Optics Express(OE) 2016 最新投稿要求
- 格式:docx
- 大小:211.81 KB
- 文档页数:9
ArticleLanguage. Articles must be written in good EnglishLength. Articles should be as concise as possible. Regular articles should not exceed 25 standard manuscript pages and short communications should not exceed 10 standard manuscript pages, including tables and figures. A standard manuscript page is A4 or letter size, text with 1.5 line spacing, 12 pt font and ample margins. In exceptional cases the Editors may waive this requirement. Supplementary material is allowed, which will be available in e-version only.Supplementary material.The authors of accepted papers can be allowed to have some supplementary material, such as large data tables, appendices, or long proofs of theorems, published online alongside the electronic version of the paper in Elsevier web products, including ScienceDirect: . These materials would not appear in the printed version.The supplementary material should be included in any reviewed version of the submission. In order to ensure that submitted material is directly usable, the data should be provided in one of the recommended file formats. Authors should submit the material in electronic format together with the article and supply a concise and descriptive caption for each file via EES. The main body of the paper should reference the supplementary material.Title. Concise and informative. Avoid abbreviations and formulae.Author names and affiliations. Where the family name may be ambiguous (e.g., a double name), please indicate this clearly using appropriate script (capital cases as first letter of authors' first and surnames followed by lower cases). Present the Authors' affiliation addresses (where the actual work was done) below the names. Indicate all affiliations with a lower-case superscript letter immediately after the Author's name and in front of the appropriate address. Provide the full postal address of each affiliation, including the country name, and, if available, the e-mail address of each Author.Corresponding Author. Clearly indicate who is willing to handle correspondence at all stages of refereeing and publication, also post-publication. Ensure that telephone and fax numbers (with country and area code) are provided in addition to the e-mail address and the complete postal address.Abstract. An abstract of between 50 and 250 words should state the purpose of the research and the main results. An abstract is often presented separate from the article, so it must be able to stand alone. Abstracts should not contain formulae.Keywords. Must be included and at least the first one should be selected from the list below. Some keywords from outside the list may be added but the total number of keywords should not exceed five. The letters before the keywords are those of the surnames of the three editors. The paper is submitted to the editor whose initial is given before the first keyword selected from the list.Illustrations.Graphics files can be uploaded via /ejor A guide onelectronic artwork is available on /artworkReferencesAll citations in the text should refer to:- Single Author: the Author's name (without initials, unless there is ambiguity) and the year of publication;- Two Authors: both Authors' names and the year of publication;- Three or more Authors: first Author's name followed by "et al." and the year of publication. Examples: "as demonstrated in (Allan, 1996a, 1996b, 1999; Allan and Jones, 1995). Lee et al. (2000) have recently shown"In the references list references should be arranged first alphabetically and then further sorted chronologically if necessary. More than one reference from the same Author(s) in the same year must be identified by the letters "a", "b", "c", etc., placed after the year of publication. Examples:Reference to a journal publication:-Griffiths W, Judge G. Testing and estimating location vectors when the error covariance matrix is unknown. Journal of Econometrics 1992;54; 121-138 (note that journal names are not to be abbreviated).Reference to a book:-Hawawini G, Swary I. Mergers and acquisitions in the U.S. banking industry: Evidence from the capital markets. North-Holland: Amsterdam; 1990.Reference to a chapter in an edited book:-Brunner K, Melzer AH 1990. Money Supply. In: Friedman BM, Hahn FH (Eds), Handbook of monetary economics, vol.1. North-Holland: Amsterdam; 1990. p. 357-396.Citing and listing of Web references. As a minimum, the full URL should be given. Any further information, if known (Author names, dates, reference to a source publication, etc.), should also be given. Web references can be listed separately (e.g., after the reference list) under a different heading if desired, or can be included in the reference list.Submission checklist" One Author designated as corresponding Author:" E-mail address" Full postal address" Telephone and fax numbers" All necessary files have been uploaded" Keywords" All figure captions" All tables (including title, description, footnotes)" Manuscript has been "spellchecked"" References are in the correct format for this journal" All references mentioned in the Reference list are cited in the text, and vice versa" Permission has been obtained for use of copyrighted material from other sources (including the Web)List of keywords*" (A) Applied probability" (A) Artificial intelligence" (S) Assignment" (D) Auctions/bidding" (S) Branch and bound" (P) Business process reengineering" (S) Combinatorial optimization" (S) Complexity theory" (A) Computing science" (B) Conic programming" (B) Constraints satisfaction" (A) Control" (B) Convex programming" (P) Cost benefit analysis" (S) Cutting" (D) Data envelopment analysis" (A) Data mining" (A) Decision support systems" (D) Decision analysis" (P) Distributed decision making" (B) Distribution" (A) Dynamic programming" (D) E-commerce" (P) Economics" (D) Education" (D) Environment" (S) Evolutionary computations" (S) Expert systems" (B) Facilities planning and design" (P) Finance" (P) Flexible manufacturing systems" (A) Forecasting" (B) Fractional programming" (S) Fuzzy sets" (A) Game theory" (P) Gaming" (S) Genetic algorithms" (B) Geometric programming" (B) Global optimization" (B) Goal programming" (A) Graph theory" (S) Group decisions and negotiations " (S) Heuristics" (D) Human resources" (B) Integer programming" (B) Interior point methods" (B) Inventory" (P) Investment analysis" (S) Knowledge-based systems" (B) Large scale optimization" (A) Linear programming" (A) Location" (P) Logistics" (A) Maintenance" (P) Manufacturing" (D) Marketing" (A) Markov processes" (S) Metaheuristics" (P) Modelling systems and languages " (S) Multi-agent systems" (S) Multiple criteria analysis" (B) Multiple objective programming " (A) Multivariate statistics" (A) Network flows" (A) Neural networks" (B) Nonlinear programming" (P) Organization theory" (A) OR in agriculture" (A) OR in airlines" (P) OR in banking" (A) OR in biology" (A) OR in developing countries" (A) OR in energy" (D) OR in government" (B) OR in health services" (P) OR in manpower planning" (B) OR in medicine" (B) OR in military" (D) OR in natural resources" (D) OR in research and development " (D) OR in societal problem analysis " (D) OR in strategic planning" (A) OR in telecommunications" (S) Packing" (S) Parallel computing" (B) Parametric programming" (B) Penalty methods" (S) Petri nets" (S) Polyhedra" (P) Pricing" (D) Problem structuring" (P) Production" (D) Productivity and competitiveness " (P) Project management" (S) Project scheduling" (D) Psychology" (P) Purchasing" (B) Quadratic programming" (A) Quality control" (P) Quality management" (A) Queueing" (A) Regression" (A) Reliability" (A) Replacement" (P) Retailing" (D) Revenue management" (P) Risk analysis" (P) Risk management" (A) Robustness and sensitivity analysis " (S) Rough sets" (B) Routing" (P) Scenarios" (S) Scheduling" (S) Search theory" (B) Semi-infinite programming" (S) Simulated annealing" (A) Simulation" (A) Stochastic processes" (A) Stochastic programming" (D) Supply chain management" (P) Systems dynamics" (S) Tabu search" (A) Time series" (S) Timetabling" (B) Traffic" (B) Transportation" (B) Travelling salesman" (P) Uncertainty modelling" (P) Utility theory" (P) Visual interactive modelling*Codes of Editors: (A) - Jesus Artalejo, (B) - Jean-Charles Billaut, (D) - Robert Dyson, (P) - Lorenzo Peccati, (S) - Roman Slowinski。
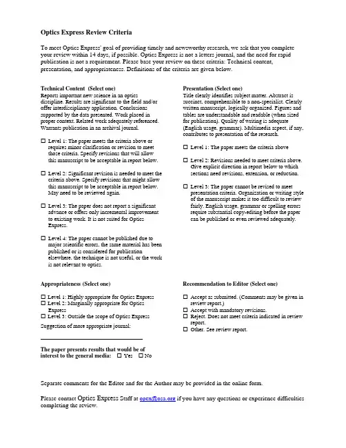
Optics Express Review CriteriaTo meet Optics Express' goal of providing timely and newsworthy research, we ask that you complete your review within 14 days, if possible. Optics Express is not a letters journal, and the need for rapid publication is not a requirement. Please base your review on these criteria: Technical content, presentation, and appropriateness. Definitions of the criteria are given below.Technical Content (Select one)Reports important new science in an optics discipline. Results are significant to the field and/or offer interdisciplinary application. Conclusions supported by the data presented. Work placed in proper context. Related work adequately referenced. Warrants publication in an archival journal.Level 1: The paper meets the criteria above or requires minor clarification or revision to meetthose criteria. Specify revisions that will allowthis manuscript to be acceptable in report below. Level 2: Significant revision is needed to meet the criteria above. Specify revisions that might allow this manuscript to be acceptable in report below.May need to be reviewed again.Level 3: The paper does not report a significant advance or offers only incremental improvement to existing work. It is not suited for OpticsExpress.Level 4: The paper cannot be published due to major scientific errors, the same material has been published or is considered for publicationelsewhere, the technique is not useful, or the work is not relevant to optics. Presentation (Select one)Title clearly identifies subject matter. Abstract is succinct, comprehensible to a non-specialist. Clearly written manuscript, logically organized. Figures and tables are understandable and readable (when sized for publication). Quality of writing is adequate (English usage, grammar). Multimedia aspect, if any, contributes to presentation of the research.Level 1: The paper meets the criteria aboveLevel 2: Revisions needed to meet criteria above.Give explicit direction in report below to whichsections need revisions, extension, or reduction. Level 3: The paper cannot be revised to meet presentation criteria. Organization or writing style of the manuscript makes it too difficult to review fairly. English usage, grammar or spelling errors require substantial copy-editing before the paper can be published or even reviewed adequately.Appropriateness (Select one)Level 1: Highly appropriate for Optics Express Level 2: Marginally appropriate for Optics ExpressLevel 3: Outside the scope of Optics Express Suggestion of more appropriate journal:The paper presents results that would be of interest to the general media: Yes No Recommendation to Editor (Select one)Accept as submitted. (Comments may be given in review report.)Accept with mandatory revisions.Reject. Does not meet criteria indicated in review report.Other. See review report.Separate comments for the Editor and for the Author may be provided in the online form.Please contact Optics Express Staff at ************ if you have any questions or experience difficulties completing the review.。
Attention Optics Express AuthorsOptics Express has made significant changes to its production process by creating archival-quality XML along with the PDF output. XML is the industry standard for producing and archiving scientific journal articles and is used in producing all other OSA journals. Having full-text XML will allow Optics Express to be indexed more accurately and completely in MEDLINE, PubMed Central, and other databases; it will also allow the journal to meet its archival obligations and to prepare for new services such as full-text semantic search and repurposing of content.In order to prevent delays in production, we ask that authors carefully adhere to the following new guidelines:Word and LaTeX. OSA accepts Word and LaTeX submissions; however, we encourage authors to submit papers in MS Word. OSA will not publish the same Word file that authors submit for their final revisions, so it is imperative that authors carefully check the final version of their paper before paying the publication fee. OSA uses a Word plug-in called eXtyles to normalize, format, tag, and parse the file into full-text XML. eXtyles automatically reformats, checks, and updates the references against the CrossRef and PubMed databases. In addition to running other auto-redact editing rules, eXtyles checks all reference, figure, table and equation callouts in the text to ensure all items are cited. At this time full-text XML will be generated from LaTeX papers after publication.Author listing. All authors must be grouped together using superscripts to callout eachaffiliation. Hard returns (Enter key) must be used to separate each individual affiliation. Soft-returns (Shift + Enter key) should be usefor line breaks within a single paragraph.Main text. Authors must identify equations and figures in the text by inserting Fig. or Eq. before the number. All references, figures, and tables must be called out in the text.Figures. Authors must use one image file per figure. Figures need to be inserted as objects that are fixed and move with the text, not as floating objects. Figures should never be placed in a table environment.Tables.Authors must use Word’s Table editor to insert tables. Authors must not import tables from Excel. All content for each table should bein a single Word table (do not split content fora single table across multiple Word tables).Equations. OSA does not accept equations builtusing the Word 2007 Equation Builder. Allequations should be created in MathType (or theMicrosoft Equation editor from Design Science).See Instructions for Users of Word 2007/DOCX for details. We strongly encourage authors to useMathType . Note that LaTeX users can type LaTeXcode directly into MathType for rendering inWord.Adherence to the above guidelines will significantly expedite the production of your paper.Instructions for the preparation of a manuscript forOptics ExpressJoseph Richardson,1,* Antoinette Wrighton,2and Jennifer Martin2,31Department of Peer Review, Optical Society of America, 2010 Massachusetts Avenue, NW, Washington, . 20036,USA2Department of Editorial Services, Optical Society of America, 2010 Massachusetts Avenue, NW, Washington, .20036, USA3Currently with the Department of Electronic Journals, Optical Society of America, 2010 Massachusetts Avenue,NW, Washington, . 20036,Abstract:Explicit and detailed rules aregiven for preparing a manuscript for OpticsExpress. After a general introduction anda summary of the basic requirements,specific guidelines are given for all majormanuscript elements (such as abstract,headings, figures, tables, and references)to achieve optimal typographic quality.The use of complete and properly formattedreferences is particularly important.2010 Optical Society of AmericaOCIS codes: General; General science. References and links1.P. J. Harshman, T. K. Gustafson, P. Kelley,“Title of paper,” J. Chem. Phys. 3, (to bepublished).2. C. van Trigt, “Visual system-response functionsand estimating reflectance,” J. Opt. Soc. Am. A 14, 741-755 (1997).3.K. Gallo and G. Assanto, “All-optical diodebased on second-harmonic generation in anasymmetric waveguide,” J. Opt. Soc. B 16, 267-269 (1999).B. R. Masters, "Three-dimensional microscopic tomographic imagings of the cataract in a human lens in vivo," Opt. Express 3, 332 (1998), R. Masters, “Three-dimensional confocal microscopy of the human optic nerve in vivo,” Opt. Express 3, 356 (1998), IntroductionAdherence to the specifications listed in this style guide is essential for efficient review and publication of submissions. Since Optics Express paper are not routinely copyedited and typeset, use of the Optics Express macros and style guide is critical to providing a consistent appearance.Except for numbering and titling of sections, which may not be desirable for short articles, the Optics Express style and layout rules have been followed in this guide. Also note that there is a checklist available in Section 6 that summarizes the style specifications.2. Page layout and lengthPaper size should be . Letter, cm x cm in. x 11 in.). The printing area should be set to cm x cm in. x in.); margins should be set for a (1 in.) top and in.) left, right, and bottom.To maintain a rapid publication cycle, the recommended page length for an Optics Express article is 6 pages. Higher publication fees apply to articles 7-15 pages in length. There is an additional fee for manuscripts longer than 15 pages.3. SoftwareOptics Express accepts Word and TeX files. OSA strongly encourages authors to submit papers in MS Word rather than in LaTeX.4. Typographical styleAll fonts for text should be some version of Times New Roman. Text should be 10-pt., the title should be 18-pt., and the affiliation and references should be 8-pt. Do not add hyphenation at the end of a line.TitleCenter the title. The title should be in 18-pt. bold font. Use initial cap for first word in title or for proper nouns. Use lowercase following colon. Title should not begin with an article or contain the words "first," "new" or "novel."Author nameCenter author names in 10-pt. bold font. Author names should appear as used for conventional publication, with first and middle names or initials followed by surname. Every effort should be made to keep author names consistent from one paper to the next as they appear within OSA publications.Author affiliationAll authors and affiliations should be styled in the following below. If all authors share one affiliation, superscript numbers are not needed. The corresponding author will have an asterisk indicating footnote. All authors must be grouped together using superscripts to callout each affiliation. Hard returns (Enter key) must be used to separate each individual affiliation. Soft-returns (Shift + Enter key) should be use for line breaks within a single paragraph. Abbreviationsshould not be used. Center the e-mail address of author(s) directly below the affiliation. Please include the country at the end of the affiliation.Joseph Richardson,1,* Antoinette Wrighton,2and Jennifer Martin2,31Department of Peer Review, Optical Society of America, 2010 Massachusetts Avenue, NW, Washington, . 20036,USA2Department of Editorial Services, Optical Society of America, 2010 Massachusetts Avenue, NW, Washington, .20036, USA3Currently with the Department of Electronic Journals, Optical Society of America, 2010 Massachusetts Avenue,NW, Washington, . 20036,Affiliation line with two e-mail addresses (only onefor the corresponding author)Joseph Richardson,1,* Antoinette Wrighton,2,4and Jennifer Martin2,31Department of Peer Review, Optical Society of America, 2010 Massachusetts Avenue, NW, Washington, . 20036,USA2Department of Editorial Services, Optical Society of America, 2010 Massachusetts Avenue, NW, Washington, .20036, USA3Currently with the Department of Electronic Journals, Optical Society of America, 2010 Massachusetts Avenue,NW, Washington, . 