量子力学(周世勋)课后答案-第七章
- 格式:doc
- 大小:404.12 KB
- 文档页数:9
量子力学课后习题详细解答第一章 量子理论基础1.1 由黑体辐射公式导出维恩位移定律:能量密度极大值所对应的波长m λ与温度T 成反比,即m λ T=b (常量);并近似计算b 的数值,准确到二位有效数字。
解 根据普朗克的黑体辐射公式dv echv d kThv v v 11833-⋅=πρ, (1) 以及 c v =λ, (2)λρρd dv v v -=, (3)有,118)()(5-⋅=⋅=⎪⎭⎫ ⎝⎛-=-=kThc v v ehc cd c d d dvλλλπλλρλλλρλρρ这里的λρ的物理意义是黑体内波长介于λ与λ+d λ之间的辐射能量密度。
本题关注的是λ取何值时,λρ取得极大值,因此,就得要求λρ 对λ的一阶导数为零,由此可求得相应的λ的值,记作m λ。
但要注意的是,还需要验证λρ对λ的二阶导数在m λ处的取值是否小于零,如果小于零,那么前面求得的m λ就是要求的,具体如下:01151186'=⎪⎪⎪⎭⎫⎝⎛-⋅+--⋅=-kT hc kThc e kT hc ehcλλλλλπρ ⇒ 0115=-⋅+--kThc ekThcλλ⇒ kThcekThc λλ=--)1(5 如果令x=kThcλ ,则上述方程为 x e x =--)1(5这是一个超越方程。
首先,易知此方程有解:x=0,但经过验证,此解是平庸的;另外的一个解可以通过逐步近似法或者数值计算法获得:x=4.97,经过验证,此解正是所要求的,这样则有xkhc T m =λ把x 以及三个物理常量代入到上式便知K m T m ⋅⨯=-3109.2λ这便是维恩位移定律。
据此,我们知识物体温度升高的话,辐射的能量分布的峰值向较短波长方面移动,这样便会根据热物体(如遥远星体)的发光颜色来判定温度的高低。
1.2 在0K 附近,钠的价电子能量约为3eV ,求其德布罗意波长。
解 根据德布罗意波粒二象性的关系,可知E=hv ,λh P =如果所考虑的粒子是非相对论性的电子(2c E e μ<<动),那么ep E μ22= 如果我们考察的是相对性的光子,那么E=pc注意到本题所考虑的钠的价电子的动能仅为3eV ,远远小于电子的质量与光速平方的乘积,即eV 61051.0⨯,因此利用非相对论性的电子的能量——动量关系式,这样,便有ph=λnmm m E c hc E h e e 71.01071.031051.021024.1229662=⨯=⨯⨯⨯⨯===--μμ在这里,利用了m eV hc ⋅⨯=-61024.1以及eV c e 621051.0⨯=μ最后,对Ec hc e 22μλ=作一点讨论,从上式可以看出,当粒子的质量越大时,这个粒子的波长就越短,因而这个粒子的波动性较弱,而粒子性较强;同样的,当粒子的动能越大时,这个粒子的波长就越短,因而这个粒子的波动性较弱,而粒子性较强,由于宏观世界的物体质量普遍很大,因而波动性极弱,显现出来的都是粒子性,这种波粒二象性,从某种子意义来说,只有在微观世界才能显现。
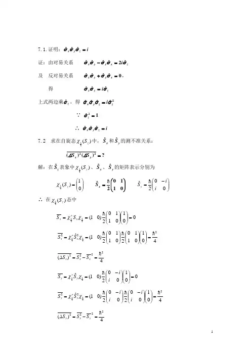
7.1.证明:i z y x =σσσˆˆˆ 证:由对易关系 z x y y x i σσσσσˆ2ˆˆˆˆ=- 及 反对易关系 0ˆˆˆˆ=+x y y x σσσσ, 得 z y x i σσσˆˆˆ= 上式两边乘z σˆ,得 2ˆˆˆˆz z y x i σσσσ= ∵ 1ˆ2=z σ∴ i z y x =σσσˆˆˆ 7.2 求在自旋态)(21z S χ中,xS ˆ和y S ˆ的测不准关系: ?)()(22=y x S S ∆∆解:在z S ˆ表象中)(21z S χ、xS ˆ、y S ˆ的矩阵表示分别为 ⎪⎪⎭⎫ ⎝⎛=01)(21z S χ ⎪⎪⎭⎫ ⎝⎛=01102ˆ x S ⎪⎪⎭⎫ ⎝⎛-=002ˆi i S y ∴ 在)(21z S χ态中00101102)0 1(2121=⎪⎪⎭⎫⎝⎛⎪⎪⎭⎫ ⎝⎛==+ χχx x S S 4010110201102)0 1(ˆ2222121 =⎪⎪⎭⎫ ⎝⎛⎪⎪⎭⎫ ⎝⎛⎪⎪⎭⎫ ⎝⎛==+χχxxS S 4)(2222=-=∆xxx S S S 001002)0 1(ˆ2121=⎪⎪⎭⎫ ⎝⎛⎪⎪⎭⎫ ⎝⎛-==+i i S S y y χχ 401002002)0 1(ˆ2222121 =⎪⎪⎭⎫ ⎝⎛⎪⎪⎭⎫ ⎝⎛-⎪⎪⎭⎫ ⎝⎛-==+i i i i S S y yχχ 4)(2222=-=∆yyy S S S16)()(422=∆∆y x S S ①讨论:由xS ˆ、y S ˆ的对易关系 [x S ˆ,y S ˆ]zS i ˆ = 要求 4)()(2222z y x S S S ≥∆∆在)(21z S χ态中,2=z S ∴ 16)()(422≥y x S S ∆∆可见①式符合上式的要求。
