全国各地邮政编码区号大全
- 格式:pdf
- 大小:259.08 KB
- 文档页数:39
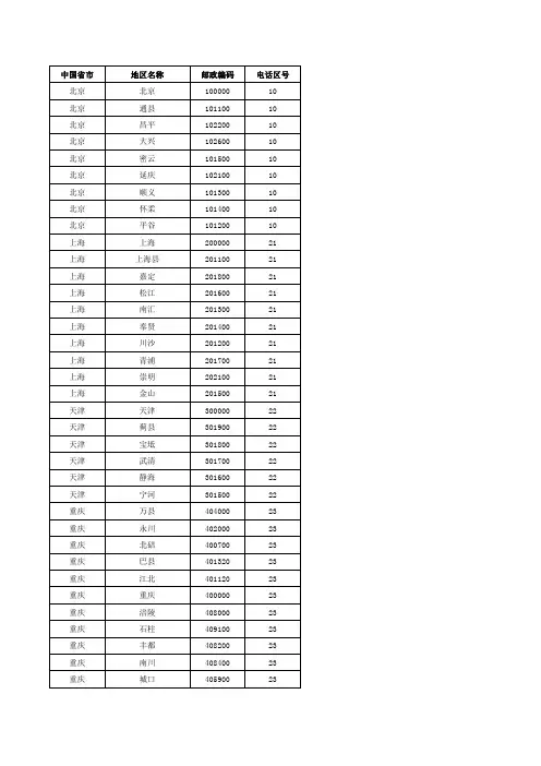
全国邮政编码及长途区号·北京市地区邮政编码长途区号地区邮政编码长途区号北京市100000 010 通县101100 010平谷县101200 010 顺义县101300 010怀柔县101400 010 密云县101500 010延庆县102100 010 昌平县102200 010门头沟区102300 010 房山区102400 010燕山区102500 010 大兴县102600 010·上海市地区邮政编码长途区号地区邮政编码长途区号上海市200000 021 近郊区200100 021上海县201100 021 川沙县201200 021南汇县201300 021 奉贤县201400 021金山县201500 021 松江县201600 021青浦县201700 021 嘉定县201800 021宝山县201900 021 崇明县202100 021·天津市地区邮政编码长途区号地区邮政编码长途区号天津市300000 022 塘沽300450 022汉沽300480 022 宁河县301500 022静海县301600 022 武清县301700 022宝坻县301800 022 县301900 022大港区300270 022·内蒙古地区邮政编码长途区号地区邮政编码长途区号呼和浩特010000 0471 集宁市012000 0474二连浩特012600 0479 包头市014000 0472临河市015000 0478 乌海市016000 0473东胜市017000 0477 海拉尔市021000 0470满洲里市021400 0470 牙克石市022100 0470赤峰市024000 0476 锡林浩特026000 0479乌兰浩特137400 0482 通辽市028000 0475霍林郭勒029200 0475 扎兰屯市162600 0470·山西省地区邮政编码长途区号地区邮政编码长途区号太原市030000 0351 榆次市030600 0354忻州市034000 0350 大同市037000 0352临汾市041000 0357 晋城市048000 0356运城市044000 0359 阳泉市045000 0353长治市046000 0355·河北省地区邮政编码长途区号地区邮政编码长途区号石家庄市050000 0311 南宫市051800 0319辛集市052300 0311 衡水市053000 0318邢台市054000 0319 沙河市054100 0319邯郸市056000 0310 沧州市061000 0317泊头市062100 0317 任丘市062500 0317唐山市063000 0315 秦皇岛市066000 0335北戴河066100 0335 承德市067000 0314保定市071000 0312 涿州市072700 0312定州市073000 0312 张家口市075000 0313廊坊市102800 0316·辽宁省地区邮政编码长途区号地区邮政编码长途区号沈阳市110000 024 辽阳市111000 0419抚顺市113000 0413 鞍山市114000 0412海城市114200 0412 营口市115000 0417大连市116000 0411 瓦房店市116300 0411本溪市117000 0414 丹东市118000 0415锦州市121000 0416 锦西市121500 0416兴城市121600 0429 朝阳市122000 0421北票市122100 0421 阜新市123000 0418盘锦市124000 0427·吉林省地区邮政编码长途区号地区邮政编码长途区号长春市130000 0431 松原市138000 0438吉林市132000 0432 桦甸市132400 0432延吉市133000 0433 图门市133100 0436龙井市133400 0433 敦化市133700 0433通化市134000 0435 集安市134200 0435浑江市134300 0439 梅河口市135000 0448四平市136000 0434 公主岭市136100 0434辽源市136200 0437 白城市137000 0436·黑龙江省地区邮政编码长途区号地区邮政编码长途区号哈尔滨市150000 0451 阿城市150300 0450肇东市151100 04616 绥化市152000 0455伊春市153000 0458 佳木斯市154000 0454鹤岗市154100 0454 七台河市154600 0453双鸭市155100 0454 同江市156400 0454牡丹江市157000 0453 绥汾河市157300鸡西市158100 0453 齐齐哈尔161000 0452大庆市163000 0459 北安市164000 0456黑河市164300 0456 五大连池164500 0456·江苏省地区邮政编码长途区号地区邮政编码长途区号南京市210000 025 仪征市211400 0514镇江市212000 0511 丹阳市212300 0511常州市213000 0519 无锡市214000 0510宜兴市2142000 0510 江阴市214400 0510苏州市215000 0512 常熟市215500 0520徐州市221000 0516 连云港市222000 0518淮阴市223000 0517 淮安市223200 0517宿迁市223800 0527 盐城市224000 0515东台市224200 0515 扬州市225000 0514泰州市225300 0523 兴化市225700南通市226000 0513·安徽省地区邮政编码长途区号地区邮政编码长途区号合肥市230000 0551 淮南市232000 0554蚌埠市233000 0552 宿州市234000淮北市235000 0561 阜阳市236000 0558毫州市236800 0558 六安市237000 0564巢湖市238000 0565 滁州市239000 0550芜湖市241000 0553 宣州市242000 0563黄山市242700 0559 马鞍山市243000 0555铜陵市244000 0562 黄山市245000安庆市246000 0556·山东省地区邮政编码长途区号地区邮政编码长途区号济南市250000 0531 聊城市252000 0635临清市252600 0635 德州市253000 0534东营市257000 05461 潍坊市261000 0536诸城市262200 0536 青州市262500 0536烟台市264000 0535 威海市264200 0596青岛市266000 0532 泰安市271000 0538莱芜市271100 0634 新泰市271200 0538济宁市272100 0537 曲阜市273100 0537荷泽市274000 0530 临沂市276000 0539日照市276800 0633 枣庄市277100 0632藤州市277500·浙江省地区邮政编码长途区号地区邮政编码长途区号杭州市310000 0571 萧山市311200 0571绍兴市312000 0575 湖州市313000 0572嘉兴市314000 0573 海宁市3144000 0573宁波市315000 0574 余姚市315400 0574舟山市316000 0580 临海市317000 0576椒江市317700 0576 金华市321000 0579兰溪市321100 0579 丽水市323000 0578衙州市324000 0570 江山市324100 0570温州市325000 0577 义乌市322000 0579东阳市322100 0579 瑞安市325200 0577·江西省地区邮政编码长途区号地区邮政编码长途区号南昌市330000 0791 九江市332000 0792景德镇市333000 0798 上饶市334000 0793鹰潭市335000 0701 伊春市335000 0795新余市336500 0790 萍乡市337000 0799赣州市341000 0797 吉安市343000 0796井冈山市343600 抚州市344000 0794临川市344100 0794·福建省地区邮政编码长途区号地区邮政编码长途区号福州市350000 0591 莆田市351100 0594南平市353000 0599 邵武市354000 0599厦门市361000 0592 泉州市362000 0595石狮市362700 0595 漳州市363000 0596龙岩市364000 0597 三明市365000 0598永安市366000·湖南省地区邮政编码长途区号地区邮政编码长途区号长沙市410000 0731 湘潭市411100 0732吉首市416000 0743 株洲市412000 0733益阳市413000 0737 岳阳市414000 0730汨罗市414400 0730 常德市415000 0736津市市415400 0736 湘乡市411400 0732张家界市416600 0744 娄底市417000 0738连源市417100 冷水江市417500 0738怀化市418000 0745 洪江市418200 0745衡阳市421000 0734 来阳市421800邵阳市422000 0739 彬州市423000 0735永州市425000 0746 冷水滩市425100·湖北省地区邮政编码长途区号地区邮政编码长途区号武汉市430000 027 麻城市431600 0713天门市431700 0728 孝感市432100 0712应城市432400 0712 安陆市432600 0712仙桃市433000 洪湖市433200 0728沙市市434000 0716 石首市434400 0716荆门市434500 0727 黄石市435000 0714鄂州市436000 0711 武穴市436400 0713咸宁市437000 0715 襄樊市437300 0710蒲昕市441000 随州市441300 0722老河口市441800 0710 丹江口市441900 0719十堰市442000 0719 宜昌市443000 0717枝城市443300 0717 恩施市445000 0718利川市445400 0718·河南省地区邮政编码长途区号地区邮政编码长途区号郑州市450000 0371 新乡市453000 0373焦作市454100 0391 安阳市455000 0372鹤壁市456600 0392 濮阳市457000 0393许昌市461000 0374 缧河市462000驻马店市463000 0396 信阳市464000 0376周口市466000 0394 平顶山市467000 0375洛阳市471000 0379 三门峡市472000 0398义马市472300 0398 南阳市473000 0377开封市475000 0378 商丘市476000 0375·广东省地区邮政编码长途区号地区邮政编码长途区号广州市510000 020 清远市511500 0761东莞市511700 0769 韶关市512000 0751梅州市514000 0753 汕头市515000 0754潮州市515600 0768 惠州市516000 0752汕尾市516600 0660 河源市517000 0762深圳市518000 0755 湛江市524000 0759茂名市525000 0668 肇庆市526000 0758佛山市528000 0757 中山市5284000 0760江门市529000 0750 阳江市529500 0662·海南省地区邮政编码长途区号地区邮政编码长途区号海口市570000 0898 三亚市572100 0899通什市572200 0899·广西地区邮政编码长途区号地区邮政编码长途区号南宁市530000 0771 凭祥市532600 0771百色市533000 0776 钦州市535000 0777北海市536000 0779 玉林市537000 0775桂林市541000 0773 梧州市543000 0774柳州市545000 0772 台山市546500河池市547000 0778·贵州省地区邮政编码长途区号地区邮政编码长途区号贵阳市550000 0851 六盘水市553000 0858铜仁市554300 0856 凯里市556000 0855都匀市558000 0854 安顺市561000 0853兴义市562400 0859 遵义市563000 0852赤水市564700·四川省地区邮政编码长途区号地区邮政编码长途区号成都市610000 028 乐山市614000 0833西昌市615000 0834 攀枝花市617000 0812得阳市618000 0838 绵阳市621000 0816雅安市625000 0835 广元市628000 0839遂宁市629000 0825 重庆市630000 0811万县市634000 0819 达县市635000 0818南充市637000 0817 华鉴市638600内江市641000 0832 自贡市643000 0813宜宾市644000 0831 泸州市646000 0830涪陵市648000 0810·云南省地区邮政编码长途区号地区邮政编码长途区号昆明市650000 0871 东川市654100 0881曲靖市655000 0874 照通市657000 0870开远市661000 0873 个旧市661400 0873大理市671000 0872 楚雄市675000 0878宝山市678000 0875·陕西省地区邮政编码长途区号地区邮政编码长途区号西安市710000 029 咸阳市712000 0910渭南市714000 0913 韩城市715400 0913延安市716000 0911 宝鸡市721000 0917汉中市723000 0916 铜川市727000 0919·甘肃省地区邮政编码长途区号地区邮政编码长途区号兰州市730000 0931 白银市730900 0943临夏市731100 0930 武威市733000 0935张掖市734000 0936 酒泉市735000 0937嘉峪关市735100 0937 玉门市735200 0937金昌市737100 0935 天水市741000 0938平凉市744000 0933 西峰市745000 0934·宁夏地区邮政编码长途区号地区邮政编码长途区号银川市750000 0951 吴忠市751100 0953青铜峡市751600 0953 石嘴山市753000 0952·青海省地区邮政编码长途区号地区邮政编码长途区号西宁市810000 0971 格尔木市816000 0979德令哈市817000 0977·新疆地区邮政编码长途区号地区邮政编码长途区号乌鲁木齐830000 0991 昌吉市831100 0994石河子市832000 0993 奎屯市833200 0992博乐市833400 0909 克拉玛依834000 0990塔城市834700 0901 伊宁市835000 0999阿勒泰市836500 0906 吐鲁番市838000 0995哈密市839000 0902 库尔勒市841000 0996阿克苏市843000 0997 喀什市844000 0998阿图什市845300 0908 和田市848000 0903·西藏地区邮政编码长途区号地区邮政编码长途区号拉萨市850000 0891 日喀则市857000 0892·香港、澳门、台湾地区邮政编码长途区号地区邮政编码长途区号香港999077 00852 澳门999078 00853台北999079 2 高雄999079 7。
地区名称所属邮政编码电话区号北京北京100000010通县北京101100010昌平北京102200010大兴北京102600010密云北京101500010延庆北京102100010顺义北京101300010怀柔北京101400010平谷北京101200010上海上海200000021上海县上海201100021嘉定上海201800021松江上海201600021南汇上海201300021奉贤上海201400021川沙上海201200021青浦上海201700021崇明上海202100021金山上海201500021天津天津 300000022蓟县天津 301900022宝坻天津 301800022武清天津 301700022静海天津 301600022宁河天津 301500022万县重庆404000023永川重庆402000023北碚重庆400700023巴县重庆401320023江北重庆401120023重庆重庆400000023涪陵重庆408000023石柱重庆409100023丰都重庆408200023南川重庆408400023城口重庆405900023巫溪重庆405800023奉节重庆404600023云阳重庆404500023忠县重庆404300023梁平重庆405200023开县重庆405400023大足重庆402360023荣昌重庆402460023壁山重庆402760023铜梁重庆402560023潼南重庆402660023合川重庆401520023江津重庆402260023双桥重庆400900023南桐重庆400800023长寿重庆401220023綦江重庆401420023黔江重庆409700023武隆重庆408500023垫江重庆408300023巫山重庆404700023香港香港852澳门澳门853阿莲台湾000822886安定台湾000745887安平台湾000708888八德台湾000334889八里台湾000249890白河台湾000732891白沙台湾000884892板桥台湾000220893褒忠台湾000634894宝山台湾000308895卑南台湾000931896北斗台湾000521897北港台湾000651898北门台湾000727899北埔台湾000314900北投台湾000112901补子台湾000613902布袋台湾000739903草屯台湾000542904长宾台湾000937905长治台湾000905906潮州台湾000910907车城台湾000923908城中区台湾000100909成功台湾000936910池上台湾000934911春日台湾000920912刺桐台湾000647913寿县安徽2322000564舒城安徽2313000564六安安徽2370000564绩溪安徽2453000563广德安徽2422000563旌德安徽2426000563宁国安徽2423000563郎溪安徽2421000563泾县安徽2425000563宣州安徽2420000563铜陵县安徽2441000562铜陵安徽2440000562濉溪安徽2351000561淮北安徽2350000561黟县安徽2455000559休宁安徽2454000559祁门安徽2456000559歙县安徽2452000559黄山安徽2450000559利辛安徽2367000558太和安徽2366000558颍上安徽2362000558界首安徽2365000558涡阳安徽2336000558蒙城安徽2335000558阜南安徽2363000558毫州安徽2368000558阜阳安徽2360000558泗县安徽2343000557灵壁安徽2342000557砀山安徽2353000557萧县安徽2352000557宿州安徽2340000557岳西安徽2466000556怀宁安徽2461000556宿松安徽2465000556潜山安徽2463000556望江安徽2462000556桐城安徽2314000556枞阳安徽2467000556太湖安徽2464000556安庆安徽2460000556当涂安徽2431000555马鞍山安徽2430000555凤台安徽2321000554淮南安徽2320000554南陵安徽2424000553繁昌安徽2412000553芜湖县安徽2411000553芜湖安徽2410000553固镇安徽2337000552怀远安徽2334000552五河安徽2333000552蚌埠安徽2330000552长丰安徽2311000551肥西安徽2312000551肥东安徽2316000551明光安徽2394000550定远安徽2332000550来安安徽2392000550天长安徽2393000550凤阳安徽2331000550全椒安徽2395000550滁州安徽2390000550合肥安徽2300000551石台安徽2451000566东至安徽2472000566青阳安徽2428000566贵池安徽2471000566含山安徽2381000565和县安徽2382000565庐江安徽2315000565无为安徽2383000565金寨安徽2373000564霍山安徽2372000564霍邱安徽2374000564福州福建3500000591闽候福建3501000591连江福建3505000591长乐福建3502000591福清福建3503000591平潭福建3504000591永泰福建3507000591闽清福建3508000591罗源福建3506000591厦门福建3610000592同安福建3611000592宁德福建3521000593福安福建3550000593柘荣福建3553000593福鼎福建3552000593霞浦福建3551000593寿宁福建3555000593古田福建3522000593屏南福建3523000593周宁福建3554000593莆田福建3511000594仙游福建3512000594泉州福建3620000595晋江福建3622000595南安福建3623000595安溪福建3624000595永春福建3626000595德化福建3625000595惠安福建3621000595石狮福建3627000595漳州福建3630000596南靖福建3636000596华安福建3638000596长泰福建3639000596龙海福建3631000596漳浦福建3632000596云霄福建3633000596东山福建3634000596诏安福建3635000596平和福建3637000596龙岩福建3640000597漳平福建3644000597永定福建3641000597上杭福建3642000597武平福建3643000597长汀福建3663000597连城福建3662000597三明福建3650000598沙县福建3655000598尤溪福建3651000598大田福建3661000598永安福建3660000598清流福建3653000598宁化福建3654000598明溪福建3652000598建宁福建3545000598泰宁福建3544000598将乐福建3533000598南平福建3530000599建瓯福建3531000599顺昌福建3532000599建阳福建3542000599邵武福建3540000599浦城福建3534000599松溪福建3535000599政和福建3536000599光泽福建3541000599武夷山福建3543000599临夏市甘肃7311000930兰州甘肃7300000931红古区甘肃7300000931皋兰甘肃7302000931榆中甘肃7301000931永登甘肃7303000931定西甘肃7430000932静宁甘肃7434000933泾川甘肃7443000933灵台甘肃7444000933崇信甘肃7442000933华亭甘肃7441000993庄浪甘肃7417000993西峰甘肃7450000934金昌甘肃7330000935民勤甘肃7333000935天祝甘肃7332000935古浪甘肃7331000935金川甘肃7371000935永昌甘肃7372000935张掖甘肃7340000936山丹甘肃7341000936高台甘肃7343000936民乐甘肃7345000936临泽甘肃7342000936萧南甘肃7344000936酒泉甘肃7350000937玉门甘肃7352000937安西甘肃7361000937敦煌甘肃7362000937金塔甘肃7353000937阿克塞甘肃7364000937嘉峪关甘肃7351000937肃北甘肃7363000937天水甘肃7410000938甘谷甘肃7412000938武山甘肃7413000938秦安甘肃7416000938张家川甘肃7415000938清水甘肃7414000938武都甘肃7460000939白银甘肃7309000943靖远甘肃7306000943平凉甘肃7440000943景泰甘肃7304000943会宁甘肃7432000943临夏县甘肃73180009401永靖甘肃73160009402和政甘肃73120009403东乡甘肃73140009404康乐甘肃73150009405广河甘肃73130009406积石山甘肃73170009407甘南州甘肃74700009411夏河甘肃74710009412临潭甘肃74750009413舟曲甘肃74630009414碌曲甘肃74720009415玛曲甘肃74730009416旧尼甘肃74760009417迭部甘肃74740009418陇西甘肃74810009421漳县甘肃74830009422通渭甘肃74330009423岷县甘肃74840009424临洮甘肃73050009425渭源甘肃74820009426庆阳甘肃74510009441宁县甘肃74520009442镇原甘肃74450009443环县甘肃74570009444合水甘肃74540009445正宁甘肃74530009446华池甘肃74560009447成县甘肃74250009491康县甘肃74650009492文县甘肃74640009493宕昌甘肃74850009494西和甘肃74210009495礼县甘肃74220009496徽县甘肃74230009497两当甘肃74240009498广州广东510000020番禺广东511400020花县广东510800020从化广东510900020增城广东511300020汕尾广东5166000660海丰广东5164000660陆河广东5167000660潮阳广东5151000661阳江广东5295000662阳春广东5296000662阳东广东5295000662阳西广东5298000662揭阳广东5155000663揭东广东5155000663惠来广东5152000663揭西广东5154000663普宁广东5153000663茂名广东5250000668化州广东5251000668高州广东5252000668信宜广东5253000668电白广东5254000668江门广东5290000750台山广东5292000750开平广东5293000750恩平广东5294000750新会广东5291000750鹤山广东5297000750韶关广东5120000751曲江广东5121000751翁源广东5126000751新丰广东5111000751始兴广东5125000751仁化广东5123000751南雄广东5124000751乳源广东5127000751乐昌广东5122000751惠州广东5160000752惠东广东5263000752惠阳广东5162000752博罗广东5161000752龙门广东5112000752梅州广东5140000753梅县广东5140000753蕉岭广东5141000753大埔广东5142000753丰顺广东5143000753五华广东5144000753兴宁广东5145000753平远广东5146000753汕头广东5150000754澄海广东5158000754南澳广东5159000754深圳广东5180000755宝安广东5181000755珠海广东5190000756斗门广东5191000756佛山广东5280000757南海广东5282000757高明广东5285000757肇庆广东5260000758高要广东5261000758四会广东5262000758怀集广东5264000758封开广东5265000758德庆广东5266000758广宁广东5263000758湛江广东5240000759遂溪广东5243000759廉江广东5244000759吴川广东5245000759徐闻广东5241000759雷州广东5242000759中山广东5284000760河源广东5170000762连平广东5171000762和平广东5172000762龙川广东5173000762紫金广东5174000762清远广东5115000763佛冈广东5116000763英德广东5130000763连山广东5132000763阳山广东5131000763连南广东5133000763连州广东5134000763顺德广东5283000765云浮广东5273000766罗定广东5272000766郁南广东5271000766新兴广东5274000766潮州广东5156000768潮安广东5156000768饶平广东5157000768东莞广东5117000769防城港广西5357000770上思广西5355000770南宁广西5300000771上林广西5305000771凭祥广西5326000771邕宁广西5302000771崇左广西5322000771宁明广西5325000771武鸣广西5301000771马山广西5306000771龙州广西5324000771宾阳广西5304000771大新广西5323000771天等广西5328000771横县广西5303000771隆安广西5327000771扶绥广西5321000771柳州广西5450000772柳江广西5451000772鹿寨广西5456000772柳城广西5452000772三江广西5455000772融安广西5454000772融冰广西5453000772金秀广西5457000772合山广西5465000772忻城广西5462000772来宾广西5461000772武宣广西5459000772象州广西5458000772桂林广西5410000773阳朔广西5419000773临桂广西5411000773荔浦广西5466000773灌阳广西5416000773平乐广西5424000773兴安广西5413000773灵川广西5412000773全州广西5415000773永福广西5418000773龙胜广西5417000773恭城广西5425000773资源广西5414000773梧州广西5430000774苍梧广西5431000774藤县广西5433000774岑溪广西5432000774昭平广西5468000774贺县广西5428000774蒙山广西5467000774钟山广西5426000774富川广西5427000774玉林广西5370000775容县广西5375000775北流广西5374000775陆川广西5377000775博白广西5376000775贵港广西5371000775桂平广西5372000775平南广西5373000775百色广西5330000776田林广西5333000776隆林广西5334000776西林广西5335000776凌云广西5331000776田阳广西5336000776靖西广西5338000776田东广西5315000776乐业广西5332000776平果广西5314000776德保广西5337000776那坡广西5339000776钦州广西5350000777灵山广西5354000777浦北广西5353000777河池广西5470000778宜州广西5463000778罗城广西5464000778环江广西5471000778天峨广西5473000778凤山广西5476000778东兰广西5474000778南丹广西5472000778巴马广西5475000778都安广西5307000778大化广西5308000778北海广西5360000779合浦广西5361000779贵阳贵州5500000851清镇贵州5514000851修文贵州5502000851息烽贵州5511000851开阳贵州5503000851遵义贵州5630000852赤水贵州5647000852习水贵州5646000852仁怀贵州5645000852遵义县贵州5631000852桐梓贵州5632000852绥阳贵州5333000852正安贵州5634000852道真贵州5635000852湄潭贵州5641000852凤冈贵州5642000852务川贵州5643000852余庆贵州5644000852安顺贵州5610000853都匀贵州5580000854凯里贵州5560000855铜仁贵州5643000856毕节贵州5517000857六盘水贵州5530000858兴义贵州5624000859册亨贵州5522000859望谟贵州5523000859安龙贵州5524000859兴仁贵州5623000859贞丰贵州5622000859普安贵州5615000859晴隆贵州5614000859平坝贵州56110008631紫云贵州55080008632关岭贵州56130008633镇宁贵州56120008634普定贵州56210008635贵定贵州55130008640福泉贵州55050008641瓮安贵州55040008642三都贵州55810008643荔波贵州55840008644独山贵州55820008645平塘贵州55830008646罗甸贵州55010008647惠水贵州55060008648龙里贵州55120008649榕江贵州55720008650黄平贵州55610008651施秉贵州55620008652镇远贵州55770008653岑巩贵州55780008654三穗贵州55650008655天柱贵州55660008656锦屏贵州55670008657黎平贵州55730008658从江贵州55740008659沿河贵州56530008661松桃贵州55410008662万山贵州55420008663玉屏贵州55400008664江口贵州55440008665石阡贵州55510008666思南贵州56510008667印江贵州55520008668德江贵州56520008669长顺贵州55070008670威宁贵州55310008671赫章贵州55320008672纳雍贵州55330008673黔西贵州55150008674大方贵州55160008675金沙贵州55180008676织金贵州55210008677剑河贵州55640008680六枝贵州55340008681盘县贵州56160008682雷山贵州55710008686丹寨贵州55750008687麻江贵州55760008688台江贵州55630008689海口海南5700000898澄迈海南5719000898安定海南5712000898文昌海南5713000898屯昌海南5716000898琼海海南5714000898万宁海南5715000898琼山海南5711000898三亚海南5720000899通什海南5722000899保亭海南5723000899陵水海南5724000899琼中海南5729000899儋州海南5717000890白沙海南5728000890洋浦海南5780000890东方海南5726000890昌江海南5727000890临高海南5718000890石家庄河北0500000311获鹿河北0502000311正定河北0508000311栾城河北0514000311井陉河北0503000311元氏河北0511000311新乐河北0507000311无极河北0524000311深泽河北0525000311辛集河北0523000311晋州河北0522000311赵县河北0515000311赞皇河北0512000311高邑河北0513000311平山河北0504000311灵寿河北0505000311行唐河北0506000311保定河北0710000312潢城河北0721000312清苑河北0711000312涞水河北0741000312易县河北0742000312涞源河北1029000312唐县河北0723000312定兴河北0726000312涿州河北0727000312高碑店河北0740000312博野河北0713000312安国河北0712000312定州河北0730000312曲阳河北0731000312阜平河北0732000312高阳河北0715000312徐水河北0725000312容城河北0717000312雄县河北0718000312安新河北0716000312望都河北0724000312蠡县河北0714000312顺平河北0722000312张家口河北0750000313宣化河北0751000313怀安河北0761000313万全河北0762000313康保河北0766000313赤城河北0755000313怀来河北0754000313涿鹿河北0756000313蔚县河北0757000313阳原河北0758000313承德河北0670000314承德县河北0674000314兴隆河北0673000314隆化河北0681000314围场河北0684000314平泉河北0675000314宽城河北0676000314丰宁河北0683000314滦平河北0682000314唐山河北0630000315玉田河北0641000315滦县河北0637000315遵化河北0642000315滦南河北0635000315唐海河北0632000315丰南河北0633000315乐亭河北0636000315丰润河北0640000315迁安河北0644000315迁西河北0643000315廊坊河北1028000316霸州河北0657000316永清河北3026500316大城河北3029500316文安河北3028500316固安河北1027000316香河河北3025500316大厂河北1017000316三河河北1016000316沧州河北0610000317黄骅河北0611000317海兴河北0612000317盐山河北0613000317孟村河北0614000317青县河北0626000317南皮河北0615000317东光河北0616000317吴桥河北0618000317泊头河北0621000317河间河北0624000317肃宁河北0623000317任丘河北0625000317献县河北0622000317衡水河北0530000318景县河北0535000318故城河北2538000318枣强河北0531000318冀县河北0532000318深州河北0528000318安平河北0526000318邢台河北0540000319临西河北0578000319内丘河北0542000319临城河北0543000319柏乡河北0554000319宁晋河北0516000319隆尧河北0553000319巨鹿河北0552000319新河河北0517000319南宫河北0518000319清河河北0548000319威县河北0547000319广宗河北0546000319平乡河北0545000319南和河北0544000319任县河北0551000319沙河河北0541000319邯郸河北0560000310武安河北0563000310临漳河北0566000310磁县河北0565000310涉县河北0564000310成安河北0567000310永年河北0571000310鸡泽河北0573000310曲周河北0572000310丘县河北0574000310馆陶河北0577000310大名河北0569000310魏县河北0568000310广平河北0576000310肥乡河北0575000310秦皇岛河北0660000335昌黎河北0666000335卢龙河北0664000335抚宁河北0663000335青龙河北0665000335商丘河南4760000370商丘县河南4761000370虞城河南4763000370夏邑河南4764000370永城河南4766000370柘城河南4762000370宁陵河南4767000370荥阳河南4501000371新郑河南4511000371中牟河南4514000371新密河南4523000371登封河南4524000371巩义河南4512000371安阳河南4550000372安阳县河南4551000372汤阴河南4561000372林州河南4565000372内黄河南4563000372滑县河南4564000372新乡河南4537000373卫辉河南4531000373延津河南4532000373原阳河南4535000373获嘉河南4538000373长垣河南4534000373封丘河南4533000373辉县河南4536000373许昌河南4610000374长葛河南4615000374鄢陵河南4612000374禹州河南4525000374平顶山河南4670000375舞钢河南4625000375郏县河南4671000375襄城河南4526000375叶县河南4672000375鲁山河南4673000375宝丰河南4674000375汝州河南4675000375信阳河南4640000376信阳县河南4641000376罗山河南4642000376卧龙河南4730000377宛城河南4731000377邓州河南4741000377西峡河南4745000377浙川河南4744000377方城河南4732000377社旗河南4733000377唐河河南4734000377新野河南4735000377镇平河南4742000377南召河南4746000377桐柏河南4747000377内乡河南4743000377开封河南4750000378开封县河南4751000378洛阳河南4710000379洛宁河南4717000379孟津河南4711000379偃师河南4719000379伊川河南4713000379宜阳河南4716000379新安河南4718000379汝阳河南4712000379嵩县河南4714000379栾川河南4715000379焦作河南4541000391修武河南4543000391武陟河南4549000391温县河南4548000391孟县河南4547000391博爱河南4544000391沁阳河南4545000391济源河南4546000391鹤壁河南4566000392浚县河南4562000392淇县河南4567000392濮阳河南4570000393濮阳县河南4570020393台前河南4576000393范县河南4575000393南乐河南4574000393清丰河南4573000393周口河南4660000394西华河南4666000394淮阳河南4667000394郸城河南4771000394鹿邑河南4772000394沈丘河南4663000394项城河南4662000394扶沟河南4613000394太康河南4754000394商水河南4661000394漯河河南4620000395临颖河南4626000395舞阳河南4624000395郾城河南4623000395驻马店河南4630000396泌阳河南4637000396遂平河南4631000396汝南河南4633000396确山河南4632000396西平河南4621000396上蔡河南4638000396平舆河南4634000396新蔡河南4635000396光山河南4654000397新县河南4655000397淮滨河南4644000397固始河南4652000397商城河南4653000397息县河南4643000397三门峡河南4720000398卢氏河南4722000398渑池河南4724000398义马河南4723000398灵宝河南4725000398陕县河南4721000398哈尔滨黑龙江1500000451阿城黑龙江1503000451通河黑龙江1509000451方正黑龙江1508000451尚志黑龙江1506000451延寿黑龙江1507000451双成黑龙江1501000451肇东黑龙江1511000451宾县黑龙江1504000451木兰黑龙江1519000451五常黑龙江1502000451巴彦黑龙江1518000451呼兰黑龙江1505000451齐齐哈尔黑龙江1610000452克山黑龙江1616000452拜泉黑龙江1617000452依安黑龙江1615000452龙江黑龙江1611000452讷河黑龙江1613000452甘南黑龙江1621000452富裕黑龙江1612000452克东黑龙江1618000452泰来黑龙江1624000452牡丹江黑龙江1570000453林口黑龙江1576000453穆棱黑龙江1575000453东宁黑龙江1572000453海林黑龙江1571000453宁安黑龙江1574000453绥芬河黑龙江1573000453虎林黑龙江1584000453鸡西黑龙江1581000453鸡东黑龙江1582000453密山黑龙江1583000453七台河黑龙江1546000453勃利黑龙江1545000453佳木斯黑龙江1540000454依兰黑龙江1548000454汤原黑龙江1547000454桦南黑龙江1544000454抚远黑龙江1565000454同江黑龙江1564000454桦川黑龙江1543000454饶河黑龙江1567000454萝北黑龙江1542000454鹤岗黑龙江1541000454绥滨黑龙江1562000454双鸭山黑龙江1551000454友谊黑龙江1569000454宝清黑龙江1566000454集贤黑龙江1549000454绥化黑龙江1520000458明水黑龙江1517000458庆安黑龙江1524000458海伦黑龙江1523000458绥棱黑龙江1522000458望奎黑龙江1521000458兰西黑龙江1515000458青冈黑龙江1516000458黑河黑龙江1643000456北安黑龙江1640000456孙吴黑龙江1642000456逊克黑龙江1644000456德都黑龙江1641000456嫩江黑龙江1614000456五大连池黑龙江1645000456加格达奇黑龙江1650000457塔河黑龙江1652000457呼玛黑龙江1651000457漠河黑龙江1653000457伊春黑龙江1530000458嘉荫黑龙江1532000458铁力黑龙江1525000458大庆黑龙江1630000459林甸黑龙江1623000459安达黑龙江1514000459肇州黑龙江1512000459杜尔伯特黑龙江1620000459肇源黑龙江1513000459武汉湖北430000027武昌湖北430200027武昌县湖北430200027蔡甸湖北430100027黄陂湖北432200027新洲湖北431400027襄樊湖北4410000710襄阳湖北4411000710宜城湖北4414000710南漳湖北4415000710谷城湖北4417000710枣阳湖北4412000710老河口湖北4418000710保康湖北4416000710孝感湖北4321000712大悟湖北4328000712汉川湖北4323000712应城湖北4324000712云梦湖北4325000712安陆湖北4326000712广水湖北4327000712黄冈湖北4361000713黄州湖北4361000713麻城湖北4316000713红安湖北4315000713浠水湖北4362000713罗田湖北4366000713英山湖北4367000713蕲春湖北4363000713黄梅湖北4365000713武穴湖北4364000713黄石湖北4350000714大冶湖北4351000714阳新湖北4352000714咸宁湖北4370000715通山湖北4376000715崇阳湖北4375000715通城湖北4374000715蒲圻湖北4373000715嘉鱼湖北4372000715荆沙湖北4341000716沙市湖北4340000716监利湖北4333000716石首湖北4344000716公安湖北4343000716松滋湖北4342000716钟祥湖北4319000716京山湖北4318000716宜昌湖北4430000717宜昌县湖北4431000717远发湖北4442000717当阳湖北4441000717枝江湖北4432000717枝城湖北4433000717长阳湖北4435000717五峰湖北4434000717秭归湖北4436000717兴山湖北4437000717恩施湖北4450000718建始湖北4453000718巴东湖北4443000718鹤峰湖北4458000718宣恩湖北4455000718来凤湖北4457000718咸丰湖北4456000718利川湖北4454000718十堰湖北4420000719丹江口湖北4419000719房县湖北4421000719神农架湖北4424000719竹山湖北4422000719竹溪湖北4423000719郧西湖北4426000719随枣湖北4412000722随州湖北4413000722荆门湖北4345000727仙桃湖北4330000728天门湖北4317000728潜江湖北4331000728洪湖湖北4332000716温泉湖北4371000715岳阳湖南4140000730岳阳县湖南4141000730湘阴湖南4105000730华容湖南4142000730临湘湖南4143000730平江湖南4104000730汨罗湖南4144000730长沙湖南4100000731长沙县湖南4101000731宁乡湖南4106000731望城湖南4102000731浏阳湖南4103000731湘潭湖南4111000732湘潭县湖南4112000732韶山湖南4113000732湘乡湖南4114000732株洲湖南4120000733株洲县湖南4121000733攸县湖南4123000733茶陵湖南4124000733醴陵湖南4122000733炎陵湖南4125000733衡阳湖南4210000734衡阳县湖南4212000734耒阳湖南4218000734常宁湖南4215000734衡南湖南4211000734衡东湖南4214000734衡山湖南4213000734祁东湖南4216000734郴州湖南4230000735资兴湖南4234000735桂东湖南4235000735汝城湖南4241000735临武湖南4243000735嘉禾湖南4245000735安仁湖南4236000735桂阳湖南4244000735永兴湖南4233000735常德湖南4151000736桃源湖南4257000736汉寿湖南4159000736石门湖南4153000736澧县湖南4255000736津市湖南4154000736安乡湖南4156000736临澧湖南4152000736益阳湖南4130000737桃江湖南4134000737安化湖南4135000737南县湖南4132000737沅江湖南4131000737娄底湖南4170000738双峰湖南4115000738冷水江湖南4175000738新化湖南4176000738涟源湖南4171000738邵阳湖南4220000739邵阳县湖南4221000739新宁湖南4227000739城步湖南4225000739新邵湖南4229000739绥宁湖南4226000739武岗湖南4224000739洞口湖南4223000739邵东湖南4228000739隆回湖南4222000739吉首湖南4160000743凤凰湖南4162000743龙山湖南4168000743永顺湖南4167000743保靖湖南4165000743花垣湖南4164000743古丈湖南4163000743泸溪湖南4161000743张家界湖南4166000744桑植湖南4169000744慈利湖南4158000744怀化湖南4180000745麻阳湖南4194000745芷江湖南4191000745黔阳湖南4181000745溆浦湖南4193000745通道湖南4185000745靖州湖南4184000745会同湖南4183000745新晃湖南4192000745辰溪湖南4195000745沅陵湖南4196000745洪江湖南4182000745永州湖南4250000746东安湖南4259000746祁阳湖南4217000746新田湖南4257000746宁远湖南4256000746蓝山湖南4258000746江华湖南4255000746江永湖南4254000746道县湖南4253000746双牌湖南4252000746长春吉林1300000431双阳吉林1306000431农安吉林1302000431九台吉林1305000431德惠吉林1303000431榆树吉林1304000431吉林吉林1320000432永吉吉林1322000432磬石吉林1323000432桦甸吉林1324000432蛟河吉林1325000432舒兰吉林1326000432延吉吉林1330000433汪清吉林1332000433和龙吉林1335000433安图吉林1336000433敦化吉林1337000433图们吉林1331000433龙井吉林1334000433四平吉林1360000434双辽吉林1364000434犁树吉林1365000434公主岭吉林1361000434通化吉林1340000435通化县吉林1341000435集安吉林1342000435白城吉林1370000436通榆吉林1372000436大安吉林1313000436洮南吉林1371000436镇赉吉林