曲柄摇杆机构运动简图的绘制文本(精)
- 格式:doc
- 大小:130.00 KB
- 文档页数:2
曲柄摇杆机构设计方法曲柄摇杆机构设计方法文档范本一、引言在机械设计领域中,曲柄摇杆机构是一种常见且重要的机构,它能够将旋转运动转换为往复运动。
本文档旨在提供一种详细的曲柄摇杆机构设计方法,以帮助工程师们更好地理解和应用该机构。
二、机构构成与功能1:曲柄:曲柄是机构的旋转部分,它通过旋转运动带动摇杆的往复运动。
2:摇杆:摇杆是机构的往复部分,其运动轨迹由曲柄的旋转和摇杆长度决定。
3:小端杆:小端杆连接曲柄与摇杆,使二者能够实现相对运动。
4:大端杆:大端杆连接摇杆与其他部件,传递摇杆的运动到所需位置。
三、设计步骤和考虑因素1:确定工作要求:根据实际应用,确定曲柄摇杆机构所需完成的工作和要求。
2:设计曲柄和摇杆的运动路径:根据工作要求和机构构型,确定曲柄和摇杆的运动路径,并绘制相应的示意图。
3:计算曲柄和摇杆的长度:根据运动路径以及机构的几何结构,计算曲柄和摇杆的长度,确保其能够满足工作要求。
4:确定杆长度:根据曲柄和摇杆的长度,确定小端杆和大端杆的长度,保证牢固可靠。
5:进行材料选择:根据机构的工作环境和所需承受的载荷,选择合适的材料以确保机构的强度和耐久性。
6:进行摩擦和润滑剂的选择:考虑摇杆与杆以及曲柄的接触情况,选择适当的润滑剂以减小摩擦,提高机构的效率和寿命。
7:进行强度计算:对机构的各个关键部位进行强度计算,以确保其在工作过程中不会发生破坏或变形。
8:进行运动分析和优化:利用运动学原理和模拟软件对机构的运动过程进行分析和优化,以确保其满足工作要求。
四、附件1:设计图纸:附上设计过程中所绘制的曲柄摇杆机构的设计图纸。
2:强度计算报告:附上对机构各个部件进行强度计算的报告。
五、法律名词及注释1:版权:指对于创作出来的文学、艺术和科学作品的拥有权,包括复制、分发、翻译等权利。
2:专利:指为新的技术、产品或产品的制造方法等发明所授予的专有权。
3:商标:指用于区别某个商品或服务来源的标识,具有独立性、显著性和可辨识性等特点。
% 曲柄摇杆机构运动分析% (1)-计算连杆的输出角th3和摇杆的输出角th4% 设定各杆的长度(单位:毫米)rs(1)=304.8; % 设定机架1长度rs(2)=101.6; % 设定曲柄2长度rs(3)=254.0; % 设定连杆3长度rs(4)=177.8; % 设定摇杆4长度dr=pi/180.0;% 角度与弧度的转换系数% 设定初始推测的输入% 机构的初始位置th(1)=0.0; % 设定曲柄2初始位置角是0度(与机架1共线)th(2)=45*dr; % 连杆3的初始位置角是45度th(3)=135*dr; % 摇杆4的初始位置角是135度% 摇杆4的初始位置角可以用三角形的正弦定理确定th(3)=pi-asin(sin(th(2))*rs(3)/rs(4));dth=5*dr; % 循环增量% 曲柄输入角从0度变化到360度,步长为5度,计算th34for i=1:72[th3,th4]=ntrps(th,rs); % 调用牛顿—辛普森方程求解机构位置解非线性方程函数文件% Store results in a matrix-th34,in degrees% 在矩阵th34中储存结果,以度为单位;(i,:)表示第i行所有列的元素;(:,i)表示第i列所有行的元素th34(i,:)=[th(1)/dr th3/dr th4/dr]; % 矩阵[曲柄转角连杆转角摇杆转角]th(1)=th(1)+dth; % 曲柄转角递增th(2)=th3; % 连杆转角中间计算值th(3)=th4; % 摇杆转角中间计算值end% 求解曲柄摇杆机构中连杆的输出角th(3)和摇杆的输出角th(4)—函数文件function [th3,th4]=ntrps(th,rs)% 使用基于牛顿—辛普森方程解答四杆机构位置的非线性问题% 变量设置% th(1)=theta_2 % 输入变量% th(2)=theta_3_bar(starting guess) % 输出变量% th(3)=theta_4_bar(starting guess) % 输出变量% rs(1)=r_1,机架长度;rs(2)=r_2,曲柄长度;rs(3)=r_3,rs(4)=r_4,摇杆长度th2=th(1);th3bar=th(2);th4bar=th(3);% 