)3a6=a12;C.a8m·a8m=2a16m;D.(-m)(-m)4=-m5.35.(a-b)2n·(b-a)·(a-b)m-1的结果是[ ]A.(a-b)2n+m;B.-(a-b)2n+m;C.(b-a)2n+m;D.以上都不对.36.若0<y<1,那么代数式y(1-y)(1+y)的值一定是 [ ]A.正的;B.非负;C.负的;D.正、负不能唯一确定.37.(-2.5m3)2·(-4m)3的计算结果是 [ ]A.40m9;B.-40m9;C.400m9;D.-400m9.38.如果b2m<bm(m为自然数),那么b的值是[ ] A.b>0;B.b<0;C.0<b<1;D.b≠1.39.下列计算中正确的是[ ]A.am+1·a2=am+2;D.[-(-a)2]2=-a4.40.下列运算中错误的是[ ]A.-(-3anb)4=-81a4nb4;B.(an+1bn)4=a4n+4b4n;C.(-2an)2·(3a2)3=-54a2n+6;D.(3xn+1-2xn)·5x=15xn+2-10xn+1.41.下列计算中,[ ](1)b(x-y)=bx-by,(2)b(xy)=bxby,(3)bx-y=bx-by,(4)2164=(64)3,(5)x2n-1y2n-1=xy2n-2.A.只有(1)与(2)正确;B.只有(1)与(3)正确;C.只有(1)与(4)正确;D.只有(2)与(3)正确.42.(-6xny)2·3xn-1y的计算结果是[ ]A.18x3n-1y2;B.-36x2n-1y3;C.-108x3n-1y;D.108x3n-1y3.[ ]44.下列计算正确的是[ ]A.(6xy2-4x2y)·3xy=18xy2-12x2y;B.(-x)(2x+x2-1)=-x3-2x2+1;C.(-3x2y)(-2xy+3yz-1)=6x3y2-9x2y2z2-3x2y;45.下列计算正确的是[ ]A.(a+b)2=a2+b2;B.am·an=amn;C.(-a2)3=(-a3)2;D.(a-b)3(b-a)2=(a-b)5.[ ]47.把下列各题的计算结果写成10的幂的形式,正确的是[ ]A.100×103=106;B.1000×10100=103000;C.1002n×1000=104n+3;D.1005×10=10005=1015.48.t2-(t+1)(t-5)的计算结果正确的是[ ]A.-4t-5;B.4t+5;C.t2-4t+5;D.t2+4t-5.49.使(x2+px+8)(x2-3x+q)的积中不含x2和x3的p,q的值分别是[ ]A.p=0,q=0;B.p=-3,q=-9;C.p=3,q=1;D.p=-3,q=1.50.设xy<0,要使xnym·xnym>0,那么[ ] A.m,n都应是偶数;B.m,n都应是奇数;C.不论m,n为奇数或偶数都可以;D.不论m,n 为奇数或偶数都不行.51.若n为正整数,且x2n=7,则(3x3n)2-4(x2)2n的值为[ ]A.833;B.2891;C.3283;D.1225.(三)计算52.(6×108)(7×109)(4×104).53.(-5xn+1y)·(-2x).54.(-3ab)·(-a2c)·6ab2.55.(-4a)·(2a2+3a-1).58.(3m-n)(m-2n).59.(x+2y)(5a+3b).60.(-ab)3·(-a2b)·(-a2b4c)2.61.[(-a)2m]3·a3m+[( -a)5m]2.62.xn+1(xn-xn-1+x).63.(x+y)(x2-xy+y2).65.5x(x2+2x+1)-(2x+3)(x-5).67.(2x-3)(x+4).74.(m-n)(m5+m4n+m3n2+m2n3+mn4+n5).70.(-2a mbn)(-a2bn)(-3ab2).75.(2a2-1)(a-4)(a2+3)(2a-5).76.2[(x+2)(x+1)-3]+(x-1 )(x-2)-3x(x+3).77.(0.3a3b4)2·(-0.2a4b3)3.78.(-4xy3)·(-xy)+(-3xy2)2.80.(5a3+2a-a2-3)(2-a+4a2).81.(3x4-2x2+x-3)(4x3-x2+5).86.[(-a2b)3]3·(-ab2).83.(3am+2bn+2)(2am+2am-2 bn-2+3bn).91.(-2xmyn)3·(-x2yn)·(-3xy2)2.87.