20036,AbstractBegin the section with the word “Abstract:” in bold print followed by a colon. Indent left and right margins cm in.). Font size should be 10-pt. and alignment double (left and right) justified.The abstract should be limited to approximately 100 words. It should be an explicit summary of the paper that states the problem, the methods used, and the major results and conclusions. It also should contain the relevant key words that would allow it to be found in a cursory computerized search. If the work of another author is cited in the abstract, a separate citation should be included in the body of the text. Do not include numbers, bullets, or lists inside the abstract.. CopyrightThe line immediately following the abstract should be © 2007 Optical Society of Americain 9-pt. type. Indentation should match the abstract, ., cm in.). Insert a 4-pt. space above and below the copyright line. See the first page of these instructions.OCIS subject classificationOptics Classification and Indexing Scheme(OCIS) subject classifications should beincluded at the end of the abstract. Listthe OCIS code in parenthesis, followed bythe term spelled out; separate OCIS termswith semicolons. Each paper must contain twoto six OCIS codes. Use 8-pt. type for thisline. For a complete list of OCIS codes,visit this site: codes: Birefringence;Diffraction gratingsMain textThe first line of the first paragraph of a section or subsection should start flush left. The first line of subsequent paragraphs within the section or subsection should be indented cm in.). All main text should be alignment double (left and right) justified.Section headings may be numbered consecutively and consistently throughout the paper in Arabic numbers and typed in bold. Use an initial capital letter followed by lowercase, except for proper names, abbreviations, etc. Always start headings flush left. Do not include references to the literature, illustrations, or tables in headings. Insert a 6-pt. space above and below each section heading as shown in this paper.Subsection headings may be numbered consecutively in Arabic numbers to the right of the decimal point, with the section number to the left of the decimal point as shown in this paper. Subsection headings should be in italics, with an initial capital letter followed by lowercase, except for proper names, abbreviations, etc. Start subsection headings flush left. Do not include references to the literature, illustrations, or tables in headings. Create a 6-pt. space above and below each subsection heading as shown in this paper.Numbering of section headings and subsection headings is optional but must be used consistently throughout papers in which it is applied.EquationsOSA does not accept equations built using the Word 2007 Equation Builder. All equations should be createdin MathType (or the Microsoft Equation editor from Design Science).See Instructions for Users of Word 2007/DOCX for details. We strongly encourage authors to use MathType . Note that LaTeX users can type LaTeX code directly into MathType for rendering in Word.Equations should be centered, unless they are so long that less than 1 cm will be left between the end of the equation and the equation number, in which case they may run on to the next line. Equations should have a 6-pt. space above and below the text. Equation numbers should appear at the right-hand margin, in parenthesis. For long equations, the equation number may appear on the next line. For very long equations, the right side of the equation should be broken into approximately equal parts and aligned to the right of the equal sign. The equation number should appear only at the right hand margin of the last line of the equation:24.b b ac -±- (1)All equations should be numbered in the order in which they appear and should be referenced from within the main text as Eq. (1).In-line math of simple fractions should use parentheses when necessary to avoid ambiguity; for example, to distinguish between 1/(n 1) and 1/n1. Exceptions to this are the proper fractions such as 12, which are better left in this form. Summationsand integrals that appear within text such as 12n =1n =∞(n 2-2n )-1∑ should have limits placed to the right of the symbol to reduce white space. Use MS Word Equation Editor or MathType for in-text and display notation wherever possible.References and linksReferences should appear at the top of the article, below the abstract, in the order in which they are referenced in the body of the paper (see below). The font should be 8-pt. aligned left. Lines should be single-spaced. The words “References and links” should head the section (no number) in bold print followed by one blank line, directly above the first reference. Insert a 6-pt. space above the “References and links” line. All references should be indented cm in), with succeeding lines indented sufficiently to preserve alignment. The references section should be delimited by horizontal rules above and below the section, separated by at least 6-pts. of white space from the text.Optics Express uses numerical notation in brackets for bibliographic citations. At the point of citation within the main text, designate the referenceby typing the number in after the last corresponding word [1]. Reference numbers should proceed a comma or period [2]. Two references [3,4], should be included together, separated by a comma, while three or more consecutive references should be indicated by the bounding numbers and a dash [1-4].Optics Express follows the following citation style:Journal paperFor journal articles, authors are listed first, followed by the article’s full title in quotes, the journal’s title abbreviation, the volume number in bold, inclusive page numbers, and the year in parentheses. Journal titles are required.4. C. van Trigt, “Visual system-response functionsand estimating reflectance,” J. Opt. Soc. Am. A14, 741-755 (1997).BookFor monographs in books, authors are listed first, followed by article’s full title in quotes, the word “in,” followed by the book title in italics, the editors of the book in parenthesis, the publisher, city, year.5.Davi d F. Edwards, “Silicon (Si),” in Handbookof Optical Constants of Solids, . Palik, ed.(Academic,Orlando, Fla., 1985).Chapter in a bookFor citation of a book as a whole or book chapter, authors or editors are listed first, followed by title in italics, and publisher, city, and year inparenthesis. Chapter number may be added if applicable.6. F. Ladouceur and J. D. Love, Silica-Based BuriedChannel Waveguides and Devices (Chapman & Hall,1995), Chap. 8.Electronic citationsInternet links may be included as references. Internet links should list the author, title (substitute file name, if needed), and the full URL (universal resource locator). Include the date of access, if relevant:7. C. Gerry, “Remarks on the use of group theory inquantum op tics,” Opt. Express 8, 76-85 (2001).Extreme Networks white paper, “Virtual metropolitan area networks” (Extreme Networks, 2001). in a published conference proceedings8.R. E. Kalman, “Algebraic aspects of thegeneralized inverse of a rectangular matrix,” in Proceedings of Advanced Seminar on GenralizedInverse and Applications, M. Z. Nashed, ed.(Academic, San Diego, Calif., 1976), pp. 111-124. Paper in unpublished conference proceedings9. D. Steup and J. Weinzierl, “Resonant THz-meshes,” presented at the F ourth InternationalWorkshop on THz Electronics, Erlangen-Tennenlohe, Germany, 5-6 Sept. 1996.For citation of proceedings, follow the individual format for SPIE, IEEE and OSA Proceedings:SPIE proceedings10.G. D. Love, C. N. Dunlop, S. Patrick, . Saunter,“Horizontal turbulence measurements usingSLODAR,” Proc. SPIE 5891, 27–32 (2005).IEEE proceedings11.T. Darrel and K. Wohn, "Pyramid based depth fromfocus," in Proceedings of IEEE Conference onComputer Vision and Pattern Recognition(Institute of Electrical and ElectronicsEngineers, New York, 1988), pp. 504-509.OSA proceedings12.G. Kalogerakis, M. E. Marhic, L. G. Kazovsky,and K. K. -Y. Wong, "Transmission of OpticalCommunication Signals by Distributed ParametricAmplification," in Conference on Lasers andElectro-Optics/Quantum Electronics and LaserScience and Photonic Applications SystemsTechnologies, Technical Digest (CD) (OpticalSociety of America, 2005), paper CTuT2.13.Paper accepted for publication14.D. Piao, "Cancelation of coherent artifacts inoptical coherence tomography imaging," Appl. Opt.(to be published).Manuscript in preparation15.J. Q. Smith, Laboratory for Laser Energetics,University of Rochester, 250 East River Road,Rochester, N.Y. 14623, and K. Marshall arepreparing a manuscript to be called "Opticaleffects in liquid crystals."Personal communication16.Barbara Williams, Editorial Department, OpticalSociety of America, 2010 Massachusetts Avenue, ., Washington, ., 20036 (personal communication,2001).AcknowledgmentsAcknowledgments should be included at the end of the document. The section title should read “Acknowledgments” in 10-pt. bold font. The section title should not follow the numbering scheme of the body of the paper. The body of the section should follow the font and layout of the body of the paper (see Subsection above). Please identify all appropriate funding sources by name and contract number in the Acknowledgment section.5. Figures, multimedia and tablesFiguresFigures should be included directly in the document. All photographs must be in digital form and placed appropriately in the electronic document. All illustrations must be numbered consecutively ., not by section) with Arabic numbers. The size of a figure should be commensurate with the amount and value of the information conveyed by the figure.Authors must use one image file per figure. Figures must be inserted as objects that are fixed and move with the text, not as floating objects. Figures should never be placed in a table environment.All the figures should be centered, except for small figures no wider than in. cm), which may be placed side by side. Place figures as closely as possible to where they are mentioned in the text. No part of a figureshould go beyond the typing area. The figure should not be embedded inside the text.All figure captions should be centered beneath the figure. Longer figure captions should be centered beneath the figure and alignment double (left and right) justified, but are not to exceed the left and right edge of the figure by more than in. The abbreviation “Fig.” for figure should appear first followed by the figure number and a period. Captions should be in 8- pt. font. At least one line of space should be left before the figure and after the caption.Fig. 1. Sample figure.MultimediaOSA accepts multimedia files—video, tabular data, static illustrations, and other types—as a part of the manuscript to be peer-reviewed and published. Multimedia files should be submitted only if they provide a more efficient or effective presentation of the information and should not be included as merely "supplemental" data.To ensure consistent presentation, broad accessibility, and long-term archiving, please follow these guidelines on presentation.Fig. 2. Single-frame excerpts from videorecordings of metallic objects concealed byopaque plastic tape. (a) Utility blade(Media 1). (b) Dentist's pick (Media 2). (c)Paper clip (Media 3). (d) Plastic/wire tietwisted into the shape of a loop (Media 4).[Sample figure adapted from Opt. Lett. 33,440 (2008).]QuickTime Non-Streaming (.mov), AVI (.avi), and MPEG (.mpg) movies are accepted. There are a variety of software applications to aid in creating this file format. OSA accepts the following QuickTime compressor types: Video, Graphics, Animation, Motion JPEG, Cinepak, and Uncompressed/None. OSA does not accept the Indeo 5 compressor.The following multimedia guidelines will help with the submission process:4 MB is the recommended maximum multimedia filesize.Use one of the accepted compression codecs tominimize file sizes.720 x 480 pixels (width by height) is therecommended screen size.Insert a representative frame from each movie inthe manuscript as a figure.Videos must be playable using the free versionof QuickTime on the Mac and PC.Animations must be formatted into a standardvideo file.Authors are advised that, in general, multimedia files should be kept to a size of 4 MB or smaller. If it is essential to the scientific quality of the paper to have files that are larger than this, two different versions of such multimedia files (usually video files)must be made. One version, less than 4 MB in size, will serve as a low-resolution or truncated version for readers who have slower network connections and cannot download the larger file. The other version can be up to 15 MB in size. Multimedia files larger than 15 MB can be linked from the References section, but they will not be a reviewed part of the paper, they will not be kept at OSA, and they will not be part of the archival paper.Please refer to the online style guide for more detailed instructions on acceptable multimedia formats for audio and tabular data.TablesTables should be centered and numbered consecutively. Authors must use Word’s Table editor to insert tables. Authors must not import tables from Excel. All content for each table should be in a single Word table (donot split content for a single table across multiple Word tables). Tables should use horizontal lines to delimit the top and bottom of the table and column headings. Detailed explanations or table footnotes should be typed directly beneath the table. Position tables as closely as possible to where they are mentioned in the main text.Table 1. Optical Constants of Thin Films of Materials anm nmMaterial n K n kIrMgF2AlMoCa From Appl. Opt. 40, 1128(2001).6. Article Thumbnail UploadAuthors have the option to upload a thumbnail image that will appear next to the published article on the Forthcoming, Current Issue, and Abstract pages.Authors must submit a .JPG file. The image will be resized automatically to 100 x 100pixels. For bestresults, authors should upload an image this size or an image with square dimensions.The 100 x 100 pixel image will be displayed on the article abstract page and a 50 x 50 pixel image will be displayed on the Table of Contents page.Fig. 3. Preview of thumbnail image displayon the author submission page.7. SummaryConforming to the specifications listed above is of critical importance to the speedy publication of a manuscript. Authors should use the following style guide checklist before submitting an article.Table 2. Optics Express style guide checklistStandard Page Text Area: x in.; Margins: 1 in. top, in.left, right & bottomType of Text Font Size(Points)Indent Alignment NotesTitle18Center BoldAuthor Name10CenterAuthorAffiliation &Email address8Center ItalicAbstract10 in.left/rightJustified Bold “Abstract:”Copyright9 in.OCIS Codes8 in.Bold “OCIScodes:”Main TextFirst paragraphSubsequent paragraphs 10Nonein.Justified The first paragraphof a section orsubsection is notindented. The firstline of subsequentparagraphs isindented in.Section & Subsection Headings 10None Left Insert 6-pt. spaceabove and beloweach heading.Section headers:BoldSubsection headers:ItalicEquations10None Center Eq. Number: righttab to end of lastline of Eq., inparentheses.References and Links 8 in.Left Bold “Referencesand links”.Delimit withhorizontal rules.Acknowledgments10None Justified Bold“Acknowledgments”Figures CenterFigure Captions8 inleft/right Justified Bold font. Longcaptions: indentin. left/right.Tables8None CenterTable Heads8None Center Long heads followtable margins.7. ConclusionAfter proofreading, the final step in submitting a manuscript to Optics Express is to go online at typein the requested information into the Optics Expressonline submission system, and then upload the Wordfile. For further instructions, please see the Optics Express Author Information pages.。
《Optics Express 参考文献格式:深度解读》随着信息时代的到来,光学技术的发展和应用变得日益重要。
光学表达(Optics Express)作为一本重要的学术期刊,提供了大量有关光学和光子学的最新研究成果。
其中,参考文献格式作为学术文章中不可或缺的部分,对于进一步深入了解光学技术和研究至关重要。
本文将围绕《Optics Express 参考文献格式》这一主题展开全面解读,帮助读者更好地掌握这一知识点。
1. 参考文献格式的重要性在学术写作中,引用参考文献是一项基本的规范,也是对前人研究成果的尊重和借鉴。
而参考文献格式则是确保学术论文规范、准确、便于他人查找和审阅的重要一环。
在光学与光子学领域的研究中,特别需要遵循标准的参考文献格式,以保证学术交流和融合的顺利进行。
2. Optics Express 参考文献格式的特点Optics Express 作为光学领域的重要学术期刊,其参考文献格式有着一定的特点。
通常,参考文献应遵循以下格式:作者名,文章标题,期刊名,期卷号,页码,出版年份。
针对不同类型的文献(期刊文章、会议论文、书籍等),格式也会有所不同,需要进行细致的区分和调整。
3. 如何正确引用 Optics Express 的参考文献在撰写与光学相关的学术文章时,正确引用 Optics Express 的参考文献显得尤为重要。
需要精准获取所需文献的参考信息,包括作者、题目、期刊名等。
根据所引用文献的类型,合理构建参考文献格式。
严格按照期刊规定的格式要求进行编辑,确保每一条参考文献的信息准确无误。
4. 深入理解 Optics Express 参考文献格式对于光学技术和研究者来说,深入理解 Optics Express 参考文献格式涉及到更广泛的学术交流和合作。
仅仅了解格式要求还不够,还需要理解参考文献的作用、核心内容和如何根据实际情况进行灵活调整。
只有在知识的深度和广度上都得到提升,才能更好地应用此知识。
OSA光学期刊投稿注意事项OSA出版的期刊有效存档是以XML以及PDF格式输出的。
XML是用于生产和归档科学期刊文章的行业标准,并用于生产各种其他的OSA期刊。
其全文XML将使期刊更准确完整地在在MEDLINE,PubMed中心和其他数据库收录;它也将使杂志满足其存档的义务,并为新的期刊服务,如为全文语义搜索和内容的再利用做准备。
为防止延误生产,我们要求作者仔细遵循以下新的指导方针:Word和LaTeX。
OSA接受Word和LaTeX格式投稿;然而,我们鼓励作者用MS Word 提交论文。
OSA将不发布与最后的修订同样的Word文件,所以当务之急是作者支付版面费之前仔细检查他们的论文的最终版本。
OSA使用一个Word插件叫做eXtyles用来正常化,格式,标签,并将文件解析成XML。
eXtyles自动格式化,检查,并更新对交叉引用和考研数据库的引用。
除了运行其他自动纂编辑规则,eXtyles检查文本,以确保参考,图表,表式标注等所有项目都有引用出处。
LaTeX手稿和XML文件是在生产阶段创建的;如果没有参考交叉检查LaTeX的手稿,OSA要求LaTeX的作者确保参考部分尽可能准确。
作者列表:所有作者必须标注出每租作者之间的隶属关系。
回车(Enter键)必须被用来分隔每个隶属关系。
(就是每人写一行)。
正文:作者必须通过插图的方式区分文本公式和数字或公式前的数目。
显示公式数应该出现在括号[公式. (1)]里。
所有参考文献,图表和表格必须在它们出现的顺序文本中标出来。
数字:每张图必须有一个图像文件。
图需要插入图签不论是固定的还是可动的,数字不应该被放置在一个表中。
表:作者必须使用Word的表格编辑器插入表格。
作者不应该从Excel导入表。
每个表的所有内容应在一个Word表格(不要将表格分割在两页中)。
方程:期刊不接受使用Word 2007或2010公式生成器公式。
所有公式应使用MathType (或从设计科学的Microsoft公式编辑器)来创建。
Instructions for the preparation of a manuscript for OSA express journalsA UTHOR O NE,1A UTHOR T WO,2,* AND A UTHOR T HREE2,31Peer Review, Publications Department, The Optical Society, 2010 Massachusetts Avenue NW, Washington, DC 20036, USA2Publications Department, The Optical Society, 2010 Massachusetts Avenue NW, Washington, DC 20036, USA3Currently with the Department of Electronic Journals, The Optical Society, 2010 Massachusetts Avenue NW, Washington, DC 20036, USA*opex@https://Abstract:Updated 20 July 2016. Explicit and detailed rules are given for preparing a manuscript for OSA express journals. After a general introduction and a summary of the basic requirements, specific guidelines are given for all major manuscript elements (such as abstract, headings, figures, tables, and references) to achieve optimal typographic quality. The use of complete and properly formatted references is particularly important. Adherence to these guidelines will significantly expedite the production of your paper.© 2016 Optical Society of AmericaOCIS codes: (000.0000) General; (000.2700) General Science.References and links (see Section 4)1.P. J. Harshman, T. K. Gustafson, and P. Kelley, “Title of paper,” J. Chem. Phys. 3, (to be published).2.K. Gallo and G. Assanto, “All-optical diode based on second-harmonic generation in an asymmetricwaveguide,” J. Opt. Soc. Am. B 16(2), 267–269 (1999).3. B. R. Masters, “Three-dimensional microscopic tomographic imagin gs of the cataract in a human lens in vivo,”Opt. Express 3(9), 332–338 (1998).4. D. Yelin, D. Oron, S. Thiberge, E. Moses, and Y. Silberberg, “Multiphoton plasmon-resonance microscopy,”Opt. Express 11(12), 1385–1391 (2003).1. IntroductionAdherence to the specifications listed in this style guide is essential for efficient review and publication of submissions.OSA accepts Word and LaTeX submissions. OSA will not publish the same Word file that authors submit for their final revisions, so it is imperative that authors carefully check the final version of their paper before paying the publication fee. OSA uses a Word plug-in to normalize, format, tag, update citations, and parse the file into full-text XML.Except for numbering and titling of sections, which may not be desirable for short articles, the express journal style and layout rules have been followed in this guide. There is a checklist available in Section 8 that summarizes the style specifications.2. Page layout and lengthPaper size should be U.S. Letter, 21.505 cm x 27.83 cm (8.5 in. x 11 in.). The printing area should be set to 13.28 cm x 21.54 cm (5.25 in. x 8.5 in.); margins should be set for a 3.3-cm (1.3 in.) top and bottom and 4.11-cm (1.625 in.) left and right.To maintain a rapid publication cycle, the recommended page length for an express journal article is 6 pages. Higher publication fees apply to articles 7–15 pages in length. There is an additional per-page fee for manuscripts longer than 15 pages.3. Typographical styleThe title, author listing and all headers should be in Arial font. The rest of the text and body of the article should be Times New Roman. Please see the checklist in Section 8 that summarizes all of the style specifications.3.1 TitleLeft align the title. The title should be in 16-pt. bold Arial font. Kerning should be set to 16-pt. and spacing expanded by 0.5 in. Use initial cap for first word in title or for proper nouns. Use lowercase following colon. Title should not begin with an article or contain the words "first," "new" or "novel."3.2 Author nameLeft align author names in 12-pt. bold Arial font using small caps. Each express journal has its own color for the author names. Author names should appear as used for conventional publication, with first and middle names or initials followed by surname. Every effort should be made to keep author names consistent from one paper to the next as they appear within OSA publications.3.3 Author affiliationAll authors and affiliations should be styled in 9-pt. italic Times New Roman font. If all authors share one affiliation, superscript numbers are not needed. The corresponding author will have an asterisk correlating to an email address. All authors must be grouped together using superscripts to callout each affiliation. Hard returns (Enter key) must be used to separate each individual affiliation. Abbreviations should not be used. Please include the country at the end of the affiliation.A UTHOR O NE1 AND A UTHOR T WO2,*1Peer Review, Publications Department, Optical Society of America, Washington, DC 20036, USA2Publications Department, Optical Society of America, Washington, DC 20036, USA*opex@Option 1 for affiliation line with two email addresses (only one for the corresponding author):A UTHOR O NE1,3 AND A UTHOR T WO2,*1Peer Review, Publications Department, Optical Society of America, Washington, DC 20036, USA2Publications Department, Optical Society of America, Washington, DC 20036, USA3xyz@*opex@Option 2 for affiliation line with two email addresses (no asterisk used to denote corresponding authorship, implying that the two email addresses share corresponding authorship equally):A UTHOR O NE1,3 AND A UTHOR T WO2,41Peer Review, Publications Department, Optical Society of America, Washington, DC 20036, USA2Publications Department, Optical Society of America, Washington, DC 20036, USA3xyz@4opex@4.4 AbstractBegin the section with the word “Abstract:” in bold print followed by a colon. Font size should be 10-pt. and alignment double (left and right) justified.The abstract should be limited to approximately 100 words. It should be an explicit summary of the paper that states the problem, the methods used, and the major results and conclusions. It also should contain the relevant key words that would allow it to be found in a cursory computerized search. If the work of another author is cited in the abstract, that citation should be written out without a number, [e.g., journal, volume, first page, and year (Opt. Express 22, 1234 (2014).)], and a separate citation should be included in the body of the text. The first reference cited in the main text must be [1]. Do not include numbers, bullets, or lists inside the abstract.3.4 CopyrightThe line immediately following the abstract should be in 8-pt. type.