设定收敛条件epsilon=1.0E-6;% 计算二维矢量的函数% 四杆机构闭环矢量方程的矩阵形式f=[rs(3)*cos(th3bar)-rs(4)*cos(th4bar)+rs(2)*cos(th2)-rs(1);rs(3)*sin(th3bar)-rs(4)*sin(th4bar)+rs(2)*sin(th2)];% 重复计算每个方程式的修正量因子while norm(f)>epsilonJ=[-rs(3)*sin(th3bar) rs(4)*sin(th4bar); rs(3)*cos(th3bar) -rs(4)*cos(th4bar)];dth=inv(J)*(-1.0*f);th3bar=th3bar+dth(1);th4bar=th4bar+dth(2);% 四杆机构闭环矢量方程的矩阵形式f=[rs(3)*cos(th3bar)-rs(4)*cos(th4bar)+rs(2)*cos(th2)-rs(1);rs(3)*sin(th3bar)-rs(4)*sin(th4bar)+rs(2)*sin(th2)];norm(f); % 计算矩阵或向量的范数(模)end;th3=th3bar; % 弧度值th4=th4bar; % 弧度值% 绘制输出角th(2)与th(3)—输入角th(1)的关系曲线subplot(2,2,1) % 选择第1个子窗口plot(th34(:,1),th34(:,2),th34(:,1),th34(:,3))axis([0 360 0 170])grid % 网格线ylabel('从动件角位移/deg')title('角位移线图')text(110,110,'摇杆4角位移')text(50,35,'连杆3角位移')% (2)-计算连杆的角速度om3和摇杆的角速度om4% Setting initial conditions% 设置初始条件om2=250; % 曲柄角速度(等速输入)T=2*pi/om2; % 机构周期-曲柄旋转1周的时间(秒)% 曲柄输入角从0度变化到360度,步长为5度,计算om34for i=1:72ct(2)=i*dth;A=[-rs(3)*sin(th34(i,2)*dr) rs(4)*sin(th34(i,3)*dr); rs(3)*cos(th34(i,2)*dr) -rs(4)*cos(th34(i,3)*dr)];B=[om2*rs(2)*sin(ct(2));-om2*rs(2)*cos(ct(2))];om=inv(A)*B; % 输出角速度矩阵om3=om(1);om4=om(2);om34(i,:)=[i om3 om4]; % 矩阵[序号连杆角速度摇杆角速度]t(i)=i*T/72;end% 绘制连杆的角速度om3和摇杆的角速度om4—时间Times的关系曲线subplot(2,2,2) % 选择第2个子窗口plot(t,om34(:,2),t,om34(:,3))axis([0 0.026 -190 210])grid % 网格线title('角速度线图')ylabel('从动件角速度/rad/s')text(0.001,170,'摇杆4角速度')text(0.013,130,'连杆3角速度')% (3)-计算连杆的角加速度a3和摇杆的角加速度a4a2=0; % 曲柄角速度是等速,角加速度a2=dom2/dt=0% 曲柄输入角从0度变化到360度,步长为5度,计算a34for i=1:72c(2)=i*dth;C=[-rs(3)*sin(th34(i,2)*dr) rs(4)*sin(th34(i,3)*dr); rs(3)*cos(th34(i,2)*dr) -rs(4)*cos(th34(i,3)*dr)];D(1)=a2*rs(2)*sin(c(2))+om2^2*rs(2)*cos(c(2))+om34(i,2)^2*rs(3)*cos(th34(i,2)*dr)-om34(i,3)^2*rs( 4)*cos(th34(i,3)*dr);D(2)=-a2*rs(2)*cos(c(2))+om2^2*rs(2)*sin(c(2))+om34(i,2)^2*rs(3)*sin(th34(i,2)*dr)-om34(i,3) ^2*rs(4)*sin(th34(i,3)*dr);a=inv(C)*D'; % 