(-2ab2)3·(3a2 b-2ab-4b2).92.(0.2a-1.5b+1)(0.4a-4b-0.5).93.-8(a-b)3·3(b-a).94.(x+3y+4)(2x-y).96.y[y-3(x-z)]+y[3z-(y-3x)].97.计算[(-a)2m]3·a3m+[(-a)3m]3(m为自然数).(四)化简(五)求值;104.先化简yn(yn+9y-12)-3(3yn+1-4yn),再求其值,其中y=-3,n=2.105.先化简(x-2)(x-3)+2(x+6)(x-5)-3(x2-7x+13),再求其值,其中x=106.光的速度每秒约3×105千米,太阳光射到地球上需要的时间约是5×102秒.问地球与太阳的距离约是多少千米?(用科学记数法写出来)107.已知ab2=-6,求-ab(a2b5-ab3-b)的值.108.已知a+b=1,a(a2+2b)+b(-3a+b2)=0.5,求ab的值.110.已知(x-1)(x+1)(x-2)(x-4)≡(x2-3x)2+a(x2-3x)+b,求a,b的值.111.多项式x4+mx2+3x+4中含有一个因式x2-x+4,试求m的值,并求另一个因式.112.若x3-6x2+11x-6≡(x-1)(x2+mx+n),求m,n的值.113.已知一个两位数的十位数字比个位数字小1,若把十位数字与个位数字互换,所得的新两位数与原数的乘积比原数的平方多405,求原数.114.试求(2-1)(2+1)(22+1)(24+1)…(232+1)+1的个位数字.115.比较2100与375的大小.116.解方程3x(x+2)+(x+1)(x-1)=4(x2+8).118.求不等式(3x+4)(3x-4)>9(x-2)(x+3)的正整数解.119.已知2a=3b=6c(a,b,c均为自然数),求证:ab-cb=ac.120.求证:对于任意自然数n,n(n+5)-(n-3)×(n+2)的值都能被6整除.121.已知有理数x,y,z满足|x-z-2|+(3x-6y-7)2+|3y+3z-4|=0,求证:x3ny3n-1z3n+1-x=0.122.已知x=b+c,y=c+a,z=a+b,求证:(x-y)(y-z)(z-x)+(a-b)(b-c)(c-a)=0.123.证明(a-1)(a2-3)+a2(a+1)-2(a3-2a-4)-a的值与a无关.124.试证代数式(2x+3)(3x+2)-6x(x+3)+5x+16的值与x的值无关.125.求证:(m+1)(m-1)(m-2)(m-4)=(m2-3m)2-2(m2-3m)-8.整式的运算练习(提高27题)1、=2、若2x + 5y-3 = 0 则=3、已知a = 355 ,b = 444 ,c = 533则有( ) A.a < b < cB.c < b < aC.a < c < bD.c < a < b4、已知,则x =5、21990×31991的个位数字是多少6、计算下列各题(1)(2)(3)(4)7、计算(-2x-5)(2x-5)8、计算9、计算,当a6 = 64时, 该式的值。
整式的乘法练习题整式的乘法是数学中的一项重要概念,它涉及到对两个以上整式进行乘法运算。
通过练习乘法运算,我们可以加深对整式乘法的理解和掌握。
在本文中,我们将提供一些整式的乘法练习题,以帮助读者更好地掌握这一概念。
练习题1:计算以下乘法:(2x + 3)(4x - 5)解答:(2x + 3)(4x - 5) = 2x × 4x + 2x × (-5) + 3 × 4x + 3 × (-5)= 8x² - 10x + 12x - 15= 8x² + 2x - 15练习题2:计算以下乘法:(3a + 2b)(5a - 4b)(3a + 2b)(5a - 4b) = 3a × 5a + 3a × (-4b) + 2b × 5a + 2b × (-4b) = 15a² - 12ab + 10ab - 8b²= 15a² - 2ab - 8b²练习题3:计算以下乘法:(6x² + 5x - 3)(x - 2)解答:(6x² + 5x - 3)(x - 2) = 6x²× x + 6x²× (-2) + 5x × x + 5x × (-2) - 3 × x - 3 × (-2)= 6x³ - 12x² + 5x² - 10x - 3x + 6= 6x³ - 7x² - 13x + 