2006至2017成人高考数学试题汇编
- 格式:doc
- 大小:2.11 MB
- 文档页数:25
第一节集合热门奇点:隼合的运算集合何的运算共有二种T 井、交、补.交集;冗索同时屈T 集合A 和集合B (两个集合共同的冗索h并集:冗索或者屈丁集合A 或者屈丁•集合B 〔所有在两个集合中出现元索的全体h全集与补集*全集是事先酌定好的集合元素的全林,补集足在全集中去掉摘定集合元素之外 的其他元責的全体#解题关键:①弄淸是点集还是区间:②看好是交集还是并集.考题类型;选择題 •、选择题1+ (2008.1)设集合人={24可,B-{L2>3},则AU ()2 {4}乩{l 523A5,6}C 、{2,4,6}6 {1,2,3}2. (2009,1)集合A 是不等式3x + l^ 0的解集'集^B = {x\x<\}f 则集^AnB=()二(2010.1 > 设集合M = {jr|x2T},JV = {jc|xG},则MnN=()A. RB,C. [-3,1]D.炉4 <201L5)己知集合 A = {\t 2, 3f 4}F5 = J X |-1 < X < 3} f 则 AC\B= <)A. {0, 1, 2}B. {1, 2} C> {!> 2t 3} D. {-1, O> 1, 2}笫二节简易逻辑热门考点:冲耍条件的判断充分条件:若A^B t 则A 是B 的充分条件:: 必要条件r 若A=>B t 则BikA 的必耍条件. 冲要条件:若AoB,则A 是B 的冲要条件,R 也杲A 的冲要条件: 解题关键’① 记清楚命题语句A 和血② 判断好谁能推出谁,箭头所指向的一方是“必要条件SA, {x|-1 < x < 1}C 、[x\-] <H V1}D 、见 <4考题类型’选择题一F选择题L (2007,8)若肌尸为实数,设甲:护+尸=°;乙;工二①y = 0,则( 〉A. 甲是乙的必要条件,但不是乙的充分条件:B. 甲是乙的充分条件’但不处乙的必耍条件:C. 甲不是乙的充分条件,也不是乙的必要条件:D. 甲是乙的充分必要条件.(甲二>乙:乙=>甲)2. (20084)设甲:x =—,乙:sinx =丄* 则( 〉6 2A. 甲是乙的曲耍条件,但不浪乙的充分条件:B. 甲是乙的充分条件,但不是乙的必蜜条件:C. 甲不是乙的充分条件*也不是乙的必要条件:D. 甲是乙的充分必耍条件.3* (20095)设甲:2" >2\ 乙:a>b r则( )A. 甲是乙的必耍条件,但不是乙的充分条件B. 甲是乙的充分条件*但不肚乙的吒耍条件C、甲不是乙的充分条件,也不是乙的必要条件D、甲浪乙的充分必要条件4. (2010.5)设甲:x= —r乙=sinx = 11 则( )2A.甲是乙的必要条件,但不是乙的荒分条件EL甲坠乙的充分条件'但不出乙的必耍条件C. 甲不是乙的充分条件,也不址乙的必翌条件D. 甲是乙的充分必耍条件第二章不等式和不等式组热门考点二絶对值不等式 解题关键:①去绝对值性质 1:设 a^b.c 为常数,则|心 + 方o ax + b> c^Siux^b<-c性质 2:设为常数,W|or + A|<c <=> -c<ax^-b<c ②在数轴上表示考题类瓏’选择填空 一、选择題L <2007,9)不導式|3JC -1|<1的解集是C )2D 、<x 0< JC I 3J2. (2008.10)不等式|ji-2|<3的解集是CA, x < -5y£x> l| B> |x|-5 <x < 1} C> x <-I H £X > 5j D^{x| -1 < x < 5}*埴空题<2009.21)不等武|2对】>1的解集为第三章指数与对数热门苇点:1.计算2.比絞大小 解题关键:①熟练学握指数-与对数的性质和运算法则(见下农} 指数性质运算法则1)零指数幕’=1(a*0)1)二严2)负指数算『a -" =—-(a^03meAT +)2)A. R对数定义如果 a =N(a>01La^\)f那么Z?叫做以£7対底川的对数. 记柞:〃 = k>g*N,这里口叫做底数*」V 叫做貞数. 对数性质1) I 的对数是事;log, 1 = 0 小底的对数是k 10£盘二13) lglO ff =n(n^N)运算法则I ) log u (MN) = log a M + lug Lj NM2> k>gj —)=iog.^-i0g.yTV 3) log rf M a— M 4) log fl = — log u Mn5) 换底公式I 。
成考历年数学试题及答案一、选择题1. 下列函数中,为偶函数的是:A. y = x^2B. y = |x|C. y = sin(x)D. y = cos(x)答案:D2. 已知集合A={1, 2, 3},B={2, 3, 4},求A∪B的值:A. {1, 2, 3}B. {1, 2, 3, 4}C. {2, 3}D. {1, 4}答案:B3. 直线y = 2x + 3与x轴的交点坐标是:A. (-1, 0)B. (0, 3)C. (3, 0)D. (1, 2)答案:A二、填空题4. 函数f(x) = x^3 - 6x^2 + 9x + 2的导数是________。
答案:f'(x) = 3x^2 - 12x + 95. 已知等差数列的首项a1=2,公差d=3,求第5项a5的值。
答案:a5 = 17三、解答题6. 解不等式:2x^2 - 5x + 2 > 0。
解:首先将不等式转化为等式求解:2x^2 - 5x + 2 = 0解得x1 = 1/2, x2 = 2由于是开口向上的二次函数,所以不等式成立的区间为:x < 1/2 或 x > 27. 已知三角形ABC的三个内角A,B,C的度数分别为30°,45°,90°,求边AC的长度,假设边AB=10。
解:由于角C为直角,根据勾股定理,有:AC = AB * cos(45°) = 10 * cos(45°) = 10√2 / 2 = 5√2四、证明题8. 证明:对于任意实数x,不等式e^x ≥ x + 1成立。
证明:设函数f(x) = e^x - (x + 1),求导得f'(x) = e^x - 1。
当x < 0时,f'(x) < 0,f(x)递减;当x > 0时,f'(x) > 0,f(x)递增。
因此,f(x)的最小值出现在x = 0处,此时f(0) = e^0 - 1 = 0,所以对于所有x,f(x) ≥ 0,即e^x ≥ x + 1。
历年成人高考数学试题及答案word一、选择题(每题3分,共30分)1. 函数f(x) = 2x^2 - 3x + 1的零点个数是()。
A. 0B. 1C. 2D. 32. 如果一个等差数列的首项为a1,公差为d,那么它的第n项an可以表示为()。
A. an = a1 + (n-1)dB. an = a1 + ndC. an = a1 + (n-1)(2d)D. an = a1 + (n-1)(-d)3. 已知集合A={1,2,3},B={2,3,4},则A∩B=()。
A. {1}B. {2,3}C. {3,4}D. {1,2,3,4}4. 若直线y=kx+b与x轴交于点(2,0),则b的值为()。
A. 2B. -2C. 0D. 45. 函数y=x^3-3x^2+2的导数是()。
A. y' = 3x^2-6xB. y' = x^2-3xC. y' = 3x^2-6x+2D. y' = x^3-3x^26. 已知抛物线方程为y=x^2-4x+3,其顶点坐标为()。
A. (2,-1)B. (2,1)C. (-2,1)D. (-2,-1)7. 函数y=sin(x)的周期是()。
A. πB. 2πC. π/2D. 4π8. 已知向量a=(3,-2),b=(1,2),则向量a·b的值为()。
A. 1B. -1C. 5D. -59. 函数y=e^x的反函数是()。
A. y=ln(x)B. y=e^(-x)C. y=ln(-x)D. y=e^(x-1)10. 已知双曲线方程为x^2/a^2 - y^2/b^2 = 1,其中a>0,b>0,则该双曲线的焦点位于()。
A. x轴上B. y轴上C. 原点D. 第一象限二、填空题(每题2分,共20分)11. 圆的方程为(x-3)^2 + (y+2)^2 = 9,该圆的半径是______。
12. 函数y=cos(x)在区间[0, π]上的最大值是______。
成考数学试卷题型分类一、集合与简易逻辑2001年(1) 设全集M={1,2,3,4,5},N={2,4,6},T={4,5,6},则(M T)N 是( )(A) }6,5,4,2{ (B) }6,5,4{ (C) }6,5,4,3,2,1{ (D) }6,4,2{(2) 命题甲:A=B ,命题乙:sinA=sinB . 则( )(A) 甲不是乙的充分条件也不是乙的必要条件; (B) 甲是乙的充分必要条件;(C) 甲是乙的必要条件但不是充分条件; (D) 甲是乙的充分条件但不是必要条件。