© 2016 Optical Society of AmericaPlease be sure to update this line with the appropriate publication year if needed. Insert a 4-pt. space above and below the copyright line.3.5 OCIS subject classificationOptics Classification and Indexing Scheme (OCIS) subject classifications should be included at the end of the abstract. OCIS codes should be provided to help with indexing. List the OCIS code in parenthesis, followed by the term spelled out; separate OCIS terms with semicolons. Each paper must contain two to six OCIS codes. Use 8-pt. type for this line. Please avoid using OCIS codes (000.0000) General or (000.2700) General science, and instead customize these codes to best represent the topics of your manuscript.OCIS codes can be selected during upload. Follow the link for a complete listing.OCIS codes: (260.1440) Birefringence; (050.1950) Diffraction gratings3.6 Main textThe first line of the first paragraph of a section or subsection should start flush left. The first line of subsequent paragraphs within the section or subsection should be indented 0.62 cm (0.2 in.). All main text should be alignment double (left and right) justified.Section headings may be numbered consecutively and consistently throughout the paper in Arabic numbers and typed in bold. Use an initial capital letter followed by lowercase, except for proper names, abbreviations, etc. Always start headings flush left. Do not include references to the literature, illustrations, or tables in headings. Insert a 6-pt. space above and below each section heading as shown in this paper.Subsection headings may be numbered consecutively in Arabic numbers to the right of the decimal point, with the section number to the left of the decimal point as shown in this paper. Subsection headings should be in italics, with an initial capital letter followed by lowercase, except for proper names, abbreviations, etc. Start subsection headings flush left. Do not include references to the literature, illustrations, or tables in headings. Create a 6-pt. space above and below each subsection heading as shown in this paper.Numbering of section headings and subsection headings is optional but must be used consistently throughout papers in which it is applied.3.7 EquationsThe express journals do not accept equations built using the Word 2007 or 2010 Equation Builder. All display equations should be created in MathType (or the Microsoft Equation editor from Design Science). Inline equations can be created with these tools or by using keyboard and Unicode characters where needed for the best quality line spacing. We stronglyencourage authors to use MathType 6.7. Note that LaTeX users can type LaTeX code directly into MathType for rendering in Word.Equations should be centered, unless they are so long that less than 1 cm will be left between the end of the equation and the equation number, in which case they may run on to the next line. Equations should have a 6-pt. space above and below the text. Equation numbers should appear at the right-hand margin, in parenthesis. For long equations, the equation number may appear on the next line. For very long equations, the right side of the equation should be broken into approximately equal parts and aligned to the right of the equal sign. The equation number should appear only at the right hand margin of the last line of the equation:(1) All equations should be numbered in the order in which they appear and should be referenced from within the main text as Eq. (1).In-line math of simple fractions should use parentheses when necessary to avoid ambiguity; for example, to distinguish between 1/(n - 1) and 1/n - 1. Exceptions to this are the proper fractions such as ½, which are better left in this form. Summations and integrals that appear within text such as ()-1211-22n n n n =∞=∑ should have limits placed to the right of the symbol to reduce white space. Use MathType, Design Science Equation Editor, or Unicode character sets for in-text and display notation wherever possible.4. References and linksReferences should appear at the top of the article, below the abstract, in the order in which they are referenced in the body of the paper (see below). The font should be 8-pt. aligned left. Lines should be single-spaced. The words “References and links ” should head the section (no number) in bold print followed by one blank line, directly above the first reference. Insert a 6-pt. space above the “References and links ” line. All references should be ind ented 0.5 cm (0.2 in), with succeeding lines indented sufficiently to preserve alignment. The references section should be delimited by horizontal rules above and below the section, separated by at least 6-pts. of white space from the text.OSA express journals use numerical notation in brackets for bibliographic citations. At the point of citation within the main text, designate the reference by typing the number in after the last corresponding word [1]. Reference numbers should precede a comma or period[2]. Two references [3,4], should be included together, separated by a comma, while three or more consecutive references should be indicated by the bounding numbers and a dash [1–4].The express journals follow the following citation style:Journal paperFor journal articles, authors are listed first, followed by the article’s full title in quotes, the journal’s title abbreviation, the volume number in bold, the issue number in Roman and parenthesis, inclusive page numbers, and the year in parentheses. Journal titles are required. Do not include DOIs in published journal citations —these will be added post-publication. 1.C. van Trigt, “Visual system -response functions and estimating reflectance,” J. Opt. Soc. Am. A 14(4), 741–755 (1997). 2. S. Yerolatsitis, I. Gris-Sánches, and T. A. Birks, “Adiabatically -tapered fiber mode multiplexers,” Opt. Express22(1), 608–617 (2014).Journal paper identified by paper numberDo not provide the number of pages; the paper number is sufficient.3.L. Rippe, B. Julsgaard, A. Walther, Y. Ying, and S. Kröll, “Experimental quantum-state tomography of a solid-state qubit,” Phys. Rev. A 77, 022307 (2008).BookFor citation of a book as a whole or book chapter, authors or editors are listed first, followed by title in italics, and publisher and year in parenthesis. Chapter number may be added if applicable.4.T. Masters, Practical Neural Network Recipes in C++ (Academic, 1993).5. F. Ladouceur and J. D. Love, Silica-Based Buried Channel Waveguides and Devices (Chapman & Hall, 1995),Chap. 8.Article in a bookFor monographs in books, authors are listed first, followed by article’s full title in quotes, the word “in,” followed by the book title in italics, the editors of the book, and the publisher and publication year in parenthesis.6. D. F. Edwards, “Silicon (Si),” in Handbook of Optical Constants of Solids, E. D. Palik, ed. (Academic, 1985). Paper in published conference proceedings7.R. E. Kalman, “Algebraic aspects of the generalized inverse of a rectangular matrix,” in Proceedings ofAdvanced Seminar on Generalized Inverse and Applications, M. Z. Nashed, ed. (Academic, 1976), pp. 111–124. Paper published in OSA conference proceedings8.R. Craig and B. Gignac, “High-power 980-nm pump lasers,” in Optical Fiber Communication Conference, Vol.2 of 1996 OSA Technical Digest Series (Optical Society of America, 1996), paper ThG1.Paper in unpublished conference proceedings9. D. Steup and J. Weinzierl, “Resonant THz-meshes,” presented at the Fourth International Workshop on THzElectronics, Erlangen-Tennenlohe, Germany, 5–6 Sept. 1996.SPIE proceedingsFor later SPIE proceedings with a paper number, cite just the paper number and not any page information.10.S. K. Griebel, M. Richardson, K. E. Devenport, and H. S. Hinton, “Expe rimental performance of an ATM-based buffered hyperplane CMOS-SEED smart pixel array,” Proc. SPIE 3005, 254–256 (1997).11.S. Gu, F. Shao, G. Jiang, F. Li, and M. Yu, “An objective visibility threshold measurement method forasymmetric stereoscopic images,” P roc. SPIE 8205, 820505 (2011).IEEE proceedings12.T. Darrel and K. Wohn, “Pyramid based depth from focus,” in Proceedings of IEEE Conference on ComputerVision and Pattern Recognition (IEEE, 1988), pp. 504–509.Paper accepted for publication13. D. Piao, “Cancelation of coherent artifacts in optical coherence tomography imaging,” Appl. Opt. (to bepublished).14. D. W. Diehl and T. D. Visser, “Phase singularities of the longitudinal field components in the focal region of ahigh-aperture optical system,” J. Opt. Soc. Am. A, doc. ID 56789 (posted 11 November 2005, in press). Manuscript in preparation15.J. Q. Smith, Laboratory for Laser Energetics, University of Rochester, 250 East River Road, Rochester, N.Y.14623, and K. Marshall are preparing a manuscript to be called “Optical effects in liquid crystals.”Personal communication16.T. Miller, Publications Department, Optical Society of America, 2010 Massachusetts Avenue, N.W.,Washington, D.C., 20036 (personal communication, 2010).Electronic citationsInternet links may be included as references. Internet links should list the author, title (substitute file name, if needed), and the full URL (universal resource locator). Include the date of access, if relevant.17.Extreme Networks white paper, “Virtual metropolitan area networks,” (Extreme Networks, 2001),/technology/whitepapers/vMAN.asp.18. A. G. Ramm, “Invisible obstacles,” /abs/math-ph/0608034.5. Figures, supplementary materials, and tables5.1 FiguresFigures should be included directly in the document. All photographs must be in digital form and placed appropriately in the electronic document. All illustrations must be numbered consecutively (i.e., not by section) with Arabic numbers. The size of a figure should be commensurate with the amount and value of the information conveyed by the figure.Authors must use one image file per figure. Figures must be inserted as objects that are fixed and move with the text, not as floating objects. Figures should never be placed in a table environment, embedded inside the text, or included within a list. All the figures should be centered. No part of a figure should go beyond the typing area. Place figures as closely as possible to where they are mentioned in the text. Figures should be numbered consecutively in the order of appearance and citation in the text. Be sure to cite every figure.All figure captions should be centered beneath the figure. Longer figure captions should be centered beneath the figure and alignment double (left and right) justified, but are not to exceed the left and right edge of the figure by more than 0.5 in. The abbreviation “Fig.” for figure should appear first followed by the figure number and a period. Captions should be in 8- pt. font. At least one line of space should be left before the figure and after the caption.Fig. 1. Sample figure.5.2 Supplementary materials in OSA express journalsMost OSA journals allow authors to include supplementary materials as integral parts of a manuscript. Such materials are subject to the same editorial standards and peer review procedures along with the rest of the paper and should be uploaded and described using OSA’s Prism manuscript syst em.Authors can submit appropriate visualizations or small data files (see details below) for OSA to host. Large datasets and code or simulation files can be included but must be placed in an appropriate archival repository and cited as described here.Table 1. Supplementary Materials Supported in OSA Journals aa Optica allows authors to include a supplemental document that can contain additional text, equations, citations, etc. (see Supplementary Materials in Optica for details). For all other OSA journals, supplemental text must be included as appendices within the primary manuscript.Video visualizations (formerly media files) are the most commonly submitted type of supplementary materials for the express journals. They typically illustrate a synopsis of research results. They are integral and as such should be included only when they convey essential information beyond what can be presented within the article's PDF representation. Video visualizations should be uploaded upon submission and peer-reviewed along with the manuscript. Video files must use open compression standards for display on broadly available applications such as VLC or Windows Media Player. MOV, AVI, MPG, and MP4 video containers are accepted. The following video guidelines will help with the submission process:1.15 MB is the recommended maximum video file size.2.720 x 480 pixels (width by height) is the recommended screen size.3.If appropriate, insert a representative frame from the video in the manuscript asa figure.4.Minimize file size by using an acceptable codec such as x264 or XviD.HandBrake is an open source tool for converting video to common codecs.5.Videos must be playable on all platforms using VLC.6.Animations must be formatted into a standard video container.Visualizations must be associated with a figure, table, or equation OR be referenced in the results section of the manuscript. Use the label "Visualization" and the item number to identify the visualization.Fig. 5. Three traps create three rings of magnetic nanoparticles. The rings interact with oneanother (see Visualization 3). [From Masajada et al., Opt. Lett. 38, 3910 (2013).]Please refer to the Author Guidelines for Supplementary Materials for more detailed instructions and other acceptable supplementary material types.5.3 TablesTables should be centered and numbered consecutively. Authors must use Word’s Table editor to insert tables. Authors must not import tables from Excel. All content for each table should be in a single Word table (do not split content for a single table across multiple Word tables). Tables should use horizontal lines to delimit the top and bottom of the table and column headings. Detailed explanations or table footnotes should be typed directly beneaththe table, but not in a table cell. Table footnote labels should be text; numbers or special characters are not permitted. Position tables as closely as possible to where they are mentioned in the main text.Table 2. Optical Constants of Thin Films of Materials a83.4 nm 121.6 nmMaterial n K n kIr 1.182 0.865 1.450 1.040MgF2 1.584 0.487 1.682 0.0627Al 0.09874 0.1915 0.0424 1.137Mo 0.98 1.08 0.78 1.03C 1.16 1.29 1.85 1.10a From Appl. Opt. 40, 1128 (2001).6. Article thumbnail uploadAuthors have the option to upload a thumbnail image that will appear next to the published article on the Issue in Progress, Current Issue, and Abstract pages. Please note that if authors do not choose a file, OSA Production Staff will choose an image from the submission. For precise representation of an article, we recommend that authors choose and upload the thumbnail image.Authors must submit a .JPG file. The image will be resized automatically to 100 x 100 pixels. For best results, authors should upload an image this size or an image with square dimensions.Fig. 3. Preview of thumbnail image display on the author submission page.7. Funding and AcknowledgmentsFunding information should be listed in a separate block preceding any acknowledgments. The section title should read “Funding” in 10-pt. bold Arial font. List just the funding agencies and any associated grants or project numbers, as shown in the example below: National Science Foundation (NSF) (1253236, 0868895, 1222301); Program 973 (2014AA014402); Natural National Science Foundation of China (NSFC) (123456).OSA participates in Crossref’s Funding Data, a service that provides a standard way to report funding sources for published scholarly research. To ensure consistency, please enter any funding agencies and contract numbers from the Funding section in Prism during submission. Update any changes to your funding information in Prism during any revision stages.Acknowledgments should be included at the end of the document. The section title should read “Acknowledgments” in 10-pt. bold Arial font. The section title should not follow the numbering scheme of the body of the paper. Please do not include any funding sources in the Acknowledgment section.8. SummaryConforming to the specifications listed above is of critical importance to the speedy publication of a manuscript. Authors should use the following style guide checklist before submitting an article.Table 3. Style guide checklist。
→投稿须知一投稿方式你可以通过E-mail:st_chinasensor@进行投稿。
二编辑时限审稿周期:7天;刊登周期:6个月。
三论文要求为使来稿格式符合国家科技期刊格式标准,根据常见的一些问题,特向广大作者提出以下要求:本刊主要刊登敏感元器件、传感器与微系统及其相关技术的文章。
论文应理论清楚、正确,并且有详细实测数据。
投稿尽量用E-mail将稿件以附件形式发送。
排版格式为word 2003/2007均可,文中的插图望采用位图格式(扩展名为.tif),不要附加路径名,压缩时用winrar。
1题名中文题名不应超过20个汉字。
并应译成相对应的英文题名,英文题名仅仅第一单词的第一字母大写。
题名中应避免使用非公知共用的缩略语。
2作者及工作单位(1)中国作者的英译名用汉语拼音,姓氏字母均大写;名字首字母大写,双名中间加“-”。
不同工作单位的,在姓名的右上角,加注阿拉伯数字序号,中间用“,”隔开。
(2)所有作者的工作单位,均应包括单位名称(院校给到系),所在省、市名及邮政编码,多作者的工作单位名称之前加与作者姓名序号相同的数字序号,中间用“;”隔开;工作单位的英译文给出全称,不能用缩写词(系名除外)。
还应在邮编之后加“,China”。
3摘要(1)中文摘要为150~300字。
摘要的内容应包括目的、方法、结果和结论;综述性、评论性文章可写指示性摘要。
摘要中不应出现“本文、我们、作者”之类的词语。
(2)英文摘要必须与中文摘要一一相对应,准确译出。
一般使用第三人称和被动式。
(3)中文摘要前加“摘要:”;英文摘要前加“Abstract:”。
4关键词(1)3~8个关键词。
按GB/T 3860的原则和方法选取。
(2)中、英文关键词应一一对应。
中文前冠以“关键词:”,英文前冠以“Key words:”。
5中图分类号在中文关键词的下行,按中国图书馆分类法(第四版,1999年3月版)给出本篇文章的“中图分类号”。
6文献标识码在“中图分类号:”后填写“文献标识码:”本刊文献标识码:A--理论与应用研究学术论文(包括综述报告);B--实用性技术成果报告。
Optics Express 是一本以光学为主题的学术期刊,被广泛认可为光学领域的顶级期刊之一。
在投稿Optics Express之前,作者应当对所撰写的论文进行严格的查重工作,以确保其原创性和学术价值。
以下是Optics Express 查重标准的几个主要内容:一、原创性要求1.1 一稿一次原则作者在向 Optics Express 投稿之前,应当确保所撰写的论文是原创性的,并且尚未在其他期刊或会议上发表或提交过。
Optics Express 严格执行一稿一次的原则,不接受任何已经发表或正在审稿中的论文。
1.2 避免自我抄袭作者应当避免自我抄袭,即在不同的论文中重复使用相同或类似的内容。
如有必要引用自己之前的工作,应当在论文中清晰注明并加以引用。
1.3 注意引用他人的研究成果在撰写论文时,作者应当准确引用其他学者的研究成果,并在文中注明出处。
剽窃他人的工作将严重影响论文的可信度和学术声誉。
二、查重工作2.1 使用专业的查重工具作者在完成论文撰写后,应当利用专业的查重工具对论文进行检测。
常用的查重工具包括Turnitin、iThenticate等,这些工具可以帮助作者发现论文中可能存在的抄袭或重复内容,从而及时进行修正和调整。
2.2 控制查重比例Optics Express 对论文的查重比例有一定的要求,一般要求不超过15。
在查重工作中,作者应当尽量控制论文中重复内容的比例,确保符合期刊的要求。
2.3 合理引用他人的研究成果在引用他人的研究成果时,作者应当使用正确的方式进行引用,并在文章末尾列出参考文献。
适当的引用他人的成果不仅可以增加论文的可信度,还可以避免不必要的重复。
三、修改和调整3.1 针对查重结果进行修改在得到查重结果后,作者应当根据查重工具的反馈意见对论文进行修改和调整。
对于重复内容,可以进行适当的删减或者重写,以确保论文的原创性和学术价值。
3.2 重视论文质量在修改和调整过程中,作者应当注重论文的质量,包括结构、逻辑、语言表达等方面,力求论文内容清晰、严谨、准确。
[转载]国内外光学期刊投稿指南国内外光学期刊投稿指南国内光学期刊1.光学学报:在国内算是最好的光学类期刊了,ei引用率在所有中文杂志里一直排在前5位。
审稿比较严格。
光学相关的主题都可以投。
但是上海光机所有偏向性和他工作相同的文章一般不登。
2.半导体学报:中科院半导体所主办,如果你做光集成相关的东西,半导体学报也非常容易接收,而且周期相对短,投稿到发表平均9个月,这在中文期刊里算是很快的了;ei收录ei引用率和光学学报差不多,02年是全部中文期刊的第5位,光学学报第四。
适合光学方向的投稿,主要为:半导体材料、集成光学。
