数字通信原理第四次阶段作业
- 格式:doc
- 大小:43.00 KB
- 文档页数:3
数字通信原理试卷一一、填空题(每题3分)1、通信的目的是_______ 或________ 信息。
2、通信方式有两种基本形式,即________通信和_______ 通信。
3、数字通信在____________和____________上均是离散的。
4、某一数字信号的符号传输速率为1200波特(Bd),若采用四进制传输,则信息传输速率为___________。
5、设信道的带宽B=1024Hz,可传输2048 bit/s的比特率,其传输效率η=_________。
6、模拟信号经抽样、量化所得到的数字序列称为________信号,直接传输这种信号称为___________。
7、目前最常用的多路复用方法为________复用和_______复用。
8、由于噪声的干扰可能使帧同步码出现误码,我们将这种情况称为_____________。
9、一般PCM(脉冲编码调制)的帧周期为__________。
10、PCM30/32制式中一复帧包含有_____帧,而每一帧又包含有_____个路时隙,每一路时隙包含有______个位时隙。
一、1、交换、传递;2、基带传输、频带传输;3、幅度、时间;4、2400b/s5、2b/s/hz;6、数字、基带;7、频分、时分;8、假失步;9、125 us10、16 32 8二、选择题(每题2分)二、1、a ;2、b ;3、c ;模拟信号的特点为:(a) 幅度为连续(b) 时间域上全有值(c) 幅度连续,时间间断(d) 幅度离散1、数字基带信号为:(a) 基础信号(b)完成了模数变换后的信号(c) 频带搬以后的信号(d)仅为和值的信号2、量化即(a) 对样值进行定量(b) 在时间域上进行离散化(c) 将信号样值幅度变换为有限个离散值(d)将样值幅度分层为无限个值三、判断题(每题1分)1、非均匀量化的特点是:信号幅度小时,量化间隔也小。
()2、通过数字话音插空技术可得到2.5倍的插空增益。
数字通信原理习题答案数字通信原理习题答案数字通信原理是现代通信领域中的重要基础课程,它涵盖了数字信号的传输、调制解调、编码解码、差错控制等内容。
通过学习数字通信原理,我们可以深入了解数字通信系统的工作原理,为实际通信系统的设计和优化提供理论支持。
在学习过程中,习题是巩固知识和检验理解的重要手段。
下面将针对一些常见的数字通信原理习题进行解答。
1. 什么是抽样定理?为什么在数字通信系统中需要遵守抽样定理?抽样定理,也称为奈奎斯特定理,是数字通信中的重要基础概念。
它指出,如果一个连续时间的信号的带宽有限,那么为了完全恢复该信号,采样频率必须大于信号带宽的两倍。
在数字通信系统中,遵守抽样定理是非常重要的。
如果采样频率低于信号带宽的两倍,会发生混叠现象,即高频信号的部分能量会出现在低频信号的频谱中,导致信息的失真和丢失。
因此,为了保证信号的准确传输和恢复,数字通信系统必须遵守抽样定理。
2. 什么是调制解调?常见的调制方式有哪些?调制解调是数字通信系统中的重要环节,它用于将数字信号转换为模拟信号进行传输,并在接收端将模拟信号重新转换为数字信号。
常见的调制方式有:- 幅移键控(ASK):通过改变载波的幅度来表示数字信号的方式。
- 频移键控(FSK):通过改变载波的频率来表示数字信号的方式。
- 相移键控(PSK):通过改变载波的相位来表示数字信号的方式。
- 正交幅度调制(QAM):同时改变载波的幅度和相位来表示数字信号的方式。
3. 什么是码元和比特?它们之间有什么关系?码元是数字通信中的基本单位,它表示数字信号中的一个离散状态。
比特是信息理论中的基本单位,表示二进制数字0或1。
码元和比特之间的关系是:每个码元可以表示多个比特。
具体来说,如果有M 个不同的码元,每个码元可以表示log2(M)个比特。
例如,如果有4个不同的码元,每个码元可以表示2个比特。
4. 什么是差错控制?常见的差错控制技术有哪些?差错控制是数字通信中的重要内容,它用于检测和纠正在信号传输过程中产生的错误。