2002年(1) 设集合}2,1{=A ,集合}5,3,2{=B ,则B A 等于( )(A ){2} (B ){1,2,3,5} (C ){1,3} (D ){2,5}(2) 设甲:3>x ,乙:5>x ,则( )(A )甲是乙的充分条件但不是必要条件; (B )甲是乙的必要条件但不是充分条件; (C )甲是乙的充分必要条件; (D )甲不是乙的充分条件也不是乙的必要条件. 2003年(1)设集合{}22(,)1M x y x y =+≤,集合{}22(,)2N x y x y =+≤,则集合M 与N 的关系是(A )MN=M (B )M N=∅ (C )N M Ø (D )M N Ø(9)设甲:1k =,且 1b =;乙:直线y kx b =+与y x =平行。
则(A )甲是乙的必要条件但不是乙的充分条件; (B )甲是乙的充分条件但不是乙的必要条件; (C )甲不是乙的充分条件也不是乙的必要条件; (D )甲是乙的充分必要条件。
2004年(1)设集合{},,,M a b c d =,{},,N a b c =,则集合MN=(A ){},,a b c (B ){}d (C ){},,,a b c d (D )∅(2)设甲:四边形ABCD 是平行四边形 ;乙:四边形ABCD 是平行正方,则(A )甲是乙的充分条件但不是乙的必要条件; (B )甲是乙的必要条件但不是乙的充分条件; (C )甲是乙的充分必要条件; (D )甲不是乙的充分条件也不是乙的必要条件. 2005年(1)设集合{}P=1234,,,,5,{}Q=2,4,6,8,10,则集合PQ=(A ){}24, (B ){}12,3,4,5,6,8,10, (C ){}2 (D ){}4(7)设命题甲:1k =,命题乙:直线y kx =与直线1y x =+平行,则(A )甲是乙的必要条件但不是乙的充分条件; (B )甲是乙的充分条件但不是乙的必要条件; (C )甲不是乙的充分条件也不是乙的必要条件; (D )甲是乙的充分必要条件。
2017年成人高等学校高起点招生全国统一考试数学本试卷分第I卷(选择题)和第Ⅱ卷(非选择题)两部分。
满分150分。
考试时间150分钟。
第I卷(选择题,共85分)一、选择题(本大题共17小题,每小题5分,共85分.在每小题给出的四个选项中,只有一项是符合题目要求的)1.设集合M={1,2,3,4,5),N={2,4,6),则M∩N=()A.{2,4)B.(2,4,6)C.(1,3,5)D.{1,2,3,4.5,6)2.函数y=3sin的最小正周期是( )A.8πB.4πC.2πD.2π3.函数y=的定义城为( )A.{x|x0}B.{x|x1}C.{x|x1}D.{x|01}4.设a,b,c为实数,且a>b,则( )A.a-c>b-cB.|a|>|b|C.>D.ac>bc5.若<<,且sin=,则=( )A B. C. D.6.函数y=6sinxcosc的最大值为( )A.1B.2C.6D.37.右图是二次函数y=+bx+c的部分图像,则( )A.b>0,c>0B.b>0,c<0C.b<0,c>0D.b<0,c<08.已知点A(4,1),B(2,3),则线段AB的垂直平分线方程为A.x-y+1=0B.x+y-5=0C.x-y-1=0D.x-2y+1=09.函数y=是( )A.奇函数,且在(0,+)单调递增B.偶函数,且在(0,+)单调递减C.奇函数,且在(-,0)单调递减D.偶函数,且在(-,0)单调递增10.一个圆上有5个不同的点,以这5个点中任意3个为顶点的三角形共有( )A.60个B.15个C.5个D.10个11.若lg5=m,则lg2=( )A.5mB.1-mC.2mD.m+112.设f(x+1)=x(x+1),则f(2)= ( )A.1B.3C.2D.613.函数y=的图像与直线x+3=0的交点坐标为( )A.(-3,-)B.(-3,)C.(-3,)D.(-3,-)14.双曲线-的焦距为()A.1B.4C.2D.15.已知三角形的两个顶点是椭圆C:+=1的两个焦点,第三个顶点在C上,则该三角形的周长为( )A.10B.20C.16D.2616.在等比数列{}中,若=10,则,+=( )A.100B.40C.10D.2017.若1名女生和3名男生随机地站成一列,则从前面数第2名是女生的概率为( )A. B. C. D.第Ⅱ卷(非选择题,共65分)二、填空题(本大题共4小题,每小题4分,共16分)18.已知平面向量a=(1,2),b=(-2,3),2a+3b= .19.已知直线1和x-y+1=0关于直线x=-2对称,则1的斜率为= .20.若5条鱼的平均质量为0.8kg,其中3条的质量分别为0.75kg,0.83kg和0.78kg,则其余2条的平均质量为kg.21.若不等式|ax+1|<2的解集为{x|-<x<},则a= .三.解答题(本大题共4小题,共49分.解答应写出推理、演算步骤)22. (本小题满分12分)设{}为等差数列,且=8.(1)求{}的公差d;(2)若=2,求{前8项的和.23.(本小题满分12分)设直线y=x+1是曲线y=+3+4x+a的切线,求切点坐标和a的值。
☆★☆倾情收集☆★☆历年成人高考《数学》真题及答案汇总(高起点)2002年——2011年2002年全国成人高等学校(高起点)招生统一数学(理)试卷和参考答案2003年全国成人高等学校(高起点)招生统一数学(理)试卷及答案2004年全国成人高等学校(高起点)招生统一数学(理)试卷及答案2005年全国成人高考(高起点)数学(理)试卷和参考答案2006年全国成人高考高起点数学(理)真题及答案2007年全国成人高考高起点数学(理)真题及答案2008年(高起点)数学(理)成人高考考试试题及答案2009年成人高等学校招生全国统一考试数 学 (理工农医类)1.答案必须答在答题卡上指定的位置,答在试卷上无效。
2.在本试卷中, tan a 表示角a 的正切, cot a 表示角a 的余切.一、选择题:本大题共17小题,每小题5分,共85分.在每小题给出的四个选项中,只有一项是符合题目要求的; 将所选项前的字母填涂在答题卡相应题号的信息点上。
(1)集合A 是不等式310x +≥的解集,集合{}|x1B x =,则集合A ∩B= (A) {}|-11x x ≤ (B) 1|-13x x ⎧⎫≤⎨⎬⎩⎭(C) {}|-11x x ≤ (D) 1|-13x x ⎧⎫≤⎨⎬⎩⎭ (2)设Z=l+2i ,i 为虚数单位,则Z Z +=(A) -2i (B) 2i (C) -2 (D)2(3)函数1(1)1y x x =≠-+的反函数为 (A) 1()y x x R =+∈ (B) 1()x x R -∈(c) 11(0)y x x =+≠ (D) 11(0)y x x=-≠ (4)函数y=log 2(x 2-3x+2)的定义域为(A) {}|x2x (B) {}|x 3x (c) {}|x 1x 2x 或 (D) {}|x 1x - (5)如果04πθ,则(A) cos θ<sin θ (B) sin θ<tan θ(C) tan θ<cos θ (D) cos θ<tan θ(6)下列函数中,在其定义域上为减函数的是 (A )212x y ⎛⎫= ⎪⎝⎭(B )y=2x (C )12x y ⎛⎫= ⎪⎝⎭(D )y=x 2(7)设甲:22a b , 乙:a b ,则(A )甲是乙的必要条件,但不是乙的充分条件(B )甲是乙的充分条件,但不是乙的必要条件(C )甲不是乙的充分条件,也不是乙的必要条件(D )甲是乙的充分必要条件(8)直线x+2y+3=0经过(A )第一、二、三象限 (B )第二、三象限(C )第一、二、四象限 (D )第一、三、四象限(9)若θ为第一象限角,且sin θ-cos θ=0,则sin θ+cosθ=(A (B (C (D (10)正六边形中,由任意三个顶点连线构成的三角形的个数为(A ) 6 (B ) 20 (C ) 120 (D )720(11)向量a=(1,2),b=(-2,1),则a 与b 的夹角为(A )300 (B )450 (C )600 (D )900(12)l 为正方体的一条棱所在的直线,则该正方体各条棱所在的直线中,与l 异面的共有(A )2条 (B )3条 (C )4条 (D )5条(13)若(1+x )n 展开式中的第一、二项系数之和为6,则r=(A )5 (B ) 6 (C ) 7 (D )8(14)过点(1,2)且与直线2x+y-3=0平行的直线方程为(A )2x+y-5=0 (B )2y-x-3=0 (C )2x+y-4=0 (D )2x-y=0(15) x=1+rcos ,y=-1+rcos ,θθ⎧⎨⎩(0r ,θ为参数)与直线x-y=0相切,则r=(A (B (C )2 (D )4(16)若三棱锥的本个侧面都是边长为1的等边三角形,则该三棱锥的高为(A )2 (B )3 (C ) 3(D )12(17)某人打耙,每枪命中目标的概率都是0.9,则4枪中恰有2枪命中目标的概率为(A )0.0486 (B )0.81 (C )0.5 (D )0.0081二、填空题;本大题共4小题,每小题4分,共16分.把答案写在答题卡相应题号后。
