分部积分法word版
- 格式:doc
- 大小:190.00 KB
- 文档页数:5
第三节 分部积分法分布图示★ 分部积分公式★ 几点说明 ★ 例1 ★ 例2 ★ 例3 ★ 例4 ★ 例5 ★ 例6 ★ 例7 ★ 例8 ★ 例9 ★ 例10 ★ 例11 ★ 例12 ★ 例13 ★ 例14 ★ 例15 ★ 例16★ 例17★ 例18★ 分部积分的列表法★ 例19★ 例20 ★ 例21★ 例22★ 内容小结 ★ 课堂练习★ 习题4-3内容要点分部积分公式: ⎰⎰-=vdu uv udv (3.1)⎰⎰'-='vdx u uv dx v u (3.2)分部积分法实质上就是求两函数乘积的导数(或微分)的逆运算. 一般地, 下列类型的被积函数常考虑应用分部积分法(其中m , n 都是正整数)..arctan arccos arcsin )(ln cos sin cos sin 等mx x mxx mxx x x ex mx e mx e mx x mx x n n n nmxn nx nx n n例题选讲例1 (E01) 求不定积分⎰xdx x cos .解一 令,2,cos 2dv x d xdx x u =⎪⎪⎭⎫⎝⎛== ⎰⎰⎰+=⎪⎪⎭⎫ ⎝⎛=,sin 2cos 22cos cos 222xdx x x x x xd xdx x 显然, ν',u 选择不当,积分更难进行.解二 令,sin cos ,dv x d xdx x u ===⎰⎰=x xd xdx x sin cos ⎰-=xdx x x sin sin .cos sin C x x x ++=例2 (E02) 求不定积分 ⎰dx e x x2.解 dv de dx e x u x x ===,2xxdex dx e x ⎰⎰=22⎰-=dx xe e x x x 22⎰-=x x xde e x 22.)(22C e xe e x x x x +--=注:若被积函数是幂函数(指数为正整数)与指数函数或正(余)弦函数的乘积, 可设幂函数为u , 而将其余部分凑微分进入微分号, 使得应用分部积分公式后, 幂函数的幂次降低一次.例3 (E03) 求不定积分⎰xdx x arctan .解 令,2,arctan 2dv x d xdx x u =⎪⎪⎭⎫⎝⎛== ⎰⎰⎪⎪⎭⎫ ⎝⎛=2arctan arctan 2x xd xdx x ⎰-=)(arctan 2arctan 222x d x x x dx x x x x ⎰+⋅-=222112arctan 2 dx x x x ⎰⎪⎭⎫ ⎝⎛+-⋅-=2211121arctan 2.)arctan (21arctan 22C x x x x +--= 例4 (E04) 求不定积分⎰xdx xln 3.解 令,4,ln 43dv x d dx x x u =⎪⎪⎭⎫⎝⎛== ⎪⎪⎭⎫ ⎝⎛=⎰⎰4ln ln 43x d x xdx x ⎰-=dx x x x 3441ln 41.161ln 4144C x x x +-= 注:若被积函数是幂函数与对数函数或反三角函数的乘积, 可设对数函数或反三角函数为u , 而将幂函数凑微分进入微分号, 使得应用分部积分公式后, 对数函数或反三角函数消失.例5 (E05) 求不定积分⎰xdx e x sin . 解⎰⎰=x xde dx esin sin )(sin sin x d e x e x x ⎰-=⎰-=xdx e x e x x cos sin⎰-=x x xde x e cos sin )cos cos (sin ⎰--=x d e x e x e x x x ⎰--=xdx e x x e x x sin )cos (sin.)cos (sin 2sin C x x e dx e xx+-=∴⎰注:若被积函数是指数函数与正(余)弦函数的乘积,u , dv 可随意选取, 但在两次分部积分中, 必须选用同类型的u , 以便经过两次分部积分后产生循环式, 从而解出所求积分.例6 (E06) 求不定积分⎰dx x )sin(ln . 解)][sin(ln )sin(ln )sin(ln x xd x x dx x ⎰⎰-=dx xx x x x 1)cos(ln )sin(ln ⋅-=⎰)][cos(ln )cos(ln )sin(ln x d x x x x x ⎰+-= dx x x x x ⎰--=)sin(ln )]cos(ln )[sin(ln.)]cos(ln )[sin(ln 2)sin(ln C x x xdx x +-=∴⎰灵活应用分部积分法,可以解决许多不定积分的计算问题. 下面再举一些例子,请读者悉心体会其解题方法.例7 (E07) 求不定积分 ⎰xdx 3sec .解⎰⎰=x xd xdx tan sec sec 3⎰-=x d xx x x 2t a n s e c t a n s e c ⎰--=dx x x x x )1(sec sec tan sec 2⎰⎰+-=xdx xdx x x sec sec tan sec 3 ⎰-++=xdx x x x x 3sec |tan sec |ln tan sec由于上式右端的第三项就是所求的积分⎰,sec 3xdx 把它移到等号左端去,再两端各除以2,便得.|)tan sec |ln tan (sec 21sec 3C x x x x xdx +++=⎰例8 求不定积分.1arcsin dx xx ⎰-解x d x dx xx --=-⎰⎰1arcsin 21arcsinx d x x x arcsin 12arcsin 12⎰-+--= dx xx x x x ⎰--+--=11arcsin 12.2arcsin 12C x x x ++--=例9 求不定积分.1arctan 2dx xx x ⎰+解221a r c t a n 1a r c t a nx xd dx x x x +=+⎰⎰⎥⎥⎦⎤⎢⎢⎣⎡+='⎪⎭⎫ ⎝⎛+2211x x x )(arctan 1arctan 122x d x x x ⎰+-+=⎰+⋅+-+=dx xx x x 222111arctan 1 x d xx x ⎰+-+=2211arctan 1⎰⎰⎰=+=+tdt tdt ttx x d x sec sec tan 11tan 11222.)1ln()tan ln(sec 2C x x C t t +++=++=∴ 原式.)1ln(arctan 122C x x x x +++-+=例10 (E08) 求不定积分dx ex⎰.