6练习题4:计算以下乘法:(2x - 3y)(3x + 4y)(2x - 3y)(3x + 4y) = 2x × 3x + 2x × 4y - 3y × 3x - 3y × 4y= 6x² + 8xy - 9xy - 12y²= 6x² - xy - 12y²练习题5:计算以下乘法:(5a² - 4a + 3)(a - 2)解答:(5a² - 4a + 3)(a - 2) = 5a²× a + 5a²× (-2) - 4a × a - 4a × (-2) + 3 × a + 3 × (-2)= 5a³ - 10a² - 4a² + 8a + 3a - 6= 5a³ - 14a² + 11a - 6练习题6:计算以下乘法:(2x - 1)(3x² + 2x - 4)(2x - 1)(3x² + 2x - 4) = 2x × 3x² + 2x × 2x + 2x × (-4) - 1 × 3x² - 1 × 2x - 1 × (-4)= 6x³ + 4x² - 8x - 3x² - 2x + 4= 6x³ + x² - 10x + 4通过以上的练习题,读者可以加深对整式乘法的理解和应用。
整式的乘法练习题14.1.1 同底数幂的乘法1.化简a 2·a 的结果是( )A .a 2B .a 3C .a 4D .a 52.下列计算正确的是( )A .x 2·x 2=x 4B .x 3·x ·x 4=x 7C .a 4·a 4=a 16D .a ·a 2=a 23.填空:(1)(-a )5·(-a )2=________;(2)(a -b )·(a -b )2=________(结果用幂的形式表示);(3)a 3·a 2·(________)=a 11.4.计算:(1)a 2·a 5+a ·a 3·a 3; (2)⎝⎛⎭⎫1104×⎝⎛⎭⎫1103.5.(1)若2x =3,2y =5,求2x +y 的值;(2)若32×27=3n ,求n 的值.1.计算(x3)4的结果是()A.x7B.x12C.x81D.x642.下列运算正确的是()A.(x3)2=x5B.(-x)5=-x5C.x3·x2=x6D.3x2+2x3=5x53.已知5y=2,则53y的值为()A.4 B.6 C.8 D.94.计算:(1)a6·(a2)3=________;(2)(-a3)2=________.5.计算:(1)(x3)2·(x2)3; (2)(-x2)3·x5;(3)-(-x2)3·(-x2)2-x·(-x3)3.6.若(27x)2=36,求x的值.1.计算(x 2y )2的结果是( )A .x 6yB .x 4y 2C .x 5yD .x 5y 22.计算(-2a 2b )3的结果是( )A .-6a 6b 3B .-8a 6b 3C .8a 6b 3D .-8a 5b 33.若m 2·n 2=25,且m ,n 都为正实数,则mn 的值为( )A .4B .5C .6D .74.计算:(1)(mn 3)2=________;(2)(2a 3)3=________;(3)(-2x 2y )3=________;(4)⎝⎛⎭⎫-12x 3y 3=________.5.计算:(1)(ab 2c 4)3;(2)(3a 2)3+(a 2)2·a 2;(3)(x n y 3n )2+(x 2y 6)n;(4)(-2×103)2;(5)4100×0.25100.14.1.4整式的乘法第1课时单项式与单项式、多项式相乘1.计算x3·4x2的结果是()A.4x5B.5x6C.4x6D.5x52.化简x(2-3x)的结果为()A.2x-6x2B.2x+6x2C.2x-3x2D.2x+3x23.下列各式中,计算正确的是()A.3a2·4a3=12a6B.2xy(3x2-4y)=6x3-8y2C.2x3·3x2=6x5D.(3x2+x-1)(-2x)=6x3+2x2-2x4.计算:(1)(6ab)·(3a2b)=__________;(2)(-2a2)2·a=__________;(3)(-2a2)(a-3)=__________.5.若一个长方形的长、宽分别是3x-4、2x,则它的面积为________.6.计算:(1)ab·(-3ab)2; (2)(-2a2)·(3ab2-5ab3).7.已知a=1,求代数式a(a2-a)+a2(5-a)-9的值.第2课时多项式与多项式相乘1.