可以网上投稿,而且一个奇怪的现象是先发表后收版面费,这是其它中文期刊少见的。
不过为了不影响你们实验室其他人投稿,还是把版面费交了吧。
3.中国激光:上机的核心期刊之一,ei引用率排在20位左右,在光学类里已经算是很高的了。
审稿机制也比较严格,但是发表周期奇长无比,光学学报大概一年左右,它从录用到发表还要15个月,总共差不多18个月。
难以忍受。
国内引用次数相对较高4.中国激光(英文):EI引用率较高,但是一般写了英文,我觉得也就不要投国内杂志了吧:5.中国光学快报:中国激光英文B是前身,刚刚成立1年多,由OSA出版发行,全文ei引用,要3页英文。
光学各领域均可投稿,周期较短,6个月左右。
6.光电工程:成都光机所办,也很容易投,但经常投出去八九个月没有消息,投稿半年以上没有消息是常事,且现在ei不收录了。
而且除了个别领域外,其余审稿期都奇长无比,如果你有耐心,还是可以试试的。
7.光子学报:西安光机所办的,非ei核心期刊,也就是只被ei page one收录,个人觉得档次较低,但是审稿相对宽松,在光学类的一级期刊里,算是最容易的了。
8.红外与毫米波:少数的被sci收录的光学期刊,没有投过,研究领域不同,据说审稿比较严格,但毕竟sci收录,如果你领域对,可以投。
9.光学精密工程,长春光机所主办近年来期刊排名上身很快,长光所要决定干什么,别人就别想跟人家争了。
《传感器与微系统》投稿指南汉思期刊网提供1投稿方式请通过E-mail:st_chinasensor@进行投稿。
2编辑时限审稿周期:5个工作日;刊登周期:8个月。
汉思期刊网提供快速通道3论文要求为使来稿格式符合国家科技期刊格式标准,根据常见的一些问题,特向广大作者提出以下要求:本刊主要刊登敏感元器件、传感器与微系统及其相关技术的文章。
论文应理论清楚、正确,并且有详细实测数据,应提供中、英文的题名、作者与单位、摘要、关键词、图与表题名,提供中文的中图分类号、文献标识码。
排版格式为word2003/2007均可,文中的插图望采用位图格式(扩展名为.tif),不要附加路径名,压缩时用winrar。
为方便专家审稿,除题名采用三号字外,文中(包括摘要、参考文献)采用小四号字、1. 5倍行间距;提供的图表应清晰,信息完整,函数图的坐标给出物理量中文名称和相应单位(SI单位),图题、表题采用小四号字,图表中的文字推荐采用6号宋体字(注意避免字体加粗)。
论文可不分栏。
作者联系方式附在论文后面。
3.1题名中文题名不应超过20个汉字。
并应译成相对应的英文题名,英文题名仅仅第一单词的第一字母大写。
题名中应避免使用非公知共用的缩略语。
3.2作者及工作单位1)中国作者的英译名用汉语拼音,姓氏字母均大写;名字首字母大写,双名中间加“-”。
不同工作单位的,在姓名的右上角,加注阿拉伯数字序号,中间用“,”隔开。
2)所有作者的工作单位,均应包括单位名称(院校给到系),所在省、市名及邮政编码,多作者的工作单位名称之前加与作者姓名序号相同的数字序号,中间用“;”隔开;工作单位的英译文给出全称,不能用缩写词(系名除外)。
还应在邮编之后加“,China”。
3.3摘要1)中文摘要为150~300字。
摘要的内容应包括目的、方法、实验结果和结论;综述性、评论性文章可写指示性摘要。
摘要中不应出现“本文、我们、作者”之类的词语。
2)英文摘要必须与中文摘要一一相对应,准确译出。
Instructions for the preparation of a manuscript for OSA express journalsA UTHOR O NE,1A UTHOR T WO,2,* AND A UTHOR T HREE2,31Peer Review, Publications Department, The Optical Society, 2010 Massachusetts Avenue NW, Washington, DC 20036, USA2Publications Department, The Optical Society, 2010 Massachusetts Avenue NW, Washington, DC 20036, USA3Currently with the Department of Electronic Journals, The Optical Society, 2010 Massachusetts Avenue NW, Washington, DC 20036, USAUpdated 20 July 2016. Explicit and detailed rules are given for preparing a manuscript for OSA express journals. After a general introduction and a summary of the basic requirements, specific guidelines are given for all major manuscript elements (such as abstract, headings, figures, tables, and references) to achieve optimal typographic quality. The use of complete and properly formatted references is particularly important. Adherence to these guidelines will significantly expedite the production of your paper.2016 Optical Society of AmericaOCIS codes: General; General Science.References and links (see Section 4)1.P. J. Harshman, T. K. Gustafson, and P. Kelley, “Title of paper,” J. Chem. Phys. 3, (tobe published).2.K. Gallo and G. Assanto, “All-optical diode based on second-harmonic generation in anasymmetric waveguide,” J. Opt. Soc. Am. B 16(2), 267–269 (1999).3. B. R. Masters, “Three-dimensional microscopic tomographic imagings of the cataract in ahuman lens in vivo,” Opt. Express 3(9), 332–338 (1998).4. D. Yelin, D. Oron, S. Thiberge, E. Moses, and Y. Silberberg, “Multiphoton plasmon-resonance microscopy,” Opt. Express 11(12), 1385–1391 (2003).1.IntroductionAdherence to the specifications listed in this style guide is essential for efficient review and publication of submissions.OSA accepts Word and LaTeX submissions. OSA will not publish the same Word file that authors submit for their final revisions, so it is imperative that authors carefully check the final version of their paper before paying the publication fee. OSA uses a Word plug-in to normalize, format, tag, update citations, and parse the file into full-text XML.Except for numbering and titling of sections, which may not be desirable for short articles, the express journal style and layout rules have been followed in this guide. There is a checklist available in Section 8 that summarizes the style specifications.2.Page layout and lengthPaper size should be . Letter, cm x cm in. x 11 in.). The printing area should be set to cm x cm in. x in.); margins should be set for a in.) top and bottom and in.) left and right.To maintain a rapid publication cycle, the recommended page length for an express journal article is 6 pages. Higher publication fees apply to articles 7–15 pages in length. There is an additional per-page fee for manuscripts longer than 15 pages.3.Typographical styleThe title, author listing and all headers should be in Arial font. The rest of the text and body of the article should be Times New Roman. Please see the checklist in Section 8 that summarizes all of the style specifications.TitleLeft align the title. The title should be in 16-pt. bold Arial font. Kerning should be set to 16-pt. and spacing expanded by in. Use initial cap for first word in title or for proper nouns. Use lowercase following colon. Title should not begin with an article or contain the words "first," "new" or "novel."Author nameLeft align author names in 12-pt. bold Arial font using small caps. Each express journal has its own color for the author names. Author names should appear as used for conventional publication, with first and middle names or initials followed by surname. Every effort should be made to keep author names consistent from one paper to the next as they appear within OSA publications.Author affiliationAll authors and affiliations should be styled in 9-pt. italic Times New Roman font. If all authors share one affiliation, superscript numbers are not needed. The corresponding author will have an asterisk correlating to an email address. All authors must be grouped together using superscripts to callout each affiliation. Hard returns (Enter key) must be used to separate each individual affiliation. Abbreviations should not be used. Please include the country at the end of the affiliation.A UTHOR O NE1 AND A UTHOR T WO2,*1Peer Review, Publications Department, Optical Society of America, Washington, DC 20036, USA2Publications Department, Optical Society of America, Washington, DC 20036,Option 1 for affiliation line with two email addresses (only one for the corresponding author):A UTHOR O NE1,3 AND A UTHOR T WO2,*1Peer Review, Publications Department, Optical Society of America, Washington, DC 20036, USA2Publications Department, Optical Society of America, Washington, DC 20036,Option 2 for affiliation line with two email addresses (no asterisk used to denote corresponding authorship, implying that the two email addresses share corresponding authorship equally):A UTHOR O NE1,3 AND A UTHOR T WO2,41Peer Review, Publications Department, Optical Society of America, Washington, DC 20036, USA2Publications Department, Optical Society of America, Washington, DC 20036,AbstractBegin the section with the word “Abstract:” in bold print followed by a colon. Font size should be 10-pt. and alignment double (left and right) justified.The abstract should be limited to approximately 100 words. It should be an explicit summary of the paper that states the problem, the methods used, and the major results and conclusions. It also should contain the relevant key words that would allow it to be found in a cursory computerized search. If the work of another author is cited in the abstract, that citation should be written out without a number, [., journal, volume, first page, and year (Opt. Express 22, 1234 (2014).)], and a separate citation should be included in the body of the text. The first reference cited in the main text must be [1]. Do not include numbers, bullets, or lists inside the abstract.CopyrightThe line immediately following the abstract should be in 8-pt. type.2016 Optical Society of AmericaPlease be sure to update this line with the appropriate publication year if needed. Insert a 4-pt. space above and below the copyright line.OCIS subject classificationOptics Classification and Indexing Scheme (OCIS) subject classifications should be included at the end of the abstract. OCIS codes should be provided to help with indexing. List the OCIS code in parenthesis, followed by the term spelled out; separate OCIS terms with semicolons. Each paper must contain two to six OCIS codes. Use 8-pt. type for this line. Please avoid using OCIS codes General or General science, and instead customize these codes to best represent the topics of your manuscript.can be selected during upload. Follow the link for a complete listing. OCIS codes: Birefringence; Diffraction gratingsMain textThe first line of the first paragraph of a section or subsection should start flush left. The first line of subsequent paragraphs within the section or subsection should be indented cm in.). All main text should be alignment double (left and right) justified.Section headings may be numbered consecutively and consistently throughout the paper in Arabic numbers and typed in bold. Use an initial capital letter followed by lowercase, except for proper names, abbreviations, etc. Always start headings flush left. Do not include references to the literature, illustrations, or tables in headings. Insert a 6-pt. space above and below each section heading as shown in this paper.Subsection headings may be numbered consecutively in Arabic numbers to the right of the decimal point, with the section number to the left of the decimal point as shown in this paper. Subsection headings should be in italics, with an initial capital letter followed by lowercase, except for proper names, abbreviations, etc. Start subsection headings flush left. Do not include references to the literature, illustrations, or tables in headings. Create a 6-pt. space above and below each subsection heading as shown in this paper.Numbering of section headings and subsection headings is optional but must be used consistently throughout papers in which it is applied.EquationsThe express journals do not accept equations built using the Word 2007 or 2010 Equation Builder. All display equations should be created in MathType (or the Microsoft Equation editor from Design Science). Inline equations can be created with these tools or by using keyboard and Unicode characters where needed for the best quality line spacing. We strongly encourage authors to use MathType . Note that LaTeX users can type LaTeX code directly into MathType for rendering in Word.Equations should be centered, unless they are so long that less than 1 cm will be left between the end of the equation and the equation number, in which case they may run on to the next line. Equations should have a 6-pt. space above and below the text. Equation numbers should appear at the right-hand margin, in parenthesis. For long equations, the equation number may appear on the next line. For very long equations, the right side of the equation should be broken into approximately equal parts and aligned to the right of the equal sign. The equation number should appear only at the right hand margin of the last line of the equation:(1)All equations should be numbered in the order in which they appear and should be referenced from within the main text as Eq. (1).In-line math of simple fractions should use parentheses when necessary to avoid ambiguity; for example, to distinguish between 1/(n 1) and 1/n 1. Exceptions to this are the proper fractions such as , which are better left in this form. Summations and integrals that appear within text such as()-1211-22n n n n =∞=∑ should have limits placed to the right of the symbol to reducewhite space. Use MathType, Design Science Equation Editor, or Unicode character sets for in-text and display notation wherever possible.4. References and linksReferences should appear at the top of the article, below the abstract, in the order in which they are referenced in the body of the paper (see below). The font should be 8-pt. aligned left. Lines should be single-spaced. The words “References and links ” should head the section (no number) in bold print followed by one blank line, directly above the first reference. Insert a 6-pt. space above the “References and links ” line. All references should be indented cm in), with succeeding lines indented sufficiently to preserve alignment. The references section should be delimited by horizontal rules above and below the section, separated by at least 6-pts. of white space from the text.OSA express journals use numerical notation in brackets for bibliographic citations. At the point of citation within the main text, designate the reference by typing the number in after the last corresponding word [1]. Reference numbers should precede a comma or period[2]. Two references [3,4], should be included together, separated by a comma, while three or more consecutive references should be indicated by the bounding numbers and a dash [1–4].The express journals follow the following citation style:Journal paperFor journal articles, authors are listed first, followed by the article’s full title in quotes, the journal’s title abbreviation, the volume number in bold, the issue number in Roman and parenthesis, inclusive page numbers, and the year in parentheses. Journal titles are required. Do not include DOIs in published journal citations —these will be added post-publication.1. C. van Trigt, “Vis ual system-response functions and estimating reflectance,” J. Opt.Soc. Am. A 14(4), 741–755 (1997).2. S. Yerolatsitis, I. Gris-S ánches, and T. A. Birks, “Adiabatically -tapered fiber modemultiplexers,” Opt. Express 22(1), 608–617 (2014).Journal paper identified by paper numberDo not provide the number of pages; the paper number is sufficient.3. L. Rippe, B. Julsgaard, A. Walther, Y. Ying, and S. Krll, “Experimental quantum -statetomography of a solid-state qubit,” Phys. Rev. A 77, 022307 (2008).BookFor citation of a book as a whole or book chapter, authors or editors are listed first, followed by title in italics, and publisher and year in parenthesis. Chapter number may be added if applicable.4.T. Masters, Practical Neural Network Recipes in C++ (Academic, 1993).5. F. Ladouceur and J. D. Love, Silica-Based Buried Channel Waveguides and Devices (Chapman& Hall, 1995), Chap. 8.Article in a bookFor monographs in books, authors are listed first, followed by article’s full title in quotes, the word “in,” followed by the book title in italics, the editors of the book, and the publisher and publication year in parenthesis.6. D. F. Edwards, “Silicon (Si),” in Handbook of Optical Constants of Solids, E. D. Palik,ed. (Academic, 1985).Paper in published conference proceedings7.R. E. Kalman, “Algebraic aspects of the generalized inverse of a rectangular matrix,”in Proceedings of Advanced Seminar on Generalized Inverse and Applications, M. Z. Nashed, ed. (Academic, 1976), pp. 111–124.Paper published in OSA conference proceedings8.R. Craig and B. Gignac, “High-power 980-nm pump lasers,” in Optical Fiber CommunicationConference, Vol. 2 of 1996 OSA Technical Digest Series (Optical Society of America, 1996), paper ThG1.Paper in unpublished conference proceedings9. D. Steup and J. Weinzierl, “Resonant THz-meshes,” presented at the Fourth InternationalWorkshop on THz Electronics, Erlangen-Tennenlohe, Germany, 5–6 Sept. 1996.SPIE proceedingsFor later SPIE proceedings with a paper number, cite just the paper number and not any page information.10.S. K. Griebel, M. Richardson, K. E. Devenport, and H. S. Hinton, “Experimentalperformance of an ATM-based buffered hyperplane CMOS-SEED smart pixel array,” Proc. SPIE 3005, 254–256 (1997).11.S. Gu, F. Shao, G. Jiang, F. Li, and M. Yu, “An objective visibility thresholdmeasurement method for asymmetric stereoscopic images,” Proc. SPIE 8205, 820505 (2011).IEEE proceedings12.T. Darrel and K. Wohn, “Pyramid based depth from focus,” in Proceedings of IEEEConference on Computer Vision and Pattern Recognition (IEEE, 1988), pp. 504–509.Paper accepted for publication13. D. Piao, “Cancelation of coherent artifacts in optical coherence tomography imaging,”Appl. Opt. (to be published).14. D. W. Diehl and T. D. Visser, “Phase singularities of the long itudinal field componentsin the focal region of a high-aperture optical system,” J. Opt. Soc. Am. A, doc. ID56789 (posted 11 November 2005, in press).Manuscript in preparation15.J. Q. Smith, Laboratory for Laser Energetics, University of Rochester, 250 East RiverRoad, Rochester, . 14623, and K. Marshall are preparing a manuscript to be called“Optical effects in liquid crystals.”Personal communication16.T. Miller, Publications Department, Optical Society of America, 2010 MassachusettsAvenue, ., Washington, ., 20036 (personal communication, 2010).Electronic citationsInternet links may be included as references. Internet links should list the author, title (substitute file name, if needed), and the full URL (universal resource locator). Include the date of access, if relevant.5.Extreme Networks white paper, “Virtual metropolitan area networks,”(Extreme Networks, 2001), G. Ramm, “Invisible obstacles,”supplementary materials, and tablesFiguresFigures should be included directly in the document. All photographs must be in digital form and placed appropriately in the electronic document. All illustrations must be numbered consecutively ., not by section) with Arabic numbers. The size of a figure should be commensurate with the amount and value of the information conveyed by the figure.Authors must use one image file per figure. Figures must be inserted as objects that are fixed and move with the text, not as floating objects. Figures should never be placed in a table environment, embedded inside the text, or included within a list. All the figures should be centered. No part of a figure should go beyond the typing area. Place figures as closely as possible to where they are mentioned in the text. Figures should be numbered consecutively in the order of appearance and citation in the text. Be sure to cite every figure.All figure captions should be centered beneath the figure. Longer figure captions should be centered beneath the figure and alignment double (left and right) justified, but are not to exceed the left and right edge of the figure by more than in. The abbreviation “Fig.” for figure should appear first followed by the figure number and a period. Captions should be in 8- pt. font. At least one line of space should be left before the figure and after the caption.Fig. 1. Sample figure.Supplementary materials in OSA express journalsMost OSA journals allow authors to include supplementary materials as integral parts of a manuscript. Such materials are subject to the same editorial standards and peer review procedures along with the rest of the paper and should be uploaded and described using OSA’s Prism manuscript system.Authors can submit appropriate visualizations or small data files (see details below) for OSA to host. Large datasets and code or simulation files can be included but must be placed in an appropriate archival repository and cited as described here.Table 1. Supplementary Materials Supported in OSA Journals aa Optica allows authors to include a supplemental document that can contain additional text, equations, citations, etc. (see for details). For all other OSA journals, supplemental text must be included as appendices within the primary manuscript.Video visualizations (formerly media files) are the most commonly submitted type of supplementary materials for the express journals. They typically illustrate a synopsis of research results. They are integral and as such should be included only when they convey essential information beyond what can be presented within the article's PDF representation. Video visualizations should be uploaded upon submission and peer-reviewed along with the manuscript. Video files must use open compression standards for display on broadly available applications such as VLC or Windows Media Player. MOV, AVI, MPG, and MP4 video containers are accepted. The following video guidelines will help with the submission process:1.15 MB is the recommended maximum video file size.2.720 x 480 pixels (width by height) is the recommended screensize.3.If appropriate, insert a representative frame from the video inthe manuscript as a figure.4.Minimize file size by using an acceptable codec such as x264 orXviD. is an open source tool for converting video to commoncodecs.5.Videos must be playable on all platforms using VLC.6.Animations must be formatted into a standard video container.Visualizations must be associated with a figure, table, or equation OR be referenced in the results section of the manuscript. Use the label "Visualization" and the item number to identify the visualization.Fig. 5. Three traps create three rings of magnetic nanoparticles. The ringsinteract with one another (see Visualization 3). [From Masajada et al., Opt.Lett. 38, 3910 (2013).]for more detailed instructions and other acceptable supplementary material types.TablesTables should be centered and numbered consecutively. Authors must use Word’s Table editor to insert tables. Authors must not import tables from Excel. All content for each table should be in a single Word table (do not split content for a single table across multiple Word tables). Tables should use horizontal lines to delimit the top and bottom of the table and column headings. Detailed explanations or table footnotes should be typed directly beneath the table, but not in a table cell. Table footnote labels should be text; numbers or special characters are not permitted. Position tables as closely as possible to where they are mentioned in the main text.Table 2. Optical Constants of Thin Films of Materials anm nmMaterial n K n kIrMgF2AlMoCa From Appl. Opt. 40, 1128 (2001).6.Article thumbnail uploadAuthors have the option to upload a thumbnail image that will appear next to the published article on the Issue in Progress, Current Issue, andAbstract pages. Please note that if authors do not choose a file, OSA Production Staff will choose an image from the submission. For precise representation of an article, we recommend that authors choose and upload the thumbnail image.Authors must submit a .JPG file. The image will be resized automatically to 100 x 100 pixels. For best results, authors should upload an image this size or an image with square dimensions.Fig. 3. Preview of thumbnail image display on the author submission page.7.Funding and AcknowledgmentsFunding information should be listed in a separate block preceding any acknowledgments. The sec tion title should read “Funding” in 10-pt. bold Arial font. List just the funding agencies and any associated grants or project numbers, as shown in the example below:National Science Foundation (NSF) (1253236, 0868895, 1222301); Program 973 (2014AA014402); Natural National Science Foundation of China (NSFC) (123456).OSA participates in , a service that provides a standard way to report funding sources for published scholarly research. To ensure consistency, please enter any funding agencies and contract numbers from the Funding section in Prism during submission. Update any changes to your funding information in Prism during any revision stages.Acknowledgments should be included at the end of the document. The section title should read “Acknowledgments” in 10-pt. bold Arial font. The section title should not follow the numbering scheme of the body of the paper. Please do not include any funding sources in the Acknowledgment section.8.SummaryConforming to the specifications listed above is of critical importance to the speedy publication of a manuscript. Authors should use the following style guide checklist before submitting an article.Table 3. Style guide checklist。