、判断题(共5道小题,共50.0分)1. CMI 码无检测误码能力A.正确 B. 错误 知识点:平时作业4学生答案:[B ;] 标准答案:B ; 得分:[10] 试题分值:10.0提示:CMI 码的最大连“ 0”个数为3个A.正确 B. 错误 知识点:平时作业4 学生答案:【A ;] 标准答案: A ; 得分:[10] 试题分值: 10.0提示:4.5. CMI 码无误码增殖A.正确 B. 错误知识点:平时作业4学生答案:[A ;] 标准答案: A ; 得分:[10] 试题分值: 10.0提示:6.7.频带传输的信道是带通型信道。
A. 正确B. 错误知识点:平时作业4学生答案:[A ;] 标准答案:A ;2.3.8.9. RZ 码便于定时时钟提取,所以作为基带传输码型。
A. 正确B. 错误 知识点:平时作业4学生答案:[B ;] 标准答案:B ; 得分:[10] 试题分值:10.0提示:10.、单项选择题(共 5道小题,共50.0 分)1.(错误)可用于数字信号基带传输的信道为A. 电缆信道B. 光缆信道C. 卫星信道D. 微波信道知识点:平时作业4学生答案 :[B ;]标准答案:A ; 得分:[0]试题分值:10.0 提示:2. (错误)误码增殖产生的原因是得分:提示: [10] 试题分值:10.0A. 噪声积累B. 码型反变换C. 码间干扰3. (错误)光纤数字传输系统属于A. 频带传输B. 基带传输C. 数字数据传输D. 频带传输E. 基带传输F. 数字数据传输G. 无线传输知识平时作业4点:学生答案:[B;] 标准答案:A;得分:[0] 试题分值:10.0 提示:4. 属于频带传输系统的有A. ADPCM 系统B. 数字微波传输系统C. 数字卫星传输系统D. 数字微波传输系统和数字卫星传输系统5.5. 不利于定时钟提取的基带传输的码型是7.When you are old and grey and full of sleep, And no ddi ng by the fire, take dow n this book,And slowly read, and dream of the soft lookYour eyes had once, and of their shadows deep;How many loved your mome nts of glad grace,And loved your beauty with love false or true,But one man loved the pilgrim soul in you,And loved the sorrows of your cha nging face;And bending dow n beside the glow ing bars,Murmur, a little sadly, how love fledAnd paced upon the mountains overheadAnd hid his face amid a crowd of stars.The furthest dista nee in the worldIs not betwee n life and deathBut whe n I sta nd in front of youYet you don't know thatI love you.The furthest dista nee in the worldIs not whe n I sta nd in front of youYet you can't see my loveBut whe n un doubtedly knowing the love from both Yet cannot be together.The furthest dista nee in the worldIs not being apart while being in loveBut whe n I pla inly cannot resist the year ningYet prete nding you have n ever bee n in my heart. The furthest dista nee in the worldIs not struggli ng aga inst the tidesBut using on e's in differe nt heartTo dig an un crossable riverFor the one who loves you.倚窗远眺,目光目光尽处必有一座山,那影影绰绰的黛绿色的影,是春天的颜色。
