大学物理实验计算题
- 格式:doc
- 大小:592.50 KB
- 文档页数:21
1.题目:电荷q均匀分布在长为2l的细杆上,求在杆外延长线上与杆端距离为a的P点的电势(设无穷远处为电势零点).答案:解:设坐标原点位于杆中心O点,x轴沿杆的方向,如图所示.细杆的电荷线密度λ=q / (2l),在x处取电荷元d q = λd x=q d x / (2l),它在P点产生的电势为4分整个杆上电荷在P点产生的电势4分2 题目:圆形平行板电容器,从q= 0开始充电,试画出充电过程中,极板间某点P处电场强度的方向和磁场强度的方向.答案:解:见图.,2分;,2分3题目:氢原子可以看成电子在平面内绕核作匀速圆周运动的带电系统.已知电子电荷为e,质量为m e,圆周运动的速率为v,求圆心处的磁感强度的值B.答案:解:由有2分2分2分2分45 题目:一平面线圈由半径为0.2 m的1/4圆弧和相互垂直的二直线组成,通以电流2 A,把它放在磁感强度为0.5 T的均匀磁场中,求:(1) 线圈平面与磁场垂直时(如图),圆弧段所受的磁力.(2) 线圈平面与磁场成60°角时,线圈所受的磁力矩.答案:解:(1) 圆弧所受的磁力:在均匀磁场中通电圆弧所受的磁力与通有相同电流的直线所受的磁力相等,故有F AC = N 3分方向:与AC直线垂直,与OC夹角45°,如图. 1分(2) 磁力矩:线圈的磁矩为本小问中设线圈平面与成60°角,则与成30°角,有力矩M =1.57×10-2 N·m 3分方向:力矩将驱使线圈法线转向与平行. 1分6 题目:两根导线沿半径方向接到一半径R =9.00 cm的导电圆环上.如图.圆弧ADB是铝导线,铝线电阻率为ρ1 =2.50×10-8Ω·m,圆弧ACB是铜导线,铜线电阻率为ρ2 =1.60×10-8Ω·m.两种导线截面积相同,圆弧ACB的弧长是圆周长的1/π.直导线在很远处与电源相联,弧ACB上的电流I2=2.00A,求圆心O点处磁感强度B的大小.(真空磁导率μ0 =4π×10-7 T·m/A)答案:解:设弧ADB = L1,弧ACB = L2,两段弧上电流在圆心处产生的磁感强度分别为3分、方向相反.圆心处总磁感强度值为2分两段导线的电阻分别为1分因并联2分又∴=1.60×10-8 T 2分7题目:如图所示,一长为10 cm的均匀带正电细杆,其电荷为1.5×10-8C,试求在杆的延长线上距杆的端点 5 cm处的P点的电场强度.(=9×109 N·m2/C2 )答案:解:设P点在杆的右边,选取杆的左端为坐标原点O,x轴沿杆的方向,如图,并设杆的长度为L.P点离杆的端点距离为d.在x处取一电荷元d q=(q/L)d x,它在P点产生场强3分P点处的总场强为3分代入题目所给数据,得E=1.8×104 N/m 1分的方向沿x轴正向. 1分11题目:半径分别为 1.0 cm与 2.0 cm的两个球形导体,各带电荷 1.0×10-8C,两球相距很远.若用细导线将两球相连接.求(1) 每个球所带电荷;(2) 每球的电势.()答案:解:两球相距很远,可视为孤立导体,互不影响.球上电荷均匀分布.设两球半径分别为r1和r2,导线连接后的电荷分别为q1和q2,而q1 + q1 = 2q,则两球电势分别是,2分两球相连后电势相等,,则有2分由此得到 C 1分C 1分两球电势V 2分113题目:如图所示,两个点电荷+q和-3q,相距为d. 试求:(1) 在它们的连线上电场强度的点与电荷为+q的点电荷相距多远?(2) 若选无穷远处电势为零,两点电荷之间电势U=0的点与电荷为+q的点电荷相距多远?答案:解:设点电荷q所在处为坐标原点O,x轴沿两点电荷的连线.(1) 设的点的坐标为,则2分可得解出距q左边 2分另有一解不符合题意,舍去.(2) 设坐标x处U=0,则2分得d-4x = 0, x = d/4 距q右边 2分14题目:一段半径为a的细圆弧,对圆心的张角为θ0,其上均匀分布有正电荷q,如图所示.试以a,q,θ0表示出圆心O处的电场强度.答案:解:取坐标xOy如图,由对称性可知: 2分2分4分15题目:有一电荷面密度为σ的“无限大”均匀带电平面.若以该平面处为电势零点,试求带电平面周围空间的电势分布.答案:解:选坐标原点在带电平面所在处,x轴垂直于平面.由高斯定理可得场强分布为E=±σ / (2ε0) 2分(式中“+”对x>0区域,“-”对x<0区域) . 平面外任意点x处电势:在x≤0区域3分在x≥0区域3分16题目:如图所示,载有电流I1和I2的长直导线ab和cd相互平行,相距为3r,今有载有电流I3的导线MN = r,水平放置,且其两端MN分别与I1、I2的距离都是r,ab、cd和MN共面,求导线MN所受的磁力大小和方向.答案:解:载流导线MN上任一点处的磁感强度大小为:3分MN上电流元Id x所受磁力:2分33分若,则的方向向下,,则的方向向上 2分17题目:在真空中一长为l=10 cm的细杆上均匀分布着电荷,其电荷线密度λ= 1.0×10-5C/m.在杆的延长线上,距杆的一端距离d=10 cm的一点上,有一点电荷q0= 2.0×10-5C,如图所示.试求该点电荷所受的电场力.(真空介电常量ε0=8.85×10-12 C2·N-1·m-2 )答案:解:选杆的左端为坐标原点,x轴沿杆的方向.在x处取一电荷元λd x,它在点电荷所在处产生场强为:3分整个杆上电荷在该点的场强为:2分点电荷q0所受的电场力为:=0.90 N 沿x轴负向 3分18题目:AA'和CC'为两个正交地放置的圆形线圈,其圆心相重合.AA'线圈半径为20.0 cm,共10匝,通有电流10.0 A;而CC'线圈的半径为10.0 cm,共20匝,通有电流 5.0 A.求两线圈公共中心O点的磁感强度的大小和方向.(μ0 =4π×10-7 N·A-2)答案:解:AA'线圈在O点所产生的磁感强度(方向垂直AA'平面) 3分CC'线圈在O点所产生的磁感强度(方向垂直CC'平面) 3分O点的合磁感强度T 2分B的方向在和AA'、CC'都垂直的平面内,和CC'平面的夹角2分19题目:两个点电荷分别为q1=+2×10-7 C和q2=-2×10-7 C,相距0.3 m.求距q1为0.4 m、距q2为0.5 m处P点的电场强度. (=9.00×109 Nm2 /C2) 答案:解:如图所示,P点场强为:建坐标系Oxy,则在x、y轴方向的分量为2分2分可得E Px= 0.432×104 N·C-1,E Py= 0.549×104 N·C-1合场强大小= 0.699×104 N·C-1 2分方向:与x轴正向夹角= 51.8° 2分22题目:一边长a =10 cm的正方形铜线圈,放在均匀外磁场中,竖直向上,且B = 9.40×10-3 T,线圈中电流为I =10 A.(1) 今使线圈平面保持竖直,问线圈所受的磁力矩为多少?(2) 假若线圈能以某一条水平边为固定轴自由摆动,问线圈平衡时,线圈平面与竖直面夹角为多少?(已知铜线横截面积S= 2.00 mm2,铜的密度ρ= 8.90 g/cm3)答案:解:(1) ,方向垂直于线圈平面.= 9.40×10-4 N·m 2分(2) 设线圈绕AD边转动,并且线圈稳定时,线圈平面与竖直平面夹角为θ ,则磁场对线圈的力矩为2分重力矩:2分2分于是θ = 15°24题目:电荷以相同的面密度σ 分布在半径为r1=10 cm和r2=20 cm的两个同心球面上.设无限远处电势为零,球心处的电势为U0=300 V.(1) 求电荷面密度σ.(2) 若要使球心处的电势也为零,外球面上应放掉多少电荷?[ε0=8.85×10-12 C2 /(N·m2)]答案:解:(1) 球心处的电势为两个同心带电球面各自在球心处产生的电势的叠加,即3分=8.85×10-9 C / m2 2分(2) 设外球面上放电后电荷面密度为,则应有= 0即2分外球面上应变成带负电,共应放掉电荷=6.67×10-9 C 3分26题目:一半径R= 1.0 cm的无限长1/4圆柱形金属薄片,沿轴向通有电流I= 10.0 A的电流,设电流在金属片上均匀分布,试求圆柱轴线上任意一点P的磁感强度.答案:解:取d l段,其中电流为2分在P点2分选坐标如图,2分2分1.8×10-4 T方向,α =225°,α为与x轴正向的夹角. 2分28题目:图所示为两条穿过y轴且垂直于x-y平面的平行长直导线的正视图,两条导线皆通有电流I,但方向相反,它们到x轴的距离皆为a.(1) 推导出x轴上P点处的磁感强度的表达式.(2) 求P点在x轴上何处时,该点的B取得最大值.答案:解:(1) 利用安培环路定理可求得1导线在P点产生的磁感强度的大小为:2分2导线在P点产生的磁感强度的大小为:2分、的方向如图所示.P点总场, 3分(2) 当,时,B(x)最大.由此可得:x = 0处,B有最大值. 3分29题目:一根同轴线由半径为R1的长导线和套在它外面的内半径为R2、外半径为R3的同轴导体圆筒组成.中间充满磁导率为 的各向同性均匀非铁磁绝缘材料,如图.传导电流I沿导线向上流去,由圆筒向下流回,在它们的截面上电流都是均匀分布的.求同轴线内外的磁感强度大小B的分布.答案:解:由安培环路定理:0< r <R1区域:,3分R< r <R2区域:1,3分R< r <R3区域:23分r >R区域:H = 0,B = 0 3分330题目:图中所示,A、B为真空中两个平行的“无限大”均匀带电平面,A面上电荷面密度σA=-17.7×10-8 C·m-2,B面的电荷面密度σB=35.4 ×10-8 C·m-2.试计算两平面之间和两平面外的电场强度.(真空介电常量ε0=8.85×10-12C2·N-1·m-2)答案:解:两带电平面各自产生的场强分别为:方向如图示 1分方向如图示 1分由叠加原理两面间电场强度为=3×104 N/C 方向沿x轴负方向 2分两面外左侧=1×104 N/C 方向沿x轴负方向 2分两面外右侧= 1×104 N/C 方向沿x轴正方向 2分31题目:电荷线密度为 的“无限长”均匀带电细线,弯成图示形状.若半圆弧AB的半径为R,试求圆心O点的场强.答案:解:以O点作坐标原点,建立坐标如图所示.半无限长直线A∞在O点产生的场强,2分半无限长直线B∞在O点产生的场强,2分半圆弧线段在O点产生的场强,2分由场强叠加原理,O点合场强为2分32题目:在真空中有两根相互平行的无限长直导线L1和L2,相距10 cm,通有方向相反的电流,I1=20 A,I2=10 A,试求与两根导线在同一平面内且在导线L2两侧并与导线L2的距离均为 5.0 cm的两点的磁感强度的大小.(μ0 =4π×10-7 H·m-1)答案:解:(1) L1中电流在两导线间的a点所产生的磁感强度T 2分L2中电流在a点所产生的磁感强度T 1分由于、的方向相同,所以a点的合磁感强度的大小T 2分(2) L中电流在两导线外侧b点所产生的磁感强度T 2分L2中电流在b点所产生的磁感强度T 1分由于和和的方向相反,所以b点的合磁感强度的大小T 2分33题目:一无限长圆柱形铜导体(磁导率μ0),半径为R,通有均匀分布的电流I.今取一矩形平面S (长为1 m,宽为2 R),位置如右图中画斜线部分所示,求通过该矩形平面的磁通量.