计算(x-1)(x-2)的结果为()A.x2+3x-2 B.x2-3x-2C.x2+3x+2 D.x2-3x+22.若(x+3)(x-5)=x2+mx-15,则实数m的值为()A.-5 B.-2 C.5 D.23.下列各式中,计算结果是x2+7x-18的是()A.(x-2)(x+9) B.(x+2)(x+9)C.(x-3)(x+6) D.(x-1)(x+18)4.计算:(1)(2x+1)(x+3)=________________;(2)(y+3x)(3x-2y)=________________.5.一个长方形相邻的两条边长分别为2a+1和3a-1,则该长方形的面积为____________.6.计算:(1)(a+1)(2-b)-2a;(2)x(x-6)-(x-2)(x+1).7.先化简,再求值:(2a-3b)(a+2b)-a(2a+b),其中a=3,b=1.第3课时 整式的除法1.计算a 6÷a 2的结果为( )A .4a 4B .3a 3C .a 3D .a 42.下列计算正确的是( )A .x 8÷x 2=x 4B .(-x )6÷(-x )4=-x 2C .36a 3b 4÷9a 2b =4ab 3D .(2x 3-3x 2-x )÷(-x )=-2x 2+3x3.计算:(1)20180=________;(2)a 8÷a 5=________;(3)a 6b 2÷(ab )2=________;(4)(14a 3b 2-21ab 2)÷7ab 2=________.4.当m ________时,(m -2019)0的值等于1.5.计算:(1)(-6m 4n 5)÷⎝⎛⎭⎫12m 2n 2; (2)(x 4y +6x 3y 2-x 2y 3)÷3x 2y .6.一个等边三角形框架的面积是4a 2-2a 2b +ab 2,一边上的高为2a ,求该三角形框架的边长.整式的乘法14.1.1 同底数幂的乘法1.B 2.A 3.(1)-a 7 (2)(a -b )3 (3)a 64.解:(1)原式=a 7+a 7=2a 7. (2)原式=⎝⎛⎭⎫1107.5.解:(1)∵2x =3,2y =5,∴2x +y =2x ·2y =3×5=15.(2)∵32×27=3n ,∴32×33=3n ,即35=3n ,∴n =5.14.1.2 幂的乘方1.B 2.B 3.C 4.(1)a 12 (2)a 65.解:(1)原式=x 6·x 6=x 12.(2)原式=-x 6·x 5=-x 11.(3)原式=x 6·x 4+x ·x 9=2x 10.6.解:∵(27x )2=36,∴(33x )2=36,∴6x =6,解得x =1.14.1.3 积的乘方1.B 2.B 3.B4.(1)m 2n 6 (2)8a 9 (3)-8x 6y 3 (4)-18x 9y 3 5.解:(1)原式=a 3b 6c 12.(2)原式=27a 6+a 6=28a 6.(3)原式=x 2n y 6n +x 2n y 6n =2x 2n y 6n .(4)原式=4×106.(5)原式=(4×0.25)100=1.14.1.4 整式的乘法第1课时 单项式与单项式、多项式相乘1.A 2.C 3.C 4.(1)18a 3b 2 (2)4a 5 (3)-2a 3+6a 25.6x 2-8x6.解:(1)原式=ab ·9a 2b 2=9a 3b 3.(2)原式=-2a 2·3ab 2-2a 2·(-5ab 3)=-6a 3b 2+10a 3b 3.7.解:∵a =1,∴原式=a 3-a 2+5a 2-a 3-9=4a 2-9=-5.第2课时 多项式与多项式相乘1.D 2.B 3.A4.(1)2x 2+7x +3 (2)-3xy -2y 2+9x 25.6a 2+a -16.解:(1)原式=2a -ab +2-b -2a =-ab -b +2.(2)原式=x 2-6x -x 2-x +2x +2=-5x +2.7.解:原式=2a 2+4ab -3ab -6b 2-2a 2-ab =-6b 2.当b =1时,原式=-6.第3课时 整式的除法1.D 2.C 3.(1)1 (2)a 3 (3)a 4 (4)2a 2-34.≠20195.解:(1)原式=-24n 3. (2)原式=13x 2+2xy -13y 2. 6.解:由题意知等边三角形框架的边长为2(4a 2-2a 2b +ab 2)÷2a =4a -2ab +b 2.。