输出角加速度矩阵a3=a(1);a4=a(2);a34(i,:)=[i a3 a4]; % 矩阵[序号连杆角加速度摇杆加角速度]t(i)=i*T/72;end% 绘制连杆的角加速度a3和摇杆的角加速度a4—时间Times的关系曲线subplot(2,2,3) % 选择第3个子窗口plot(t,a34(:,2),t,a34(:,3))axis([0 0.026 -6*1e4 8*1e4])grid % 网格线title('角加速度线图')xlabel('时间/s')ylabel('从动件加速度/rad/s^{2}')text(0.003,6.2*1e4,'摇杆4角加速度')text(0.010,3.3*1e4,'连杆3角加速度')%% 输出1:四杆机构运动周期(0:5:360),时间,角位移,角速度,角加速度数据disp ' 曲柄转角连杆转角-摇杆转角-连杆角速度-摇杆角速度-连杆加速度-摇杆加速度' ydcs=[th34(:,1),th34(:,2),th34(:,3),om34(:,2),om34(:,3),a34(:,2),a34(:,3)];disp (ydcs)% 输出参数的数量级必须一致%% (4)-运动误差分析% 闭环矢量方程:r2+r3-r4-r1=0% 误差矢量E=r2+r3-r4-r1的模是表示仿真有效程度的标量(ex和ey是误差分量)ex=rs(2)*cos(th34(:,1)*dth)+rs(3)*cos(th34(:,2)*dth)-rs(4)*cos(th34(:,3)*dth)-rs(1); ey=rs(2)*sin(th34(:,2)*dth)+rs(3)*sin(th34(:,2)*dth)-rs(4)*sin(th34(:,3)*dth);ee=norm([ex ey]); % 计算误差矢量矩阵的范数(模) %% 输出2:四杆机构运动周期(0:5:360),时间,X向误差分量,Y向误差分量disp ' 曲柄转角时间(秒) X向误差Y向误差'wc=[th34(:,1),t(:),ex(:,1),ey(:,1)];disp (wc)fprintf (1,' 误差矢量矩阵的模ee = %3.4f \n',ee)%% 绘制均方根相容性误差曲线subplot(2,2,4) % 选择第4个子窗口plot(t,ex(:,1),t,ey(:,1))axis([0 0.026 -800 600])grid % 网格线title('均方根误差曲线')xlabel('时间/s')ylabel('均方根误差')text(0.012,350,'X向误差分量')text(0.003,-600,'Y向误差分量')。
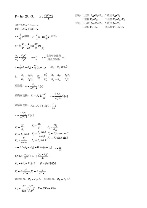
H P -2P -3n F L =2)1(-=K K N2/)(2/)(1212AC AC BC AC AC AB +=-=ϕΦ=h s 刚性、)cos 1(2ϕπΦ-=h s 柔性、)2sin21(ϕππϕΦ-Φ=h s 无CO C O w w 1221=πpm =1 啮合点间距实际啮合线段=ε)(2)(212121z z m d d a +=+=βc o s t n m m ='21211z z z z n n i k kk =='212z z z z n n n n n n ik HK H G HKH GH GK=--==松连接:][4/21σπσ≤=d F a紧横向连接:mfCF F F a ≥=0 ][4/3.121σπσ≤=d F a紧轴向连接:)(zAP F F F Fa E E E =+=][4/3.121σπσ≤=d F aααcos tan 211t a t r t F F F F d T F ===ββαtan cos tan 211t a t r t F F F F d T F ===δαδαsin tan cos tan 211t a t r m t F F F F d T F ===)(5.0)(5.0121z q m d d a +=+=md q 1=ad d d d a L 4)()(2221221-+++≈π2/)(210F F F += 1000/Fv P =11,121-=-=fafa faeFF ee FF紧边拉力:A F /11=σ 松边拉力:A F /22=σε)(60106Pf C f nL p t h =YFa XFr P +=正装:1压紧 F a1=F A +F s2 2放松F a2=F s2 1放松F a1=F s1 2压紧F a2=F s1+F A反装:1压紧 F a1=F A +F s2 2放松F a2=F s11放松F a1=F s1 2压紧F a2=F s1-F A双曲柄、曲柄摇杆、双摇杆机构 连杆与曲柄共线,从动件的α=90°齿轮机构的优点:使用的圆周速度和功率范围广;效率较高;传动比稳定。