1373000436辽源吉林1362000437东辽吉林1366000437东丰吉林1363000437松原吉林1310000438扶余吉林1312000438前郭吉林1311000438长岭吉林1315000438乾安吉林1314000438临江吉林1341000439靖宇吉林1352000439长白吉林1344000439抚松吉林1345000439江源吉林1343000439珲春吉林1333000440梅河口吉林1350000448柳河吉林1353000448辉南吉林1351000448南京江苏210000025江浦江苏211800025六合江苏211500025江宁江苏211100025高淳江苏211300025溧水江苏211200025无锡江苏2140000510江阴江苏2144000510宜兴江苏2142000510锡山江苏2141000510镇江江苏2120000511丹徒江苏2121000511丹阳江苏2123000511句容江苏2124000511扬中江苏2122000511苏州江苏2150000512吴江江苏2152000512吴县江苏2151000512南通江苏2263000513如东江苏2264000513如皋江苏2265000513通州市江苏2263000513海门江苏2261000513启东江苏2262000513海安江苏2266000513扬州江苏2250000514江都江苏2252000514邗江江苏2251000514仪征江苏2114000514高邮江苏2256000514宝应江苏2258000514盐城江苏2240000515响水江苏2246000515滨海江苏2245000515阜宁江苏2244000515射阳江苏2243000515建湖江苏2247000515大丰江苏2241000515东台江苏2242000515徐州江苏2210000516铜山江苏2211000516丰县江苏2217000516沛县江苏2216000516邳县江苏2213000516新沂江苏2214000516睢宁江苏2212000516淮阴江苏2230000517淮阴县江苏2233000517淮安江苏2232000517洪泽江苏2231000517金湖江苏2116000517涟水江苏2234000517盱眙江苏2117000517连云港江苏2220000518东海江苏2223000518赣榆江苏2221000518灌云江苏2222000518灌南江苏2235000518常州江苏2130000519武进江苏2131000519金坛江苏2132000519溧阳江苏2133000519张家港江苏2156000520常熟江苏2155000520昆山江苏2153000520太仓江苏2154000520泰州江苏2253000523靖江江苏2145000523泰兴江苏2254000523姜堰江苏2255000523兴化江苏2257000523沭阳江苏2236000527宿迁江苏2238000527泗阳江苏2237000527泗洪江苏2119000527新余江西3365000790分宜江西3366000790南昌江西3300000791南昌县江西3302000791新建江西3301000791进贤江西3317000791安义江西3305000791九江江西3320000792九江县江西3321000792庐山江西3329000792修水江西3224000792湖口江西3325000792星子江西3328000792瑞昌江西3322000792德安江西3304000792彭泽江西3327000792都昌江西3326000792永修江西3303000792武宁江西3323000792上饶江西3340000793上饶县江西3341000793玉山江西3347000793余干江西3351000793弋阳江西3344000793波阳江西3331000793广丰江西3346000793万年江西3355000793铅山江西3345000793横峰江西3343000793婺源江西3332000793德兴江西3342000793抚州江西3440000794广昌江西3449000794东乡江西3318000794金溪江西3448000794崇仁江西3442000794临川江西3441000794宜黄江西3444000794乐安江西3443000794南城江西3447000794南丰江西3445000794黎川江西3446000794宜春江西3360000795宜丰江西3363000795上高江西3364000795奉新江西3307000795靖安江西3306000795高安江西3308000795丰城江西3311000795樟树江西3312000795万载江西3361000795铜鼓江西3362000795吉安江西3430000796吉安县江西3431000796新干江西3313000796永丰江西3315000796吉水江西3316000796峡江江西3314000796泰和江西3437000796万安江西3438000796遂川江西3439000796宁冈江西3435000796永新江西3434000796井岗山江西3436000796安福江西3432000796赣州江西3410000797瑞金江西3425000797于都江西3423000797兴国江西3424000797宁都江西3428000797石城江西3427000797寻乌江西3422000797南康江西3414000797赣县江西3411000797大余江西3415000797上犹江西3412000797崇义江西3413000797信丰江西3416000797龙南江西3417000797定南江西3419000797全南江西3418000797安远江西3421000797会昌江西3426000797景德镇江西3330000798乐平江西3333000798萍乡江西3370000799莲花江西3371000799鹰潭江西3350000701贵溪江西3354000701余江江西3352000701沈阳辽宁110000024新民辽宁110300024辽中辽宁110200024康平辽宁112200024法库辽宁112100024铁岭辽宁1120000410铁岭县辽宁1126000410昌图辽宁1125000410开原辽宁1123000410西丰辽宁1124000410铁法辽宁1127000410大连辽宁1160000411庄河辽宁1164000411长海辽宁1165000411瓦房店辽宁1163000411普兰店辽宁1166000411金县辽宁1161000411新金辽宁1162000411鞍山辽宁1140000412海城辽宁1142000412台安辽宁1141000412岫岩辽宁1143000412抚顺辽宁1130000413抚顺县辽宁1131000413清原辽宁1133000413新宾辽宁1132000413本溪辽宁1170000414本溪县辽宁1171000414桓仁辽宁1172000414丹东辽宁1180000415东港辽宁1183000415凤城辽宁1181000415宽甸辽宁1182000415锦州辽宁1210000416凌海辽宁1212000416黑山辽宁1214000416义县辽宁1211000416北宁辽宁1213000416营口辽宁1150000417盖州辽宁1152000417大石桥辽宁1151000417阜新辽宁1230000418阜新县辽宁1231000418彰武辽宁1232000418辽阳辽宁1110000419辽阳县辽宁1112000419灯塔辽宁1113000419朝阳辽宁1220000421朝阳县辽宁1226000421建平辽宁1224000421北票辽宁1221000421凌源辽宁1225000421喀喇沁左翼辽宁1223000421盘锦辽宁1240000427盘山辽宁1241000427大洼辽宁1242000427葫芦岛辽宁1215000429绥中辽宁1217000429建昌辽宁1222000429兴城辽宁1216000429海拉尔内蒙古021*******鄂温克内蒙古021*******阿荣旗内蒙古1627500470牙克石内蒙古022*******扎兰屯内蒙古1626500470鄂伦春内蒙古022*******陈巴尔虎旗内蒙古021*******内蒙古021*******新巴尔虎左旗内蒙古021*******新巴尔虎右旗根河内蒙古022*******内蒙古022*******额尔古纳右旗莫力达瓦旗内蒙古1628000470满洲里内蒙古021*******呼和浩特内蒙古010*******托克托内蒙古010*******土默特左旗内蒙古010*******和林格尔内蒙古0115000471武川内蒙古0117000471清水河内蒙古0116000471包头内蒙古0140000472固阳内蒙古0142000472土默特右旗内蒙古0141000472白云鄂博内蒙古0140800472达茂旗内蒙古0143000472乌海内蒙古0160000473集宁内蒙古0120000474四子王旗内蒙古0118000474化德内蒙古0133000474丰镇内蒙古0121000474卓资内蒙古0123000474商都内蒙古0134000474兴和内蒙古0136000474凉城内蒙古0137000474内蒙古0122000474察哈尔右翼前内蒙古0135000474察哈尔右翼中内蒙古0124000474察哈尔右翼后通辽内蒙古028*******开鲁内蒙古028*******库伦旗内蒙古028*******奈曼旗内蒙古028*******扎鲁特旗内蒙古029*******内蒙古029*******科尔沁左翼中内蒙古028*******科尔沁左翼后霍林郭勒内蒙古029*******赤峰内蒙古024*******阿鲁科尔沁内蒙古025*******宁城内蒙古024*******敖汉旗内蒙古024*******翁牛特旗内蒙古024*******巴林左旗内蒙古025*******巴林右旗内蒙古025*******林西内蒙古025*******克什克腾旗内蒙古025*******喀喇沁旗内蒙古024*******东胜内蒙古0170000477达拉特旗内蒙古0143000477伊金霍洛旗内蒙古0172000477准格尔旗内蒙古0171000477杭棉旗内蒙古0174000477乌审内蒙古0173000477鄂托克旗内蒙古0161000477鄂托克前旗内蒙古0162000477临河内蒙古0150000478五原内蒙古0151000478磴口内蒙古0152000478乌拉特前镇内蒙古0144000478乌拉特中镇内蒙古0153000478乌拉特后镇内蒙古0155000478杭锦后旗内蒙古0154000478锡林浩特内蒙古0260000479二连浩特内蒙古0126000479多伦内蒙古027*******太仆寺旗内蒙古027*******苏尼特左旗内蒙古0131000479苏尼特右旗内蒙古0125000479镶黄旗内蒙古0132000479内蒙古0263000479东乌珠穆沁旗内蒙古0262000479西乌珠穆沁旗阿马嗄旗内蒙古0261000479正镶白旗内蒙古027*******正蓝旗内蒙古027*******乌兰浩特内蒙古1374000482扎赉特旗内蒙古1376000482突泉内蒙古0375000482科右中旗内蒙古029*******阿拉善左旗内蒙古75030004831阿拉善右旗内蒙古73730004887额济纳旗内蒙古73540004888银川宁夏7500000951贺兰宁夏7502000951永宁宁夏7501000951石嘴山宁夏7530000952平罗宁夏7534000952惠农宁夏7536000952陶乐宁夏7535000952吴忠宁夏7511000953中宁宁夏7512000953中卫宁夏7517000953青铜峡宁夏7516000953灵武宁夏7514000953同心宁夏7513000953盐池宁夏7515000953固原宁夏7560000954海原宁夏7561000954西吉宁夏7562000954隆德宁夏7563000954泾源宁夏7564000954彭阳宁夏7565000954海晏青海8122000970西宁青海8100000971大通青海8101000971乐都青海8107000972湟中青海8116000972互助青海8105000972湟源青海8121000972民和青海8108000972循化青海8111000972化隆青海8109000972同仁青海8113000973共和青海8130000974玛沁青海8140000975玉树青海8150000976德令哈青海8170000977门源青海8103000978格尔木青海8160000979河南青海81150009820尖扎青海81120009828泽库青海81140009828乌兰青海81710009831都兰青海81610009832天峻青海81720009833治多青海81540009834称多青海81510009835囊谦青海81520009836杂多青海81530009837曲麻莱青海81550009838龙羊峡青海81180009839茫崖青海81750009840贵德青海81170009841贵南青海81310009842兴海青海81330009843同德青海81320009844祁连青海81040009846刚察青海81230009847大柴旦青海81730009848冷湖青海81740009849达日青海81420009851玛多青海81350009852班玛青海81430009853甘德青海81410009854荷泽山东2740000530巨野山东2749000530定陶山东2741000530成武山东2436000530单县山东2737000530曹县山东2744000530东明山东2745000530鄄城山东2746000530郓城山东2747000530济南山东2500000531长清山东2503000531章丘山东2502000531商河山东2516000531济阳山东2514000531平阴山东2504000531青岛山东2660000532胶南山东2664000532胶州山东2663000532平度山东2628000532莱西山东2666000532即墨山东2662000532淄博山东2550000533桓台山东2564000533高青山东2563000533沂源山东2561000533德州山东2530000534庆云山东2537000534监邑山东2515000534夏津山东2532000534平原山东2531000534宁津山东2534000534齐河山东2511000534乐陵山东2536000534武城山东2533000534禹城山东2512000534陵县山东2535000534烟台山东2640000535招远山东2654000535莱阳山东2652000535海阳山东2651000535长岛山东2658000535莱州山东2614000535龙口山东2657000535蓬莱山东2656000535栖霞山东2653000535牟平山东2641000535潍坊山东2610000536寿光山东2627000536昌邑山东2613000536高密山东2615000536诸城山东2622000536安丘山东2621000536临朐山东2626000536青州山东2625000536济宁山东2721000537梁山山东2748000537曲阜山东2731000537兖州山东2720000537邹城山东2735000537微山山东2776000537鱼台山东2723000537金乡山东2722000537嘉祥山东2724000537泗水山东2732000537汶上山东2725000537泰安山东2710000538新泰山东2712000538宁阳山东2714000538东平山东2715000538肥城山东2716000538临沂山东2760000539苍山山东2777000539平邑山东2733000539蒙阴山东2762000539沂水山东2764000539沂南山东2763000539莒南山东2766000539临沭山东2767000539郯城山东2761000539费县山东2734000539滨州山东2566000543博兴山东2565000543邹平山东2562000543惠民山东2517000543无棣山东2519000543沾化山东2568000543阳信山东2518000543东营山东2570000546利津山东2574000546广饶山东2573000546垦利山东2575000546威海山东2642000631荣城山东2643000631文登山东2644000631乳山山东2645000631枣庄山东2771000632滕州山东2775000632日照山东2768000633五莲山东2623000633河口山东2572000633莱芜山东2711000634聊城山东2520000635临清山东2526000635茌平山东2521000635高唐山东2513000635东阿山东2522000635冠县山东2525000635朔州山西0385000349怀仁山西0383000349应县山西0376000349右玉山西0372000349山阴山西0384000349忻州山西0340000350原平山西0341000350定襄山西0354000350五台山西0355000350代县山西0342000350繁峙山西0343000350宁武山西0360000350神池山西0361000350五寨山西0362000350岢岚山西0363000350河曲山西0365000350保德山西0366000350偏关山西0364000350静乐山西0351000350太原山西0300000351阳曲山西0301000351娄烦山西0303000351清徐山西0304000351古交山西0302000351大同山西0370000352大同县山西0373000352天镇山西0382000352阳高山西0381000352浑源山西0374000352广灵山西0375000352灵丘山西0344000352左云山西0371000352阳泉山西0758000353孟县山西0451000353平定山西0452000353榆次山西0306000354灵石山西0313000354昔阳山西0453000354和顺山西0327000354左权山西0326000354榆社山西0318000354寿阳山西0317000354太谷山西0308000354祁县山西0309000354平遥山西0311000354介休山西0312000354长治山西0460000355长治县山西0471000355壶关山西0473000355平顺山西0474000355黎城山西0476000355。
北京市100000 010通县101100 010 东城区100010 010西城区100032 010 崇文区100061 010宣武区100054 010 朝阳区100020 010丰台区100071 010 石景山区100043 010海淀区100080 010 门头沟区102300 010房山区102400 010 通州区101100 010顺义区101300 010 昌平区102200 010大兴区102600 010 怀柔区101400 010平谷区101200 010 密云区101500 010延庆区102100 010天津市300000 022蓟州301900 022 滨海新区(原塘沽区)300450 022滨海新区(原汉沽区)300480 022 滨海新区(原大港区)300270 022 北辰区300400 022 大港区300200 022东丽区300300 022 汉沽区300400 022河北区300100 022 河东区300100 022河西区300200 022 红桥区300100 022津南区300300 022 南开区300100 022塘沽区300400 022 西青区300300 022和平区300041 022 武清区301700 022宝坻区301800 022 宁河区301500 022静海区301600 022滨海新区300450 022河北省邯郸市056000 0310邯山区056000 0310 丛台区056000 0310复兴区056000 0310 峰峰矿区056200 0310临漳县056600 0310 成安县056700 0310大名县056900 0310 涉县056400 0310磁县056500 0310 魏县056800 0310武安市056300 0310 肥乡区057500 0310馆陶县057700 0310 广平县057600 0310邯郸县056100 0310 鸡泽县057300 0310邱县057400 0310 曲周县057200 0310永年区057100 0310 丘县057400 0310石家庄市050000 0311长安区050000 0311 桥东区050000 0311桥西区050000 0311 新华区050000 0311井陉矿区050100 0311 裕华区050000 0311井陉县050300 0311 正定县050800 0311行唐县050600 0311 灵寿县050500 0311深泽县052500 0311 平山县050400 0311晋州市052200 0311 新乐市050700 0311鹿泉区050200 0311 高邑县051300 0311藁城区052100 0311 栾城区051400 0311无极县052400 0311 辛集市052300 0311元氏县051100 0311 赞皇县051200 0311赵县051500 0311 获鹿050200 0311保定市071000 0312竞秀区071000 0312 莲池区071000 0312清苑区071100 0312 涞水县074100 0312阜平县073200 0312 高阳县071500 0312容城县071700 0312 涞源县074300 0312安新县071600 0312 易县074200 0312曲阳县073100 0312 蠡县071400 0312博野县071300 0312 雄县071800 0312定州市073000 0312 安国市071200 0312高碑店市074000 0312 定兴县072600 0312满城区072100 0312 顺平县072200 0312唐县072300 0312 望都县072400 0312徐水区072500 0312 涿州市072700 0312潢城072100 0312 南市区071000 0312张家口市075000 0313桥东区075000 0313 桥西区075000 0313下花园区075300 0313 宣化县075100 0313蔚县075700 0313 阳原县075800 0313怀来县075400 0313 涿鹿县075600 0313赤城县075500 0313 崇礼区076300 0313沽源县076500 0313 怀安县076100 0313康保县076600 0313 尚义县076700 0313万全区076200 0313 宣化区075100 0313张北县076400 0313承德市067000 0314双桥区067000 0314 鹰手营子矿区067200 0314 承德县067400 0314 兴隆县067300 0314平泉县067500 0314 宽城满族自治县067600 0314 丰宁满族自治县068300 0314 隆化县068100 0314 滦平县068200 0314 双滦区067100 0314围场满族蒙古族自治县068400 0314唐山市063000 0315路北区063000 0315 古冶区063100 0315开平区063000 0315 丰南区063300 0315滦县063700 0315 滦南县063500 0315乐亭县063600 0315 迁西县064300 0315玉田县064100 0315 遵化市064200 0315迁安市064400 0315 路南区063000 0315丰润区064000 0315 曹妃甸区063200 0315廊坊市065000 0316安次区065000 0316 广阳区065000 0316固安县065500 0316 永清县065600 0316香河县065400 0316 大城县065900 0316文安县065800 0316 大厂回族自治县065300 0316 霸州市065700 0316 三河市065200 0316沧州市061000 0317黄骅市061100 0317 孟村回族自治县061400 0317 新华区061000 0317 运河区061000 0317东光县061600 0317 海兴县061200 0317盐山县061300 0317 南皮县061500 0317吴桥县061800 0317 泊头市062100 0317沧县061700 0317 河间市062400 0317青县062600 0317 任丘市062500 0317肃宁县062300 0317 献县062200 0317衡水市053000 0318桃城区053000 0318 枣强县053100 0318武邑县053400 0318 武强县053300 0318饶阳县053900 0318 安平县053600 0318景县053500 0318 阜城县053700 0318冀州区053200 0318 深州市053800 0318冀县053200 0318 铙阳052700 0318故城县053800 0318邢台市054000 0319沙河市054100 0319 威县054700 0319清河县054800 0319 临西县054900 0319南和县054400 0319 广宗县054600 0319平乡县054500 0319 桥东区054000 0319桥西区054000 0319 邢台县054000 0319临城县054300 0319 内邱县054200 0319柏乡县055400 0319 巨鹿县055200 0319隆尧县055300 0319 南宫市055700 0319宁晋县055500 0319 任县055100 0319新河县055600 0319 内丘县054200 0319秦皇岛市066000 0335海港区066000 0335 山海关区066200 0335卢龙县066400 0335 北戴河区066100 0335青龙满族自治县066500 0335 昌黎县066600 0335 抚宁区066300 0335 经济技术开发区066000 0335 雄安新区071700 0312山西省朔州市036000 0349平鲁区036800 0349 山阴县036900 0349应县037600 0349 右玉县037200 0349怀仁县038300 0349 朔城区036000 0349忻州市034000 0350忻府区034000 0350 定襄县035400 0350五台县035500 0350 代县034200 0350繁峙县034300 0350 静乐县035100 0350神池县036100 0350 五寨县036200 0350岢岚县036300 0350 河曲县036500 0350保德县036600 0350 偏关县036400 0350原平市034100 0350 宁武县036700 0350太原市030000 0351小店区030000 0351 迎泽区030000 0351杏花岭区030000 0351 尖草坪区030000 0351 万柏林区030000 0351 晋源区030000 0351 清徐县030400 0351 阳曲县030100 0351娄烦县030300 0351 古交市030200 0351大同市037000 0352城区037000 0352 矿区037000 0352南郊区037000 0352 新荣区037000 0352阳高县038100 0352 天镇县038200 0352广灵县037500 0352 灵丘县034400 0352浑源县037400 0352 左云县037100 0352大同县037300 0352阳泉市045000 0353城区045000 0353 矿区045000 0353郊区045000 0353 平定县045200 0353盂县045100 0353 孟县045100 0353晋中市030600 0354灵石县031300 0354 介休市032000 0354榆次区030600 0354 榆社县031800 0354左权县032600 0354 和顺县032700 0354昔阳县045300 0354 寿阳县045400 0354太谷县030800 0354 祁县030900 0354平遥县031100 0354长治市046000 0355平顺县047400 0355 黎城县047600 0355壶关县047300 0355 长子县046600 0355武乡县046300 0355 沁县046400 0355沁源县046500 0355 潞城市047500 0355城区046000 0355 郊区046000 0355长治县047100 0355 襄垣县046200 0355屯留县046100 0355晋城市048000 0356陵川县048300 0356 泽州县048000 0356城区048000 0356 沁水县048200 0356阳城县048100 0356 高平市048400 0356临汾市041000 0357尧都区041000 0357 曲沃县043400 0357翼城县043500 0357 襄汾县041500 0357古县042400 0357 安泽县042500 0357浮山县042600 0357 吉县042200 0357乡宁县042100 0357 大宁县042300 0357隰县041300 0357 永和县041400 0357蒲县041200 0357 汾西县031500 0357侯马市043000 0357 霍州市031400 0357候马043000 0357 洪洞县031600 0357吕梁市033000 0358离石区033000 0358 文水县032100 0358交城县030500 0358 临县033200 0358柳林县033300 0358 石楼县032500 0358方山县033100 0358 中阳县033400 0358交口县032400 0358 孝义市032300 0358汾阳市032200 0358 兴县033600 0358岚县033500 0358运城市044000 0359盐湖区044000 0359 临猗县044100 0359万荣县044200 0359 闻喜县043800 0359稷山县043200 0359 新绛县043100 0359绛县043600 0359 垣曲县043700 0359夏县044400 0359 平陆县044300 0359芮城县044600 0359 永济市044500 0359河津市043300 0359 永剂044500 0359内蒙古自治区锡林郭勒盟026000 0479锡林浩特市026000 0479 阿巴嘎旗011400 0479多伦县027300 0479 苏尼特左旗011300 0479苏尼特右旗011200 0479 东乌珠穆沁旗026300 0479 西乌珠穆沁旗026200 0479 太仆寺旗027000 0479 正镶白旗013800 0479 正蓝旗027200 0479二连浩特市011100 0479 镶黄旗013200 0479阿马嗄旗026100 0479兴安盟137400 0482科尔沁右翼中旗029400 0482 扎赉特旗137600 0482 突泉县137500 0482 乌兰浩特市137400 0482科右中旗029400 0482 阿尔山市137800 0482科尔沁右翼前旗137700 0482阿拉善盟750306 0483阿拉善左旗750300 0483 阿拉善右旗737300 0483 额济纳旗735400 0483海拉尔区021000 0470 鄂伦春自治旗022450 0470鄂温克自治旗021100 0470 陈巴尔虎旗021500 0470新巴尔虎左旗021200 0470 新巴尔虎右旗021300 0470满洲里市021400 0470 阿荣旗162700 0470额尔古纳市022200 0470 根河市022300 0470莫力达瓦达斡尔族自治旗162800 0470 牙克石市022100 0470 扎兰屯市162600 0470 额尔古纳右旗022200 0470莫力达瓦旗162800 0470 扎赉诺尔区021410 0470呼和浩特市010000 0471新城区010000 0471 回民区010000 0471玉泉区010000 0471 土默特左旗010100 0471托克托县010200 0471 和林格尔县011500 0471清水河县011600 0471 武川县011700 0471赛罕区010000 0471包头市014000 0472东河区014000 0472 青山区014000 0472白云矿区014000 0472 土默特右旗014100 0472固阳县014200 0472 达尔罕茂明安联合旗014500 0472白云鄂博矿区014000 0472 九原区014000 0472石拐区014000 0472 昆都仑区014000 0472白云鄂博014000 0472 达茂旗014300 0472乌海市016000 0473海勃湾区016000 0473 海南区016000 0473乌达区016000 0473乌兰察布市012000 0474集宁区012000 0474 卓资县012300 0474商都县013400 0474 察哈尔右翼前旗012200 0474察哈尔右翼中旗013500 0474 察哈尔右翼后旗012400 0474 四子王旗011800 0474 丰镇市012100 0474化德县013300 0474 凉城县013700 0474兴和县013600 0474通辽市028000 0475科尔沁区028000 0475 科尔沁左翼中旗029300 0475科尔沁左翼后旗028100 0475 开鲁县028400 0475库伦旗028200 0475 奈曼旗028300 0475扎鲁特旗029100 0475 霍林郭勒市029200 0475赤峰市024000 0476敖汉旗024300 0476 红山区024000 0476元宝山区024000 0476 松山区024000 0476阿鲁科尔沁旗025500 0476 翁牛特旗024500 0476喀喇沁旗024400 0476 宁城县024200 0476巴林右旗025100 0476 巴林左旗025400 0476克什克腾旗025300 0476 林西县025200 0476东胜区017000 0477 达拉特旗014300 0477准格尔旗017100 0477 鄂托克前旗016200 0477 鄂托克旗016100 0477 伊金霍洛旗017200 0477 杭锦旗017400 0477 乌审旗017300 0477康巴什区0477 017020巴彦淖尔市015000 0478杭锦后旗015400 0478 临河区015000 0478五原县015100 0478 磴口县015200 0478乌拉特后旗015500 0478 乌拉特中旗015300 0478 乌拉特前旗014400 0478辽宁省沈阳市110000 024和平区110000 024 沈河区110000 024大东区110000 024 皇姑区110000 024苏家屯区110100 024 辽中区110200 024康平县110500 024 法库县110400 024新民市110300 024 浑南区110100 024沈北新区110100 024 铁西区110000 024于洪区110100 024 东陵区110000 024抚顺市113000 024新抚区113000 024 东洲区113000 024望花区113000 024 顺城区113000 024抚顺县113100 024 新宾满族自治县113200 024 清原满族自治县113300 024铁岭市112000 024铁法112700 024 调兵山市112700 024开原市112300 024 昌图县112500 024西丰县112400 024 铁岭县112600 024清河区112000 024 银州区112000 024大连市116000 0411中山区116000 0411 西岗区116000 0411沙河口区116000 0411 甘井子区116000 0411旅顺口区116000 0411 长海县116500 0411瓦房店市116300 0411 普兰店区116200 0411庄河市116400 0411 金州区116600 0411金县116100 0411 新金116200 0411鞍山市114000 0412铁东区114000 0412 铁西区114000 0412立山区114000 0412 千山区114000 0412台安县114100 0412 海城市114200 0412岫岩满族自治县114300 0412本溪市117000 024平山区117000 024 溪湖区117000 024明山区117000 024 南芬区117000 024本溪满族自治县117100 024 桓仁满族自治县117200 024 本溪县117100 024丹东市118000 0415元宝区118000 0415 振兴区118000 0415振安区118000 0415 宽甸满族自治县118200 0415东港市118300 0415 凤城市118100 0415锦州市121000 0416古塔区121000 0416 凌河区121000 0416太和区121000 0416 黑山县121400 0416义县121100 0416 凌海市121200 0416北镇市121300 0416 北宁121300 0416营口市115000 0417站前区115000 0417 西市区115000 0417鲅鱼圈区115000 0417 老边区115000 0417盖州市115200 0417 大石桥市115100 0417阜新市123000 0418海州区123000 0418 新邱区123000 0418太平区123000 0418 清河门区123000 0418细河区123000 0418 阜新蒙古族自治县123100 0418彰武县123200 0418 阜新县123100 0418辽阳市111000 0419白塔区111000 0419 文圣区111000 0419宏伟区111000 0419 弓长岭区111000 0419太子河区111000 0419 辽阳县111200 0419灯塔市111300 0419朝阳市122000 0421双塔区122000 0421 龙城区122000 0421建平县122400 0421 北票市122100 0421凌源市122500 0421 朝阳县122600 0421喀喇沁左翼蒙古族自治县122300 0421盘锦市124000 0427双台子区124000 0427 兴隆台区124000 0427大洼区124200 0427 盘山县124100 0427葫芦岛市125000 0429连山区125000 0429 龙港区125000 0429绥中县125200 0429 建昌县125300 0429兴城市125100 0429 南票区125000 0429四平市136000 0434铁西区136000 0434 铁东区136000 0434伊通满族自治县130700 0434 公主岭市136100 0434双辽市136400 0434 梨树县136500 0434通化市134000 0435二道江区134000 0435 通化县134100 0435辉南县135100 0435 集安市134200 0435梅河口市135000 0435 东昌区134000 0435柳河县135300 0435白城市137000 0436洮南市137100 0436 大安市131300 0436镇赉县137300 0436 通榆县137200 0436洮北区137000 0436辽源市136200 0437东辽县136600 0437 西安区136200 0437东丰县136300 0437 龙山区136200 0437松原市138000 0438前郭尔罗斯蒙古族自治县131100 0438 乾安县131400 0438 扶余市131200 0438 宁江区138000 0438长岭县131500 0438吉林市白山市134300 0439临江市134600 0439 八道江区134300 0439江源区134700 0439 抚松县134500 0439长白朝鲜族自治县134400 0439 靖宇县135200 0439浑江区134300 0439长春市130000 0431南关区130000 0431 宽城区130000 0431朝阳区130000 0431 二道区130000 0431双阳区130600 0431 农安县130200 0431九台市130500 0431 德惠市130300 0431绿园区130000 0431 榆树市130400 0431吉林市132000 0432昌邑区132000 0432 龙潭区132000 0432丰满区132000 0432 蛟河市132500 0432桦甸市132400 0432 舒兰市132600 0432磐石市132300 0432 永吉县132200 0432船营区132000 0432延边朝鲜族自治州133000 0433延吉市133000 0433 敦化市133700 0433珲春市133300 0433 龙井市133400 0433和龙市133500 0433 安图县133600 0433图们市133100 0433 汪清县133200 0433黑龙江省大兴安岭地区165000 0457呼玛县165100 0457 塔河县165200 0457漠河县165300 0457 呼中区165000 0457松岭区165000 0457 新林区165000 0457加格达奇165000 0457伊春市153000 0458友好区153000 0458 西林区153000 0458翠峦区153000 0458 新青区153000 0458金山屯区153000 0458 五营区153000 0458乌马河区153000 0458 乌伊岭区153000 0458红星区153000 0458 上甘岭区153000 0458嘉荫县153200 0458 带岭区153100 0458南岔区153100 0458 铁力市152500 0458伊春区153000 0458 美溪区153000 0458汤旺河区153000 0458大庆市163000 0459林甸县166300 0459 肇州县166400 0459肇源县166500 0459 大同区163500 0459红岗区163500 0459 让胡路区163400 0459萨尔图区163300 0459 杜尔伯特蒙古族自治县166200 0459 龙凤区163700 0459七台河市154600 0464新兴区154600 0464 桃山区154600 0464茄子河区154600 0464 勃利县154500 0464鸡西市158100 0467鸡冠区158100 0467 恒山区158100 0467滴道区158100 0467 城子河区158100 0467麻山区158100 0467 鸡东县158200 0467虎林市158400 0467 密山市158300 0467梨树区158100 0467鹤岗市154100 0468向阳区154100 0468 工农区154100 0468南山区154100 0468 兴安区154100 0468东山区154100 0468 萝北县154200 0468绥滨县156200 0468 兴山区154100 0468双鸭山市155100 0469尖山区155100 0469 岭东区155100 0469宝山区155100 0469 集贤县155900 0469友谊县155800 0469 宝清县155600 0469四方台区155100 0469 饶河县155700 0469哈尔滨市150000 0451道里区150000 0451 南岗区150000 0451道外区150000 0451 动力区150000 0451平房区150000 0451 松北区150000 0451呼兰区150500 0451 依兰县154800 0451方正县150800 0451 宾县150400 0451巴彦县151800 0451 通河县150900 0451延寿县150700 0451 双城区150100 0451尚志市150600 0451 阿城区150300 0451双成150100 0451 香坊区150000 0451木兰县151900 0451 五常市150200 0451齐齐哈尔市161000 0452龙沙区161000 0452 铁锋区161000 0452昂昂溪区161000 0452 富拉尔基区161000 0452碾子山区161000 0452 龙江县161100 0452依安县161500 0452 泰来县162400 0452甘南县162100 0452 富裕县161200 0452克山县161600 0452 克东县164800 0452拜泉县164700 0452 讷河市161300 0452建华区161000 0452 梅里斯达斡尔族区161000 0452 牡丹江市157000 0453阳明区157000 0453 爱民区157000 0453西安区157000 0453 东宁市157200 0453绥芬河市157300 0453 海林市157100 0453宁安市157400 0453 东安区157000 0453林口县157600 0453 穆棱市157500 0453佳木斯市154000 0454向阳区154000 0454 前进区154000 0454东风区154000 0454 郊区154000 0454桦南县154400 0454 汤原县154700 0454抚远市156500 0454 同江市156400 0454富锦市156100 0454 桦川县154300 0454绥化市152000 0455望奎县152100 0455 兰西县151500 0455青冈县151600 0455 庆安县152400 0455绥棱县152200 0455 安达市151400 0455肇东市151100 0455 北林区152000 0455明水县151700 0455 海伦市152300 0455黑河市164300 0456北安市164000 0456 五大连池市164100 0456爱辉区164300 0456 嫩江县161400 0456逊克县164400 0456 孙吴县164200 0456德都164100 0456上海市浦东新区(原南汇区)201300 021 川沙201200 021 南汇区201300 021 奉贤区201400 021崇明区202150 021 松江区201600 021青浦区201700 021 嘉定区201800 021宝山区201900 021 金山区201540 021黄浦区200001 021 卢湾区200020 021徐汇区200030 021 长宁区200050 021静安区200040 021 普陀区200333 021虹口区200080 021 闸北区200070 021杨浦区200082 021 闵行区201100 021上海市201100 021 浦东新区200135 021 江苏省南京市210000 025玄武区210000 025 白下区210000 025秦淮区210000 025 建邺区210000 025下关区210000 025 浦口区210000 025栖霞区210000 025 江宁区211100 025六合区211500 025 溧水区211200 025高淳区211300 025 鼓楼区210000 025雨花台区210000 025 江浦211800 025无锡市214000 0510崇安区214000 0510 南长区214000 0510 北塘区214000 0510 宜兴市214200 0510 滨湖区214100 0510 惠山区214100 0510 江阴市214400 0510 锡山区214100 0510 梁溪区214000 0510 新吴区214028 0510 镇江市212000 0511京口区212000 0511 润州区212000 0511 丹徒区212100 0511 扬中市212200 0511 句容市212400 0511 丹阳市212300 0511 苏州市215000 0512沧浪区215000 0512 平江区215000 0512 金阊区215000 0512 吴中区215100 0512 相城区215100 0512 张家港市215600 0512 昆山市215300 0512 吴江区215200 0512 太仓市215400 0512 吴县215100 0512姑苏区215008 0512 常熟市215500 0512 虎丘区215100 0512南通市226000 0513崇川区226000 0513 港闸区226000 0513 如东县226400 0513 启东市226200 0513 如皋市226500 0513 海门市226100 0513 海安县226600 0513 通州市226300 0513 扬州市225000 0514广陵区225000 0514 邗江区225100 0514 宝应县225800 0514 高邮市225600 0514 维扬区225000 0514 江都区225200 0514 仪征市211400 0514盐城市224000 0515阜宁县224400 0515 射阳县224300 0515 建湖县224700 0515 盐都区224000 0515 响水县224600 0515 滨海县224500 0515 亭湖区224000 0515 大丰区224100 0515 东台市224200 0515丰县221700 0516 沛县221600 0516铜山区221100 0516 新沂市221400 0516 邳州市221300 0516 鼓楼区221000 0516 云龙区221000 0516 贾汪区221100 0516 邳县221300 0516 泉山区221000 0516睢宁县221200 0516 九里区221000 0516 淮安市223001 0517涟水县223400 0517 洪泽区223100 0517 淮安区223200 0517 淮阴区223300 0517 清河区223000 0517 清浦区223000 0517 金湖县211600 0517 盱眙县211700 0517 淮阴县223300 0517 清江浦区223001 0517 连云港市222000 0518东海县222300 0518 灌云县222200 0518 连云区222000 0518 海州区222000 0518 赣榆区222100 0518 灌南县222500 0518 新浦区222000 0518常州市213000 0519溧阳市213300 0519 天宁区213000 0519 钟楼区213000 0519 新北区213100 0519 金坛区213200 0519 武进区213100 0519 泰州市225300 0523海陵区225300 0523 高港区225300 0523 兴化市225700 0523 靖江市214500 0523 泰兴市225400 0523 姜堰区225500 0523 宿迁市223800 0527宿城区223800 0527 沭阳县223600 0527 泗阳县223700 0527 泗洪县223900 0527 宿豫区223800 0527 沐阳223600 0527浙江省衢州市324000 0570开化县324300 0570 龙游县324400 0570 江山市324100 0570 柯城区324000 0570 常山县324200 0570 衢县324000 0570衢江区324000 0570杭州市310000 0571上城区310000 0571 下城区310000 0571 拱墅区310000 0571 西湖区310000 0571 滨江区310000 0571 萧山区311200 0571 余杭区311100 0571 桐庐县311500 0571 淳安县311700 0571 建德市311600 0571 富阳区311400 0571 临安市311300 0571 江干区310000 0571吴兴区313000 0572 德清县313200 0572长兴县313100 0572 安吉县313300 0572南浔区313000 0572嘉兴市314000 0573嘉善县314100 0573 海盐县314300 0573海宁市314400 0573 南湖区314000 0573秀洲区314000 0573 桐乡市314500 0573平湖市314200 0573宁波市315000 0574慈溪市315300 0574 奉化区315500 0574江东区315000 0574 江北区315000 