7.3.求⎪⎪⎭⎫ ⎝⎛--=⎪⎪⎭⎫ ⎝⎛=002ˆ01102ˆi i S S y x 及的本征值和所属的本征函数。
解:x S ˆ的本征方程为01102a a b b λ⎛⎫⎛⎫⎛⎫= ⎪⎪ ⎪⎝⎭⎝⎭⎝⎭移项得: 202a b λλ⎛⎫- ⎪⎛⎫=⎪ ⎪ ⎪⎝⎭- ⎪⎝⎭xS ˆ的久期方程为022=--λλ可得 20)2(22 ±=⇒=-λλ∴ xS ˆ的本征值为2±。
量子力学课后习题详解第一章 量子理论基础1.1 由黑体辐射公式导出维恩位移定律:能量密度极大值所对应的波长m λ与温度T 成反比,即m λ T=b (常量);并近似计算b 的数值,准确到二位有效数字。
解 根据普朗克的黑体辐射公式dv echv d kThv v v 11833-⋅=πρ, (1) 以及 c v =λ, (2)λρρd dv v v -=, (3)有,118)()(5-⋅=⋅=⎪⎭⎫ ⎝⎛-=-=kThc v v ehc cd c d d dv λλλπλλρλλλρλρρ这里的λρ的物理意义是黑体内波长介于λ与λ+d λ之间的辐射能量密度。
本题关注的是λ取何值时,λρ取得极大值,因此,就得要求λρ 对λ的一阶导数为零,由此可求得相应的λ的值,记作m λ。
但要注意的是,还需要验证λρ对λ的二阶导数在m λ处的取值是否小于零,如果小于零,那么前面求得的m λ就是要求的,具体如下:01151186'=⎪⎪⎪⎭⎫⎝⎛-⋅+--⋅=-kT hc kThce kT hc ehcλλλλλπρ⇒ 0115=-⋅+--kThc ekThcλλ⇒ kThcekThc λλ=--)1(5 如果令x=kThcλ ,则上述方程为 x e x =--)1(5这是一个超越方程。
首先,易知此方程有解:x=0,但经过验证,此解是平庸的;另外的一个解可以通过逐步近似法或者数值计算法获得:x=4.97,经过验证,此解正是所要求的,这样则有xkhc T m =λ把x 以及三个物理常量代入到上式便知K m T m ⋅⨯=-3109.2λ这便是维恩位移定律。
据此,我们知识物体温度升高的话,辐射的能量分布的峰值向较短波长方面移动,这样便会根据热物体(如遥远星体)的发光颜色来判定温度的高低。
1.2 在0K 附近,钠的价电子能量约为3eV ,求其德布罗意波长。
解 根据德布罗意波粒二象性的关系,可知E=hv ,λh P =如果所考虑的粒子是非相对论性的电子(2c E e μ<<动),那么ep E μ22= 如果我们考察的是相对性的光子,那么E=pc注意到本题所考虑的钠的价电子的动能仅为3eV ,远远小于电子的质量与光速平方的乘积,即eV 61051.0⨯,因此利用非相对论性的电子的能量——动量关系式,这样,便有ph=λnmm m E c hc E h e e 71.01071.031051.021024.1229662=⨯=⨯⨯⨯⨯===--μμ在这里,利用了m eV hc ⋅⨯=-61024.1以及eV c e 621051.0⨯=μ最后,对Ec hc e 22μλ=作一点讨论,从上式可以看出,当粒子的质量越大时,这个粒子的波长就越短,因而这个粒子的波动性较弱,而粒子性较强;同样的,当粒子的动能越大时,这个粒子的波长就越短,因而这个粒子的波动性较弱,而粒子性较强,由于宏观世界的物体质量普遍很大,因而波动性极弱,显现出来的都是粒子性,这种波粒二象性,从某种子意义来说,只有在微观世界才能显现。
量子力学课后习题详解 第一章 量子理论基础1.1 由黑体辐射公式导出维恩位移定律:能量密度极大值所对应的波长m λ与温度T 成反比,即m λ T=b (常量);并近似计算b 的数值,准确到二位有效数字。
解 根据普朗克的黑体辐射公式dv echv d kThv v v 11833-⋅=πρ, (1) 以及c v =λ, (2)λρρd dv v v -=, (3)有,118)()(5-⋅=⋅=⎪⎭⎫ ⎝⎛-=-=kThc v v ehc cd c d d dv λλλπλλρλλλρλρρ这里的λρ的物理意义是黑体内波长介于λ与λ+d λ之间的辐射能量密度。
本题关注的是λ取何值时,λρ取得极大值,因此,就得要求λρ 对λ的一阶导数为零,由此可求得相应的λ的值,记作m λ。
但要注意的是,还需要验证λρ对λ的二阶导数在m λ处的取值是否小于零,如果小于零,那么前面求得的m λ就是要求的,具体如下:01151186'=⎪⎪⎪⎭⎫⎝⎛-⋅+--⋅=-kT hc kThc e kT hc ehcλλλλλπρ ⇒ 0115=-⋅+--kThc ekThcλλ⇒ kThcekThcλλ=--)1(5 如果令x=kThcλ ,则上述方程为 x e x =--)1(5这是一个超越方程。
首先,易知此方程有解:x=0,但经过验证,此解是平庸的;另外的一个解可以通过逐步近似法或者数值计算法获得:x=4.97,经过验证,此解正是所要求的,这样则有xkhc T m =λ 把x 以及三个物理常量代入到上式便知K m T m ⋅⨯=-3109.2λ这便是维恩位移定律。