《数字通信原理》2021年春季期末考试复习题一、复习题的相关说明1、《数字通信原理》课程的考核方式闭卷2、成绩评定总评成绩=40%阶段作业成绩(网上)+60%期末考试成绩3、复习题的答案说明复习题的答案已附在本资料的后面。
二、考试重点(占期末考试成绩60%)提示:期末考试试题及选项顺序会随机。
考试试卷为随机抽取,下面会提供两套60分复习题,考试会从中抽取一套60分的题目。
第一套第一部分客观题一、单项选择题(每题4分,共20分)1. 前方保护的前提状态(即前方保护之前系统所处状态)是:【A】同步状态【B】捕捉状态【C】失步状态【D】后方保护2. PCM30/32路系统帧同步码的码型为:【A】0011011 【B】0110110【C】0000 【D】11011103. PDH采用的数字复接的实现方法一般为:【A】按位复接【B】按字复接【C】按帧复接【D】以上都不是4. 异步复接二次群一帧中的码速调整用的插入码有:【A】4bit 【B】12bit【C】0~4bit 【D】28bit5.具有检测误码能力的基带传输的码型是:【A】AMI码【B】CMI码【C】HDB3码【D】以上都可以二、判断题(每题3分,共30分)ITT的G.732建议规定后方保护计数n=2。
【A】正确【B】错误7.收端定时系统产生位脉冲、路脉冲等的方法与发端一样。
【A】正确【B】错误8.PCM30/32路系统信令码的编码没有任何限制。
【A】正确【B】错误9. 帧同步码位选得越长越好。
【A】正确【B】错误10. 异步复接二次群的帧周期为2×125μs。
【A】正确【B】错误11.信息净负荷的第一个字节在STM-N帧中的位置是不固定的。
【A】正确【B】错误12.基带传输的信道是带通型信道。
【A】正确【B】错误13.CMI码的最大连“0”个数为3个。
【A】正确【B】错误14.再生中继系统没有噪声的累积。
【A】正确【B】错误15.光纤数字传输系统属于频带传输。
R B1亍 100Bd10等概时的平均信息速率为R b(2)平均信息量为1H log 24 R B log 2 MR B log 2 4200 b s沁4討罟 誣詈1.977比特符号R , R B H 100 1.977197.7 b s习题1.4试冋上题中的码兀速率是多少?1 1解:R B3 200 BdT B 5*10 3习题1.5设一个信息源由64个不同的符号组成,其中16个符号的出现概率均 为1/32,其余48个符号出现的概率为1/96,若此信息源每秒发出1000个独立的符号, 试求该信息源的平均信息速率。
解:该信息源的熵为第一章习题习题1.1在英文字母中E 出现的概率最大,等于0.105,试求其信息量log 2 P E log 2 0.105 3.25 b习题1.3某信息源由A ,B ,C ,D 四个符号组成,这些符号分别用二进制码组 00, 01,10,11表示。
若每个二进制码元用宽度为 5ms 的脉冲传输,试分别求出在 下列条件下的平均信息速率。
(1)这四个符号等概率出现;(2)这四个符号出现概率如习题1.2所示。
解:(1)一个字母对应两个二进制脉冲,属于四进制符号,故一个字母的持续时 间为2>5mso 传送字母的符号速率为E 的信息量:I E 习题1.2某信息源由现的概率分别为1/4,1/4, 解:A ,B ,C ,D 四个符号组成,设每个符号独立出现,其出3/16, 5/16 试求该信息源中每个符号的信息量。
I AlOg 2-P(A) 3log 2 2.415b16lOg 2 P(A)log 21 2b35lOg21362.415bI Dlog21s1.678bM 6411H (X)P(X i )log 2 P(X i )Pg )log 2 P(X i )16* — log ? 32 48* — log 2 96i 1i 132 96=5.79比特/符号因此,该信息源的平均信息速率& mH 1000*5.795790 b/s 。
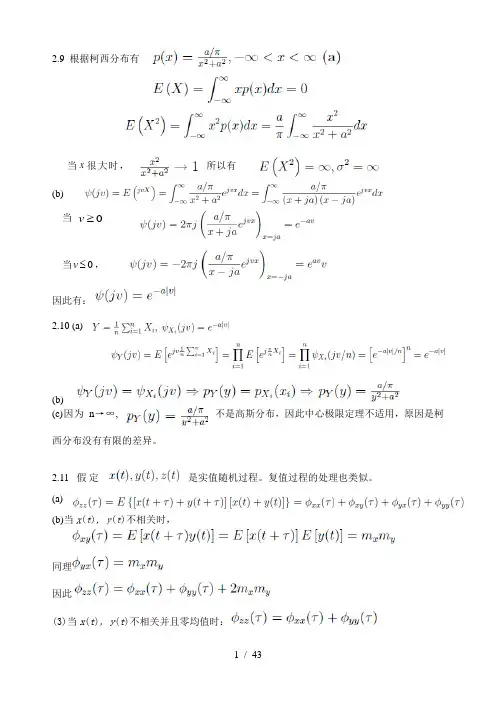