0574北仑区315800 0574 鄞州区315100 0574象山县315700 0574 宁海县315600 0574鄞县315100 0574 海曙区315000 0574镇海区315200 0574 余姚市315400 0574绍兴市312000 0575越城区312000 0575 柯桥区312000 0575新昌县312500 0575 上虞区312300 0575嵊州市312400 0575 嵊县312400 0575诸暨市311800 0575台州市318000 0576路桥区318000 0576 三门县317100 0576天台县317200 0576 仙居县317300 0576临海市317000 0576 黄岩区318000 0576椒江区318000 0576 玉环县317600 0576温岭市317500 0576温州市325000 0577龙湾区325000 0577 瓯海区325000 0577洞头区325700 0577 永嘉县325100 0577瑞安市325200 0577 乐清市325600 0577平阳县325400 0577 文成县325300 0577泰顺县325500 0577 鹿城区325000 0577苍南县325800 0577丽水市323000 0578莲都区323000 0578 缙云县321400 0578遂昌县323300 0578 松阳县323400 0578云和县323600 0578 景宁畲族自治县323500 0578 龙泉市323700 0578 青田县323900 0578庆元县323800 0578金华市321000 0579婺城区321000 0579 武义县321200 0579浦江县322200 0579 磐安县322300 0579兰溪市321100 0579 东阳市322100 0579金东区321000 0579 义乌市322000 0579 舟山市316000 0580普陀区316100 0580 岱山县316200 0580 嵊泗县202400 0580 定海区316000 0580 安徽省滁州市239000 0550南谯区239000 0550 来安县239200 0550 全椒县239500 0550 凤阳县233100 0550 天长市239300 0550 明光市239400 0550 琅琊区239000 0550 定远县233200 0550 合肥市230000 0551包河区230000 0551 长丰县231100 0551 肥西县231200 0551 瑶海区230000 0551 庐阳区230000 0551 肥东县231600 0551 庐江县231500 0551 蜀山区230000 0551 巢湖市238000 0551蚌埠市233000 0552龙子湖区233000 0552 蚌山区233000 0552 禹会区233000 0552 淮上区233000 0552 五河县233300 0552 固镇县233700 0552 怀远县233400 0552芜湖市241000 0553三山区241000 0553 繁昌县241200 0553 镜湖区241000 0553 弋江区241000 0553 南陵县241300 0553 无为县238300 0553 芜湖县241100 0553 鸠江区241000 0553 淮南市232000 0554大通区232000 0554 田家庵区232000 0554 八公山区232000 0554 潘集区232000 0554 凤台县232100 0554 寿县232200 0554谢家集区232000 0554马鞍山市243000 0555金家庄区243000 0555 雨山区243000 0555 当涂县243100 0555 含山县238100 0555 和县238200 0555 博望区243131 0555花山区243000 0555安庆市246000 0556潜山县246300 0556 宿松县246500 0556 望江县246200 0556 岳西县246600 0556 迎江区246000 0556 大观区246000 0556 怀宁县246100 0556 宜秀区246000 0556 太湖县246400 0556 桐城市231400 0556 宿州市234000 0557灵璧县234200 0557 灵壁234200 0557墉桥区234100 0557 泗县234300 0557埇桥区234000 0557阜阳市236000 0558颍州区236000 0558 太和县236600 0558 阜南县236300 0558 颍上县236200 0558 界首市236500 0558 颍泉区236100 0558 临泉县236400 0558 颍东区236100 0558 亳州市236000 0558谯城区236800 0558 涡阳县233600 0558 蒙城县233500 0558 利辛县236700 0558 黄山市242700 0559屯溪区245000 0559 黟县245500 0559歙县245200 0559 休宁县245400 0559黄山区245700 0559 祁门县245600 0559 徽州区245900 0559淮北市235000 0561杜集区235000 0561 相山区235000 0561 烈山区235000 0561 濉溪县235100 0561 铜陵市244000 0562铜官区244000 0562 狮子山区244000 0562 郊区244000 0562 枞阳县246700 0562铜陵县244100 0562 义安区244100 0562 宣城市242000 0563宣州区242000 0563 郎溪县242100 0563 广德县242200 0563 泾县242500 0563旌德县242600 0563 宁国市242300 0563 绩溪县245300 0563六安市237000 0564霍邱县237400 0564 金寨县237300 0564 霍山县237200 0564 裕安区237100 0564 舒城县231300 0564 金安区237100 0564 叶集区237431 0564池州市247100 0566石台县245100 0566 贵池区247100 0566 东至县247200 0566 青阳县242800 0566 巢湖市238000 0551福建省福州市350000 0591鼓楼区350000 0591 仓山区350000 0591 马尾区350000 0591 晋安区350000 0591 连江县350500 0591 罗源县350600 0591 闽清县350800 0591 永泰县350700 0591平潭县350400 0591 福清市350300 0591 台江区350000 0591 闽侯县350100 0591 长乐市350200 0591厦门市361000 0592思明区361000 0592 海沧区361000 0592 湖里区361000 0592 同安区361100 0592 翔安区361100 0592 集美区361000 0592 宁德市352000 0593霞浦县355100 0593 古田县352200 0593 寿宁县355500 0593 周宁县355400 0593 柘荣县355300 0593 福鼎市355200 0593 蕉城区352100 0593 屏南县352300 0593 福安市355000 0593莆田市351100 0594城厢区351100 0594 荔城区351100 0594 秀屿区351100 0594 仙游县351200 0594 涵江区351100 0594泉州市362000 0595丰泽区362000 0595 洛江区362000 0595 惠安县362100 0595 安溪县362400 0595 德化县362500 0595 金门县362000 0595 石狮市362700 0595 南安市362300 0595 泉港区362800 0595 鲤城区362000 0595 永春县362600 0595 晋江市362200 0595 漳州市363000 0596芗城区363000 0596 云霄县363300 0596 漳浦县363200 0596 诏安县363500 0596 长泰县363900 0596 南靖县363600 0596 平和县363700 0596 华安县363800 0596 龙文区363000 0596 东山县363400 0596 龙海市363100 0596龙岩市364000 0597连城县366200 0597 漳平市364400 0597 新罗区364000 0597 长汀县366300 0597 永定区364100 0597 上杭县364200 0597 武平县364300 0597三明市365000 0598建宁县354500 0598 尤溪县365100 0598 沙县365500 0598 将乐县353300 0598 梅列区365000 0598 三元区365000 0598 明溪县365200 0598 宁化县365400 0598 大田县366100 0598 永安市366000 0598 泰宁县354400 0598 清流县365300 0598 南平市353000 0599延平区353000 0599 浦城县353400 0599 光泽县354100 0599 松溪县353500 0599 政和县353600 0599 武夷山市354300 0599 建瓯市353100 0599 建阳区354200 0599 顺昌县353200 0599 邵武市354000 0599 江西省鹰潭市335000 0701余江县335200 0701 贵溪市335400 0701 月湖区335000 0701新余市338000 0790渝水区338000 0790 分宜县336600 0790 南昌市330000 0791东湖区330000 0791 西湖区330000 0791 青云谱区330000 0791 南昌县330200 0791 新建区330100 0791 安义县330500 0791 进贤县331700 0791 湾里区330000 0791 青山湖区330000 0791九江市332000 0792瑞昌市332200 0792 庐山市332800 0792 都昌县332600 0792 彭泽县332700 0792 浔阳区332000 0792 柴桑区332100 0792 武宁县332300 0792 修水县332400 0792 永修县330300 0792 德安县330400 0792 共青城市332000 0792 湖口县332500 0792 庐山区332000 0792 星子县332800 0792 濂溪区332005 0792上饶市334000 0793德兴市334200 0793 信州区334000 0793 上饶县334100 0793 广丰区334600 0793 铅山县334500 0793 横峰县334300 0793 弋阳县334400 0793 鄱阳县333100 0793 万年县335500 0793 婺源县333200 0793 波阳333100 0793 玉山县334700 0793余干县335100 0793抚州市344000 0794资溪县335300 0794 东乡区331800 0794 广昌县344900 0794 南城县344700 0794 黎川县344600 0794 南丰县344500 0794 乐安县344300 0794 宜黄县344400 0794 尔安344300 0794 金溪县344800 0794临川区344100 0794 崇仁县344200 0794 宜春市336000 0795上高县336400 0795 宜丰县336300 0795 靖安县330600 0795 铜鼓县336200 0795樟树市331200 0795 高安市330800 0795 袁州区336000 0795 万载县336100 0795 丰城市331100 0795 奉新县330700 0795 吉安市343000 0796井冈山市343600 0796 遂川县343900 0796 万安县343800 0796 永新县343400 0796 吉州区343000 0796 青原区343000 0796 吉安县343100 0796 吉水县331600 0796 峡江县331400 0796 新干县331300 0796 永丰县331500 0796 泰和县343700 0796 宁冈343500 0796 井岗山343600 0796安福县343200 0796赣州市341000 0797南康区341400 0797 石城县342700 0797 于都县342300 0797 兴国县342400 0797 会昌县342600 0797 寻乌县342200 0797 上犹县341200 0797 崇义县341300 0797 安远县342100 0797 龙南县341700 0797 定南县341900 0797 全南县341800 0797 宁都县342800 0797 赣县341100 0797信丰县341600 0797 瑞金市342500 0797 大余县341500 0797 章贡区341000 0797 景德镇市333000 0798浮梁县333400 0798 乐平市333300 0798 珠山区333000 0798 昌江区333000 0798 萍乡市337000 0799安源区337000 0799 湘东区337000 0799 上栗县337000 0799 芦溪县337200 0799 莲花县337100 0799山东省菏泽市274000 0530定陶区274100 0530 东明县274500 0530 巨野县274900 0530 郓城县274700 0530 鄄城县274600 0530 曹县274400 0530单县274300 0530 成武县274200 0530牡丹区274000 0530济南市250000 0531历下区250000 0531 槐荫区250000 0531 天桥区250000 0531 历城区250100 0531 长清区250300 0531 平阴县250400 0531 济阳县251400 0531 商河县251600 0531 市中区250000 0531 章丘区250200 0531 青岛市266000 0532市南区266000 0532 市北区266000 0532四方区266000 0532 崂山区266100 0532 即墨市266200 0532 平度市266700 0532 胶南市266400 0532 城阳区266100 0532 黄岛区266500 0532 李沧区266100 0532 胶州市266300 0532 莱西市266600 0532 淄博市255000 0533张店区255000 0533 博山区255200 0533 临淄区255400 0533 桓台县256400 0533 高青县256300 0533 沂源县256100 0533 淄川区255100 0533 周村区255300 0533 德州市253000 0534武城县253300 0534 禹城市251200 0534 德城区253000 0534 陵城区253500 0534 庆云县253700 0534 临邑县251500 0534 齐河县251100 0534 夏津县253200 0534 监邑251500 0534 乐陵市253600 0534 宁津县253400 0534 平原县253100 0534 烟台市264000 0535芝罘区264000 0535 福山区265500 0535 莱山区264000 0535 长岛县265800 0535 龙口市265700 0535 莱州市261400 0535 蓬莱市265600 0535 招远市265400 0535 栖霞市265300 0535 海阳市265100 0535 开发区264000 0535 牟平区264100 0535 莱阳市265200 0535潍坊市261000 0536潍城区261000 0536 寒亭区261100 0536 奎文区261000 0536 临朐县262600 0536 昌乐县262400 0536 诸城市262200 0536 寿光市262700 0536 安丘市262100 0536 高密市261500 0536 坊子区261200 0536 青州市262500 0536 昌邑市261300 0536 济宁市272000 0537市中区272000 0537 任城区272000 0537 微山县277600 0537 金乡县272200 0537 嘉祥县272400 0537 汶上县272500 0537 梁山县272600 0537 曲阜市273100 0537 邹城市273500 0537 兖州区272100 0537 鱼台县272300 0537 泗水县273200 0537 泰安市271000 0538岱岳区271000 0538 宁阳县271400 0538 东平县271500 0538 肥城市271600 0538 泰山区271000 0538 新泰市271200 0538 临沂市276000 0539临沭县276700 0539 莒南县276600 0539沂水县276400 0539 兰陵县277700 0539费县273400 0539 平邑县273300 0539罗庄区276000 0539 河东区276000 0539沂南县276300 0539 蒙阴县276200 0539兰山区276000 0539 郯城县276100 0539滨州市256600 0543滨城区256600 0543 惠民县251700 0543阳信县251800 0543 无棣县251900 0543沾化区256800 0543 博兴县256500 0543邹平县256200 0543东营市257000 0546广饶县257300 0546 垦利区257500 0546利津县257400 0546 东营区257100 0546河口区257200 0546威海市264200 0631乳山市264500 0631 环翠区264200 0631文登区264400 0631 荣城264300 0631石岛管理区264300 0631 荣成市264300 0631 枣庄市277000 0632薛城区277000 0632 峄城区277300 0632台儿庄区277400 0632 市中区277100 0632 滕州市277500 0632 山亭区277200 0632日照市276800 0633东港区276800 0633 岚山区276800 0633五莲县262300 0633 莒县276500 0633莱芜市271100 0634莱城区271100 0634 钢城区271100 0634聊城市252000 0635东阿县252200 0635 高唐县252800 0635临清市252600 0635 东昌府区252000 0635 阳谷县252300 0635 茌平县252100 0635冠县252500 0635 莘县252400 0635河南省商丘市476000 0370梁园区476000 0370 睢阳区476000 0370民权县476800 0370 宁陵县476700 0370柘城县476200 0370 虞城县476300 0370永城市476600 0370 商丘县476100 0370睢县476900 0370 夏邑县476400 0370郑州市450000 0371中原区450000 0371 管城回族区450000 0371 金水区450000 0371 邙山区450000 0371巩义市451200 0371 荥阳市450100 0371登封市452400 0371 上街区450000 0371新密市452300 0371 惠济区450000 0371巩县451200 0371 二七区450000 0371新郑市451100 0371 中牟县451400 0371开封市475000 0371龙亭区475000 0371 顺河回族区475000 0371 禹王台区475000 0371 金明区475000 0371 杞县475200 0371 尉氏县475500 0371祥符区475100 0371 兰考县475300 0371鼓楼区475000 0371 通许县475400 0371安阳市455000 0372北关区455000 0372 殷都区455000 0372龙安区455000 0372 滑县456400 0372内黄县456300 0372 林州市456500 0372林县456500 0372 文峰区455000 0372安阳县455100 0372 汤阴县456100 0372新乡市453000 0373红旗区453000 0373 新乡县453700 0373获嘉县453800 0373 延津县453200 0373封丘县453300 0373 长垣县453400 0373辉县市453600 0373 凤泉区453000 0373牧野区453000 0373 原阳县453500 0373卫辉市453100 0373 卫滨区453000 0373许昌市461000 0374魏都区461000 0374 建安区461100 0374鄢陵县461200 0374 襄城县461700 0374禹州市461600 0374 长葛市461500 0374平顶山市467000 0375汝州市467500 0375 新华区467000 0375卫东区467000 0375 石龙区467000 0375湛河区467000 0375 宝丰县467400 0375鲁山县467300 0375 郏县467100 0375舞钢市462500 0375 叶县467200 0375信阳市464000 0376罗山县464200 0376 固始县465200 0376淮滨县464400 0376 息县464300 0376潢川县465100 0376 商城县465300 0376浉河区464000 0376 平桥区464000 0376光山县465400 0376 新县465500 0376南阳市473000 0377社旗县473300 0377 唐河县473400 0377新野县473500 0377 卧龙区473000 0377方城县473200 0377 邓州市474100 0377内乡县474300 0377 桐柏县474700 0377西峡县474500 0377 淅川县474400 0377浙川474400 0377 宛城区473000 0377南召县474600 0377 镇平县474200 0377洛阳市471000 0379老城区471000 0379 西工区471000 0379吉利区471000 0379 洛龙区471000 0379孟津县471100 0379 新安县471800 0379伊川县471300 0379 偃师市471900 0379嵩县471400 0379 宜阳县471600 0379洛宁县471700 0379 瀍河回族区471000 0379 涧西区471000 0379 栾川县471500 0379汝阳县471200 0379济源市454650 0391焦作市454100 0391孟州市454700 0391 温县454800 0391武陟县454900 0391 博爱县454400 0391解放区454000 0391 马村区454000 0391山阳区454000 0391 孟县454700 0391沁阳市454500 0391 修武县454300 0391中站区454000 0391鹤壁市458000 0392鹤山区458000 0392 山城区458000 0392淇滨区458000 0392 淇县456700 0392浚县456200 0392濮阳市457000 0393清丰县457300 0393 南乐县457400 0393台前县457600 0393 濮阳县457100 0393华龙区457000 0393 范县457500 0393周口市466000 0394扶沟县461300 0394 西华县466600 0394商水县466100 0394 淮阳县466700 0394鹿邑县477200 0394 项城市466200 0394郸城县477100 0394 川汇区466000 0394沈丘县466300 0394 太康县461400 0394漯河市462000 0395源汇区462000 0395 舞阳县462400 0395临颍县462600 0395 召陵区462000 0395临颖462600 0395 郾城区462000 0395驻马店市463000 0396驿城区463000 0396 新蔡县463500 0396上蔡县463800 0396 平舆县463400 0396正阳县463600 0396 泌阳县463700 0396汝南县463300 0396 遂平县463100 0396西平县463900 0396 确山县463200 0396。
全国各地区号大全1、北京——直辖市,简称京,长途电话区号010,邮政编码100000。
2、天津——直辖市,简称津,长途电话区号022,邮政编码300000。
3、山西省——省会太原市,简称晋,长途电话区号0351,邮政编码030000。
4、湖南省——省会长沙市,简称湘,长途电话区号0731,邮政编码410000。
5、江西省——省会南昌市,简称赣,长途电话区号0791,邮政编码330000。
6、上海市——直辖市,简称沪,长途电话区号021,邮政编码200000。
7、重庆市——直辖市,简称渝,长途电话区号023,邮政编码400000。
8、河北省——省会石家庄市,简称冀,长途电话区号0311,邮政编码050000。
9、台湾省——省会台北市,简称台,长途电话区号886,邮政编码100982。
10、辽宁省——省会沈阳市,简称辽,长途电话区号024,邮政编码110000。
11、吉林省——省会长春市,简称吉,长途电话区号0431,邮12、黑龙江省——省会哈尔滨,简称黑,长途电话区号0451,邮政编码150000。
13、江苏省——省会南京市,简称苏,长途电话区号025,邮政编码210000。
14、浙江省——省会杭州市,简称浙,长途电话区号0571,邮政编码310000。
15、安徽省——省会合肥市,简称皖,长途电话区号0551,邮政编码230000。
16、福建省——省会福州市,简称闽,长途电话区号0591,邮政编码350000。
17、山东省——省会济南市,简称鲁,长途电话区号0531,邮政编码250000。
18、河南省——省会郑州市,简称豫,长途电话区号0371,邮政编码450000。
19、湖北省——省会武汉市,简称鄂,长途电话区号027,邮政编码430000。
20、青海省——省会西宁市,简称青,长途电话区号0971,邮政编码810000。
21、广东省——省会广州市,简称粤,长途电话区号020,邮政编码510000。
北京市邮编区号大全市、县、区名长途区号邮政编码市、县、区名长途区号邮政编码东城区10100000西城区10100000崇文区10100000宣武区10100000朝阳区10100000丰台区10100000石景山区10100000海淀区10100000门头沟区10102300房山区10102400通州区10101100顺义区10101300昌平区10102200大兴区10102600怀柔区10101400平谷区10101200密云县10101500延庆县10102100市、县、区名长途区号邮政编码市、县、区名长途区号邮政编码和平区22300000河东区22300000河西区22300000南开区22300000河北区22300000红桥区22300000塘沽区22300450汉沽区22300480大港区22300000东丽区22300000西青区22300000津南区22300000北辰区22300000武清区22301700宝坻区22301800宁河县22301500静海县22301600蓟县22301900市、县、区名长途区号邮政编码市、县、区名长途区号邮政编码黄浦区21200000卢湾区21200000徐汇区21200000长宁区21200000静安区21200000普陀区21200000闸北区21200000虹口区21200000杨浦区21200000闵行区21201100宝山区21201900嘉定区21201800浦东新区21200120金山区21201500松江区21201600青浦区21201700南汇区21201300奉贤区21201400崇明县21202150重庆市邮编区号大全市、县、区名长途区号邮政编码市、县、区名长途区号邮政编码万州区23404100涪陵区23408000渝中区23400000大渡口区23400000江北区23400000沙坪坝区23400000九龙坡区23400000南岸区23400000北碚区23400700万盛区23400800双桥区23400900渝北区23401120巴南区23401320黔江区23409000长寿区23401220綦江县23401420潼南县23402660铜梁县23402560大足县23402360荣昌县23402460璧山县23402760梁平县23405200城口县23405900丰都县23408200垫江县23408300武隆县23408500忠县23404300开县23405400云阳县23404500奉节县23404600巫山县23404700巫溪县23405800石柱土家族自治县23409100秀山土家族苗族自治县23409900酉阳土家族苗族自治县23409800彭水苗族土家族自治县23409600江津市23402260合川市23401520永川市23402160南川市23408400河北省邮编区号大全市、县、区名长途区号邮政编码市、县、区名长途区号邮政编码石家庄市31150000鹿泉市31150200长安区31150000桥东区31150000桥西区31150000新华区31150000井陉矿区31150100裕华区31150000井陉县31150300正定县31150800栾城县31151430行唐县31150600灵寿县31150500高邑县31151330深泽县31152500赞皇县31151230无极县31152400平山县31150400元氏县31151130赵县31151530辛集市31152300藁城市31152160晋州市31152200新乐市31150700唐山市31563000路南区31563000路北区31563000古冶区31563100开平区31563000丰南区31563300丰润区31563000滦县31563700滦南县31563500乐亭县31563600迁西县31564300玉田县31564100唐海县31563200遵化市31564200迁安市31564400秦皇岛市33566000卢龙县33566400海港区33566000山海关区33566200北戴河区33566100青龙满族自治县33566500昌黎县33566600抚宁县33566300邯郸市31056000武安市31056300邯山区31056000丛台区31056000复兴区31056000峰峰矿区31056200邯郸县31056000临漳县31056600成安县31056700大名县31056900涉县31056400磁县31056500肥乡县31057550永年县31057150邱县31057450鸡泽县31057350广平县31057650馆陶县31057750魏县31056800曲周县31057250邢台市31954000沙河市31954100桥东区31954000桥西区31954000邢台县31954000临城县31954300内丘县31954200柏乡县31955450隆尧县31955350任县31955150南和县31954400宁晋县31955550巨鹿县31955250新河县31951730广宗县31954600平乡县31954500威县31954700清河县31954800临西县31954900南宫市31951800保定市31271000高碑店市31274000新市区31271000北市区31271000南市区31271000满城县31272150清苑县31271100涞水县31274100阜平县31273200徐水县31272550定兴县31272650唐县31272350高阳县31271500容城县31271700涞源县312102900望都县31272450安新县31271600易县31274200曲阳县31273100蠡县31271400顺平县31272250博野县31271300雄县31271800涿州市31272750定州市31273000安国市31271200张家口市31375000崇礼县31376350桥东区31375000桥西区31375000宣化区31375000下花园区31375300宣化县31375100张北县31376450康保县31376650沽源县31376550尚义县31376750蔚县31375700阳原县31375800怀安县31376150万全县31376250怀来县31375400涿鹿县31375600赤城县31375500承德市31467000围场满族蒙古族自治县31468450双桥区31467000双滦区31467000鹰手营子矿区31467200承德县31467400兴隆县31467300平泉县31467500滦平县31468250隆化县31468150丰宁满族自治县31468350宽城满族自治县31467600沧州市31761000新华区31761000运河区31761000沧县31761000青县31762650东光县31761600海兴县31761200盐山县31761300肃宁县31762350南皮县31761500吴桥县31761800献县31762250孟村回族自治县31761400泊头市31762150任丘市31762550黄骅市31761100河间市31762450廊坊市31665000安次区31665000广阳区31665000固安县31665500永清县31665600香河县31665400大城县31665900文安县31665800大厂回族自治县31665300霸州市31665700三河市31665200衡水市31853000深州市31852800桃城区31853000枣强县31853100武邑县31853400武强县31853300饶阳县31853900安平县31853600故城县31853800景县31853500阜城县31853700冀州市31853200山西省邮编区号大全市、县、区名长途区号邮政编码市、县、区名长途区号邮政编码太原市35130000古交市35130200小店区35130000迎泽区35130000杏花岭区35130000尖草坪区35130000万柏林区35130000晋源区35130000清徐县35130400阳曲县35130100娄烦县35130300大同市35237000大同县35237300城区35237000矿区35237000南郊区35237000新荣区35237000阳高县35238100天镇县35238200广灵县35237500灵丘县35234400浑源县35237400左云县35237100阳泉市35345000盂县35345100城区35345000矿区35345000郊区35345000平定县35345200长治市35546000潞城市35547500城区35546000郊区35546000长治县35547100襄垣县35546200屯留县35546100平顺县35547400黎城县35547600壶关县35547300长子县35546600武乡县35546300沁县35546400沁源县35546500晋城市35648000高平市35646700城区35648000沁水县35648200阳城县35648100陵川县35648300泽州县35648000朔州市34938500怀仁县34938300朔城区34938500平鲁区34938500山阴县34938400应县34937600右玉县34937200晋中市35438300介休市35431200榆次区35430600榆社县35431800左权县35432600和顺县35432700昔阳县35445300寿阳县35431700太谷县35430800祁县35430900平遥县35431100灵石县35431300运城市35944000河津市35943300盐湖区35944000临猗县35944100万荣县35944200闻喜县35943800稷山县35943200新绛县35943100绛县35943600垣曲县35943700夏县35944400平陆县35944300芮城县35944600永济市35944500忻州市35034000原平市35034100忻府区35034000定襄县35035400五台县35035500代县35034200繁峙县35034300宁武县35036000静乐县35035100神池县35036100五寨县35036200岢岚县35036300河曲县35036500保德县35036600偏关县35036400临汾市35741000霍州市35731400尧都区35741000曲沃县35743400翼城县35743500襄汾县35741500洪洞县35731600古县35742400安泽县35742500浮山县35742600吉县35742200乡宁县35742100大宁县35742300隰县35741300永和县35741400蒲县35741200汾西县35731500侯马市35743000吕梁市35833000汾阳市35832200离石区35833000文水县35832100交城县35830500兴县35835300临县35833200柳林县35833300石楼县35832500岚县35835200方山县35833100中阳县35833400交口县35832400孝义市35832300河南省邮编区号大全市、县、区名长途区号邮政编码市、县、区名长途区号邮政编码郑州市371450000登封市371452470中原区371450000二七区371450000管城回族区371450000金水区371450000上街区371450041邙山区371450000中牟县371451450巩义市371452100荥阳市371450100新密市371452370新郑市371451100开封市378475000兰考县378475300龙亭区378475000顺河回族区378475000鼓楼区378475000南关区378475000郊区378475000杞县378475200通许县378452200尉氏县378452100开封县378475100洛阳市379471000偃师市379471900老城区379471000西工区379471000廛河回族区379471000涧西区379471000吉利区379471000洛龙区379471000孟津县379471100新安县379471800栾川县379471500嵩县379471400汝阳县379471200宜阳县379471600洛宁县379471700伊川县379471300平顶山市375467000汝州市375467500新华区375467000卫东区375467000石龙区375467000湛河区375467000宝丰县375467400叶县375467200鲁山县375467300郏县375467100舞钢市375462500林州市372456500安阳市372455000林州市372456500文峰区372455000北关区372455000殷都区372455000龙安区372455000安阳县372455100汤阴县372456150滑县372456400内黄县372456300鹤壁市392458000淇县392456750鹤山区392458000山城区392458000淇滨区392458000浚县392456250新乡市373453000辉县市373453600红旗区373453000新乡县373453700获嘉县373453800原阳县373453500延津县373453200封丘县373453300长垣县373453400卫辉市373453100焦作市391454150孟州市391454750解放区391454150中站区391454150马村区391454150山阳区391454150修武县391454350博爱县391454450武陟县391454950温县391454850济源市391454650沁阳市391454550濮阳市393457000濮阳县393457100清丰县393457300南乐县393457400范县393457500台前县393457600许昌市374461000长葛市374461500魏都区374461000许昌县374461100鄢陵县374461200襄城县374452670禹州市374452570漯河市395462000临颍县395462600源汇区395462000郾城区395462300召陵区395462300舞阳县395462400三门峡市398472000灵宝市398472500湖滨区398472000渑池县398472400陕县398472100卢氏县398472200义马市398472300南阳市377473000邓州市377474150宛城区377473000卧龙区377473000南召县377474650方城县377473200西峡县377474550镇平县377474250内乡县377474350淅川县377474450社旗县377473300唐河县377473400新野县377473500桐柏县377474750商丘市370476000永城市370476600梁园区370476000睢阳区370476000民权县370476800睢县370476900宁陵县370476700柘城县370476200虞城县370476300夏邑县370476400信阳市376464000息县397464300师河区376464000平桥区376464000罗山县376464200光山县397465450新县397465500商城县397465350固始县397465200潢川县397465150淮滨县397464400周口市394466000项城市394466200川汇区394466000扶沟县394461300西华县394466600商水县394466100沈丘县394466300郸城县394477150淮阳县394466700太康县394475400鹿邑县394477200驻马店市396463000新蔡县396463500驿城区396463000西平县396463900上蔡县396463800平舆县396463400正阳县396463600确山县396463200泌阳县396463700汝南县396463300遂平县396463100市、县、区名长途区号邮政编码市、县、区名长途区号邮政编码沈阳市24110000新民市24110300和平区24110000沈河区24110000大东区24110000皇姑区24110000铁西区24110020苏家屯区24110100东陵区24110000新城子区24110000于洪区24110000辽中县24110200康平县24110500法库县24110400大连市411116000庄河市411116400中山区411116000西岗区411116000沙河口区411116000甘井子区411116000旅顺口区411116000金州区411116000长海县411116500瓦房店市411116300普兰店市411116200鞍山市412114000海城市412114200铁东区412114000铁西区412114000立山区412114000千山区412114000台安县412114100岫岩满族自治县412118400抚顺市413113000清原满族自治县413113300新抚区413113000东洲区413113000望花区413113000顺城区413113000抚顺县413113100新宾满族自治县413113200本溪市414117000桓仁满族自治县414117200平山区414117000溪湖区414117000明山区414117000南芬区414117000本溪满族自治县414117100丹东市415118000凤城市415118100元宝区415118000振兴区415118000振安区415118000宽甸满族自治县415118200东港市415118300锦州市416121000北宁市416121300古塔区416121000凌河区416121000太和区416121000黑山县416121400义县416121100凌海市416121200营口市417115000大石桥市417115100站前区417115000西市区417115000鲅鱼圈区417115000老边区417115000盖州市417115200阜新市418123000彰武县418123200海州区418123000新邱区418123000太平区418123000清河门区418123000细河区418123000阜新蒙古族自治县418123100辽阳市419111000灯塔市419111300白塔区419111000文圣区419111000宏伟区419111000弓长岭区419111000太子河区419111000辽阳县419111200盘锦市427124000盘山县427124100双台子区427124000兴隆台区427124000大洼县427124200铁岭市410112000开原市410112300银州区410112000清河区410112000铁岭县410112600西丰县410112400昌图县410112500朝阳市421122000凌源市421122500双塔区421122000龙城区421122000朝阳县421122000建平县421122400喀喇沁左翼蒙古族自治县421122300北票市421122100葫芦岛市429125000兴城市429125100连山区429125000龙港区429125000南票区429125000绥中县429125200建昌县429125300吉林省邮编区号大全市、县、区名长途区号邮政编码市、县、区名长途区号邮政编码长春市431130000德惠市431130300南关区431130000宽城区431130000朝阳区431130000二道区431130000绿园区431130000双阳区431130600农安县431130200九台市431130500榆树市431130400吉林市432132000磐石市432132300昌邑区432132000龙潭区432132000船营区432132000丰满区432132000永吉县432132100蛟河市432132500桦甸市432132400舒兰市432132600四平市434136000双辽市434136400铁西区434136000铁东区434136000梨树县434136500伊通满族自治县434130700公主岭市434136100辽源市437136200东辽县437136600龙山区437136200西安区437136200东丰县437136300通化市435134000集安市435134200东昌区435134000二道江区435134000通化县435134100辉南县448135100柳河县448135300梅河口市448135000白山市439134300临江市439134600八道江区439134300抚松县439134500靖宇县439135200长白朝鲜族自治县439134400江源县439134700松原市438138000扶余县438131200宁江区438138000前郭尔罗斯蒙古族自治县438131100长岭县438131500乾安县438131400白城市436137000大安市436131300洮北区436137000镇赉县436137300通榆县436137200洮南市436137100延边朝鲜族自治州433133000汪清县433133200延吉市433133000图们市433133100敦化市433133700珲春市440133300龙井市433133400和龙市433133500安图县433133600黑龙江省邮编区号大全市、县、区名长途区号邮政编码市、县、区名长途区号邮政编码哈尔滨市451150000五常市451150200道里区451150000南岗区451150000道外区451150000香坊区451150000动力区451150000平房区451150000松北区451150000呼兰区451150500依兰县451154800方正县451150800宾县451150400巴彦县451151800木兰县451151900通河县451150900延寿县451150700阿城市451150300双城市451150100尚志市451150600齐齐哈尔市452161000龙沙区452161000建华区452161000铁锋区452161000昂昂溪区452161000富拉尔基区452161000碾子山区452161000梅里斯达斡尔族区452161000龙江县452161100依安县452161500泰来县452162400甘南县452162100富裕县452161200克山县452161600克东县452164800拜泉县452164700讷河市452161300鸡西市467158100密山市467158300鸡冠区467158100恒山区467158100滴道区467158100梨树区467158100城子河区467158100麻山区467158100鸡东县467158200虎林市467158400鹤岗市468154100向阳区468154100工农区468154100南山区468154100兴安区468154100东山区468154100兴山区468154100萝北县468154200绥滨县468156200双鸭山市469155100尖山区469155100岭东区469155100四方台区469155100宝山区469155100集贤县469155900友谊县469155800宝清县469155600饶河县469155700大庆市459163000杜尔伯特蒙古族自治县459166200萨尔图区459163000龙凤区459163000让胡路区459163000红岗区459163000大同区459163000肇州县459166400肇源县459166500林甸县459166300伊春市458153000铁力市458152500伊春区458153000南岔区458153000友好区458153000西林区458153000翠峦区458153000新青区458153000美溪区458153000金山屯区458153000五营区458153000乌马河区458153000汤旺河区458153000带岭区458153000乌伊岭区458153000红星区458153000上甘岭区458153000嘉荫县458153200佳木斯市454154000富锦市454156100永红区454154000向阳区454154000前进区454154000东风区454154000郊区454154000桦南县454154400桦川县454154300汤原县454154700抚远县454156500同江市454156400七台河市464154600新兴区464154600桃山区464154600茄子河区464154600勃利县464154500牡丹江市453157000东安区453157000阳明区453157000爱民区453157000西安区453157000东宁县453157200林口县453157600绥芬河市453157300海林市453157100宁安市453157400穆棱市453157500黑河市456164300爱辉区456164300嫩江县456161400逊克县456164400孙吴县456164200北安市456164000五大连池市456164100绥化市455152000北林区455152000望奎县455152100兰西县455151500青冈县455151600庆安县455152400明水县455151700绥棱县455152200安达市455151400肇东市455151100海伦市455152300大兴安岭地区,165000漠河县457165300 