据此,我们知识物体温度升高的话,辐射的能量分布的峰值向较短波长方面移动,这样便会根据热物体(如遥远星体)的发光颜色来判定温度的高低。
1.2 在0K 附近,钠的价电子能量约为3eV ,求其德布罗意波长。
解 根据德布罗意波粒二象性的关系,可知E=hv ,λhP =如果所考虑的粒子是非相对论性的电子(2c E e μ<<动),那么ep E μ22= 如果我们考察的是相对性的光子,那么E=pc注意到本题所考虑的钠的价电子的动能仅为3eV ,远远小于电子的质量与光速平方的乘积,即eV 61051.0⨯,因此利用非相对论性的电子的能量——动量关系式,这样,便有ph =λ nmm m E c hc E h e e 71.01071.031051.021024.1229662=⨯=⨯⨯⨯⨯===--μμ在这里,利用了m eV hc ⋅⨯=-61024.1以及eV c e 621051.0⨯=μ最后,对Ec hc e 22μλ=作一点讨论,从上式可以看出,当粒子的质量越大时,这个粒子的波长就越短,因而这个粒子的波动性较弱,而粒子性较强;同样的,当粒子的动能越大时,这个粒子的波长就越短,因而这个粒子的波动性较弱,而粒子性较强,由于宏观世界的物体质量普遍很大,因而波动性极弱,显现出来的都是粒子性,这种波粒二象性,从某种子意义来说,只有在微观世界才能显现。
量子力学教程周世勋_课后答案(共88页)-本页仅作为预览文档封面,使用时请删除本页-量子力学课后习题详解 第一章 量子理论基础1.1 由黑体辐射公式导出维恩位移定律:能量密度极大值所对应的波长m λ与温度T 成反比,即m λ T=b (常量);并近似计算b 的数值,准确到二位有效数字。
解 根据普朗克的黑体辐射公式dv echv d kThv v v 11833-⋅=πρ, (1) 以及 c v =λ, (2)λρρd dv v v -=, (3)有,118)()(5-⋅=⋅=⎪⎭⎫ ⎝⎛-=-=kThc v v ehc cd c d d dv λλλπλλρλλλρλρρ这里的λρ的物理意义是黑体内波长介于λ与λ+d λ之间的辐射能量密度。
本题关注的是λ取何值时,λρ取得极大值,因此,就得要求λρ 对λ的一阶导数为零,由此可求得相应的λ的值,记作m λ。
但要注意的是,还需要验证λρ对λ的二阶导数在m λ处的取值是否小于零,如果小于零,那么前面求得的m λ就是要求的,具体如下:01151186'=⎪⎪⎪⎭⎫⎝⎛-⋅+--⋅=-kT hc kThce kT hc ehcλλλλλπρ⇒ 0115=-⋅+--kThc e kThcλλ⇒ kThcekThcλλ=--)1(5 如果令x=kThcλ ,则上述方程为 x e x =--)1(5这是一个超越方程。
首先,易知此方程有解:x=0,但经过验证,此解是平庸的;另外的一个解可以通过逐步近似法或者数值计算法获得:x=,经过验证,此解正是所要求的,这样则有xkhc T m =λ 把x 以及三个物理常量代入到上式便知K m T m ⋅⨯=-3109.2λ这便是维恩位移定律。
据此,我们知识物体温度升高的话,辐射的能量分布的峰值向较短波长方面移动,这样便会根据热物体(如遥远星体)的发光颜色来判定温度的高低。
1.2 在0K 附近,钠的价电子能量约为3eV ,求其德布罗意波长。
量子力学习题及解答第一章 量子理论基础1.1。
解 根据普朗克的黑体辐射公式dv echv d kThv v v 11833-⋅=πρ, 以及 c v =λ, (2)λρρd dv v v -=, (3)有,118)()(5-⋅=⋅=⎪⎭⎫ ⎝⎛-=-=kThc v v ehc cd c d d dv λλλπλλρλλλρλρρ这里的λρ的物理意义是黑体内波长介于λ与λ+d λ之间的辐射能量密度。
本题关注的是λ取何值时,λρ取得极大值,因此,就得要求λρ 对λ的一阶导数为零,由此可求得相应的λ的值,记作m λ。
但要注意的是,还需要验证λρ对λ的二阶导数在m λ处的取值是否小于零,如果小于零,那么前面求得的m λ就是要求的,具体如下:01151186'=⎪⎪⎪⎭⎫⎝⎛-⋅+--⋅=-kT hc kThc e kT hc ehcλλλλλπρ ⇒ 0115=-⋅+--kThc ekThcλλ⇒ kThcekThcλλ=--)1(5 如果令x=kThcλ ,则上述方程为 x e x =--)1(5这是一个超越方程。
首先,易知此方程有解:x=0,但经过验证,此解是平庸的;另外的一个解可以通过逐步近似法或者数值计算法获得:x=4.97,经过验证,此解正是所要求的,这样则有xkhc T m =λ 把x 以及三个物理常量代入到上式便知K m T m ⋅⨯=-3109.2λ这便是维恩位移定律。
据此,我们知识物体温度升高的话,辐射的能量分布的峰值向较短波长方面移动,这样便会根据热物体(如遥远星体)的发光颜色来判定温度的高低。