Attention Optics Express AuthorsOptics Express has made significant changes to its production process by creating archival-quality XML along with the PDF output. XML is the industry standard for producing and archiving scientific journal articles and is used in producing all other OSA journals. Having full-text XML will allow Optics Express to be indexed more accurately and completely in MEDLINE, PubMed Central, and other databases; it will also allow the journal to meet its archival obligations and to prepare for new services such as full-text semantic search and repurposing of content.In order to prevent delays in production, we ask that authors carefully adhere to the following new guidelines:•Word and LaTeX. OSA accepts Word and LaTeX submissions; however, we encourage authors to submit papers in MS Word. OSA will not publish the sameWord file that authors submit for their final revisions, so it is imperative that authorscarefully check the final version of their paper before paying the publication fee.OSA uses a Word plug-in called eXtyles to normalize, format, tag, and parse the fileinto full-text XML. eXtyles automatically reformats, checks, and updates thereferences against the CrossRef and PubMed databases. In addition to running otherauto-redact editing rules, eXtyles checks all reference, figure, table and equationcallouts in the text to ensure all items are cited. At this time full-text XML will begenerated from LaTeX papers after publication.•Author listing. All authors must be grouped together using superscripts to callout each affiliation. Hard returns (Enter key) must be used to separate each individualaffiliation. Soft-returns (Shift + Enter key) should be use for line breaks within asingle paragraph.•Main text. Authors must identify equations and figures in the text by inserting Fig.or Eq. before the number. All references, figures, and tables must be called out in the text.•Figures. Authors must use one image file per figure. Figures need to be inserted as objects that are fixed and move with the text, not as floating objects. Figures shouldnever be placed in a table environment.•Tables.Authors must use Word’s Table editor to insert tables. Authors must not import tables from Excel. All content for each table should be in a single Word table(do not split content for a single table across multiple Word tables).•Equations. OSA does not accept equations built using the Word 2007 Equation Builder. All equations should be created in MathType (or the Microsoft Equationeditor from Design Science). See Instructions for Users of Word 2007/DOCX fordetails. We strongly encourage authors to use MathType 6.5. Note that LaTeX userscan type LaTeX code directly into MathType for rendering in Word.Adherence to the above guidelines will significantly expedite the production of your paper.Instructions for the preparation of a manuscriptfor Optics ExpressJoseph Richardson,1,* Antoinette Wrighton,2and Jennifer Martin2,31Department of Peer Review, Optical Society of America, 2010 Massachusetts Avenue, NW, Washington, D.C. 20036,USA2Department of Editorial Services, Optical Society of America, 2010 Massachusetts Avenue, NW, Washington, D.C.20036, USA3Currently with the Department of Electronic Journals, Optical Society of America, 2010 Massachusetts Avenue, NW,Washington, D.C. 20036, USA************Abstract: Explicit and detailed rules are given for preparing a manuscriptfor Optics Express. After a general introduction and a summary of the basicrequirements, specific guidelines are given for all major manuscriptelements (such as abstract, headings, figures, tables, and references) toachieve optimal typographic quality. The use of complete and properlyformatted references is particularly important.2010 Optical Society of AmericaOCIS codes: (000.0000) General; (000.2700) General science.References and links1.P. J. Harshman, T. K. Gustafson, P. Kelley, “Title of paper,” J. Chem. Phys. 3, (to be published).2. C. van Trigt, “Visual system-response functions and estimating reflectance,” J. Opt. Soc. Am. A 14, 741-755 (1997).3.K. Gallo and G. Assanto, “All-optical diode based on second-harmonic generation in an asymmetricwaveguide,” J. Opt. Soc. B 16, 267-269 (1999).4. B. R. Masters, "Three-dimensional microscopic tomographic imagings of the cataract in a human lens invivo," Opt. Express 3, 332 (1998), /abstract.cfm?URI=OPEX-3-9-332.5. B. R. Masters, “Three-dimensional confocal microscopy of the human optic nerve in vivo,” Opt. Express 3,356 (1998), /abstract.cfm?URI=OPEX-3-10-356.1. IntroductionAdherence to the specifications listed in this style guide is essential for efficient review and publication of submissions. Since Optics Express paper are not routinely copyedited and typeset, use of the Optics Express macros and style guide is critical to providing a consistent appearance.Except for numbering and titling of sections, which may not be desirable for short articles, the Optics Express style and layout rules have been followed in this guide. Also note that there is a checklist available in Section 6 that summarizes the style specifications.2. Page layout and lengthPaper size should be U.S. Letter, 21.505 cm x 27.83 cm (8.5 in. x 11 in.). The printing area should be set to 13.28 cm x 21.54 cm (5.25 in. x 8.5 in.); margins should be set for a 2.54-cm (1 in.) top and 4.11-cm (1.625 in.) left, right, and bottom.To maintain a rapid publication cycle, the recommended page length for an Optics Express article is 6 pages. Higher publication fees apply to articles 7-15 pages in length. There is an additional fee for manuscripts longer than 15 pages.3. SoftwareOptics Express accepts Word and TeX files. OSA strongly encourages authors to submit papers in MS Word rather than in LaTeX.4. Typographical styleAll fonts for text should be some version of Times New Roman. Text should be 10-pt., the title should be 18-pt., and the affiliation and references should be 8-pt. Do not add hyphenation at the end of a line.4.1 TitleCenter the title. The title should be in 18-pt. bold font. Use initial cap for first word in title or for proper nouns. Use lowercase following colon. Title should not begin with an article or contain the words "first," "new" or "novel."4.2 Author nameCenter author names in 10-pt. bold font. Author names should appear as used for conventional publication, with first and middle names or initials followed by surname. Every effort should be made to keep author names consistent from one paper to the next as they appear within OSA publications.4.3 Author affiliationAll authors and affiliations should be styled in the following below. If all authors share one affiliation, superscript numbers are not needed. The corresponding author will have an asterisk indicating footnote. All authors must be grouped together using superscripts to callout each affiliation. Hard returns (Enter key) must be used to separate each individual affiliation. Soft-returns (Shift + Enter key) should be use for line breaks within a single paragraph. Abbreviations should not be used. Center the e-mail address of author(s) directly below the affiliation. Please include the country at the end of the affiliation.Joseph Richardson,1,* Antoinette Wrighton,2and Jennifer Martin2,31Department of Peer Review, Optical Society of America, 2010 Massachusetts Avenue, NW, Washington, D.C. 20036,USA2Department of Editorial Services, Optical Society of America, 2010 Massachusetts Avenue, NW, Washington, D.C.20036, USA3Currently with the Department of Electronic Journals, Optical Society of America, 2010 Massachusetts Avenue, NW,Washington, D.C. 20036, USA************Affiliation line with two e-mail addresses (only one for the corresponding author)Joseph Richardson,1,* Antoinette Wrighton,2,4and Jennifer Martin2,31Department of Peer Review, Optical Society of America, 2010 Massachusetts Avenue, NW, Washington, D.C. 20036,USA2Department of Editorial Services, Optical Society of America, 2010 Massachusetts Avenue, NW, Washington, D.C.20036, USA3Currently with the Department of Electronic Journals, Optical Society of America, 2010 Massachusetts Avenue, NW,Washington, D.C. 20036, USA4***********************4.4 AbstractBegin the section with the word “Abstract:” in bold print followed by a colon. Indent left and right margins 1.27 cm (0.5 in.). Font size should be 10-pt. and alignment double (left and right) justified.The abstract should be limited to approximately 100 words. It should be an explicit summary of the paper that states the problem, the methods used, and the major results and conclusions. It also should contain the relevant key words that would allow it to be found in a cursory computerized search. If the work of another author is cited in the abstract, a separate citation should be included in the body of the text. Do not include numbers, bullets, or lists inside the abstract.4.5. CopyrightThe line immediately following the abstract should be © 2007 Optical Society of Americain 9-pt. type. Indentation should match the abstract, i.e., 1.27 cm (0.5 in.). Insert a 4-pt. space above and below the copyright line. See the first page of these instructions.4.6 OCIS subject classificationOptics Classification and Indexing Scheme (OCIS) subject classifications should be included at the end of the abstract. List the OCIS code in parenthesis, followed by the term spelled out; separate OCIS terms with semicolons. Each paper must contain two to six OCIS codes. Use 8-pt. type for this line. For a complete list of OCIS codes, visit this site: /submit/ocis/OCIS codes: (260.1440) Birefringence; (050.1950) Diffraction gratings4.7 Main textThe first line of the first paragraph of a section or subsection should start flush left. The first line of subsequent paragraphs within the section or subsection should be indented 0.62 cm (0.2 in.). All main text should be alignment double (left and right) justified.Section headings may be numbered consecutively and consistently throughout the paper in Arabic numbers and typed in bold. Use an initial capital letter followed by lowercase, except for proper names, abbreviations, etc. Always start headings flush left. Do not include references to the literature, illustrations, or tables in headings. Insert a 6-pt. space above and below each section heading as shown in this paper.Subsection headings may be numbered consecutively in Arabic numbers to the right of the decimal point, with the section number to the left of the decimal point as shown in this paper. Subsection headings should be in italics, with an initial capital letter followed by lowercase, except for proper names, abbreviations, etc. Start subsection headings flush left. Do not include references to the literature, illustrations, or tables in headings. Create a 6-pt. space above and below each subsection heading as shown in this paper.Numbering of section headings and subsection headings is optional but must be used consistently throughout papers in which it is applied.4.8 EquationsOSA does not accept equations built using the Word 2007 Equation Builder. All equations should be created in MathType (or the Microsoft Equation editor from Design Science). See Instructions for Users of Word 2007/DOCX for details. We strongly encourage authors to use MathType 6.5. Note that LaTeX users can type LaTeX code directly into MathType for rendering in Word.Equations should be centered, unless they are so long that less than 1 cm will be left between the end of the equation and the equation number, in which case they may run on to the next line. Equations should have a 6-pt. space above and below the text. Equation numbers should appear at the right-hand margin, in parenthesis. For long equations, the equation number may appear on the next line. For very long equations, the right side of the equation should be broken into approximately equal parts and aligned to the right of the equal sign. The equation number should appear only at the right hand margin of the last line of the equation:(1)All equations should be numbered in the order in which they appear and should be referenced from within the main text as Eq. (1).In-line math of simple fractions should use parentheses when necessary to avoid ambiguity; for example, to distinguish between 1/(n - 1) and 1/n - 1. Exceptions to this are the proper fractions such as 12, which are better left in this form. Summations and integrals that appearwithin text such as 12n =1n =∞(n 2-2n )-1∑ should have limits placed to the right of the symbol to reduce white space. Use MS Word Equation Editor or MathType for in-text and display notation wherever possible.4.9 References and linksReferences should appear at the top of the article, below the abstract, in the order in which they are referenced in the body of the paper (see below). The font should be 8-pt. aligned left. Lines should be single-spaced. The words “References and links ” should head the section (no number) in bold print followed by one blank line, directly above the first reference. Insert a 6-pt. space above the “References and links ” line. All references should be indented 0.5 cm (0.2 in), with succeeding lines indented sufficiently to preserve alignment. The references section should be delimited by horizontal rules above and below the section, separated by at least 6-pts. of white space from the text.Optics Express uses numerical notation in brackets for bibliographic citations. At the point of citation within the main text, designate the reference by typing the number in after the last corresponding word [1]. Reference numbers should proceed a comma or period [2]. Two references [3,4], should be included together, separated by a comma, while three or more consecutive references should be indicated by the bounding numbers and a dash [1-4].Optics Express follows the following citation style:Journal paperFor journal articles, authors are listed first, followed by the article’s full title in quotes, the journal’s title abbrevia tion, the volume number in bold, inclusive page numbers, and the year in parentheses. Journal titles are required.6. C. van Trigt, “Visual system -response functions and estimating reflectance,” J. Opt. Soc. Am. A 14, 741-755 (1997).BookFor monographs in books, authors are listed first, followed by article’s full title in quotes, the word “in,” followed by the book title in italics, the editors of the book in parenthesis, the publisher, city, year.7. David F. Edwards, “Silicon (Si),” in Handbook of Optical Constants of Solids, E.D. Palik, ed. (Academic, Orlando, Fla., 1985).Chapter in a bookFor citation of a book as a whole or book chapter, authors or editors are listed first, followed by title in italics, and publisher, city, and year in parenthesis. Chapter number may be added if applicable.8. F. Ladouceur and J. D. Love, Silica-Based Buried Channel Waveguides and Devices (Chapman & Hall,1995), Chap. 8.Electronic citationsInternet links may be included as references. Internet links should list the author, title (substitute file name, if needed), and the full URL (universal resource locator). Include the date of access, if relevant:9. C. Gerry, “Remarks on the use of group theory in quantum optics,” Opt. Express 8, 76-85 (2001)./abstract.cfm?URI=OPEX-8-2-76.10.Extreme Networks white paper, “Virtual metropolitan area networks” (Extreme Networks, 2001)./technology/whitepapers/vMAN.asp.Paper in a published conference proceedings11.R. E. Kalman, “Algebraic aspects of the generalized inverse of a rectangular matrix,” in Proceedings ofAdvanced Seminar on Genralized Inverse and Applications, M. Z. Nashed, ed. (Academic, San Diego,Calif., 1976), pp. 111-124.Paper in unpublished conference proceedings12. D. Steup and J. Weinzierl, “Resonant THz-meshes,” presented at the Fourth International Worksh op onTHz Electronics, Erlangen-Tennenlohe, Germany, 5-6 Sept. 1996.For citation of proceedings, follow the individual format for SPIE, IEEE and OSA Proceedings:SPIE proceedings13.G. D. Love, C. N. Dunlop, S. Patrick, C.D. Saunter, “Horizontal turbulence m easurements usingSLODAR,” Proc. SPIE 5891, 27–32 (2005).IEEE proceedings14.T. Darrel and K. Wohn, "Pyramid based depth from focus," in Proceedings of IEEE Conference onComputer Vision and Pattern Recognition (Institute of Electrical and Electronics Engineers, New York,1988), pp. 504-509.OSA proceedings15.G. Kalogerakis, M. E. Marhic, L. G. Kazovsky, and K. K. -Y. Wong, "Transmission of OpticalCommunication Signals by Distributed Parametric Amplification," in Conference on Lasers and Electro-Optics/Quantum Electronics and Laser Science and Photonic Applications Systems Technologies,Technical Digest (CD) (Optical Society of America, 2005), paper CTuT2./abstract.cfm?URI=CLEO-2005-CTuT2Paper accepted for publication16. D. Piao, "Cancelation of coherent artifacts in optical coherence tomography imaging," Appl. Opt. (to bepublished).Manuscript in preparation17.J. Q. Smith, Laboratory for Laser Energetics, University of Rochester, 250 East River Road, Rochester,N.Y. 14623, and K. Marshall are preparing a manuscript to be called "Optical effects in liquid crystals." Personal communication18.Barbara Williams, Editorial Department, Optical Society of America, 2010 Massachusetts Avenue, N.W.,Washington, D.C., 20036 (personal communication, 2001).4.10 AcknowledgmentsAcknowledgments should be included at the end of the document. The section title should read “Acknowledgments” in 10-pt. bold font. The section title should not follow the numbering scheme of the body of the paper. The body of the section should follow the font and layout of the body of the paper (see Subsection 4.7 above). Please identify all appropriate funding sources by name and contract number in the Acknowledgment section.5. Figures, multimedia and tables5.1 FiguresFigures should be included directly in the document. All photographs must be in digital form and placed appropriately in the electronic document. All illustrations must be numbered consecutively (i.e., not by section) with Arabic numbers. The size of a figure should be commensurate with the amount and value of the information conveyed by the figure.Authors must use one image file per figure. Figures must be inserted as objects that are fixed and move with the text, not as floating objects. Figures should never be placed in a table environment.All the figures should be centered, except for small figures no wider than 2.6 in.