解 令,x t =则,2,2tdt dx t x ==于是tdt e dx e t x⎰⎰=2t de t ⎰=2dt e te t t ⎰-=22 C e te t t +-=22C t e t +-=)1(2.)1(2C x ex+-=例11 求不定积分⎰+dx x )1ln(. 解 令,x t =则,2t x =2)1ln()1ln(dt t dx x ⎰⎰+=+)1ln()1ln(22t d t t t +-+=⎰dt tt t t ⎰+-+=1)1ln(22⎰⎰+---+=tdt dt t t t 1)1()1ln(2.)1ln(2)1ln(22C t t t t t ++-+-+= .2)1ln()1(C xx x x +-++-=例12 求.33/1dx xe I x⎰=解法 1 先分部积分,后换元.设,1,33/1dx xdv e u x ==则,23,313/23/23/1x v dx e x du x =⋅=-于是 ⎰-⋅=dx e e x I x x 3/13/121233/2 再设,3t x =则,32dt t dx =于是dt te e t dt e t dx e t t t x ⎰⎰⎰-=⋅=633223/1().)22(36322C e t t dt e te e t t t t t ++-=--=⎰代入上式, 得C e x x e x I x x ++--⋅=3/13/1)22(23233233/2.)1(33/13C e x x +-= 解法 2 先换元, 后分部积分.设,3t x =,32dt t dx =则dt e t dt t te I t t ⎰⎰=⋅=332再设,,dt e dv t u t ==则c e te dt e te I t t t t +-=-=⎰3333.)1(33/13c e x x+-=例13 求不定积分.2)1arcsin()1(2⎰---dx xx x x解 令,1x t -=则,dt dx -=于是原式⎰⎰-+=--=)1(arcsin 1arcsin 22t td dt t t tdt t t t t 222111arcsin 1-⋅---=⎰12arcsin 1C t t t +--= .)1arcsin(22C x x x x ++--=其中.11-=C C例14 (E09) 求不定积分⎰+=nn a x dxI )(22, 其中n 为正整数.解 用分部积分法,当1>n 时有dx a x x n a x x a x dx nn n ⎰⎰+-++=+--)()1(2)()(222122122,)()(1)1(2)(222122122dx a x a a x n a x x n n n ⎰⎥⎦⎤⎢⎣⎡+-+-++=-- 即 ),)(1(2)(211221n n n n I a I n a x xI --++=--- 于是 .)32()()1(2111222⎥⎦⎤⎢⎣⎡-++-=--n n n I n a x xn a I以此作递推公式,并由,arctan 11C axa I +=即可得.n I 例15 (E10) 已知)(x f 的一个原函数是2x e -, 求⎰'dx x f x )(. 解⎰⎰=')()(x x d f dx x f x ⎰-=,)()(dx x f x xf根据题意,)(2C e dx x f x +=-⎰再注意到 ()),()(x f dx x f ='⎰两边同时对x 求导,得,2)(2x xe x f --= ⎰⎰-='∴dx x f x xf dx x f x )()()(.2222C e e x x x +--=--例16 求不定积分.cos sin cos 23sin dx xxx x ex-⎰解 先折成两个不定积分,再利用分部积分法.原式dx x x e xdx x e x x ⎰⎰-⋅=2sin sin cos sin cos ⎪⎭⎫ ⎝⎛-=⎰⎰x d e xde x x cos 1sin sin⎰⎰+--=dx e x e dx exex x xxsin sin sin sin cos .cos 1sin sin C e xxe xx +-=例17 求不定积分⎰.)ln(tan sin dx x x 解⎰⎰-=x d x dx x x cos )ln(tan )ln(tan sin )l n (t a n c o s )l n (t an c o s x xd x x ⎰+-= x d xx x ⎰+-=sin 1)ln(tan cos .|cot csc |ln )ln(tan cos C x x x x +-+-= 例18 求不定积分⎰+dx x e x x22)2(. 解 选,2x e x u =于是⎰⎰⎪⎭⎫ ⎝⎛+-=+21)2(222x d e x dx x e x x x ⎰+--⎪⎭⎫ ⎝⎛+-=)(212122x x e x d x x e x dx x e x xe x e x xx x ⎰++++-=22222 dx xe x e x x x ⎰++-=22x x de x x e x ⎰++-=22dx e xe x e x x x x ⎰-++-=22.22C e xe x e x x x x +-++-=注: 本题选xe x u 2=比选22)2(+=x x u 更能使解题方便.例19 计算不定积分⎰.ln xdx x解 x ln 不易求积分,只能放在左列,而x 放在右列,列表如下:+(2(- ⎰⎰⋅-⋅=∴dx x x x x xdx x 2221121ln ln .41ln 2121ln 21222c x x x xdx x x +-=-=⎰例20 计算不定积分⎰.ln xdx解 x ln 可看作乘积形式,ln 1x ⋅将x ln 放在左列,1放在右列,列表如下:1ln )(→+xx x→-1)( ⎰⎰+-=⋅-=∴.ln 1ln ln c x x x xdx xx x xdx 例21 计算不定积分⎰.sin xdx x解 函数x 和x sin 都是易求原函数的函数,都可放右列,但考虑到左列的函数应是求导后逐渐简单的,故x 放左列, x sin 放右列列表如下:x x sin )(→+1)(- x c o s- x sin 0)(-→+⎰+-⋅--=∴c x x x xdx x )sin (1cos sin .sin cos c x x x ++-=例22 计算不定积分.cos xdx e x ⎰.