历年成人高考《数学》真题及答案汇总(高起点)第一篇:历年成人高考《数学》真题及答案汇总(高起点)一、单项选择题(本大题共30小题。
每小题1分,共30分)在每小题列出的四个备选项中只有一个是符合题目要求的.请将其代码填写在题后的括号内。
错选、多选或未选均无分。
1.百度使用自动索引软件来发现、收集并标引网页,建立数据库,并以WEB形式让用户找到所需信息资源,属于()A.目录型搜索引擎B.检索型搜索引擎C.混合型搜索引擎D.专业型搜索引擎2.对具有经济和社会价值、允许加工利用的政务信息资源,鼓励社会力量进行增值开发利用,称为()A.政府信息公开B.政府信息共享C.政府信息资源再利用D.政府信息化3.市场信息对人们是有实用意义的,或者说具有非实物使用价值,这反映了市场信息的特征是()A.可传递性B.系统性C.价值性D.时效性4.从信息的内容特征出发来实现信息的有序化,并直接用词汇来对信息进行分类整理,这属于()A.分类法B.主题法C.标题法D.叙词法5.在关系模型中,通常用以组织数据的形式是()A.文件B.二维表C.链表D.矩阵6.市场中出现价格离散的主要原因是()A.信息的不对称性B.信息的不完全性C.产品质量差别D.信息刺激一次性7.问卷调查成功与否首先取决于()A.样本的选取B.调查表的设计C.调查项目的规划D.调查实施方式8.数据分析阶段最主要的工具是()A.数据流图B.组织结构图C.业务流程图D.数据字典9.说明未来发生事物的状态和状态变化特征的信息是()A.事实性信息B.预测性信息C.动态信息D.前馈信息10.信息系统规划制定三阶段模型为()A.确定信息需求、战略规划制定、资源分配B.战略规划制定、确定信息需求、资源分配C.确定信息需求、资源分配、战略规划制定D.资源分配、战略规划制定、信息需求10.不用任何辅助的检索工具,仅仅是用人工的方法,从大量的信息资源中找出符合需要的部分,此种信息检索手段是()A.手工信息检索B.联机信息检索C.光盘信息检索D.网络信息检索12.被形象地称为计算机的“总管家”的是()A.操作系统B.CPUC.应用软件D.语言处理程序13.市场经济中,市场参与者决策的主要依据为()A.产品特性的资料B.市场信息C.竞争者的情报D.行业内各项指标的平均水平14.下面会产生信息劣势的是()A.市场参与者双方掌握完全信息B.市场参与者双方处于无知状态C.某时点市场参与者所具有的私人信息落后于市场公共信息D.参与者双方的信息不完全15.管理信息必须为特定的组织目标服务,与组织目标无关的信息是毫无价值的.这体现了管理信息特征的()A.时间性B.目的性C.时效性D.不完全性[1][2][3]下一页16.需求分析阶段的成果是()A.系统说明书B.程序说明书C.程序清单D.系统设计说明书17.厂商向消费者提供的质量保证书属于()A.激励机制B.市场竞争C.市场信用D.市场信号18.理论上,微型机通常分为两大部分即()A.CPU和内存B.存储器和运算器C.输入和输出D.主机和外设19.在数据库检索过程中,若检索条件设置为“文件名=FILE1.TXT”,则该种检索方式为()A.精确检索B.模糊查询C.条件检索D.条件查询20.所谓“情况明才能决心大”讲的是()A.信息的决策作用B.信息的认识作用C.信息的控制作用D.信息的管理作用21-信息系统是一个组织中从事信息处理的子系统,它的作用是()A.间接的B.直接的C.暂时的D.局部的22.信息系统开发的核心是()A.企业领导者B.企业的业务人员C.系统分析员D.项目管理人员23.常在总线上传输的信号包括:数据、地址和()A.程序B.语言C.控制信号D.指令24.能进行“WHAT—IF”分析的系统属于()A.决策支持系统B.信息报告系统C.管理信息系统D.电子数据处理系统25.在企业中,最有可能成为系统开发项目启动者的是()A.业务管理人员B.系统使用者C.经理们D.开发人员及信息系统专家26.在企事业单位中,可选用的信息管理组织模式为()A.集中型结构模式B.分散型结构模式C.集中一分散型结构模式D.上述所有27.判断新的系统在当前技术条件下能否实现,或某种新技术能否获得取决于()A.时间可行性B.技术可行性C.经济可行性D.组织可行性28.建立“数据仓库”的目的主要是()A.联机分析与决策支持B.规范管理数据C.日常事务处理D.简化存储信息的步骤29.不利选择和道德风险这两个术语都起源于()A.金融业B.医疗业C.二手车市场D.保险业30.主要运用阅读、外借、复印、参考咨询等多种方式提供信息服务的信息服务方式是()A.报道服务B.信息检索服务C.文献提供服务D.咨询服务上一页[1][2][3]下一页二、多项选择题(本大题共5小题.每小题2分,共10分)在每小题列出的五个备选项中有二至五个选项是符合题目要求的。
成人高考数学试题第一部分:试题答案与解答提示1. 简单计算题请计算下列各式的结果:(1)3 + 5 × 2 8 ÷ 4 = ?(2)(9 3)² + 4 × 6 ÷ 2 = ?(3)√(16 × 25) = ?解答提示:对于简单计算题,我们需要掌握基本的算术运算规则,如加减乘除、乘方、开方等。
在解题过程中,要注意运算顺序,遵循先乘除后加减的原则。
2. 代数式计算题请计算下列各式的结果:(1)若 a = 3,b = 4,求 2a 3b 的值。
(2)若 x = 2,y = 3,求(x² y²) ÷ (x + y) 的值。
(3)若 a = 2,b = 1,求(a + b)² 2ab 的值。
解答提示:对于代数式计算题,我们需要熟练掌握代数式的运算规则,如合并同类项、分配律、平方差公式等。
在解题过程中,要注意代入给定的数值,并按照运算顺序进行计算。
3. 解方程题请解下列方程:(1)2x 5 = 7(2)3x + 4 = 11 2x(3)2x² 5x + 3 = 0解答提示:对于解方程题,我们需要掌握一元一次方程、一元二次方程的求解方法。
在解题过程中,要注意方程的化简、移项、合并同类项等步骤,以及使用求根公式求解一元二次方程。
4. 几何题请计算下列几何问题的答案:(1)若一个正方形的边长为 5 厘米,求其面积。
(2)若一个圆的半径为 4 厘米,求其周长。
(3)若一个三角形的底边长为 6 厘米,高为 8 厘米,求其面积。
解答提示:对于几何题,我们需要掌握基本的几何知识,如正方形、圆、三角形的面积和周长公式。
在解题过程中,要注意代入给定的数值,并按照公式进行计算。
5. 应用题请解决下列应用问题:(1)小华有 10 元钱,购买一支铅笔和一本笔记本后,还剩 2 元。
铅笔的价格是 3 元,笔记本的价格是多少?(2)一辆汽车以每小时 60 公里的速度行驶,从甲地到乙地需要2 小时。
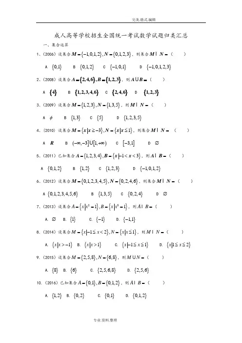
成人高等学校招生全国统一考试数学试题归类汇总一、集合运算1、(2006)设集合{}{}1,0,1,2,0,1,2,3M N =-=,则集合M N =( )A {}0,1B {}0,1,2C {}1,0,1-D {}1,0,1,2,3-2、(2008)设集合{}{}2,4,6,1,2,3A B ==,则A B =( )A {}4B {}1,2,3,4,6C {}2,4,6D {}1,2,33、(2009)设集合{}{}1,2,3,1,3,5M N ==,则M N =( )A φB {}1,3C {}5D {}1,2,3,54、(2010) 设集合{}{}3,1M x x N x x =≥-=≤,则集合MN = ( ) A R B (][),31,-∞-+∞ C []3,1- D ∅5、(2011)已知集合{}{}1,2,3,4,13==-<<A B x x ,则=A B ( )A {}0,1,2B {}1,2C {}1,2,3D {}1,0,1,2-6、(2012)设集合{}{}0,1,2,3,4,5,0,2,4,6==M N ,则集合M N =( )A {}0,1,2,3,4,5,6B {}1,3,5C {}0,2,4D ∅7、(2013)设集合{}{}231,1A x x B x x ====,则AB =( ) A. ∅ B. {}1 C. {}1- D. {}1,1-8.