答案:解:由安培环路定律,圆柱体内部与中心轴线相距为r处的磁感强度的大小为3分因而,穿过导体内画斜线部分平面的磁通Φ1为3分圆形导体外与中心轴线相距r处的磁感强度大小为2分因而,穿过导体外画斜线部分平面的磁通Φ2为3分穿过整个矩形平面的磁通量1分35题目:如图所示,一根长为L的金属细杆ab绕竖直轴O1O2以角速度ω在水平面内旋转.O1O2在离细杆a端L/5处.若已知地磁场在竖直方向的分量为.求ab两端间的电势差.答案:解:间的动生电动势:4分b点电势高于O点.间的动生电动势:4分a点电势高于O点.∴2分36题目:已知均匀磁场,其磁感强度B = 2.0 Wb·m-2,方向沿x轴正向,如图所示.试求:(1) 通过图中abOc面的磁通量;(2) 通过图中bedO面的磁通量;(3) 通过图中acde面的磁通量.答案:解:匀强磁场对平面的磁通量为:设各面向外的法线方向为正(1) Wb 2分(2) 1分(3) Wb 2分39题目:用两根彼此平行的半无限长直导线L1、L2把半径为R的均匀导体圆环联到电源上,如图所示.已知直导线中的电流为I.求圆环中心O点的磁感强度.答案:解:设L1中电流在O点产生的磁感强度为B1,由于L1与O点在一条直线上,由毕奥-萨伐定律可求出 2分设L2中电流在O点产生的磁感强度为B2,L2为半无限长直电流,它在O处产生的场是无限长直电流的一半,由安培环路定律和叠加原理有方向垂直图面向外. 3分以下求圆环中电流在O点产生的磁感强度.电流由L1经a点分两路流入圆环,一路由a点经1/4圆弧流至b,称此回路为L3.另一路由a点经3/4圆弧流至b,称此段回路为L4.由于圆环为均匀导体,若L2的电路电阻为R,则L4的电阻必为3R.因此电流在L3、L4上的分配情况为L3中电流为3 I/4,L4中电流为I/ 4.L3、L4中电流在O点产生的磁感强度的大小相等,方向相反,总值为0.即故O点的磁感强度:方向垂直图面向外. 3分40题目:一无限长竖直导线上通有稳定电流I,电流方向向上.导线旁有一与导线共面、长度为L的金属棒,绕其一端O在该平面内顺时针匀速转动,如图所示.转动角速度为ω,O点到导线的垂直距离为r0 (r0 >L).试求金属棒转到与水平面成θ角时,棒内感应电动势的大小和方向.答案:解:棒上线元d l中的动生电动势为:3分金属棒中总的感生电动势为1分4分方向由O指向另一端. 2分41题目:在两根平行放置相距2a的无限长直导线之间,有一与其共面的矩形线圈,线圈边长分别为l和2b,且l边与长直导线平行.两根长直导线中通有等值同向稳恒电流I,线圈以恒定速度垂直直导线向右运动(如图所示) .求:线圈运动到两导线的中心位置(即线圈的中心线与两根导线距离均为a )时,线圈中的感应电动势.答案:解:取顺时针方向回路正向.2分2分2分∴2分43题目:载有电流I的平面闭合回路由半径为R1及R2 (R1 > R2 )的两个同心半圆弧和两个直导线段组成.已知两个直导线段在半圆弧中心O点产生的磁感强度均为零.若闭合回路在O点产生的总的磁感强度B大于半径为R2的半圆弧在O 点产生的磁感强度B2,(1) 画出载流回路的形状;(2) 求出O点的总磁感强度B.答案:解:(1) 可知. 2分故闭合回路形状如图所示. 3分(2) , 2分1分题目:实验表明,在靠近地面处有相当强的电场,电场强度垂直于地面向下,大小约为100 N/C;在离地面1.5 km高的地方,也是垂直于地面向下的,大小约为25 N/C.(1) 假设地面上各处都是垂直于地面向下,试计算从地面到此高度大气中电荷的平均体密度;(2) 假设地表面内电场强度为零,且地球表面处的电场强度完全是由均匀分布在地表面的电荷产生,求地面上的电荷面密度.(已知:真空介电常量=8.85×10-12 C2·N-1·m-2)答案:解:(1) 设电荷的平均体密度为ρ,取圆柱形高斯面如图(1)(侧面垂直底面,底面∆S平行地面)上下底面处的场强分别为E1和E2,则通过高斯面的电场强度通量为:·=E2∆S-E1∆S=(E2-E1) ∆S 2分高斯面S包围的电荷∑q i=h∆Sρ 1分由高斯定理(E2-E1) ∆S=h∆Sρ /ε0 1分∴=4.43×10-13 C/m3 2分(2) 设地面面电荷密度为σ.由于电荷只分布在地表面,所以电力线终止于地面,取高斯面如图(2) 1分由高斯定理·=-E∆S= 1分∴σ=-ε0 E=-8.9×10-10 C/m3 2分45题目:如图所示,真空中一矩形线圈宽和长分别为2a和b,通有电流I2,可绕其中心对称轴OO'转动.与轴平行且相距为d+a处有一固定不动的长直电流I1,开始时矩形线圈与长直电流在同一平面内,求:(1) 在图示位置时,I1产生的磁场通过线圈平面的磁通量;(2) 线圈与直线电流间的互感系数.(3) 保持I1、I2不变,使线圈绕轴OO'转过90°外力要做多少功?答案:解:(1) 按题意是指图示位置时的Φ.4分(2) 2分(3) 2分47题目:两相互平行无限长的直导线载有大小相等方向相反的电流,长度为b 的金属杆CD与两导线共面且垂直,相对位置如图.CD杆以速度平行直线电流运动,求CD杆中的感应电动势,并判断C、D两端哪端电势较高?答案:解:建立坐标(如图)则:,2分,方向⊙ 1分2分2分感应电动势方向为C→D,D端电势较高. 1分48题目:两根平行无限长直导线相距为d,载有大小相等方向相反的电流I,电流变化率d I /d t = >0.一个边长为d的正方形线圈位于导线平面内与一根导线相距d,如图所示.求线圈中的感应电动势E,并说明线圈中的感应电流是顺时针还是逆时针方向.答案:解:(1) 载流为I的无限长直导线在与其相距为r处产生的磁感强度为:2分以顺时针绕向为线圈回路的正方向,与线圈相距较远的导线在线圈中产生的磁通量为:与线圈相距较近的导线对线圈的磁通量为:总磁通量4分感应电动势为:2分由E >0和回路正方向为顺时针,所以E的绕向为顺时针方向,线圈中的感应电流亦是顺时针方向. 2分49题目:如图所示,一内半径为a、外半径为b的金属球壳,带有电荷Q,在球壳空腔内距离球心r处有一点电荷q.设无限远处为电势零点,试求:(1) 球壳内外表面上的电荷.(2) 球心O点处,由球壳内表面上电荷产生的电势.(3) 球心O点处的总电势.答案:解:(1) 由静电感应,金属球壳的内表面上感生电荷-q,外表面上电荷q+Q 2分(2) 球壳内表面上任一电荷元离O点的距离都是a,由这些电荷在O点产生的电势为2分(3) 分布在球壳内外表面上的电荷和点电荷q在O点产生的电势代数和为2分2分50题目:假想从无限远处陆续移来微量电荷使一半径为R的导体球带电.(1) 当球上已带有电荷q时,再将一个电荷元d q从无限远处移到球上的过程中,外力作多少功?(2) 使球上电荷从零开始增加到Q的过程中,外力共作多少功?答案:解:(1) 令无限远处电势为零,则带电荷为q的导体球,其电势为将d q从无限远处搬到球上过程中,外力作的功等于该电荷元在球上所具有的电势能3分(2) 带电球体的电荷从零增加到Q的过程中,外力作功为2分51题目:无限长直导线折成V形,顶角为 ,置于xy平面内,一个角边与x轴重合,如图.当导线中有电流I时,求y轴上一点P(0,a)处的磁感强度大小.答案:解:如图所示,将V形导线的两根半无限长导线分别标为1和2.则导线1中电流在P点的磁感强度为方向垂直纸面向内. 3分导线2中电流在P点的磁感强度为方向垂直纸面向外. 3分P点的总磁感强度为的方向垂直纸面向外. 2分52题目:假定地球的磁场是由地球中心的载流小环产生的,已知地极附近磁感强度B为 6.27×10-5 T,地球半径为R =6.37×106 m.μ0 =4π×10-7 H/m.试用毕奥-萨伐尔定律求该电流环的磁矩大小.答案:解:毕奥─萨伐尔定律:2分如图示,, (a为电流环的半径).∵r >> a∴3分小电流环的磁矩∴ 2分在极地附近z≈R,并可以认为磁感强度的轴向分量B z就是极地的磁感强度B,因而有:≈8.10×1022 A·m2 3分54题目:如图所示,在x-y平面内有与y轴平行、位于x=a / 2和x=-a / 2处的两条“无限长”平行的均匀带电细线,电荷线密度分别为+λ和-λ.求z 轴上任一点的电场强度.答案:解:过z轴上任一点(0 , 0 , z)分别以两条带电细线为轴作单位长度的圆柱形高斯面,如图所示. 2分按高斯定理求出两带电直线分别在该处产生的场强大小为场强方向如图所示. 3分按场强叠加原理,该处合场强的大小为2分方向如图所示. 3分或用矢量表示。
一、规范结果表达式1、ρ=(1.034±0.011)×10-4 kg/m => ρ=(1.03±0.02)×10-4 kg/m2、R=(805.7±4.1) Ω=> R=(806±5) Ω3、λ=(632.51±3.20) nm => λ=(633±4) nm4、e=(0.355±0.021) m => e=(0.36±0.03) m5、L=(9.650±0.810)cm => L=(9.6±0.9)cm二、各种常见工具的读数方法及表达方式1、游标卡尺:游标卡尺的读数=主尺读数+游标读数。
游标的格数决定了游标卡尺的精度,格数为10的游标卡尺精度为1/10mm,格数为20的游标卡尺精度为1/20mm,格数为50的游标卡尺精度为1/50mm。
L=35mm+16×0.02mm=35.32mm2、千分尺:千分尺的读数=主尺读数+滚轮读数。
L=1.5mm+8.7×0.01mm=1.587mm3、角游标α=351°30′+9×1′=351°39′三、与具体实验相关的问题1、在等厚干涉实验中,如果观察到的劈尖干涉条纹并不平行于棱边,说明什么问题?可能是构成劈尖的玻璃厚度不均匀造成的2、在用示波器观察李萨如图形的实验中,若李萨如图形总在滚动,说明什么问题?X、Y待测频率跟已知频率还未相等3、在转动惯量实验中,扭摆底座为什么要保持水平状态,摆幅为什么要在90度左右?物体的转动惯量与物体旋转轴的选择有直接关系,在扭摆法测定物体转动惯量中,是以物体的中心轴为旋转轴,调节转摆水平是为了使物体的中心轴与转盘旋转时的旋转轴重合圆盘转动的角度大于或小于90度,会使弹簧的形变系数发生改变4、适合用于测量金属丝直径的工具是什么?可以用螺旋测微计测量5、在该实验中,若测得光杠杆的长臂D与短臂b之比为20:1,求光杠杆的放大倍数。
大学物理实验考试题库一、填空题1.用天平称衡物体,事前必作的调整是:通过调整,通过,并通过判断平衡。
称衡时,物体应放在边盘,砝码应放在边盘。
调整天平,取放物体,或加减砝必须在天平处于情况下进行。
2.滑线变阻器在电路中主要有种基本接法,它们的功能分别是和。
4.实验测点分布。
当测定线性电阻的伏安特性时,测点宜分布;当测定非线性电阻时,电流随电压变化较慢时测点宜些。
5.用一只1.0级,量程为3伏的电压表测量大约2伏电压的基本误差:,绝对误差,相对误差。
6.测扬氏模量时,用测量标尺与镜面距离(约1.5m),用测量钢丝长度(约0.9m),用测量光杆杆长(约7cm), 用测量钢丝直径(约0.5mm)。
7.在测量扬氏模量实验中,测量钢丝的直径应在,的不同位置多次测量。
8. 在测量扬氏模量实验中,加减砝码动作要,加减过程应进行,不能中途。
9. 在测量扬氏模量实验中,实验中增重和减重各测一次,两次测量读数平均,是为了减少因带来的系统误差。
10.电势差计主要是测量的仪器,它应用的基本原理是原理。