解 函数x e x cos ,都是易求原函数的函数,且它们的导函数分别是稳定的x e 和x sin (或x cos )形式,故它们的左右位置可随意选取.例如选取x e 为左, x cos 为右, 可得x e x cos )(→+ x e )(- x i n x e x cos )(-→+⎰⎰-+--=∴dx x e x e x e xdx e x x x x )cos ()cos (sin cos , 移项得.)cos (sin 2cos c x x e xdx e xx++=⎰课堂练习1. 求不定积分;sin 2⎰xdx x 2. 求不定积分⎰-xdx e x 2sin .。
(完整word版)积分公式2.基本积分公式表(1)∫0d x=C(2)=ln|x|+C(3)(m≠-1,x>0)(4)(a>0,a≠1)(5)(6)∫cos x d x=sin x+C(7)∫sin x d x=-cos x+C(8)∫sec2x d x=tan x+C(9)∫csc2x d x=-cot x+C(10)∫sec x tan x d x=sec x+C(11)∫csc x cot x d x=-csc x+C(12)=arcsin x+C(13)=arctan x+C注.(1)不是在m=-1的特例.(2)=ln|x|+C,ln后⾯真数x要加绝对值,原因是(ln|x|)' =1/x.事实上,对x>0,(ln|x|)' =1/x;若x<0,则(ln|x|)' =(ln(-x))' =.(3)要特别注意与的区别:前者是幂函数的积分,后者是指数函数的积分.下⾯我们要学习不定积分的计算⽅法,⾸先是四则运算.3.不定积分的四则运算根据微分运算公式d(f(x)±g(x))=d f(x)±d g(x)d(kf(x))=k d f(x)我们得不定积分的线性运算公式(1)∫[f(x)±g(x)]d x=∫f(x)d x±∫g(x)d x(2)∫kf(x)d x=k∫f(x)d x,k是⾮零常数.现在可利⽤这两个公式与基本积分公式来计算简单不定积分.例2.5.4求∫(x3+3x++5sin x-4cos x)d x解.原式=∫x3d x+∫3x d x+7∫d x+5∫sin x d x-4∫cos x d x=+7ln|x|-5cos x-4sin x+C .注.此例中化为五个积分,应出现五个任意常数,它们的任意性使其可合并成⼀个任意常数C,因此在最后写出C即可.例2.5.5求∫(1+)3d x解.原式=∫(1+3+3x+)d x=∫d x+3∫d x+3∫x d x+∫d x=x+3+C=x+2x++C .注.∫d x与∫1d x是相同的,其中1可省略.例2.5.6求解.原式===-x+arctan x+C .注.被积函数是分⼦次数不低于分母次数的分式,称为有理假分式.先将其分出⼀个整式x2-1,余下的分式为有理真分式,其分⼦次数低于分母的次数.例2.5.7求.解.原式==∫csc2x d x-∫sec2x d x=-cot x-tan x+C .注.利⽤三⾓函数公式将被积函数化简成简单函数以便使⽤基本积分公式.例2.5.8求.解.原式==+C .为了得到进⼀步的不定积分计算⽅法,我们先⽤微分的链锁法则导出不定积分的重要计算⽅法??换元法.思考题.被积函数是有理假分式时,积分之前应先分出⼀个整式,再加上⼀个有理真分式,⼀般情形怎样实施这⼀步骤?4.第⼀换元法(凑微分法)我们先看⼀个例⼦:例2.5.9求.解.因(1+x2)' =2x,与被积函数的分⼦只差常数倍数2,如果将分⼦补成2x,即可将原式变形:原式=(令u=1+x2)=(代回u=1+x2).注.此例解法的关键是凑了微分d(1+x2).⼀般地在F'(u)=f(u),u=?(x)可导,且?' (x)连续的条件下,我们有第⼀换元公式(凑微分):u=? (x) 积分代回u=? (x)∫f[?(x)]?' (x)d x=∫f[?(x)]d?(x)=∫f(u)d u=F(u)+C=F[?(x)]+C其中函数?(x)是可导的,且F(u)是f(u)的⼀个原函数.从上述公式可看出凑微分法的步骤:凑微分————→换元————→积分————→再换元' (x)d x=d(x) u=(x) 得F(u)+C得F[?(x)]+C注.凑微分法的过程实质上是复合函数求导的链锁法则的逆过程.事实上,在F'(u)=f(u)的前提下,上述公式右端经求导即得:[F[?(x)]+C]' =F '[?(x)]?' (x)=f[?(x)]?' (x)这就验证了公式的正确性.例2.5.10求∫(ax+b)m d x.(m≠-1,a≠0)解.原式=(凑微分d(ax+b))=(换元u=ax+b)=(积分)=. (代回u=ax+b)例2.5.11求.解.原式=(凑微分d(-x3)=-3x2d x)===(换元u=-x3).注.你熟练掌握凑微分法之后,中间换元u=?(x)可省略不写,显得计算过程更简练,但要做到⼼中有数.例2.5.12求∫tan x d x.解.原式==-ln|cos x|+C .同理可得∫cot x d x=ln|sin x|+C .例2.5.13求(a>0).解.原式==.例2.5.14求(a>0).解.原式==.例2.5.15求.解.原式====.例2.5.16∫sec x d x.解.原式=(换元u=sin x)===(代回u=sin x)===ln|sec x+tan x|+C .公式:∫sec x d x=ln|sec x+tan x|+C .例.2.5.17求∫csc x d x .解.原式===ln|csc x-cot x|+C .公式:∫csc x d x=ln|csc x-cot x|+C .凑微分法是不定积分换元法的第⼀种形式,其另⼀种形式是下⾯的第⼆换元法.5.第⼆换元法不定积分第⼀换元法的公式中核⼼部分是∫f[?