实验三——用ADAMS 验证曲柄连杆机构如图3-1所示的铰链四杆机构(曲柄摇杆机构),AB 杆为原动件,逆时针匀速转动,其角速度为=/rad s ωπ2040602/3/3AB cm CD cm DA cm BAD ADC ππ===∠=∠=,,,,;对该机构进行验证,是否为曲柄摇杆机构;同时进行运动分析和动力分析。
图3-1 铰链四杆机构【实验目的】1、 了解ADAMS 软件;认识ADAMS 工作界面。
2、 掌握ADMAS 的建模与仿真;3、 验证铰链四杆机构中曲柄存在的条件。
【实验原理】1、 铰链四杆机构是指将4个杆件全部用转动副联接起来的机构。
2、 铰链四杆机构中曲柄存在的条件为以下两点:(1) 曲柄为最短杆件或最短的相邻杆件,此条件称为最短构件条件。
(2) 最短杆件与最长杆件的长度之和必须小于或等于其他两杆件的长度之和,即:'''min max l l l l +≤+此条件简称为构件长度和条件。
【实验仪器和设备】1、计算机。
2、机械系统动力学分析软件ADAMS 2013。
3、《机械设计基础》教材;实验指导书;实验报告。
【实验步骤】1、启动ADAMS。
双击桌面上ADAMS/View的快捷图标“”,打开ADAMS/View。
在欢迎对话框如图3-2中选择“新建模型”(Create a new model),弹出如图3-3所示“创建新模型”(Create a new model)对话框。
图3-2 欢迎对话框图3-3 “创建新模型”对话框在“模型名称”(Modelname)栏中输入:sparkplug;在“重力(Gravity)”栏中选择“正常重力(-全局Y轴)”;在“单位(Units)”栏中选择“MMKS –mm,kg,N,s,deg”;在“工作路径”栏中选择“C:\sparkplug”。
2、设置工作环境。
2.1 对于这个模型,网格间距需要设置成更高的精度以满足要求。
在ADAMS/View菜单栏中,选择设置(Setting)下拉菜单中的工作网格(Working Grid)命令。
图1.4实例1:曲柄摇杆泵1.1结构简图及其工作原理1.1.1结构工程图及其装配图和爆炸图图1.1机构运动简图 图1.2 装配图图1.3爆炸图1.1.2工作原理分析滑动杆和轮套把底座凹槽分成两部,在手轮转动的时候带动偏心轮转动,轮套又随着偏心轮的转动不断地在底座的凹槽里转动。
轮套使凹槽两部分封闭的空间由大到小,再由小到大,是一部分由于轮套的转动产生真空从而达到吸油的目的,而两部分由偏心轮的转动来控制,如图1.4。
1.2零件图明细表进油口 出油口1.2.1零件图序号名称渲染效果图电子文档名称备注1 底座底座.SLDPRT2 滑动杆滑动杆.SLDPRT3 偏心轮偏心轮.SLDPRT4 轮套轮套.SLDPRT5 手轮手轮.SLDPRT6 玻璃盖玻璃盖.SLDPRT1.3刀具路径1.3.1底座步骤加工对象加工方法使用刀具下刀速率提刀速率主轴转速进给率1 不规则平面曲面粗加工挖槽加工3mm平底刀(刃长10mm)200 400 2000 5002 圆形通孔外形铣削3mm平底刀(刃长10mm)200 400 2000 5003 外形轮廓外形铣削3mm平底刀(刃长10mm)200 400 2000 5004 外形毛头外形铣削3mm平底刀200 400 2000 3001、平面加工由于要铣的平面外形并不是规则的,且深度分为3层,因此应使用“曲面粗加工挖槽加工”,具体步骤如下:(1)打开“底座”文件模型,按F9显示坐标原点,并把零件底面中心的原点移动到与Mastercam的坐标原点重合。
如图1.5所示:图1.5 图1.6(2)选择刀具路径:单击“机床类型”,选择在“铣床”菜单下选择“默认”。
再单击“刀具路径”选项卡,选择“曲面粗加工”中的“粗加工挖槽加工”。
如图1.6所示。