它可以消除一般电压表接入电路时,由于而产生的误差。
为了实现电压的补偿,在测量电压时,待测电压的高电位点必须与电势差计标有“未知”的极相接,否则测量时检流计指针不能。
[NextPage] 11.电势差计使用实验中,无论是校准工作电流还是测量,检流计灵敏度转换开关总是要由粗→中→细,这是为了。
12.电势差计之所以能实现高精度的测量,是因为:第一,用高精度的对工作回路的电流值进行;第二,用高精度的标准所产生的电压降来指示;第三,用高灵敏度的做平衡指示仪表进行比较法测量。
13.用惠斯通电桥测电阻时,选择恰当的比率K的原则是。
比如,用本实验QJ23型直流电桥测约1×102Ω的电阻,应该使比率K= 。
14.提高惠斯通电桥灵敏度的方法主要是选用灵敏度高的,其次是选择合适的,适当提高。
15.分光仪的调节步骤:首先粗调,通过目测调节使. 和大致水平。
【例题】火车驶过车站时,站台边上观察者测得火车鸣笛声的频率由1200 Hz 变为1000 Hz ,已知空气中声速为330 米/ 秒,求火车的速度。
【例题】在地球大气层外测得太阳辐射谱,它的极值波长为490 nm,设太阳为黑体,求太阳表面温度T 。
【例题】. 试计算能通过光电效应从金属钾中打出电子所需的光子最小能量及其相应的最小频率(阈值频率)和最大波长。
已知金属钾的逸出功为2.25电子伏特,hc =1240 nm · eV 。
339,2.897105.91049010mbT Kλ--⨯===⨯⨯由维恩位移公式得【例题】:试计算能通过光电效应从金属钾中打出0.25电子伏特的电子,必须使用多少波长的电磁波辐射?【例题】巳知紫光的波长λ= 400 nm,其光子的能量、动量各为多少?【例题】求能量 E = 1.0 keV 光子的波长λ与频率ν。
【例题】 已知氢原子两个能级为-13.58eV 和-3.4eV ,氢原子从基态受激吸收到高能级,所吸收光子的波长应该是多少(组合常数:hc =1240 nm · eV )【例题】. 试计算下列各粒子的德布罗意波长:1)能量为 150eV 的自由电子; 2)能量为 0.2eV 的自由中子;3)能量为 0.5eV 质量为2.5克的质点( mec2=511keV ,hc =1240nm ·ev )21hE E ν=玻尔公式 -【例题】. 在电子显微镜中假定电子的波长是0.01nm(比可见光小4个量级,比原子尺度小一个量级),求相应的电子动能是多少电子伏特。
【例题】设子弹的质量为0.01㎏,枪口的直径为0.5㎝, 试求子弹射出枪口时的横向速度的不确定量?【例题】:π- 介子是一种不稳定的粒子,从它产生到它衰变为μ- 介子经历的时间即为它的寿命,已测得静止π- 介子的平均寿命τ0 = 2 ⨯ 10-8s 。
某加速器产生的π-介子以速率u = 0.98 c 相对实验室运动。
大学物理习题册计算题及答案三 计算题1. 一质量m = 0.25 kg 的物体,在弹簧的力作用下沿x 轴运动,平衡位置在原点。
弹簧的劲度系数k = 25N ·m -1。
(1) 求振动的周期T 和角频率.(2) 如果振幅A =15 cm ,t = 0时物体位于x = 7.5 cm 处,且物体沿x 轴反向运动,求初速v 0及初相. (3) 写出振动的数值表达式。
解:(1) 1s 10/-==m k ω 63.0/2=π=ωT s(2) A = 15 cm ,在 t = 0时,x 0 = 7。
5 cm,v 0 〈 0 由 2020)/(ωv +=x A得 3.1220-=--=x A ωv m/s π=-=-31)/(tg 001x ωφv 或 4/3∵ x 0 > 0 , ∴ π=31φ(3) )3110cos(10152π+⨯=-t x (SI )振动方程为)310cos(1015)cos(2πϕω+⨯=+=-t t A x (SI )﹡2. 在一平板上放一质量为m =2 kg 的物体,平板在竖直方向作简谐振动,其振动周期为T = 21s ,振幅A = 4 cm ,求 (1) 物体对平板的压力的表达式.(2) 平板以多大的振幅振动时,物体才能离开平板。
解:选平板位于正最大位移处时开始计时,平板的振动方程为 t A x π4cos = (SI)t A x ππ4cos 162-=(SI ) (1) 对物体有 x m N mg=- ① t A mg x m mg N ππ4cos 162+=-= (SI) ② 物对板的压力为 t A mg N F ππ4cos 162--=-= (SI )t ππ4cos 28.16.192--= ③(2) 物体脱离平板时必须N = 0,由②式得 04cos 162=+t A mg ππ (SI )A qt 2164cos π-=π 若能脱离必须 14cos ≤t π (SI )即 221021.6)16/(-⨯=≥πg A m三 计算题﹡1。
《大学物理》实验模拟题及答案一一、选择题1.由于实验环境中的温度、湿度、气流变化而引起的误差属于: BA.系统误差B. 随机误差C. 粗大误差D. 相对误差 2.选出消除系统误差的测量方法 A A. 交换法 B. 放大法 C. 模拟法 D. 以上都不是 3.在正常情况下,下列读数错误的是 DA. 分度值为mm 1的毫米刻度尺测得物体长度为cm 00.40B. 分度值为mm 01.0的螺旋测微器,测得某物体的长度为mm 021.15C. 分度值为mm 02.0的游标卡尺测得某物体的长度为cm 604.1D. 有量程mV 1000,分格数为100格的电压表测得电压值为mV 5.100 4. 对于间接测量量232y x Z -=,正确的不确定度传递关系是 C A .()()22243yxZ U U x U += B .()()22243yxZ yU U x U -=C .()()22243yxZ yU U x U +=D .()()22243yxZ U U x U ±=5. 某同学实验中某长度测量值为5.6258m ,则该同学所用仪器可能是 A A .毫米钢卷尺 B .螺旋测微计 C .10分度游标卡尺 D .厘米直尺6.下列哪种仪器的读数不需要估读 D A. 毫米刻度尺 B. 千分尺 C. 读数显微镜 D. 电阻箱7.在下面的李萨如图中,如果在X 轴方向信号的频率是100Hz ,那么在Y 轴方向信号的频率是:C8.下列测量结果中表达式正确的是 AA .()KHz f 0027.02584.25±=B .()2203785000mm S ±=C . mS S t 05.054.89±=D .()33055.010621.5m Kg ±⨯=ρ 9.在杨氏模量实验中,通常先预加1kg 砝码,其目的是 CA. 消除摩擦力 B .减小初读数,消除零误差 C. 拉直金属丝,避免金属弯曲对测量伸长量的影响 D .使系统稳定,底座水平 10. 用电子示波器观察李萨如图形时,若图形不稳定,应该调节 AA. 信号源频率调节旋扭B. 示波器扫描时间旋钮C. 示波器垂直衰减旋扭D. 示波器水平或竖直移位旋扭二、填空题1.正常测量的误差,按产生的原因和性质可分为 和 两大类; 实验测量按照测量值获得的方法不同可分为 和 两大类。
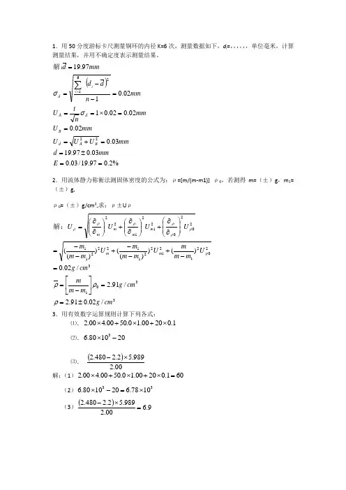
1.用50分度游标卡尺测量铜环的内径K=6次,测量数据如下,d i =,,,,,,单位毫米,计算测量结果,并用不确定度表示测量结果。
()%2.097.19/03.003.097.1903.002.002.002.0102.0197.1922261==±==+===⨯===--==∑=E mm d mmU U U mmU mmn tU mmn ddmmd B A d B d A ii d σσ解:2.用流体静力称衡法测固体密度的公式为:ρ=[m/(m-m1)] ρ0,若测得m=(±)g ,m 1=(±)g,ρ0=(±)g/cm 3,求:ρ±U ρ330132021212211222112020212122/02.091.2/91.2/02.0)())(())((cm g cmg m m m cm g U m m m U m m m U m m m U U U U p m m m m m m ±==⎥⎦⎤⎢⎣⎡-==-+--+--=⎪⎪⎭⎫⎝⎛∂∂+⎪⎪⎭⎫⎝⎛∂∂+⎪⎪⎭⎫ ⎝⎛∂∂=ρρρρρρρρρ解:3.用有效数字运算规则计算下列各式:⑴.1.02000.10.5000.400.2⨯+⨯+⨯⑵.201080.63-⨯⑶.()00.2989.52.2480.2⨯-解:(1)601.02000.10.5000.400.2=⨯+⨯+⨯(2)331078.6201080.6⨯=-⨯ (3)()9.600.2989.52.2480.2=⨯-4.(1)=-+12.93.20475.8 (2)=⨯-⨯23102.41025.5 (3)=⨯+30.26.4)2.1036.9((4)=⨯200.10π解:(1)6.1912.93.20475.8=-+ (2)3231083.4102.41025.5⨯=⨯-⨯ (3)3930.26.4)2.1036.9(=⨯+(4) 2.31400.102=⨯π 5.(1)=-+753.951.236457.68(2)=⨯⨯0.30000.200.40360.9(3)=⨯200.6041π(4)=-⨯--⨯)140.31400.23()0.10831103()450.945.18(00.80解(1)21.295753.951.236457.68=-+(2)24.60.30000.200.40360.9=⨯⨯(3)282700.60412=⨯π(4)8.1)140.31400.23()0.10831103()450.945.18(00.80=-⨯--⨯6.(1)=+⨯-+⨯0.11000.10)00.7700.78()412.46.5(0.100(2)=-+137.032.5347.72 (3)=÷⨯2005.3793.8 (4)=⨯-⨯12107.1107.8 解:(1)3101.10.11000.10)00.7700.78()412.46.5(0.100⨯=+⨯-+⨯(2)53.77137.032.5347.72=-+ (3) 15.02005.3793.8=÷⨯ (4) 212105.8107.1107.8⨯=⨯-⨯7.(1)=+÷3.5109.76(2)=-22200.3)00.400.5((3)=⨯-989.5)2.2480.2((4)=⨯-⨯+⨯1.02000.10.50000.400.2 解:(1)0.133.5109.76=+÷(2)0.100.3)00.400.5(222=-(3)14989.5)2.2480.2(=⨯-(4)561.02000.10.50000.400.2=⨯-⨯+⨯ 8.(1)=-⨯201080.63(2)=-+28.520234.7(3)=-++01.0701.2347.172 (4)=÷⨯100.2231.5解:(1)331078.6201080.6⨯=-⨯ (2)2228.520234.7=-+(3)24401.0701.2347.172=-++ (4)0.1100.2231.5=÷⨯ 9.