2000年华东师范大学高等代数考研真题-考研真题资料
- 格式:pdf
- 大小:708.95 KB
- 文档页数:2
华东师范大学1997年攻读硕士学位研究生入学试题一.(10分)计算下列行列式:11222221122111112211...1(1)(1) (1)(1)(1)...(1)(1)(1)...(1)n n nn n n n n n x x x x x x x x x x x x x x x x x x ------------二.(15分)设5200200000520022A -⎛⎫ ⎪-⎪= ⎪- ⎪-⎝⎭,求正交矩阵T,使'1T AT T AT -=为对角形矩阵,并写出这个对角形矩阵.三.(15分)设200201A a b c ⎛⎫⎪= ⎪ ⎪-⎝⎭是复矩阵.1.求出A 的一切可能的Jordan 标准形;2.给出A 可对角化的一个充要条件.四.(15分)已知3阶实数矩阵()ij A a =满足条件(,1,2,3)ij ij a A i j ==,其中ij A 是ij a 的代数余子式,且331a =-,求: 1.A2.方程组123001x A x x ⎛⎫⎛⎫⎪ ⎪= ⎪ ⎪ ⎪ ⎪⎝⎭⎝⎭的解.五.(15分)证明:一个非零复数α是某一有理系数非零多项式的根⇔存在一个有理系数多项式()f x 使得1().f αα=六.(15分)设A 是n 阶反对称阵。
证明:1.当n 为奇数时|A|=0.当n 为偶数时|A|是一实数的完全平方;2.A 的秩为偶数 .七.(15分)设V 是有限维欧氏空间.内积记为(,)αβ.又A 设是V 的一个正交变换。
记{}{}12|,,|V V V V ααααααα=A =∈=-A ∈,求证:1.12,V V 是v 的子空间;2. 12.V V V =⊕八.(15分)设n 阶实数方阵的特征值全是实数且A 的所有1阶主子式之和为0,2阶主子式之和也为0.求证:0n A =九.(15分)设A,B 均是正定矩阵,证明: 1 .方程0A B λ-=的根均大于0; 2 .方程0A B λ-=所有根等于1⇔A=B.华东师范大学1998年攻读硕士学位研究生入学试题一.(10分)计算下列行列式:131********...2223333 (336)...n n n n n n n n n n n n n n-------------二.(10分)证明:方程组111122121122221122...0...0(1) 0n n n ns s sn n a x a x a x a x a x a x a x a x a x +++=⎧⎪+++=⎪⎨⎪⎪+++=⎩的解全是方程1122...0(2)n n b x b x b x +++=的解的充分必要条件是:12(,...,)n b b b β=可由向量组12,...,s ααα线性表示,其中12(,,...,)(1,2,...,).i i i in i s αααα==三(15分)设32()f x x ax bx c =+++是整系数多项式,证明:若ac+bc 为奇数,则f(x)在有理数域上不可约.四(15分)设A 是非奇异实对称矩阵,B 是反对称实方阵。
2000年全国硕士研究生人学统一考试
数学二试题
一、填空题(本题共5小题.每小题3分.满分l5分把答案填在题中横线上)
二、选择题(本题共5小题,每小题3分,满分15分。
每小题给出的四个选项中.只有一项符合题目要求。
把所选项前的字母填在题后的括号内)
三、(本题满分5分)
四、(本题满分5分)
五、(本题满分5分)
六、(本题满分6分)
七、(本题满分7分)
八、(本题满分6分)
九、(本题满分7分)
十、(本题满分8分)
十一、(本题满分8分)
十二、(本题满分6分)
十三、(本题满分7分)
参考答案
一、填空题
1.
2.
3.
4.
5.
二、选择题1.
2.
3.
4.
5.