457呼玛县457165100塔河县457165200内蒙古自治区邮编区号大全市、县、区名长途邮政编市、县、区名长途邮政编码区号码区号呼和浩特市47110000武川县47111700新城区47110000回民区47110000玉泉区47110000土默特左旗47110100托克托县47110200和林格尔县47111500清水河县47111600包头市47214000达尔罕茂明安联合旗47214500东河区47214000昆都伦区47214000青山区47214000白云矿区47214000土默特右旗47214100固阳县47214200乌海市47316000乌达区47316000海勃湾区47316000赤峰市47624000海南区47316000红山区47624000元宝山区47624000松山区47624000阿鲁科尔沁旗47625500巴林左旗47625450巴林右旗47625150林西县47625250克什克腾旗47625350翁牛特旗47624500喀喇沁旗47624400宁城县47624200敖汉旗47624300通辽市47528000霍林郭勒市47529200科尔沁区47528000科尔沁左翼中旗47529300科尔沁左翼后旗47528100开鲁县47528400库伦旗47528200奈曼旗47528300扎鲁特旗47529100鄂尔多斯市477伊金霍洛旗47717200东胜区47717000达拉特旗477准格尔旗47717100鄂托克前旗47716200鄂托克旗47716100杭锦旗47717400乌审旗47717300呼伦贝尔市47021000根河市47022350海拉尔区47021000阿荣旗470162750莫力达瓦达斡尔族自治旗470162850鄂伦春自治旗47022450鄂温克族自治旗47021100陈巴尔虎旗47021500新巴尔虎左旗47021200新巴尔虎右旗47021300满洲里市47021400牙克石市47022150扎兰屯市470162650额尔古纳市47022250巴彦淖尔市47815000杭锦后旗47815400临河区47815000五原县47815100磴口县47815200乌拉特前旗47814400乌拉特中旗47815300乌拉特后旗47815500乌兰察布市474丰镇市47412100集宁区47412000卓资县47412300化德县47413350商都县47413400兴和县47413650凉城县47413750察哈尔右翼前旗47412200察哈尔右翼中旗47413500察哈尔右翼后旗47412400四子王旗47411800兴安盟482突泉县482137500乌兰浩特市482137400阿尔山市482137400科尔沁右翼前旗482137400科尔沁右翼中旗48229400扎赉特旗482137600锡林郭勒盟47926000多伦县47927300二连浩特市47912600锡林浩特市47926000阿巴嘎旗47911400苏尼特左旗47911300苏尼特右旗47911200东乌珠穆沁旗47926300西乌珠穆沁旗47926200太仆寺旗47927000镶黄旗47913250正镶白旗47913800正蓝旗47927200阿拉善盟483额济纳旗483735400阿拉善左旗483750300阿拉善右旗483737300市、县、区名长途区号邮政编码市、县、区名长途区号邮政编码南京市25210000高淳县25211300玄武区25210000白下区25210000秦淮区25210000建邺区25210000鼓楼区25210000下关区25210000浦口区25210000栖霞区25210000雨花台区25210000江宁区25211100六合区25211500溧水县25211200无锡市510214000宜兴市510214200崇安区510214000南长区510214000北塘区510214000锡山区510214000惠山区510214000江阴市510214400徐州市516221000邳州市516221300鼓楼区516221000云龙区516221000九里区516221000贾汪区516221000泉山区516221000丰县516221700沛县516221600铜山县516221100睢宁县516221200新沂市516221400常州市519213000金坛市519213200天宁区519213000钟楼区519213000戚墅堰区519213000武进区519213100溧阳市519213300苏州市512215000太仓市512215400沧浪区512215000平江区512215000金阊区512215000虎丘区512215000吴中区512215100相城区512215100常熟市512215500张家港市512215600昆山市512215300吴江市512215200南通市513226000海门市513226100崇川区513226000港闸区513226000海安县513226600如东县513226400启东市513226200如皋市513226500通州市513226300连云港市518222000灌南县518223500连云区518222000新浦区518222000海州区518222000赣榆县518222100东海县518222300灌云县518222200淮安市517223001金湖县517211600清河区517223001楚州区517223200淮阴区517223300清浦区517223001涟水县517223400洪泽县517223100盱眙县517211700盐城市515224000大丰市515224100盐都区515224000响水县515224600滨海县515224000阜宁县515224400射阳县515224300建湖县515224700东台市515224200扬州市514225000江都市514225200广陵区514225000邗江区514225100宝应县514225800仪征市514211400高邮市514225600镇江市511212000句容市511212400京口区511212000润州区511212000丹徒区511212100丹阳市511212300扬中市511212200泰州市523225300姜堰市523225500海陵区523225300高港区523225300兴化市523225700靖江市523214500泰兴市523225400宿迁市527223800泗洪县527223900宿城区527223800宿豫区527223800沭阳县527223600泗阳县527223700山东省邮编区号大全市、县、区名长途区号邮政编码市、县、区名长途区号邮政编码济南市531250000章丘市531250200历下区531250000市中区531250000槐荫区531250000天桥区531250000历城区531250100长清区531250300平阴县531250400济阳县531251400商河县531251600青岛市532266000莱西市532266600市南区532266000市北区532266000四方区532266000黄岛区532266000崂山区532266100李沧区532266000城阳区532266000胶州市532266300即墨市532266200平度市532266700胶南市532266400淄博市533255000沂源县533256100淄川区533255100张店区533255000博山区533255200临淄区533255400周村区533255300桓台县533256400高青县533256300枣庄市632277000滕州市632277500市中区632277000薛城区632277000峄城区632277300台儿庄区632277400山亭区632277200东营市546257000广饶县546257300东营区546257100河口区546257200垦利县546257500利津县546257400烟台市535264000海阳市535265100芝罘区535264000福山区535265500牟平区535264100莱山区535264000长岛县535265800龙口市535265700莱阳市535265200莱州市535261400蓬莱市535265600招远市535265400栖霞市535265300潍坊市536261000昌邑市536261300潍城区536261000寒亭区536261100坊子区536261200奎文区536261000临朐县536262600昌乐县536262400青州市536262500诸城市536262200寿光市536262700安丘市536262100高密市536261500济宁市537272000邹城市537273500市中区537272000任城区537272000微山县537277600鱼台县537272300金乡县537272200嘉祥县537272400汶上县537272500泗水县537273200梁山县537272600曲阜市537273100兖州市537272000泰安市538271000肥城市538271600泰山区538271000岱岳区538271000宁阳县538271400东平县538271500新泰市538271200威海市631264200乳山市631264500环翠区631264200文登市631264400荣成市631264300日照市633276800莒县633276500东港区633276800岚山区633276800五莲县633262300莱芜市634271100钢城区634271100莱城区634271100临沂市539276000临沭县539276700兰山区539276000罗庄区539276000河东区539276000沂南县539276300郯城县539276100沂水县539276400苍山县539277700费县539273400平邑县539273300莒南县539276600蒙阴县539276200德州市534253000禹城市534251200德城区534253000陵县534253500宁津县534253400庆云县534253700临邑县534251500齐河县534251100平原县534253100夏津县534253200武城县534253300乐陵市534253600聊城市635252000临清市635252600东昌府区635252000阳谷县635252300莘县635252400茌平县635252100东阿县635252200冠县635252500高唐县635252800滨州市543256600邹平县543256200滨城区543256600惠民县543251700阳信县543251800无棣县543251900沾化县543256800博兴县543256500荷泽市530274000东明县530274500牡丹区530274000曹县530274400单县530274300成武县530274200巨野县530274900郓城县530274700鄄城县530274600定陶县530274100安微省邮编区号大全市、县、区名长途区号邮政编码市、县、区名长途区号邮政编码合肥市551230000肥东县551230000长丰县551231100肥西县551231200芜湖市553241000南陵县553242400镜湖区553241000马塘区553241000新芜区553241000鸠江区553241000芜湖县553241100繁昌县553241200蚌埠市552233000固镇县552233700龙子湖区552233000蚌山区552233000禹会区552233000淮上区552233000怀远县552233400五河县552233300淮南市554232000凤台县554232100大通区554232000田家庵区554232000谢家集区554232000八公山区554232000潘集区554232000马鞍山市555243000当涂县555243100金家庄区555243000花山区555243000雨山区555243000淮北市561235000濉溪县561235100杜集区561235000相山区561235000烈山区561235000铜陵市562244000铜陵县562244100铜官山区562244000狮子山区562244000郊区562244000安庆市556246000桐城市556231400迎江区556246000大观区556246000郊区556246000怀宁县556246100枞阳县556246700潜山县556246300太湖县556246400宿松县556246500望江县556246200岳西县556246600黄山市559245000祁门县559245600屯溪区559245000黄山区559245000徽州区559245000歙县559245200休宁县559245400黟县559245500滁州市550239000明光市550239400琅琊区550239000南谯区550239000来安县550239200全椒县550239500定远县550233200凤阳县550233100天长市550239300阜阳市558236000界首市558236500颍州区558236000颍东区558236000颍泉区558236000临泉县558236400太和县558236600阜南县558236300颍上县558236200宿州市557234000泗县557234300墉桥区557234000砀山县557235300萧县557235200灵璧县557234200巢湖市565238000和县565238200居巢区565238000庐江县565231500无为县565238300含山县565238100六安市564237000金安区564237000裕安区564237000寿县564232200霍邱县564237400舒城县564231300金寨县564237300亳州市558236000利辛县558236700谯城区558236800涡阳县558233600蒙城县558233500池州市566247100青阳县566242800贵池区566247100东至县566247200石台县566245100宣城市563242000宁国市563242300宣州区563242000郎溪县563242100广德县563242200泾县563242500绩溪县563245300旌德县563242600浙江省邮编区号大全市、县、区名长途区号邮政编码市、县、区名长途区号邮政编码杭州市571310000临安市571311300上城区571310000下城区571310000江干区571310000拱墅区571310000西湖区571310000滨江区571310000萧山区571311200余杭区571311100桐庐县571311500淳安县571311700建德市571311600富阳市571311400宁波市574315000奉化市574315500海曙区574315000江东区574315000江北区574315000北仑区574315800镇海区574315200鄞州区574315100象山县574315700宁海县574315600余姚市574315400慈溪市574315300温州市577325000乐清市577325600鹿城区577325000龙湾区577325000瓯海区577325000洞头县577325700永嘉县577325100平阳县577325400苍南县577325800文成县577325300泰顺县577325500瑞安市577325200嘉兴市573314000平湖市573314200秀城区573314000嘉善县573314100海盐县573314300海宁市573314400桐乡市573314500湖州市572313000安吉县572313300吴兴区572313000南浔区572313000德清县572313200长兴县572313100绍兴市575312000嵊州市575312400越城区575312000绍兴县575312000新昌县575312500诸暨市575311800上虞市575312300金华市579321000永康市579321300婺城区579321000金东区579321000武义县579321200浦江县579322200磐安县579322300兰溪市579321100义乌市579322000东阳市579322100衢州市570324000江山市570324100柯城区570324000衢江区570324000常山县570324200开化县570324300龙游县570324400舟山市580316000嵊泗县580202450定海区580316000普陀区580316100岱山县580316200台州市576318000临海市576317000椒江区576317700黄岩区576318020路桥区576318000玉环县576317600三门县576317100天台县576317200仙居县576317300温岭市576317500丽水市578323000龙泉市578323700莲都区578323000青田县578323900缙云县578321400遂昌县578323300松阳县578323400云和县578323600庆元县578323800景宁畲族自治县578323500市、县、区名长途区号邮政编码市、县、区名长途区号邮政编码福州市591350000长乐市591350200鼓楼区591350000台江区591350000仓山区591350000马尾区591350000晋安区591350000闽侯县591350100连江县591350500罗源县591350600闽清县591350800永泰县591350700平潭县591350400福清市591350300厦门市592361000翔安区592361100思明区592361000海沧区592361000湖里区592361000集美区592361000同安区592361100莆田市594351100仙游县594351200城厢区594351100涵江区594351100荔城区594351100秀屿区594351100三明市598365000永安市598366000梅列区598365000三元区598365000明溪县598365300清流县598365300宁化县598365400大田县598366100尤溪县598365100沙县598365500将乐县598353300泰宁县598354400建宁县598354500泉州市595362000南安市595362300鲤城区595362000丰泽区595362000洛江区595362000泉港区595362100惠安县595362100安溪县595362400永春县595362600德化县595362500金门县595362000石狮市595362700晋江市595362200漳州市596363000龙海市596363100芗城区596363000龙文区596363000云霄县596363300漳浦县596363200诏安县596363500长泰县596363900东山县596363400南靖县596363600平和县596363700华安县596363800南平市599353000建阳市599354200延平区599353000顺昌县599353200浦城县599353400光泽县599354100松溪县599353500政和县599353600邵武市599354000武夷山市599354300建瓯市599353100龙岩市597364000漳平市597364400新罗区597364000长汀县597366300永定县597364100上杭县597364200武平县597364300连城县597366200宁德市593352000福鼎市593355200蕉城区593352000霞浦县593355100古田县593352200屏南县593352300寿宁县593355500周宁县593355400柘荣县593355300福安市593355000湖北省邮编区号大全市、县、区名长途区号邮政编码市、县、区名长途区号邮政编码武汉市27430000新洲区27431400江岸区27430014江汉区27430000乔口区27430000汉阳区27430050武昌区27430000青山区27430080洪山区27430070东西湖区27430040汉南区27430090蔡甸区27430100江夏区27430200黄陂区27432200黄石市714435000大冶市714435100黄石港区714435000下陆区714435000铁山区714435000阳新县714435200十堰市719442000丹江口市719442700茅箭区719442000张湾区719442000郧县719442500郧西县719442600竹山县719442200竹溪县719442300房县719442100宜昌市717443000枝江市717443200西陵区717443000伍家岗区717443000点军区717443000虎亭区717443000夷陵区717443100远安县717444200兴山县717443700秭归县717443600长阳土家族自治县717443500五峰土家族自治县717443400宜都市717443000当阳市717444100襄樊市710441000宜城市710441400襄城区710441000樊城区710441000襄阳区710441100南漳县710441500谷城县710441700保康县710441600老河口市710441800枣阳市710441200鄂州市711436000鄂城区711436000梁子湖区711436000华容区711436000荆门市724448000钟祥市724431900东宝区724448000掇刀区724448000京山县724431800沙洋县724448200孝感市712432000汉川市712432300孝南区712432100孝昌县712432900大悟县712432800云梦县712432500应城市712432400安陆市712432600荆州市716434000松滋市716434200沙市区716434000荆州区716434020公安县716434300监利县716433300江陵县716434100石首市716434400洪湖市716433200黄冈市713438000武穴市713435400黄州区713438000团风县713438000红安县713438400罗田县713438600英山县713438700浠水县713438200蕲春县713435300黄梅县713435500麻城市713438300咸宁市715437000赤壁市715437300咸安区715437000嘉鱼县715437200通城县715437400崇阳县715437500通山县715437600随州市722441300广水市722432700曾都区722441300恩施土家族苗族自治州718445000鹤峰县718445800恩施市718445000利川市718445400建始县718445300巴东县718444300宣恩县718445500咸丰县718445600来凤县718445700省直辖行政单位仙桃市728433000潜江市728433100天门市728431700神农架林区719442400湖南省邮编区号大全市、县、区名长途区号邮政编码市、县、区名长途区号邮政编码长沙市731410000浏阳市731410300芙蓉区731410000天心区731410000岳麓区731410000开福区731410000雨花区731410000长沙县731410100望城县731410200宁乡县731410600株洲市733412000醴陵市733412200荷塘区733412000芦淞区733412000石峰区733412000天元区733412000株洲县733412000攸县733412300茶陵县733412400炎陵县733412500湘潭市732411100韶山市732411300雨湖区732411100岳塘区732411100湘潭县732411200湘乡市732411400衡阳市734421000常宁市734421500珠晖区734421000雁峰区734421000石鼓区734421000蒸湘区734421000南岳区734421000衡阳县734421200衡南县734421100衡山县734421300衡东县734421400祁东县734421600耒阳市734421800邵阳市739422000武冈市739422400双清区739422000大祥区739422000北塔区739422000邵东县739422800新邵县739422900邵阳县739422100隆回县739422200洞口县739422300绥宁县739422600新宁县739422700城步苗族自治县739422500岳阳市730414000临湘市730414300岳阳楼区730414000云溪区730414000君山区730414000岳阳县730414100华容县730414200湘阴县730410500平江县730410400汨罗市730414400常德市736415000津市市736415400武陵区736415000鼎城区736415100安乡县736415600汉寿县736415900澧县736415500临澧县736415200桃源县736415700石门县736415300张家界市744427000桑植县744427100永定区744427000武陵源区744427400慈利县744427200&nb, sp;益阳市737413000沅江市737413100资阳区737413000赫山区737413000南县737413200桃江县737413400安化县737413500郴州市735423000资兴市735423400北湖区735423000苏仙区735423000桂阳县735424400宜章县735424200永兴县735423300嘉禾县735424500临武县735424300汝城县735424100桂东县735423500安仁县735423600永州市746425000江华瑶族自治县746425500芝山区746425000冷水滩区746425000祁阳县746421700东安县746425900双牌县746425200道县746425300江永县746425400宁远县746425600蓝山县746425800新田县746425700怀化市745418000洪江市745418200鹤城区745418000中方县745418000沅陵县745419600辰溪县745419500溆浦县745419300会同县745418300麻阳苗族自治县745419400新晃侗族自治县745419200芷江侗族自治县745419100靖州苗族侗族自治县745418400通道侗族自治县745418500娄底市738417000涟源市738417100娄星区738417000双峰县738417700新化县738417600冷水江市738417500湘西土家族苗族自治州743416000龙山县743416800吉首市743416000泸溪县743416100凤凰县743416200花垣县743416400保靖县743416500古丈县743416300永顺县743416700广东省邮编区号大全市、县、区名长途区号邮政编码市、县、区名长途区号邮政编码广州市20510000从化市20510900东山区20510000荔湾区20510000越秀区20510000海珠区20510000天河区20510000芳村区20510000白云区20510000黄埔区20510700番禺区20511400花都区20510800增城市20511300韶关市751512000南雄市751512400武江区751512000浈江区751512000曲江区751512100始兴县751512500仁化县751512300翁源县751512600乳源瑶族自治县751512600新丰县751511100乐昌市751512200深圳市755518000盐田区755518000罗湖区755518000福田区755518000南山区755518000宝安区755518100龙岗区755518100珠海市756519000金湾区756519090香洲区756519000斗门区756519100汕头市754515000澄海区754515800龙湖区754515000金平区754515000濠江区754515000潮阳区661515100潮南区661515100南澳县754515900佛山市757528000高明区757528500禅城区757528000南海区757528200顺德区757528000三水区757528100江门市750529000恩平市750529400蓬江区750529000江海区750529000新会区750529100台山市750529200开平市750529300鹤山市750529700湛江市759524000吴川市759524500赤坎区759524000霞山区759524000坡头区759524000麻章区759524000遂溪县759524300徐闻县759524100廉江市759524400雷州市759524200茂名市668525000信宜市668525300茂南区668525000茂港区668525000电白县668525400高州市668525200化州市668525100肇庆市758526000四会市758526200端州区758526000鼎湖区758526000广宁县758526300怀集县758526400封开县758526500德庆县758526600高要市758526100惠州市752516000龙门县752516800惠城区752516000惠阳区752516200博罗县752516100惠东县752516300梅州市753514000兴宁市753514500梅江区753514000梅县753514700大埔县753514200丰顺县753514300五华县753514400平远县753514600蕉岭县753514100汕尾市660516600陆丰市660516500城区660516600海丰县660516400陆河县660516700河源市762517000东源县762517500源城区762517000紫金县762517400龙川县762517300连平县762517100和平县762517200阳江市662529500阳春市662529600江城区662529500阳西县662529800阳东县662529900清远市763511500连州市763513400清城区763511500佛冈县763511600阳山县763513100连山壮族瑶族自治县763513200连南瑶族自治县763513300清新县763511800英德市763513000东莞市769523000中山市760528400潮州市768521000饶平县768515700湘桥区768521000潮安县768515600揭阳市663522000普宁市663515300榕城区663522000揭东县663515500揭西县663515400惠来县663515200云浮市766527300罗定市766527200云城区766527300新兴县766527400郁南县766527100云安县766527500市、县、区名长途区号邮政编码市、县、区名长途区号邮政编码南宁市771530000横县771530300兴宁区771530000青秀区771530000江南区771530000西乡塘区771530000良庆区771530200邕宁区771530200武鸣县771530100隆安县771532700马山县771530600上林县771530500宾阳县771530400柳州市772545000三江侗族自治县772545500城中区772545000鱼峰区772545000柳南区772545000柳北区772545000柳江县772545100柳城县772545200。
全国邮政编码汇总F·全国各地邮政编码、区号大全长途区号邮政编码市、县、区名长途区号邮政编码10 100000 西城区 10 10000010 100000 宣武区 10 10000010 100000 丰台区 10 10000010 100000 海淀区 10 10000010 102300 房山区 10 10240010 101100 顺义区 10 10130010 102200 大兴区 10 10260010 101400 平谷区 10 10120010 101500 延庆县 10 102100长途区号邮政编码市、县、区名长途区号邮政编码22 300000 河东区 22 30000022 300000 南开区 22 30000022 300000 红桥区 22 30000022 300450 汉沽区 22 30048022 300000 东丽区 22 30000022 300000 津南区 22 30000022 300000 武清区 22 30170022 301800 宁河县 22 30150022 301600 蓟县 22 301900长途区号邮政编码市、县、区名长途区号邮政编码21 200000 卢湾区 21 20000021 200000 长宁区 21 20000021 200000 普陀区 21 20000021 200000 虹口区 21 20000021 200000 闵行区 21 20110021 201900 嘉定区 21 20180021 200120 金山区 21 20150021 201600 青浦区 21 20170021 201300 奉贤区 21 20140021 202150长途区号邮政编码市、县、区名长途区号邮政编码23 404100 涪陵区 23 40800023 400000 大渡口区 23 40000023 400000 沙坪坝区 23 40000023 400000 南岸区 23 40000023 400700 万盛区 23 40080023 400900 渝北区 23 40112023 401320 黔江区 23 40900023 401220 綦江县 23 40142023 402660 铜梁县 23 40256023 402360 荣昌县 23 40246023 402760 梁平县 23 40520023 405900 丰都县 23 40820023 408300 武隆县 23 40850023 404300 开县 23 40540023 404500 奉节县 23 40460023 404700 巫溪县 23 40580023 409100 秀山土家族苗族自治县 23 40990023 409800 彭水苗族土家族自治县 23 40960023 402260 合川市 23 40152023 402160 南川市 23 408400长途区号邮政编码市、县、区名长途区号邮政编码311 50000 鹿泉市 311 50200311 50000 桥东区 311 50000311 50000 新华区 311 50000311 50100 裕华区 311 50000311 50300 正定县 311 50800311 51430 行唐县 311 50600311 50500 高邑县 311 51330311 52500 赞皇县 311 51230311 52400 平山县 311 50400311 51130 赵县 311 51530311 52300 藁城市 311 52160311 52200 新乐市 311 50700315 63000315 63000 路北区 315 63000315 63100 开平区 315 63000315 63300 丰润区 315 63000315 63700 滦南县 315 63500315 63600 迁西县 315 64300315 64100 唐海县 315 63200315 64200 迁安市 315 64400335 66000 卢龙县 335 66400335 66000 山海关区 335 66200335 66100 青龙满族自治县 335 66500335 66600 抚宁县 335 66300310 56000 武安市 310 56300310 56000 丛台区 310 56000310 56000 峰峰矿区 310 56200310 56000 临漳县 310 56600310 56700 大名县 310 56900310 56400 磁县 310 56500 310 57550 永年县 310 57150 310 57450 鸡泽县 310 57350310 57650 馆陶县 310 57750 310 56800 曲周县 310 57250 319 54000 沙河市 319 54100 319 54000 桥西区 319 54000 319 54000 临城县 319 54300 319 54200 柏乡县 319 55450 319 55350 任县 319 55150 319 54400 宁晋县 319 55550 319 55250 新河县 319 51730 319 54600 平乡县 319 54500 319 54700 清河县 319 54800 319 54900 南宫市 319 51800 312 71000 高碑店市 312 74000 312 71000 北市区 312 71000 312 71000 满城县 312 72150 312 71100 涞水县 312 74100 312 73200 徐水县 312 72550 312 72650 唐县 312 72350 312 71500 容城县 312 71700 312 102900 望都县 312 72450 312 71600 易县 312 74200 312 73100 蠡县 312 71400 312 72250 博野县 312 71300 312 71800 涿州市 312 72750 312 73000 安国市 312 71200 313 75000 崇礼县 313 76350313 75000 桥西区 313 75000313 75000 下花园区 313 75300313 75100 张北县 313 76450313 76650 沽源县 313 76550313 76750 蔚县 313 75700313 75800 怀安县 313 76150313 76250 怀来县 313 75400313 75600 赤城县 313 75500314 67000 围场满族蒙古族314 68450314 67000 双滦区 314 67000314 67200 承德县 314 67400314 67300 平泉县 314 67500314 68250 隆化县 314 68150314 68350 宽城满族自治县 314 67600 317 61000317 61000 运河区 317 61000317 61000 青县 317 62650317 61600 海兴县 317 61200317 61300 肃宁县 317 62350317 61500 吴桥县 317 61800317 62250 孟村回族自治县 317 61400 317 62150 任丘市 317 62550317 61100 河间市 317 62450316 65000316 65000 广阳区 316 65000316 65500 永清县 316 65600316 65400 大城县 316 65900316 65800 大厂回族自治县 316 65300 316 65700 三河市 316 65200318 53000 深州市 318 52800318 53000 枣强县 318 53100318 53400 武强县 318 53300318 53900 安平县 318 53600318 53800 景县 318 53500318 53700 冀州市 318 53200长途区号邮政编码市、县、区名长途区号邮政编码351 30000 古交市 351 30200351 30000 迎泽区 351 30000351 30000 尖草坪区 351 30000351 30000 晋源区 351 30000351 30400 阳曲县 351 30100351 30300352 37000 大同县 352 37300352 37000 矿区 352 37000352 37000 新荣区 352 37000352 38100 天镇县 352 38200352 37500 灵丘县 352 34400352 37400 左云县 352 37100353 45000 盂县 353 45100353 45000 矿区 353 45000353 45000 平定县 353 45200355 46000 潞城市 355 47500355 46000 郊区 355 46000355 47100 襄垣县 355 46200355 46100 平顺县 355 47400355 47600 壶关县 355 47300355 46600 武乡县 355 46300355 46400 沁源县 355 46500356 48000 沁水县 356 48200 356 48100 陵川县 356 48300 356 48000349 38500 怀仁县 349 38300 349 38500 平鲁区 349 38500 349 38400 应县 349 37600 349 37200354 38300 介休市 354 31200 354 30600 榆社县 354 31800354 32600 和顺县 354 32700 354 45300 寿阳县 354 31700 354 30800 祁县 354 30900 354 31100 灵石县 354 31300 359 44000 河津市 359 43300 359 44000 临猗县 359 44100 359 44200 闻喜县 359 43800 359 43200 新绛县 359 43100 359 43600 垣曲县 359 43700 359 44400 平陆县 359 44300 359 44600 永济市 359 44500 350 34000 原平市 350 34100 350 34000 定襄县 350 35400 350 35500 代县 350 34200 350 34300 宁武县 350 36000 350 35100 神池县 350 36100 350 36200 岢岚县 350 36300 350 36500 保德县 350 36600 350 36400357 41000 曲沃县 357 43400357 43500 襄汾县 357 41500357 31600 古县 357 42400357 42500 浮山县 357 42600357 42200 乡宁县 357 42100357 42300 隰县 357 41300357 41400 蒲县 357 41200357 31500 侯马市 357 43000358 33000 汾阳市 358 32200358 33000 文水县 358 32100358 30500 兴县 358 35300358 33200 柳林县 358 33300358 32500 岚县 358 35200358 33100 中阳县 358 33400358 32400 孝义市 358 32300长途区号邮政编码市、县、区名长途区号邮政编码371 450000 登封市 371 452470371 450000 二七区 371 450000371 450000 金水区 371 450000371 450041 邙山区 371 450000371 451450 巩义市 371 452100371 450100 新密市 371 452370371 451100378 475000 兰考县 378 475300378 475000 顺河回族区 378 475000378 475000 南关区 378 475000378 475000 杞县 378 475200378 452200 尉氏县 378 452100378 475100379 471000 偃师市 379 471900 379 471000 西工区 379 471000 379 471000 涧西区 379 471000 379 471000 洛龙区 379 471000 379 471100 新安县 379 471800 379 471500 嵩县 379 471400 379 471200 宜阳县 379 471600 379 471700 伊川县 379 471300 375 467000 汝州市 375 467500 375 467000 卫东区 375 467000 375 467000 湛河区 375 467000 375 467400 叶县 375 467200 375 467300 郏县 375 467100 375 462500 林州市 372 456500 372 455000 林州市 372 456500 372 455000 北关区 372 455000 372 455000 龙安区 372 455000 372 455100 汤阴县 372 456150 372 456400 内黄县 372 456300 392 458000 淇县 392 456750 392 458000 山城区 392 458000 392 458000 浚县 392 456250 373 453000 辉县市 373 453600 373 453000 新乡县 373 453700 373 453800 原阳县 373 453500 373 453200 封丘县 373 453300 373 453400 卫辉市 373 453100 391 454150 孟州市 391 454750 391 454150 中站区 391 454150391 454150 山阳区 391 454150 391 454350 博爱县 391 454450 391 454950 温县 391 454850 391 454650 沁阳市 391 454550 393 457000 濮阳县 393 457100 393 457300 南乐县 393 457400 393 457500 台前县 393 457600 374 461000 长葛市 374 461500 374 461000 许昌县 374 461100 374 461200 襄城县 374 452670 374 452570395 462000 临颍县 395 462600 395 462000 郾城区 395 462300 395 462300 舞阳县 395 462400 398 472000 灵宝市 398 472500 398 472000 渑池县 398 472400 398 472100 卢氏县 398 472200 398 472300377 473000 邓州市 377 474150 377 473000 卧龙区 377 473000 377 474650 方城县 377 473200 377 474550 镇平县 377 474250 377 474350 淅川县 377 474450 377 473300 唐河县 377 473400 377 473500 桐柏县 377 474750 370 476000 永城市 370 476600 370 476000 睢阳区 370 476000 370 476800 睢县 370 476900 370 476700 柘城县 370 476200370 476300 夏邑县 370 476400376 464000 息县 397 464300376 464000 平桥区 376 464000376 464200 光山县 397 465450397 465500 商城县 397 465350397 465200 潢川县 397 465150397 464400394 466000 项城市 394 466200394 466000 扶沟县 394 461300394 466600 商水县 394 466100394 466300 郸城县 394 477150394 466700 太康县 394 475400394 477200396 463000 新蔡县 396 463500396 463000 西平县 396 463900396 463800 平舆县 396 463400396 463600 确山县 396 463200396 463700 汝南县 396 463300396 463100长途区号邮政编码市、县、区名长途区号邮政编码24 110000 新民市 24 11030024 110000 沈河区 24 11000024 110000 皇姑区 24 11000024 110020 苏家屯区 24 11010024 110000 新城子区 24 11000024 110000 辽中县 24 11020024 110500 法库县 24 110400411 116000 庄河市 411 116400411 116000 西岗区 411 116000411 116000 甘井子区 411 116000411 116000 金州区 411 116000411 116500 瓦房店市 411 116300411 116200412 114000 海城市 412 114200412 114000 铁西区 412 114000412 114000 千山区 412 114000412 114100 岫岩满族自治县 412 118400 413 113000 清原满族自治县 413 113300 413 113000 东洲区 413 113000413 113000 顺城区 413 113000413 113100 新宾满族自治县 413 113200 414 117000 桓仁满族自治县 414 117200 414 117000 溪湖区 414 117000414 117000 南芬区 414 117000414 117100415 118000 凤城市 415 118100415 118000 振兴区 415 118000415 118000 宽甸满族自治县 415 118200 415 118300416 121000 北宁市 416 121300416 121000 凌河区 416 121000416 121000 黑山县 416 121400416 121100 凌海市 416 121200417 115000 大石桥市 417 115100417 115000 西市区 417 115000417 115000 老边区 417 115000417 115200418 123000 彰武县 418 123200418 123000 新邱区 418 123000418 123000 清河门区 418 123000418 123000 阜新蒙古族自治418 123100419 111000 灯塔市 419 111300419 111000 文圣区 419 111000419 111000 弓长岭区 419 111000419 111000 辽阳县 419 111200427 124000 盘山县 427 124100427 124000 兴隆台区 427 124000427 124200410 112000 开原市 410 112300410 112000 清河区 410 112000410 112600 西丰县 410 112400410 112500421 122000 凌源市 421 122500421122000 龙城区 421 122000421 122000 建平县 421 122400421 122300 北票市 421 122100429 125000 兴城市 429 125100429 125000 龙港区 429 125000429 125000 绥中县 429 125200429 125300长途区号邮政编码市、县、区名长途区号邮政编码431 130000 德惠市 431 130300431 130000 宽城区 431 130000431 130000 二道区 431 130000431 130000 双阳区 431 130600431 130200 九台市 431 130500431 130400432 132000 磐石市 432 132300432 132000 龙潭区 432 132000432 132000 丰满区 432 132000432 132100 蛟河市 432 132500432 132400 舒兰市 432 132600434 136000 双辽市 434 136400434 136000 铁东区 434 136000434 136500 伊通满族自治县 434 130700 434 136100437 136200 东辽县 437 136600437 136200 西安区 437 136200437 136300435 134000 集安市 435 134200435 134000 二道江区 435 134000435 134100 辉南县 448 135100448 135300 梅河口市 448 135000439 134300 临江市 439 134600439 134300 抚松县 439 134500439 135200 长白朝鲜族自治439 134400439 134700438 138000 扶余县 438 131200438 138000 前郭尔罗斯蒙古438 131100438 131500 乾安县 438 131400436 137000 大安市 436 131300436 137000 镇赉县 436 137300436 137200 洮南市 436 137100433 133000 汪清县 433 133200433 133000 图们市 433 133100433 133700 珲春市 440 133300433 133400 和龙市 433 133500433 133600长途区号邮政编码市、县、区名长途区号邮政编码451 150000 五常市 451 150200451 150000 南岗区 451 150000451 150000 香坊区 451 150000451 150000 平房区 451 150000451 150000 呼兰区 451 150500451 154800 方正县 