(1)=⨯-⨯33109.0109.7 (2)]20[3.22079.6是常数=+÷(3)=÷⨯519.623.328(4)=⨯-⨯1007.42.17.503 解:(1)333100.7109.0109.7⨯=⨯-⨯ (2)]20[6.23.22079.6是常数=+÷(3)14519.623.328=÷⨯(4)2103.11007.42.17.503⨯=⨯-⨯10.(1))10(104.237为常数=(2)=+-3.7046.2785.32(3)=÷⨯1005.232.50(4)=÷+⨯23.172.41.174.38解:(1))10(74.23104.237为常数=(2)6.1003.7046.2785.32=+- (3)3.11005.232.50=÷⨯(4)4723.172.41.174.38=÷+⨯11.(1))50(5047.832为常数=(2)=-+24.53121146.28 (3)=÷⨯53076.14(4)=⨯+÷405.10.326.16 解:(1))50(649.165047.832为常数= (2)9624.53121146.28=-+ (3)10953076.14⨯=÷⨯ (4)65405.10.326.16=⨯+÷解:cmn cm n n n cmn n n cmn n n cm n n n 989.04*492.396.396.399.392.396.396.399.3484373262151=+++=∆=-=∆=-=∆=-=∆=-=∆cmn cm n n n cm n n n cm n n n cm n n n 429.04*4 3.703.783.783.81 3.7078.33.7881.3484373262151=+++=∆=-=∆=-=∆=-=∆=-=∆解:cmn cm n n n cm n n n cm n n n 991.03*3 2.952.973.0095.22.9700.3363252141=++=∆=-=∆=-=∆=-=∆cmn cm L L l cm L L L cm L L L cm L L L 83119.04*4 3.15653.29453.34503.5030 3.15652945.33.34505030.3484373262151=+++=∆=-=∆=-=∆=-=∆=-=∆cmn cm n n n cm n n n cm n n n 316.03*3 2.892.722.9289.22.922.72363252141=++=∆=-=∆=-=∆=-=∆解:cmn cm n n n cm n n n cm n n n 967.03*3 2.932.972.8093.22.9780.2363252141=++=∆=-=∆=-=∆=-=∆18.一个长方形的面积S=ab 。
物理计算题8-11 半径为1R 和2R (2R >1R )的两无限长同轴圆柱面,单位长度上分别带有电量λ和-λ,试求:(1)r <1R ;(2) 1R <r <2R ;(3) r >2R 处各点的场强. 解: 高斯定理0d ε∑⎰=⋅q S E s取同轴圆柱形高斯面,侧面积rl S π2=则 rl E S E Sπ2d =⋅⎰对(1) 1R r < 0,0==∑E q (2) 21R r R << λl q =∑ ∴ rE 0π2ελ=沿径向向外(3) 2R r > 0=∑q∴ 0=E题8-12图8-12 两个无限大的平行平面都均匀带电,电荷的面密度分别为1σ和2σ,试求空间各处场强.解: 如题8-12图示,两带电平面均匀带电,电荷面密度分别为1σ与2σ, 两面间, n E)(21210σσε-=1σ面外, n E)(21210σσε+-= 2σ面外, n E)(21210σσε+=n:垂直于两平面由1σ面指为2σ面.8-13 半径为R 的均匀带电球体内的电荷体密度为ρ,若在球内挖去一块半径为r <R 的小球体,如题8-13图所示.试求:两球心O 与O '点的场强,并证明小球空腔内的电场是均匀的.解: 将此带电体看作带正电ρ的均匀球与带电ρ-的均匀小球的组合,见题8-13图(a).(1) ρ+球在O 点产生电场010=E,ρ- 球在O 点产生电场'dπ4π3430320OO r E ερ= ∴ O 点电场'd33030OO r E ερ=;(2) ρ+在O '产生电场'dπ4d 3430301OO E ερπ='ρ-球在O '产生电场002='E∴ O ' 点电场 003ερ='E'OO题8-13图(a) 题8-13图(b)(3)设空腔任一点P 相对O '的位矢为r',相对O 点位矢为r(如题8-13(b)图)则 03ερrE PO =,3ερr E O P '-=' ,∴ 03'3)(3ερερερd OO r r E E E O P PO P=='-=+='∴腔内场强是均匀的.题8-16图8-16 如题8-16图所示,在A ,B 两点处放有电量分别为+q ,-q 的点电荷,AB 间距离为2R ,现将另一正试验点电荷0q 从O 点经过半圆弧移到C 点,求移动过程中电场力作的功.解: 如题8-16图示0π41ε=O U 0)(=-R q R qπ41ε=O U )3(Rq Rq -Rq 0π6ε-=∴ Rq q U U q A o C O 00π6)(ε=-=8-17 如题8-17图所示的绝缘细线上均匀分布着线密度为λ的正电荷,两直导线的长度和半圆环的半径都等于R .试求环中心O 点处的场强和电势.解: (1)由于电荷均匀分布与对称性,AB 和CD 段电荷在O 点产生的场强互相抵消,取θd d R l =则θλd d R q =产生O 点Ed 如图,由于对称性,O 点场强沿y 轴负方向题8-17图θεθλππcos π4d d 2220⎰⎰-==RR E E yR0π4ελ=[)2sin(π-2sinπ-]R0π2ελ-=(2) AB 电荷在O 点产生电势,以0=∞U⎰⎰===AB200012ln π4π4d π4d RRxxxxU ελελελ同理CD 产生 2ln π402ελ=U半圆环产生 0034π4πελελ==RR U∴ 032142ln π2ελελ+=++=U U U U O8-22 三个平行金属板A ,B 和C 的面积都是200cm 2,A 和B 相距4.0mm ,A 与C 相距2.0mm .B ,C 都接地,如题8-22图所示.如果使A 板带正电3.0×10-7C ,略去边缘效应,问B 板和C 板上的感应电荷各是多少?以地的电势为零,则A 板的电势是多少? 解: 如题8-22图示,令A 板左侧面电荷面密度为1σ,右侧面电荷面密度为2σ题8-22图(1)∵ ABACUU=,即∴ AB AB AC AC E E d d = ∴2d d 21===ACAB ABAC E E σσ且 1σ+2σSq A =得 ,32Sq A =σ Sq A 321=σ而 7110232-⨯-=-=-=A C q S q σCC 10172-⨯-=-=S q B σ(2) 31103.2d d ⨯===AC AC AC AE UεσV8-23 两个半径分别为1R 和2R (1R <2R )的同心薄金属球壳,现给内球壳带电+q ,试计算:(1)外球壳上的电荷分布及电势大小;(2)先把外球壳接地,然后断开接地线重新绝缘,此时外球壳的电荷分布及电势; *(3)再使内球壳接地,此时内球壳上的电荷以及外球壳上的电势的改变量. 解: (1)内球带电q +;球壳内表面带电则为q -,外表面带电为q +,且均匀分布,其电势题8-23图⎰⎰∞∞==⋅=22020π4π4d d R R Rq rr q r E U εε(2)外壳接地时,外表面电荷q +入地,外表面不带电,内表面电荷仍为q -.所以球壳电势由内球q +与内表面q -产生:0π4π42020=-=R q R q U εε(3)设此时内球壳带电量为q ';则外壳内表面带电量为q '-,外壳外表面带电量为+-q q ' (电荷守恒),此时内球壳电势为零,且0π4'π4'π4'202010=+-+-=R q q R q R q UAεεε得 q R R q 21='外球壳上电势 ()22021202020π4π4'π4'π4'RqR R R q q R q R q U B εεεε-=+-+-=8-22 三个平行金属板A ,B 和C 的面积都是200cm 2,A 和B 相距4.0mm ,A 与C 相距2.0 mm .B ,C 都接地,如题8-22图所示.如果使A 板带正电3.0×10-7C ,略去边缘效应,问B 板和C 板上的感应电荷各是多少?以地的电势为零,则A 板的电势是多少? 解: 如题8-22图示,令A 板左侧面电荷面密度为1σ,右侧面电荷面密度为2σ题8-22图(1)∵ ABACUU=,即∴ AB AB AC AC E E d d = ∴2d d 21===ACAB ABAC E E σσ且 1σ+2σSq A =得 ,32Sq A =σ Sq A 321=σ而 7110232-⨯-=-=-=A C q S q σCC10172-⨯-=-=S q B σ(2) 31103.2d d ⨯===AC AC AC AE UεσV8-23 两个半径分别为1R 和2R (1R <2R )的同心薄金属球壳,现给内球壳带电+q ,试计算:(1)外球壳上的电荷分布及电势大小;(2)先把外球壳接地,然后断开接地线重新绝缘,此时外球壳的电荷分布及电势; *(3)再使内球壳接地,此时内球壳上的电荷以及外球壳上的电势的改变量. 解: (1)内球带电q +;球壳内表面带电则为q -,外表面带电为q +,且均匀分布,其电势题8-23图⎰⎰∞∞==⋅=22020π4π4d d R R Rq rr q r E U εε(2)外壳接地时,外表面电荷q +入地,外表面不带电,内表面电荷仍为q -.所以球壳电势由内球q +与内表面q -产生:0π4π42020=-=R q R q U εε(3)设此时内球壳带电量为q ';则外壳内表面带电量为q '-,外壳外表面带电量为+-q q ' (电荷守恒),此时内球壳电势为零,且0π4'π4'π4'202010=+-+-=R q q R q R q UAεεε得 q R R q 21='外球壳上电势 ()22021202020π4π4'π4'π4'RqR R R q q R q R q U B εεεε-=+-+-=7图9-7 如题9-7图所示,AB 、CD 为长直导线,C B为圆心在O 点的一段圆弧形导线,其半径为R .若通以电流I ,求O 点的磁感应强度.解:如题9-7图所示,O 点磁场由AB 、C B、CD 三部分电流产生.其中AB 产生 01=BCD 产生RIB 1202μ=,方向垂直向里CD 段产生 )231(2)60sin 90(sin 24003-πμ=-πμ=︒︒RI R I B ,方向⊥向里∴)6231(203210ππμ+-=++=RIB B B B ,方向⊥向里.9-8 在真空中,有两根互相平行的无限长直导线1L 和2L ,相距0.1m ,通有方向相反的电流,1I =20A,2I =10A ,如题9-8图所示.A ,B 两点与导线在同一平面内.这两点与导线2L 的距离均为5.0cm .试求A ,B 两点处的磁感应强度,以及磁感应强度为零的点的位置.