2.9 根据柯西分布有当x 很大时, 所以有 (b) 当当0v ≤, 因此有:2.10 (a)(b)(c)因为n →∞, 不是高斯分布,因此中心极限定理不适用,原因是柯西分布没有有限的差异。
2.11 假定 是实值随机过程。
复值过程的处理也类似。
(a)(b)当x (t ), y (t )不相关时, 同理因此(3)当x (t ), y (t )不相关并且零均值时:0v ≥2.12 随机过程x(t)的功率谱密度为:滤波器输出功率谱密度为:因此滤波器输出总功率为:2.14令因此2.16 滤波器的传递函数为:(a)(b)令a = RC, v =2πf. 那么2.19 因为输出序列的自相关:这里的最后等式来自于X(n)的自相关函数:因此离散时间系统的频率响应为:综上,系统输出的功率密度谱为:2.20 已知功率密度谱为:2.21 本题中引用下标d表示离散过程,下标a表示连续时间过程,同样,f表示模拟频率。
f d表示离散频率。
(a)因此取样信号的自相关函数等于X(t)的取样自相关函数。
(b)令fd = fT,则有:又因为离散时间的自相关函数是它的功率谱密度的反变换,于是有:比较(1),(2):得(c) 从(3)式可以得出:否则出现混叠。
2.22 (a)(b) 如果 那么:K=0其他因此序列X (n )是白噪声序列,T 的最小值可以从下图的取样过程的功率谱密度得到为了得到一个谱平坦序列,最大的抽样速率应满足:可由得到。
(c)因此2211sin w ()()()w πτφτφτπτ==,2.23 假设 那么:这里Y(f)是y (t )的傅里叶变换,因为:又有:当f=0时:2.24由于G=1,有对低通滤波器,可得到:将H(f)代入可得下式3.4 要证而利用不等式当且仅当可得因为3.6 通过定义,差熵为:对均匀分布随机变量(a) a=1,H(X)=0(b) a=4,H(X)=log4=2log2(c) a=1/4,H(X)=log 14=-2log23.7 (a)(b)每信源字符的平均二进制个数为:(c)信源熵为:通过比较,信源熵要少于每个码字的平均长度。
中南大学《数字通信原理》课程作业(在线作业)一及参考答案 (一)单选题一设一个数字系统传送8进制码元,传码率为1200b,则该系统传信率为()。
(a) 1200bit/s(b)4800bit/s(c)3600bit/s(d)9600bit/s参考答案:(c)2.给定二进制离散源(0,1),每个符号波形独立传输,因此传输一个二进制波形的信息量为()。
(a)1bit(b)1.5bit(c)2bit(d)3bit参考答案:(a)三计算机通信中的主要性能指标有传输速率和()。
1/25(a)码元速率(b)数据传输速度(c)差错率(d)信号强度参考答案:(c)4.给定二进制离散源(0,1),每个符号波形独立传输,因此传输一个二进制波形的信息量为()。
(a)1bit(b)1.5bit(c)2bit(d)3bit参考答案:(a)五a律13折线编码器要进行()。
(a) 7/9转型(b)7/10变换(c) 7/11转型(d)7/12变换2/25参考答案:(c)6.如果在已知的与传输无关的符号中符号“e”的出现概率为0.125,则符号“e”中包含的信息量为()。
(a)1bit(b)2bit(c)3bit(d)4bit参考答案:(c)七()是指消息中所包含的有意义的内容。
(a)信息(b)消息(c)信号参考答案:(a)3/25八在pcm系统中,抽样的主要功能是()。
(a)将时间上的连续信号转换为时间上的离散信号(b)把幅度上连续的信号变成幅度上离散的信号(c)将模拟信号转换为数字信号(d)把数字信号变成模拟信号参考答案:(a)九如果在已知发送独立的符号中,符号“a”出现的概率为0.25,则符号“a”所包含的信息量为()。
(a) 1位(b)2位(c)3位(d)4位参考答案:(b)10.13.折线压缩特性曲线第六段的斜率为()。
(a)0.5(b)一,4/25(c)四,(d)16参考答案:(b)十一某数字通信系统1秒传输1000000个码元,其中误l位码元,pe为()。
第一章习题习题1.1 在英文字母中E 出现的概率最大,等于0.105,试求其信息量。