(x)]?'(x)d x=∫f(u)d u我们从公式的左边演算到右边,即换元:u=?(x).与此相反,如果我们从公式的右边演算到左边,那么就是换元的另⼀种形式,称为第⼆换元法.即若f(u),u=?(x),?'(x)均连续,u=?(x)的反函数x=?-1(u)存在且可导,F(x)是f[?(x)]?'(x)的⼀个原函数,则有∫f(u)d u=∫f[?(x)]?'(x)d x=F(x)+C=F[?-1(u)]+C .第⼆换元法常⽤于被积函数含有根式的情况.例2.5.18求解.令(此处?(t)=t2).于是原式===(代回t= -1(x)=) 注.你能看到,换元=t的⽬的在于将被积函数中的⽆理式转换成有理式,然后积分.第⼆换元法除处理形似上例这种根式以外,还常处理含有根式,,(a>0)的被积函数的积分.例2.5.19求. (a>0)解.令x=a sec t,则d x=a sec t tan t d t,于是原式==∫sec t d t=ln|sec t+tan t|+C1 .到此需将t代回原积分变量x,⽤到反函数t=arcsec,但这种做法较繁.下⾯介绍⼀种直观的便于实施的图解法:作直⾓三⾓形,其⼀锐⾓为t及三边a,x,满⾜:sec t=由此,原式=ln|sec t+tan t|+C1==.注.C1是任意常数,-ln a是常数,由此C=C1-ln a仍是任意常数.(a>0)例2.5.20求.解.令x=a tan t,则d x=a sec2t d t,于是原式==∫sec t d t=ln|sec t+tan t|+C1 .图解换元得原式=ln|sec t+tan t|+C1=.公式:.例2.5.21求(a>0).解.令x=a sin t,则d x=a cos t d t,于是原式===+C.图解换元得:原式=+C=+C .除了换元法积分外,还有⼀个重要的积分公式,即分部积分公式.思考题.在第⼆换元法公式中,请你注意加了⼀个条件“u=?(x)的反函数x=?1-(u)存在且可导”,你能否作出解释,为什么要加此条件?6.分部积分公式我们从微分公式d(uv)=v d u+u d v两边积分,即∫d(uv)=∫v d u+∫u d v由此导出不定积分的分部积分公式∫u d v=uv -∫v d u下⾯通过例⼦说明公式的⽤法.例2.5.22求∫x2ln x d x解.∫x2ln x d x=(将微分dln x算出)==.例2.5.23求∫x2sin x d x.解.原式=∫x2d(-cos x) (凑微分)=-x2cos x-∫(-cos x)d(x2) (⽤分部积分公式)=-x2cos x+∫2x cos x d x=-x2cos x+2∫x dsin x(第⼆次凑微分)=-x2cos x+2[x sin x-∫sin x d x] (第⼆次⽤分部积分公式)=-x2cos x+2x sin x+2cos x+C .例2.5.24求∫e x sin x d x.解.∫e x sin x d x=∫sin x d e x (凑微分)=e x sin x-∫e x dsin x(⽤分部积分公式)=e x sin x-∫e x cos x d x(算出微分)=e x sin x-∫cos x d e x(第⼆次凑微分)=e x sin x-[e x cos x-∫e x dcos x] (第⼆次⽤分部积分公式)=e x(sin x-cos x)-∫e x sin x d x(第⼆次算出微分)由此得:2∫e x sin x d x=e x(sin x-cos x)+2C因此∫e x sin x d x=(sin x-cos x)+C .注.(1)此例中在第⼆次凑微分时,必须与第⼀次凑的微分形式相同.否则若将∫e x cos x d x凑成∫e x dsin x,那将产⽣恶性循环,你可试试.(2)积分常数C可写在积分号∫⼀旦消失之后.例2.5.25求∫arctan x d x解.此题被积函数可看作x0arctan x,x0d x=d x,即适合分部积分公式中u=arctan x,v=x.故原式=x arctan x - ∫x d(arctan x) (⽤分部积分公式)=x arctan x - d x(算出微分)=x arctan x - (凑微分)=x arctan x - ln(1+x2)+C .⼩结.(1)分部积分公式常⽤于被积函数是两种不同类型初等函数之积的情形,例如x3arctan x,x3ln x 幂函数与反正切或对数函数x2sin x,x2cos x幂函数与正弦,余弦x2e x幂函数与指数函数e x sin x,e x cos x 指数函数与正弦,余弦等等.(2)在⽤分部积分公式计算不定积分时,将哪类函数凑成微分d v,⼀般应选择容易凑的那个.例如arctan x d,ln x d我们已学习了不定积分的⼏种常⽤⽅法,除了熟练运⽤这些⽅法外,在许多数学⼿册中往往列举了⼏百个不定积分公式,它们不是基本的,不需要熟记,但可以作为备查之⽤,称为积分表.思考题.你仔细观察分部积分公式,掌握其中使⽤的规律,特别是第⼀步凑微分时如何选择微分.7.积分表的使⽤除了基本积分公式之外,在许多数学⼿册中往往列举了⼏百个补充的积分公式,构成了积分表.下⾯列出本节已得到的基本积分公式.(1)∫0d x=C(2)=ln|x|+C(3)(m≠-1,x>0)(4)(a>0,a≠1)(5)(6)∫cos x d x=sin x+C(7)∫sin x d x=- cos x+C(8)∫sec2x d x=tan x+C(9)∫csc2x d x=- cot x+C(10)∫sec x tan x d x=sec x+C(11)∫csc x cot x d x=-csc x+C(12)=arcsin x+C(13)=arctan x+C(14)∫tan x d x=-ln|cos x|+C(15)∫cot x d x=ln|sin x|+C(16)=(a>0)(17)=(a>0)(18)(a>0)(19)=(a>0)(20)∫sec x d x=ln|sec x+tan x|+C(21)∫csc x d x=ln|csc x-cot x|+C利⽤积分表中的公式,可使积分计算⼤⼤简化.积分表的使⽤⽅法⽐较简单,现举⼀例说明之.例2.5.26求解.从积分表中查得公式则将a=3,b=-1,c=4代⼊上式并添上积分常数C即得解答:=.。