(2014)设集合{}{}12,1M x x N x x =-≤<=≤,则M N =( ) A. {}1x x >- B. {}1x x > C. {}11x x -≤≤ D. {}12x x ≤≤9.(2015)设集合{}{}2,5,8,6,8M N ==,则M N =( )A. {}8B. {}6C. {}2,5,6,8D. {}2,5,610.(2016)已知集合{}{}0,1,0,1,2A B ==,则A B =( )A. {}1,2B. {}0,2C. {}0,1D. {}0,1,2二、充分必要条件1、(2006)设甲:1x = 乙:20x x -=,则( )A 甲是乙的充分条件,但不是乙的必要条件B 甲是乙的必要条件,但不是乙的充分条件C 甲不是乙的充分条件,也不是乙的必要条件D 甲是乙的充分必要条件2、(2007)若,x y 为实数,设甲:220x y += 乙:0x =且0y =,则( )A 甲是乙的充分条件,但不是乙的必要条件B 甲是乙的必要条件,但不是乙的充分条件C 甲不是乙的充分条件,也不是乙的必要条件D 甲是乙的充分必要条件3、(2008)设甲:6x π= 乙:1sin 2x =,则( )A 甲是乙的充分条件,但不是乙的必要条件B 甲是乙的必要条件,但不是乙的充分条件C 甲不是乙的充分条件,也不是乙的必要条件D 甲是乙的充分必要条件4、(2010) 设甲:2x π= 乙:sin 1x =,则( )A 甲是乙的充分条件,但不是乙的必要条件B 甲是乙的必要条件,但不是乙的充分条件C 甲不是乙的充分条件,也不是乙的必要条件D 甲是乙的充分必要条件5、(2012)设甲:1=x 乙:2320-+=x x ,则() A 甲是乙的充分条件,但不是乙的必要条件B 甲是乙的必要条件,但不是乙的充分条件C 甲不是乙的充分条件,也不是乙的必要条件D 甲是乙的充分必要条件6、(2013)设甲:1x = 乙:21x = 则( )A 甲是乙的充分条件,但不是乙的必要条件B 甲是乙的必要条件,但不是乙的充分条件C 甲不是乙的充分条件,也不是乙的必要条件D 甲是乙的充分必要条件7. (2014)若,,a b c 为实数,且0a ≠甲:240b ac -≥ 乙:20ax bx c ++= 有实数根 则( )A 甲是乙的必要条件,但不是乙的充分条件B 甲是乙的充分条件,但不是乙的必要条件C 甲既不是乙的充分条件,但不是乙的必要条件D 甲是乙的充分必要条件8.(2015)设甲:函数y kx b =+的图像过点()1,1,乙:1k b +=则( )A 甲是乙的必要条件,但不是乙的充分条件B 甲是乙的充分条件,但不是乙的必要条件C 甲既不是乙的充分条件,但不是乙的必要条件D.甲是乙的充分必要条件9、(2016)若甲:1x >,乙:1x e > 则( )A 甲是乙的必要条件,但不是乙的充分条件B 甲是乙的充分条件,但不是乙的必要条件C 甲既不是乙的充分条件,但不是乙的必要条件D 甲是乙的充分必要条件三、绝对值不等式1、(2006)不等式31x +≤的解集为( ) A {}42x x -≤≤- B {}2x x ≤- C {}24x x ≤≤ D {}4x x ≤2、(2007)不等式311x -<的解集为( ) A R B 203x x x ⎧⎫>>⎨⎬⎩⎭或 C 23x x ⎧⎫>⎨⎬⎩⎭ D 203x x ⎧⎫<<⎨⎬⎩⎭ 3、(2008)不等式23x -≤的解集是( ) A {}51x x x ≤-≥或 B {}51x x -≤≤ C {}15x x x ≤-≥或 D {}15x x -≤≤4、(2011)不等式23-<x 的解集中包含的整数共有( )A 8个B 7个C 6个D 5个5、(2013)不等式||1x <的解集为( ) A. {}1x x > B. {}1x x < C. {}11x x -<< D. {}1x x <-6、(2014)不等式32x ->的解集是( ) A. {}1x x < B. {}5x x > C. {}51x x x ><或 D. {}15x x << 7.(2015)不等式11x -<的解集为 ;8.(2016)不等式231x -≤的解集是( )A. {}12x x ≤≤B. {}12x x x ≤-≥或C. {}13x x ≤≤D. {}23x x ≤≤四、一元二次不等式1、(2009)不等式210x ->的解集为( ) A {}1x x > B {}1x x <- C {}11x x x ><-或 D {}11x x -<<五、不等式的性质1、(2006)设,a b R ∈,且a b >,则下列各不等式中,一定成立的一个是( ) A 22a b > B ac bc > C 11a b > D 0a b ->2、(2009),a b 为实数,则22a b >的充分必要条件为( ) A a b > B a b > C a b < D a b >-3、(2014)设两个正数,a b 满足20a b +=,则ab 的最大值为( )A. 400B.200C.100D.50六、指数对数运算1、(2006)122log 816-= ;2、(2007)0441log 8log 24⎛⎫+-= ⎪⎝⎭( )A 3B 2C 1D 03、(2008)021log 43⎛⎫-= ⎪⎝⎭( )A 9B 3C 2D 14、(2010) 23227log 8-= ( )A 12B 6C 3D 15、(2011)41log 2=( ) A 2 B 12 C 12- D 2-6、(2011)若15⎛⎫= ⎪⎝⎭ma ,则2-=ma ( ) A 125 B 25 C 10 D 257、(2012)已知0,1>≠a a ,且0log +=a a a ( )A aB 2C 1D 08、(2014)计算513344833log 10log 5⨯--= ; 9.(2015)55log 10log 2-=( )A. 0B. 1C. 5D. 810. (2016)231964log 81+=( )A. 8B. 14C. 12D. 10七、函数的定义域1、(2006)函数23()log (3)f x x x =-的定义域为( )A (,0)(3,)-∞⋃+∞B (,3)(0,)-∞-⋃+∞C (0,3)D (3,0)-2、(2007)函数lg(1)y x =-的定义域为( )A RB {}0x x >C {}2x x >D {}1x x >3、(2008)函数lg y x = )A ()0,+∞B ()3,+∞C (]0,3D (],3-∞4、(2010) 函数y =) A (][),44,-∞+∞ B (][),22,-∞+∞ C []4,4- D []2,2-5、(2011)函数=y A (],0-∞ B []0,2 C []2,2- D (][),22,-∞+∞ 6、(2012)函数()2lg 1=-y x 的定义域是 A (][),11,-∞-+∞ B ()1,1- C ()(),11,-∞-+∞ D []1,1-7、(2014)函数15y x =-的定义域为( ) A. (),5-∞ B. (),-∞+∞ C. ()5,+∞ D. ()(),55,-∞+∞8.(2015)函数y = )A. [)3,+∞B. [)0,+∞C. [)9,+∞D. R9、(2016)函数()21ln 11y x x =-+-的定义域是( ) A. {}11x x x <->或 B. {}11x x x <>或 C. {}11x x -<< D. R八、函数奇偶性1、(2006)下列函数中为偶函数的是( )A 2x y =B 2y x =C 2log y x =D 2cos y x =2、(2007)下列函数中既不是奇函数也不是偶函数的是( ) A 21()1f x x =+ B 2()f x x x =+ C ()cos 3x f x = D 2()f x x= 3、(2008)下列函数中,为奇函数的是( ) A 3log y x = B 3x y = C 23y x = D 3sin y x =4、(2010) 下列函数中,为奇函数的是( )A 3y x =-B 32y x =-C 12xy ⎛⎫= ⎪⎝⎭ D 21log y x ⎛⎫= ⎪⎝⎭ 5、(2010) 设函数2()(3)3f x x m x =+-+是偶函数,则m =( )A 3-B 1C 3D 56、(2011)下列函数中,既是偶函数,又在区间()0,3为减函数的是 A cos =y x B 2log =y x C 24=-y x D 13⎛⎫= ⎪⎝⎭xy 7、(2011)已知函数()=y f x 是奇函数,且()53-=f ,则()5=f ( )A 5B 3C 3-D 5-8、(2012)下列函数中,为偶函数的是( )A 231=-y xB 33=-y xC 3=x yD 3log =y x9、(2012)设函数43()(3)4=+++f x x m x 是偶函数,则m =( )A 4B 3C 3-D 4-10.