解:E 的信息量:()()b 25.3105.0log E log E 1log 222E =-=-==P P I习题1.2 某信息源由A ,B ,C ,D 四个符号组成,设每个符号独立出现,其出现的概率分别为1/4,1/4,3/16,5/16。
试求该信息源中每个符号的信息量。
解:b A P A P I A 241log )(log )(1log 222=-=-==b I B 415.2163log 2=-= b I C 415.2163log 2=-= b I D 678.1165log 2=-=习题1.3 某信息源由A ,B ,C ,D 四个符号组成,这些符号分别用二进制码组00,01,10,11表示。
若每个二进制码元用宽度为5ms 的脉冲传输,试分别求出在下列条件下的平均信息速率。
(1) 这四个符号等概率出现; (2)这四个符号出现概率如习题1.2所示。
解:(1)一个字母对应两个二进制脉冲,属于四进制符号,故一个字母的持续时间为2×5ms 。
传送字母的符号速率为Bd 100105213B =⨯⨯=-R等概时的平均信息速率为s b 2004log log 2B 2B b ===R M R R(2)平均信息量为比特977.1516log 165316log 1634log 414log 412222=+++=H则平均信息速率为 s b 7.197977.1100B b =⨯==H R R习题1.4 试问上题中的码元速率是多少? 解:311200 Bd 5*10B B R T -===习题1.5 设一个信息源由64个不同的符号组成,其中16个符号的出现概率均为1/32,其余48个符号出现的概率为1/96,若此信息源每秒发出1000个独立的符号,试求该信息源的平均信息速率。
解:该信息源的熵为96log 961*4832log 321*16)(log )()(log )()(22264121+=-=-=∑∑==i i i i Mi i x P x P x P x P X H=5.79比特/符号因此,该信息源的平均信息速率 1000*5.795790 b/s b R mH === 。
数字通信作业(4psk,2PSK分析)有完整程序Digital Communication Project————2PSK and 4PSKRequirements:Please use Matlab programming to implement some digital baseband communication systems and plot the BER(bit error4PSK⽬录:Digital Communication Project (1)————2PSK and 4PSK (1)⼀、基本理论 (3)1.⼆进制移相键控(2PSK)的基本原理 (3)1.1 2PSK信号的产⽣ (3)1.2 2PSK的解调系统 (3)1.3 2PSK误码率分析 (4)2.四进制移相键控(4PSK)的基本原理 (4)2.1 4PSK信号的产⽣ (5)2.2 4PSK的解调系统 (6)2.3 4PSK误码率分析 (7)⼆、源程序及仿真分析 (7)1.2PSK源程序及仿真分析 (7)2.4PSK源程序及仿真分析 (9)3.2PSK和4PSK误码率分析 (10)⼀、基本理论1.⼆进制移相键控(2PSK)的基本原理2PSK信号的产⽣⽅法通常有两种:模拟调制法和键控法。
⼀般的模拟幅度调制的⽅法,⽤乘法器实现;数字键控法的开关电路受s(t)控制。
2PSK信号基本的解调⽅法是相⼲解调。
2PSK,⼆进制移相键控⽅式,是键控的载波相位按基带脉冲序列的规律⽽改变的⼀种数字调制⽅式。
就是根据数字基带信号的两个电平(或符号)使载波相位在两个不同的数值之间切换的⼀种相位调制⽅法。
两个载波相位通常相差180度,此时称为反向键控(PSK),也称为绝对相移⽅式。
1.1 2PSK信号的产⽣2PSK的产⽣:模拟法和数字键控法。
就模拟调制法⽽⾔,与产⽣2ASK信号的⽅法⽐较,只是对s(t)要求不同,因此2PSK信号可以看作是双极性基带信号作⽤下的DSB 调幅信号。
数字通信原理作业答案作业一一、填空题1、若二进制信号的码元速率为1200B ,则对应信息速率为1200bit/s ,若以相同的信息传输数率传输八进制信号,码元速率为400B 。
2、从信息传输角度来看,通信系统的最主要质量指标是有效性和可靠性。