(3)选择边界范围:加工对象:框选整个模型。
然后单击选择边界,如图 1.7。
选取2D串联,所选边界为模型底面外形边界,图1.8所示。
然后单击确定。
% 曲柄摇杆机构运动分析% (1)-计算连杆的输出角th3和摇杆的输出角th4% 设定各杆的长度(单位:毫米)rs(1)=304.8; % 设定机架1长度rs(2)=101.6; % 设定曲柄2长度rs(3)=254.0; % 设定连杆3长度rs(4)=177.8; % 设定摇杆4长度dr=pi/180.0;% 角度与弧度的转换系数% 设定初始推测的输入% 机构的初始位置th(1)=0.0; % 设定曲柄2初始位置角是0度(与机架1共线)th(2)=45*dr; % 连杆3的初始位置角是45度th(3)=135*dr; % 摇杆4的初始位置角是135度% 摇杆4的初始位置角可以用三角形的正弦定理确定th(3)=pi-asin(sin(th(2))*rs(3)/rs(4));dth=5*dr; % 循环增量% 曲柄输入角从0度变化到360度,步长为5度,计算th34for i=1:72[th3,th4]=ntrps(th,rs); % 调用牛顿—辛普森方程求解机构位置解非线性方程函数文件% Store results in a matrix-th34,in degrees% 在矩阵th34中储存结果,以度为单位;(i,:)表示第i行所有列的元素;(:,i)表示第i列所有行的元素th34(i,:)=[th(1)/dr th3/dr th4/dr]; % 矩阵[曲柄转角连杆转角摇杆转角]th(1)=th(1)+dth; % 曲柄转角递增th(2)=th3; % 连杆转角中间计算值th(3)=th4; % 摇杆转角中间计算值end% 求解曲柄摇杆机构中连杆的输出角th(3)和摇杆的输出角th(4)—函数文件function [th3,th4]=ntrps(th,rs)% 使用基于牛顿—辛普森方程解答四杆机构位置的非线性问题% 变量设置% th(1)=theta_2 % 输入变量% th(2)=theta_3_bar(starting guess) % 输出变量% th(3)=theta_4_bar(starting guess) % 输出变量% rs(1)=r_1,机架长度;rs(2)=r_2,曲柄长度;rs(3)=r_3,rs(4)=r_4,摇杆长度th2=th(1);th3bar=th(2);th4bar=th(3);% 设定收敛条件epsilon=1.0E-6;% 计算二维矢量的函数% 四杆机构闭环矢量方程的矩阵形式f=[rs(3)*cos(th3bar)-rs(4)*cos(th4bar)+rs(2)*cos(th2)-rs(1);rs(3)*sin(th3bar)-rs(4)*sin(th4bar)+rs(2)*sin(th2)];% 重复计算每个方程式的修正量因子while norm(f)>epsilonJ=[-rs(3)*sin(th3bar) rs(4)*sin(th4bar); rs(3)*cos(th3bar) -rs(4)*cos(th4bar)];dth=inv(J)*(-1.0*f);th3bar=th3bar+dth(1);th4bar=th4bar+dth(2);% 四杆机构闭环矢量方程的矩阵形式f=[rs(3)*cos(th3bar)-rs(4)*cos(th4bar)+rs(2)*cos(th2)-rs(1);rs(3)*sin(th3bar)-rs(4)*sin(th4bar)+rs(2)*sin(th2)];norm(f); % 计算矩阵或向量的范数(模)end;th3=th3bar; % 弧度值th4=th4bar; % 弧度值% 绘制输出角th(2)与th(3)—输入角th(1)的关系曲线subplot(2,2,1) % 选择第1个子窗口plot(th34(:,1),th34(:,2),th34(:,1),th34(:,3))axis([0 360 0 170])grid % 网格线ylabel('从动件角位移/deg')title('角位移线图')text(110,110,'摇杆4角位移')text(50,35,'连杆3角位移')% (2)-计算连杆的角速度om3和摇杆的角速度om4% Setting initial conditions% 