(2013)下列函数中为减函数的是( )A. 3y x =B. sin y x =C. 3y x =-D. cos y x =11.(2013)若函数2()f x x ax =+为偶函数,则a =12、(2014)下列函数为奇函数的是( )A. 2log y x =B. sin y x =C. 2y x = D. 3x y =13.(2015)设()f x 为偶函数,若(2)3f -=,则(2)f =( )A .3- B. 0 C. 3 D. 614.(2015)下列函数在定义域内为增函数的是( )A. 1y x =-B. 21y x =+C. 12x y -=+D. 12x y =+15.(2016)下列函数为偶函数的是( )A. 2log y x =B. 2y x =C. 4y x = D. 2y x x =+九、待定系数法1、(2006)设一次函数的图像过点()1,1和()2,0-,则该一次函数的解析式为( )A 1233y x =+ B 1233y x =- C 21y x =- D 2y x =+2、(2010) 设函数2()2f x ax ax =-,且()26f =-,则a =( )A 1-B 34- C 1 D 43、(2010) 如果一次函数y kx b =+的图像过点()1,7A 和()0,2B ,则k =( )A 5-B 1C 2D 54、(2012)如果一次函数=+y x b 的图像过点()1,7,则=b ( )A 5-B 1C 4D 65、(2012)若二次函数()=y f x 的图像经过点()()0,0,1,1-和()2,0-,则()=f x ;6、(2014)已知一次函数2y x b =+的图像经过点()2,1-,则该图像经过点( )A. ()1,3-B. ()1,1-C. ()1,7D. ()1,57.(2015)设函数ky x =的图像经过点()2,2-,则k =( )A. 4B. 1C. 1-D. 4-十、一元二次函数1、(2006)已知二次函数的图像交x 轴于()1,0-和()5,0两点,则该图像的对称轴方程为() A 1x = B 2x = C 3x = D 4x =2、(2007)二次函数245y x x =-+的图像的对称轴方程是( )A 2x =B 1x =C 0x =D 1x =-3、(2008)二次函数222y x x =++的图像的对称轴方程为( )A 1x =-B 0x =C 1x =D 2x =4、(2009)二次函数2()23f x x ax =++图像的对称轴为1x =,则a = ;5、(2010) 如果二次函数的图像经过原点和点()4,0-,则该二次函数的对称轴方程为 ;6、(2007)如果二次函数2y x px q =++的图像经过原点和点()4,0-则该二次函数的最小值为( )A 8-B 4-C 0D 127、(2011)二次函数241=++y x x ( )A 有最小值 3-B 有最大值 3-C 有最小值 6-D 有最大值 6-8、(2006)函数223y x x =-+的单调区间是( )A [)0,+∞B [)1,+∞C (],2-∞D (],3-∞9、(2014)二次函数22y x x =+-的图像与x 轴的交点坐标为( )A. ()2,0- 和()1,0B. ()2,0- 和()1,0-C. ()2,0 和()1,0D. ()2,0 和()1,0- 10.(2015)设二次函数2y ax bx c =++的图像过点()1,2-和()3,2,则其对称轴方程为( )A .3x = B. 2x = C. 1x = D. 1x =-11.(2016)若二次函数()22f x ax x =+最小值为13-,则a = ; 十一、指数函数对数函数的单调性1、(2007)设1a b >>,则( )A log 2log 2a b >B 22log log a b >C 0.50.5log log a b >D log 0.5log 0.5b a >2、(2008)若1a >,则( ) A 12log 0a < B 2log 0a < C 10a-< D 210a -<3、(2009) 设1a b >>,则( )A 0.30.3a b >B 33a b< C 33log log a b < D 33log log a b >4、(2010)设01a b <<<,则( )A log 2log 2a b <B 22log log a b >C 1122a b >D 1122a b⎛⎫⎛⎫> ⎪ ⎪⎝⎭⎝⎭5、(2012)使23log log 27>a 成立的a 的取值范围是( )A ()0,+∞B ()3,+∞C ()9,+∞D ()8,+∞6.(2013)设1a >,则( ) A. log 20a < B. log 20a > C. 21a < D. 211a ⎛⎫> ⎪⎝⎭7.(2014)若0lg lg 2a b <<<,则A. 01a b <<<B. 01b a <<<C. 1100b a <<<D. 1100a b <<< 8.(2015)下列不等式成立的是( )A .531122⎛⎫⎛⎫> ⎪ ⎪⎝⎭⎝⎭ B. 112253--> C. 1122log 5log 3> D. 22log 5log 3> 9、(2006)对于函数3x y =,当0x ≤时,y 的取值范围是( )A 1y ≤B 01y <≤C 3y ≤D 03y <≤10、(2007)函数2x y =的图像过点( ) A 13,8⎛⎫- ⎪⎝⎭ B 13,6⎛⎫- ⎪⎝⎭ C ()3,8-- D ()3,6--11.(2016)函数22xy =-的图像与坐标轴的交点共有 个十二、函数其它1、(2012)设函数()()12=+x f x x ,且()2=f ( ) A 12 B 6 C 4 D 22、(2007)设21()24xf x x =-,则()f x = 3、(2008)下列函数中,函数值恒大于0的是( ) A 2y x = B 2x y = C 2log y x = D cos y x =4、(2009)点(3,2),(3,2)P Q -,则P 与Q ( )A 关于x 轴对称B 关于y 轴对称C 关于直线 y x =对称D 关于直线 y x =-对称5、(2009)下列函数中,在其定义域上为增函数的是( ) A y x = B 2y x = C 3y x = D 4y x =6、(2009) 函数1y x=-的图像在( ) A 第一、二象限 B 第一、三象限 C 第三、四象限 D 第二、四象限7.(2013)函数1y x =+与1y x =图像交点个数为( )A. 0B. 1C. 2D. 38.(2013)直线320x y +-=经过( )A.第一、二、四象限B. 第一、二、三象限C.第二、三、四象限D. 第一、三、四象限9、(2014)设函数()1,x f x x +=则()1f x -=( ) A. 1xx + B. 1xx - C. 11x + D. 11x -10、(2016)点()2,4关于直线y x =的的对称点的坐标为( )A. ()4,2B. ()2,4--C. ()2,4-D. ()4,2--11.(2016)下列函数中,函数值恒为负值是( )A. y x =B. 21y x =--C. 3y x =D. 21y x =-+十三、等差数列1、(2006)在等差数列{}n a 中,若351,7a a ==-则7a =( )A 11-B 13-C 15-D 17-2、(2010)已知一个等差数列的第5项等于10,前3项的和等于3,那么这个等差数列的公差为( )A 3B 1C 1-D 3-3、(2011)在首项是20,公差为3- 的等差数列中,绝对值最小的一项是( )A 第5项B 第6项C 第7项D 第8项4、(2012)已知一个等差数列的首项为1,公差为3,那么该数列的前5项和为() A 35 B 30 C 20 D 105、(2013)等差数列{}n a 中,若132,6,a a ==则2a =( )A 3B 4C 8D 126、(2016))等差数列{}n a 中,若132,6a a ==则7a =( )A. 10B. 12C.14D. 8十四、等比数列1、(2007)设等比数列{}n a 的各项都为正数,若351,9a a ==则公比q =( ) A 3 B 2 C 2- D 3-2、(2008)在等比数列{}n a 中,246,24a a ==,则6a =( ) A 8 B 24 C 96 D 3843、(2009)公比为2的等比数列{}n a 中,1237a a a ++=,则1a =( ) A 73-B 1C 73D 7 4、(2011)已知25与实数m 的等比中项是1,则=m A125B 15 C 5 D 255、(2014)等比数列{}n a 中,若28a =,公比为14,则5a = 6.