三、
四、
五、
六、
七、
八、
九、
十、
十一、
十二、
十三、
精品文档。
2000年全国硕士研究生入学统一考试数学二试题、填空题(本题共5小题,每小题3分,满分15分,把答案填在题中横线上 )H marctanx ;x二x卩 In(1 2x 3) ---------------------⑵设函数y =y(x)由方程2x ^ -x y 所确定,则dy x^二 _____________________-0 0〕⑸设A =-2 3 0 0 ,E 为4阶单位矩阵,且B = (E+A)」(E_A)则0 -4 5 0-6 7一(E B)」= __________________ .二、选择题(本题共5小题,每小题3分,共15分,在每小题给出的四个选项中,只有一项 符合题目要求,把所选项前的字母填在题后的括号内.)x(1)设函数f(x)=——衣在(―巴 丘)内连续,且lim f(x)=O,则常数a,b 满足()a +e J 存(C) a - 0,b 0.(D) a _ 0,b :: 0.2⑵设函数f (x)满足关系式f ”(x) • [ f (x)]二x ,且「(0) = 0,贝y ()(A) f(0)是f(x)的极大值. (B) f (0)是f(x)的极小值.(C) 点(0, f (0))是曲线y = f (x)的拐点•(D) f(0)不是f(x)的极值,点(0, f (0))也不是曲线y= f (x)的拐点.(3 )设 f(x),g(x)是大于零的可导函数,且 f'(x)g(x)- f(x)g'(x) :::0,则当 a :::x ::: b 时, 有()(A) f(x)g(b) f(b)g(x)(B) f (x)g(a) f (a)g(x)(A) a :: 0,b :: 0.(B) a 0,b 0.(C) f(x)g(x) f(b)g(b) (D) f(x)g(x) f (a)g(a)1⑷ 曲线y 二(2x -1)e x 的斜渐近线方程为三、 (本题满分5分)设 f (In x)=匹1__x),计算 f (x)dx .x四、 (本题满分5分)设xoy 平面上有正方形D ={(x, y) 0兰x 兰1,0兰y 兰讣及直线I : x + y = t(t Z 0).若xS(t)表示正方形D 位于直线I 左下方部分的面积,试求o S(t)dt,(x 一 0).五、 (本题满分5分)求函数 f (x) = x 21n(1 • x)在 x = 0 处的 n 阶导数 f n (0)(n _ 3). 六、 (本题满分6分)x设函数 S(x)二 J | cost dt , (1)当n 为正整数,且n 二空x 空(n 时,证明2n 空S(x) ::: 2(n 1);⑵求lim^^ .x —抉 x 七、 (本题满分7分)某湖泊的水量为V ,每年排入湖泊内含污染物A 的污水量为V ,流入湖泊内不含 A 的6水量为V ,流出湖泊的水量为 V ,已知1999年底湖中A 的含量为5m ),超过国家规定指6 3标.为了治理污染,从2000年初起,限定排入湖泊中含 A 污水的浓度不超过 印° .问至多需要V经过多少年,湖泊中污染物 A 的含量降至 呛以内(注:设湖水中A 的浓度是均匀的) 八、 (本题满分6分)设函数f (x)在〔0,二】上连续,且° f (x)dx = 0, ° f (x)cosxdx = 0,试证明:在(0,二) 内至少存在两个不同的点 1, 2,使f( J = f ( 2)=0.九、(本题满分7分)⑷若四『6x +xf (x 厂=。
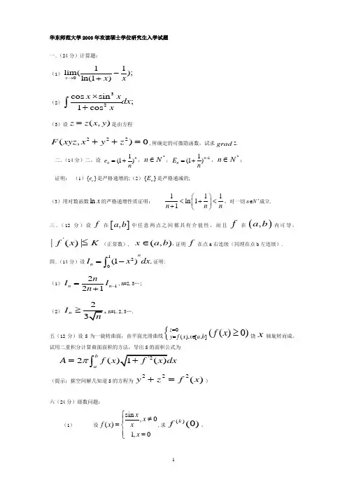