1.2 解 根据德布罗意波粒二象性的关系,可知E=hv ,λhP =如果所考虑的粒子是非相对论性的电子(2c E e μ<<动),那么ep E μ22= 如果我们考察的是相对性的光子,那么E=pc注意到本题所考虑的钠的价电子的动能仅为3eV ,远远小于电子的质量与光速平方的乘积,即eV 61051.0⨯,因此利用非相对论性的电子的能量——动量关系式,这样,便有ph =λ nmm m E c hc E h e e 71.01071.031051.021024.1229662=⨯=⨯⨯⨯⨯===--μμ在这里,利用了m eV hc ⋅⨯=-61024.1以及eV c e 621051.0⨯=μ最后,对Ec hc e 22μλ=作一点讨论,从上式可以看出,当粒子的质量越大时,这个粒子的波长就越短,因而这个粒子的波动性较弱,而粒子性较强;同样的,当粒子的动能越大时,这个粒子的波长就越短,因而这个粒子的波动性较弱,而粒子性较强,由于宏观世界的物体质量普遍很大,因而波动性极弱,显现出来的都是粒子性,这种波粒二象性,从某种子意义来说,只有在微观世界才能显现。
量子力学课后习题详解第一章 量子理论基础1.1 由黑体辐射公式导出维恩位移定律:能量密度极大值所对应的波长m λ与温度T 成反比,即m λ T=b (常量);并近似计算b 的数值,准确到二位有效数字。
解 根据普朗克的黑体辐射公式dv echv d kThv v v 11833-⋅=πρ, (1) 以及 c v =λ, (2)λρρd dv v v -=, (3)有,118)()(5-⋅=⋅=⎪⎭⎫ ⎝⎛-=-=kThc v v ehc cd c d d dv λλλπλλρλλλρλρρ这里的λρ的物理意义是黑体内波长介于λ与λ+d λ之间的辐射能量密度。
本题关注的是λ取何值时,λρ取得极大值,因此,就得要求λρ 对λ的一阶导数为零,由此可求得相应的λ的值,记作m λ。
但要注意的是,还需要验证λρ对λ的二阶导数在m λ处的取值是否小于零,如果小于零,那么前面求得的m λ就是要求的,具体如下:01151186'=⎪⎪⎪⎭⎫⎝⎛-⋅+--⋅=-kT hc kThce kT hc ehcλλλλλπρ⇒ 0115=-⋅+--kThc ekThcλλ⇒ kThcekThc λλ=--)1(5 如果令x=kThcλ ,则上述方程为 x e x =--)1(5这是一个超越方程。
首先,易知此方程有解:x=0,但经过验证,此解是平庸的;另外的一个解可以通过逐步近似法或者数值计算法获得:x=4.97,经过验证,此解正是所要求的,这样则有xkhc T m =λ把x 以及三个物理常量代入到上式便知K m T m ⋅⨯=-3109.2λ这便是维恩位移定律。
据此,我们知识物体温度升高的话,辐射的能量分布的峰值向较短波长方面移动,这样便会根据热物体(如遥远星体)的发光颜色来判定温度的高低。
1.2 在0K 附近,钠的价电子能量约为3eV ,求其德布罗意波长。
解 根据德布罗意波粒二象性的关系,可知E=hv ,λh P =如果所考虑的粒子是非相对论性的电子(2c E e μ<<动),那么ep E μ22= 如果我们考察的是相对性的光子,那么E=pc注意到本题所考虑的钠的价电子的动能仅为3eV ,远远小于电子的质量与光速平方的乘积,即eV 61051.0⨯,因此利用非相对论性的电子的能量——动量关系式,这样,便有ph=λnmm m E c hc E h e e 71.01071.031051.021024.1229662=⨯=⨯⨯⨯⨯===--μμ在这里,利用了m eV hc ⋅⨯=-61024.1以及eV c e 621051.0⨯=μ最后,对Ec hc e 22μλ=作一点讨论,从上式可以看出,当粒子的质量越大时,这个粒子的波长就越短,因而这个粒子的波动性较弱,而粒子性较强;同样的,当粒子的动能越大时,这个粒子的波长就越短,因而这个粒子的波动性较弱,而粒子性较强,由于宏观世界的物体质量普遍很大,因而波动性极弱,显现出来的都是粒子性,这种波粒二象性,从某种子意义来说,只有在微观世界才能显现。
量子力学课后习题详解第一章 量子理论基础1.1 由黑体辐射公式导出维恩位移定律:能量密度极大值所对应的波长m λ与温度T 成反比,即m λ T=b (常量);并近似计算b 的数值,准确到二位有效数字。
解 根据普朗克的黑体辐射公式dv echv d kThv v v 11833-⋅=πρ, (1) 以及 c v =λ, (2)λρρd dv v v -=, (3)有,118)()(5-⋅=⋅=⎪⎭⎫ ⎝⎛-=-=kThc v v ehc cd c d d dv λλλπλλρλλλρλρρ这里的λρ的物理意义是黑体内波长介于λ与λ+d λ之间的辐射能量密度。
本题关注的是λ取何值时,λρ取得极大值,因此,就得要求λρ 对λ的一阶导数为零,由此可求得相应的λ的值,记作m λ。