(6.6 cm), which may be placed side by side. Place figures as closely as possible to where they are mentioned in the text. No part of a figure should go beyond the typing area. The figure should not be embedded inside the text.All figure captions should be centered beneath the figure. Longer figure captions should be centered beneath the figure and alignment double (left and right) justified, but are not to exceed the left and right edge of the figure by more than 0.5 in. The abbreviation “Fig.” for figure should appear first followed by the figure number and a period. Captions should be in 8- pt. font. At least one line of space should be left before the figure and after the caption.Fig. 1. Sample figure.5.2 MultimediaOSA accepts multimedia files—video, tabular data, static illustrations, and other types—as a part of the manuscript to be peer-reviewed and published. Multimedia files should be submitted only if they provide a more efficient or effective presentation of the information and should not be included as merely "supplemental" data.To ensure consistent presentation, broad accessibility, and long-term archiving, please follow these guidelines on presentation.Fig. 2. Single-frame excerpts from video recordings of metallic objects concealed by opaqueplastic tape. (a) Utility blade (Media 1). (b) Dentist's pick (Media 2). (c) Paper clip (Media 3).(d) Plastic/wire tie twisted into the shape of a loop (Media 4). [Sample figure adapted from Opt.Lett. 33, 440 (2008).]QuickTime Non-Streaming (.mov), AVI (.avi), and MPEG (.mpg) movies are accepted. There are a variety of software applications to aid in creating this file format. OSA accepts the following QuickTime compressor types: Video, Graphics, Animation, Motion JPEG, Cinepak, and Uncompressed/None. OSA does not accept the Indeo 5 compressor.The following multimedia guidelines will help with the submission process:• 4 MB is the recommended maximum multimedia file size.•Use one of the accepted compression codecs to minimize file sizes.•720 x 480 pixels (width by height) is the recommended screen size.•Insert a representative frame from each movie in the manuscript as a figure.•Videos must be playable using the free version of QuickTime on the Mac and PC.•Animations must be formatted into a standard video file.Authors are advised that, in general, multimedia files should be kept to a size of 4 MB or smaller. If it is essential to the scientific quality of the paper to have files that are larger than this, two different versions of such multimedia files (usually video files) must be made. One version, less than 4 MB in size, will serve as a low-resolution or truncated version for readers who have slower network connections and cannot download the larger file. The other version can be up to 15 MB in size. Multimedia files larger than 15 MB can be linked from the References section, but they will not be a reviewed part of the paper, they will not be kept at OSA, and they will not be part of the archival paper.Please refer to the online style guide for more detailed instructions on acceptable multimedia formats for audio and tabular data.5.3 TablesTables should be centered and numbered consecutively. Authors must use Word’s Table editor to insert tables. Authors must not import tables from Excel. All content for each table should be in a single Word table (do not split content for a single table across multiple Word tables). Tables should use horizontal lines to delimit the top and bottom of the table and column headings. Detailed explanations or table footnotes should be typed directly beneath the table. Position tables as closely as possible to where they are mentioned in the main text.Table 1. Optical Constants of Thin Films of Materials a83.4 nm 121.6 nmMaterial n K n kIr 1.182 0.865 1.450 1.040MgF2 1.584 0.487 1.682 0.0627Al 0.09874 0.1915 0.0424 1.137Mo 0.98 1.08 0.78 1.03C 1.16 1.29 1.85 1.10a From Appl. Opt. 40, 1128 (2001).6. Article Thumbnail UploadAuthors have the option to upload a thumbnail image that will appear next to the published article on the Forthcoming, Current Issue, and Abstract pages.Authors must submit a .JPG file. The image will be resized automatically to 100 x 100 pixels. For best results, authors should upload an image this size or an image with square dimensions.The 100 x 100 pixel image will be displayed on the article abstract page and a 50 x 50 pixel image will be displayed on the Table of Contents page.Fig. 3. Preview of thumbnail image display on the author submission page.7. SummaryConforming to the specifications listed above is of critical importance to the speedy publication of a manuscript. Authors should use the following style guide checklist before submitting an article.Table 2. Optics Express style guide checklistStandard Page Text Area: 5.25 x 8.5 in.; Margins: 1 in. top, 1.625 in. left, right & bottomIndent Alignment NotesType of Text Font Size(Points)Title 18 Center BoldAuthor Name 10 Center8 Center ItalicAuthor Affiliation &Email addressAbstract 10 0.5 in. left/right Justified Bold “Abstract:”Copyright 9 0.5 in.OCIS Codes 8 0.5 in. Bold “OCIS codes:”Main TextFirst paragraph Subsequent paragraphs 10None0.2 in.Justified The first paragraph of asection or subsection is notindented. The first line ofsubsequent paragraphs isindented 0.2 in.Section & Subsection Headings 10 None Left Insert 6-pt. space above andbelow each heading. Sectionheaders: BoldSubsection headers: ItalicEquations 10 None Center Eq. Number: right tab to endof last line of Eq., inparentheses.References and Links 8 0.2 in. Left Bold “References andlinks”. Delimit withhorizontal rules. Acknowledgments 10 None Justified Bold “Acknowledgments”Figures CenterFigure Captions 8 0.5 in left/right Justified Bold font. Long captions:indent 0.5 in. left/right. Tables 8 None CenterTable Heads 8 None Center Long heads follow tablemargins.7. ConclusionAfter proofreading, the final step in submitting a manuscript to Optics Express is to go online at /submission, type in the requested information into the Optics Express online submission system, and then upload the Word file. For further instructions, please see the Optics Express Author Information pages.。
Attention Optics Express AuthorsOptics Express has made significant changes to its production process by creating archival-quality XML along with the PDF output. XML is the industry standard for producing and archiving scientific journal articles and is used in producing all other OSA journals. Having full-text XML will allow Optics Express to be indexed more accurately and completely in MEDLINE, PubMed Central, and other databases; it will also allow the journal to meet its archival obligations and to prepare for new services such as full-text semantic search and repurposing of content.In order to prevent delays in production, we ask that authors carefully adhere to the following new guidelines:•Word and LaTeX. OSA accepts Word and LaTeX submissions; however, we encourage authors to submit papers in MS Word. OSA will not publish the sameWord file that authors submit for their final revisions, so it is imperative that authorscarefully check the final version of their paper before paying the publication fee.OSA uses a Word plug-in called eXtyles to normalize, format, tag, and parse the fileinto full-text XML. eXtyles automatically reformats, checks, and updates thereferences against the CrossRef and PubMed databases. In addition to running otherauto-redact editing rules, eXtyles checks all reference, figure, table and equationcallouts in the text to ensure all items are cited. At this time full-text XML will begenerated from LaTeX papers after publication.•Author listing. All authors must be grouped together using superscripts to callout each affiliation. Hard returns (Enter key) must be used to separate each individualaffiliation. Soft-returns (Shift + Enter key) should be use for line breaks within asingle paragraph.•Main text. Authors must identify equations and figures in the text by inserting Fig.or Eq. before the number. All references, figures, and tables must be called out in the text in the order they appear.•Figures. Authors must use one image file per figure. Figures need to be inserted as objects that are fixed and move with the text, not as floating objects. Figures shouldnever be placed in a table environment.•Tables.Authors must use Word’s Table editor to insert tables. Authors must not import tables from Excel. All content for each table should be in a single Word table(do not split content for a single table across multiple Word tables).•Equations. The Express journals not accept equations built using the Word 2007 Equation Builder. All equations should be created in MathType (or the MicrosoftEquation editor from Design Science). We strongly encourage authors to useMathType 6.7. Note that LaTeX users can type LaTeX code directly into MathTypefor rendering in Word.Adherence to the above guidelines will significantly expedite the production of your paper.Instructions for the preparation of a manuscriptfor Optics ExpressJoseph Richardson,1,* Chris Videll,2and Jennifer Martin2,31Department of Peer Review, Optical Society of America, 2010 Massachusetts Avenue, NW, Washington, D.C. 20036,USA2Department of Editorial Services, Optical Society of America, 2010 Massachusetts Avenue, NW, Washington, D.C.20036, USA3Currently with the Department of Electronic Journals, Optical Society of America, 2010 Massachusetts Avenue, NW,Washington, D.C. 20036, USA************Abstract: Explicit and detailed rules are given for preparing a manuscriptfor Optics Express. After a general introduction and a summary of the basicrequirements, specific guidelines are given for all major manuscriptelements (such as abstract, headings, figures, tables, and references) toachieve optimal typographic quality. The use of complete and properlyformatted references is particularly important.2010 Optical Society of AmericaOCIS codes: (000.0000) General; (000.2700) General science.References and links1.P. J. Harshman, T. K. Gustafson, P. Kelley, “Title of paper,” J. Chem. Phys. 3, (to be published).2. C. van Trigt, “Visual system-response functions and estimating reflectance,” J. Opt. Soc. A m. A 14, 741-755 (1997).3.K. Gallo and G. Assanto, “All-optical diode based on second-harmonic generation in an asymmetricwaveguide,” J. Opt. Soc. B 16, 267-269 (1999).4. B. R. Masters, "Three-dimensional microscopic tomographic imagings of the cataract in a human lens invivo," Opt. Express 3, 332 (1998), /abstract.cfm?URI=OPEX-3-9-332.5. B. R. Masters, “Three-dimensional confocal microscopy of the human opt ic nerve in vivo,” Opt. Express 3,356 (1998), /abstract.cfm?URI=OPEX-3-10-356.1. IntroductionAdherence to the specifications listed in this style guide is essential for efficient review and publication of submissions. Since Optics Express paper are not routinely copyedited and typeset, use of the Optics Express macros and style guide is critical to providing a consistent appearance.Except for numbering and titling of sections, which may not be desirable for short articles, the Optics Express style and layout rules have been followed in this guide. Also note that there is a checklist available in Section 6 that summarizes the style specifications.2. Page layout and lengthPaper size should be U.S. Letter, 21.505 cm x 27.83 cm (8.5 in. x 11 in.). The printing area should be set to 13.28 cm x 21.54 cm (5.25 in. x 8.5 in.); margins should be set for a 2.54-cm (1 in.) top and 4.11-cm (1.625 in.) left, right, and bottom.To maintain a rapid publication cycle, the recommended page length for an Optics Express article is 6 pages. Higher publication fees apply to articles 7-15 pages in length. There is an additional fee for manuscripts longer than 15 pages.3. SoftwareOptics Express accepts Word and TeX files.4. Typographical styleAll fonts for text should be some version of Times New Roman. Text should be 10-pt., the title should be 18-pt., and the affiliation and references should be 8-pt. Do not add hyphenation at the end of a line.4.1 TitleCenter the title. The title should be in 18-pt. bold font. Use initial cap for first word in title or for proper nouns. Use lowercase following colon. Title should not begin with an article or contain the words "first," "new" or "novel."4.2 Author nameCenter author names in 10-pt. bold font. Author names should appear as used for conventional publication, with first and middle names or initials followed by surname. Every effort should be made to keep author names consistent from one paper to the next as they appear within OSA publications.4.3 Author affiliationAll authors and affiliations should be styled in the following below. If all authors share one affiliation, superscript numbers are not needed. The corresponding author will have an asterisk indicating footnote. All authors must be grouped together using superscripts to callout each affiliation. Hard returns (Enter key) must be used to separate each individual affiliation. Soft-returns (Shift + Enter key) should be use for line breaks within a single paragraph. Abbreviations should not be used. Center the e-mail address of author(s) directly below the affiliation. Please include the country at the end of the affiliation.Joseph Richardson,1,* Antoinette Wrighton,2and Jennifer Martin2,31Department of Peer Review, Optical Society of America, 2010 Massachusetts Avenue, NW, Washington, D.C. 20036,USA2Department of Editorial Services, Optical Society of America, 2010 Massachusetts Avenue, NW, Washington, D.C.20036, USA3Currently with the Department of Electronic Journals, Optical Society of America, 2010 Massachusetts Avenue, NW,Washington, D.C. 20036, USA************Affiliation line with two e-mail addresses (only one for the corresponding author)Joseph Richardson,1,* Antoinette Wrighton,2,4and Jennifer Martin2,31Department of Peer Review, Optical Society of America, 2010 Massachusetts Avenue, NW, Washington, D.C. 20036,USA2Department of Editorial Services, Optical Society of America, 2010 Massachusetts Avenue, NW, Washington, D.C.20036, USA3Currently with the Department of Electronic Journals, Optical Society of America, 2010 Massachusetts Avenue, NW,Washington, D.C. 20036, USA4***********************4.4 AbstractBegin the section with the word “Abstract:” in bold print followed by a colon. Indent left and right margins 1.27 cm (0.5 in.). Font size should be 10-pt. and alignment double (left and right) justified.The abstract should be limited to approximately 100 words. It should be an explicit summary of the paper that states the problem, the methods used, and the major results and conclusions. It also should contain the relevant key words that would allow it to be found in a cursory computerized search. If the work of another author is cited in the abstract, a separate citation should be included in the body of the text. Do not include numbers, bullets, or lists inside the abstract.4.5. CopyrightThe line immediately following the abstract should be © 2007 Optical Society of Americain 9-pt. type. Indentation should match the abstract, i.e., 1.27 cm (0.5 in.). Insert a 4-pt. space above and below the copyright line. See the first page of these instructions.4.6 OCIS subject classificationOptics Classification and Indexing Scheme (OCIS) subject classifications should be included at the end of the abstract. List the OCIS code in parenthesis, followed by the term spelled out; separate OCIS terms with semicolons. Each paper must contain two to six OCIS codes. Use 8-pt. type for this line. For a complete list of OCIS codes, visit this site: /submit/ocis/OCIS codes: (260.1440) Birefringence; (050.1950) Diffraction gratings4.7 Main textThe first line of the first paragraph of a section or subsection should start flush left. The first line of subsequent paragraphs within the section or subsection should be indented 0.62 cm (0.2 in.). All main text should be alignment double (left and right) justified.Section headings may be numbered consecutively and consistently throughout the paper in Arabic numbers and typed in bold. Use an initial capital letter followed by lowercase, except for proper names, abbreviations, etc. Always start headings flush left. Do not include references to the literature, illustrations, or tables in headings. Insert a 6-pt. space above and below each section heading as shown in this paper.Subsection headings may be numbered consecutively in Arabic numbers to the right of the decimal point, with the section number to the left of the decimal point as shown in this paper. Subsection headings should be in italics, with an initial capital letter followed by lowercase, except for proper names, abbreviations, etc. Start subsection headings flush left. Do not include references to the literature, illustrations, or tables in headings. Create a 6-pt. space above and below each subsection heading as shown in this paper.Numbering of section headings and subsection headings is optional but must be used consistently throughout papers in which it is applied.4.8 EquationsThe Express journals do not accept equations built using the Word 2007 Equation Builder. All equations should be created in MathType (or the Microsoft Equation editor from Design Science).We strongly encourage authors to use MathType 6.7. Note that LaTeX users can type LaTeX code directly into MathType for rendering in Word.Equations should be centered,unless they are so long that less than 1 cm will be left between the end of the equation and the equation number, in which case they may run on to the next line. Equations should have a 6-pt. space above and below the text. Equation numbers should appear at the right-hand margin, in parenthesis. For long equations, the equation number may appear on the next line. For very long equations, the right side of the equation should be broken into approximately equal parts and aligned to the right of the equal sign. The equation number should appear only at the right hand margin of the last line of the equation:(1)All equations should be numbered in the order in which they appear and should be referenced from within the main text as Eq. (1).In-line math of simple fractions should use parentheses when necessary to avoid ambiguity; for example, to distinguish between 1/(n - 1) and 1/n - 1. Exceptions to this are the proper fractions such as 12, which are better left in this form. Summations and integrals that appearwithin text such as 12n =1n =∞(n 2-2n )-1∑ should have limits placed to the right of the symbol to reduce white space. Use MS Word Equation Editor or MathType for in-text and display notation wherever possible.4.9 References and linksReferences should appear at the top of the article, below the abstract, in the order in which they are referenced in the body of the paper (see below). The font should be 8-pt. aligned left. Lines should be single-spaced. The words “References and links ” should head the section (no number) in bold print followed by one blank line, directly above the first reference. Insert a 6-pt. space above the “References and links ” line. All references should be indented 0.5 cm (0.2 in), with succeeding lines indented sufficiently to preserve alignment. The references section should be delimited by horizontal rules above and below the section, separated by at least 6-pts. of white space from the text.Optics Express uses numerical notation in brackets for bibliographic citations. At the point of citation within the main text, designate the reference by typing the number in after the last corresponding word [1]. Reference numbers should proceed a comma or period [2]. Two references [3,4], should be included together, separated by a comma, while three or more consecutive references should be indicated by