451 150800451 150400 巴彦县 451 151800451 151900 通河县 451 150900451 150700 阿城市 451 150300451 150100 尚志市 451 150600452 161000452 161000 建华区 452 161000452 161000 昂昂溪区 452 161000452 161000 碾子山区 452 161000452 161000 龙江县 452 161100452 161500 泰来县 452 162400452 162100 富裕县 452 161200452 161600 克东县 452 164800452 164700 讷河市 452 161300467 158100 密山市 467 158300467 158100 恒山区 467 158100467 158100 梨树区 467 158100467 158100 麻山区 467 158100467 158200 虎林市 467 158400468 154100468 154100 工农区 468 154100 468 154100 兴安区 468 154100 468 154100 兴山区 468 154100 468 154200 绥滨县 468 156200 469 155100469 155100 岭东区 469 155100 469 155100 宝山区 469 155100 469 155900 友谊县 469 155800 469 155600 饶河县 469 155700 459 163000 杜尔伯特蒙古族459 166200459 163000 龙凤区 459 163000 459 163000 红岗区 459 163000 459 163000 肇州县 459 166400 459 166500 林甸县 459 166300 458 153000 铁力市 458 152500 458 153000 南岔区 458 153000 458 153000 西林区 458 153000458 153000 新青区 458 153000 458 153000 金山屯区 458 153000 458 153000 乌马河区 458 153000 458 153000 带岭区 458 153000 458 153000 红星区 458 153000 458 153000 嘉荫县 458 153200 454 154000 富锦市 454 156100 454 154000 向阳区 454 154000 454 154000 东风区 454 154000 454 154000 桦南县 454 154400454 154300 汤原县 454 154700454 156500 同江市 454 156400464 154600464 154600 桃山区 464 154600464 154600 勃利县 464 154500453 157000453 157000 阳明区 453 157000453 157000 西安区 453 157000453 157200 林口县 453 157600453 157300 海林市 453 157100453 157400 穆棱市 453 157500456 164300456 164300 嫩江县 456 161400456 164400 孙吴县 456 164200456 164000 五大连池市 456 164100455 152000455 152000 望奎县 455 152100455 151500 青冈县 455 151600455 152400 明水县 455 151700455 152200 安达市 455 151400455 151100 海伦市 455 152300, 165000 漠河县 457 165300457 165100 塔河县 457 165200长途区号邮政编码市、县、区名长途区号邮政编码471 10000 武川县 471 11700471 10000 回民区 471 10000471 10000 土默特左旗 471 10100471 10200 和林格尔县 471 11500471 11600472 14000 达尔罕茂明安联472 14500472 14000 昆都伦区 472 14000472 14000 白云矿区 472 14000472 14100 固阳县 472 14200473 16000 乌达区 473 16000473 16000476 24000 海南区 473 16000476 24000 元宝山区 476 24000476 24000 阿鲁科尔沁旗 476 25500 476 25450 巴林右旗 476 25150476 25250 克什克腾旗 476 25350 476 24500 喀喇沁旗 476 24400476 24200 敖汉旗 476 24300475 28000 霍林郭勒市 475 29200 475 28000 科尔沁左翼中旗 475 29300 475 28100 开鲁县 475 28400475 28200 奈曼旗 475 28300475 29100477 伊金霍洛旗 477 17200477 17000 达拉特旗 477477 17100 鄂托克前旗 477 16200 477 16100 杭锦旗 477 17400477 17300470 21000 根河市 470 22350470 21000 阿荣旗 470 162750470 162850 鄂伦春自治旗 470 22450 470 21100 陈巴尔虎旗 470 21500 470 21200 新巴尔虎右旗 470 21300 470 21400 牙克石市 470 22150470 162650 额尔古纳市 470 22250478 15000 杭锦后旗 478 15400478 15000 五原县 478 15100478 15200 乌拉特前旗 478 14400478 15300 乌拉特后旗 478 15500474 丰镇市 474 12100474 12000 卓资县 474 12300474 13350 商都县 474 13400474 13650 凉城县 474 13750474 12200 察哈尔右翼中旗 474 13500474 12400 四子王旗 474 11800482 突泉县 482 137500482 137400 阿尔山市 482 137400482 137400 科尔沁右翼中旗 482 29400482 137600479 26000 多伦县 479 27300479 12600 锡林浩特市 479 26000479 11400 苏尼特左旗 479 11300479 11200 东乌珠穆沁旗 479 26300479 26200 太仆寺旗 479 27000479 13250 正镶白旗 479 13800479 27200483 额济纳旗 483 735400483 750300 阿拉善右旗 483 737300长途区号邮政编码市、县、区名长途区号邮政编码25 210000 高淳县 25 21130025 210000 白下区 25 21000025 210000 建邺区 25 21000025 210000 下关区 25 21000025 210000 栖霞区 25 21000025 210000 江宁区 25 21110025 211500 溧水县 25 211200 510 214000 宜兴市 510 214200 510 214000 南长区 510 214000 510 214000 锡山区 510 214000 510 214000 江阴市 510 214400 516 221000 邳州市 516 221300 516 221000 云龙区 516 221000 516 221000 贾汪区 516 221000 516 221000 丰县 516 221700 516 221600 铜山县 516 221100 516 221200 新沂市 516 221400 519 213000 金坛市 519 213200 519 213000 钟楼区 519 213000 519 213000 武进区 519 213100 519 213300512 215000 太仓市 512 215400 512 215000 平江区 512 215000 512 215000 虎丘区 512 215000 512 215100 相城区 512 215100 512 215500 张家港市 512 215600 512 215300 吴江市 512 215200 513 226000 海门市 513 226100 513 226000 港闸区 513 226000 513 226600 如东县 513 226400 513 226200 如皋市 513 226500 513 226300518 222000 灌南县 518 223500518 222000 新浦区 518 222000518 222000 赣榆县 518 222100518 222300 灌云县 518 222200517 223001 金湖县 517 211600517 223001 楚州区 517 223200517 223300 清浦区 517 223001517 223400 洪泽县 517 223100517 211700515 224000 大丰市 515 224100515 224000 响水县 515 224600515 224000 阜宁县 515 224400515 224300 建湖县 515 224700515 224200514 225000 江都市 514 225200514 225000 邗江区 514 225100514 225800 仪征市 514 211400514 225600511 212000 句容市 511 212400511 212000 润州区 511 212000511 212100 丹阳市 511 212300511 212200523 225300 姜堰市 523 225500523 225300 高港区 523 225300523 225700 靖江市 523 214500523 225400527 223800 泗洪县 527 223900527 223800 宿豫区 527 223800527 223600 泗阳县 527 223700长途区号邮政编码市、县、区名长途区号邮政编码531 250000 市中区 531 250000 531 250000 天桥区 531 250000 531 250100 长清区 531 250300 531 250400 济阳县 531 251400 531 251600532 266000 莱西市 532 266600 532 266000 市北区 532 266000 532 266000 黄岛区 532 266000 532 266100 李沧区 532 266000 532 266000 胶州市 532 266300 532 266200 平度市 532 266700 532 266400533 255000 沂源县 533 256100 533 255100 张店区 533 255000 533 255200 临淄区 533 255400 533 255300 桓台县 533 256400 533 256300632 277000 滕州市 632 277500 632 277000 薛城区 632 277000 632 277300 台儿庄区 632 277400 632 277200546 257000 广饶县 546 257300 546 257100 河口区 546 257200 546 257500 利津县 546 257400 535 264000 海阳市 535 265100 535 264000 福山区 535 265500 535 264100 莱山区 535 264000 535 265800 龙口市 535 265700 535 265200 莱州市 535 261400535 265300536 261000 昌邑市 536 261300 536 261000 寒亭区 536 261100 536 261200 奎文区 536 261000 536 262600 昌乐县 536 262400 536 262500 诸城市 536 262200 536 262700 安丘市 536 262100 536 261500537 272000 邹城市 537 273500 537 272000 任城区 537 272000 537 277600 鱼台县 537 272300 537 272200 嘉祥县 537 272400 537 272500 泗水县 537 273200 537 272600 曲阜市 537 273100 537 272000538 271000 肥城市 538 271600 538 271000 岱岳区 538 271000 538 271400 东平县 538 271500 538 271200631 264200 乳山市 631 264500 631 264200 文登市 631 264400 631 264300633 276800 莒县 633 276500 633 276800 岚山区 633 276800 633 262300634 271100 钢城区 634 271100 634 271100539 276000 临沭县 539 276700 539 276000 罗庄区 539 276000539 276100 沂水县 539 276400539 277700 费县 539 273400539 273300 莒南县 539 276600539 276200534 253000 禹城市 534 251200534 253000 陵县 534 253500534 253400 庆云县 534 253700534 251500 齐河县 534 251100534 253100 夏津县 534 253200534 253300 乐陵市 534 253600635 252000 临清市 635 252600635 252000 阳谷县 635 252300635 252400 茌平县 635 252100635 252200 冠县 635 252500635 252800543 256600 邹平县 543 256200543 256600 惠民县 543 251700543 251800 无棣县 543 251900543 256800 博兴县 543 256500530 274000 东明县 530 274500530 274000 曹县 530 274400530 274300 成武县 530 274200530 274900 郓城县 530 274700530 274600 定陶县 530 274100长途区号邮政编码市、县、区名长途区号邮政编码551 230000 肥东县 551 230000551 231100 肥西县 551 231200553 241000 南陵县 553 242400553 241000 鸠江区 553 241000 553 241100 繁昌县 553 241200 552 233000 固镇县 552 233700 552 233000 蚌山区 552 233000 552 233000 淮上区 552 233000 552 233400 五河县 552 233300 554 232000 凤台县 554 232100 554 232000 田家庵区 554 232000 554 232000 八公山区 554 232000 554 232000555 243000 当涂县 555 243100 555 243000 花山区 555 243000 555 243000561 235000 濉溪县 561 235100 561 235000 相山区 561 235000 561 235000562 244000 铜陵县 562 244100 562 244000 狮子山区 562 244000 562 244000556 246000 桐城市 556 231400 556 246000 大观区 556 246000 556 246000 怀宁县 556 246100 556 246700 潜山县 556 246300 556 246400 宿松县 556 246500 556 246200 岳西县 556 246600 559 245000 祁门县 559 245600 559 245000 黄山区 559 24500559 245000 歙县 559 245200550 239000 明光市 550 239400 550 239000 南谯区 550 239000 550 239200 全椒县 550 239500 550 233200 凤阳县 550 233100 550 239300558 236000 界首市 558 236500 558 236000 颍东区 558 236000 558 236000 临泉县 558 236400 558 236600 阜南县 558 236300 558 236200557 234000 泗县 557 234300 557 234000 砀山县 557 235300 557 235200 灵璧县 557 234200 565 238000 和县 565 238200 565 238000 庐江县 565 231500 565 238300 含山县 565 238100 564 237000564 237000 裕安区 564 237000 564 232200 霍邱县 564 237400 564 231300 金寨县 564 237300 558 236000 利辛县 558 236700 558 236800 涡阳县 558 233600 558 233500566 247100 青阳县 566 242800 566 247100 东至县 566 247200 566 245100563 242000 宁国市 563 242300 563 242000 郎溪县 563 242100 563 242200 泾县 563 242500长途区号邮政编码市、县、区名长途区号邮政编码571 310000 临安市 571 311300571 310000 下城区 571 310000571 310000 拱墅区 571 310000571 310000 滨江区 571 310000571 311200 余杭区 571 311100571 311500 淳安县 571 311700571 311600 富阳市 571 311400574 315000 奉化市 574 315500574 315000 江东区 574 315000574 315000 北仑区 574 315800574 315200 鄞州区 574 315100574 315700 宁海县 574 315600574 315400 慈溪市 574 315300577 325000 乐清市 577 325600577 325000 龙湾区 577 325000577 325000 洞头县 577 325700577 325100 平阳县 577 325400577 325800 文成县 577 325300577 325500 瑞安市 577 325200573 314000 平湖市 573 314200573 314000 嘉善县 573 314100573 314300 海宁市 573 314400573 314500572 313000 安吉县 572 313300572 313000 南浔区 572 313000572 313200 长兴县 572 313100575 312000 嵊州市 575 312400575 312000 绍兴县 575 312000575 312500 诸暨市 575 311800575 312300579 321000 永康市 579 321300579 321000 金东区 579 321000579 321200 浦江县 579 322200579 322300 兰溪市 579 321100579 322000 东阳市 579 322100570 324000 江山市 570 324100570 324000 衢江区 570 324000570 324200 开化县 570 324300570 324400580 316000 嵊泗县 580 202450580 316000 普陀区 580 316100580 316200576 318000 临海市 576 317000576 317700 黄岩区 576 318020576 318000 玉环县 576 317600576 317100 天台县 576 317200576 317300 温岭市 576 317500578 323000 龙泉市 578 323700578 323000 青田县 578 323900578 321400 遂昌县 578 323300578 323400 云和县 578 323600578 323800 景宁畲族自治县 578 323500长途区号邮政编码市、县、区名长途区号邮政编码591 350000 长乐市 591 350200591 350000 台江区 591 350000591 350000 马尾区 591 350000591 350000 闽侯县 591 350100591 350500 罗源县 591 350600 591 350800 永泰县 591 350700 591 350400 福清市 591 350300 592 361000 翔安区 592 361100 592 361000 海沧区 592 361000 592 361000 集美区 592 361000 592 361100594 351100 仙游县 594 351200 594 351100 涵江区 594 351100 594 351100 秀屿区 594 351100 598 365000 永安市 598 366000 598 365000 三元区 598 365000 598 365300 清流县 598 365300 598 365400 大田县 598 366100 598 365100 沙县 598 365500 598 353300 泰宁县 598 354400 598 354500595 362000 南安市 595 362300 595 362000 丰泽区 595 362000 595 362000 泉港区 595 362100 595 362100 安溪县 595 362400 595 362600 德化县 595 362500 595 362000 石狮市 595 362700 595 362200596 363000 龙海市 596 363100 596 363000 龙文区 596 363000 596 363300 漳浦县 596 363200 596 363500 长泰县 596 363900596 363400 南靖县 596 363600596 363700 华安县 596 363800599 353000 建阳市 599 354200599 353000 顺昌县 599 353200599 353400 光泽县 599 354100599 353500 政和县 599 353600599 354000 武夷山市 599 354300599 353100597 364000 漳平市 597 364400597 364000 长汀县 597 366300597 364100 上杭县 597 364200597 364300 连城县 597 366200593 352000 福鼎市 593 355200593 352000 霞浦县 593 355100593 352200 屏南县 593 352300593 355500 周宁县 593 355400593 355300 福安市 593 355000长途区号邮政编码市、县、区名长途区号邮政编码27 430000 新洲区 27 43140027 430014 江汉区 27 43000027 430000 汉阳区 27 43005027 430000 青山区 27 43008027 430070 东西湖区 27 43004027 430090 蔡甸区 27 43010027 430200 黄陂区 27 432200714 435000 大冶市 714 435100714 435000 下陆区 714 435000714 435000 阳新县 714 435200719 442000 丹江口市 719 442700719 442000 张湾区 719 442000719 442500 郧西县 719 442600719 442200 竹溪县 719 442300719 442100717 443000 枝江市 717 443200717 443000 伍家岗区 717 443000717 443000 虎亭区 717 443000717 443100 远安县 717 444200717 443700 秭归县 717 443600717 443500 五峰土家族自治县 717 443400 717 443000 当阳市 717 444100710 441000 宜城市 710 441400710 441000 樊城区 710 441000710 441100 南漳县 710 441500710 441700 保康县 710 441600710 441800 枣阳市 710 441200711 436000 鄂城区 711 436000711 436000 华容区 711 436000724 448000 钟祥市 724 431900724 448000 掇刀区 724 448000724 431800 沙洋县 724 448200712 432000 汉川市 712 432300712 432100 孝昌县 712 432900712 432800 云梦县 712 432500712 432400 安陆市 712 432600716 434000 松滋市 716 434200716 434000 荆州区 716 434020716 434300 监利县 716 433300716 434100 石首市 716 434400716 433200713 438000 团风县 713 438000713 438400 罗田县 713 438600713 438700 浠水县 713 438200713 435300 黄梅县 713 435500713 438300715 437000 赤壁市 715 437300715 437000 嘉鱼县 715 437200715 437400 崇阳县 715 437500715 437600722 441300 广水市 722 432700722 441300718 445000 鹤峰县 718 445800718 445000 利川市 718 445400718 445300 巴东县 718 444300718 445500 咸丰县 718 445600718 445700728 433000 潜江市 728 433100728 431700 神农架林区 719 442400长途区号邮政编码市、县、区名长途区号邮政编码731 410000 浏阳市 731 410300731 410000 天心区 731 410000731 410000 开福区 731 410000731 410000 长沙县 731 410100731 410200 宁乡县 731 410600733 412000 醴陵市 733 412200733 412000 芦淞区 733 412000733 412000 天元区 733 412000733 412400 炎陵县 733 412500 732 411100 韶山市 732 411300 732 411100 岳塘区 732 411100 732 411200 湘乡市 732 411400 734 421000 常宁市 734 421500 734 421000 雁峰区 734 421000 734 421000 蒸湘区 734 421000 734 421000 衡阳县 734 421200 734 421100 衡山县 734 421300 734 421400 祁东县 734 421600 734 421800739 422000 武冈市 739 422400 739 422000 大祥区 739 422000 739 422000 邵东县 739 422800 739 422900 邵阳县 739 422100 739 422200 洞口县 739 422300 739 422600 新宁县 739 422700 739 422500730 414000 临湘市 730 414300 730 414000 云溪区 730 414000 730 414000 岳阳县 730 414100 730 414200 湘阴县 730 410500 730 410400 汨罗市 730 414400 736 415000 津市市 736 415400 736 415000 鼎城区 736 415100 736 415600 汉寿县 736 415900 736 415500 临澧县 736 415200 736 415700 石门县 736 415300 744 427000 桑植县 744 427100744 427000 武陵源区 744 427400744 427200 &nb,737 413000 沅江市 737 413100737 413000 赫山区 737 413000737 413200 桃江县 737 413400737 413500735 423000 资兴市 735 423400735 423000 苏仙区 735 423000735 424400 宜章县 735 424200735 423300 嘉禾县 735 424500735 424300 汝城县 735 424100735 423500 安仁县 735 423600746 425000 江华瑶族自治县 746 425500 746 425000 冷水滩区 746 425000746 421700 东安县 746 425900746 425200 道县 746 425300746 425400 宁远县 746 425600746 425800 新田县 746 425700745 418000 洪江市 745 418200745 418000 中方县 745 418000745 419600 辰溪县 745 419500745 419300 会同县 745 418300745 419400 新晃侗族自治县 745 419200 745 419100 靖州苗族侗族自治县 745 418400 745 418500738 417000 涟源市 738 417100738 417000 双峰县 738 417700738 417600 冷水江市 738 417500743 416000 龙山县 743 416800743 416000 泸溪县 743 416100743 416200 花垣县 743 416400743 416500 古丈县 743 416300743 416700长途区号邮政编码市、县、区名长途区号邮政编码20 510000 从化市 20 51090020 510000 荔湾区 20 51000020 510000 海珠区 20 51000020 510000 芳村区 20 51000020 510000 黄埔区 20 51070020 511400 花都区 20 51080020 511300751 512000 南雄市 751 512400751 512000 浈江区 751 512000751 512100 始兴县 751 512500751 512300 翁源县 751 512600751 512600 新丰县 751 511100751 512200755 518000 盐田区 755 518000755 518000 福田区 755 518000755 518000 宝安区 755 518100755 518100756 519000 金湾区 756 519090756 519000 斗门区 756 519100754 515000 澄海区 754 515800754 515000 金平区 754 515000754 515000 潮阳区 661 515100661 515100 南澳县 754 515900757 528000 高明区 757 528500757 528000 南海区 757 528200750 529000 恩平市 750 529400 750 529000 江海区 750 529000 750 529100 台山市 750 529200 750 529300 鹤山市 750 529700 759 524000 吴川市 759 524500 759 524000 霞山区 759 524000 759 524000 麻章区 759 524000 759 524300 徐闻县 759 524100 759 524400 雷州市 759 524200 668 525000 信宜市 668 525300 668 525000 茂港区 668 525000 668 525400 高州市 668 525200 668 525100758 526000 四会市 758 526200 758 526000 鼎湖区 758 526000 758 526300 怀集县 758 526400 758 526500 德庆县 758 526600 758 526100752 516000 龙门县 752 516800 752 516000 惠阳区 752 516200 752 516100 惠东县 752 516300 753 514000 兴宁市 753 514500 753 514000 梅县 753 514700 753 514200 丰顺县 753 514300 753 514400 平远县 753 514600 753 514100660 516600 陆丰市 660 516500 660 516600 海丰县 660 516400 660 516700762 517000 紫金县 762 517400762 517300 连平县 762 517100762 517200662 529500 阳春市 662 529600662 529500 阳西县 662 529800662 529900763 511500 连州市 763 513400763 511500 佛冈县 763 511600763 513100 连山壮族瑶族自763 513200763 513300 清新县 763 511800763 513000769 523000 中山市 760 528400768 521000 饶平县 768 515700768 521000 潮安县 768 515600663 522000 普宁市 663 515300663 522000 揭东县 663 515500663 515400 惠来县 663 515200766 527300 罗定市 766 527200766 527300 新兴县 766 527400766 527100 云安县 766 527500长途区号邮政编码市、县、区名长途区号邮政编码771 530000 横县 771 530300771 530000 青秀区 771 530000771 530000 西乡塘区 771 530000771 530200 邕宁区 771 530200771 530100 隆安县 771 532700771 530600 上林县 771 530500771 530400772 545000 三江侗族自治县 772 545500 772 545000 鱼峰区 772 545000772 545000 柳北区 772 545000772 545100 柳城县 772 545200772 545600 融安县 772 545400772 545300773 541000 恭城瑶族自治县 773 542500 773 541000 叠彩区 773 541000773 541000 七星区 773 541000773 541000 阳朔县 773 541900773 541100 灵川县 773 541200773 541500 兴安县 773 541300773 541800 灌阳县 773 541600773 541700 资源县 773 541400773 542400 荔蒲县 773 546600774 543000 岑溪市 774 543200774 543000 蝶山区 774 543000774 543000 苍梧县 774 543100774 543300 蒙山县 774 546700779 536000 合浦县 779 536100779 536000 银海区 779 536000779 536000770 538000 东兴市 770 538100770 538000 防城区 770 538000770 535500777 535000 浦北县 777 535300777 535000 钦北区 777 535000777 535400775 537000 桂平市 775 537200。
最新文件---------------- 仅供参考--------------------已改成-----------word文本 --------------------- 方便更改全国各地邮政编码、区号大全北京市邮编区号大全市、县、长途区号邮政编码市、县、区名长途区号邮政编码区名东城区10 西城区10崇文区10 宣武区10朝阳区10 丰台区10石景山区 10 海淀区10门头沟区 10 房山区10通州区10 顺义区10昌平区10 大兴区10怀柔区10 平谷区10密云县10 延庆县10天津市邮编区号大全市、县、长途区号邮政编码市、县、区名长途区号邮政编码区名和平区22 河东区22河西区22 南开区22河北区22 红桥区22塘沽区22 汉沽区22大港区22 东丽区22西青区22 津南区22北辰区22 武清区22宝坻区22 宁河县22静海县22 蓟县22上海市邮编区号大全市、县、长途区号邮政编码市、县、区名长途区号邮政编码区名黄浦区21 卢湾区21徐汇区21 长宁区21静安区21 普陀区21闸北区21 虹口区21杨浦区21 闵行区21宝山区21 嘉定区21浦东新区 21 金山区21松江区21 青浦区21南汇区21 奉贤区21崇明县21重庆市邮编区号大全市、县、长途区号邮政编码市、县、区名长途区号邮政编码区名万州区23 涪陵区23 渝中区23 大渡口区23 江北区23 沙坪坝区23 九龙坡区 23 南岸区23 北碚区23 万盛区23 双桥区23 渝北区23 巴南区23 黔江区23 长寿区23 綦江县23 潼南县23 铜梁县23 大足县23 荣昌县23 璧山县23 梁平县23 城口县23 丰都县23 垫江县23 武隆县23 忠县23 开县23 云阳县23 奉节县23 巫山县23 巫溪县23石柱土家族自治县23秀山土家族苗族自治县23酉阳土家族苗族自治县23彭水苗族土家族自治县23江津市23 合川市23 永川市23 南川市23河北省邮编区号大全市、县、长途区号邮政编码市、县、区名长途区号邮政编码区名石家庄市311 50000 鹿泉市311 50200长安区311 50000 桥东区311 50000桥西区311 50000 新华区311 50000井陉矿区 311 50100 裕华区311 50000井陉县311 50300 正定县311 50800栾城县311 51430 行唐县311 50600灵寿县311 50500 高邑县311 51330深泽县311 52500 赞皇县311 51230无极县311 52400 平山县311 50400元氏县311 51130 赵县311 51530辛集市311 52300 藁城市311 52160晋州市311 52200 新乐市311 50700唐山市315 63000路南区315 63000 路北区315 63000古冶区315 63100 开平区315 63000丰南区315 63300 丰润区315 63000滦县315 63700 滦南县315 63500乐亭县315 63600 迁西县315 64300玉田县315 64100 唐海县315 63200遵化市315 64200 迁安市315 64400秦皇岛市335 66000 卢龙县335 66400海港区335 66000 山海关区335 66200北戴河区 335 66100 青龙满族自治县335 66500昌黎县335 66600 抚宁县335 66300 邯郸市310 56000 武安市310 56300 邯山区310 56000 丛台区310 56000 复兴区310 56000 峰峰矿区310 56200 邯郸县310 56000 临漳县310 56600 成安县310 56700 大名县310 56900 涉县310 56400 磁县310 56500 肥乡县310 57550 永年县310 57150 邱县310 57450 鸡泽县310 57350 广平县310 57650 馆陶县310 57750 魏县310 56800 曲周县310 57250 邢台市319 54000 沙河市319 54100 桥东区319 54000 桥西区319 54000 邢台县319 54000 临城县319 54300 内丘县319 54200 柏乡县319 55450 隆尧县319 55350 任县319 55150 南和县319 54400 宁晋县319 55550 巨鹿县319 55250 新河县319 51730 广宗县319 54600 平乡县319 54500 威县319 54700 清河县319 54800 临西县319 54900 南宫市319 51800保定市312 71000 高碑店市312 74000 新市区312 71000 北市区312 71000 南市区312 71000 满城县312 72150 清苑县312 71100 涞水县312 74100 阜平县312 73200 徐水县312 72550 定兴县312 72650 唐县312 72350 高阳县312 71500 容城县312 71700 涞源县312 望都县312 72450 安新县312 71600 易县312 74200 曲阳县312 73100 蠡县312 71400 顺平县312 72250 博野县312 71300 雄县312 71800 涿州市312 72750 定州市312 73000 安国市312 71200 张家口市313 75000 崇礼县313 76350 桥东区313 75000 桥西区313 75000 宣化区313 75000 下花园区313 75300 宣化县313 75100 张北县313 76450 康保县313 76650 沽源县313 76550 尚义县313 76750 蔚县313 75700 阳原县313 75800 怀安县313 76150 万全县313 76250 怀来县313 75400 涿鹿县313 75600 赤城县313 75500承德市314 67000 围场满族蒙古族自治县314 68450双桥区314 67000 双滦区314 67000鹰手营子矿区314 67200 承德县314 67400 兴隆县314 67300 平泉县314 67500 滦平县314 68250 隆化县314 68150丰宁满族自治县314 68350宽城满族自治县314 67600沧州市317 61000新华区317 61000 运河区317 61000 沧县317 61000 青县317 62650 东光县317 61600 海兴县317 61200 盐山县317 61300 肃宁县317 62350 南皮县317 61500 吴桥县317 61800献县317 62250 孟村回族自治县317 61400泊头市317 62150 任丘市317 62550 黄骅市317 61100 河间市317 62450 廊坊市316 65000安次区316 65000 广阳区316 65000 固安县316 65500 永清县316 65600 香河县316 65400 大城县316 65900文安县316 65800 大厂回族自治县316 65300霸州市316 65700 三河市316 65200 衡水市318 53000 深州市318 52800桃城区318 53000 枣强县318 53100武邑县318 53400 武强县318 53300饶阳县318 53900 安平县318 53600故城县318 53800 景县318 53500阜城县318 53700 冀州市318 53200山西省邮编区号大全市、县、长途区号邮政编码市、县、区名长途区号邮政编码区名太原市351 30000 古交市351 30200小店区351 30000 迎泽区351 30000杏花岭区 351 30000 尖草坪区351 30000万柏林区 351 30000 晋源区351 30000清徐县351 30400 阳曲县351 30100娄烦县351 30300大同市352 37000 大同县352 37300城区352 37000 矿区352 37000南郊区352 37000 新荣区352 37000阳高县352 38100 天镇县352 38200广灵县352 37500 灵丘县352 34400浑源县352 37400 左云县352 37100阳泉市353 45000 盂县353 45100城区353 45000 矿区353 45000郊区353 45000 平定县353 45200长治市355 46000 潞城市355 47500 城区355 46000 郊区355 46000 长治县355 47100 襄垣县355 46200 屯留县355 46100 平顺县355 47400 黎城县355 47600 壶关县355 47300 长子县355 46600 武乡县355 46300 沁县355 46400 沁源县355 46500 晋城市356 48000 高平市356 46700 城区356 48000 沁水县356 48200 阳城县356 48100 陵川县356 48300 泽州县356 48000朔州市349 38500 怀仁县349 38300 朔城区349 38500 平鲁区349 38500 山阴县349 38400 应县349 37600 右玉县349 37200晋中市354 38300 介休市354 31200 榆次区354 30600 榆社县354 31800 左权县354 32600 和顺县354 32700 昔阳县354 45300 寿阳县354 31700 太谷县354 30800 祁县354 30900 平遥县354 31100 灵石县354 31300 运城市359 44000 河津市359 43300 盐湖区359 44000 临猗县359 44100万荣县359 44200 闻喜县359 43800 稷山县359 43200 新绛县359 43100 绛县359 43600 垣曲县359 43700 夏县359 44400 平陆县359 44300 芮城县359 44600 永济市359 44500 忻州市350 34000 原平市350 34100 忻府区350 34000 定襄县350 35400 五台县350 35500 代县350 34200 繁峙县350 34300 宁武县350 36000 静乐县350 35100 神池县350 36100 五寨县350 36200 岢岚县350 36300 河曲县350 36500 保德县350 36600 偏关县350 36400临汾市357 41000 霍州市357 31400 尧都区357 41000 曲沃县357 43400 翼城县357 43500 襄汾县357 41500 洪洞县357 31600 古县357 42400 安泽县357 42500 浮山县357 42600 吉县357 42200 乡宁县357 42100 大宁县357 42300 隰县357 41300 永和县357 41400 蒲县357 41200 汾西县357 31500 侯马市357 43000 吕梁市358 33000 汾阳市358 32200离石区358 33000 文水县358 32100交城县358 30500 兴县358 35300临县358 33200 柳林县358 33300石楼县358 32500 岚县358 35200方山县358 33100 中阳县358 33400交口县358 32400 孝义市358 32300河南省邮编区号大全市、县、长途区号邮政编码市、县、区名长途区号邮政编码区名郑州市371 登封市371中原区371 二七区371管城回族371 金水区371区上街区371 邙山区371中牟县371 巩义市371荥阳市371 新密市371新郑市371开封市378 兰考县378龙亭区378 顺河回族区378鼓楼区378 南关区378郊区378 杞县378通许县378 尉氏县378开封县378洛阳市379 偃师市379老城区379 西工区379廛河回族379 涧西区379 区吉利区379 洛龙区379孟津县379 新安县379栾川县379 嵩县379汝阳县379 宜阳县379洛宁县379 伊川县379平顶山市375 汝州市375新华区375 卫东区375石龙区375 湛河区375宝丰县375 叶县375鲁山县375 郏县375舞钢市375 林州市372安阳市372 林州市372文峰区372 北关区372殷都区372 龙安区372安阳县372 汤阴县372滑县372 内黄县372鹤壁市392 淇县392鹤山区392 山城区392淇滨区392 浚县392新乡市373 辉县市373红旗区373 新乡县373 获嘉县373 原阳县373 延津县373 封丘县373 长垣县373 卫辉市373 焦作市391 孟州市391 解放区391 中站区391 马村区391 山阳区391 修武县391 博爱县391 武陟县391 温县391 济源市391 沁阳市391 濮阳市393 濮阳县393 清丰县393 南乐县393 范县393 台前县393 许昌市374 长葛市374 魏都区374 许昌县374 鄢陵县374 襄城县374 禹州市374漯河市395 临颍县395 源汇区395 郾城区395 召陵区395 舞阳县395 三门峡市398 灵宝市398 湖滨区398 渑池县398 陕县398 卢氏县398义马市398南阳市377 邓州市377 宛城区377 卧龙区377 南召县377 方城县377 西峡县377 镇平县377 内乡县377 淅川县377 社旗县377 唐河县377 新野县377 桐柏县377 商丘市370 永城市370 梁园区370 睢阳区370 民权县370 睢县370 宁陵县370 柘城县370 虞城县370 夏邑县370 信阳市376 息县397 师河区376 平桥区376 罗山县376 光山县397 新县397 商城县397 固始县397 潢川县397 淮滨县397周口市394 项城市394 川汇区394 扶沟县394 西华县394 商水县394 沈丘县394 郸城县394淮阳县394 太康县394鹿邑县394驻马店市396 新蔡县396驿城区396 西平县396上蔡县396 平舆县396正阳县396 确山县396泌阳县396 汝南县396遂平县396辽宁省邮编区号大全市、县、长途区号邮政编码市、县、区名长途区号邮政编码区名沈阳市24 新民市24和平区24 沈河区24大东区24 皇姑区24铁西区24 苏家屯区24东陵区24 新城子区24于洪区24 辽中县24康平县24 法库县24大连市411 庄河市411中山区411 西岗区411沙河口区 411 甘井子区411旅顺口区 411 金州区411长海县411 瓦房店市411普兰店市 411鞍山市412 海城市412 铁东区412 铁西区412 立山区412 千山区412台安县412 岫岩满族自治县412抚顺市413 清原满族自治县413新抚区413 东洲区413 望花区413 顺城区413抚顺县413 新宾满族自治县413本溪市414 桓仁满族自治县414平山区414 溪湖区414明山区414 南芬区414本溪满族自治县414丹东市415 凤城市415 元宝区415 振兴区415振安区415 宽甸满族自治县415东港市415锦州市416 北宁市416 古塔区416 凌河区416 太和区416 黑山县416义县416 凌海市416 营口市417 大石桥市417 站前区417 西市区417 鲅鱼圈区 417 老边区417 盖州市417阜新市418 彰武县418 海州区418 新邱区418 太平区418 清河门区418细河区418 阜新蒙古族自治县418辽阳市419 灯塔市419 白塔区419 文圣区419 宏伟区419 弓长岭区419 太子河区 419 辽阳县419 盘锦市427 盘山县427 双台子区 427 兴隆台区427 大洼县427铁岭市410 开原市410 银州区410 清河区410 铁岭县410 西丰县410 昌图县410朝阳市421 凌源市421 双塔区421 龙城区421 朝阳县421 建平县421喀喇沁左翼蒙古族421 北票市421自治县葫芦岛市429 兴城市429连山区429 龙港区429南票区429 