但要注意的是,还需要验证λρ对λ的二阶导数在m λ处的取值是否小于零,如果小于零,那么前面求得的m λ就是要求的,具体如下:01151186'=⎪⎪⎪⎭⎫⎝⎛-⋅+--⋅=-kT hc kThce kT hc ehcλλλλλπρ⇒ 0115=-⋅+--kThc ekThcλλ⇒ kThcekThc λλ=--)1(5 如果令x=kThcλ ,则上述方程为 x e x =--)1(5这是一个超越方程。
首先,易知此方程有解:x=0,但经过验证,此解是平庸的;另外的一个解可以通过逐步近似法或者数值计算法获得:x=4.97,经过验证,此解正是所要求的,这样则有xkhc T m =λ把x 以及三个物理常量代入到上式便知K m T m ⋅⨯=-3109.2λ这便是维恩位移定律。
据此,我们知识物体温度升高的话,辐射的能量分布的峰值向较短波长方面移动,这样便会根据热物体(如遥远星体)的发光颜色来判定温度的高低。
1.2 在0K 附近,钠的价电子能量约为3eV ,求其德布罗意波长。
解 根据德布罗意波粒二象性的关系,可知E=hv ,λh P =如果所考虑的粒子是非相对论性的电子(2c E e μ<<动),那么ep E μ22= 如果我们考察的是相对性的光子,那么E=pc注意到本题所考虑的钠的价电子的动能仅为3eV ,远远小于电子的质量与光速平方的乘积,即eV 61051.0⨯,因此利用非相对论性的电子的能量——动量关系式,这样,便有ph=λnmm m E c hc E h e e 71.01071.031051.021024.1229662=⨯=⨯⨯⨯⨯===--μμ在这里,利用了m eV hc ⋅⨯=-61024.1以及eV c e 621051.0⨯=μ最后,对Ec hc e 22μλ=作一点讨论,从上式可以看出,当粒子的质量越大时,这个粒子的波长就越短,因而这个粒子的波动性较弱,而粒子性较强;同样的,当粒子的动能越大时,这个粒子的波长就越短,因而这个粒子的波动性较弱,而粒子性较强,由于宏观世界的物体质量普遍很大,因而波动性极弱,显现出来的都是粒子性,这种波粒二象性,从某种子意义来说,只有在微观世界才能显现。
量子力学习题及解答第一章 量子理论基础1.1。
解 根据普朗克的黑体辐射公式dv echv d kThv v v 11833-⋅=πρ, 以及 c v =λ, (2)λρρd dv v v -=, (3)有,118)()(5-⋅=⋅=⎪⎭⎫ ⎝⎛-=-=kThc v v ehc cd c d d dv λλλπλλρλλλρλρρ这里的λρ的物理意义是黑体内波长介于λ与λ+d λ之间的辐射能量密度。
本题关注的是λ取何值时,λρ取得极大值,因此,就得要求λρ 对λ的一阶导数为零,由此可求得相应的λ的值,记作m λ。
但要注意的是,还需要验证λρ对λ的二阶导数在m λ处的取值是否小于零,如果小于零,那么前面求得的m λ就是要求的,具体如下:01151186'=⎪⎪⎪⎭⎫⎝⎛-⋅+--⋅=-kT hc kThc e kT hc ehcλλλλλπρ ⇒ 0115=-⋅+--kThc ekThcλλ⇒ kThcekThcλλ=--)1(5 如果令x=kThcλ ,则上述方程为 x e x =--)1(5这是一个超越方程。
首先,易知此方程有解:x=0,但经过验证,此解是平庸的;另外的一个解可以通过逐步近似法或者数值计算法获得:x=4.97,经过验证,此解正是所要求的,这样则有xkhc T m =λ 把x 以及三个物理常量代入到上式便知K m T m ⋅⨯=-3109.2λ这便是维恩位移定律。
据此,我们知识物体温度升高的话,辐射的能量分布的峰值向较短波长方面移动,这样便会根据热物体(如遥远星体)的发光颜色来判定温度的高低。
1.2 解 根据德布罗意波粒二象性的关系,可知E=hv ,λhP =如果所考虑的粒子是非相对论性的电子(2c E e μ<<动),那么ep E μ22= 如果我们考察的是相对性的光子,那么E=pc注意到本题所考虑的钠的价电子的动能仅为3eV ,远远小于电子的质量与光速平方的乘积,即eV 61051.0⨯,因此利用非相对论性的电子的能量——动量关系式,这样,便有ph =λ nmm m E c hc E h e e 71.01071.031051.021024.1229662=⨯=⨯⨯⨯⨯===--μμ在这里,利用了m eV hc ⋅⨯=-61024.1以及eV c e 621051.0⨯=μ最后,对Ec hc e 22μλ=作一点讨论,从上式可以看出,当粒子的质量越大时,这个粒子的波长就越短,因而这个粒子的波动性较弱,而粒子性较强;同样的,当粒子的动能越大时,这个粒子的波长就越短,因而这个粒子的波动性较弱,而粒子性较强,由于宏观世界的物体质量普遍很大,因而波动性极弱,显现出来的都是粒子性,这种波粒二象性,从某种子意义来说,只有在微观世界才能显现。