(2015)若等比数列{}n a 的公比为3,49a =,则1a =( ) A.19 B. 13C. 3D. 27 十五、求函数的周期1、(2006)函数sin 2y x =的最小正周期是 ;2、(2007)函数1sin 3y x =的最小正周期为( ) A3πB 2πC 6πD 8π 3、(2008)函数cos3xy =的最小正周期是( ) A 6π B 3π C 2π D3π4、(2010) 函数sin 2y x =的最小正周期为( ) A 6π B 2π C π D 2π5、(2011)函数12sin 26π⎛⎫=+⎪⎝⎭y x 的最小正周期是 ;6、(2012)函数2sin 2cos 2=y x x 的最小正周期是( )A 6πB 2π C2π D 4π 7、(2013)函数()1cos f x x =+的最小正周期是( )A.2π B. π C. 32πD. 2π8、(2014)函数2sin 6y x =的最小正周期是( )A.3π B. 2πC. 2πD. 3π 9、(2016))函数2sin cos y x x =的最小正周期是( )A.2πB. πC. 2πD. 4π 十六、三角函数其它 1、(2011)设角α是第二象限角,则( )A cos 0α<且tan 0α>B cos 0α<且tan 0α<C cos 0α>且tan 0α<D cos 0α>且tan 0α> 2、(2012)已知角α的顶点在坐标原点,始边为x 轴非负半轴,终边过点(,则sin α=( )A2 B 12 C 12- D 2-3、(2010) 19cos 6π⎛⎫-= ⎪⎝⎭( )A 12- C 124、(2012)7cos 6π= ( )12 C 12- D 5、(2007)设1sin ,2αα=为第二象限角,则cos α=( )A 126、(2006)在∆ABC 中,30C ∠=︒,则cos cos sin sin AB A B -的值等于( )A12 B 2 C 12- D 2-7、(2007)sin(45)cos cos(45)sin αααα︒-+︒-的值为 ;8、(2008)在ABC ∆中,且1sin ,150,43A C BC ==︒=,则AB = ; 9、(2009)∆ABC 中,3,60,2AB B BC ==︒=,则AC =( )10、(2009)函数sin cos y x x =+的最大值为( )A 1B 2 C1211.(2013)函数()2sin(3)1f x x π=++的最大值为( )A. 1-B. 1C. 2D. 3 12、(2009)如果04πθ<<,则( )A cos sin θθ<B cos tan θθ<C tan cos θθ<D sin tan θθ<13.(2013)若02πθ<<,则( )A. sin cos θθ>B. 2cos cos θθ<C. 2sin sinθθ< D. 2sin sin θθ>14、(2010) sin15cos15︒︒= ( )A14 B 12215、(2014)在等腰ABC ∆中,A 是顶角,且1cos 2A =,则cos B =( )12 C. 12- D. 16.(2015)设tan 2θ=,则()tan θπ+=( )A .2 B.12 C. 12- D. 2-17.(2015)若1,sin 24πθπθ<<=,则cos θ=( )A. 18.(2016)在ABC ∆中,若3,45,30AB A C ==︒=︒,则BC =( )2十七、向量的内积1、(2012)若向量()()1,,2,4==-a m b ,且10⋅=-a b ,则=m ( )A 4-B 2-C 1D 42. (2014) 已知平面向量()()1,1,1,1a b ==-,则两向量的夹角为( )A.6π B. 4π C. 3π D. 2π十八、向量垂直1、(2006)已知平面向量()()3,,4,3a x b ==-且a b ⊥则x 的值等于( ) A 1 B 2 C 3 D 42、(2009)向量,a b 互相垂直,且1a =,则()a ab ⋅+= ; 3、(2011)已知向量()()2,4,,1==-a b m ,且⊥a b ,则=m ( )A 2B 1C 1-D 2-4.(2015)已知平面向量()2,1a =-与(),2b λ=垂直,则λ=( ) A. 4- B. 1- C. 1 D. 4十九、向量的平行1、(2008)若向量()(),2,2,3a x b ==-,且a ∥b ,则x = ;2、(2010)若向量()(),2,2,4a x b ==-,且,a b 共线,则x =( )A 4-B 1-C 1D 43、(2007)已知平面向量()()2,4,1,2AB AC =-=-则BC =( ) A ()3,6- B ()1,2- C ()3,6- D ()2,8-- 4.(2013)若向量(1,2)a =与(3,)b x =平行,则x =5、(2016)若平面向量()(),1,1,2a x b ==-,且a b ∥,则x = ; 二十、直线的倾斜角1、(2006)直线2y =+的倾斜角的度数为 ;2、(2008)设α为直线2y x =-+的倾斜角,则α= ; 二十一、与某条直线垂直与平行的直线1、(2008)过点()1,1且与直线210x y +-=垂直的直线方程为( )A 210x y --=B 230x y --=C 230x y +-=D 210x y -+= 2、(2009)过点()1,2且与直线230x y +-=平行的直线方程为( ) A 250x y +-= B 230x y --= C 240x y +-= D 20x y -= 3、(2010) 已知点()()5,3,3,1A B -,则线段AB 中点的坐标为( ) A ()4,1- B ()4,1- C ()2,4- D ()1,2-4、(2012)已知点()()4,2,0,0A B ,则线段AB 的垂直平分线的斜率为( )A 2B 12-C 12D 2 5.(2013)过点()2,1且与直线0y =垂直的直线方程为( )A. 2x =B. 1x =C. 2y =D. 1y = 6.(2013)抛物线24y x =-的准线方程为( )A. 1x =-B. 1x =C. 1y =D. 1y =- 7、(2014)抛物线23y x =的准线方程为( )A. 32x =-B. 34x =-C. 12x =D. 34x = 8、(2014)已知圆2248110x y x y ++-+=,经过点()1,0P 作该圆的切线,切点为Q ,则线段PQ 的长为( )A. 4B. 8C.10D. 169、(2015)已知点()()()1,1,2,1,2,3A B C -,则过点A 及线段BC 中点的直线方程为( )A .20x y +-= B. 20x y ++= C. 0x y -= D. 20x y -+=10、(2015)以点()0,130y --=相切的圆的方程为( )A .()2212x y +-= B. ()2214x y +-= C. ()22116x y +-= D. ()2211x y -+=11.(2015)抛物线22y px =的准线过双曲线2213x y -=的左焦点,则p = ;12.(2016)过点()0,1且与10x y ++=垂直的直线方程为( )A. 1y x =+B. 21y x =+C. y x =D. 1y x =-13、(2016)设双曲线221169x y -=的渐近线的斜率为k ,则k =( ) A.916 B. 169 C. 43 D. 34二十二、 排列组合、概率统计1、(2010) 某中学五个学生的跳高成绩(单位:米)分别为:1.68 1.53 1.50 1.72 a他们的平均成绩为1.61米,则a = ; 2、(2011)一个小组共有4名男同学和3名女同学,4名男同学的平均身高为1.72m ,3名女同学的平均身高为1.61m ,则全组同学的平均身高约为(精确到0.01m )( ) A 1.65m B 1.66m C 1.67m D 1.68m 3、(2012)某块小麦试验田近5年产量(单位:kg )分别为63,1+a ,50,a ,70 已知5年的平均产量为58kg ,则a = ; 4、(2006)有一批相同型号的制作轴承用的滚珠,从中任意取出8个滚珠,分别测出其外径,结果(单位:mm )如下:13.7 12.9 14.5 13.8 13.3 12.7 13.5 13.6 则该样本的方差为 ; 5、(2007)经验表明,某种药物的固定剂量会使心率增加,现有8个病人服用同一剂量的这种药,心率增加的次数分别为 