绥中县429建昌县429吉林省邮编区号大全市、县、长途区号邮政编码市、县、区名长途区号邮政编码区名长春市431 德惠市431南关区431 宽城区431朝阳区431 二道区431绿园区431 双阳区431农安县431 九台市431榆树市431吉林市432 磐石市432昌邑区432 龙潭区432船营区432 丰满区432永吉县432 蛟河市432桦甸市432 舒兰市432四平市434 双辽市434铁西区434 铁东区434梨树县434 伊通满族自治县434公主岭市 434辽源市437 东辽县437 龙山区437 西安区437 东丰县437通化市435 集安市435 东昌区435 二道江区435 通化县435 辉南县448 柳河县448 梅河口市448 白山市439 临江市439 八道江区 439 抚松县439靖宇县439 长白朝鲜族自治县439江源县439松原市438 扶余县438宁江区438 前郭尔罗斯蒙古族自治县438长岭县438 乾安县438白城市436 大安市436 洮北区436 镇赉县436 通榆县436 洮南市436延边朝鲜族自治州433 汪清县433 延吉市433 图们市433敦化市433 珲春市440龙井市433 和龙市433安图县433黑龙江省邮编区号大全市、县、长途区号邮政编码市、县、区名长途区号邮政编码区名哈尔滨市451 五常市451道里区451 南岗区451道外区451 香坊区451动力区451 平房区451松北区451 呼兰区451依兰县451 方正县451宾县451 巴彦县451木兰县451 通河县451延寿县451 阿城市451双城市451 尚志市451齐齐哈尔452市龙沙区452 建华区452铁锋区452 昂昂溪区452富拉尔基452 碾子山区452区梅里斯达452 龙江县452斡尔族区依安县452 泰来县452 甘南县452 富裕县452 克山县452 克东县452 拜泉县452 讷河市452 鸡西市467 密山市467 鸡冠区467 恒山区467 滴道区467 梨树区467 城子河区 467 麻山区467 鸡东县467 虎林市467 鹤岗市468向阳区468 工农区468 南山区468 兴安区468 东山区468 兴山区468 萝北县468 绥滨县468 双鸭山市469尖山区469 岭东区469 四方台区 469 宝山区469 集贤县469 友谊县469 宝清县469 饶河县469大庆市459 杜尔伯特蒙古族自治县459萨尔图区 459 龙凤区459 让胡路区 459 红岗区459 大同区459 肇州县459肇源县459 林甸县459 伊春市458 铁力市458 伊春区458 南岔区458 友好区458 西林区458 翠峦区458 新青区458 美溪区458 金山屯区458 五营区458 乌马河区458 汤旺河区 458 带岭区458 乌伊岭区 458 红星区458 上甘岭区 458 嘉荫县458 佳木斯市454 富锦市454 永红区454 向阳区454 前进区454 东风区454 郊区454 桦南县454 桦川县454 汤原县454 抚远县454 同江市454 七台河市464新兴区464 桃山区464 茄子河区 464 勃利县464 牡丹江市453东安区453 阳明区453 爱民区453 西安区453 东宁县453 林口县453绥芬河市 453 海林市453 宁安市453 穆棱市453 黑河市456爱辉区456 嫩江县456 逊克县456 孙吴县456 北安市456 五大连池市456 绥化市455北林区455 望奎县455 兰西县455 青冈县455 庆安县455 明水县455 绥棱县455 安达市455 肇东市455 海伦市455大兴安岭地区,漠河县457 457呼玛县457 塔河县457内蒙古自治区邮编区号大全市、县、区名长途区号邮政编码市、县、区名长途区号邮政编码呼和浩特市471 10000 武川县471 11700 新城区471 10000 回民区471 10000 玉泉区471 10000 土默特左旗471 10100 托克托县 471 10200 和林格尔县471 11500清水河县 471 11600包头市472 14000 达尔罕茂明安联合旗472 14500东河区472 14000 昆都伦区472 14000青山区472 14000 白云矿区472 14000土默特右旗472 14100 固阳县472 14200 乌海市473 16000 乌达区473 16000 海勃湾区 473 16000赤峰市476 24000 海南区473 16000 红山区476 24000 元宝山区476 24000 松山区476 24000 阿鲁科尔沁旗476 25500 巴林左旗 476 25450 巴林右旗476 25150 林西县476 25250 克什克腾旗476 25350 翁牛特旗 476 24500 喀喇沁旗476 24400 宁城县476 24200 敖汉旗476 24300 通辽市475 28000 霍林郭勒市475 29200科尔沁区 475 28000 科尔沁左翼中旗475 29300科尔沁左翼后旗475 28100 开鲁县475 28400 库伦旗475 28200 奈曼旗475 28300 扎鲁特旗 475 29100鄂尔多斯市477 伊金霍洛旗477 17200东胜区477 17000 达拉特旗477准格尔旗 477 17100 鄂托克前旗477 16200鄂托克旗 477 16100 杭锦旗477 17400乌审旗477 17300呼伦贝尔470 21000 根河市470 22350 市海拉尔区 470 21000 阿荣旗470莫力达瓦达斡尔族470 鄂伦春自治旗470 22450 自治旗鄂温克族470 21100 陈巴尔虎旗470 21500 自治旗新巴尔虎470 21200 新巴尔虎右旗470 21300 左旗满洲里市 470 21400 牙克石市470 22150扎兰屯市 470 额尔古纳市470 22250巴彦淖尔478 15000 杭锦后旗478 15400 市临河区478 15000 五原县478 15100磴口县478 15200 乌拉特前旗478 14400乌拉特中478 15300 乌拉特后旗478 15500 旗乌兰察布474 丰镇市474 12100 市集宁区474 12000 卓资县474 12300化德县474 13350 商都县474 13400兴和县474 13650 凉城县474 13750察哈尔右翼前旗474 12200察哈尔右翼中旗474 13500察哈尔右翼后旗474 12400 四子王旗474 11800 兴安盟482 突泉县482乌兰浩特市482 阿尔山市482科尔沁右翼前旗482科尔沁右翼中旗482 29400扎赉特旗 482锡林郭勒盟479 26000 多伦县479 27300二连浩特市479 12600 锡林浩特市479 26000 阿巴嘎旗 479 11400 苏尼特左旗479 11300 苏尼特右旗479 11200 东乌珠穆沁旗479 26300西乌珠穆沁旗479 26200 太仆寺旗479 27000 镶黄旗479 13250 正镶白旗479 13800 正蓝旗479 27200阿拉善盟483 额济纳旗483阿拉善左旗483 阿拉善右旗483江苏省邮编区号大全市、县、长途区号邮政编码市、县、区名长途区号邮政编码区名南京市25 高淳县25玄武区25 白下区25秦淮区25 建邺区25鼓楼区25 下关区25浦口区25 栖霞区25雨花台区 25 江宁区25六合区25 溧水县25无锡市510 宜兴市510崇安区510 南长区510北塘区510 锡山区510惠山区510 江阴市510徐州市516 邳州市516鼓楼区516 云龙区516九里区516 贾汪区516泉山区516 丰县516沛县516 铜山县516睢宁县516 新沂市516常州市519 金坛市519天宁区519 钟楼区519戚墅堰区 519 武进区519溧阳市519苏州市512 太仓市512沧浪区512 平江区512 金阊区512 虎丘区512 吴中区512 相城区512 常熟市512 张家港市512 昆山市512 吴江市512 南通市513 海门市513 崇川区513 港闸区513 海安县513 如东县513 启东市513 如皋市513 通州市513连云港市518 灌南县518 连云区518 新浦区518 海州区518 赣榆县518 东海县518 灌云县518 淮安市517 金湖县517 清河区517 楚州区517 淮阴区517 清浦区517 涟水县517 洪泽县517 盱眙县517盐城市515 大丰市515 盐都区515 响水县515 滨海县515 阜宁县515 射阳县515 建湖县515东台市515扬州市514 江都市514广陵区514 邗江区514宝应县514 仪征市514高邮市514镇江市511 句容市511京口区511 润州区511丹徒区511 丹阳市511扬中市511泰州市523 姜堰市523海陵区523 高港区523兴化市523 靖江市523泰兴市523宿迁市527 泗洪县527宿城区527 宿豫区527沭阳县527 泗阳县527山东省邮编区号大全市、县、长途区号邮政编码市、县、区名长途区号邮政编码区名济南市531 章丘市531历下区531 市中区531槐荫区531 天桥区531历城区531 长清区531平阴县531 济阳县531 商河县531青岛市532 莱西市532 市南区532 市北区532 四方区532 黄岛区532 崂山区532 李沧区532 城阳区532 胶州市532 即墨市532 平度市532 胶南市532淄博市533 沂源县533 淄川区533 张店区533 博山区533 临淄区533 周村区533 桓台县533 高青县533枣庄市632 滕州市632 市中区632 薛城区632 峄城区632 台儿庄区632 山亭区632东营市546 广饶县546 东营区546 河口区546 垦利县546 利津县546 烟台市535 海阳市535 芝罘区535 福山区535牟平区535 莱山区535 长岛县535 龙口市535 莱阳市535 莱州市535 蓬莱市535 招远市535 栖霞市535潍坊市536 昌邑市536 潍城区536 寒亭区536 坊子区536 奎文区536 临朐县536 昌乐县536 青州市536 诸城市536 寿光市536 安丘市536 高密市536济宁市537 邹城市537 市中区537 任城区537 微山县537 鱼台县537 金乡县537 嘉祥县537 汶上县537 泗水县537 梁山县537 曲阜市537 兖州市537泰安市538 肥城市538 泰山区538 岱岳区538 宁阳县538 东平县538 新泰市538威海市631 乳山市631 环翠区631 文登市631 荣成市631日照市633 莒县633 东港区633 岚山区633 五莲县633莱芜市634 钢城区634 莱城区634临沂市539 临沭县539 兰山区539 罗庄区539 河东区539 沂南县539 郯城县539 沂水县539 苍山县539 费县539 平邑县539 莒南县539 蒙阴县539德州市534 禹城市534 德城区534 陵县534 宁津县534 庆云县534 临邑县534 齐河县534 平原县534 夏津县534 武城县534 乐陵市534 聊城市635 临清市635 东昌府区 635 阳谷县635莘县635 茌平县635东阿县635 冠县635高唐县635滨州市543 邹平县543滨城区543 惠民县543阳信县543 无棣县543沾化县543 博兴县543荷泽市530 东明县530牡丹区530 曹县530单县530 成武县530巨野县530 郓城县530鄄城县530 定陶县530安微省邮编区号大全市、县、长途区号邮政编码市、县、区名长途区号邮政编码区名合肥市551 肥东县551长丰县551 肥西县551芜湖市553 南陵县553镜湖区553 马塘区553新芜区553 鸠江区553芜湖县553 繁昌县553蚌埠市552 固镇县552龙子湖区 552 蚌山区552禹会区552 淮上区552 怀远县552 五河县552 淮南市554 凤台县554 大通区554 田家庵区554 谢家集区 554 八公山区554 潘集区554马鞍山市555 当涂县555 金家庄区 555 花山区555 雨山区555淮北市561 濉溪县561 杜集区561 相山区561 烈山区561铜陵市562 铜陵县562 铜官山区 562 狮子山区562 郊区562安庆市556 桐城市556 迎江区556 大观区556 郊区556 怀宁县556 枞阳县556 潜山县556 太湖县556 宿松县556 望江县556 岳西县556 黄山市559 祁门县559 屯溪区559 黄山区559徽州区559 歙县559 休宁县559 黟县559 滁州市550 明光市550 琅琊区550 南谯区550 来安县550 全椒县550 定远县550 凤阳县550 天长市550阜阳市558 界首市558 颍州区558 颍东区558 颍泉区558 临泉县558 太和县558 阜南县558 颍上县558宿州市557 泗县557 墉桥区557 砀山县557 萧县557 灵璧县557 巢湖市565 和县565 居巢区565 庐江县565 无为县565 含山县565 六安市564金安区564 裕安区564 寿县564 霍邱县564 舒城县564 金寨县564 亳州市558 利辛县558谯城区558 涡阳县558蒙城县558池州市566 青阳县566贵池区566 东至县566石台县566宣城市563 宁国市563宣州区563 郎溪县563广德县563 泾县563绩溪县563 旌德县563浙江省邮编区号大全市、县、长途区号邮政编码市、县、区名长途区号邮政编码区名杭州市571 临安市571上城区571 下城区571江干区571 拱墅区571西湖区571 滨江区571萧山区571 余杭区571桐庐县571 淳安县571建德市571 富阳市571宁波市574 奉化市574海曙区574 江东区574江北区574 北仑区574镇海区574 鄞州区574象山县574 宁海县574 余姚市574 慈溪市574 温州市577 乐清市577 鹿城区577 龙湾区577 瓯海区577 洞头县577 永嘉县577 平阳县577 苍南县577 文成县577 泰顺县577 瑞安市577 嘉兴市573 平湖市573 秀城区573 嘉善县573 海盐县573 海宁市573 桐乡市573湖州市572 安吉县572 吴兴区572 南浔区572 德清县572 长兴县572 绍兴市575 嵊州市575 越城区575 绍兴县575 新昌县575 诸暨市575 上虞市575金华市579 永康市579 婺城区579 金东区579 武义县579 浦江县579 磐安县579 兰溪市579义乌市579 东阳市579 衢州市570 江山市570 柯城区570 衢江区570 常山县570 开化县570 龙游县570舟山市580 嵊泗县580 定海区580 普陀区580 岱山县580台州市576 临海市576 椒江区576 黄岩区576 路桥区576 玉环县576 三门县576 天台县576 仙居县576 温岭市576 丽水市578 龙泉市578 莲都区578 青田县578 缙云县578 遂昌县578 松阳县578 云和县578庆元县578 景宁畲族自治县578福建省邮编区号大全市、县、区名长途区号邮政编码市、县、区名长途区号邮政编码福州市591 长乐市591鼓楼区591 台江区591 仓山区591 马尾区591 晋安区591 闽侯县591 连江县591 罗源县591 闽清县591 永泰县591 平潭县591 福清市591 厦门市592 翔安区592 思明区592 海沧区592 湖里区592 集美区592 同安区592莆田市594 仙游县594 城厢区594 涵江区594 荔城区594 秀屿区594 三明市598 永安市598 梅列区598 三元区598 明溪县598 清流县598 宁化县598 大田县598 尤溪县598 沙县598 将乐县598 泰宁县598 建宁县598泉州市595 南安市595 鲤城区595 丰泽区595 洛江区595 泉港区595惠安县595 安溪县595 永春县595 德化县595 金门县595 石狮市595 晋江市595漳州市596 龙海市596 芗城区596 龙文区596 云霄县596 漳浦县596 诏安县596 长泰县596 东山县596 南靖县596 平和县596 华安县596 南平市599 建阳市599 延平区599 顺昌县599 浦城县599 光泽县599 松溪县599 政和县599 邵武市599 武夷山市599 建瓯市599龙岩市597 漳平市597 新罗区597 长汀县597 永定县597 上杭县597 武平县597 连城县597 宁德市593 福鼎市593 蕉城区593 霞浦县593 古田县593 屏南县593寿宁县593 周宁县593柘荣县593 福安市593湖北省邮编区号大全市、县、长途区号邮政编码市、县、区名长途区号邮政编码区名武汉市27 新洲区27江岸区27 江汉区27乔口区27 汉阳区27武昌区27 青山区27洪山区27 东西湖区27汉南区27 蔡甸区27江夏区27 黄陂区27黄石市714 大冶市714黄石港区 714 下陆区714铁山区714 阳新县714十堰市719 丹江口市719茅箭区719 张湾区719郧县719 郧西县719竹山县719 竹溪县719房县719宜昌市717 枝江市717西陵区717 伍家岗区717点军区717 虎亭区717夷陵区717 远安县717 兴山县717 秭归县717长阳土家族自治县717五峰土家族自治县717宜都市717 当阳市717 襄樊市710 宜城市710 襄城区710 樊城区710 襄阳区710 南漳县710 谷城县710 保康县710 老河口市 710 枣阳市710 鄂州市711 鄂城区711 梁子湖区 711 华容区711 荆门市724 钟祥市724 东宝区724 掇刀区724 京山县724 沙洋县724 孝感市712 汉川市712 孝南区712 孝昌县712 大悟县712 云梦县712 应城市712 安陆市712 荆州市716 松滋市716 沙市区716 荆州区716 公安县716 监利县716 江陵县716 石首市716 洪湖市716黄冈市713 武穴市713 黄州区713 团风县713 红安县713 罗田县713 英山县713 浠水县713 蕲春县713 黄梅县713 麻城市713咸宁市715 赤壁市715 咸安区715 嘉鱼县715 通城县715 崇阳县715 通山县715随州市722 广水市722 曾都区722恩施土家族苗族自718 鹤峰县718 治州恩施市718 利川市718 建始县718 巴东县718 宣恩县718 咸丰县718 来凤县718省直辖行政单位仙桃市728 潜江市728 天门市728 神农架林区719湖南省邮编区号大全市、县、长途区号邮政编码市、县、区名长途区号邮政编码区名长沙市731 浏阳市731芙蓉区731 天心区731岳麓区731 开福区731雨花区731 长沙县731望城县731 宁乡县731株洲市733 醴陵市733荷塘区733 芦淞区733石峰区733 天元区733株洲县733 攸县733茶陵县733 炎陵县733湘潭市732 韶山市732雨湖区732 岳塘区732湘潭县732 湘乡市732衡阳市734 常宁市734珠晖区734 雁峰区734石鼓区734 蒸湘区734南岳区734 衡阳县734衡南县734 衡山县734衡东县734 祁东县734耒阳市734邵阳市739 武冈市739双清区739 大祥区739北塔区739 邵东县739新邵县739 邵阳县739隆回县739 洞口县739绥宁县739 新宁县739城步苗族739自治县岳阳市730 临湘市730岳阳楼区 730 云溪区730君山区730 岳阳县730华容县730 湘阴县730平江县730 汨罗市730常德市736 津市市736武陵区736 鼎城区736安乡县736 汉寿县736澧县736 临澧县736桃源县736 石门县736张家界市744 桑植县744永定区744 武陵源区744慈利县744 &nb, sp; 益阳市737 沅江市737资阳区737 赫山区737南县737 桃江县737安化县737郴州市735 资兴市735 北湖区735 苏仙区735 桂阳县735 宜章县735 永兴县735 嘉禾县735 临武县735 汝城县735 桂东县735 安仁县735永州市746 江华瑶族自治县746芝山区746 冷水滩区746 祁阳县746 东安县746 双牌县746 道县746 江永县746 宁远县746 蓝山县746 新田县746 怀化市745 洪江市745 鹤城区745 中方县745 沅陵县745 辰溪县745 溆浦县745 会同县745麻阳苗族自治县745新晃侗族自治县745芷江侗族自治县745靖州苗族侗族自治县745通道侗族自治县745娄底市738 涟源市738 娄星区738 双峰县738新化县738 冷水江市738湘西土家743 龙山县743族苗族自治州吉首市743 泸溪县743凤凰县743 花垣县743保靖县743 古丈县743永顺县743广东省邮编区号大全市、县、长途区号邮政编码市、县、区名长途区号邮政编码区名广州市20 从化市20东山区20 荔湾区20越秀区20 海珠区20天河区20 芳村区20白云区20 黄埔区20番禺区20 花都区20增城市20韶关市751 南雄市751武江区751 浈江区751曲江区751 始兴县751仁化县751 翁源县751乳源瑶族751 新丰县751自治县乐昌市751深圳市755 盐田区755 罗湖区755 福田区755 南山区755 宝安区755 龙岗区755珠海市756 金湾区756 香洲区756 斗门区756 汕头市754 澄海区754 龙湖区754 金平区754 濠江区754 潮阳区661 潮南区661 南澳县754 佛山市757 高明区757 禅城区757 南海区757 顺德区757 三水区757 江门市750 恩平市750 蓬江区750 江海区750 新会区750 台山市750 开平市750 鹤山市750 湛江市759 吴川市759 赤坎区759 霞山区759 坡头区759 麻章区759 遂溪县759 徐闻县759 廉江市759 雷州市759茂名市668 信宜市668 茂南区668 茂港区668 电白县668 高州市668 化州市668肇庆市758 四会市758 端州区758 鼎湖区758 广宁县758 怀集县758 封开县758 德庆县758 高要市758惠州市752 龙门县752 惠城区752 惠阳区752 博罗县752 惠东县752 梅州市753 兴宁市753 梅江区753 梅县753 大埔县753 丰顺县753 五华县753 平远县753 蕉岭县753汕尾市660 陆丰市660 城区660 海丰县660 陆河县660河源市762 东源县762 源城区762 紫金县762 龙川县762 连平县762和平县762阳江市662 阳春市662 江城区662 阳西县662 阳东县662清远市763 连州市763 清城区763 佛冈县763阳山县763 连山壮族瑶族自治县763连南瑶族自治县763 清新县763英德市763东莞市769 中山市760潮州市768 饶平县768湘桥区768 潮安县768揭阳市663 普宁市663榕城区663 揭东县663揭西县663 惠来县663云浮市766 罗定市766云城区766 新兴县766郁南县766 云安县766广西自治区邮编区号大全市、县、区名长途区号邮政编码市、县、区名长途区号邮政编码。
F:)中国各省电话区号及邮编查询北京市地区邮政编码长途区号地区邮政编码长途区号北京市 100000 010 东城区 100010 010西城区 100032 010 宣武区 100053 010崇文区 100061 010 朝阳区 100020 010海淀区 100080 010 丰台区 100071 010门头沟区 102300 010 石景山区 100043 010通县 101149 010 平觳县 101200 010顺义县 101300 010 怀柔县 101400 010密云县 101500 010 延庆县 102100 010昌平县 102200 010 大兴县 102600 010上海市地区邮政编码长途区号地区邮政编码长途区号上海市 200000 021 长宁区 200050 021卢湾区 200020 021 杨浦区 200082 021吴松区 200940 021 闵行区 200240 021闸北区 200070 021 南市区 200011 021虹口区 200080 021 徐汇区 200030 021黄浦区 200002 021 普陀区 200063 021静安区 200040 021 嘉定县 201800 021上海县 201100 021 川沙县 201200 021南汇县 201300 021 奉贤县 201400 021金山县 201500 021 松江县 201600 021青浦县 201700 021 崇明县 202100 021宝山县 201900 021天津市地区邮政编码长途区号地区邮政编码长途区号天津市 300000 022 河东区 300171 022河西区 300202 022 河北区 300143 022南开区 300100 022 红桥区 300131 022塘沽区 300450 022 汉沽区 300480 022东郊区 300300 022 南郊区 300350 022西郊区 300380 022 北郊区 300400 022大港区 300270 022内蒙古地区邮政编码长途区号地区邮政编码长途区号呼和浩特市 010000 0471 集宁市 012000 0474二连浩特市 012600 0479 包头市 014000 0472临河市 015000 0478 乌海市 016000 0473东胜市 017000 0477 海拉尔市 021000 0470满洲里市 021400 0470 牙克石市 022100 0470赤峰市 024000 0476 锡林浩特市 026000 0479乌兰浩特市 137400 0482 通辽市 028000 0475鄂尔多斯市 017000 0477 呼伦贝尔市 021000 0470 兴安盟 137400 0482 锡林郭勒盟 026000 0479乌兰察布盟 012000 0474 巴彦淖尔盟 015000 0478 阿拉善盟 750300 0483山西省地区邮政编码长途区号地区邮政编码长途区号太原市 030000 0351 榆次市 030600 0354忻州市 034000 0350 大同市 037000 0352临汾市 041000 0357 侯马市 043000 0357运城市 044000 0359 阳泉市 045000 0353长治市 046000 0355 晋城市 048000 0356朔州市 036000 0349 晋中市 038300 0354吕梁地区 033000 0358河北省地区邮政编码长途区号地区邮政编码长途区号石家庄市 050000 0311 南宫市 051800 0319辛集市 052300 0311 衡水市 053000 0318邢台市 054000 0319 沙河市 054100 0319邯郸市 056000 0310 沧州市 061000 0317泊头市 062100 0317 任丘市 062500 0317唐山市 063000 0315 秦皇岛市 066000 0335北戴河 066100 承德市 067000 0314保定市 071000 0312 涿州市 072700 0312定州市 073000 0312 张家口市 075000 0313廊坊市 065000 0316辽宁省地区邮政编码长途区号地区邮政编码长途区号沈阳市 110000 024 辽阳市 111000 0419抚顺市 113000 0413 鞍山市 114000 0412海城市 114200 0412 营口市 115000 0417大连市 116000 0411 瓦房店市 116300 0411本溪市 117000 0414 丹东市 118000 0415锦州市 121000 0416 锦西市 121500 0429兴城市 121600 0429 朝阳市 122000 0421北票市 122100 0421 阜新市 123000 0418盘锦市 124000 0427 葫芦岛市 125000 0429吉林省地区邮政编码长途区号地区邮政编码长途区号长春市 130000 0431 扶余市 131200 0438吉林市 132000 0432 桦甸市 132400 0432延吉市 133000 0433 图门市 133100 0433龙井市 133400 0433 敦化市 133700 0433通化市 134000 0435 集安市 134200 0435浑江市 134300 0439 梅河口市 135000 0448四平市 136000 0434 公主岭市 136100 0434辽源市 136200 0437 白城市 137000 0436洮南市 137100 0436 白山市 134300 0439松原市 138000 0438 延边朝鲜族自治州 133000 0433 黑龙江省地区邮政编码长途区号地区邮政编码长途区号哈尔滨市 150000 0451 阿城市 150300 0450肇东市 151100 0451 绥化市 152000 0455伊春市 153000 0458 佳木斯市 154000 0454鹤岗市 154100 0468 七台河市 154600 0464双鸭山市 155100 0469 同江市 156400 0454牡丹江市 157000 0453 绥汾河市 157300 0453鸡西市 158100 0467 齐齐哈尔市 161000 0452大庆市 163000 0459 北安市 164000 0456黑河市 164300 0456 五大连池市 164500 0456大兴安岭地区 165000 0457江苏省地区邮政编码长途区号地区邮政编码长途区号南京市 210000 025 仪征市 211400 0514镇江市 212000 0511 丹阳市 212300 0511常州市 213000 0519 无锡市 214000 0510苏州市 215000 0512 常熟市 215500 0520徐州市 221000 0516 连云港市 222000 0518淮阴市 223000 0517 淮安市 223000 0517宿迁市 223800 0527 盐城市 224000 0515东台市 224200 0515 扬州市 225000 0514泰州市 225300 0523 兴化市 225700 0523南通市 226000 0513安徽省地区邮政编码长途区号地区邮政编码长途区号合肥市 230000 0551 淮南市 232000 0554蚌埠市 233000 0552 宿州市 234000 0557淮北市 235000 0561 阜阳市 236000 0558毫州市 236800 0558 六安市 237000 0564巢湖市 238000 0565 滁州市 239000 0550芜湖市 241000 0553 宣城市 242000 0563黄山市 245000 0559 马鞍山市 243000 0555铜陵市 244000 0562 池州市 247100 0566安庆市 246000 0556山东省地区邮政编码长途区号地区邮政编码长途区号济南市 250000 0531 聊城市 252000 0635临清市 252600 0635 德州市 253000 0534淄博市 255000 0533 滨州市 256600 0543东营市 257000 0546 潍坊市 261000 0536诸城市 262200 0536 青州市 262500 0536烟台市 264000 0535 威海市 264200 0631青岛市 266000 0532 泰安市 271000 0538莱芜市 271100 0634 新泰市 271200 0538济宁市 272100 0537 曲阜市 273100 0537荷泽市 274000 0530 临沂市 276000 0539日照市 276800 0633 枣庄市 277100 0632藤州市 277500 0632浙江省地区邮政编码长途区号地区邮政编码长途区号杭州市 310000 0571 上城区 310002 0571下城区 310006 0571 西湖区 310007 0571江干区 310008 0571 萧山市 311200 0571绍兴市 312000 0575 湖州市 313000 0572嘉兴市 314000 0573 海宁市 314400 0573宁波市 315000 0574 余姚市 315400 0574舟山市 316000 0580 临海市 317000 0576椒江市 317700 0576 金华市 321000 0579兰溪市 321100 0579 丽水市 323000 0578衢州市 324000 0570 江山市 324100 0570温州市 325000 0577 义乌市 322000 0579东阳市 322100 0579 瑞安市 325200 0577乐清市 325600 0577 台州市 318000 0576江西省地区邮政编码长途区号地区邮政编码长途区号南昌市 330000 0791 九江市 332000 0792景德镇市 333000 0798 上饶市 334000 0793鹰潭市 335000 0701 宜春市 336000 0795新余市 338000 0790 萍乡市 337000 0799赣州市 341000 0797 吉安市 343000 0796井冈山市 343600 0796 抚州市 344000 0794临川市 344100 0794福建省地区邮政编码长途区号地区邮政编码长途区号福州市 350000 0591 莆田市 351100 0594南平市 353000 0599 邵武市 354000 0599厦门市 360000 0592 泉州市 362000 0595石狮市 362700 0595 漳州市 363000 0596龙岩市 364000 0597 三明市 365000 0598永安市 366000 0598 宁德市 352100 0593湖南省地区邮政编码长途区号地区邮政编码长途区号长沙市 410000 0731 湘潭市 411100 0732湘乡市 411400 0732 株洲市 412000 0733益阳市 413000 0737 岳阳市 414000 0730汨罗市 414400 0730 常德市 415000 0736津市市 415400 0736 吉首市 416000 0743大庸市 416600 0744 娄底市 417000 0738连源市 417100 0738 冷水江市 417500 0738怀化市 418000 0745 洪江市 418200 0745衡阳市 421000 0734 耒阳市 421800 0734邵阳市 422000 0739 彬州市 423000 0735永州市 425000 0746 冷水江市 425100 0738张家界市 427000 0744 湘西土家族苗族自治州 416000 0743 湖北省地区邮政编码长途区号地区邮政编码长途区号武汉市 430000 027 麻城市 431600 0713天门市 431700 0728 孝感市 432000 0712应城市 432400 0712 安陆市 432600 0712仙桃市 433000 0728 洪湖市 433200 0728沙市市 434000 0716 石首市 434400 0716荆门市 448000 0724 黄石市 435000 0714鄂州市 436000 0711 武穴市 436400 0713咸宁市 437000 0715 襄樊市 441000 0710蒲昕市 441000 0715 随州市 441300 0722老河口市 441800 0710 丹江口市 441900 0719十堰市 442000 0719 宜昌市 443000 0717枝城市 443300 0717 恩施土家族苗族自治州 445000 0718 利川市 445400 0718 荆州市 434000 0716黄冈市 438000 0713河南省地区邮政编码长途区号地区邮政编码长途区号郑州市 450000 0371 新乡市 453000 0373焦作市 454000 0391 安阳市 455000 0372鹤壁市 458000 0392 濮阳市 457000 0393许昌市 461000 0374 缧河市 462000 0395驻马店市 463000 0396 信阳市 464000 0376周口市 466000 0394 平顶山市 467000 0375洛阳市 471000 0379 三门峡市 472000 0398义马市 472300 0398 南阳市 473000 0377开封市 475000 0378 商丘市 476000 0370广东省地区邮政编码长途区号地区邮政编码长途区号广州市 510000 020 清远市 511500 0763东莞市 523000 0769 韶关市 512000 0751梅州市 514000 0753 汕头市 515000 0754潮州市 521000 0768 惠州市 516000 0752汕尾市 516600 0660 河源市 517000 0762深圳市 518000 0755 湛江市 524000 0759茂名市 525000 0668 肇庆市 526000 0758佛山市 528000 0757 中山市 528400 0760江门市 529000 0750 阳江市 529500 0662珠海市 519000 0756 揭阳市 522000 0663云浮市 527300 0766海南省地区邮政编码长途区号地区邮政编码长途区号海口市 570000 0898 三亚市 572200 0898通什市 572200 0898 海南省 570000 0898广西省地区邮政编码长途区号地区邮政编码长途区号南宁地区 530000 0771 凭祥市 532600 0771百色市 530000 0776 钦州市 535000 0777北海市 536000 0779 玉林市 537000 0775桂林市 541000 0773 梧州市 543000 0774柳州地区 545000 0760 合山市 546500 0760河池市 540000 0778 防城港市 538000 0770贵港市 537100 0775 贺州市 542800 0774贵州省地区邮政编码长途区号地区邮政编码长途区号贵阳市 550000 0851 六盘水市 553000 0858铜仁地市 500000 0856 凯里市 556000 0855都匀市 558000 0854 安顺市 561000 0853兴义市 562400 0859 遵义市 563000 0852赤水市 564700 0852 毕节地区 550000 0857黔西南布依族苗族自治州 562400 0859 黔东南苗族侗族自治州 556000 0855 黔南布依族苗族自治州 558000 0854四川省地区邮政编码长途区号地区邮政编码长途区号成都市 610000 028 都江堰市 611830 028温江县 611130 028 自贡市 643000 0813攀枝花市 617000 0812 泸州市 646000 0830德阳市 618000 0838 绵阳市 621000 0816广元市 628000 0839 遂宁市 629000 0825内江市 641000 0832 乐山市 614000 0833南充市 637000 0817 眉山市 620000 0833宜宾市 644000 0831 广安市 638000 0826巴中市 636000 0827 资阳市 641300 0832阿坝藏族羌族自治州 624000 0837 甘孜藏族自治州 626000 0836凉山彝族自治州 615000 0834云南省地区邮政编码长途区号地区邮政编码长途区号昆明市 650000 0871 东川市 654100 0881曲靖市 655000 0874 昭通市 650000 0870开远市 661000 0873 个旧市 661400 0873大理市 671000 0872 楚雄彝族自治州 600000 0878保山市 678000 0875 思茅地区 600000 0879丽江地区 674000 0888 临沧地区 677000 0883红河哈尼族彝族自治州 661400 0873 文山壮族苗族自治州 660000 0876 西双版纳傣族自治州 666100 0691 大理白族自治州 670000 0872德宏傣族景颇族自治州 678400 0692 怒江僳僳族自治州 670000 0886 迪庆藏族自治州 674400 0887 玉溪市 653100 0877陕西省地区邮政编码长途区号地区邮政编码长途区号西安市 710000 029 咸阳市 712000 0910渭南市 714000 0913 韩城市 715400 0913延安市 716000 0911 宝鸡市 721000 0917汉中市 723000 0916 铜川市 727000 0919榆林市 719000 0912 安康市 725000 0915商洛市 726000 0914甘肃省地区邮政编码长途区号地区邮政编码长途区号兰州市 730000 0931 白银市 730900 0943临夏回族自治州 731000 0930 武威市 733000 0935张掖市 734000 0936 酒泉市 735000 0937嘉峪关市 735100 0937 玉门市 735200 0937金昌市 737100 0937 天水市 741000 0938平凉市 744000 0933 西峰市 745000 0934庆阳市 745100 0934 定西地区 743000 0932陇南地区 746000 0939 甘南藏族自治州 747000 0941宁夏地区邮政编码长途区号地区邮政编码长途区号青铜峡市 751600 0953 石嘴山市 753000 0952固原市 756000 0954青海省地区邮政编码长途区号地区邮政编码长途区号西宁市 810000 0971 格尔木市 816000 0979德令哈市 817000 0977 海东地区 810600 0972海北藏族自治州 810200 0970 黄南藏族自治州 811300 0973海南藏族自治州 813000 0974 果洛藏族自治州 814000 0975玉树藏族自治州 815000 0976 海西蒙古族藏族自治州 816000 0977新疆地区邮政编码长途区号地区邮政编码长途区号乌鲁木齐市 830000 0991 昌吉回族自治州 830000 0994石河子市 832000 0993 奎屯市 833200 0992博乐塔拉蒙古族自治州 833400 0909 克拉玛依市 834000 0990塔城地区 834700 0901 伊宁市 835000 0999阿勒泰地区 836500 0906 吐鲁番市 838000 0995哈密地区 839000 0902 库尔勒市 841000 0996阿克苏地区 843000 0997 喀什地区 844000 0998阿图什市 845300 0908 和田地区 848000 0903巴音郭楞蒙古自治州 841000 0996 克孜勒苏柯尔克孜自治州 845350 0908 伊犁哈萨克自治州 835100 0992西藏地区邮政编码长途区号地区邮政编码长途区号拉萨市 850000 0891 日喀则地区 850000 0892昌都地区 850000 0895 山南地区 850000 0893那曲地区 852000 0896 阿里地区 859000 0897林芝地区 850000 0894重庆市地区邮政编码长途区号地区邮政编码长途区号重庆市 400000 023 重庆市辖区 400000 023重庆市辖县 400000 023 重庆市辖市 400000 023台湾省地区邮政编码长途区号地区邮政编码长途区号台湾省 00886 台北 008862 基隆 008862 台中 008864 台南 008866 高雄 008867 台东 0088689香港特别行政区地区邮政编码长途区号香港特别行政区 000852澳门特别行政区地区邮政编码长途区号澳门特别行政区 000853回。
北京市北京,北京,010,100000 北京,通县,010,101100 北京,昌平,010,102200 北京,大兴,010,102600 北京,密云,010,101500 北京,延庆,010,102100 北京,顺义,010,101300 北京,怀柔,010,101400 北京,平谷,010,101200 上海市上海,上海,021,200000 上海,上海县,021,201100 上海,嘉定,021,201800 上海,松江,021,201600 上海,南汇,021,201300 上海,奉贤,021,201400 上海,川沙,021,201200 上海,青浦,021,201700 上海,崇明,021,202100 上海,金山,021,201500 天津市天津,天津,022,300000 天津,蓟县,022,301900 天津,宝坻,022,301800 天津,武清,022,301700 天津,静海,022,301600 天津,宁河,022,301500 重庆市重庆,重庆,023,400000 重庆,万县,023,404000 重庆,永川,023,402000 重庆,北碚,023,400700 重庆,巴县,023,401320 重庆,江北,023,401120 重庆,涪陵,023,408000 重庆,石柱,023,409100 重庆,丰都,023,408200 重庆,南川,023,408400 重庆,城口,023,405900 重庆,巫溪,023,405800 重庆,奉节,023,404600 重庆,云阳,023,404500 重庆,忠县,023,404300 重庆,梁平,023,405200重庆,开县,023,405400重庆,大足,023,402360重庆,荣昌,023,402460重庆,壁山,023,402760重庆,铜梁,023,402560重庆,潼南,023,402660重庆,合川,023,401520重庆,江津,023,402260重庆,双桥,023,400900重庆,南桐,023,400800重庆,长寿,023,401220重庆,綦江,023,401420重庆,黔江,023,409700重庆,武隆,023,408500重庆,垫江,023,408300重庆,巫山,023,404700安徽省安徽,合肥,0551,230000安徽,寿县,0564,232200安徽,舒城,0564,231300安徽,六安,0564,237000安徽,绩溪,0563,245300安徽,广德,0563,242200安徽,旌德,0563,242600安徽,宁国,0563,242300安徽,郎溪,0563,242100安徽,泾县,0563,242500安徽,宣州,0563,242000安徽,铜陵县,0562,244100安徽,铜陵,0562,244000安徽,濉溪,0561,235100安徽,淮北,0561,235000安徽,黟县,0559,245500安徽,休宁,0559,245400安徽,祁门,0559,245600安徽,歙县,0559,245200安徽,黄山,0559,245000安徽,利辛,0558,236700安徽,临泉,0558,236400安徽,太和,0558,236600安徽,颍上,0558,236200安徽,界首,0558,236500安徽,涡阳,0558,233600安徽,蒙城,0558,233500安徽,阜南,0558,236300安徽,毫州,0558,236800安徽,阜阳,0558,236000安徽,泗县,0557,234300安徽,灵壁,0557,234200安徽,砀山,0557,235300安徽,萧县,0557,235200安徽,宿州,0557,234000安徽,岳西,0556,246600安徽,怀宁,0556,246100安徽,宿松,0556,246500安徽,潜山,0556,246300安徽,望江,0556,246200安徽,桐城,0556,231400安徽,枞阳,0556,246700安徽,太湖,0556,246400安徽,安庆,0556,246000安徽,当涂,0555,243100安徽,马鞍山,0555,243000安徽,凤台,0554,232100安徽,淮南,0554,232000安徽,南陵,0553,242400安徽,繁昌,0553,241200安徽,芜湖县,0553,241100安徽,芜湖,0553,241000安徽,固镇,0552,233700安徽,怀远,0552,233400安徽,五河,0552,233300安徽,蚌埠,0552,233000安徽,长丰,0551,231100安徽,肥西,0551,231200安徽,肥东,0551,231600安徽,明光,0550,239400安徽,定远,0550,233200安徽,来安,0550,239200安徽,天长,0550,239300安徽,凤阳,0550,233100安徽,全椒,0550,239500安徽,滁州,0550,239000安徽,石台,0566,245100安徽,东至,0566,247200安徽,青阳,0566,242800安徽,贵池,0566,247100安徽,含山,0565,238100 安徽,和县,0565,238200 安徽,庐江,0565,231500 安徽,无为,0565,238300 安徽,巢湖,0565,238000 安徽,金寨,0564,237300 安徽,霍山,0564,237200 安徽,霍邱,0564,237400 福建省福建,福州,0591,350000 福建,闽候,0591,350100 福建,连江,0591,350500 福建,长乐,0591,350200 福建,福清,0591,350300 福建,平潭,0591,350400 福建,永泰,0591,350700 福建,闽清,0591,350800 福建,罗源,0591,350600 福建,厦门,0592,361000 福建,同安,0592,361100 福建,宁德,0593,352100 福建,福安,0593,355000 福建,柘荣,0593,355300 福建,福鼎,0593,355200 福建,霞浦,0593,355100 福建,寿宁,0593,355500 福建,古田,0593,352200 福建,屏南,0593,352300 福建,周宁,0593,355400 福建,莆田,0594,351100 福建,仙游,0594,351200 福建,泉州,0595,362000 福建,晋江,0595,362200 福建,南安,0595,362300 福建,安溪,0595,362400 福建,永春,0595,362600 福建,德化,0595,362500 福建,惠安,0595,362100 福建,石狮,0595,362700 福建,漳州,0596,363000 福建,南靖,0596,363600 福建,华安,0596,363800 福建,长泰,0596,363900 福建,龙海,0596,363100 福建,漳浦,0596,363200福建,云霄,0596,363300福建,东山,0596,363400福建,诏安,0596,363500福建,平和,0596,363700福建,龙岩,0597,364000福建,漳平,0597,364400福建,永定,0597,364100福建,上杭,0597,364200福建,武平,0597,364300福建,长汀,0597,366300福建,连城,0597,366200福建,三明,0598,365000福建,沙县,0598,365500福建,尤溪,0598,365100福建,大田,0598,366100福建,永安,0598,366000福建,清流,0598,365300福建,宁化,0598,365400福建,明溪,0598,365200福建,建宁,0598,354500福建,泰宁,0598,354400福建,将乐,0598,353300福建,南平,0599,353000福建,建瓯,0599,353100福建,顺昌,0599,353200福建,建阳,0599,354200福建,邵武,0599,354000福建,浦城,0599,353400福建,松溪,0599,353500福建,政和,0599,353600福建,光泽,0599,354100福建,武夷山,0599,354300甘肃省甘肃,兰州,0931,730000甘肃,临夏市,0930,731100甘肃,红古区,0931,730000甘肃,皋兰,0931,730200甘肃,榆中,0931,730100甘肃,永登,0931,730300甘肃,定西,0932,743000甘肃,静宁,0933,743400甘肃,泾川,0933,744300甘肃,灵台,0933,744400甘肃,崇信,0933,744200甘肃,华亭,0993,744100甘肃,庄浪,0993,741700甘肃,西峰,0934,745000甘肃,金昌,0935,733000甘肃,民勤,0935,733300甘肃,天祝,0935,733200甘肃,古浪,0935,733100甘肃,金川,0935,737100甘肃,永昌,0935,737200甘肃,张掖,0936,734000甘肃,山丹,0936,734100甘肃,高台,0936,734300甘肃,民乐,0936,734500甘肃,临泽,0936,734200甘肃,萧南,0936,734400甘肃,酒泉,0937,735000甘肃,玉门,0937,735200甘肃,安西,0937,736100甘肃,敦煌,0937,736200甘肃,金塔,0937,735300甘肃,阿克塞,0937,736400甘肃,嘉峪关,0937,735100甘肃,肃北,0937,736300甘肃,天水,0938,741000甘肃,甘谷,0938,741200甘肃,武山,0938,741300甘肃,秦安,0938,741600甘肃,张家川,0938,741500甘肃,清水,0938,741400甘肃,武都,0939,746000甘肃,白银,0943,730900甘肃,靖远,0943,730600甘肃,平凉,0943,744000甘肃,景泰,0943,730400甘肃,会宁,0943,743200甘肃,临夏县,09401,731800甘肃,永靖,09402,731600甘肃,和政,09403,731200甘肃,东乡,09404,731400甘肃,康乐,09405,731500甘肃,广河,09406,731300甘肃,积石山,09407,731700甘肃,甘南州,09411,747000甘肃,夏河,09412,747100 