第七章:粒子在电磁场中的运动[1]证明在磁场B中,带电粒子的速度算符的各分量,满足下述的对易关系:[]zy x cq i v v B ˆ,2μ= (1) []xz y cq i v v B ˆ,2μ= (2) []y xz cq i v v B ˆ,2μ= (3) [证明]根据正则方程组:x x p H x v ∂∂== ˆ ,Φ+⎪⎭⎫ ⎝⎛-=q A c qp H 221ˆ μ ⎪⎭⎫ ⎝⎛-=x x x A c q p vˆˆ1ˆμ 同理 ⎪⎭⎫ ⎝⎛-=y y y A c q p v ˆˆ1ˆμ ()z y x p p p pˆ,ˆ,ˆˆ 是正则动量,不等于机械动量,将所得结果代入(1)的等号左方: []⎥⎦⎤⎢⎣⎡--=y y x xyxA c q p A c q p v v ˆˆ,ˆˆ1,2μ =[][][][]y x y x y x y x A A cq p A c q A p c qp pˆ,ˆˆ,ˆˆ,ˆˆ,ˆ122222μμμμ+-- (4) 正则动量与梯度算符相对应,即∇=ipˆ ,因此 []0ˆ,ˆ=y x p p又A ˆ仅与点的座标有关[]0ˆ,ˆ=yxA A[]z x y x y yxB c iq y A x A i c q x i A c q A x i c q v v 2222,,,μμμμ=⎪⎪⎭⎫ ⎝⎛∂∂-∂∂⋅=⎪⎭⎫ ⎝⎛∂∂-⎪⎭⎫⎝⎛∂∂-= (因A B ⨯∇=ˆˆ)其余二式依轮换对称写出。
[2]利用上述对易式,求出均匀磁场中,带电粒子能量的本征值(取磁场方向为Z 轴方向) (解)设磁场沿Z 轴方向,B B B B z y x ===00矢势A ˆ 的一种可能情形是022=-=-=z y x A x B A y BA在本题的情形,哈密顿算符是:(前题){})2(2)1(2221ˆ222222z y x z y x v v v p x c qB p y c qB p H ++=⎪⎭⎪⎬⎫⎪⎩⎪⎨⎧+⎪⎭⎫ ⎝⎛-+⎪⎭⎫ ⎝⎛+=μμ速度算符间的对易式是:()()())5(0,)4(0,)3(,2===x z zyyxv v v v B ci q v v μ 根据(54⨯),z v 分别和x v ,y v 对易,因此z v 与22yx v v +对易,而: ()2212ˆyx v v H +=μ 与22ˆ2ˆx v H μ=有共同的本征函数,H ˆ的本征值是21ˆ,ˆH H 本征值之和。
7.1.证明:i z y x =σσσˆˆˆ 证:由对易关系 z x y y x i σσσσσˆ2ˆˆˆˆ=- 及 反对易关系 0ˆˆˆˆ=+x y y x σσσσ, 得 z y x i σσσˆˆˆ= 上式两边乘z σˆ,得 2ˆˆˆˆz z y x i σσσσ= ∵ 1ˆ2=z σ∴ i z y x =σσσˆˆˆ 7.2 求在自旋态)(21z S χ中,xS ˆ和y S ˆ的测不准关系: ?)()(22=y x S S ∆∆解:在z S ˆ表象中)(21z S χ、xS ˆ、y S ˆ的矩阵表示分别为 ⎪⎪⎭⎫ ⎝⎛=01)(21z S χ ⎪⎪⎭⎫ ⎝⎛=01102ˆ x S ⎪⎪⎭⎫ ⎝⎛-=002ˆi i S y ∴ 在)(21z S χ态中00101102)0 1(2121=⎪⎪⎭⎫⎝⎛⎪⎪⎭⎫ ⎝⎛==+ χχx x S S 4010110201102)0 1(ˆ2222121 =⎪⎪⎭⎫ ⎝⎛⎪⎪⎭⎫ ⎝⎛⎪⎪⎭⎫ ⎝⎛==+χχxxS S 4)(2222=-=∆xxx S S S 001002)0 1(ˆ2121=⎪⎪⎭⎫ ⎝⎛⎪⎪⎭⎫ ⎝⎛-==+i i S S y y χχ 401002002)0 1(ˆ2222121 =⎪⎪⎭⎫ ⎝⎛⎪⎪⎭⎫ ⎝⎛-⎪⎪⎭⎫ ⎝⎛-==+i i i i S S y yχχ 4)(2222=-=∆yyy S S S16)()(422=∆∆y x S S ①讨论:由xS ˆ、y S ˆ的对易关系 [x S ˆ,y S ˆ]zS i ˆ = 要求 4)()(2222z y x S S S ≥∆∆在)(21z S χ态中,2=z S ∴ 16)()(422≥y x S S ∆∆可见①式符合上式的要求。
7.3.求⎪⎪⎭⎫ ⎝⎛--=⎪⎪⎭⎫ ⎝⎛=002ˆ01102ˆi i S S y x 及的本征值和所属的本征函数。
解:x S ˆ的本征方程为01102a a b b λ⎛⎫⎛⎫⎛⎫= ⎪⎪ ⎪⎝⎭⎝⎭⎝⎭移项得: 202a b λλ⎛⎫- ⎪⎛⎫=⎪ ⎪ ⎪⎝⎭- ⎪⎝⎭xS ˆ的久期方程为022=--λλ可得 20)2(22 ±=⇒=-λλ∴ xS ˆ的本征值为2±。