设置初始条件om2=250; % 曲柄角速度(等速输入)T=2*pi/om2; % 机构周期-曲柄旋转1周的时间(秒)% 曲柄输入角从0度变化到360度,步长为5度,计算om34for i=1:72ct(2)=i*dth;A=[-rs(3)*sin(th34(i,2)*dr) rs(4)*sin(th34(i,3)*dr); rs(3)*cos(th34(i,2)*dr) -rs(4)*cos(th34(i,3)*dr)];B=[om2*rs(2)*sin(ct(2));-om2*rs(2)*cos(ct(2))];om=inv(A)*B; % 输出角速度矩阵om3=om(1);om4=om(2);om34(i,:)=[i om3 om4]; % 矩阵[序号连杆角速度摇杆角速度]t(i)=i*T/72;end% 绘制连杆的角速度om3和摇杆的角速度om4—时间Times的关系曲线subplot(2,2,2) % 选择第2个子窗口plot(t,om34(:,2),t,om34(:,3))axis([0 0.026 -190 210])grid % 网格线title('角速度线图')ylabel('从动件角速度/rad/s')text(0.001,170,'摇杆4角速度')text(0.013,130,'连杆3角速度')% (3)-计算连杆的角加速度a3和摇杆的角加速度a4a2=0; % 曲柄角速度是等速,角加速度a2=dom2/dt=0% 曲柄输入角从0度变化到360度,步长为5度,计算a34for i=1:72c(2)=i*dth;C=[-rs(3)*sin(th34(i,2)*dr) rs(4)*sin(th34(i,3)*dr); rs(3)*cos(th34(i,2)*dr) -rs(4)*cos(th34(i,3)*dr)];D(1)=a2*rs(2)*sin(c(2))+om2^2*rs(2)*cos(c(2))+om34(i,2)^2*rs(3)*cos(th34(i,2)*dr)-om34(i,3)^2*rs( 4)*cos(th34(i,3)*dr);D(2)=-a2*rs(2)*cos(c(2))+om2^2*rs(2)*sin(c(2))+om34(i,2)^2*rs(3)*sin(th34(i,2)*dr)-om34(i,3) ^2*rs(4)*sin(th34(i,3)*dr);a=inv(C)*D'; % 输出角加速度矩阵a3=a(1);a4=a(2);a34(i,:)=[i a3 a4]; % 矩阵[序号连杆角加速度摇杆加角速度]t(i)=i*T/72;end% 绘制连杆的角加速度a3和摇杆的角加速度a4—时间Times的关系曲线subplot(2,2,3) % 选择第3个子窗口plot(t,a34(:,2),t,a34(:,3))axis([0 0.026 -6*1e4 8*1e4])grid % 网格线title('角加速度线图')xlabel('时间/s')ylabel('从动件加速度/rad/s^{2}')text(0.003,6.2*1e4,'摇杆4角加速度')text(0.010,3.3*1e4,'连杆3角加速度')%% 输出1:四杆机构运动周期(0:5:360),时间,角位移,角速度,角加速度数据disp ' 曲柄转角连杆转角-摇杆转角-连杆角速度-摇杆角速度-连杆加速度-摇杆加速度' ydcs=[th34(:,1),th34(:,2),th34(:,3),om34(:,2),om34(:,3),a34(:,2),a34(:,3)];disp (ydcs)% 输出参数的数量级必须一致%% (4)-运动误差分析% 闭环矢量方程:r2+r3-r4-r1=0% 误差矢量E=r2+r3-r4-r1的模是表示仿真有效程度的标量(ex和ey是误差分量)ex=rs(2)*cos(th34(:,1)*dth)+rs(3)*cos(th34(:,2)*dth)-rs(4)*cos(th34(:,3)*dth)-rs(1); ey=rs(2)*sin(th34(:,2)*dth)+rs(3)*sin(th34(:,2)*dth)-rs(4)*sin(th34(:,3)*dth);ee=norm([ex ey]); % 计算误差矢量矩阵的范数(模) %% 输出2:四杆机构运动周期(0:5:360),时间,X向误差分量,Y向误差分量disp ' 曲柄转角时间(秒) X向误差Y向误差'wc=[th34(:,1),t(:),ex(:,1),ey(:,1)];disp (wc)fprintf (1,' 误差矢量矩阵的模ee = %3.4f \n',ee)%% 绘制均方根相容性误差曲线subplot(2,2,4) % 选择第4个子窗口plot(t,ex(:,1),t,ey(:,1))axis([0 0.026 -800 600])grid % 网格线title('均方根误差曲线')xlabel('时间/s')ylabel('均方根误差')text(0.012,350,'X向误差分量')text(0.003,-600,'Y向误差分量')。
机构运动方案简图绘制指导书一、实验学时本实验2学时。
二、实验目的1.通过对一些实际机器的测绘,掌握机构运动简图的绘制方法;2.熟练掌握机构自由度的计算;3.验证机构具有确定运动的条件。
三.设备和工具1.机器若干台;2.量具;3.自备铅笔、橡皮、草稿纸。
四、实验原理机构的运动仅与机构中构件的数目,各构件组成的运动副的类型、数目以及各运动副的相对位置有关,而与构件的复杂外形和运动副的具体结构无关。
故在进行机构运动和动力分析以及机构设计时,需采用机构运动简图。
机构运动简图是用规定符号来表示构件和运动副,并按一定的比例表示出运动副间的相对位置的简单图形。
机构运动简图既能正确地反映一部复杂机器的真实运动特征,又能充分表示出机构的传动原理,而且可作为机构运动学和动力学分析图解法的基础。
因此正确地确定机构中各运动副的相对位置并绘制机构运动简图是机构分析与设计中的重要内容。
五.实验方法与步骤1.观察机构的运动,弄清楚构件数目和运动副的类型、运动副的数目首先,缓慢地驱动被测绘的机器,确定原动件。
从原动件开始,根据机构运动的传递路线,仔细观察相联接的两构件之间是否有相对运动,有相对运动的,则为两构件,否则为一个构件。
要特别注意那些相对运动很微小的构件,绝不可误认为是刚性联接,以便弄清楚组成机构的构件数目。
分析相联两构件之间的相对运动特性,确定各运动副的类型、运动副的数目。
2.合理选择机构运动简图的投影面一般选择与机构的多数构件的运动平面相平行的平面作为投影面,必要时也可以就机构的不同部分选择两个或两个以上的投影面,然后展开到同一平面上,或者把主运动简图上难于表示清楚的部分,另绘一局部简图。
总之,以简单清楚地把机构的运动情况正确地表示出来为原则。
3.画出机构运动简图的草图将原动件转到某一适当位置,以便在绘制机构运动简图时,能清楚地表示各构件之间和运动副之间的相对位置。
根据各构件在投影面上的投影状况,从原动件开始,循着运动传递路线,在草稿纸上,按规定的符号,目测各运动副的相对位置,使实物与机构简图大致成比例,徒手画出机构简图的草图。
曲柄摇杆机构机构运动简图的绘制
我们从图片中看到,通过脚的运动,驱使曲柄做整周旋转,曲柄的旋转的同时带动杆动并传递给摇杆,使摇杆在一定范围内摆动。
一、分析跑步器的组成:
(1)首先整个机构的下面有一底座,固定在地面上,即机架1;
(2)曲柄2做主动件,整周旋转;
(3)连杆3传递运动;
(4)摇杆4做从动件,在一定范围内往复摆动;
各构件之间以铰链连接,也就是说该机构中有4个转动副。
曲柄2作整周旋转,通过连杆3带动摇杆4在一定角度范围内作往复摆动。
二、曲柄摇杆机构运动简图绘制步骤如下:
(1)确定曲柄回转中心A 点位置,并以A 点为圆心,曲柄长度L1为半径作圆(该圆为曲柄的运动轨迹);
(2)确定机架的位置D 点,长度为L4(即AD 之间的距离);
(3)确定连杆的长度L2,连杆与曲柄以转动副连接于B 点;
(4)确定摇杆的长度L3,摇杆与机架以转动副连接于D 点,与连杆以转动副连接于C 点,并以D 为圆心,长度L3(即CD 的距离)为半径画圆。
注意:各铰链(转动副)回转中心所在的位置即为A 、B 、C 、D 各点的位置。
连杆3
曲柄
2 图 跑步器
图跑步器曲柄摇杆机构运动简图绘制步骤
三、曲柄摇杆机构运动分析:
曲柄AB作逆时针方向整周旋转,通过连杆BC带动摇杆CD在一定角度范围内作往复摆动,如图所示:当曲柄B点运动到B1点时,曲柄AB与连杆BC共线到达极限位置1,摇杆上C点到C1点位置;曲柄上B点继续旋转到B2点时到达极限位置2,摇杆上C点到C2点位置;依次循环运动。