甘肃,临潭,09413,747500 甘肃,舟曲,09414,746300 甘肃,碌曲,09415,747200 甘肃,玛曲,09416,747300 甘肃,旧尼,09417,747600 甘肃,迭部,09418,747400 甘肃,陇西,09421,748100 甘肃,漳县,09422,748300 甘肃,通渭,09423,743300 甘肃,岷县,09424,748400 甘肃,临洮,09425,730500 甘肃,渭源,09426,748200 甘肃,庆阳,09441,745100 甘肃,宁县,09442,745200 甘肃,镇原,09443,744500 甘肃,环县,09444,745700 甘肃,合水,09445,745400 甘肃,正宁,09446,745300 甘肃,华池,09447,745600 甘肃,成县,09491,742500 甘肃,康县,09492,746500 甘肃,文县,09493,746400 甘肃,宕昌,09494,748500 甘肃,西和,09495,742100 甘肃,礼县,09496,742200 甘肃,徽县,09497,742300 甘肃,两当,09498,742400 广东省广东,广州,020,510000 广东,番禺,020,511400 广东,花县,020,510800 广东,从化,020,510900 广东,增城,020,511300 广东,汕尾,0660,516600 广东,海丰,0660,516400 广东,陆河,0660,516700 广东,陆丰,0660,516500 广东,潮阳,0661,515100 广东,阳江,0662,529500 广东,阳春,0662,529600 广东,阳东,0662,529500 广东,阳西,0662,529800 广东,揭阳,0663,515500 广东,揭东,0663,515500广东,惠来,0663,515200广东,揭西,0663,515400广东,普宁,0663,515300广东,茂名,0668,525000广东,化州,0668,525100广东,高州,0668,525200广东,信宜,0668,525300广东,电白,0668,525400广东,江门,0750,529000广东,台山,0750,529200广东,开平,0750,529300广东,恩平,0750,529400广东,新会,0750,529100广东,鹤山,0750,529700广东,韶关,0751,512000广东,曲江,0751,512100广东,翁源,0751,512600广东,新丰,0751,511100广东,始兴,0751,512500广东,仁化,0751,512300广东,南雄,0751,512400广东,乳源,0751,512700广东,乐昌,0751,512200广东,惠州,0752,516000广东,惠东,0752,526300广东,惠阳,0752,516200广东,博罗,0752,516100广东,龙门,0752,511200广东,梅州,0753,514000广东,梅县,0753,514000广东,蕉岭,0753,514100广东,大埔,0753,514200广东,丰顺,0753,514300广东,五华,0753,514400广东,兴宁,0753,514500广东,平远,0753,514600广东,汕头,0754,515000广东,澄海,0754,515800广东,南澳,0754,515900广东,深圳,0755,518000广东,宝安,0755,518100广东,珠海,0756,519000广东,斗门,0756,519100广东,佛山,0757,528000广东,南海,0757,528200广东,高明,0757,528500广东,三水,0757,528100广东,肇庆,0758,526000广东,高要,0758,526100广东,四会,0758,526200广东,怀集,0758,526400广东,封开,0758,526500广东,德庆,0758,526600广东,广宁,0758,526300广东,湛江,0759,524000广东,遂溪,0759,524300广东,廉江,0759,524400广东,吴川,0759,524500广东,徐闻,0759,524100广东,雷州,0759,524200广东,中山,0760,528400广东,河源,0762,517000广东,连平,0762,517100广东,和平,0762,517200广东,龙川,0762,517300广东,紫金,0762,517400广东,清远,0763,511500广东,佛冈,0763,511600广东,英德,0763,513000广东,连山,0763,513200广东,阳山,0763,513100广东,连南,0763,513300广东,连州,0763,513400广东,顺德,0765,528300广东,云浮,0766,527300广东,罗定,0766,527200广东,郁南,0766,527100广东,新兴,0766,527400广东,潮州,0768,515600广东,潮安,0768,515600广东,饶平,0768,515700广东,东莞,0769,511700广西壮族自治区广西,南宁,0771,530000广西,防城港,0770,535700广西,上思,0770,535500广西,上林,0771,530500广西,凭祥,0771,532600 广西,邕宁,0771,530200 广西,崇左,0771,532200 广西,宁明,0771,532500 广西,武鸣,0771,530100 广西,马山,0771,530600 广西,龙州,0771,532400 广西,宾阳,0771,530400 广西,大新,0771,532300 广西,天等,0771,532800 广西,横县,0771,530300 广西,隆安,0771,532700 广西,扶绥,0771,532100 广西,柳州,0772,545000 广西,柳江,0772,545100 广西,鹿寨,0772,545600 广西,柳城,0772,545200 广西,三江,0772,545500 广西,融安,0772,545400 广西,融冰,0772,545300 广西,金秀,0772,545700 广西,合山,0772,546500 广西,忻城,0772,546200 广西,来宾,0772,546100 广西,武宣,0772,545900 广西,象州,0772,545800 广西,桂林,0773,541000 广西,阳朔,0773,541900 广西,临桂,0773,541100 广西,荔浦,0773,546600 广西,灌阳,0773,541600 广西,平乐,0773,542400 广西,兴安,0773,541300 广西,灵川,0773,541200 广西,全州,0773,541500 广西,永福,0773,541800 广西,龙胜,0773,541700 广西,恭城,0773,542500 广西,资源,0773,541400 广西,梧州,0774,543000 广西,苍梧,0774,543100 广西,藤县,0774,543300 广西,岑溪,0774,543200 广西,昭平,0774,546800 广西,贺县,0774,542800广西,蒙山,0774,546700广西,钟山,0774,542600广西,富川,0774,542700广西,玉林,0775,537000广西,容县,0775,537500广西,北流,0775,537400广西,陆川,0775,537700广西,博白,0775,537600广西,贵港,0775,537100广西,桂平,0775,537200广西,平南,0775,537300广西,百色,0776,533000广西,田林,0776,533300广西,隆林,0776,533400广西,西林,0776,533500广西,凌云,0776,533100广西,田阳,0776,533600广西,靖西,0776,533800广西,田东,0776,531500广西,乐业,0776,533200广西,平果,0776,531400广西,德保,0776,533700广西,那坡,0776,533900广西,钦州,0777,535000广西,灵山,0777,535400广西,浦北,0777,535300广西,河池,0778,547000广西,宜州,0778,546300广西,罗城,0778,546400广西,环江,0778,547100广西,天峨,0778,547300广西,凤山,0778,547600广西,东兰,0778,547400广西,南丹,0778,547200广西,巴马,0778,547500广西,都安,0778,530700广西,大化,0778,530800广西,北海,0779,536000广西,合浦,0779,536100贵州省贵州,贵阳,0851,550000贵州,清镇,0851,551400贵州,修文,0851,550200贵州,息烽,0851,551100贵州,开阳,0851,550300贵州,遵义,0852,563000贵州,赤水,0852,564700贵州,习水,0852,564600贵州,仁怀,0852,564500贵州,遵义县,0852,563100贵州,桐梓,0852,563200贵州,绥阳,0852,533300贵州,正安,0852,563400贵州,道真,0852,563500贵州,湄潭,0852,564100贵州,凤冈,0852,564200贵州,务川,0852,564300贵州,余庆,0852,564400贵州,安顺,0853,561000贵州,都匀,0854,558000贵州,凯里,0855,556000贵州,铜仁,0856,564300贵州,毕节,0857,551700贵州,六盘水,0858,553000贵州,兴义,0859,562400贵州,册亨,0859,552200贵州,望谟,0859,552300贵州,安龙,0859,552400贵州,兴仁,0859,562300贵州,贞丰,0859,562200贵州,普安,0859,561500贵州,晴隆,0859,561400贵州,平坝,08631,561100贵州,紫云,08632,550800贵州,关岭,08633,561300贵州,镇宁,08634,561200贵州,普定,08635,562100贵州,贵定,08640,551300贵州,福泉,08641,550500贵州,瓮安,08642,550400贵州,三都,08643,558100贵州,荔波,08644,558400贵州,独山,08645,558200贵州,平塘,08646,558300贵州,罗甸,08647,550100贵州,惠水,08648,550600贵州,龙里,08649,551200贵州,榕江,08650,557200 贵州,黄平,08651,556100 贵州,施秉,08652,556200 贵州,镇远,08653,557700 贵州,岑巩,08654,557800 贵州,三穗,08655,556500 贵州,天柱,08656,556600 贵州,锦屏,08657,556700 贵州,黎平,08658,557300 贵州,从江,08659,557400 贵州,沿河,08661,565300 贵州,松桃,08662,554100 贵州,万山,08663,554200 贵州,玉屏,08664,554000 贵州,江口,08665,554400 贵州,石阡,08666,555100 贵州,思南,08667,565100 贵州,印江,08668,555200 贵州,德江,08669,565200 贵州,长顺,08670,550700 贵州,威宁,08671,553100 贵州,赫章,08672,553200 贵州,纳雍,08673,553300 贵州,黔西,08674,551500 贵州,大方,08675,551600 贵州,金沙,08676,551800 贵州,织金,08677,552100 贵州,剑河,08680,556400 贵州,六枝,08681,553400 贵州,盘县,08682,561600 贵州,雷山,08686,557100 贵州,丹寨,08687,557500 贵州,麻江,08688,557600 贵州,台江,08689,556300 海南省海南,海口,0898,570000 海南,澄迈,0898,571900 海南,安定,0898,571200 海南,文昌,0898,571300 海南,屯昌,0898,571600 海南,琼海,0898,571400 海南,万宁,0898,571500 海南,琼山,0898,571100 海南,三亚,0899,572000 海南,通什,0899,572200海南,乐东,0899,572500海南,保亭,0899,572300海南,陵水,0899,572400海南,琼中,0899,572900海南,儋州,0890,571700海南,白沙,0890,572800海南,洋浦,0890,578000海南,东方,0890,572600海南,昌江,0890,572700海南,临高,0890,571800河北省河北,石家庄,0311,050000河北,获鹿,0311,050200河北,正定,0311,050800河北,栾城,0311,051400河北,井陉,0311,050300河北,元氏,0311,051100河北,新乐,0311,050700河北,无极,0311,052400河北,深泽,0311,052500河北,辛集,0311,052300河北,晋州,0311,052200河北,赵县,0311,051500河北,赞皇,0311,051200河北,高邑,0311,051300河北,平山,0311,050400河北,灵寿,0311,050500河北,行唐,0311,050600河北,保定,0312,071000河北,潢城,0312,072100河北,清苑,0312,071100河北,涞水,0312,074100河北,易县,0312,074200河北,涞源,0312,102900河北,唐县,0312,072300河北,定兴,0312,072600河北,涿州,0312,072700河北,高碑店,0312,074000河北,博野,0312,071300河北,安国,0312,071200河北,定州,0312,073000河北,曲阳,0312,073100河北,阜平,0312,073200河北,高阳,0312,071500河北,徐水,0312,072500河北,容城,0312,071700河北,雄县,0312,071800河北,安新,0312,071600河北,望都,0312,072400河北,蠡县,0312,071400河北,顺平,0312,072200河北,张家口,0313,075000河北,宣化,0313,075100河北,怀安,0313,076100河北,万全,0313,076200河北,张北,0313,076400河北,崇礼,0313,076300河北,沽源,0313,076500河北,尚义,0313,076700河北,康保,0313,076600河北,赤城,0313,075500河北,怀来,0313,075400河北,涿鹿,0313,075600河北,蔚县,0313,075700河北,阳原,0313,075800河北,承德,0314,067000河北,承德县,0314,067400河北,兴隆,0314,067300河北,隆化,0314,068100河北,围场,0314,068400河北,平泉,0314,067500河北,宽城,0314,067600河北,丰宁,0314,068300河北,滦平,0314,068200河北,唐山,0315,063000河北,玉田,0315,064100河北,滦县,0315,063700河北,遵化,0315,064200河北,滦南,0315,063500河北,唐海,0315,063200河北,丰南,0315,063300河北,乐亭,0315,063600河北,丰润,0315,064000河北,迁安,0315,064400河北,迁西,0315,064300河北,廊坊,0316,102800河北,霸州,0316,065700河北,永清,0316,302650 河北,大城,0316,302950 河北,文安,0316,302850 河北,固安,0316,102700 河北,香河,0316,302550 河北,大厂,0316,101700 河北,三河,0316,101600 河北,沧州,0317,061000 河北,黄骅,0317,061100 河北,海兴,0317,061200 河北,盐山,0317,061300 河北,孟村,0317,061400 河北,青县,0317,062600 河北,南皮,0317,061500 河北,东光,0317,061600 河北,吴桥,0317,061800 河北,泊头,0317,062100 河北,河间,0317,062400 河北,肃宁,0317,062300 河北,任丘,0317,062500 河北,献县,0317,062200 河北,衡水,0318,053000 河北,铙阳,0318,052700 河北,武强,0318,053300 河北,武邑,0318,053400 河北,阜城,0318,061700 河北,景县,0318,053500 河北,故城,0318,253800 河北,枣强,0318,053100 河北,冀县,0318,053200 河北,深州,0318,052800 河北,安平,0318,052600 河北,邢台,0319,054000 河北,临西,0319,057800 河北,内丘,0319,054200 河北,临城,0319,054300 河北,柏乡,0319,055400 河北,宁晋,0319,051600 河北,隆尧,0319,055300 河北,巨鹿,0319,055200 河北,新河,0319,051700 河北,南宫,0319,051800 河北,清河,0319,054800 河北,威县,0319,054700 河北,广宗,0319,054600河北,平乡,0319,054500河北,南和,0319,054400河北,任县,0319,055100河北,沙河,0319,054100河北,邯郸,0310,056000河北,武安,0310,056300河北,临漳,0310,056600河北,磁县,0310,056500河北,涉县,0310,056400河北,成安,0310,056700河北,永年,0310,057100河北,鸡泽,0310,057300河北,曲周,0310,057200河北,丘县,0310,057400河北,馆陶,0310,057700河北,大名,0310,056900河北,魏县,0310,056800河北,广平,0310,057600河北,肥乡,0310,057500河北,秦皇岛,0335,066000河北,昌黎,0335,066600河北,卢龙,0335,066400河北,抚宁,0335,066300河北,青龙,0335,066500河南省河南,郑州,0371,450000河南,商丘,0370,476000河南,商丘县,0370,476100河南,虞城,0370,476300河南,夏邑,0370,476400河南,永城,0370,476600河南,柘城,0370,476200河南,宁陵,0370,476700河南,睢县,0370,476900河南,民权,0370,476800河南,上街,0371,451000河南,荥阳,0371,450100河南,新郑,0371,451100河南,中牟,0371,451400河南,新密,0371,452300河南,登封,0371,452400河南,巩义,0371,451200河南,安阳,0372,455000河南,安阳县,0372,455100河南,汤阴,0372,456100河南,林州,0372,456500河南,内黄,0372,456300河南,滑县,0372,456400河南,新乡,0373,453700河南,卫辉,0373,453100河南,延津,0373,453200河南,原阳,0373,453500河南,获嘉,0373,453800河南,长垣,0373,453400河南,封丘,0373,453300河南,辉县,0373,453600河南,许昌,0374,461000河南,长葛,0374,461500河南,鄢陵,0374,461200河南,禹州,0374,452500河南,平顶山,0375,467000河南,舞钢,0375,462500河南,郏县,0375,467100河南,襄城,0375,452600河南,叶县,0375,467200河南,鲁山,0375,467300河南,宝丰,0375,467400河南,汝州,0375,467500河南,信阳,0376,464000河南,信阳县,0376,464100河南,罗山,0376,464200河南,卧龙,0377,473000河南,宛城,0377,473100河南,邓州,0377,474100河南,西峡,0377,474500河南,浙川,0377,474400河南,方城,0377,473200河南,社旗,0377,473300河南,唐河,0377,473400河南,新野,0377,473500河南,镇平,0377,474200河南,南召,0377,474600河南,桐柏,0377,474700河南,内乡,0377,474300河南,开封,0378,475000河南,开封县,0378,475100河南,兰考,0378,475300河南,杞县,0378,475200 河南,通许,0378,452200 河南,尉氏,0378,452100 河南,洛阳,0379,471000 河南,洛宁,0379,471700 河南,孟津,0379,471100 河南,偃师,0379,471900 河南,伊川,0379,471300 河南,宜阳,0379,471600 河南,新安,0379,471800 河南,汝阳,0379,471200 河南,嵩县,0379,471400 河南,栾川,0379,471500 河南,焦作,0391,454100 河南,修武,0391,454300 河南,武陟,0391,454900 河南,温县,0391,454800 河南,孟县,0391,454700 河南,博爱,0391,454400 河南,沁阳,0391,454500 河南,济源,0391,454600 河南,鹤壁,0392,456600 河南,浚县,0392,456200 河南,淇县,0392,456700 河南,濮阳,0393,457000 河南,濮阳县,0393,457002 河南,台前,0393,457600 河南,范县,0393,457500 河南,南乐,0393,457400 河南,清丰,0393,457300 河南,周口,0394,466000 河南,西华,0394,466600 河南,淮阳,0394,466700 河南,郸城,0394,477100 河南,鹿邑,0394,477200 河南,沈丘,0394,466300 河南,项城,0394,466200 河南,扶沟,0394,461300 河南,太康,0394,475400 河南,商水,0394,466100 河南,漯河,0395,462000 河南,临颖,0395,462600 河南,舞阳,0395,462400 河南,郾城,0395,462300 河南,驻马店,0396,463000河南,泌阳,0396,463700河南,遂平,0396,463100河南,汝南,0396,463300河南,确山,0396,463200河南,西平,0396,462100河南,上蔡,0396,463800河南,平舆,0396,463400河南,新蔡,0396,463500河南,正阳,0396,463600河南,潢川,0397,465100河南,光山,0397,465400河南,新县,0397,465500河南,淮滨,0397,464400河南,固始,0397,465200河南,商城,0397,465300河南,息县,0397,464300河南,三门峡,0398,472000河南,卢氏,0398,472200河南,渑池,0398,472400河南,义马,0398,472300河南,灵宝,0398,472500河南,陕县,0398,472100黑龙江省黑龙江,哈尔滨,0451,150000黑龙江,阿城,0451,150300黑龙江,通河,0451,150900黑龙江,方正,0451,150800黑龙江,尚志,0451,150600黑龙江,延寿,0451,150700黑龙江,双成,0451,150100黑龙江,肇东,0451,151100黑龙江,宾县,0451,150400黑龙江,木兰,0451,151900黑龙江,五常,0451,150200黑龙江,巴彦,0451,151800黑龙江,呼兰,0451,150500黑龙江,齐齐哈尔,0452,161000黑龙江,克山,0452,161600黑龙江,拜泉,0452,161700黑龙江,依安,0452,161500黑龙江,龙江,0452,161100黑龙江,讷河,0452,161300黑龙江,甘南,0452,162100黑龙江,富裕,0452,161200黑龙江,克东,0452,161800黑龙江,泰来,0452,162400黑龙江,牡丹江,0453,157000黑龙江,林口,0453,157600黑龙江,穆棱,0453,157500黑龙江,东宁,0453,157200黑龙江,海林,0453,157100黑龙江,宁安,0453,157400黑龙江,绥芬河,0453,157300黑龙江,虎林,0453,158400黑龙江,鸡西,0453,158100黑龙江,鸡东,0453,158200黑龙江,密山,0453,158300黑龙江,七台河,0453,154600黑龙江,勃利,0453,154500黑龙江,佳木斯,0454,154000黑龙江,依兰,0454,154800黑龙江,汤原,0454,154700黑龙江,桦南,0454,154400黑龙江,富锦,0454,156100黑龙江,抚远,0454,156500黑龙江,同江,0454,156400黑龙江,桦川,0454,154300黑龙江,饶河,0454,156700黑龙江,萝北,0454,154200黑龙江,鹤岗,0454,154100黑龙江,绥滨,0454,156200黑龙江,双鸭山,0454,155100黑龙江,友谊,0454,156900黑龙江,宝清,0454,156600黑龙江,集贤,0454,154900黑龙江,绥化,0458,152000黑龙江,明水,0458,151700黑龙江,庆安,0458,152400黑龙江,海伦,0458,152300黑龙江,绥棱,0458,152200黑龙江,望奎,0458,152100黑龙江,兰西,0458,151500黑龙江,青冈,0458,151600黑龙江,黑河,0456,164300黑龙江,北安,0456,164000黑龙江,孙吴,0456,164200黑龙江,逊克,0456,164400 黑龙江,德都,0456,164100 黑龙江,嫩江,0456,161400 黑龙江,五大连池,0456,164500黑龙江,加格达奇,0457,165000黑龙江,塔河,0457,165200 黑龙江,呼玛,0457,165100 黑龙江,漠河,0457,165300 黑龙江,伊春,0458,153000 黑龙江,嘉荫,0458,153200 黑龙江,铁力,0458,152500 黑龙江,大庆,0459,163000 黑龙江,林甸,0459,162300 黑龙江,安达,0459,151400 黑龙江,肇州,0459,151200 黑龙江,杜尔伯特,0459,162000黑龙江,肇源,0459,151300 湖北省湖北,武汉,027,430000湖北,武昌,027,430200湖北,武昌县,027,430200湖北,蔡甸,027,430100湖北,黄陂,027,432200湖北,新洲,027,431400湖北,襄樊,0710,441000湖北,襄阳,0710,441100湖北,宜城,0710,441400湖北,南漳,0710,441500湖北,谷城,0710,441700湖北,枣阳,0710,441200湖北,老河口,0710,441800 湖北,保康,0710,441600湖北,鄂州,0711,436000湖北,孝感,0712,432100湖北,大悟,0712,432800湖北,汉川,0712,432300湖北,应城,0712,432400湖北,云梦,0712,432500湖北,安陆,0712,432600湖北,广水,0712,432700湖北,黄冈,0713,436100 湖北,黄州,0713,436100湖北,麻城,0713,431600湖北,红安,0713,431500湖北,浠水,0713,436200湖北,罗田,0713,436600湖北,英山,0713,436700湖北,蕲春,0713,436300湖北,黄梅,0713,436500湖北,武穴,0713,436400湖北,黄石,0714,435000湖北,大冶,0714,435100湖北,阳新,0714,435200湖北,咸宁,0715,437000湖北,通山,0715,437600湖北,崇阳,0715,437500湖北,通城,0715,437400湖北,蒲圻,0715,437300湖北,嘉鱼,0715,437200湖北,荆沙,0716,434100湖北,沙市,0716,434000湖北,监利,0716,433300湖北,石首,0716,434400湖北,公安,0716,434300湖北,松滋,0716,434200湖北,钟祥,0716,431900湖北,京山,0716,431800湖北,宜昌,0717,443000湖北,宜昌县,0717,443100湖北,远发,0717,444200湖北,当阳,0717,444100湖北,枝江,0717,443200湖北,枝城,0717,443300湖北,长阳,0717,443500湖北,五峰,0717,443400湖北,秭归,0717,443600湖北,兴山,0717,443700湖北,恩施,0718,445000湖北,建始,0718,445300湖北,巴东,0718,444300湖北,鹤峰,0718,445800湖北,宣恩,0718,445500湖北,来凤,0718,445700湖北,咸丰,0718,445600湖北,利川,0718,445400湖北,十堰,0719,442000湖北,郧县,0719,442500湖北,丹江口,0719,441900湖北,房县,0719,442100湖北,神农架,0719,442400湖北,竹山,0719,442200湖北,竹溪,0719,442300湖北,郧西,0719,442600湖北,随枣,0722,441200湖北,随州,0722,441300湖北,荆门,0727,434500湖北,仙桃,0728,433000湖北,天门,0728,431700湖北,潜江,0728,433100湖北,洪湖,0716,433200湖北,温泉,0715,437100湖南省湖南,长沙,0731,410000湖南,长沙县,0731,410100湖南,宁乡,0731,410600湖南,望城,0731,410200湖南,浏阳,0731,410300湖南,岳阳,0730,414000湖南,岳阳县,0730,414100湖南,湘阴,0730,410500湖南,华容,0730,414200湖南,临湘,0730,414300湖南,平江,0730,410400湖南,汨罗,0730,414400湖南,湘潭,0732,411100湖南,湘潭县,0732,411200湖南,韶山,0732,411300湖南,湘乡,0732,411400湖南,株洲,0733,412000湖南,株洲县,0733,412100湖南,攸县,0733,412300湖南,茶陵,0733,412400湖南,醴陵,0733,412200湖南,炎陵,0733,412500湖南,衡阳,0734,421000湖南,衡阳县,0734,421200湖南,耒阳,0734,421800湖南,常宁,0734,421500湖南,衡南,0734,421100湖南,衡东,0734,421400 湖南,衡山,0734,421300 湖南,祁东,0734,421600 湖南,郴州,0735,423000 湖南,资兴,0735,423400 湖南,桂东,0735,423500 湖南,汝城,0735,424100 湖南,临武,0735,424300 湖南,嘉禾,0735,424500 湖南,安仁,0735,423600 湖南,桂阳,0735,424400 湖南,永兴,0735,423300 湖南,宜章,0735,424200 湖南,常德,0736,415100 湖南,桃源,0736,425700 湖南,汉寿,0736,415900 湖南,石门,0736,415300 湖南,澧县,0736,425500 湖南,津市,0736,415400 湖南,安乡,0736,415600 湖南,临澧,0736,415200 湖南,益阳,0737,413000 湖南,桃江,0737,413400 湖南,安化,0737,413500 湖南,南县,0737,413200 湖南,沅江,0737,413100 湖南,娄底,0738,417000 湖南,双峰,0738,411500 湖南,冷水江,0738,417500 湖南,新化,0738,417600 湖南,涟源,0738,417100 湖南,邵阳,0739,422000 湖南,邵阳县,0739,422100 湖南,新宁,0739,422700 湖南,城步,0739,422500 湖南,新邵,0739,422900 湖南,绥宁,0739,422600 湖南,武岗,0739,422400 湖南,洞口,0739,422300 湖南,邵东,0739,422800 湖南,隆回,0739,422200 湖南,吉首,0743,416000 湖南,凤凰,0743,416200 湖南,龙山,0743,416800 湖南,永顺,0743,416700湖南,保靖,0743,416500湖南,花垣,0743,416400湖南,古丈,0743,416300湖南,泸溪,0743,416100湖南,张家界,0744,416600湖南,桑植,0744,416900湖南,慈利,0744,415800湖南,怀化,0745,418000湖南,麻阳,0745,419400湖南,芷江,0745,419100湖南,黔阳,0745,418100湖南,溆浦,0745,419300湖南,通道,0745,418500湖南,靖州,0745,418400湖南,会同,0745,418300湖南,新晃,0745,419200湖南,辰溪,0745,419500湖南,沅陵,0745,419600湖南,洪江,0745,418200湖南,永州,0746,425000湖南,东安,0746,425900湖南,祁阳,0746,421700湖南,新田,0746,425700湖南,宁远,0746,425600湖南,蓝山,0746,425800湖南,江华,0746,425500湖南,江永,0746,425400湖南,道县,0746,425300湖南,双牌,0746,425200吉林省吉林,长春,0431,130000吉林,双阳,0431,130600吉林,农安,0431,130200吉林,九台,0431,130500吉林,德惠,0431,130300吉林,榆树,0431,130400吉林,吉林,0432,132000吉林,永吉,0432,132200吉林,磬石,0432,132300吉林,桦甸,0432,132400吉林,蛟河,0432,132500吉林,舒兰,0432,132600吉林,延吉,0433,133000吉林,汪清,0433,133200吉林,和龙,0433,133500吉林,安图,0433,133600吉林,敦化,0433,133700吉林,图们,0433,133100吉林,龙井,0433,133400吉林,四平,0434,136000吉林,双辽,0434,136400吉林,犁树,0434,136500吉林,公主岭,0434,136100吉林,通化,0435,134000吉林,通化县,0435,134100吉林,集安,0435,134200吉林,白城,0436,137000吉林,通榆,0436,137200吉林,大安,0436,131300吉林,洮南,0436,137100吉林,镇赉,0436,137300吉林,辽源,0437,136200吉林,东辽,0437,136600吉林,东丰,0437,136300吉林,松原,0438,131000吉林,扶余,0438,131200吉林,前郭,0438,131100吉林,长岭,0438,131500吉林,乾安,0438,131400吉林,临江,0439,134100吉林,靖宇,0439,135200吉林,长白,0439,134400吉林,抚松,0439,134500吉林,江源,0439,134300吉林,珲春,0440,133300吉林,梅河口,0448,135000吉林,柳河,0448,135300吉林,辉南,0448,135100江苏省江苏,南京,025,210000江苏,江浦,025,211800江苏,六合,025,211500江苏,江宁,025,211100江苏,高淳,025,211300江苏,溧水,025,211200江苏,无锡,0510,214000江苏,江阴,0510,214400江苏,宜兴,0510,214200 江苏,锡山,0510,214100 江苏,镇江,0511,212000 江苏,丹徒,0511,212100 江苏,丹阳,0511,212300 江苏,句容,0511,212400 江苏,扬中,0511,212200 江苏,苏州,0512,215000 江苏,吴江,0512,215200 江苏,吴县,0512,215100 江苏,南通,0513,226300 江苏,如东,0513,226400 江苏,如皋,0513,226500 江苏,通州市,0513,226300 江苏,海门,0513,226100 江苏,启东,0513,226200 江苏,海安,0513,226600 江苏,扬州,0514,225000 江苏,江都,0514,225200 江苏,邗江,0514,225100 江苏,仪征,0514,211400 江苏,高邮,0514,225600 江苏,宝应,0514,225800 江苏,盐城,0515,224000 江苏,响水,0515,224600 江苏,滨海,0515,224500 江苏,阜宁,0515,224400 江苏,射阳,0515,224300 江苏,建湖,0515,224700 江苏,大丰,0515,224100 江苏,东台,0515,224200 江苏,徐州,0516,221000 江苏,铜山,0516,221100 江苏,丰县,0516,221700 江苏,沛县,0516,221600 江苏,邳县,0516,221300 江苏,新沂,0516,221400 江苏,睢宁,0516,221200 江苏,淮阴,0517,223000 江苏,淮阴县,0517,223300 江苏,淮安,0517,223200 江苏,洪泽,0517,223100 江苏,金湖,0517,211600 江苏,涟水,0517,223400 江苏,盱眙,0517,211700江苏,连云港,0518,222000江苏,东海,0518,222300江苏,赣榆,0518,222100江苏,灌云,0518,222200江苏,灌南,0518,223500江苏,常州,0519,213000江苏,武进,0519,213100江苏,金坛,0519,213200江苏,溧阳,0519,213300江苏,张家港,0520,215600江苏,常熟,0520,215500江苏,昆山,0520,215300江苏,太仓,0520,215400江苏,泰州,0523,225300江苏,靖江,0523,214500江苏,泰兴,0523,225400江苏,姜堰,0523,225500江苏,兴化,0523,225700江苏,沭阳,0527,223600江苏,宿迁,0527,223800江苏,泗阳,0527,223700江苏,泗洪,0527,211900江西省江西,南昌,0791,330000江西,新余,0790,336500江西,分宜,0790,336600江西,南昌县,0791,330200江西,新建,0791,330100江西,进贤,0791,331700江西,安义,0791,330500江西,九江,0792,332000江西,九江县,0792,332100江西,庐山,0792,332900江西,修水,0792,322400江西,湖口,0792,332500江西,星子,0792,332800江西,瑞昌,0792,332200江西,德安,0792,330400江西,彭泽,0792,332700江西,都昌,0792,332600江西,永修,0792,330300江西,武宁,0792,332300江西,上饶,0793,334000江西,上饶县,0793,334100江西,玉山,0793,334700江西,余干,0793,335100江西,弋阳,0793,334400江西,波阳,0793,333100江西,广丰,0793,334600江西,万年,0793,335500江西,铅山,0793,334500江西,横峰,0793,334300江西,婺源,0793,333200江西,德兴,0793,334200江西,抚州,0794,344000江西,资溪,0794,335300江西,广昌,0794,344900江西,东乡,0794,331800江西,金溪,0794,344800江西,崇仁,0794,344200江西,临川,0794,344100江西,宜黄,0794,344400江西,乐安,0794,344300江西,南城,0794,344700江西,南丰,0794,344500江西,黎川,0794,344600江西,宜春,0795,336000江西,宜丰,0795,336300江西,上高,0795,336400江西,奉新,0795,330700江西,靖安,0795,330600江西,高安,0795,330800江西,丰城,0795,331100江西,樟树,0795,331200江西,万载,0795,336100江西,铜鼓,0795,336200江西,吉安,0796,343000江西,吉安县,0796,343100江西,新干,0796,331300江西,永丰,0796,331500江西,吉水,0796,331600江西,峡江,0796,331400江西,泰和,0796,343700江西,万安,0796,343800江西,遂川,0796,343900江西,宁冈,0796,343500江西,永新,0796,343400江西,井岗山,0796,343600 江西,安福,0796,343200 江西,赣州,0797,341000 江西,瑞金,0797,342500 江西,于都,0797,342300 江西,兴国,0797,342400 江西,宁都,0797,342800 江西,石城,0797,342700 江西,寻乌,0797,342200 江西,南康,0797,341400 江西,赣县,0797,341100 江西,大余,0797,341500 江西,上犹,0797,341200 江西,崇义,0797,341300 江西,信丰,0797,341600 江西,龙南,0797,341700 江西,定南,0797,341900 江西,全南,0797,341800 江西,安远,0797,342100 江西,会昌,0797,342600 江西,景德镇,0798,333000 江西,乐平,0798,333300 江西,浮梁,0798,333400 江西,萍乡,0799,337000 江西,莲花,0799,337100 江西,鹰潭,0701,335000 江西,贵溪,0701,335400 江西,余江,0701,335200 辽宁省辽宁,沈阳,024,110000辽宁,新民,024,110300辽宁,辽中,024,110200辽宁,康平,024,112200辽宁,法库,024,112100辽宁,铁岭,0410,112000 辽宁,铁岭县,0410,112600 辽宁,昌图,0410,112500 辽宁,开原,0410,112300 辽宁,西丰,0410,112400 辽宁,铁法,0410,112700 辽宁,大连,0411,116000 辽宁,庄河,0411,116400 辽宁,长海,0411,116500 辽宁,瓦房店,0411,116300 辽宁,普兰店,0411,116600辽宁,金县,0411,116100辽宁,新金,0411,116200辽宁,鞍山,0412,114000辽宁,海城,0412,114200辽宁,台安,0412,114100辽宁,岫岩,0412,114300辽宁,抚顺,0413,113000辽宁,抚顺县,0413,113100辽宁,清原,0413,113300辽宁,新宾,0413,113200辽宁,本溪,0414,117000辽宁,本溪县,0414,117100辽宁,桓仁,0414,117200辽宁,丹东,0415,118000辽宁,东港,0415,118300辽宁,凤城,0415,118100辽宁,宽甸,0415,118200辽宁,锦州,0416,121000辽宁,凌海,0416,121200辽宁,黑山,0416,121400辽宁,义县,0416,121100辽宁,北宁,0416,121300辽宁,营口,0417,115000辽宁,盖州,0417,115200辽宁,大石桥,0417,115100辽宁,阜新,0418,123000辽宁,阜新县,0418,123100辽宁,彰武,0418,123200辽宁,辽阳,0419,111000辽宁,辽阳县,0419,111200辽宁,灯塔,0419,111300辽宁,朝阳,0421,122000辽宁,朝阳县,0421,122600辽宁,建平,0421,122400辽宁,北票,0421,122100辽宁,凌源,0421,122500辽宁,喀喇沁左翼,0421,122300辽宁,盘锦,0427,124000辽宁,盘山,0427,124100辽宁,大洼,0427,124200辽宁,葫芦岛,0429,121500辽宁,绥中,0429,121700辽宁,建昌,0429,122200辽宁,兴城,0429,121600内蒙古自治区内蒙古,呼和浩特,0471,010000内蒙古,海拉尔,0470,021000内蒙古,鄂温克,0470,021100内蒙古,阿荣旗,0470,162750内蒙古,牙克石,0470,022100内蒙古,扎兰屯,0470,162650内蒙古,鄂伦春,0470,022400内蒙古,陈巴尔虎旗,0470,021500内蒙古,新巴尔虎左旗,0470,021200内蒙古,新巴尔虎右旗,0470,021300内蒙古,根河,0470,022300内蒙古,额尔古纳右旗,0470,022200内蒙古,莫力达瓦旗,0470,162800内蒙古,满洲里,0470,021400内蒙古,托克托,0471,010200内蒙古,土默特左旗,0471,010100内蒙古,和林格尔,0471,011500内蒙古,武川,0471,011700内蒙古,清水河,0471,011600内蒙古,包头,0472,014000内蒙古,固阳,0472,014200内蒙古,土默特右旗,0472,014100内蒙古,白云鄂博,0472,014080内蒙古,达茂旗,0472,014300内蒙古,乌海,0473,016000内蒙古,集宁,0474,012000内蒙古,四子王旗,0474,011800内蒙古,化德,0474,013300内蒙古,丰镇,0474,012100内蒙古,卓资,0474,012300。