设对应于本征值2的本征函数为 ⎪⎪⎭⎫ ⎝⎛=112/1b a χ 由本征方程 2/12/12ˆχχ =x S ,得⎪⎪⎭⎫⎝⎛=⎪⎪⎭⎫ ⎝⎛⎪⎪⎭⎫ ⎝⎛1111201102b a b a 111111 a b b a a b =⇒⎪⎪⎭⎫ ⎝⎛=⎪⎪⎭⎫ ⎝⎛⇒ 由归一化条件 12/12/1=+χχ,得1),(11*1*1=⎪⎪⎭⎫ ⎝⎛a a a a 即 1221=a ∴ 21 2111==b a对应于本征值2 的本征函数为 ⎪⎪⎭⎫⎝⎛=11212/1χ 设对应于本征值2-的本征函数为 ⎪⎪⎭⎫ ⎝⎛=-222/1b a χ 由本征方程 ⎪⎪⎭⎫ ⎝⎛-=--222/12/12ˆb a S x χχ 222222 a b b a a b -=⇒⎪⎪⎭⎫⎝⎛--=⎪⎪⎭⎫ ⎝⎛⇒ 由归一化条件,得1),(22*2*2=⎪⎪⎭⎫ ⎝⎛--a a a a 即 1222=a ∴ 21 2122-==b a对应于本征值2 -的本征函数为 ⎪⎪⎭⎫⎝⎛-=-11212/1χ 同理可求得yS ˆ的本征值为2 ±。
其相应的本征函数分别为 ⎪⎪⎭⎫ ⎝⎛=i 12121χ ⎪⎪⎭⎫ ⎝⎛-=-i 12121χ #7.4 求自旋角动量)cos ,cos ,(cos γβα方向的投影γβαcos ˆcos ˆcos ˆˆzy x n S S S S ++= 的本征值和所属的本征函数。
在这些本征态中,测量z S ˆ有哪些可能值?这些可能值各以多大的几率出现?zS ˆ的平均值是多少? 解:在z S ˆ 表象,nS ˆ的矩阵元为 γβαcos 10012cos 002cos 01102ˆ⎪⎪⎭⎫ ⎝⎛-+⎪⎪⎭⎫ ⎝⎛-+⎪⎪⎭⎫ ⎝⎛= i i S n ⎪⎪⎭⎫⎝⎛-+-=γβαβαγcos cos cos cos cos cos 2i i S n 其相应的久期方程为0cos 2)cos (cos 2)cos (cos 2cos 2=--+--λγβαβαλγ i i 即0)cos (cos 4cos 4222222=+--βαγλ )1cos cos cos (222=++γβα利用得0422=- λ ⇒ 2±=λ 所以nS ˆ的本征值为2 ±。
设对应于2=n S 的本征函数的矩阵表示为⎪⎪⎭⎫ ⎝⎛=b a S n )(21χ,则 ⎪⎪⎭⎫⎝⎛=⎪⎪⎭⎫ ⎝⎛⎪⎪⎭⎫ ⎝⎛-+-b a b a i i 2cos cos cos cos cos cos 2 γβαβαγ b b i a =-+⇒γβαcos )cos (cos得γβαcos 1cos cos ++=i b由归一化条件,得22**),(12121b a b a b a +=⎪⎪⎭⎫ ⎝⎛==+χχ1cos 1cos cos 222=+++a i a γβα1cos 122=+a γ⎪⎪⎪⎪⎭⎫⎝⎛+++=)cos 1(2cos cos 1cos 1)(21γβαγχi S n12112210()01()()n z z S S S χχ-⎫⎫=⎪⎪⎭⎭=可见, zS ˆ的可能值为 22 - 相应的几率为 2cos 1γ+ 2cos 1)cos 1(2cos cos 22γγβα-=++γγγcos 22cos 122cos 12=--+=z S同理可求得 对应于2-=n S 的本征函数为⎪⎪⎪⎪⎭⎫⎝⎛-+--=-)cos 1(2cos cos 2cos 1)(21γβαγχi S n 在此态中,zS ˆ的可能值为 2 2 - 相应的几率为 2cos 1γ- 2cos 1γ+γcos 2-=z S#7.5设氢的状态是 ⎪⎪⎪⎪⎭⎫⎝⎛-=),()(23),()(2110211121ϕθϕθψY r R Y r R①求轨道角动量z 分量z L ˆ和自旋角动量z 分量zS ˆ的平均值; ②求总磁矩 S e L e M ˆˆ2ˆμμ--=的 z 分量的平均值(用玻尔磁矩表示)。
解:ψ可改写成⎪⎪⎭⎫ ⎝⎛-⎪⎪⎭⎫ ⎝⎛=10),()(2301),()(2110211121ϕθϕθψY r R Y r R z z S Y r R S Y r R (),()(23)(),()(21211021211121--=χϕθχϕθ从ψ的表达式中可看出zL ˆ的可能值为 0 相应的几率为41 43 4=⇒z L zS ˆ的可能值为 2 2 - 相应的几率2i C 为41 4344324122-=⨯-⨯==∑zi i z S C S )4(422 -⨯-⨯-=--=μμμμe e S e L e M z z z B M e 4142=⨯= μ 7.6 一体系由三个全同的玻色子组成,玻色子之间无相互作用。
玻色子只有两个可能的单粒子态。
问体系可能的状态有几个?它们的波函数怎样用单粒子波函数构成?解:体系可能的状态有4个。
设两个单粒子态为i φ,j φ,则体系可能的状态为)()()(3211q q q i i i φφφ=Φ )()()(3212q q q j j j φφφ=Φ3123132231()()()()()()()()()]i i j i i j i i j q q q q q q q q q ϕϕϕϕϕϕϕϕϕΦ=++4123132231()()()()()()()()()]j j i j j i j j i q q q q q q q q q ϕϕϕϕϕϕϕϕϕΦ=++7.8 设两电子在弹性中心力场中运动,每个电子的势能是221()2U r r μω=。