题9-8图解:如题9-8图所示,A B方向垂直纸面向里42010102.105.02)05.01.0(2-⨯=⨯+-=πμπμI I B A T(2)设0=B在2L 外侧距离2L 为r 处 则02)1.0(220=-+rI r Iπμπμ解得 1.0=r m图 题9-12图9-12 两平行长直导线相距d =40cm ,每根导线载有电流1I =2I =20A ,如题9-12图所示.求: (1)两导线所在平面内与该两导线等距的一点A 处的磁感应强度; (2)通过图中斜线所示面积的磁通量.(1r =3r =10cm, l =25cm).解:(1) 52010104)2(2)2(2-⨯=+=d I d I B A πμπμ T 方向⊥纸面向外(2)取面元 r l S d d =612010110102.23ln 31ln23ln 2])(22[1211-+⨯=πμ=πμ-πμ=-πμ+πμ=⎰l I l I l I ldr r d I rI r r r ΦWb9-16 一根很长的同轴电缆,由一导体圆柱(半径为a )和一同轴的导体圆管(内、外半径分别 为b ,c )构成,如题9-16图所示.使用时,电流I 从一导体流去,从另一导体流回.设电流都是均匀地分布在导体的横截面上,求:(1)导体圆柱内(r <a ),(2)两导体之间(a <r <b ),(3)导体圆筒内(b <r <c )以及(4)电缆外(r >c )各点处磁感应强度的大小解: ⎰∑μ=⋅LI l B 0d(1)a r < 2202RIr r B μπ=202RIrB πμ=(2) b r a << I r B 02μπ=rIB πμ20=(3)c r b << I bc b r Ir B 0222202μμπ+---=)(2)(22220b c r r c I B --=πμ(4)c r > 02=r B π0=B题9-16图题9-17图题9-20图9-20 如题9-20图所示,在长直导线AB 内通以电流1I =20A ,在矩形线圈CDEF 中通有电流2I =10 A ,AB 与线圈共面,且CD ,EF 都与AB 平行.已知a =9.0cm,b =20.0cm,d =1.0 cm ,求:(1)导线AB 的磁场对矩形线圈每边所作用的力; (2)矩形线圈所受合力和合力矩.解:(1)CD F方向垂直CD 向左,大小4102100.82-⨯==dI bI F CD πμ N同理FE F 方向垂直FE 向右,大小5102100.8)(2-⨯=+=a d I bI F FE πμ NCF F方向垂直CF 向上,大小为⎰+-⨯=+πμ=πμ=ad dCF da d I I r rI I F 5210210102.9ln2d 2 NED F方向垂直ED 向下,大小为5102.9-⨯==CF ED F F N(2)合力ED CF FE CD F F F F F+++=方向向左,大小为4102.7-⨯=F N合力矩B P M m⨯= ∵ 线圈与导线共面∴ B P m//0=M.9-23 一长直导线通有电流1I =20A ,旁边放一导线ab ,其中通有电流2I =10A ,且两者共面,如题9-23图所示.求导线ab 所受作用力对O 点的力矩. 解:在ab 上取r d ,它受力ab F ⊥d 向上,大小为 rI rI F πμ2d d 102=F d 对O 点力矩F r M ⨯=d Md 方向垂直纸面向外,大小为r I I F r M d 2d d 210πμ==⎰⎰-⨯===babar I I M M 6210106.3d 2d πμ m N ⋅题9-23图题9-24图9-30 螺绕环中心周长L =10cm ,环上线圈匝数N =200匝,线圈中通有电流I =100 mA .(1)当管内是真空时,求管中心的磁场强度H和磁感应强度0B ;(2)若环内充满相对磁导率r μ=4200的磁性物质,则管内的B和H 各是多少?*(3)磁性物质中心处由导线中传导电流产生的0B 和由磁化电流产生的B′各是多少?解: (1) I l H l∑=⋅⎰dNI HL = 200==LNI H 1m A -⋅400105.2-⨯==H B μT(2)200=H 1m A -⋅ 05.1===H H B o r μμμ T (3)由传导电流产生的0B即(1)中的40105.2-⨯=B T ∴由磁化电流产生的05.10≈-='B B B T图10-4 如题10-4图所示,载有电流I 的长直导线附近,放一导体半圆环MeN 与长直导线共面,且端点MN 的连线与长直导线垂直.半圆环的半径为b ,环心O 与导线相距a .设半圆环以速度v 平行导线平移.求半圆环内感应电动势的大小和方向及MN 两端的电压NM UU -.解: 作辅助线MN ,则在MeNM 回路中,沿v方向运动时0d =m Φ ∴ 0=MeNM ε 即 MN MeN εε= 又∵ ⎰+-<+-==ba ba MN ba b a Ivl vB 0ln2d cos 0πμπε所以MeN ε沿NeM 方向,大小为ba b a Iv-+ln20πμM 点电势高于N 点电势,即ba b a IvU U N M -+=-ln20πμ题10-5图10-5如题10-5所示,在两平行载流的无限长直导线的平面内有一矩形线圈.两导线中的电流方向相反、大小相等,且电流以tI d d 的变化率增大,求:(1)任一时刻线圈内所通过的磁通量; (2)线圈中的感应电动势. 解: 以向外磁通为正则 (1) ]ln[lnπ2d π2d π2000da d ba b Ilr l rIr l rIab bad dm +-+=-=⎰⎰++μμμΦ(2) tIb a b da d ltd d ]ln[lnπ2d d 0+-+=-=μΦε 图10-10 导线ab 长为l ,绕过O 点的垂直轴以匀角速ω转动,aO =3l 磁感应强度B 平行于转轴,如图10-10所示.试求: (1)ab 两端的电势差; (2)b a ,两端哪一点电势高? 解: (1)在Ob 上取dr r r +→一小段则 ⎰==320292d lOb l B r rB ωωε同理 ⎰==32181d lOa l B r rB ωωε∴ 2261)92181(l B l B Ob aO ab ωωεεε=+-=+=(2)∵ 0>ab ε 即0<-b a U U ∴b 点电势高.图10-12 磁感应强度为B的均匀磁场充满一半径为R 的圆柱形空间,一金属杆放在题10-12图中位置,杆长为2R ,其中一半位于磁场内、另一半在磁场外.当tB d d >0时,求:杆两端的感应电动势的大小和方向.解: ∵ bc ab ac εεε+=tB R B R ttab d d 43]43[d d d d 21=--=-=Φε=-=tab d d 2ΦεtB R B R td d 12π]12π[d d 22=--∴ tB R R ac d d ]12π43[22+=ε∵0d d >tB∴ 0>ac ε即ε从c a →12-7 在杨氏双缝实验中,双缝间距d =0.20mm ,缝屏间距D =1.0m ,试求: (1)若第二级明条纹离屏中心的距离为6.0mm ,计算此单色光的波长; (2)相邻两明条纹间的距离. 解: (1)由λk dD x =明知,λ22.01010.63⨯⨯=,∴ 3106.0-⨯=λmm oA 6000=(2) 3106.02.010133=⨯⨯⨯==∆-λdD x mm12-10 一平面单色光波垂直照射在厚度均匀的薄油膜上,油膜覆盖在玻璃板上.油的折射率为1.30,玻璃的折射率为1.50,若单色光的波长可由光源连续可调,可观察到5000 oA 与7000oA 这两个波长的单色光在反射中消失.试求油膜层的厚度.解: 油膜上、下两表面反射光的光程差为ne 2,由反射相消条件有λλ)21(2)12(2+=+=k kk ne ),2,1,0(⋅⋅⋅=k ①当50001=λoA 时,有2500)21(21111+=+=λλk k ne ②当70002=λoA 时,有3500)21(22222+=+=λλk k ne ③因12λλ>,所以12k k <;又因为1λ与2λ之间不存在3λ满足33)21(2λ+=k ne 式即不存在 132k k k <<的情形,所以2k 、1k 应为连续整数,即 112-=k k ④ 由②、③、④式可得:51)1(75171000121221+-=+=+=k k k k λλ得 31=k2112=-=k k可由②式求得油膜的厚度为67312250011=+=nk e λoA12-13 如题12-13图,波长为6800oA 的平行光垂直照射到L =0.12m 长的两块玻璃片上,两玻璃片一边相互接触,另一边被直径d =0.048mm 的细钢丝隔开.求: (1)两玻璃片间的夹角=θ?(2)相邻两明条纹间空气膜的厚度差是多少? (3)相邻两暗条纹的间距是多少? (4)在这0.12 m 内呈现多少条明条纹?题12-13图解: (1)由图知,d L =θsin ,即d L =θ故 43100.41012.0048.0-⨯=⨯==L d θ(弧度)(2)相邻两明条纹空气膜厚度差为7104.32-⨯==∆λe m(3)相邻两暗纹间距641010850100.421068002---⨯=⨯⨯⨯==θλl m 85.0= mm(4)141≈=∆lL N 条12-16 当牛顿环装置中的透镜与玻璃之间的空间充以液体时,第十个亮环的直径由1d =1.40×10-2m 变为2d =1.27×10-2m ,求液体的折射率. 解: 由牛顿环明环公式2)12(21λR k D r -==空nR k D r 2)12(22λ-==液两式相除得n D D =21,即22.161.196.12221≈==D D n13-12 单缝宽0.10mm ,透镜焦距为50cm ,用5000=λoA 的绿光垂直照射单缝.求:(1)位于透镜焦平面处的屏幕上中央明条纹的宽度和半角宽度各为多少?(2)若把此装置浸入水中(n=1.33),中央明条纹的半角宽度又为多少?解:中央明纹的宽度为f nax λ2=∆ 半角宽度为naλθ1sin-=(1)空气中,1=n ,所以3310100.51010.01050005.02---⨯=⨯⨯⨯⨯=∆x m33101100.51010.0105000sin ----⨯=⨯⨯=θ rad(2)浸入水中,33.1=n ,所以有33101076.31010.033.110500050.02---⨯≈⨯⨯⨯⨯⨯=∆x m331011076.3101.033.1105000sin----⨯≈⨯⨯⨯=θ rad13-15 波长为5000oA 的平行单色光垂直照射到每毫米有200条刻痕的光栅上,光栅后的透镜焦距为60cm . 求:(1)屏幕上中央明条纹与第一级明条纹的间距;(2)当光线与光栅法线成30°斜入射时,中央明条纹的位移为多少? 