4.3 分部积分法前面介绍的基本积分法和换元积分法的共同特点是经过适当的变形或变换,将不易计算的不定积分转化为易于计算的另一种不定积分,达到化难为易,化未知为已知的目的.现在我们介绍另一种求不定积分的方法——分部积分法,用于求两种不同类型函数乘积的不定积分,这是与两个函数乘积的导数法则对应的积分方法.设函数)(x u u =,)(x v v =具有连续导数,因为两个函数乘积的导数公式为 v u v u uv '+'=')( 或 v u uv v u '-'=')( 于是,对上式两边求不定积分,得⎰⎰⎰'-'='vdx u dx uv dx v u )(即 ⎰⎰'-='vdx u uv dx v u(4.3.1)或⎰⎰-=vdu uv udv (4.3.2)上述公式叫做分部积分公式. 例如:C e xe dx e xe de x dx xe x x x x x x +-=-==⎰⎰⎰【注】:(1)分部积分法主要用于解决被积函数是两类不同类型函数的乘积的不定积分。
如dx xe x ⎰,dx x x ⎰sin ,dx x x ⎰ln ,dx x e x ⎰sin 等等。
(2)关键是选择合适的u 和dv ,选取原则:(a )v 要容易求出。
(b )du v ⎰比dv u ⎰容易求出。
例如:x x x x de x e x x d e dx xe ⎰⎰⎰-=⎪⎭⎫ ⎝⎛=222212121 不合适。
(3)步骤:运用分部积分公式求不定积分⎰dx x f )(的主要步骤是把被积函数)(x f 分解为两部分因式相乘的形式,其中一部分因式看作u,另一部分因式看作v ',而后套用公式,这样就把求不定积分⎰'dx v u 的问题转化为求不定积分⎰'vdx u 的问题.()dx x f ⎰()()dx x v x u ⎰'= 确定()x u 和()x v '()()x dv x u ⎰= 凑微分()()()()x du x v x v x u ⎰-= 使用分部积分公式 ()()()()dx x u x v x v x u ⎰'-= 求微分()()()C x F x v x u +-= 求积分【例1】求下列不定积分 (1)dx x x ⎰cos (2)dx xe x ⎰2 (3)()dx x x ⎰+sin 12解: (1)C x x x dx x x x x d x dx x x ++=-==⎰⎰⎰cos sin sin sin sin cos(2)()⎪⎭⎫ ⎝⎛-===⎰⎰⎰⎰dx e xe de x x d xe dx xe xx x x x 222222121221 ()C e xe x d e xe x x x x +-=-=⎰2222412124121 (3)()()()()⎥⎦⎤⎢⎣⎡+-+-=+-=+⎰⎰⎰1cos cos 1cos 1sin 12222x d x x x x d x dx x x()()()⎥⎦⎤⎢⎣⎡+++-=++-=++-=⎰⎰⎰dx x x x x x d x x dx x x x x sin sin 21sin 21cos 2cos 1222()C x x x x +-++-=cos 2sin 212【注】:【练习】 (1)dx xx ⎰3cos (2)dx e x x ⎰2解: (1)C x x x dx x x x x d x x dx x x +-=⎪⎭⎫ ⎝⎛-==⎰⎰⎰3sin 93cos 33cos 3cos 333cos 33cos(2)x x x x x x x x de x e x dx xe e x dx e e x de x dx e x ⎰⎰⎰⎰⎰-=-=-==22222222C e xe e x dx e xe e x xx x x x x +--=⎪⎭⎫ ⎝⎛--=⎰2222【例2】求下列不定积分(1)dx x x ⎰ln (2)dx x x ⎰arctan (3)dx x ⎰arcsin解: (1)dx x x x x d x x x dx x dx x x ⎰⎰⎰⎰-=⎪⎭⎫ ⎝⎛-==21ln 21ln ln 21ln 21ln 2222 C x x x +-=2241ln 21 (2)⎪⎭⎫ ⎝⎛-==⎰⎰⎰x d x x x dx x dx x x arctan arctan 21arctan 21arctan 222 ⎰+-=dx x x x x 222121arctan 21dx x x x ⎰⎪⎭⎫⎝⎛+--=2211121arctan 21C x x x x ++-=arctan 2121arctan 212 (3)⎰⎰⎰--=-=dx xx x x x d x x x dx x 21arcsin arcsin arcsin arcsin()C x x x x d xx x +-+=--+=⎰2221arcsin 11121arcsin【注】【练习】 ()()()()()dx x x x x x d x x x dx x⎰⎰⎰+-+=+-+=+222222121ln 1ln 1ln 1ln()()⎰+--+=⎪⎭⎫ ⎝⎛+--+=C x x x x dx x x x arctan 221ln 11121ln 222 【例3】求下列不定积分(1)⎰⎰=x x de dx e sin sin )(sin sin x d e x e x x ⎰-=⎰-=xdx e x e x x cos sin⎰-=x x xde x e cos sin )cos cos (sin ⎰--=x d e x e x e x x x ⎰--=xdx e x x e x x sin )cos (sin (注意循环形式)所以有 s i n (s i n c o s ).2x xe e d x x x C =-+⎰ 注:(2)dx x ⎰sin解:令t x =,则2t x =,tdt dx 2=⎪⎭⎫ ⎝⎛--=-==⎰⎰⎰⎰dt t t t t d t dt t t dx x cos cos 2cos 2sin 2sinC x x x C t t t ++-=++-=sin 2cos 2sin 2cos 2(3)x d x xd x x d x x dx