13 15 14 10 8 12 13 11 则该样本的样本方差为 ; 6、(2008)用一仪器对一物体的长度重复测量5次,得结果(单位:cm )如下: 1004,1001,998,999,1003则该样本的样本方差为 2cm7、(2009)从某种植物中随机抽出6株,其花期(单位:天)分别为19,23,18,16,25,21, 则其样本方差为 ;(精确到0.1)8、从某篮球运动员全年参加的比赛中任选五场,他在这五场比赛中的得分分别为21,19,15,25,20,则这个样本的方差为;9、(2006)4个人排成一行,其中甲、乙二人总排在一起,则不同的排法共有( )A 3种B 6种C 12种D 24种10、(2007)在一次共有20人参加的老同学聚会上,如果每两人握手一次,那么这次聚会共握手( )A 400 次B 380次C 240次D 190次11、(2008)某学生从6门课程中选修3门,其中甲课程一定要选修,则不同的选课方案共有()A 4种B 8种C 10种D 20种12、(2009)正六边形中,由任意三个顶点连线构成的三角形的个数为( )A 6B 20C 120D 72013、(2010) 用0,1,2,3这四个数字,组成没有重复数字的四位数共有()A 24个B 18个C 12个D 10个14、(2012)从5同学中任意选出3位参加公益活动,不同的选法共有()A 5种B 10种C 15种D 20种15、(2006)两个盒子内各有3个同样的小球,每个盒子中的小球上分别标有1,2,3三个数字,从两个盒子中分别任意取出一个球,则取出的两个球上所标数字的和为3的概率是( )A 19B29C13D2316、(2007)已知甲打中靶心的概率为0.8,乙打中靶心的概率为0.9,两人各独立打靶一次,则两人都打不中靶心的概率为( )A 0.01B 0.02C 0.28D 0.7217、(2009)某人打靶,没枪命中目标的概率为0.9,则4枪中恰有2枪命中目标的概率为( )A 0.0486B 0.81C 0.5D 0.008118、(2010)从甲口袋内摸出一个球是红球的概率是0.2,从乙口袋内摸出一个球是红球的概率是0.3现从甲、乙两个口袋里各摸出一个球,这两个球都是红球的概率是()A 0.94B 0.56C 0.38D 0.0619、(2011)一个篮球运动员投篮两次,两投全中的概率为0.375,两投一中的概率为0.5,则他两投全不中的概率为()A 0.6875B 0.625C 0.5D 0.12520、(2012)将3枚均匀的硬币各抛掷一次,恰有2枚证明朝上的概率为()A 14B13C38D3421、(2008)5个人排成一行,则甲排在正中间的概率是( )A 12B25C15D11022.(2013)一箱子中装有5个相同的球,分别标以号码1,2,3,4,5。
成考数学试卷题型分类一、集合与简易逻辑2001年(1) 设全集M={1,2,3,4,5},N={2,4,6},T={4,5,6},则(M T)N 是( )(A) }6,5,4,2{ (B) }6,5,4{ (C) }6,5,4,3,2,1{ (D ) }6,4,2{(2) 命题甲:A=B ,命题乙:sinA=sinB . 则( )(A) 甲不是乙的充分条件也不是乙的必要条件; (B) 甲是乙的充分必要条件;(C ) 甲是乙的必要条件但不是充分条件; (D) 甲是乙的充分条件但不是必要条件。
2002年(1) 设集合}2,1{=A ,集合}5,3,2{=B ,则B A 等于( )(A ){2} (B){1,2,3,5} (C ){1,3} (D){2,5}(2) 设甲:3>x ,乙:5>x ,则( )(A )甲是乙的充分条件但不是必要条件; (B )甲是乙的必要条件但不是充分条件; (C )甲是乙的充分必要条件; (D )甲不是乙的充分条件也不是乙的必要条件。
2003年(1)设集合{}22(,)1M x y x y =+≤,集合{}22(,)2N x y x y =+≤,则集合M 与N 的关系是(A )MN=M (B )M N=∅ (C)N M (D )M N(9)设甲:1k =,且 1b =;乙:直线y kx b =+与y x =平行。
则(A )甲是乙的必要条件但不是乙的充分条件; (B )甲是乙的充分条件但不是乙的必要条件; (C )甲不是乙的充分条件也不是乙的必要条件; (D )甲是乙的充分必要条件. 2004年(1)设集合{},,,M a b c d =,{},,N a b c =,则集合MN=(A){},,a b c (B){}d (C ){},,,a b c d (D )∅(2)设甲:四边形ABCD 是平行四边形 ;乙:四边形ABCD 是平行正方,则(A )甲是乙的充分条件但不是乙的必要条件; (B )甲是乙的必要条件但不是乙的充分条件; (C )甲是乙的充分必要条件; (D)甲不是乙的充分条件也不是乙的必要条件。
2006年成人高等学校招生全国统一考试数学试题答案一、选择题:详解:(1)(B )∵},2,1,0,1{-=M }3,2,1,0{=N ∴}2,1,0{=N M ; (2)(A )13≤+x 131≤+≤-x24-≤≤-x∴原不等式的解集为}24{-≤≤-x x ;(3)(D )∵),3,4(),,3(-==b x a 且b a ⊥,∴0=⋅b a即:0)3(43=-+⨯x4=x ; (4)(B )二次函数322+-=x x y ,01>=a 开口向上,以对称轴1122=⨯--=x 为界,左减右增,∴),1[+∞是函数322+-=x x y 的一个单调区间; (5)(A )利用推断口诀“如果…那么…一定成立吗?”有以下说法:①如果1=x ,那么02=-x x 一定成立即 甲 乙(充分)②如果02=-x x ,那么1=x 不一定成立(若02=-x x ,则x 可能为1,也可能为0)即 乙 甲(不必要)∴甲是乙的充分条件但不是乙的必要条件; (6)(C )∵在等差数列}{n a 中,7,153-==a a , ∴2735a a a +=即:2177a +=-∴157-=a ;(7)(D ) 识记基本函数的奇偶性,即可判断; (A)xy 2=是非奇非偶函数;(B)x y 2=是奇函数;(C)x y 2log =是非奇非偶函数; (D)x ycos 2=是偶函数;(8)(A )设一次函数的解析式为:b kx y +=, 由题意知:1=+b k 31=k 02=+-b k 32=b∴3231+=x y ;(9)(D ) 利用不等式的性质,结合赋值法排除,可选(D ); (10)(B )由题意知二次函数满足:)5()1(f f =-∴该二次函数图像的对称轴方程为2251=+-=x ; (11)(C ) 本题为带有限制性条件的排列问题,需要用到视二为一的技巧;由于4个人排成一行,甲、乙二人必须相邻,所以将其理解为是3个人的全排列,然后考虑甲乙两人位置的互换,所以不同的排法共有122233=⋅A A 种; (12)(D ) 在ABC ∆中,C B A -=+180;B A B A sin sin cos cos -)cos(B A +=)180cos(C -=)30180cos(-=30cos -=23-=(13)(B ) 结合xy 3=的图像,看图分析;(水平方向看x 的变化;竖直方向看y 的变化) (14)(C )由题意知:032>-x x解得:30<<x ∴原函数的定义域是)3,0(; (15)(A ) 由椭圆的标准方程1121622=+yx知:162=a 4=a122=b∴41216222=-=-=b a c 2=c ∴2142===a c e ;(16)(B )①首先利用组合问题求从两个盒子中分别任意取出一个球的等可能出现的结果 91313=⋅=C C n ;②然后分析事件(两个球上所标数字的和为3)包含的结果2=m ;(1+2;2+1)③利用公式92)(=A P ;(17)(C ) 由题意知:)1,1(P 又3x y =∴233)(x x y ='='由导数的几何意义知:31321=⋅='==x y k则该曲线在点P 处的切线方程是:)1(31-=-x y 即:023=--y x二、填空题:(18)π∵x y 2sin = ∴ππ==22T ;(19)1-143168log212-=-=-;(20)60 由直线方程23+=x y 知:3=k 即:3tan =α∴ 60=α(21)2725.05.13)6.135.137.123.138.135.149.127.13(81=+++++++⨯=x 2725.0])5.136.13()5.135.14()5.139.12()5.137.13[(8122222=-+⋅⋅⋅+-+-+-⨯=S三、解答题:(22)解: (Ⅰ)∵等比数列}{n a 中,163=a ,公比21=q∴64)21(162231===qa a∴数列}{n a 的通项公式为1)21(64-⨯=n n a ;(Ⅱ)数列}{n a 的前7项和. ; (23)解:(Ⅰ)如图所示: 由余弦定理得:BAC AC AB ACABBC∠⋅-+=cos 222260cos 6526522⨯⨯-+=31=∴31=BC(Ⅱ)1560cos 65=⨯⨯=∠=⋅BAC AC AB ; (24)解: (Ⅰ)由已知:在Rt △AOB 中, 22=AB ,且OB OA =,所以⊙o 的半径2=OA .