3、八进制数字信号信息传输速率为600b/s ,其码元速率为200B ,若传送1小时后,接收到10个错误码元,其误码率为1.39*10-5。
二、简答计算1. 设某二进制数字基带信号的基本脉冲如图1所示。
图中为码元宽度,数字信息“1”和“0”分别用的有无表示,它们出现的概率分别为及():(1)求该数字信号的功率谱密度; (2)该序列是否存在离散分量?(3)该数字基带信号的带宽是多少? 解答: (1)(2)令 m=+1或-1带入上式,得存在离散分量f b(3)带宽 2.己知滤波器的具有如图2所示的特性(码元速率变化时特性不变),当采用以下码元速率时: (a )码元速率=500Baud (b )码元速率=1000Baud (c )码元速率=l500Baud (d )码元速率=2000Baud图1图2[][]s u v 22b 01b 0b 1b b m 22b 1b 0b 1b b m P ()P ()P ()f P(1P)G (f )G (f )f PG (mf )(1P)G (mf )(f mf )f P(1P)G (f )f PG (mf )(1P)G (mf )(f mf )∞=-∞∞=-∞ω=ω+ω=--++-δ-=-++-δ-∑∑b bb11b T fT T G (f )Sa()G (f )22π==π[]2v bb 1b b m 22b 0b 1b b 0b P ()f PG(mf )(1P)G (mf )(f mf )f PG (f )(1P)G (f )(f f )G (f )0∞=-∞ω=+-δ-=+-δ-=∑v b 1PP ()(f f )-ω=δ-πb f 2f =问:哪种码元速率不会产生码间串扰?答:理想低通,奈氏速率2000B ,a 、b 、d 不会产生码间串扰.3.设信号频率范围0~4kHz ,幅值在-4.096~+4.096伏间均匀分布。
《数字通信原理》第四次阶段作业
一、判断题(共5道小题,共50.0分)
1
CMI码无检测误码能力。
1正确
1错误
知识
点:
平时作业4
学生答案: [B;]
标准答
案:
B;
得分: [10] 试题分
值:
10.0
提示:
2
CMI码的最大连“0”个数为3个。
1正确
1错误
知识
点:
平时作业4
学生答案: [A;]
标准答
案:
A;
得分: [10] 试题分
值:
10.0
提示:
3
CMI码无误码增殖。
1正确
1错误知识
点:
平时作业4
学生答案: [A;]
标准答
案:
A;
得分: [10] 试题分
值:
10.0
提示:
4
频带传输的信道是带通型信道。
1正确
1错误
知识平时作业4
学生答案: [A;]
标准答
案:
A;
得分: [10] 试题分
值:
10.0
提示:
5
RZ码便于定时时钟提取,所以作为基带传输码型。
1正确
1错误
知识
点:
平时作业4
学生答案: [B;]
标准答
案:
B;
得分: [10] 试题分
值:
10.0
提示:
二、单项选择题(共5道小题,共50.0分)
6
可用于数字信号基带传输的信道为
1电缆信道
1光缆信道
1卫星信道
1微波信道
知识
点:
平时作业4
学生答案: [A;]
标准答
案:
A;
得分: [10] 试题分
值:
10.0
提示:
7
误码增殖产生的原因是
1噪声积累
1码型反变换
1码间干扰
1定时抖动知识
点:
平时作业4
学生答案: [B;]
标准答
案:
B;
得分: [10] 试题分
值:
10.0
提示:
光纤数字传输系统属于
1频带传输
1基带传输
1数字数据传输
1频带传输
1基带传输
1数字数据传输
1无线传输知识
点:
平时作业4
学生答案: [A;]
标准答
案:
A;
得分: [10] 试题分
值:
10.0
提示:
9
属于频带传输系统的有
1ADPCM系统
1数字微波传输系统
1数字卫星传输系统
1数字微波传输系统和数字卫星传输系统知识
点:
平时作业4
学生答案: [D;]
标准答
案:
D;
得分: [10] 试题分
值:
10.0
提示:
10
不利于定时钟提取的基带传输的码型是
1AMI码
1CMI码
1HDB3码
1AMI码和CMI码
知识
点:
平时作业4
学生答案: [A;]
标准答
案:
A;
得分: [10] 试题分
值:
10.0
提示:。