the bounding numbers and a dash [1-4].Optics Express follows the following citation style:Journal paperFor journal articles, authors are listed first, followed by the article’s full title in quotes, the journal’s title abbreviation, the volume number in bold, inclusive page numbers, and the year in parentheses. Journal titles are required.6. C. van Trigt, “Visual system -response functions and estimating reflectance,” J. Opt. Soc. Am. A 14, 741-755 (1997).BookFor monographs in books, authors are listed first, followed by ar ticle’s full title in quotes, the word “in,” followed by the book title in italics, the editors of the book in parenthesis, the publisher, city, year.7. David F. Edwards, “Silicon (Si),” in Handbook of Optical Constants of Solids, E.D. Palik, ed. (Academic, Orlando, Fla., 1985).Chapter in a bookFor citation of a book as a whole or book chapter, authors or editors are listed first, followed by title in italics, and publisher, city, and year in parenthesis. Chapter number may be added if applicable.8. F. Ladouceur and J. D. Love, Silica-Based Buried Channel Waveguides and Devices (Chapman & Hall,1995), Chap. 8.Electronic citationsInternet links may be included as references. Internet links should list the author, title (substitute file name, if needed), and the full URL (universal resource locator). Include the date of access, if relevant:9. C. Gerry, “Remarks on the use of group theory in quantum optics,” Opt. Express 8, 76-85 (2001)./abstract.cfm?URI=OPEX-8-2-76.10.Extreme Networks white paper, “Virtual metropolitan area networks” (Extreme Networks, 2001)./technology/whitepapers/vMAN.asp.Paper in a published conference proceedings11.R. E. Kalman, “Algebraic aspects of the generalized inverse of a rectangular matrix,” in Proceedings ofAdvanced Seminar on Genralized Inverse and Applications, M. Z. Nashed, ed. (Academic, San Diego,Calif., 1976), pp. 111-124.Paper in unpublished conference proceedings12. D. Steup and J. Weinzierl, “Resonant THz-meshes,” presented at the Fourth International Workshop onTHz Electronics, Erlangen-Tennenlohe, Germany, 5-6 Sept. 1996.For citation of proceedings, follow the individual format for SPIE, IEEE and OSA Proceedings:SPIE proceedings13.G. D. Love, C. N. Dunlop, S. Patrick, C.D. Saunter, “Horizontal turbulence measurements usingSLODAR,” Proc. SPIE 5891, 27–32 (2005).IEEE proceedings14.T. Darrel and K. Wohn, "Pyramid based depth from focus," in Proceedings of IEEE Conference onComputer Vision and Pattern Recognition (Institute of Electrical and Electronics Engineers, New York,1988), pp. 504-509.OSA proceedings15.G. Kalogerakis, M. E. Marhic, L. G. Kazovsky, and K. K. -Y. Wong, "Transmission of OpticalCommunication Signals by Distributed Parametric Amplification," in Conference on Lasers and Electro-Optics/Quantum Electronics and Laser Science and Photonic Applications Systems Technologies,Technical Digest (CD) (Optical Society of America, 2005), paper CTuT2./abstract.cfm?URI=CLEO-2005-CTuT2Paper accepted for publication16. D. Piao, "Cancelation of coherent artifacts in optical coherence tomography imaging," Appl. Opt. (to bepublished).Manuscript in preparation17.J. Q. Smith, Laboratory for Laser Energetics, University of Rochester, 250 East River Road, Rochester,N.Y. 14623, and K. Marshall are preparing a manuscript to be called "Optical effects in liquid crystals." Personal communication18.Barbara Williams, Editorial Department, Optical Society of America, 2010 Massachusetts Avenue, N.W.,Washington, D.C., 20036 (personal communication, 2001).4.10 AcknowledgmentsAcknowledgments should be included at the end of the document. The section title should read “Acknowledgments” in 10-pt. bold font. The section title should not follow the numbering scheme of the body of the paper. The body of the section should follow the font and layout of the body of the paper (see Subsection 4.7 above). Please identify all appropriate funding sources by name and contract number in the Acknowledgment section.5. Figures, multimedia and tables5.1 FiguresFigures should be included directly in the document. All photographs must be in digital form and placed appropriately in the electronic document. All illustrations must be numbered consecutively (i.e., not by section) with Arabic numbers. The size of a figure should be commensurate with the amount and value of the information conveyed by the figure.Authors must use one image file per figure. Figures must be inserted as objects that are fixed and move with the text, not as floating objects. Figures should never be placed in a table environment.All the figures should be centered, except for small figures no wider than 2.6 in.(6.6 cm), which may be placed side by side. Place figures as closely as possible to where they are mentioned in the text. No part of a figure should go beyond the typing area. The figure should not be embedded inside the text.All figure captions should be centered beneath the figure. Longer figure captions should be centered beneath the figure and alignment double (left and right) justified, but are not to exceed the left and right edge of the figure by more than 0.5 in. The abbreviation “Fig.” for figure should appear first followed by the figure number and a period. Captions should be in 8- pt. font. At least one line of space should be left before the figure and after the caption.Fig. 1. Sample figure.5.2 MultimediaOSA accepts multimedia files—video, tabular data, static illustrations, and other types—as a part of the manuscript to be peer-reviewed and published. Multimedia files should be submitted only if they provide a more efficient or effective presentation of the information and should not be included as merely "supplemental" data.To ensure consistent presentation, broad accessibility, and long-term archiving, please follow these guidelines on presentation.Fig. 2. Single-frame excerpts from video recordings of metallic objects concealed by opaqueplastic tape. (a) Utility blade (Media 1). (b) Dentist's pick (Media 2). (c) Paper clip (Media 3).(d) Plastic/wire tie twisted into the shape of a loop (Media 4). [Sample figure adapted from Opt.Lett. 33, 440 (2008).]QuickTime Non-Streaming (.mov), AVI (.avi), and MPEG (.mpg) movies are accepted. There are a variety of software applications to aid in creating this file format. OSA accepts the following QuickTime compressor types: Video, Graphics, Animation, Motion JPEG, Cinepak, and Uncompressed/None. OSA does not accept the Indeo 5 compressor.The following multimedia guidelines will help with the submission process:• 4 MB is the recommended maximum multimedia file size.•Use one of the accepted compression codecs to minimize file sizes.•720 x 480 pixels (width by height) is the recommended screen size.•Insert a representative frame from each movie in the manuscript as a figure.•Videos must be playable using the free version of QuickTime on the Mac and PC.•Animations must be formatted into a standard video file.Authors are advised that, in general, multimedia files should be kept to a size of 4 MB or smaller. If it is essential to the scientific quality of the paper to have files that are larger than this, two different versions of such multimedia files (usually video files) must be made. One version, less than 4 MB in size, will serve as a low-resolution or truncated version for readers who have slower network connections and cannot download the larger file. The other version can be up to 15 MB in size. Multimedia files larger than 15 MB can be linked from the References section, but they will not be a reviewed part of the paper, they will not be kept at OSA, and they will not be part of the archival paper.Please refer to the online style guide for more detailed instructions on acceptable multimedia formats for audio and tabular data.5.3 TablesTables should be centered and numbered consecutively. Authors must use Word’s Table editor to insert tables. Authors must not import tables from Excel. All content for each table should be in a single Word table (do not split content for a single table across multiple Word tables). Tables should use horizontal lines to delimit the top and bottom of the table and column headings. Detailed explanations or table footnotes should be typed directly beneath the table. Position tables as closely as possible to where they are mentioned in the main text.Table 1. Optical Constants of Thin Films of Materials a83.4 nm 121.6 nmMaterial n K n kIr 1.182 0.865 1.450 1.040MgF2 1.584 0.487 1.682 0.0627Al 0.09874 0.1915 0.0424 1.137Mo 0.98 1.08 0.78 1.03C 1.16 1.29 1.85 1.10a From Appl. Opt. 40, 1128 (2001).6. Article Thumbnail UploadAuthors have the option to upload a thumbnail image that will appear next to the published article on the Forthcoming, Current Issue, and Abstract pages.Authors must submit a .JPG file. The image will be resized automatically to 100 x 100 pixels. For best results, authors should upload an image this size or an image with square dimensions.The 100 x 100 pixel image will be displayed on the article abstract page and a 50 x 50 pixel image will be displayed on the Table of Contents page.Fig. 3. Preview of thumbnail image display on the author submission page.7. SummaryConforming to the specifications listed above is of critical importance to the speedy publication of a manuscript. Authors should use the following style guide checklist before submitting an article.Table 2. Optics Express style guide checklistStandard Page Text Area: 5.25 x 8.5 in.; Margins: 1 in. top, 1.625 in. left, right & bottomIndent Alignment NotesType of Text Font Size(Points)Title 18 Center BoldAuthor Name 10 Center8 Center ItalicAuthor Affiliation &Email addressAbstract 10 0.5 in. left/right Justified Bold “Abstract:”Copyright 9 0.5 in.OCIS Codes 8 0.5 in. Bold “OCIS codes:”Main TextFirst paragraph Subsequent paragraphs 10None0.2 in.Justified The first paragraph of asection or subsection is notindented. The first line ofsubsequent paragraphs isindented 0.2 in.Section & Subsection Headings 10 None Left Insert 6-pt. space above andbelow each heading. Sectionheaders: BoldSubsection headers: ItalicEquations 10 None Center Eq. Number: right tab to endof last line of Eq., inparentheses.References and Links 8 0.2 in. Left Bold “Refere nces andlinks”. Delimit withhorizontal rules. Acknowledgments 10 None Justified Bold “Acknowledgments”Figures CenterFigure Captions 8 0.5 in left/right Justified Bold font. Long captions:indent 0.5 in. left/right. Tables 8 None CenterTable Heads 8 None Center Long heads follow tablemargins.7. ConclusionAfter proofreading, the final step in submitting a manuscript to Optics Express is to go online at /submission, type in the requested information into the Optics Express online submission system, and then upload the Word file. For further instructions, please see the Optics Express Author Information pages.。
Optics Express review criteria; introducing the novelty and impact statementAndrew M. Weiner and James R. LegerAbstract: In an effort to maintain and improve the quality and importanceof papers published, Optics Express has refined its review criteria andinstituted a required novelty and impact statement.©2015 Optical Society of AmericaOCIS codes: (000.1200) Announcements, awards, news, and organizational activities;(000.5360) Physics literature and publications.Optics Express has updated its review criteria, with modifications both to the substance and the look and feel of the review forms. The goals are to improve the reviewer experience, to obtain more informative reviewer reports to guide manuscript decisions, and in the long run to enhance the quality and stature of Optics Express.The biggest change is that Optics Express submissions now require a brief statement (less than 200 words, excluding references) explaining the novelty, potential impact and relevance of this submission and clearly stating why the paper is suitable for publication in Optics Express. This statement will not be included in the final publication but will be provided to the reviewers, who will be encouraged to comment on the novelty and impact of the submission. The intent is to aid reviewers and editors in assessing a paper’s novelty and significance by placing the work in the broader context of the existing literature and the authors’ previous contributions.Of course, a proper introduction to a journal article, or even an abstract, should also cover novelty and impact. However, we believe there are still important reasons to call these out in a separate novelty and impact statement. Authors will be compelled to address overlap with previous work (both from their group and others). The novelty and impact statement requirement will encourage authors to carefully consider novelty and impact when preparing their manuscript. Finally, reviewers will have access to a succinct distillation that specifically addresses novelty and impact, attributes we hope they will highlight when making their assessment.Reviewers of papers submitted to Optics Express will be asked to consider four specific attributes: fit with the technical scope of the journal, novelty and impact, technical content, and presentation quality. Below we outline review criteria for each of the four attributes. Our hope is that by publicizing these guidelines, we will provide useful instruction to current and prospective authors.Technical scopeOptics Express provides rapid publication of articles that emphasize scientific and technology innovations in all aspects of optics and photonics. Papers that potentially fall outside the scope of the journal include those where optics, although perhaps present, is not central to the theme of the article. Possible questions to ask for determining scope include: (1) Is the innovation of the paper strongly connected to optics and photonics, where we interpret “optics” to mean involving light or other forms of electromagnetic radiation? (2) Would I search for this topic in Optics Express, or would I start with other journals? (3) Has this topic traditionally had a home in Optics Express or other journals with similar scope? (4) Are the important bibliographic references connected to the optics literature?#252077 Received 15 Oct 2015; published 19 Oct 2015 © 2015 OSA 2 Nov 2015 | Vol. 23, No. 22 | DOI:10.1364/OE.23.028106 | OPTICS EXPRESS 28106Novelty and impactOptics Express emphasizes both novelty and impact in its publications. In addition to describing new work, novel papers must contain new information that has the potential to significantly impact the field of optics. Reviewers are asked to read the authors’ novelty and impact statement to assess this aspect of the paper. Possible questions to address include: (1) Did you learn anything new or surprising from reading the paper? (2) Is the novelty described in the “Author novelty and impact statement” significant compared to past work or simply incremental? (3) Does the paper itself present novel results, enable new applications, solve important problems, or provide new theoretical insight? (4) How likely is this paper to make a major impact on future research?Technical contentPossible questions to address include: (1) Is the paper free from technical errors? (2) Are the conclusions supported by the data presented? (3) Is the work placed in proper context? (4) Is prior or related work adequately referenced?Presentation qualityPossible questions to address include: (1) Does the title clearly define the subject matter and is it free from poorly defined acronyms? (2) Does the abstract serve as a stand-alone document that succinctly describes both the procedures and conclusions? (3) Does the article present the subject in a way that an informed reader can understand the content? (4) Are the figures, tables, captions, and multimedia content understandable, readable, and useful? (5) Is the quality of English appropriate for an archival journal?This updated review criteria and the new requirement for Optics Express authors to provide a novelty and impact statement are effective immediately. Authors and reviewers who have questions about these changes may contact Optics Express at opex@. The Optics Express editorial board thanks the authors and reviewers who support the journal with high-quality submissions and constructive review reports.Andrew M. WeinerEditor-in-Chief, Optics ExpressPurdue UniversityJames R. LegerSenior Deputy Editor, Optics ExpressUniversity of Minnesota#252077 Received 15 Oct 2015; published 19 Oct 2015 © 2015 OSA 2 Nov 2015 | Vol. 23, No. 22 | DOI:10.1364/OE.23.028106 | OPTICS EXPRESS 28107。
投稿须知:1、文章由中文题目\作者姓名及单位\中文摘要\中文关键词(3-5个)\\英文题目\作者英文姓名及单位\英文摘要\英文关键词\正文\参考文献和作者简介(作者简介包括姓名,出生年,性别,学历或职称,主要研究方向)组成。
2、论文题目不宜过长,不能超过20字,应使读者一目了然地了解论文的中心内容,论文内容字数控制在6000字左右(包括图)。
3、英文名用拼音写并规范为:姓在前,名在后,中间用空格分开;姓和名的首字母均应大写,例如:Zhang Dawei。
4、作者单位应写可以对外公开的全称,并加邮政编码;若几位作者的单位或地址不同,应在作者姓名后用上标注明。
5、摘要既应概括全文,又要简明扼要,内容一般包括研究目的或背景、所用方法、研究结果或结论等。
中英文摘要应在150~200字范围内,详细要求参见《摘要写作要求》。
另外,英文摘要不应是中文摘要的简单翻译,应考虑国外读者的语言习惯。
6、文中图表应有自明性,且随文出现,以用Visio, MATLAB, LabVIEW等软件绘制生成并直接剪贴到Word文件中的矢量图为佳,图中的文字须标明清楚,表格采用三线表。
7、文中使用的名词术语、符号、计量单位要前后一致,符合国家有关标准(SI单位)。
8、文中引用的参考文献应是正式出版的期刊、图书、会议论文集等。
参考文献按文中出现的先后次序排序,并在正文引用处用上标标明序号。
不同类型的参考文献标注格式为:引用期刊,格式为“作者名.文献题名[J].期刊名,年,卷(期):起止页码”;引用专著[M]、论文集[C]、学位论文[D]、报告[R],内容应注明“作者名.文献题名[文献类型标识].出版地:出版者,出版年.起止页码”;引用联机网上数据库[DB/OL]、网上期刊[J-OL]、网上电子公告[EB/OL]、光盘图书[M/CD]等电子文献,内容应注明“作者名.电子文献题名[电子文献及载体类型标识].电子文献的出处或可获得地址,发表或更新日期/引用日期”;引用互联网上信息,内容应注明“下载标识.下载文件网址.下载日期等”。
Optics Express是光学领域内的一本国际学术期刊,该期刊由Optical Society of America出版,主要刊载与光学相关的原创性研究论文,涵盖了光学物理、光学工程、光电子学和激光技术等多个学科领域。
本文将从Optics Express的参考文献格式入手,逐步介绍光学领域中学术论文中参考文献的格式要求和注意事项。
一、期刊文章的参考文献格式期刊文章是学术研究中常见的文献类型,其参考文献的格式一般包括作者、文章题目、期刊名称、卷号、期号、页码和出版年份等信息。
对于Optics Express期刊文章的参考文献,通常按照以下格式来书写:[1] 作者1, 作者2. 文章题目. 期刊名称, 年份, 卷号(期号), 页码.例如:[1] Smith J, Johnson L. A study of optical materials. Optics Express, 2018, 26(5), 123-135.在编写期刊文章的参考文献时,需要注意以下几点:1. 作者尊称的书写应按照“姓氏+名字”的格式,多个作者之间使用逗号分隔;2. 文章题目应使用斜体字,并在句末使用句号;3. 期刊名称应列出完整的刊名,并使用斜体字;4. 年份、卷号、期号和页码应按照特定的格式书写,并在逗号后留一个空格。
二、会议论文的参考文献格式光学领域中的研究成果通常还会在国际学术会议上进行发布,因此会议论文也是重要的参考文献来源。
对于Optics Express期刊中刊载的会议论文,其参考文献格式通常为:[2] 作者1, 作者2. 文章题目. 会议名称, 会议地点, 页码, 年份.例如:[2] Brown A, White B. Innovations in optical design. Proc. SPIE 11205, 34th International Conference on Optics, San Francisco, CA, United States, 11205A-1-11205A-8, 2019.在编写会议论文的参考文献时,同样需要遵循作者尊称、文章题目、会议名称、会议地点、页码和年份等要素的书写规范,并且对会议名称等信息使用斜体字。