解:3100.52001-⨯==+b a mm 6100.5-⨯m(1)由光栅衍射明纹公式λϕk b a =+sin )(,因1=k ,又fx ==ϕϕtan sin所以有λ=+fx b a 1)(即 62101100.51060105000---⨯⨯⨯⨯=+=ba f x λ2100.6-⨯=m 6= cm(2)对应中央明纹,有0=k正入射时,0sin )(=+ϕb a ,所以0sin =≈ϕϕ斜入射时,0)sin )(sin (=±+θϕb a ,即0sin sin =±θϕ因︒=30θ,∴21tan sin ±==≈fx ϕϕ故22103010602121--⨯=⨯⨯==f x m 30= cm这就是中央明条纹的位移值.13-16 波长6000=λoA 的单色光垂直入射到一光栅上,第二、第三级明条纹分别出现在 20.0sin =ϕ与30.0sin =ϕ处,第四级缺级.求:(1)光栅常数;(2)光栅上狭缝的宽度;(3)在90°>ϕ>-90°范围内,实际呈现的全部级数. 解:(1)由λϕk b a =+sin )(式对应于20.0sin 1=ϕ与30.0sin 2=ϕ处满足:101060002)(20.0-⨯⨯=+b a 101060003)(30.0-⨯⨯=+b a得 6100.6-⨯=+b a m(2)因第四级缺级,故此须同时满足λϕk b a =+sin )( λϕk a '=sin解得 k k b a a '⨯='+=-6105.14取1='k ,得光栅狭缝的最小宽度为6105.1-⨯m (3)由λϕk b a =+sin )(λϕsin )(b a k +=当2πϕ=,对应max k k =∴ 10106000100.6106max =⨯⨯=+=--λba k因4±,8±缺级,所以在︒︒<<-9090ϕ范围内实际呈现的全部级数为9,7,6,5,3,2,1,0±±±±±±±=k 共15条明条纹(10±=k 在︒±=90k 处看不到).13-19 已知天空中两颗星相对于一望远镜的角距离为4.84×10-6rad ,它们都发出波长为5500oA 的光,试问望远镜的口径至少要多大,才能分辨出这两颗星? 解:由最小分辨角公式Dλθ22.1=∴ 86.131084.4105.522.122.165=⨯⨯⨯==--θλD cm14-7投射到起偏器的自然光强度为0I ,开始时,起偏器和检偏器的透光轴方向平行.然后使检偏器绕入射光的传播方向转过130°,45°,60°,试分别求出在上述三种情况下,透过检偏器后光的强度是0I 的几倍? 解:由马吕斯定律有0o2018330cos 2I I I ==0ο2024145cos 2I I I ==0ο2038160cos 2I I I ==所以透过检偏器后光的强度分别是0I 的83,41,81倍.14-9 自然光入射到两个重叠的偏振片上.如果透射光强为,(1)透射光最大强度的三分之一,(2)入射光强的三分之一,则这两个偏振片透光轴方向间的夹角为多少? 解:(1) max 120131cos 2I I I ==α又 20max I I =∴ ,601I I =故 'ο11124454,33cos ,31cos ===ααα.(2) 0220231cos 2I I I ==α∴ 'ο221635,32cos ==αα14-10 一束自然光从空气入射到折射率为1.40的液体表面上,其反射光是完全偏振光.试求:(1)入射角等于多少?(2)折射角为多少? 解:(1),140.1tan 0=i ∴'ο02854=i(2) 'ο0ο323590=-=i y14-11 利用布儒斯特定律怎样测定不透明介质的折射率?若测得釉质在空气中的起偏振角为58°,求釉质的折射率. 解:由158tan οn =,故60.1=n16-6若一个光子的能量等于一个电子的静能,试求该光子的频率、波长、动量.解:电子的静止质量S J 1063.6,kg 1011.934310⋅⨯=⨯=--h m 当 20c m h =υ时,则Hz10236.11063.6)103(1011.92034283120⨯=⨯⨯⨯⨯==--hc m υο12A 02.0m 104271.2=⨯==-υλc122831020122sm kg 1073.21031011.9sm kg 1073.2-----⋅⋅⨯=⨯⨯⨯=====⋅⋅⨯==c m cc m c E p cpE hp 或λ16-17 为使电子的德布罗意波长为1οA ,需要多大的加速电压? 解: ooA 1A 25.12==uλ 25.12=U∴ 加速电压 150=U 伏16-19 光子与电子的波长都是2.0οA ,它们的动量和总能量各为多少? 解:由德布罗意关系:2mc E =,λhmv p ==波长相同它们的动量相等.1-241034s m kg 103.3100.21063.6⋅⋅⨯=⨯⨯==---λhp光子的能量eV 102.6J 109.9103103.3316824⨯=⨯=⨯⨯⨯====--pc hch λυε电子的总能量 2202)()(c m cp E +=,eV 102.63⨯=cp而 eV 100.51MeV 51.0620⨯==c m∴ cp c m >>2∴ MeV 51.0)()(202202==+=c m c m cp E16-20 已知中子的质量kg 1067.127n -⨯=m ,当中子的动能等于温度300K 的热平衡中子气体的平均动能时,其德布罗意波长为多少? 解:kg 1067.127n -⨯=m ,S J 1063.634⋅⨯=-h ,-123K J 1038.1⋅⨯=-k中子的平均动能 mpKT E k 2232==德布罗意波长 oA 456.13===mkTh phλ16-21 一个质量为m 的粒子,约束在长度为L 的一维线段上.试根据测不准关系估算这个粒子所具有的最小能量的值.解:按测不准关系,h p x x ≥∆∆,x x v m p ∆=∆,则h v x m x ≥∆∆,xm h v x ∆≥∆这粒子最小动能应满足 222222min 22)(21)(21mLhxm hxm h m v m E x =∆=∆≥∆=。
m x 100=00=v 00=x 00=v m x 100=物理复习题总编三、计算题★1、一质点沿x 轴运动,其加速度为a=4t (SI),已知t=0时,质点位于 处,初速度。
试求其位置和时间的关系式。
★2、一质点沿x 轴运动,其加速度a 与位置坐标x 的关系为a=2+6x 2(SI)。
如果质点在原点处的速度为零,试求其在任意位置处的速度。
★ 3、已知一质点绕半径为0.2米的圆周运动,其转过的弧长随时间变化的关系式是S=2t 2+3t+1(式中t 以秒计,S 以米计)。
求:(1)前2秒内质点的平均速率;(2)质点在第2秒末的瞬时速率;(3)质点在第2秒末的切向加速度、法向加速度和总加速度的大小。
★4、质点m=2kg 的物体沿x 轴作直线运动,所受合外力F=10+6x 2(SI)。
如果在处时速度 ;试求该物体运动到x=4m 处时速度的大小。
★5、已知质点的运动方程为x=5-3t 3,y=3t 2+2t-8(SI)求:(1)任意时刻质点的位置矢量、速度和加速度;(2)质点在第二秒内的位移、平均速度和平均加速度。
★6、质量为2.0kg 的质点沿x 轴运动,其速度v=5+t2,当t=0时,质点坐标为 。
试求:(1) t=3s 时质点的加速度和加速度和所受的力(2) 质点的运动方程(3) 前2秒内,力对质点所作的功。
★7、有一个水平的弹簧振子,振幅A=2.0×10-2米,周期为0.5秒,当t=0时,(1)物体经过x=1.0×10-2米处,且向负方向运动,(2)物体过x=-1.0×10-2米处,且向正方向运动。
请分别用旋转矢量图来表示它们各自运动的初相位,同时分别写出以上两种运动情况下的振动表达式;振动速度表达式;振动加速度表达式。
★8、如果所示,以P点在平衡位置向正方向运动作计时零点,已知圆频率为ω,振幅A,简谐波以速度u向x轴的正方向传播,试求:(1)P点振动方程。
(2)波动方程。
大学物理实验模拟试题九(附含答案)一、填空题,每空1分,共20分1. 在测量中,绝对误差△´N 等于_____________减去_____________。
2. 多次测量的物理量的总不确定度由其_____________不确定度与_____________不确定度的方和根构成。
3. 作图连线时,一般应连接为直线或曲线,通过每个测量数据点。
而校正图线应该连接为线,要通过每个测量数据点。
5. 迈克尔逊干涉仪单方向旋转刻度轮进行测量是为了消除_____________差;在实验中观测到的同心圆干涉条纹是 _____________干涉条纹。
7. 牛顿环和劈尖干涉实验的干涉条纹均是_____________干涉条纹。
8. 在分光计的实验中采用法来消除偏心差。
1.测量值、真值(真值、测量值)2.A 类(统计)、B 类(非统计)3.平滑、不一定、直线、一定5.空程、等倾(非定域)7.等厚8.双游标记数法二.选择题 每空2分,共20分1. 下列测量结果正确的表达式是____________A .L=23.68+0.009mB .I=4.09+0.10mAC .T=12.56+0.01sD .Y=(1.67+0.5)×1011P a2.某长度测量值为5.189mm ,则所用仪器可能是____________A.毫米尺B.50分度卡尺C.20分度卡尺D.千分尺4.下列长度读数中,螺旋测微计(千分尺)所测的得测量值是_____________A .2.3296mB .2.3296mmC .2.329mmD .2.329cm5.共振法测超声波实验中,相邻极大值之差是_____________A. 一个波长B .两个波长C .二分之一波长D .四分之一波长8.用分度值为0.02mm 的游标卡尺测长度,正确的数据记录为_____________ A.67.20mm B .5.67mmC .45.748mmD .36.9mmC .D C C .A三、计算题 20分1.根据公式HD M 24πρ=测量铜圆柱体的密度。
2m3.0x 10s n?/5550xl0^9m【例题】火车驶过车站时,站台边上观察者测得火车鸣笛声的频率由 变为1000 Hz ,已知空气中声速为330米/秒,求火车的速度。
u V R uv = u — Vs u — Vs【例题】在地球大气层外测得太阳辐射谱,它的极值波长为 490 nm ,设太阳为 黑体,求太阳表面温度 T 。
由维恩位移公式,得【例题】■试计算能通过光电效应从金属钾中打出电子所需的光子最小能量及其 相应的最小频率(阈值频率)和最大波长。
已知金属钾的逸出功为 2.25电子伏 特,he = 1240 nm eV 。