华东师范大学2000年攻读硕士学位研究生入学试题一.(24分)计算题: (1)011lim();ln(1)x x x→-+(2)32cos sin ;1cos x xdx x⨯+⎰ (3)设(,)z z x y =是由方程222(,)0F xyz x y z ++=,所确定的可微隐函数,试求grad Z.二.(14分)二、设n n ne )11(+=,*N n ∈;1)11(++=n n n E ,*N n ∈;证明: (1)}{n e 是严格递增的;(2)}{n E 是严格递减的;(3)用对数函数x ln 的严格递增性质证明:111ln 11n n n⎛⎫<+< ⎪+⎝⎭,对一切n ∈N *成立. 三.(12分)设f在[],a b 中任意两点之间都具有介值性,而且f在(),a b 内可导,'|()|f x K≤(正常数),(,).x a b ∈证明f在点a 右连续(同理在点b 左连续).四.(14分)设12(1).nn I x dx =-⎰证明:(1)1221n n nI I n -=+,n=2,3…;(2)2,3n I n≥n=1,2,3….五(12分)设S 为一旋转曲面,由平面光滑曲线{(),[,](()0)z y f x x a b f x ==∈≥饶x 轴旋转而成。
试用二重积分计算曲面面积的方法,导出S 的面积公式为'22()1()baA f x fx dx π=+⎰(提示:据空间解几知道S 的方程为222()y z f x +=)六(24分)级数问题:(1) 设sin ,0()1,0xx f x x x ⎧≠⎪=⎨⎪=⎩,求()(0)k f。
(2) 设1nnn a=∑收敛,lim 0nn na →∞=证明:111()nnnn nn n n aa a +==-=∑∑。
(3)设{()}n f x 为[],a b 上的连续函数序列,且()(),[,]n f x f x x a b ⇒∈证明:若()f x 在[],a b 上无零点。
华东师大2000年数学分析试题一、(24分)计算题:(1)(2) 求011lim()ln(1)x x x→-+; (3) 求32cos sin 1cos x x dx x+⎰ (4)(5) 设(,)z z x y =是由方程222(,)0F xyz x y z ++=所确定的可微隐函数,试求grad z 。
二、(14分)证明:(1)11(1)n n +⎧⎫+⎨⎬⎩⎭为递减数列: (2) 111ln(1),1,21n n n n<+<=+⋅⋅⋅⋅ 三、(12分)设f(x)在[],a b 中任意两点之间都具有介质性,而且f 在(a ,b )内可导,'()f x K ≤ (K 为正常数),(,)x a b ∈证明:f 在点a 右连续,在点b 左连续。
四、(14分)设120(1)n n I x dx =-⎰,证明:12,2,3,21,1,2,nnI nnn-==⋅⋅⋅⋅+≥=⋅⋅⋅⋅nn(1)I(2)I()f x=五、(12分)设S为一旋转曲面,它由光滑曲线段[](),,,0y f x x a b z=∈=(()0)f x≥绕x轴曲线旋转而成,试用二重积分计算曲面面积的方法,导出S的面积公式为:2(baA f xπ=⎰六、(24分)级数问题:(2)设sin,01,0()xxxxf x≠=⎧=⎨⎩{}[]() x a,b()()11()()n nnf x f x f xf x f x∈⇒⇒,求()(0),1,2,kf k=(3)(4)(5)(6)设1nna∞=∑收敛,lim0nxna→∞=,证明:111()n n nn nn a a a∞∞+==-=∑∑。
(8)(9)(10) 设{}()n f x 为[]a,b 上的连续函数序列,且()()n f x f x ⇒,[]x a,b ∈,证明:若()f x 在[]a,b 上无零点,则当n 充分大时,()n f x 在[]a,b 上也无零点;并有11()()n f x f x ⇒,[]x a,b ∈。
华东师范大学数学分析历年考研真题(1997年-2010年)华东师范大学1997年攻读硕士学位研究生入学试题一(一(1212分)设f(x)f(x)是区间是区间I 上的连续函数。
证明:若f(x)f(x)为一一映射,则为一一映射,则f(x)在区间I 上严格单调。
二(二(1212分)设1,()0x D x x ì=íî为有理数,为无理数证明:若f(x), D(x)f(x) f(x), D(x)f(x) 在点在点x=0处都可导,且f(0)=0,f(0)=0,则则'(0)0f =三(三(1616分)考察函数f(x)=xlnx f(x)=xlnx 的凸性,并由此证明不等式:的凸性,并由此证明不等式:2()(0,0)a b a ba b ab a b +³>>四(四(1616分)设级数1nn an ¥=å收敛,试就1n n d ¥=å为正项级数和一般项级数两种情况分别证明1nn an n¥=+å也收敛。