如果电子之间的库仑能和)(r U 相比可以忽略,求当一个电子处在基态,另一电子处于沿x 方向运动的第一激发态时,两电子组成体系的波函数。
解:体系的哈密顿算符为122223222221ˆˆˆ11ˆˆ2222i i i i i ij j ij H H H H T U r r r μωμωμμ==+⎛⎫∂=+=-∇+=-+ ⎪ ⎪∂⎝⎭∑不考虑空间-自旋相互作用,电子波函数写为空间部分和自旋部分之积。
电子波函数的空间部分12(,)r r ψ满足定态S-方程1212ˆ(,)(,)H r r E r r ψψ=可以用分离变量法得到12(,)r r ψ为每个电子在每个空间维度的波函数之积12(,)()ij ijr r r ψψ=∏,ij ijE E =∑其中 22221()()22ij ij ij ij ij r r E r r μωψψμ⎛⎫∂-+= ⎪ ⎪∂⎝⎭即为一维谐振子势下的S-方程。
可得 ()1()2ijij nE n ω=+,()()ij nij ij r r ψψ=。
一个电子处于基态,即三个方向n j =0,波函数为000()()()x y z ψψψ 另一电子处于沿x 方向运动的第一激发态时,1,0x y z n n n ===,波函数为100()()()x y z ψψψ。
总空间波函数为 010*********()()()()()()x y z x y z ψψψψψψψ'=或110101020202()()()()()()x y z x y z ψψψψψψψ''=考虑电子的全同性,电子为费米子,波函数要求满足交换反对称性。
所以空间波函数应为对称或反对称波函数。
1. 空间对称波函数12(,)()/s r r ψψψ'''=+总波函数为12(,)s A r r ψχ2. 空间反对称波函数12(,)()/A r r ψψψ'''=- 总波函数为12(,)1,2,3A Sr r αψχα=下面有01,ψψ的具体形式,不作要求。
)()()()(22r E r r U r ψψψμ=+∇-)()(21)()(2222222222r E r r r z y x ψψμωψμ=+∂∂+∂∂+∂∂- )()(21)()(2222222222r E r r r z y x ψψμωψμ=+∂∂+∂∂+∂∂- 考虑到 2222z y x r ++=,令)()()()(z Z y Y x X r =ψEXYZ XYZ z y x XYZ zy x =+++∂∂+∂∂+∂∂-)(21)(222222222222μωμ E z x Z Z y x Y Y x x X X =+∂∂-++∂∂-++∂∂-)2112()2112()2112(222222222222222μωμμωμμωμx E x x X X =+∂∂-⇒)2112(22222μωμ y E y x Y Y =+∂∂-)2112(22222μωμ z E z x Z Z =+∂∂-)2112(22222μωμ z y x E E E E ++=)()(2221x H e N x X n x n n αα-=⇒)()(2221y H e N y Y m y m m αα-=)()(2221z H eN z Z z αα -=)()()()(2221z H y H x H e N N N r m n r m n nm αααψα -= )()()()(2221z H y H x H eN N N r m n r m n nm αααψα -=ω )(23+++=m n E nm其中 !22/1n N n n πα=,μωα=对于基态0=== m n ,10=H22212/30000)()(rer απαψψ-==⇒对于沿χ方向的第一激发态01=== m n ,, x x H 2)1α=(22212/30000)()(re r απαψψ-==22214/32/5100122)(r xer απαψψ-==两电子的空间波函数能够组成一个对称波函数和一个反对称波函数,其形式为))](()()([21),(2011211021r r r r r r S ψψψψψ+=][)(211)(2122/342221222212r r r r ex e x +-+-+=ααπα)(21122/3422212)(r r e x x +-+=απα)]()()()([21),(1120211021r r r r r r A ψψψψψ-=)(21122/3422212)(r r e x x +--=απα而两电子的自旋波函数可组成三个对称态和一个反对称态,即)3(S )2(S )1(S χχχ、、和A χ综合两方面,两电子组成体系的波函数应是反对称波函数,即 独态: A S r r χψ),(211=Φ三重态: ⎪⎩⎪⎨⎧=Φ=Φ=Φ)3(214)2(213)1(212),(),(),(S A S A S A r r r r r r χψχψχψ。