解:—mv 2^hv — W 一— W ——h^— — W9 mtniTiihe 1240/7w - eV2.25eV550 nm1200 Hz 观察者静止V R =O , 当火车迎面而来时,互相靠近,v s 取正 U — : 1200 u —V s当火车掠过观察者而去时,互相远离,V s取负2u +V sV1u vs >1200 330 V s V 2u - V s1000 330-v sVs ,0 m s2.897 10 3490 1095.9 103【例题】:试计算能通过光电效应从金属钾中打出 0.25电子伏特的电子,必须使 用多少波长的电磁波辐射?he _1240??m -eV1口,+附=°-25少 + 2.25 羽 2=496 nm2.5eP【例题】巳知紫光的波长入=400 nm,其光子的能量、动量各为多少?h 6,63x10 34 入“ p 二——二 =L66xlO 21N -s A 400x10^ pc] h v—mv 22血 6.63x10 -x3xl084阴X1O5400x10 9斫竺=1240呦"“四 A400呦【例题】求能量 E = 1.0 keV 光子的波长入与频率vleK = 1.6xlO _19J【例题】 已知氢原子两个能级为-13.58eV 和-3.4eV ,氢原子从基态受激吸收到高能级,所吸收光子的波长应该是多少(组合常数: he = 1240 nm • eV )玻尔公式 h 」E 2- E ih e— E 2- Ei九he1240nm eV扎 =____________________ =_______________________________________________________________E 2-巳 3.4eV (13.58eV) 1240nm eV 一 小110nm(3.4 13.58)eV【例题】■试计算下列各粒子的德布罗意波长:1)能量为150eV 的自由电子;2)能量为0.2eV 的自由中子;3)能量为0.5eV 质量为 2.5 克的质点(mec2= 511keV, hc = 1240nm • ev )JS _xlofix=兀锻 x JI®17 7/?/x£ _ 3xlldD 8 v -必船滅II ⑪昨=1 ②t x jl®_s ,m = )L34»^E = h^1/Mimmie¥z 1240 nm eV 、21( ) -----------------------------------0.01nm 2 511000eV-1.5 103eV【例题】设子弹的质量为0.01 kg,枪口的直径为0.5 cm ,试求子弹射出枪口时的 横向速度的不确定量?hep ■ 2m e E k2m e e 2E k1240 nm eVhe2,2gE k 「,2 m n e 2 E k 一、2 511000eV 150eV二 0.10 nm1240 nm eV 2 939.57 106eV 0.2eV二 0.064 nm3)能量为0.5eV 质量为2.5克质点的德布罗意波长;h 「2mEk= _______ 6.626 江 10‘J s、、2 2.5 10‘kg 0.5 1.6 10'19J二 3.31 10^3m【例题】.在电子显微镜中假定电子的波长是 0.01nm (比可见光小4个量级, 比原子尺度小一个量级),求相应的电子动能是多少电子伏特。
绪论部分一、选择题1、依据获得测量结果方法的不同,测量可分两大类,即()A:多次测量和单次测量B:等精度测量和不等精度测量C:直接测量和间接测量D:以上三种分类都正确2、以下哪个不属于物理实验()A:利用卷尺测量物体的长度B:利用弹簧秤称小铁块的重量C:伽里略的斜塔实验D:爱因斯坦发现光的粒子性3、对一物理量进行等精度多次测量()A:误差的平方和为最小B:测量值(或误差)一定遵从正态分布C:测量值(或误差)一定遵从均匀分布D:其算术平均值是误差为零的值4、对一物理量进行多次等精度测量,其目的是()A:消除系统误差B:消除随机误差C:减小系统误差D:减小随机误差5、以下说法正确的是()A:多次测量可以减小随机误差B:多次测量可以消除随机误差C:多次测量可以减小系统误差D:多次测量可以消除系统误差6、对一物理量进行等精度多次测量,其算术平均值是()A:真值B:最接近真值的值C:误差最大的值D:误差为零的值7、测量结果的标准表达式为X=X±U,其含义为()A:被测量必定等于(x-U)或(x+U)B:被测量可能等于(x-U)或(x+U)C:被测量必定在(x-U)和(x+U)之间D:被测量以一定概率落在(x-U)或(x+U)之间8、下列测量结果中,准确度最高的是()A :1L =102.3±0.2 ㎝B :2L =103.52±0.05㎝C :3L =1.246±0.005㎝D :4L =0.0056±0.0002㎝9、对某测量对象进行多次测量,测量结果为)(x u x x c ±=,其中)()()(22x u x u x u B A c += , ()(x u A 、)(x u B 分别为其A 类不确定度、B 类不确定度。
问被测量的真值落在)](),([x u x x u x c c +-范围内概率为 ( )A .68.3%B .95%C .57.7%D .100%10、对某测量对象进行单次测量,测量结果为)(x u x x c ±=,其中)()(x u x u B c ==3A,)(x u B 为其B 类不确定度。
一、填空题(20分,每题2分)1.依照测量方法的不同,可将测量分为和两大类。
2.误差产生的原因很多,按照误差产生的原因和不同性质,可将误差分为疏失误差、和。
3.测量中的视差多属误差;天平不等臂产生的误差属于误差。
4.已知某地重力加速度值为9.794m/s2,甲、乙、丙三人测量的结果依次分别为:9.790±0.024m/s2、9.811±0.004m/s2、9.795±0.006m/s2,其中精密度最高的是,准确度最高的是。
5.累加放大测量方法用来测量物理量,使用该方法的目的是减小仪器造成的误差从而减小不确定度。
若仪器的极限误差为0.4,要求测量的不确定度小于0.04,则累加倍数N>。
6.示波器的示波管主要由、和荧光屏组成。
7.已知y=2X1-3X2+5X3,直接测量量X1,X2,X3的不确定度分别为ΔX1、ΔX2、ΔX3,则间接测量量的不确定度Δy= 。
8.用光杠杆测定钢材杨氏弹性模量,若光杠杆常数(反射镜两足尖垂直距离)d=7.00cm,标尺至平面镜面水平距离D=105.0㎝,求此时光杠杆的放大倍数K= 。
9、对于0.5级的电压表,使用量程为3V,若用它单次测量某一电压U,测量值为2.763V,则测量结果应表示为U= ,相对不确定度为B= 。
10、滑线变阻器的两种用法是接成线路或线路。
二、判断题(“对”在题号前()中打√,“错”打×)(10分)()1、误差是指测量值与真值之差,即误差=测量值-真值,如此定义的误差反映的是测量值偏离真值的大小和方向,既有大小又有正负符号。
()2、残差(偏差)是指测量值与其算术平均值之差,它与误差定义一样。
()3、精密度是指重复测量所得结果相互接近程度,反映的是随机误差大小的程度。
()4、测量不确定度是评价测量质量的一个重要指标,是指测量误差可能出现的范围。
()5、在验证焦耳定律实验中,量热器中发生的过程是近似绝热过程。
()6、在落球法测量液体粘滞系数实验中,多个小钢球一起测质量,主要目的是减小随机误差。
大学物理实验模拟试题二及答案一、填空题(总分50分,每空1分)1. 测量四要素是 , , , 。
2. 绝对误差为 。
修正值为 。
3.误差按来源分类可分为 , , , 。
4. 在计算标准偏差时,S 表示 ,表示 。
5. 计算公式L=2лR ,其中R=0.02640m ,则式中R 为 位有效数字,2为位有效数字,л为 位有效数字。
6. 分光计由 , , , 组成。
7. 在牛顿环实验中应注意消除 误差。
8. 在杨氏模量实验中用 法消除系统误差。
9. 示波器的最基本组成部分是 , , , 。
10.电势差计的基本原理是 。
它的三个重要组成部分是 ,, 。
11.用一只准确度级别为1.0级,量程为30mA ,最小分度为1mA 的电流表测电流。
如果电表指针正好指在21mA 上,应读作mA 。
12.用米尺测量某一长度L=6.34cm ,若用螺旋测微计来测量,则有效数字应有 位。
13.使用逐差法的条件是:自变量是严格 变化的,对一次逐差必须是 关系。
14.天平砝码的准确性产生的误差为 误差,用 类不确定度来评定。
15.在分光计的实验中采用 法来消除偏心差。
16.作图连线时,一般应连接为 直线或曲线, 通过每个测量数据点。
而校正图线应该连接为 线, 要通过每个测量数据点。
17.偶然误差的分布具有三个性质,即 性, 性, 性。
18.对于不连续读数的仪器,如数字秒表、分光计等,就以 作为仪器误差。
19.在伏安法测非线性电阻的实验中,由于电流表内接或外接产生的误差为 误差。
20.在示波器的水平和垂直偏转板上分别加上两个正弦信号,当二电压信号的频率比为比时荧光屏上出现稳定 的图形,称为 图形。
21.作薄透镜焦距测量的实验中,首先要进行 调节,这是因为薄透镜成像公式在的条件下才能成立。
二、选择题(总分20分,每题2分)1. 下列测量结果正确的表达式是:A .L=23.68+0.009mB .I=4.09+0.10mAC .T=12.56+0.01sD .Y=(1.67+0.5)×1011P a2.在牛顿环实验中,我们看到的干涉条纹是由哪两条光线产生的?3.在电势差计的实验中,校正工作电流时平衡指示仪的指针始终偏向一边,可能的原因是:A.没开工作电源 B.接标准电源的导线不通C.平衡指示仪的导线极性接反 D.工作电源电压偏高或偏低4.在示波器实验中,时间轴X轴上加的信号为A.正弦波 B.方波 C.三角波 D.锯齿波5.下列不确定度的传递公式中,正确的是:--NSA.B.C. (a 为常数)D.6.用分度值为0.02mm 的游标卡尺测长度,正确的数据记录为:A.67.88mm B .5.67mmC .45.748mmD .36.9mm7.用示波器观察波形,如果看到了波形,但不稳定,为使其稳定,可调节:A."扫描频率"调节 B."扫描频率"与"聚焦"配合调节C."触发电平"调节 D."扫描频率"与"触发电平"配合调节8.下列正确的说法是A.多次测量可以减小偶然误差 B.多次测量可以消除系统误差C.多次测量可以减小系统误差 D.多次测量可以消除偶然误差9.在牛顿环实验中,下列哪种措施可以减下误差?A.将半径的测量变成直径的测量 B.用单色性好的光源C.用逐差法处理数据 D.测量时保持显微镜的测距手轮单向移动E.以上全部10.在静电场模拟实验中,若画出的等势线不对称,可能的原因是:A.电压表的分流作用 B.电极与导电基质接触不良或不均匀C.导电基质不均匀 D.以上全部三、计算题(总分30分,每题10分)1.用复摆公式,通过测量周期T来测量摆长L。
“大学物理实验”习题绪 论一、将下列各式的运算结果改写成正确形式:1、34.740 + 10.28 - 1.0036 = 44.0164m2、(4.241 ± 0.003) + (8.11 ± 0.01) + (0.047 ± 0.001) = 12.398 ± 0.014m3、12.34 + 1.234 + 0.01234 = 13.5863kg4、12.34 ⨯ 0.234 =0.m5、0.1234 ÷ 0.0234 = 5.2735m6、123 ⨯ 456 = 56088m 2二、一圆柱体,高h = (10.00 ± 0.01) ⨯ 10-2m ,直径d = (5.00 ± 0.01) ⨯ 10-2m ,求体积及其不确定度。
三、写出下列仪器单次测量的误差:1、最小刻度为1mm 的米尺;2、最小刻度为2︒C 的温度计;3、最小刻度为0.02g 的天平;4、精度为0.05mm 的卡尺;5、1.0级,量程为150mA 的电流表;6、2.5级,量程为7.5V 的电压表;7、0.1级,使用阻值500Ω 的电阻箱。