五(五(2020分)设方程(,)0F x y =满足隐函数定理条件,并由此确定了隐函数y=f(x)y=f(x)。
又设。
又设(,)Fx y 具有连续的二阶偏导数。
(1) 求''()f x(2)若0000(,)0,()F x y y f x ==为f(x)f(x)的一个极值,试证明:的一个极值,试证明:当00(,)y F x y 与00(,)xx F x y 同号时,0()f x 为极大值; 当00(,)y F x y 与00(,)xx F x y 异号时,0()f x 为极小值。
(3) 对方程2227xxy y ++=,在隐函数形式下(不解出y )求y=f(x)的极值,并用(的极值,并用(22)的结论判别极大或极小。
六(六(1212分)改变累次积分4204842(4)x x xI dxy dy --=-òò的积分次序,并求其值。
一些专业数学考研绝好网/thread-84637-1-1.html(数学分析)华东师范大学精品课程/thread-5299-1-1.html数学实验课件/thread-468963-1-1.html数学分析与高等代数考试大纲/thread-159660-1-1.html陕西师范大学超多精品视频教学/thread-1509-1-1.html数学与应用数学本科及其它类视频/thread-7099-1-1.html再发一个,看不看由你(网站)/thread-6739-1-1.html人大99-00数学分析,线性代数试题/thread-2913-1-1.html复旦大学考研试题/thread-468347-1-1.html北大2001年数学分析试题/thread-468345-1-1.html转载自共享天下考研论坛原始地址: /viewthread.php?tid=469545&fromuid=0浙江大学数学系考研试题汇编/thread-432696-1-1.html2008年各学校高代数分试题(不断更新中)/thread-410824-1-1.html浙江大学二〇〇四年攻读硕士研究生入学考试数学分析、高等代数/thread-866-1-1.html浙江大学2005,2006年数学分析答案/thread-152345-1-1.html浙江大学数学分析[03 04]/thread-460470-1-1.html《数值分析》教学参考书/thread-468577-1-2.html数学系考研资料以及一些其他的东东/thread-468574-1-3.html组合数学习题答案/thread-466800-1-3.html图论讲义/thread-466799-1-3.html北大张恭庆泛函分析答案/thread-466795-1-3.html北师大高等代数视频下载/thread-5629-1-4.html毕业论文--矩阵特征值_特征向量/thread-413272-1-4.html封装大全/thread-433240-1-4.htmlMatlab讲稿/thread-156993-1-4.htmlλ-矩阵和Jordan标准型/thread-99280-1-4.html北师大数学分析,高等代数视频(助人为乐)/thread-391868-1-4.html 高等代数教案/thread-147532-1-4.html数学模型(第三版)习题解答/thread-233932-1-4.html2005北大高等代数与解析几何/thread-280169-1-4.html中科院考研试题(很全建议置顶)/thread-336026-1-5.html中科院08年高等数学甲考试大纲/thread-224371-1-5.html[ 本帖最后由niuyn 于2008-7-13 22:18 编辑]UID955713 精华2 积分20515 贡献值0 存款70000 金元宝0 两阅读权限180 性别女来自河南查看详细资料TOP 获取VIP免币高速下载帐号xhety4级-小学三年级帖子41 好评26 共享币1040 在线时间10 小时注册时间2008-7-15 最后登录2009-3-17 个人空间发短消息加为好友当前离线12# 宣传本贴大中小发表于2008-7-15 22:32 只看该作者很多人还是不会下载,请大家认真看此帖,正确使用迅雷下载本站附件的必要设置-楼猪真强大,好人啊UID1193599 精华0 积分475 贡献值0 存款0 金元宝0 两阅读权限40 查看详细资料TOP 设置电话号码,如果您忘记了您的帐号或密码,可以用填写的电话发短信或打电话找回用户名和重设密码。