x x x 2233csc 21sin 121sin sin sin cos ⎰⎰⎰⎰-=-== C x x x dx x x x +--=⎪⎭⎫ ⎝⎛--=⎰cot 21csc 21csc csc 21222【练习】 (1)2222223cos 21sin 21sin x d x dx x x dx x x ⎰⎰⎰-==C x x x dx x x x ++-=⎪⎭⎫ ⎝⎛--=⎰2222222sin 21cos 21cos cos 21 (2)()()()()x d x x x x d x dx x x ln ln ln ln ln ln ln ln ln ln ln ⎰⎰⎰-==()()()C x x x dx x x x dx xx x x x +-=-=-=⎰⎰ln ln ln ln ln ln ln 1ln 1ln ln ln ln【练习】设()x f 有一个原函数x x ln ,则()='⎰dx x f x解:()()()()dx x f x xf x df x dx x f x ⎰⎰⎰-==' 因为()x f 有一个原函数x x ln 所以()C x x dx x f +=⎰ln()()()()C x x x x dx x f x xf x df x dx x f x +-=-=='⎰⎰⎰ln ln 2⎰-+dx x 3211.1练习:⎰-+12.2x dx。
第三节分部积分法问题∫=?dx xex解决思路利用两个函数乘积的求导法则.设函数)(x u u =和)(x v v =具有连续导数,(),v u v u uv ′+′=′(),v u uv v u ′−′=′,dx v u uv dx v u ∫∫′−=′.du v uv udv ∫∫−=分部积分公式)()()((x dv x u dx x v u ⋅=′∫∫分部积分法主要过程如下:∫dxx f )(所求积分∫∫−=)()()()()()(x du x v x v x u x dv x u ∫∫′−=dxx v x u x v x u dx x f )()()()()((3)计算新积分(2)分部积分公式(1)拆分被积表达式中, 如果某部分求导后能得到简化,可考虑选为u ,剩下的部分就是dv 。
范围:一般处理含有多种类型的混合函数。
关键:对被积表达式的适当拆分。
(求导数或微分)∫′⋅dx x v x u )()(旧积分∫′⋅⇒dxx u x v )()(新积分,)()(dx x u x du u ′=⇒)()(x v dx x v dv ⇒′=(求积分或凑微分)u.cos ∫xdx x 求解(1)令,x u =x d xdx dv sin cos ==∫xdx x cos ∫=udv ∫−=vdu uv ∫−=xdx x x sin sin xv dx du sin ,:==则.cos sin C x x x ++=例1解(2)令,cos x u=∫xdx x cos ∫+=xdx x x x sin 2cos 222显然,u,dv 选择不当,积分更难进行.22,sin :xv xdx du =−=则∫xdx x cos ∫−=vdu uv总结若被积函数是幂函数与正(余)弦函数或指数函数的乘积, 可考虑设幂函数为u例2求积分.2∫dx e x x解,2x u =,xxde dx e dv ==∫dx e x x 2∫−=dx xe e x x x 22.)(22C e xe e x xxx+−−=再次使用分部积分法,x u =dxe dv x =),2(xe v xdx du ==),(xe v dx du ==例3求积分.arctan ∫xdx x ∫⋅=xdx x arctan 原式)(arctan 2arctan 222x d xx x ∫−=dx xx x x 222112arctan 2+⋅−=∫dx x x x )111(21arctan 222+−⋅−=∫.)arctan (21arctan 22C x x x x +−−=u dv 2v u ⋅du v ⋅v 熟练以后的写法例4求积分.ln 3∫xdx x 解,ln x u =,443dv xd dx x ==∫xdx x ln 3∫−=x d x x x ln 41ln 4144.161ln 4144C x x x +−=总结若被积函数是幂函数与对数函数或反三角函数的乘积,就考虑设对数函数或反三角函数为.u∫−=dx x x x 3441ln 41例6求积分.sin ∫xdx e x解∫xdx exsin ∫=xxdesin ∫−=)(sin sin x d e x e x x ∫−=xdx e x e xxcos sin ∫−=xxxdex e cos sin ∫−−=)cos cos (sin x d e x e x e xx x ∫−−=xdx e x x e xx sin )cos (sin ∫∴xdx e xsin .)cos (sin 2C x x ex+−=注意循环形式)0,(.)(122>∈+=∫a N n dx a x I nn 求解利用分部积分公式得:时当,1>n ∫−+dx a x n 122)(1例7∫+−++=−dxa x xn a x x n n )()1(2)(222122∫+−+−++=−−dx a x a a x n a x x n n n ])()(1[)1(2)(222122122))(1(2)(211221n n n n I a I n a x x I −−++=∴−−−∫+=dx ax I 2211Q C ax a +=arctan 1])32()([)1(2111222−−−++−=∴n n n I n a x xn a I 的递推公式。