Instructions for the preparation of a manuscript for OSA express journalsA UTHOR O NE,1A UTHOR T WO,2,* AND A UTHOR T HREE2,31Peer Review, Publications Department, The Optical Society, 2010 Massachusetts Avenue NW, Washington, DC 20036, USA2Publications Department, The Optical Society, 2010 Massachusetts Avenue NW, Washington, DC 20036, USA3Currently with the Department of Electronic Journals, The Optical Society, 2010 Massachusetts Avenue NW, Washington, DC 20036, USA*************https://Abstract:Updated 20 July 2016. Explicit and detailed rules are given for preparing a manuscript for OSA express journals. After a general introduction and a summary of the basic requirements, specific guidelines are given for all major manuscript elements (such as abstract, headings, figures, tables, and references) to achieve optimal typographic quality. The use of complete and properly formatted references is particularly important. Adherence to these guidelines will significantly expedite the production of your paper.© 2016 Optical Society of AmericaOCIS codes: (000.0000) General; (000.2700) General Science.References and links (see Section 4)1.P. J. Harshman, T. K. Gustafson, and P. Kelley, “Title of paper,” J. Chem. Phys. 3, (to be published).2.K. Gallo and G. Assanto, “All-optical diode based on second-harmonic generation in an asymmetricwaveguide,” J. Opt. Soc. Am. B 16(2), 267–269 (1999).3. B. R. Masters, “Three-dimensional microscopic tomographic imagin gs of the cataract in a human lens in vivo,”Opt. Express 3(9), 332–338 (1998).4. D. Yelin, D. Oron, S. Thiberge, E. Moses, and Y. Silberberg, “Multiphoton plasmon-resonance microscopy,”Opt. Express 11(12), 1385–1391 (2003).1. IntroductionAdherence to the specifications listed in this style guide is essential for efficient review and publication of submissions.OSA accepts Word and LaTeX submissions. OSA will not publish the same Word file that authors submit for their final revisions, so it is imperative that authors carefully check the final version of their paper before paying the publication fee. OSA uses a Word plug-in to normalize, format, tag, update citations, and parse the file into full-text XML.Except for numbering and titling of sections, which may not be desirable for short articles, the express journal style and layout rules have been followed in this guide. There is a checklist available in Section 8 that summarizes the style specifications.2. Page layout and lengthPaper size should be U.S. Letter, 21.505 cm x 27.83 cm (8.5 in. x 11 in.). The printing area should be set to 13.28 cm x 21.54 cm (5.25 in. x 8.5 in.); margins should be set for a 3.3-cm (1.3 in.) top and bottom and 4.11-cm (1.625 in.) left and right.To maintain a rapid publication cycle, the recommended page length for an express journal article is 6 pages. Higher publication fees apply to articles 7–15 pages in length. There is an additional per-page fee for manuscripts longer than 15 pages.3. Typographical styleThe title, author listing and all headers should be in Arial font. The rest of the text and body of the article should be Times New Roman. Please see the checklist in Section 8 that summarizes all of the style specifications.3.1 TitleLeft align the title. The title should be in 16-pt. bold Arial font. Kerning should be set to 16-pt. and spacing expanded by 0.5 in. Use initial cap for first word in title or for proper nouns. Use lowercase following colon. Title should not begin with an article or contain the words "first," "new" or "novel."3.2 Author nameLeft align author names in 12-pt. bold Arial font using small caps. Each express journal has its own color for the author names. Author names should appear as used for conventional publication, with first and middle names or initials followed by surname. Every effort should be made to keep author names consistent from one paper to the next as they appear within OSA publications.3.3 Author affiliationAll authors and affiliations should be styled in 9-pt. italic Times New Roman font. If all authors share one affiliation, superscript numbers are not needed. The corresponding author will have an asterisk correlating to an email address. All authors must be grouped together using superscripts to callout each affiliation. Hard returns (Enter key) must be used to separate each individual affiliation. Abbreviations should not be used. Please include the country at the end of the affiliation.A UTHOR O NE1 AND A UTHOR T WO2,*1Peer Review, Publications Department, Optical Society of America, Washington, DC 20036, USA2Publications Department, Optical Society of America, Washington, DC 20036, USA*************Option 1 for affiliation line with two email addresses (only one for the corresponding author):A UTHOR O NE1,3 AND A UTHOR T WO2,*1Peer Review, Publications Department, Optical Society of America, Washington, DC 20036, USA2Publications Department, Optical Society of America, Washington, DC 20036, USA3************************Option 2 for affiliation line with two email addresses (no asterisk used to denote corresponding authorship, implying that the two email addresses share corresponding authorship equally):A UTHOR O NE1,3 AND A UTHOR T WO2,41Peer Review, Publications Department, Optical Society of America, Washington, DC 20036, USA2Publications Department, Optical Society of America, Washington, DC 20036, USA3***********4************4.4 AbstractBegin the section with the word “Abstract:” in bold print followed by a colon. Font size should be 10-pt. and alignment double (left and right) justified.The abstract should be limited to approximately 100 words. It should be an explicit summary of the paper that states the problem, the methods used, and the major results and conclusions. It also should contain the relevant key words that would allow it to be found in a cursory computerized search. If the work of another author is cited in the abstract, that citation should be written out without a number, [e.g., journal, volume, first page, and year (Opt. Express 22, 1234 (2014).)], and a separate citation should be included in the body of the text. The first reference cited in the main text must be [1]. Do not include numbers, bullets, or lists inside the abstract.3.4 CopyrightThe line immediately following the abstract should be in 8-pt. type.© 2016 Optical Society of AmericaPlease be sure to update this line with the appropriate publication year if needed. Insert a 4-pt. space above and below the copyright line.3.5 OCIS subject classificationOptics Classification and Indexing Scheme (OCIS) subject classifications should be included at the end of the abstract. OCIS codes should be provided to help with indexing. List the OCIS code in parenthesis, followed by the term spelled out; separate OCIS terms with semicolons. Each paper must contain two to six OCIS codes. Use 8-pt. type for this line. Please avoid using OCIS codes (000.0000) General or (000.2700) General science, and instead customize these codes to best represent the topics of your manuscript.OCIS codes can be selected during upload. Follow the link for a complete listing.OCIS codes: (260.1440) Birefringence; (050.1950) Diffraction gratings3.6 Main textThe first line of the first paragraph of a section or subsection should start flush left. The first line of subsequent paragraphs within the section or subsection should be indented 0.62 cm (0.2 in.). All main text should be alignment double (left and right) justified.Section headings may be numbered consecutively and consistently throughout the paper in Arabic numbers and typed in bold. Use an initial capital letter followed by lowercase, except for proper names, abbreviations, etc. Always start headings flush left. Do not include references to the literature, illustrations, or tables in headings. Insert a 6-pt. space above and below each section heading as shown in this paper.Subsection headings may be numbered consecutively in Arabic numbers to the right of the decimal point, with the section number to the left of the decimal point as shown in this paper. Subsection headings should be in italics, with an initial capital letter followed by lowercase, except for proper names, abbreviations, etc. Start subsection headings flush left. Do not include references to the literature, illustrations, or tables in headings. Create a 6-pt. space above and below each subsection heading as shown in this paper.Numbering of section headings and subsection headings is optional but must be used consistently throughout papers in which it is applied.3.7 EquationsThe express journals do not accept equations built using the Word 2007 or 2010 Equation Builder. All display equations should be created in MathType (or the Microsoft Equation editor from Design Science). Inline equations can be created with these tools or by using keyboard and Unicode characters where needed for the best quality line spacing. We stronglyencourage authors to use MathType 6.7. Note that LaTeX users can type LaTeX code directly into MathType for rendering in Word.Equations should be centered, unless they are so long that less than 1 cm will be left between the end of the equation and the equation number, in which case they may run on to the next line. Equations should have a 6-pt. space above and below the text. Equation numbers should appear at the right-hand margin, in parenthesis. For long equations, the equation number may appear on the next line. For very long equations, the right side of the equation should be broken into approximately equal parts and aligned to the right of the equal sign. The equation number should appear only at the right hand margin of the last line of the equation:(1) All equations should be numbered in the order in which they appear and should be referenced from within the main text as Eq. (1).In-line math of simple fractions should use parentheses when necessary to avoid ambiguity; for example, to distinguish between 1/(n - 1) and 1/n - 1. Exceptions to this are the proper fractions such as ½, which are better left in this form. Summations and integrals that appear within text such as ()-1211-22n n n n =∞=∑ should have limits placed to the right of the symbol to reduce white space. Use MathType, Design Science Equation Editor, or Unicode character sets for in-text and display notation wherever possible.4. References and linksReferences should appear at the top of the article, below the abstract, in the order in which they are referenced in the body of the paper (see below). The font should be 8-pt. aligned left. Lines should be single-spaced. The words “References and links ” should head the section (no number) in bold print followed by one blank line, directly above the first reference. Insert a 6-pt. space above the “References and links ” line. All references should be indented 0.5 cm (0.2 in), with succeeding lines indented sufficiently to preserve alignment. The references section should be delimited by horizontal rules above and below the section, separated by at least 6-pts. of white space from the text.OSA express journals use numerical notation in brackets for bibliographic citations. At the point of citation within the main text, designate the reference by typing the number in after the last corresponding word [1]. Reference numbers should precede a comma or period[2]. Two references [3,4], should be included together, separated by a comma, while three or more consecutive references should be indicated by the bounding numbers and a dash [1–4]. The express journals follow the following citation style:Journal paperFor journal articles, authors are listed first, followed by the article’s full title in q uotes, the journal’s title abbreviation, the volume number in bold, the issue number in Roman and parenthesis, inclusive page numbers, and the year in parentheses. Journal titles are required. Do not include DOIs in published journal citations —these will be added post-publication. 1.C. van Trigt, “Visual system -response functions and estimating reflectance,” J. Opt. Soc. Am. A 14(4), 741–755 (1997). 2. S. Yerolatsitis, I. Gris-Sánches, and T. A. Birks, “Adiabatically -tapered fiber mode multiplexers,” Opt. Expres s22(1), 608–617 (2014).Journal paper identified by paper numberDo not provide the number of pages; the paper number is sufficient.3.L. Rippe, B. Julsgaard, A. Walther, Y. Ying, and S. Kröll, “Experimental quantum-state tomography of a solid-state qubit,” Phys. Rev. A 77, 022307 (2008).BookFor citation of a book as a whole or book chapter, authors or editors are listed first, followed by title in italics, and publisher and year in parenthesis. Chapter number may be added if applicable.4.T. Masters, Practical Neural Network Recipes in C++ (Academic, 1993).5. F. Ladouceur and J. D. Love, Silica-Based Buried Channel Waveguides and Devices (Chapman & Hall, 1995),Chap. 8.Article in a bookFor mono graphs in books, authors are listed first, followed by article’s full title in quotes, the word “in,” followed by the book title in italics, the editors of the book, and the publisher and publication year in parenthesis.6. D. F. Edwards, “Silicon (Si),” in Handbook of Optical Constants of Solids, E. D. Palik, ed. (Academic, 1985). Paper in published conference proceedings7.R. E. Kalman, “Algebraic aspects of the generalized inverse of a rectangular matrix,” in Proceedings ofAdvanced Seminar on Generalized Inverse and Applications, M. Z. Nashed, ed. (Academic, 1976), pp. 111–124. Paper published in OSA conference proceedings8.R. Craig and B. Gignac, “High-power 980-nm pump lasers,” in Optical Fiber Communication Conference, Vol.2 of 1996 OSA Technical Digest Series (Optical Society of America, 1996), paper ThG1.Paper in unpublished conference proceedings9. D. Steup and J. Weinzierl, “Resonant THz-meshes,” presented at the Fourth International Workshop on THzElectronics, Erlangen-Tennenlohe, Germany, 5–6 Sept. 1996.SPIE proceedingsFor later SPIE proceedings with a paper number, cite just the paper number and not any page information.10.S. K. Griebel, M. Richardson, K. E. Devenport, and H. S. Hinton, “Experimental performance of an ATM-based buffered hyperplane CMOS-SEED smart pixel array,” Proc. SPIE 3005, 254–256 (1997).11.S. Gu, F. Shao, G. Jiang, F. Li, and M. Yu, “An objective visibility threshold measurement method forasymmetri c stereoscopic images,” Proc. SPIE 8205, 820505 (2011).IEEE proceedings12.T. Darrel and K. Wohn, “Pyramid based depth from focus,” in Proceedings of IEEE Conference on ComputerVision and Pattern Recognition (IEEE, 1988), pp. 504–509.Paper accepted for publication13. D. Piao, “Cancelation of coherent artifacts in optical coherence tomography imaging,” Appl. Opt. (to bepublished).14. D. W. Diehl and T. D. Visser, “Phase singularities of the longitudinal field components in the focal region of ahigh-aperture opti cal system,” J. Opt. Soc. Am. A, doc. ID 56789 (posted 11 November 2005, in press). Manuscript in preparation15.J. Q. Smith, Laboratory for Laser Energetics, University of Rochester, 250 East River Road, Rochester, N.Y.14623, and K. Marshall are preparing a manuscript to be called “Optical effects in liquid crystals.”Personal communication16.T. Miller, Publications Department, Optical Society of America, 2010 Massachusetts Avenue, N.W.,Washington, D.C., 20036 (personal communication, 2010).Electronic citationsInternet links may be included as references. Internet links should list the author, title (substitute file name, if needed), and the full URL (universal resource locator). Include the date of access, if relevant.17.Extreme Networks white paper, “Virtual metropolitan area networks,” (Extreme Networks, 2001),/technology/whitepapers/vMAN.asp.18. A. G. Ramm, “Invisible obstacles,” /abs/math-ph/0608034.5. Figures, supplementary materials, and tables5.1 FiguresFigures should be included directly in the document. All photographs must be in digital form and placed appropriately in the electronic document. All illustrations must be numbered consecutively (i.e., not by section) with Arabic numbers. The size of a figure should be commensurate with the amount and value of the information conveyed by the figure.Authors must use one image file per figure. Figures must be inserted as objects that are fixed and move with the text, not as floating objects. Figures should never be placed in a table environment, embedded inside the text, or included within a list. All the figures should be centered. No part of a figure should go beyond the typing area. Place figures as closely as possible to where they are mentioned in the text. Figures should be numbered consecutively in the order of appearance and citation in the text. Be sure to cite every figure.All figure captions should be centered beneath the figure. Longer figure captions should be centered beneath the figure and alignment double (left and right) justified, but are not to exceed the left and right edge of the figure by more than 0.5 in. The abbreviation “Fig.” for figure should appear first followed by the figure number and a period. Captions should be in 8- pt. font. At least one line of space should be left before the figure and after the caption.Fig. 1. Sample figure.5.2 Supplementary materials in OSA express journalsMost OSA journals allow authors to include supplementary materials as integral parts of a manuscript. Such materials are subject to the same editorial standards and peer review procedures along with the rest of the paper and should be uploaded and described using OSA’s Prism manuscript system.Authors can submit appropriate visualizations or small data files (see details below) for OSA to host. Large datasets and code or simulation files can be included but must be placed in an appropriate archival repository and cited as described here.Table 1. Supplementary Materials Supported in OSA Journals aa Optica allows authors to include a supplemental document that can contain additional text, equations, citations, etc. (see Supplementary Materials in Optica for details). For all other OSA journals, supplemental text must be included as appendices within the primary manuscript.Video visualizations (formerly media files) are the most commonly submitted type of supplementary materials for the express journals. They typically illustrate a synopsis of research results. They are integral and as such should be included only when they convey essential information beyond what can be presented within the article's PDF representation. Video visualizations should be uploaded upon submission and peer-reviewed along with the manuscript. Video files must use open compression standards for display on broadly available applications such as VLC or Windows Media Player. MOV, AVI, MPG, and MP4 video containers are accepted. The following video guidelines will help with the submission process:1.15 MB is the recommended maximum video file size.2.720 x 480 pixels (width by height) is the recommended screen size.3.If appropriate, insert a representative frame from the video in the manuscript asa figure.4.Minimize file size by using an acceptable codec such as x264 or XviD.HandBrake is an open source tool for converting video to common codecs.5.Videos must be playable on all platforms using VLC.6.Animations must be formatted into a standard video container.Visualizations must be associated with a figure, table, or equation OR be referenced in the results section of the manuscript. Use the label "Visualization" and the item number to identify the visualization.Fig. 5. Three traps create three rings of magnetic nanoparticles. The rings interact with oneanother (see Visualization 3). [From Masajada et al., Opt. Lett. 38, 3910 (2013).]Please refer to the Author Guidelines for Supplementary Materials for more detailed instructions and other acceptable supplementary material types.5.3 TablesTables should be centered and numbered consecutively. Authors must use Word’s Table editor to insert tables. Authors must not import tables from Excel. All content for each table should be in a single Word table (do not split content for a single table across multiple Word tables). Tables should use horizontal lines to delimit the top and bottom of the table and column headings. Detailed explanations or table footnotes should be typed directly beneaththe table, but not in a table cell. Table footnote labels should be text; numbers or special characters are not permitted. Position tables as closely as possible to where they are mentioned in the main text.Table 2. Optical Constants of Thin Films of Materials a83.4 nm 121.6 nmMaterial n K n kIr 1.182 0.865 1.450 1.040MgF2 1.584 0.487 1.682 0.0627Al 0.09874 0.1915 0.0424 1.137Mo 0.98 1.08 0.78 1.03C 1.16 1.29 1.85 1.10a From Appl. Opt. 40, 1128 (2001).6. Article thumbnail uploadAuthors have the option to upload a thumbnail image that will appear next to the published article on the Issue in Progress, Current Issue, and Abstract pages. Please note that if authors do not choose a file, OSA Production Staff will choose an image from the submission. For precise representation of an article, we recommend that authors choose and upload the thumbnail image.Authors must submit a .JPG file. The image will be resized automatically to 100 x 100 pixels. For best results, authors should upload an image this size or an image with square dimensions.Fig. 3. Preview of thumbnail image display on the author submission page.7. Funding and AcknowledgmentsFunding information should be listed in a separate block preceding any acknowledgments. The section title should read “Funding” in 10-pt. bold Arial font. List just the funding agencies and any associated grants or project numbers, as shown in the example below: National Science Foundation (NSF) (1253236, 0868895, 1222301); Program 973 (2014AA014402); Natural National Science Foundation of China (NSFC) (123456).OSA participates in Crossr ef’s Funding Data, a service that provides a standard way to report funding sources for published scholarly research. To ensure consistency, please enter any funding agencies and contract numbers from the Funding section in Prism during submission. Update any changes to your funding information in Prism during any revision stages.Acknowledgments should be included at the end of the document. The section title should read “Acknowledgments” in 10-pt. bold Arial font. The section title should not follow the numbering scheme of the body of the paper. Please do not include any funding sources in the Acknowledgment section.8. SummaryConforming to the specifications listed above is of critical importance to the speedy publication of a manuscript. Authors should use the following style guide checklist before submitting an article.Table 3. Style guide checklist。