全国各地邮政编码、区号大全本表只具体到区,按ctrl+f进行查询,更多请访问北京市邮编区号大全市、县、区名长途区号邮政编码市、县、区名长途区号邮政编码东城区10100000西城区10100000崇文区10100000宣武区10100000朝阳区10100000丰台区10100000石景山区10100000海淀区10100000门头沟区10102300房山区10102400通州区10101100顺义区10101300昌平区10102200大兴区10102600怀柔区10101400平谷区10101200密云县10101500延庆县10102100天津市邮编区号大全市、县、区名长途区号邮政编码市、县、区名长途区号邮政编码和平区22300000河东区22300000河西区22300000南开区22300000河北区22300000红桥区22300000塘沽区22300450汉沽区22300480大港区22300000东丽区22300000西青区22300000津南区22300000北辰区22300000武清区22301700宝坻区22301800宁河县22301500静海县22301600蓟县22301900上海市邮编区号大全市、县、区名长途区号邮政编码市、县、区名长途区号邮政编码黄浦区21200000卢湾区21200000徐汇区21200000长宁区21200000静安区21200000普陀区21200000闸北区21200000虹口区21200000杨浦区21200000闵行区21201100宝山区21201900嘉定区21201800浦东新区21200120金山区21201500松江区21201600青浦区21201700南汇区21201300奉贤区21201400崇明县21202150重庆市邮编区号大全市、县、区名长途区号邮政编码市、县、区名长途区号邮政编码万州区23404100涪陵区23408000渝中区23400000大渡口区23400000江北区23400000沙坪坝区23400000九龙坡区23400000南岸区23400000北碚区23400700万盛区23400800双桥区23400900渝北区23401120巴南区23401320黔江区23409000长寿区23401220綦江县23401420潼南县23402660铜梁县23402560大足县23402360荣昌县23402460璧山县23402760梁平县23405200城口县23405900丰都县23408200垫江县23408300武隆县23408500忠县23404300开县23405400云阳县23404500奉节县23404600巫山县23404700巫溪县23405800石柱土家族自治县23409100秀山土家族苗族自治县23409900酉阳土家族苗族自治县23409800彭水苗族土家族自治县23409600江津市23402260合川市23401520永川市23402160南川市23408400河北省邮编区号大全市、县、区名长途区号邮政编码市、县、区名长途区号邮政编码石家庄市31150000鹿泉市31150200长安区31150000桥东区31150000桥西区31150000新华区31150000井陉矿区31150100裕华区31150000井陉县31150300正定县31150800栾城县31151430行唐县31150600灵寿县31150500高邑县31151330深泽县31152500赞皇县31151230无极县31152400平山县31150400元氏县31151130赵县31151530辛集市31152300藁城市31152160晋州市31152200新乐市31150700唐山市31563000路南区31563000路北区31563000古冶区31563100开平区31563000丰南区31563300丰润区31563000滦县31563700滦南县31563500乐亭县31563600迁西县31564300玉田县31564100唐海县31563200遵化市31564200迁安市31564400秦皇岛市33566000卢龙县33566400海港区33566000山海关区33566200北戴河区33566100青龙满族自治县33566500昌黎县33566600抚宁县33566300邯郸市31056000武安市31056300邯山区31056000丛台区31056000复兴区31056000峰峰矿区31056200邯郸县31056000临漳县31056600成安县31056700大名县31056900涉县31056400磁县31056500肥乡县31057550永年县31057150邱县31057450鸡泽县31057350广平县31057650馆陶县31057750魏县31056800曲周县31057250邢台市31954000沙河市31954100桥东区31954000桥西区31954000邢台县31954000临城县31954300内丘县31954200柏乡县31955450隆尧县31955350任县31955150南和县31954400宁晋县31955550巨鹿县31955250新河县31951730广宗县31954600平乡县31954500威县31954700清河县31954800临西县31954900南宫市31951800保定市31271000高碑店市31274000新市区31271000北市区31271000南市区31271000满城县31272150清苑县31271100涞水县31274100阜平县31273200徐水县31272550定兴县31272650唐县31272350高阳县31271500容城县31271700涞源县312102900望都县31272450安新县31271600易县31274200曲阳县31273100蠡县31271400顺平县31272250博野县31271300雄县31271800涿州市31272750定州市31273000安国市31271200张家口市31375000崇礼县31376350桥东区31375000桥西区31375000宣化区31375000下花园区31375300宣化县31375100张北县31376450康保县31376650沽源县31376550尚义县31376750蔚县31375700阳原县31375800怀安县31376150万全县31376250怀来县31375400涿鹿县31375600赤城县31375500承德市31467000围场满族蒙古族自治县31468450双桥区31467000双滦区31467000鹰手营子矿区31467200承德县31467400兴隆县31467300平泉县31467500滦平县31468250隆化县31468150丰宁满族自治县31468350宽城满族自治县31467600沧州市31761000新华区31761000运河区31761000沧县31761000青县31762650东光县31761600海兴县31761200盐山县31761300肃宁县31762350南皮县31761500吴桥县31761800献县31762250孟村回族自治县31761400泊头市31762150任丘市31762550黄骅市31761100河间市31762450廊坊市31665000安次区31665000广阳区31665000固安县31665500永清县31665600香河县31665400大城县31665900文安县31665800大厂回族自治县31665300霸州市31665700三河市31665200衡水市31853000深州市31852800桃城区31853000枣强县31853100武邑县31853400武强县31853300饶阳县31853900安平县31853600故城县31853800景县31853500阜城县31853700冀州市31853200山西省邮编区号大全市、县、区名长途区号邮政编码市、县、区名长途区号邮政编码太原市35130000古交市35130200小店区35130000迎泽区35130000杏花岭区35130000尖草坪区35130000万柏林区35130000晋源区35130000清徐县35130400阳曲县35130100娄烦县35130300大同市35237000大同县35237300城区35237000矿区35237000南郊区35237000新荣区35237000阳高县35238100天镇县35238200广灵县35237500灵丘县35234400浑源县35237400左云县35237100阳泉市35345000盂县35345100城区35345000矿区35345000郊区35345000平定县35345200长治市35546000潞城市35547500城区35546000郊区35546000长治县35547100襄垣县35546200屯留县35546100平顺县35547400黎城县35547600壶关县35547300长子县35546600武乡县35546300沁县35546400沁源县35546500晋城市35648000高平市35646700城区35648000沁水县35648200阳城县35648100陵川县35648300泽州县35648000朔州市34938500怀仁县34938300朔城区34938500平鲁区34938500山阴县34938400应县34937600右玉县34937200晋中市35438300介休市35431200榆次区35430600榆社县35431800左权县35432600和顺县35432700昔阳县35445300寿阳县35431700太谷县35430800祁县35430900平遥县35431100灵石县35431300运城市35944000河津市35943300盐湖区35944000临猗县35944100万荣县35944200闻喜县35943800稷山县35943200新绛县35943100绛县35943600垣曲县35943700夏县35944400平陆县35944300芮城县35944600永济市35944500忻州市35034000原平市35034100忻府区35034000定襄县35035400五台县35035500代县35034200繁峙县35034300宁武县35036000静乐县35035100神池县35036100五寨县35036200岢岚县35036300河曲县35036500保德县35036600偏关县35036400临汾市35741000霍州市35731400尧都区35741000曲沃县35743400翼城县35743500襄汾县35741500洪洞县35731600古县35742400安泽县35742500浮山县35742600吉县35742200乡宁县35742100大宁县35742300隰县35741300永和县35741400蒲县35741200汾西县35731500侯马市35743000吕梁市35833000汾阳市35832200离石区35833000文水县35832100交城县35830500兴县35835300临县35833200柳林县35833300石楼县35832500岚县35835200方山县35833100中阳县35833400交口县35832400孝义市35832300河南省邮编区号大全市、县、区名长途区号邮政编码市、县、区名长途区号邮政编码郑州市371450000登封市371452470中原区371450000二七区371450000管城回族区371450000金水区371450000上街区371450041邙山区371450000中牟县371451450巩义市371452100荥阳市371450100新密市371452370新郑市371451100开封市378475000兰考县378475300龙亭区378475000顺河回族区378475000鼓楼区378475000南关区378475000郊区378475000杞县378475200通许县378452200尉氏县378452100开封县378475100洛阳市379471000偃师市379471900老城区379471000西工区379471000廛河回族区379471000涧西区379471000吉利区379471000洛龙区379471000孟津县379471100新安县379471800栾川县379471500嵩县379471400汝阳县379471200宜阳县379471600洛宁县379471700伊川县379471300平顶山市375467000汝州市375467500新华区375467000卫东区375467000石龙区375467000湛河区375467000宝丰县375467400叶县375467200鲁山县375467300郏县375467100舞钢市375462500林州市372456500安阳市372455000林州市372456500文峰区372455000北关区372455000殷都区372455000龙安区372455000安阳县372455100汤阴县372456150滑县372456400内黄县372456300鹤壁市392458000淇县392456750鹤山区392458000山城区392458000淇滨区392458000浚县392456250新乡市373453000辉县市373453600红旗区373453000新乡县373453700获嘉县373453800原阳县373453500延津县373453200封丘县373453300长垣县373453400卫辉市373453100焦作市391454150孟州市391454750解放区391454150中站区391454150马村区391454150山阳区391454150修武县391454350博爱县391454450武陟县391454950温县391454850济源市391454650沁阳市391454550濮阳市393457000濮阳县393457100清丰县393457300南乐县393457400范县393457500台前县393457600许昌市374461000长葛市374461500魏都区374461000许昌县374461100鄢陵县374461200襄城县374452670禹州市374452570漯河市395462000临颍县395462600源汇区395462000郾城区395462300召陵区395462300舞阳县395462400三门峡市398472000灵宝市398472500湖滨区398472000渑池县398472400陕县398472100卢氏县398472200义马市398472300南阳市377473000邓州市377474150宛城区377473000卧龙区377473000南召县377474650方城县377473200西峡县377474550镇平县377474250内乡县377474350淅川县377474450社旗县377473300唐河县377473400新野县377473500桐柏县377474750商丘市370476000永城市370476600梁园区370476000睢阳区370476000民权县370476800睢县370476900宁陵县370476700柘城县370476200虞城县370476300夏邑县370476400信阳市376464000息县397464300师河区376464000平桥区376464000罗山县376464200光山县397465450新县397465500商城县397465350固始县397465200潢川县397465150淮滨县397464400周口市394466000项城市394466200川汇区394466000扶沟县394461300西华县394466600商水县394466100沈丘县394466300郸城县394477150淮阳县394466700太康县394475400鹿邑县394477200驻马店市396463000新蔡县396463500驿城区396463000西平县396463900上蔡县396463800平舆县396463400正阳县396463600确山县396463200泌阳县396463700汝南县396463300遂平县396463100辽宁省邮编区号大全市、县、区名长途区号邮政编码市、县、区名长途区号邮政编码沈阳市24110000新民市24110300和平区24110000沈河区24110000大东区24110000皇姑区24110000铁西区24110020苏家屯区24110100东陵区24110000新城子区24110000于洪区24110000辽中县24110200康平县24110500法库县24110400大连市411116000庄河市411116400中山区411116000西岗区411116000沙河口区411116000甘井子区411116000旅顺口区411116000金州区411116000长海县411116500瓦房店市411116300普兰店市411116200鞍山市412114000海城市412114200铁东区412114000铁西区412114000立山区412114000千山区412114000台安县412114100岫岩满族自治县412118400抚顺市413113000清原满族自治县413113300新抚区413113000东洲区413113000望花区413113000顺城区413113000抚顺县413113100新宾满族自治县413113200本溪市414117000桓仁满族自治县414117200平山区414117000溪湖区414117000明山区414117000南芬区414117000本溪满族自治县414117100丹东市415118000凤城市415118100元宝区415118000振兴区415118000振安区415118000宽甸满族自治县415118200东港市415118300锦州市416121000北宁市416121300古塔区416121000凌河区416121000太和区416121000黑山县416121400义县416121100凌海市416121200营口市417115000大石桥市417115100站前区417115000西市区417115000鲅鱼圈区417115000老边区417115000盖州市417115200阜新市418123000彰武县418123200海州区418123000新邱区418123000太平区418123000清河门区418123000细河区418123000阜新蒙古族自治县418123100辽阳市419111000灯塔市419111300白塔区419111000文圣区419111000宏伟区419111000弓长岭区419111000太子河区419111000辽阳县419111200盘锦市427124000盘山县427124100双台子区427124000兴隆台区427124000大洼县427124200铁岭市410112000开原市410112300银州区410112000清河区410112000铁岭县410112600西丰县410112400昌图县410112500朝阳市421122000凌源市421122500双塔区421122000龙城区421122000朝阳县421122000建平县421122400喀喇沁左翼蒙古族自治县421122300北票市421122100葫芦岛市429125000兴城市429125100连山区429125000龙港区429125000南票区429125000绥中县429125200建昌县429125300吉林省邮编区号大全市、县、区名长途区号邮政编码市、县、区名长途区号邮政编码长春市431130000德惠市431130300南关区431130000宽城区431130000朝阳区431130000二道区431130000绿园区431130000双阳区431130600农安县431130200九台市431130500榆树市431130400吉林市432132000磐石市432132300昌邑区432132000龙潭区432132000船营区432132000丰满区432132000永吉县432132100蛟河市432132500桦甸市432132400舒兰市432132600四平市434136000双辽市434136400铁西区434136000铁东区434136000梨树县434136500伊通满族自治县434130700公主岭市434136100辽源市437136200东辽县437136600龙山区437136200西安区437136200东丰县437136300通化市435134000集安市435134200东昌区435134000二道江区435134000通化县435134100辉南县448135100柳河县448135300梅河口市448135000白山市439134300临江市439134600八道江区439134300抚松县439134500靖宇县439135200长白朝鲜族自治县439134400江源县439134700松原市438138000扶余县438131200宁江区438138000前郭尔罗斯蒙古族自治县438131100长岭县438131500乾安县438131400白城市436137000大安市436131300洮北区436137000镇赉县436137300通榆县436137200洮南市436137100延边朝鲜族自治州433133000汪清县433133200延吉市433133000图们市433133100敦化市433133700珲春市440133300龙井市433133400和龙市433133500安图县433133600黑龙江省邮编区号大全市、县、区名长途区号邮政编码市、县、区名长途区号邮政编码哈尔滨市451150000五常市451150200道里区451150000南岗区451150000道外区451150000香坊区451150000动力区451150000平房区451150000松北区451150000呼兰区451150500依兰县451154800方正县451150800宾县451150400巴彦县451151800木兰县451151900通河县451150900延寿县451150700阿城市451150300双城市451150100尚志市451150600齐齐哈尔市452161000龙沙区452161000建华区452161000铁锋区452161000昂昂溪区452161000富拉尔基区452161000碾子山区452161000梅里斯达斡尔族区452161000龙江县452161100依安县452161500泰来县452162400甘南县452162100富裕县452161200克山县452161600克东县452164800拜泉县452164700讷河市452161300鸡西市467158100密山市467158300鸡冠区467158100恒山区467158100滴道区467158100梨树区467158100城子河区467158100麻山区467158100鸡东县467158200虎林市467158400鹤岗市468154100向阳区468154100工农区468154100南山区468154100兴安区468154100东山区468154100兴山区468154100萝北县468154200绥滨县468156200双鸭山市469155100尖山区469155100岭东区469155100四方台区469155100宝山区469155100集贤县469155900友谊县469155800宝清县469155600饶河县469155700大庆市459163000杜尔伯特蒙古族自治县459166200萨尔图区459163000龙凤区459163000让胡路区459163000红岗区459163000大同区459163000肇州县459166400肇源县459166500林甸县459166300伊春市458153000铁力市458152500伊春区458153000南岔区458153000友好区458153000西林区458153000翠峦区458153000新青区458153000美溪区458153000金山屯区458153000五营区458153000乌马河区458153000汤旺河区458153000带岭区458153000乌伊岭区458153000红星区458153000上甘岭区458153000嘉荫县458153200佳木斯市454154000富锦市454156100永红区454154000向阳区454154000前进区454154000东风区454154000郊区454154000桦南县454154400桦川县454154300汤原县454154700抚远县454156500同江市454156400七台河市464154600新兴区464154600桃山区464154600茄子河区464154600勃利县464154500牡丹江市453157000东安区453157000阳明区453157000爱民区453157000西安区453157000东宁县453157200林口县453157600绥芬河市453157300海林市453157100宁安市453157400穆棱市453157500黑河市456164300爱辉区456164300嫩江县456161400逊克县456164400孙吴县456164200北安市456164000五大连池市456164100绥化市455152000北林区455152000望奎县455152100兰西县455151500青冈县455151600庆安县455152400明水县455151700绥棱县455152200安达市455151400肇东市455151100海伦市455152300大兴安岭地区, 165000漠河县457165300 457呼玛县457165100塔河县457165200内蒙古自治区邮编区号大全市、县、区名长途区号邮政编码市、县、区名长途区号邮政编码呼和浩特市47110000武川县47111700新城区47110000回民区47110000玉泉区47110000土默特左旗47110100托克托县47110200和林格尔县47111500清水河县47111600包头市47214000达尔罕茂明安联合旗47214500东河区47214000昆都伦区47214000青山区47214000白云矿区47214000土默特右旗47214100固阳县47214200乌海市47316000乌达区47316000海勃湾区47316000赤峰市47624000海南区47316000红山区47624000元宝山区47624000松山区47624000阿鲁科尔沁旗47625500巴林左旗47625450巴林右旗47625150林西县47625250克什克腾旗47625350翁牛特旗47624500喀喇沁旗47624400宁城县47624200敖汉旗47624300通辽市47528000霍林郭勒市47529200科尔沁区47528000科尔沁左翼中旗47529300科尔沁左翼后旗47528100开鲁县47528400库伦旗47528200奈曼旗47528300扎鲁特旗47529100鄂尔多斯市477伊金霍洛旗47717200东胜区47717000达拉特旗477准格尔旗47717100鄂托克前旗47716200鄂托克旗47716100杭锦旗47717400乌审旗47717300呼伦贝尔市47021000根河市47022350海拉尔区47021000阿荣旗470162750莫力达瓦达斡尔族自治旗470162850鄂伦春自治旗47022450鄂温克族自治旗47021100陈巴尔虎旗47021500新巴尔虎左旗47021200新巴尔虎右旗47021300满洲里市47021400牙克石市47022150扎兰屯市470162650额尔古纳市47022250巴彦淖尔市47815000杭锦后旗47815400临河区47815000五原县47815100磴口县47815200乌拉特前旗47814400乌拉特中旗47815300乌拉特后旗47815500乌兰察布市474丰镇市47412100集宁区47412000卓资县47412300化德县47413350商都县47413400兴和县47413650凉城县47413750察哈尔右翼前旗47412200察哈尔右翼中旗47413500察哈尔右翼后旗47412400四子王旗47411800兴安盟482突泉县482137500乌兰浩特市482137400阿尔山市482137400科尔沁右翼前旗482137400科尔沁右翼中旗48229400扎赉特旗482137600锡林郭勒盟47926000多伦县47927300二连浩特市47912600锡林浩特市47926000阿巴嘎旗47911400苏尼特左旗47911300苏尼特右旗47911200东乌珠穆沁旗47926300西乌珠穆沁旗47926200太仆寺旗47927000镶黄旗47913250正镶白旗47913800正蓝旗47927200阿拉善盟483额济纳旗483735400阿拉善左旗483750300阿拉善右旗483737300江苏省邮编区号大全市、县、区名长途区号邮政编码市、县、区名长途区号邮政编码南京市25210000高淳县25211300玄武区25210000白下区25210000秦淮区25210000建邺区25210000鼓楼区25210000下关区25210000浦口区25210000栖霞区25210000雨花台区25210000江宁区25211100六合区25211500溧水县25211200无锡市510214000宜兴市510214200崇安区510214000南长区510214000北塘区510214000锡山区510214000惠山区510214000江阴市510214400徐州市516221000邳州市516221300鼓楼区516221000云龙区516221000九里区516221000贾汪区516221000泉山区516221000丰县516221700沛县516221600铜山县516221100睢宁县516221200新沂市516221400常州市519213000金坛市519213200天宁区519213000钟楼区519213000戚墅堰区519213000武进区519213100溧阳市519213300苏州市512215000太仓市512215400沧浪区512215000平江区512215000金阊区512215000虎丘区512215000吴中区512215100相城区512215100常熟市512215500张家港市512215600昆山市512215300吴江市512215200南通市513226000海门市513226100崇川区513226000港闸区513226000海安县513226600如东县513226400启东市513226200如皋市513226500通州市513226300连云港市518222000灌南县518223500连云区518222000新浦区518222000海州区518222000赣榆县518222100东海县518222300灌云县518222200淮安市517223001金湖县517211600清河区517223001楚州区517223200淮阴区517223300清浦区517223001涟水县517223400洪泽县517223100盱眙县517211700盐城市515224000大丰市515224100盐都区515224000响水县515224600滨海县515224000阜宁县515224400射阳县515224300建湖县515224700东台市515224200扬州市514225000江都市514225200广陵区514225000邗江区514225100宝应县514225800仪征市514211400高邮市514225600镇江市511212000句容市511212400京口区511212000润州区511212000丹徒区511212100丹阳市511212300扬中市511212200泰州市523225300姜堰市523225500海陵区523225300高港区523225300兴化市523225700靖江市523214500泰兴市523225400宿迁市527223800泗洪县527223900宿城区527223800宿豫区527223800沭阳县527223600泗阳县527223700山东省邮编区号大全市、县、区名长途区号邮政编码市、县、区名长途区号邮政编码济南市531250000章丘市531250200历下区531250000市中区531250000槐荫区531250000天桥区531250000历城区531250100长清区531250300平阴县531250400济阳县531251400商河县531251600青岛市532266000莱西市532266600市南区532266000市北区532266000四方区532266000黄岛区532266000崂山区532266100李沧区532266000城阳区532266000胶州市532266300即墨市532266200平度市532266700胶南市532266400淄博市533255000沂源县533256100淄川区533255100张店区533255000博山区533255200临淄区533255400周村区533255300桓台县533256400高青县533256300枣庄市632277000滕州市632277500市中区632277000薛城区632277000峄城区632277300台儿庄区632277400山亭区632277200东营市546257000广饶县546257300东营区546257100河口区546257200垦利县546257500利津县546257400烟台市535264000海阳市535265100芝罘区535264000福山区535265500牟平区535264100莱山区535264000长岛县535265800龙口市535265700莱阳市535265200莱州市535261400蓬莱市535265600招远市535265400栖霞市535265300潍坊市536261000昌邑市536261300潍城区536261000寒亭区536261100坊子区536261200奎文区536261000临朐县536262600昌乐县536262400青州市536262500诸城市536262200寿光市536262700安丘市536262100高密市536261500济宁市537272000邹城市537273500市中区537272000任城区537272000微山县537277600鱼台县537272300金乡县537272200嘉祥县537272400汶上县537272500泗水县537273200梁山县537272600曲阜市537273100兖州市537272000泰安市538271000肥城市538271600泰山区538271000岱岳区538271000宁阳县538271400东平县538271500新泰市538271200威海市631264200乳山市631264500环翠区631264200文登市631264400荣成市631264300日照市633276800莒县633276500东港区633276800岚山区633276800五莲县633262300莱芜市634271100钢城区634271100莱城区634271100临沂市539276000临沭县539276700兰山区539276000罗庄区539276000河东区539276000沂南县539276300郯城县539276100沂水县539276400苍山县539277700费县539273400平邑县539273300莒南县539276600蒙阴县539276200德州市534253000禹城市534251200德城区534253000陵县534253500宁津县534253400庆云县534253700临邑县534251500齐河县534251100平原县534253100夏津县534253200武城县534253300乐陵市534253600聊城市635252000临清市635252600东昌府区635252000阳谷县635252300莘县635252400茌平县635252100东阿县635252200冠县635252500高唐县635252800滨州市543256600邹平县543256200滨城区543256600惠民县543251700阳信县543251800无棣县543251900沾化县543256800博兴县543256500荷泽市530274000东明县530274500牡丹区530274000曹县530274400单县530274300成武县530274200巨野县530274900郓城县530274700鄄城县530274600定陶县530274100安微省邮编区号大全市、县、区名长途区号邮政编码市、县、区名长途区号邮政编码合肥市551230000肥东县551230000长丰县551231100肥西县551231200芜湖市553241000南陵县553242400镜湖区553241000马塘区553241000新芜区553241000鸠江区553241000芜湖县553241100繁昌县553241200蚌埠市552233000固镇县552233700龙子湖区552233000蚌山区552233000禹会区552233000淮上区552233000怀远县552233400五河县552233300淮南市554232000凤台县554232100大通区554232000田家庵区554232000谢家集区554232000八公山区554232000潘集区554232000马鞍山市555243000当涂县555243100金家庄区555243000花山区555243000雨山区555243000淮北市561235000濉溪县561235100杜集区561235000相山区561235000烈山区561235000铜陵市562244000铜陵县562244100铜官山区562244000狮子山区562244000郊区562244000安庆市556246000桐城市556231400迎江区556246000大观区556246000郊区556246000怀宁县556246100枞阳县556246700潜山县556246300太湖县556246400宿松县556246500望江县556246200岳西县556246600黄山市559245000祁门县559245600屯溪区559245000黄山区559245000徽州区559245000歙县559245200休宁县559245400黟县559245500滁州市550239000明光市550239400琅琊区550239000南谯区550239000来安县550239200全椒县550239500定远县550233200凤阳县550233100天长市550239300阜阳市558236000界首市558236500颍州区558236000颍东区558236000颍泉区558236000临泉县558236400太和县558236600阜南县558236300颍上县558236200宿州市557234000泗县557234300墉桥区557234000砀山县557235300萧县557235200灵璧县557234200巢湖市565238000和县565238200居巢区565238000庐江县565231500无为县565238300含山县565238100六安市564237000金安区564237000裕安区564237000寿县564232200霍邱县564237400舒城县564231300金寨县564237300亳州市558236000利辛县558236700谯城区558236800涡阳县558233600蒙城县558233500池州市566247100青阳县566242800贵池区566247100东至县566247200石台县566245100宣城市563242000宁国市563242300宣州区563242000郎溪县563242100广德县563242200泾县563242500绩溪县563245300旌德县563242600浙江省邮编区号大全市、县、区名长途区号邮政编码市、县、区名长途区号邮政编码杭州市571310000临安市571311300上城区571310000下城区571310000江干区571310000拱墅区571310000西湖区571310000滨江区571310000萧山区571311200余杭区571311100桐庐县571311500淳安县571311700建德市571311600富阳市571311400宁波市574315000奉化市574315500海曙区574315000江东区574315000江北区574315000北仑区574315800镇海区574315200鄞州区574315100象山县574315700宁海县574315600余姚市574315400慈溪市574315300温州市577325000乐清市577325600鹿城区577325000龙湾区577325000瓯海区577325000洞头县577325700永嘉县577325100平阳县577325400苍南县577325800文成县577325300泰顺县577325500瑞安市577325200嘉兴市573314000平湖市573314200秀城区573314000嘉善县573314100海盐县573314300海宁市573314400桐乡市573314500湖州市572313000安吉县572313300吴兴区572313000南浔区572313000德清县572313200长兴县572313100绍兴市575312000嵊州市575312400越城区575312000绍兴县575312000新昌县575312500诸暨市575311800上虞市575312300金华市579321000永康市579321300婺城区579321000金东区579321000武义县579321200浦江县579322200磐安县579322300兰溪市579321100义乌市579322000东阳市579322100衢州市570324000江山市570324100柯城区570324000衢江区570324000常山县570324200开化县570324300龙游县570324400舟山市580316000嵊泗县580202450定海区580316000普陀区580316100岱山县580316200台州市576318000临海市576317000椒江区576317700黄岩区576318020路桥区576318000玉环县576317600三门县576317100天台县576317200仙居县576317300温岭市576317500丽水市578323000龙泉市578323700莲都区578323000青田县578323900缙云县578321400遂昌县578323300松阳县578323400云和县578323600庆元县578323800景宁畲族自治县578323500福建省邮编区号大全市、县、区名长途区号邮政编码市、县、区名长途区号邮政编码福州市591350000长乐市591350200鼓楼区591350000台江区591350000仓山区591350000马尾区591350000晋安区591350000闽侯县591350100连江县591350500罗源县591350600闽清县591350800永泰县591350700平潭县591350400福清市591350300厦门市592361000翔安区592361100思明区592361000海沧区592361000湖里区592361000集美区592361000同安区592361100莆田市594351100仙游县594351200城厢区594351100涵江区594351100荔城区594351100秀屿区594351100三明市598365000永安市598366000梅列区598365000三元区598365000明溪县598365300清流县598365300宁化县598365400大田县598366100尤溪县598365100沙县598365500将乐县598353300泰宁县598354400建宁县598354500泉州市595362000南安市595362300鲤城区595362000丰泽区595362000洛江区595362000泉港区595362100惠安县595362100安溪县595362400永春县595362600德化县595362500金门县595362000石狮市595362700晋江市595362200漳州市596363000龙海市596363100芗城区596363000龙文区596363000云霄县596363300漳浦县596363200诏安县596363500长泰县596363900东山县596363400南靖县596363600平和县596363700华安县596363800南平市599353000建阳市599354200延平区599353000顺昌县599353200浦城县599353400光泽县599354100松溪县599353500政和县599353600邵武市599354000武夷山市599354300建瓯市599353100龙岩市597364000漳平市597364400新罗区597364000长汀县597366300永定县597364100上杭县597364200武平县597364300连城县597366200宁德市593352000福鼎市593355200蕉城区593352000霞浦县593355100古田县593352200屏南县593352300寿宁县593355500周宁县593355400柘荣县593355300福安市593355000湖北省邮编区号大全市、县、区名长途区号邮政编码市、县、区名长途区号邮政编码武汉市27430000新洲区27431400江岸区27430014江汉区27430000乔口区27430000汉阳区27430050武昌区27430000青山区27430080洪山区27430070东西湖区27430040汉南区27430090蔡甸区27430100江夏区27430200黄陂区27432200黄石市714435000大冶市714435100黄石港区714435000下陆区714435000铁山区714435000阳新县714435200十堰市719442000丹江口市719442700茅箭区719442000张湾区719442000郧县719442500郧西县719442600竹山县719442200竹溪县719442300房县719442100宜昌市717443000枝江市717443200西陵区717443000伍家岗区717443000点军区717443000虎亭区717443000夷陵区717443100远安县717444200兴山县717443700秭归县717443600长阳土家族自治县717443500五峰土家族自治县717443400宜都市717443000当阳市717444100襄樊市710441000宜城市710441400襄城区710441000樊城区710441000襄阳区710441100南漳县710441500谷城县710441700保康县710441600老河口市710441800枣阳市710441200鄂州市711436000鄂城区711436000梁子湖区711436000华容区711436000荆门市724448000钟祥市724431900东宝区724448000掇刀区724448000京山县724431800沙洋县724448200孝感市712432000汉川市712432300孝南区712432100孝昌县712432900大悟县712432800云梦县712432500应城市712432400安陆市712432600荆州市716434000松滋市716434200沙市区716434000荆州区716434020公安县716434300监利县716433300江陵县716434100石首市716434400洪湖市716433200黄冈市713438000武穴市713435400黄州区713438000团风县713438000红安县713438400罗田县713438600英山县713438700浠水县713438200蕲春县713435300黄梅县713435500麻城市713438300咸宁市715437000赤壁市715437300咸安区715437000嘉鱼县715437200通城县715437400崇阳县715437500通山县715437600随州市722441300广水市722432700曾都区722441300恩施土家族苗族自治州718445000鹤峰县718445800恩施市718445000利川市718445400建始县718445300巴东县718444300宣恩县718445500咸丰县718445600来凤县718445700省直辖行政单位仙桃市728433000潜江市728433100天门市728431700神农架林区719442400湖南省邮编区号大全市、县、区名长途区号邮政编码市、县、区名长途区号邮政编码长沙市731410000浏阳市731410300芙蓉区731410000天心区731410000岳麓区731410000开福区731410000雨花区731410000长沙县731410100望城县731410200宁乡县731410600株洲市733412000醴陵市733412200荷塘区733412000芦淞区733412000石峰区733412000天元区733412000株洲县733412000攸县733412300茶陵县733412400炎陵县733412500湘潭市732411100韶山市732411300雨湖区732411100岳塘区732411100湘潭县732411200湘乡市732411400衡阳市734421000常宁市734421500珠晖区734421000雁峰区734421000石鼓区734421000蒸湘区734421000南岳区734421000衡阳县734421200衡南县734421100衡山县734421300衡东县734421400祁东县734421600耒阳市734421800邵阳市739422000武冈市739422400双清区739422000大祥区739422000北塔区739422000邵东县739422800新邵县739422900邵阳县739422100隆回县739422200洞口县739422300绥宁县739422600新宁县739422700城步苗族自治县739422500岳阳市730414000临湘市730414300岳阳楼区730414000云溪区730414000君山区730414000岳阳县730414100华容县730414200湘阴县730410500平江县730410400汨罗市730414400常德市736415000津市市736415400武陵区736415000鼎城区736415100安乡县736415600汉寿县736415900澧县736415500临澧县736415200桃源县736415700石门县736415300张家界市744427000桑植县744427100永定区744427000武陵源区744427400慈利县744427200&nb, sp;益阳市737413000沅江市737413100资阳区737413000赫山区737413000南县737413200桃江县737413400安化县737413500郴州市735423000资兴市735423400北湖区735423000苏仙区735423000桂阳县735424400宜章县735424200永兴县735423300嘉禾县735424500临武县735424300汝城县735424100桂东县735423500安仁县735423600永州市746425000江华瑶族自治县746425500芝山区746425000冷水滩区746425000祁阳县746421700东安县746425900双牌县746425200道县746425300江永县746425400宁远县746425600蓝山县746425800新田县746425700怀化市745418000洪江市745418200鹤城区745418000中方县745418000沅陵县745419600辰溪县745419500溆浦县745419300会同县745418300麻阳苗族自治县745419400新晃侗族自治县745419200芷江侗族自治县745419100靖州苗族侗族自治县745418400通道侗族自治县745418500娄底市738417000涟源市738417100娄星区738417000双峰县738417700新化县738417600冷水江市738417500湘西土家族苗族自治州743416000龙山县743416800吉首市743416000泸溪县743416100凤凰县743416200花垣县743416400保靖县743416500古丈县743416300永顺县743416700广东省邮编区号大全市、县、区名长途区号邮政编码市、县、区名长途区号邮政编码广州市20510000从化市20510900东山区20510000荔湾区20510000越秀区20510000海珠区20510000天河区20510000芳村区20510000白云区20510000黄埔区20510700番禺区20511400花都区20510800增城市20511300韶关市751512000南雄市751512400武江区751512000浈江区751512000曲江区751512100始兴县751512500仁化县751512300翁源县751512600乳源瑶族自治县751512600新丰县751511100乐昌市751512200深圳市755518000盐田区755518000罗湖区755518000福田区755518000南山区755518000宝安区755518100龙岗区755518100珠海市756519000金湾区756519090香洲区756519000斗门区756519100汕头市754515000澄海区754515800龙湖区754515000金平区754515000濠江区754515000潮阳区661515100潮南区661515100南澳县754515900佛山市757528000高明区757528500禅城区757528000南海区757528200顺德区757528000三水区757528100江门市750529000恩平市750529400蓬江区750529000江海区750529000新会区750529100台山市750529200开平市750529300鹤山市750529700湛江市759524000吴川市759524500赤坎区759524000霞山区759524000坡头区759524000麻章区759524000遂溪县759524300徐闻县759524100廉江市759524400雷州市759524200茂名市668525000信宜市668525300茂南区668525000茂港区668525000电白县668525400高州市668525200化州市668525100肇庆市758526000四会市758526200端州区758526000鼎湖区758526000广宁县758526300怀集县758526400封开县758526500德庆县758526600高要市758526100惠州市752516000龙门县752516800惠城区752516000惠阳区752516200博罗县752516100惠东县752516300梅州市753514000兴宁市753514500梅江区753514000梅县753514700大埔县753514200丰顺县753514300五华县753514400平远县753514600蕉岭县753514100汕尾市660516600陆丰市660516500城区660516600海丰县660516400陆河县660516700河源市762517000东源县762517500源城区762517000紫金县762517400龙川县762517300连平县762517100和平县762517200阳江市662529500阳春市662529600江城区662529500阳西县662529800阳东县662529900清远市763511500连州市763513400清城区763511500佛冈县763511600阳山县763513100连山壮族瑶族自治县763513200连南瑶族自治县763513300清新县763511800英德市763513000东莞市769523000中山市760528400潮州市768521000饶平县768515700湘桥区768521000潮安县768515600揭阳市663522000普宁市663515300榕城区663522000揭东县663515500揭西县663515400惠来县663515200云浮市766527300罗定市766527200云城区766527300新兴县766527400郁南县766527100云安县766527500广西自治区邮编区号大全市、县、区名长途区号邮政编码市、县、区名长途区号邮政编码南宁市771530000横县771530300兴宁区771530000青秀区771530000江南区771530000西乡塘区771530000良庆区771530200邕宁区771530200武鸣县771530100隆安县771532700马山县771530600上林县771530500宾阳县771530400柳州市772545000三江侗族自治县772545500城中区772545000鱼峰区772545000柳南区772545000柳北区772545000柳江县772545100柳城县772545200鹿寨县772545600融安县772545400融水苗族自治县772545300桂林市773541000恭城瑶族自治县773542500秀峰区773541000叠彩区773541000象山区773541000七星区773541000雁山区773541000阳朔县773541900临桂县773541100灵川县773541200全州县773541500兴安县773541300。