x a x a a 2 x 2x 2a 2x 2 a 2x 2 a 21dxxa一.基本不定积分公式: 1.dx x C2. x dx1 x11积分常用公式(1 )3. 1dxln x Cx4.a xdx Cln a (a 0, a 1)5.e x dxe x C6.s in xdx cos x C 8. sec 2 xdx1dx tan x Ccos 2 x 10.s ec xtan xdx sec x C 17.cos xdx sin xC9. csc 2 xdx1dxcot x C sin 2 x 11.csc xcot xdxcsc xC112.dx arcsin x C(或dxarccos x C 1 )13.1dx arctan x C x 2(或1x 2dx arc cot xC 1 )14.s inh xdxcosh x C15.cosh xdx sinh x C二.常用不定积分公式和积分方法: 1.an xdx l n c os x C 2.cot xdxln sin x Cdx 1 xdx 13. a 2 x 2arctan Ca a4.x 2a 2ln C 2a 5.s ec xdx ln s ec x tan x C dxx7. arcsin a C6. csc xdxln csc x cot xC 8.ln x C9.dxa 2 2 arcsin x Ca10.dx a2 2ln x C11. 第一类换元积分法(凑微分法):1 x 21x 2a 2 x 2 x2a 2 x 2 x 2 a 2 x 2 x 2a 2为m m 1 g ( x )dx f [( x )]( x )dx f [( x )]d [( x )] 为t ( x ) 12. 第二类换元积分法(典型代换:三角代换、倒代换、根式代换):F [( x )] Cg ( x )dx为 x (t )g [(t )](t )dt f (t )dt F (t ) C F [1( x ) C注:要求代换(t ) 单调且有连续的导数,且“换元须还原”13. 分部积分法(典型题特征:被积函数是两类不同函数的乘积,且任何一个函数不能为另一个函数凑微分)udvuvvdu14. 万能置换公式(针对三角有理函数的积分。
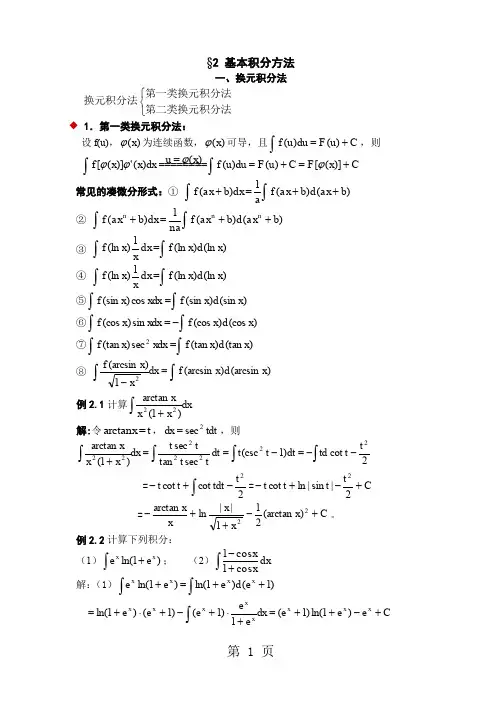
§2 基本积分方法一、换元积分法⎩⎨⎧第二类换元积分法第一类换元积分法换元积分法◆ 1.第一类换元积分法:设f (u ),)(x ϕ为连续函数,)(x ϕ可导,且C u F du u f +=⎰)()(,则C x F C u F du u f dx x x f +=+=========⎰⎰)]([)()()(')]([ϕϕϕ常见的凑微分形式:① ⎰⎰++=+)()(1)(b ax d b ax f adx b ax f ② ⎰⎰++=+)()(1)(b ax d b ax f nadx b ax f n n n ③⎰⎰=)(ln )(ln 1)(ln x d x f dx x x f④ ⎰⎰=)(ln )(ln 1)(ln x d x f dx xx f⑤⎰⎰=)(sin )(sin cos )(sin x d x f xdx x f⑥⎰⎰-=)(cos )(cos sin )(cos x d x f xdx x f ⑦⎰⎰=)(tan )(tan sec )(tan 2x d x f xdx x f⑧ ⎰⎰=-)(arcsin )(arcsin 1)(arcsin 2x d x f dx xx f 例2.1计算dx x x x⎰+)1(arctan 22解:令t x =arctan ,tdt dx 2sec =,则2cot )1(csc sec tan sec )1(arctan 2222222t t td dt t t dt tt t t dx x x x --=-==+⎰⎰⎰⎰=2cot cot 2t dt t t t -+-⎰=C t t t t +-+-2|sin |ln cot 2=C x x x x x +-++-22)(arctan 211||ln arctan 。
例2.2计算下列积分:(1))1ln(x x e e +⎰; (2)⎰+-dx xxcos 1cos 1解:(1)⎰⎰++=+)1()1ln()1ln(x x x x e d e e eC e e e dx ee e e e x x x xxxxx+-++=+⋅+-+⋅+=⎰)1ln()1(1)1()1()1ln( )(x u ϕ=(2)dx xxx dx x x x dx x x ⎰⎰⎰--=-+-=+-222sin cos 2sin 2)cos 1)(cos 1()cos 1(cos 1cos 1 C x x x xx d dx xdx ++--=--=⎰⎰⎰sin 2cot 2sin sin 2csc 222 ◆ 2.第二类换元积分法:)(t ϕ单调、可导且0)(≠'t ϕ,又)()]([t t f ϕϕ'有原函数)(t G 。
4.3 分部积分法
前面介绍的基本积分法和换元积分法的共同特点是经过适当的变形或变换,将不易计算的不定积分转化为易于计算的另一种不定积分,达到化难为易,化未知为已知的目的.
现在我们介绍另一种求不定积分的方法——分部积分法,用于求两种不同类型函数乘积的不定积分,这是与两个函数乘积的导数法则对应的积分方法.
设函数)(x u u =,)(x v v =具有连续导数,因为两个函数乘积的导数公式为 v u v u uv '+'=')( 或 v u uv v u '-'=')( 于是,对上式两边求不定积分,得
⎰⎰⎰'-'='vdx u dx uv dx v u )(
即 ⎰⎰'-='vdx u uv dx v u
(4.3.1)
或
⎰⎰-=vdu uv udv (4.3.2)
上述公式叫做分部积分公式. 例如:
C e xe dx e xe de x dx xe x x x x x x +-=-==⎰⎰⎰
【注】:(1)分部积分法主要用于解决被积函数是两类不同类型函数的乘积的不定积分。
如
dx xe x ⎰,dx x x ⎰sin ,dx x x ⎰ln ,dx x e x ⎰sin 等等。
(2)关键是选择合适的u 和dv ,选取原则:
(a )v 要容易求出。
(b )
du v ⎰比dv u ⎰容易求出。
例如:
x x x x de x e x x d e dx xe ⎰⎰⎰
-=⎪⎭⎫ ⎝⎛=222212
1
21 不合适。
(3)步骤:运用分部积分公式求不定积分⎰dx x f )(的主要步骤是把被积函数)(x f 分解为两部分因式相乘的形式,其中一部分因式看作u,另一部分因式看作v ',而后套用公式,这样就把求不定积分⎰'dx v u 的问题转化为求不定积分⎰'vdx u 的问题.