第一章 多项式1、(清华2000—20分)试求7次多项式()f x ,使()1f x +能被4(1)X -整除,而()1f x -能被4(1)X +整除。
2、(南航2001—20分)(1)设x 2-2px+2∣x 4+3x 2+px+q ,求p,q 之值。
(2)设f(x),g(x),h(x)∈R[x],而满足以下等式(x 2+1)h(x)+(x -1) f(x)+ (x -2) g(x)=0(x 2+1)h(x)+(x+1) f(x)+ (x+2) g(x)=0证明:x 2+1∣f(x),x 2+1∣g(x)3、(北邮2002—12分)证明:x d -1∣x n-1的充分必要条件是d ∣n (这里里记号d ∣n 表示正整数d 整除正整数n )。
4、、(北邮2003—15分)设在数域P 上的多项式g 1(x),g 2(x),g 3(x),f(x),已知g 1(x)∣f(x),g 2(x)∣f(x), g 3(x)∣f(x),试问下列命题是否成立,并说明理由:(1)如果g 1(x),g 2(x), g 3(x)两两互素,则一定有g 1(x),g 2(x),g 3(x)∣f(x) (2)如果g 1(x),g 2(x), g 3(x)互素,则一定有g 1(x)g 2(x)g 3(x)∣f(x) 5、(北师大2003—25分)一个大于1的整数若和其因子只有1和本身,则称之为素数。
证明P 是素数当且仅当任取正整数a ,b 若p ∣ab 则p ∣a 或p ∣b 。
6、(大连理工2003—12分)证明:次数>0且首项系数为1的多项式f(x)是某一不可约多项式的方幂主充分必要条件是,对任意的多项式g(x),h(x) ,由f(x)∣g(x) h(x)可以推出f(x)∣g(x),或者对某一正整数m ,f(x)∣h m(x)。
7、(厦门2004—16分)设f(x),g(x)是有理数域上的多项式,且f(x)在有理数域上不可约。
第一章 多项式1、(清华2000—20分)试求7次多项式()f x ,使()1f x +能被4(1)X -整除,而()1f x -能被4(1)X +整除。
2、(南航2001—20分)(1)设x 2-2px+2∣x 4+3x 2+px+q ,求p,q 之值。
(2)设f(x),g(x),h(x)∈R[x],而满足以下等式 (x 2+1)h(x)+(x -1) f(x)+ (x -2) g(x)=0 (x 2+1)h(x)+(x+1) f(x)+ (x+2) g(x)=0 证明:x 2+1∣f(x),x 2+1∣g(x) 3、(北邮2002—12分)证明:x d -1∣x n -1的充分必要条件是d ∣n (这里里记号d ∣n 表示正整数d 整除正整数n )。
4、、(北邮2003—15分)设在数域P 上的多项式g 1(x),g 2(x ),g 3(x ),f(x),已知g 1(x)∣f(x),g 2(x)∣f(x), g 3(x)∣f(x),试问下列命题是否成立,并说明理由:(1)如果g 1(x),g 2(x), g 3(x)两两互素,则一定有g 1(x),g 2(x),g 3(x)∣f(x) (2)如果g 1(x),g 2(x), g 3(x)互素,则一定有g 1(x)g 2(x)g 3(x)∣f(x) 5、(北师大2003—25分)一个大于1的整数若和其因子只有1和本身,则称之为素数。
证明P 是素数当且仅当任取正整数a ,b 若p ∣ab 则p ∣a 或p ∣b 。
6、(大连理工2003—12分)证明:次数>0且首项系数为1的多项式f(x)是某一不可约多项式的方幂主充分必要条件是,对任意的多项式g(x),h(x) ,由f(x)∣g(x) h(x)可以推出f(x)∣g(x),或者对某一正整数m ,f(x)∣h m (x)。
7、(厦门2004—16分)设f(x),g(x)是有理数域上的多项式,且f(x)在有理数域上不可约。