四、用米尺测量物体长度,得到以下数据:L 1 = 1.45 ⨯ 10-2 m , L 2 = 1.43 ⨯ 10-2 m , L 3 = 1.46 ⨯ 10-2 m , L 4 = 1.44 ⨯ 10-2 m , L 5 = 1.45 ⨯ 10-2 m ,L 6 = 1.44 ⨯ 10-2 m , L 7 = 1.46 ⨯ 10-2 m , L 8 = 1.44 ⨯ 10-2 m , L 9 = 1.45 ⨯ 10-2 m , L 10 = 1.47 ⨯ 10-2 m用不确定度表示测量结果。
五、用公式021R R R R x =计算待测电阻R x ,测得R 1 = (100.0 ± 0.1 ) Ω,R 2 = (200.0 ± 0.2) Ω,R 0 = (185.0 ± 0.2) Ω,求R x 及其不确定度。
大学物理实验计算题 -CAL-FENGHAI-(2020YEAR-YICAI)_JINGBIAN1.用50分度游标卡尺测量铜环的内径K=6次,测量数据如下,d i =(19.98),(19.96),(19.98),(20.00),(19.94),(19.96),单位毫米,计算测量结果,并用不确定度表示测量结果。
()%2.097.19/03.003.097.1903.002.002.002.0102.0197.1922261==±==+===⨯===--==∑=E mm d mmU U U mmU mmn tU mmn ddmmd B A d B d A ii d σσ解:2.用流体静力称衡法测固体密度的公式为:ρ=[m/(m-m1)] ρ0,若测得m=(29.05±0.09)g ,m 1=(19.07±0.03)g, ρ0=(0.9998±0.0002)g/cm 3,求:ρ±U ρ33132021212211222112020212122/02.091.2/91.2/02.0)())(())((cm g cm g m m m cm g U m m m U m m m U m m m U U U U p m m m m m m ±==⎥⎦⎤⎢⎣⎡-==-+--+--=⎪⎪⎭⎫⎝⎛∂∂+⎪⎪⎭⎫⎝⎛∂∂+⎪⎪⎭⎫ ⎝⎛∂∂=ρρρρρρρρρ解:3.用有效数字运算规则计算下列各式:⑴.1.02000.10.5000.400.2⨯+⨯+⨯⑵.201080.63-⨯ ⑶.()00.2989.52.2480.2⨯-解:(1)601.02000.10.5000.400.2=⨯+⨯+⨯(2)331078.6201080.6⨯=-⨯ (3)()9.600.2989.52.2480.2=⨯-4.(1)=-+12.93.20475.8 (2)=⨯-⨯23102.41025.5 (3)=⨯+30.26.4)2.1036.9((4)=⨯200.10π解:(1)6.1912.93.20475.8=-+ (2)3231083.4102.41025.5⨯=⨯-⨯ (3)3930.26.4)2.1036.9(=⨯+(4) 2.31400.102=⨯π 5.(1)=-+753.951.236457.68(2)=⨯⨯0.30000.200.40360.9(3)=⨯200.6041π(4)=-⨯--⨯)140.31400.23()0.10831103()450.945.18(00.80解(1)21.295753.951.236457.68=-+(2)24.60.30000.200.40360.9=⨯⨯(3)282700.60412=⨯π(4)8.1)140.31400.23()0.10831103()450.945.18(00.80=-⨯--⨯6.(1)=+⨯-+⨯0.11000.10)00.7700.78()412.46.5(0.100(2)=-+137.032.5347.72 (3)=÷⨯2005.3793.8 (4)=⨯-⨯12107.1107.8解:(1)3101.10.11000.10)00.7700.78()412.46.5(0.100⨯=+⨯-+⨯(2)53.77137.032.5347.72=-+ (3) 15.02005.3793.8=÷⨯ (4) 212105.8107.1107.8⨯=⨯-⨯ 7.(1)=+÷3.5109.76(2)=-22200.3)00.400.5((3)=⨯-989.5)2.2480.2((4)=⨯-⨯+⨯1.02000.10.50000.400.2 解:(1)0.133.5109.76=+÷(2)0.100.3)00.400.5(222=-(3)14989.5)2.2480.2(=⨯-(4)561.02000.10.50000.400.2=⨯-⨯+⨯ 8.(1)=-⨯201080.63 (2)=-+28.520234.7 (3)=-++01.0701.2347.172 (4)=÷⨯100.2231.5解:(1)331078.6201080.6⨯=-⨯ (2)2228.520234.7=-+(3)24401.0701.2347.172=-++ (4)0.1100.2231.5=÷⨯ 9.(1)=⨯-⨯33109.0109.7 (2)]20[3.22079.6是常数=+÷(3)=÷⨯519.623.328 (4)=⨯-⨯1007.42.17.503 解:(1)333100.7109.0109.7⨯=⨯-⨯ (2)]20[6.23.22079.6是常数=+÷(3)14519.623.328=÷⨯(4)2103.11007.42.17.503⨯=⨯-⨯10.(1))10(104.237为常数=(2)=+-3.7046.2785.32(3)=÷⨯1005.232.50 (4)=÷+⨯23.172.41.174.38解:(1))10(74.23104.237为常数=(2)6.1003.7046.2785.32=+- (3)3.11005.232.50=÷⨯ (4)4723.172.41.174.38=÷+⨯11.(1))50(5047.832为常数=(2)=-+24.53121146.28 (3)=÷⨯53076.14 (4)=⨯+÷405.10.326.16解:(1))50(649.165047.832为常数=(2)9624.53121146.28=-+ (3)10953076.14⨯=÷⨯ (4)65405.10.326.16=⨯+÷12.用逐差法计算杨氏模量中,每增1Kg 砝码时钢丝伸长的平均值解:cmn cmn n n cmn n n cm n n n cm n n n 989.04*492.396.396.399.392.396.396.399.3484373262151=+++=∆=-=∆=-=∆=-=∆=-=∆13.用逐差法计算加1Kg 砝码时钢丝伸长的平均量。
cmn cm n n n cm n n n cm n n n cm n n n 429.04*4 3.703.783.783.81 3.7078.33.7881.3484373262151=+++=∆=-=∆=-=∆=-=∆=-=∆解:14.按下表用逐差法求每加减1Kg 砝码时的标尺读数N 的变化(要求写计算N 的过程)解cmn cm n n n cm n n n cm n n n 991.03*3 2.952.973.0095.22.9700.3363252141=++=∆=-=∆=-=∆=-=∆15.用逐差法计算下列数据L 的平均值解:cmn cm L L l cm L L L cm L L L cm L L L 83119.04*4 3.15653.29453.34503.5030 3.15652945.33.34505030.3484373262151=+++=∆=-=∆=-=∆=-=∆=-=∆16.用逐差法计算扬氏模量实验中1Kg 砝码的标尺平均伸长量N 。
解:cmn cm n n n cm n n n cm n n n 316.03*3 2.892.722.9289.22.922.72363252141=++=∆=-=∆=-=∆=-=∆17.用逐差法计算扬氏模量实验中1Kg 砝码的标尺平均伸长量N 。
解:cmn cm n n n cm n n n cm n n n 967.03*3 2.932.972.8093.22.9780.2363252141=++=∆=-=∆=-=∆=-=∆18.一个长方形的面积S=ab 。
其中长a=6.00±0.04cm ,宽3.00±0.02cm ,求: S=S 平均±U S ,Es()1%Es 2cm .00.18S 2cm.0U )a (U b U 0cm .18b a S 222b 22a2S 2=±==+===解:▲19.一个圆柱体体积V=πd 2L/4。
其中直径d=d 平均±U d ,高L=L 平均±U L ,求V 及V 的相对不确定度。
()VU U dUdL Ld V Ld/Ev )4(2U 4V 22222S 2=+==πππ解:20.测量圆的直径6次,单位为mm ,2.321,2.324,2.326,2.328,2.325,2.322,计算直径和面积的不确定度和相对不确定度。
(B 类不确定度0.004mm )%5.002.024.402.02242.44%2.0003.0324.2005.0003.016)(324.222222261=±======±==+==--===∑=s d s d B A d i iA A E mm S mm U d U mm d S E mm d mmU U U mmd dU mmd ππσ解:21. 已知:钢丝直径d=d 平均±U d ,求:钢丝截面S 的不确定度Usds U dU d S 242ππ==解: 22.用电子毫秒计测量时间,共10次,结果是0.135,0.136,0.138,0.133,0.130,0.129,0.133,0.132,0.134,0.129(单位:秒),要求给出t=t ±U t 及E t 。
(只要求A 类不确定度计算)%2003.0133.0003.0110)(133.01=±==--==∑=t ni it E s t s t tU st 解:23.在实验中测量长度6次,分别为2.32,2.34,2.36,2.33,2.35,2.34(单位:厘米)求不确定度和相对不确定度。
(B 类不确定度不要求计算)%4.001.034.201.016)(34.21=±==--==∑=t ni il E s l cm l lU cml 解:24.单摆测重力加速度实验中,求g 的结果,已知:L=81.67±0.01cm ,T=1.813 ±0.002s2222222232222/2980/2)4(8/5.9804s cm g s cm U T U T L U s cm TL g L T g ±==+⎪⎪⎭⎫ ⎝⎛-===πππ解: 25.已知T=2.000±0.002秒,L=1.000±0.001米,用单摆测重力加速度g=4π2L/T 2,试求出g ±Ug2222222232222/02.087.9/02.0)4(8/870.94s m g sm U T U T L U s m TL g L T g ±==+⎪⎪⎭⎫ ⎝⎛-===πππ解:26.对某一物理量A 经过五次测量,记录下下表,试计算A 及不确定度,并写出测量结果表达式。