()dx x f ⎰
()()dx x v x u ⎰'= 确定()x u 和()
x v '
()()x dv x u ⎰= 凑微分
()()()()x du x v x v x u ⎰-= 使用分部积分公式 ()()()()dx x u x v x v x u ⎰'-= 求微分
()()()C x F x v x u +-= 求积分
【例1】求下列不定积分 (1)dx x x ⎰cos (2)dx xe x ⎰2 (3)()
dx x x ⎰+sin 12
解: (1)C x x x dx x x x x d x dx x x ++=-==⎰⎰⎰cos sin sin sin sin cos
(2)
()⎪⎭⎫ ⎝
⎛-===
⎰⎰⎰⎰dx e xe de x x d xe dx xe x
x x x x 222222121221 ()C e xe x d e xe x x x x +-=-=⎰22224
1
2124121 (3)()()()()
⎥⎦
⎤⎢⎣⎡+-+-=+-=+⎰⎰⎰1cos cos 1cos 1sin 12222x d x x x x d x dx x x
(
)
()()
⎥⎦
⎤⎢⎣⎡+++-=++-=++-=⎰⎰⎰dx x x x x x d x x dx x x x x sin sin 21sin 21cos 2cos 1222
(
)
C x x x x +-++-=cos 2sin 212
【注】:
【练习】 (1)dx x
x ⎰
3
cos (2)dx e x x ⎰2
解: (1)
C x x x dx x x x x d x x dx x x +-=⎪⎭⎫ ⎝
⎛
-==⎰⎰⎰
3sin 93cos 33cos 3cos 333cos 33cos
(2)
x
x x x x x x x
de x e x dx xe e x dx e e x de x dx e x ⎰⎰⎰⎰⎰-=-=-==22222222
C e xe e x dx e xe e x x
x x x x x +--=⎪⎭
⎫ ⎝⎛--=⎰2222
【例2】求下列不定积分 (1)dx x x ⎰
ln (2)dx x x ⎰arctan (3)dx x ⎰arcsin
解: (1)
dx x x x x d x x x dx x dx x x ⎰⎰⎰⎰-=⎪⎭⎫ ⎝⎛-==
2
1ln 21ln ln 21ln 21ln 2222 C x x x +-=
224
1
ln 21 (2)
⎪⎭⎫ ⎝
⎛-==
⎰⎰⎰
x d x x x dx x dx x x arctan arctan 21arctan 21arctan 2
22 ⎰+-=dx x x x x 2
22121arctan 21dx x x x ⎰⎪
⎭
⎫ ⎝⎛
+--
=2211121arctan 21 C x x x x ++-=
arctan 2
1
21arctan 212 (3)
⎰
⎰⎰--=-=dx x
x x x x d x x x dx x 2
1arcsin arcsin arcsin arcsin
()
C x x x x d x
x x +-+=--+
=⎰
222
1arcsin 11121
arcsin
【注】
【练习】 ()
()(
)
(
)(
)
dx x x x x x d x x x dx x
⎰⎰
⎰+-+=+-+=+2
2
2
2
2
2
121ln 1ln 1ln 1ln
()()
⎰+--+=⎪
⎭
⎫ ⎝⎛
+--+=C x x x x dx x x x arctan 221ln 11121ln 222
【例3】求下列不定积分
(1)⎰⎰=x x de dx e sin sin )(sin sin x d e x e x x ⎰-=⎰
-=xdx e x e x x cos sin
⎰-=x x xde x e cos sin )cos cos (sin ⎰
--=x d e x e x e x x x ⎰
--=xdx e x x e x x sin )cos (sin (注意循环形式)
所以有 sin (sin cos ).2
x
x
e e dx x x C =-+⎰
注:
(2)
dx x ⎰sin
解:令t x =,则2
t x =,tdt dx 2=
⎪⎭
⎫ ⎝⎛--=-==⎰⎰⎰⎰dt t t t t d t dt t t dx x cos cos 2cos 2sin 2sin
C x x x C t t t ++-=++-=sin 2cos 2sin 2cos 2
(3)
x d x x
d x x d x x dx x x x 2
233csc 21sin 121sin sin sin cos ⎰⎰⎰⎰-=-== C x x x dx x x x +--=⎪⎭⎫ ⎝⎛--=⎰cot 21csc 21csc csc 21222
【练习】 (1)
2
222223cos 2
1sin 21sin x d x dx x x dx x x ⎰⎰⎰-==
C x x x dx x x x ++-=⎪⎭⎫ ⎝⎛--=⎰2222222sin 2
1cos 21cos cos 21
(2)
()
()()()x d x x x x d x dx x x ln ln ln ln ln ln ln ln ln ln ln ⎰⎰⎰-==
()()()C
x x x dx x x x dx x
x x x x +-=-=-=⎰⎰ln ln ln ln ln ln ln 1
ln 1ln ln ln ln
【练习】设()x f 有一个原函数x x ln ,则()='⎰dx x f x
解:
()()()()dx x f x xf x df x dx x f x ⎰⎰⎰-==' 因为()x f 有一个原函数x x ln 所以
()C x x dx x f +=⎰ln
()()()()C x x x x dx x f x xf x df x dx x f x +-=-=='⎰⎰⎰
ln ln 2
⎰-+dx x 3211
.
1练习: ⎰-+12.
2x dx
(注:本资料素材和资料部分来自网络,仅供参考。
请预览后才下载,期待您的好评与关注!)。