又已知圆心在坐标原点,可得⊙o 的方程为422=+y x ; (Ⅱ)∵)2,0(),0,2(B A ,∴直线AB 的斜率为1-,可知过o 且平行于AB 的直线方程为x y -= 解 422=+y xx y -=得: 2=x 2-=x2-=y 2=y∴点P 的坐标为)2,2()2,2(--或.(25)证明: (Ⅰ)∵0)0(=f ∴函数)(x f 的图像经过原点;又 x x x f 123)(2+='∴)(x f 在原点处的导数值为0)0(='f ;(Ⅱ)解不等式0)(<'x f ,即01232<+x x解得 04<<-x∵)0,4(]1,3[-⊂--∴在区间]1,3[--上0)(<'x f ,即函数)(x f 在区间]1,3[--是减函数.AB127211])21(1[6477=--⨯=S。
2017年成考高起点数学(理)真题及答案第1卷(选择题,共85分)一、选择题(本大题共17小题,每小题5分,共85分.在每小题给出的四个选项中,只有一项是符合题目要求的)1.设集合M={1,2,3,4,5),N={2,4,6),则M∩N=【】A.{2,4}B.{2,4,6}C.{1,3,5}D.{1,2,3,4,5,6}2.函数的最小正周期是【】A.8πB.4πC.2πD.3.函数的定义域为【】A.B.C.D.4.设a,b,C为实数,且a>b,则【】A.B.C.D.5.若【】A.B.C.D.6.函数的最大值为A.1B.2C.6D.37.右图是二次函数Y=X2+bx+C的部分图像,则【】A.b>0,C>0B.b>0,C<0C.b<0,C>0D.b<0,c<08.已知点A(4,1),B(2,3),则线段AB的垂直平分线方程为【】A.z-Y+1=0B.x+y-5=0C.x-Y-1=0D.x-2y+1=09.函数【】A.奇函数,且在(0,+∞)单调递增B.偶函数,且在(0,+∞)单调递减C.奇函数,且在(-∞,0)单调递减D.偶函数,且在(-∞,0)单调递增10.一个圆上有5个不同的点,以这5个点中任意3个为顶点的三角形共有【】A.60个B.15个C.5个D.10个11.若【】A.5mB.1-mC.2mD.m+112.设f(x+1)一x(x+1),则f(2)=【】A.1B.3C.2D.613.函数y=2x的图像与直线x+3=0的交点坐标为【】A.B.C.D.14.双曲线的焦距为【】A.1B.4C.2D.根号215.已知三角形的两个顶点是椭圆的两个焦点,第三个顶点在C上,则该三角形的周长为【】A.10B.20C.16D.2616.在等比数列{a n}中,若a3a4=l0,则a l a6+a2a5=【】A.100B.40C.10D.2017.若l名女牛和3名男生随机地站成一列,则从前面数第2名是女生的概率为【】A.B.C.D.第Ⅱ卷(非选择题,共65分)二、填空题(本大题共4小题,每小题4分。
2017年成人高等学校招生全国统一考试高起点数学第I卷(选择题,共85分)一、选择题(本大题共17小题,每小题5分,共85分.在每小题给出的四个选项中,只有一项是符合题目要求的)1.设集合M={1,2,3,4,5),N={2,4,6),则M∩N= 【】A.{2,4}B.{2,4,6}C.{1,3,5}D.{1,2,3,4,5,6}2.函数的最小正周期是【】A.8πB.4πC.2πD.3.函数的定义域为【】A.B.C.D.4.设a,b,C为实数,且a>b,则【】A.B.C.D.5.若【】A.B.C.D.6.函数的最大值为A.1B.2C.6D.37.右图是二次函数Y=X2+bx+C的部分图像,则【】A.b>0,C>0B.b>0,C<0C.b<0,C>0D.b<0,c<08.已知点A(4,1),B(2,3),则线段AB的垂直平分线方程为【】A.z-Y+1=0B.x+y-5=0C.x-Y-1=0D.x-2y+1=09.函数【】A.奇函数,且在(0,+∞)单调递增B.偶函数,且在(0,+∞)单调递减C.奇函数,且在(-∞,0)单调递减D.偶函数,且在(-∞,0)单调递增10.一个圆上有5个不同的点,以这5个点中任意3个为顶点的三角形共有【】A.60个B.15个C.5个D.10个11.若【】A.5mB.1-mC.2mD.m+112.设f(x+1)一x(x+1),则f(2)= 【】A.1B.3D.613.函数y=2x的图像与直线x+3=0的交点坐标为【】A.B.C.D.14.双曲线的焦距为【】A.1B.4C.2D.根号215.已知三角形的两个顶点是椭圆的两个焦点,第三个顶点在C上,则该三角形的周长为【】A.10B.20C.16D.2616.在等比数列{a n}中,若a3a4=l0,则a l a6+a2a5=【】A.100B.40C.1017.若l名女牛和3名男生随机地站成一列,则从前面数第2名是女生的概率为【】A.B.C.D.第Ⅱ卷(非选择题,共65分)二、填空题(本大题共4小题,每小题4分。
2017年成人高等学校高起点招生全国统一考试数学本试卷分第I卷(选择题)和第Ⅱ卷(非选择题)两部分。
满分150分。
考试时间150分钟。
第I卷(选择题,共85分)一、选择题(本大题共17小题,每小题5分,共85分.在每小题给出的四个选项中,只有一项是符合题目要求的)1.设集合M={1,2,3,4,5),N={2,4,6),则M∩N=()A.{2,4)B.(2,4,6)C.(1,3,5)D.{1,2,3,4.5,6)2.函数y=3sin x4的最小正周期是( )A.8πB.4πC.2πD.2π3.函数y=√x(x−1)的定义城为( )A.{x|x≥0}B.{x|x≥1}C.{x|0≤x≤1}D.{x|x≤0或x≥1}4.设a,b,c为实数,且a>b,则( )A.a-c>b-cB.|a|>|b|C.a2>b2D.ac>bc5.若π2<θ<π,且sinθ=13,则cosθ=( )A.2√23B.− 2√23C. − √23D.√236.函数y=6sinxcosc的最大值为( )A.1B.2C.6D.37.右图是二次函数y=x2+bx+c的部分图像,则( )A.b>0,c>0B.b>0,c<0C.b<0,c>0D.b<0,c<08.已知点A(4,1),B(2,3),则线段AB的垂直平分线方程为A.x-y+1=0B.x+y-5=0C.x-y-1=0D.x-2y+1=09.函数y=1x是( )A.奇函数,且在(0,+∞)单调递增B.偶函数,且在(0,+ ∞)单调递减C.奇函数,且在(-∞,0)单调递减D.偶函数,且在(-∞,0)单调递增10.一个圆上有5个不同的点,以这5个点中任意3个为顶点的三角形共有( )A.60个B.15个C.5个D.10个11.若lg5=m,则lg2=( )A.5mB.1-mC.2mD.m+112.设f(x+1)=x(x+1),则f(2)= ( )A.1B.3C.2D.613.函数y=2x 的图像与直线x+3=0的交点坐标为( )A.(-3,-16)B.(-3,18)C.(-3,16)D.(-3,-18) 14.双曲线y 23-x 2=1的焦距为( )A.1B.4C.2D.√215.已知三角形的两个顶点是椭圆C :x 225+y 216=1的两个焦点,第三个顶点在C 上,则该三角形的周长为( )A.10B.20C.16D.2616.在等比数列{a n }中,若d 3a 4=10,则a 1a 6,+a 2a 5=( )A.100B.40C.10D.2017.若1名女生和3名男生随机地站成一列,则从前面数第2名是女生的概率为( )A.14B.13C.12D.34第Ⅱ卷(非选择题,共65分) 二、填空题(本大题共4小题,每小题4分,共16分)18.已知平面向量a=(1,2),b=(-2,3),2a+3b= .19.已知直线1和x-y+1=0关于直线x=-2对称,则1的斜率为= .20.若5条鱼的平均质量为0.8kg,其中3条的质量分别为0.75kg,0.83kg 和0.78kg ,则其余2条的平均质量为 kg.21.若不等式|ax+1|<2的解集为{x|-23<x<12},则a= .三.解答题(本大题共4小题,共49分.解答应写出推理、演算步骤)22. (本小题满分12分)设{a n }为等差数列,且a 2+a 4−2a 1=8.(1)求{a n }的公差d;(2)若a 1=2,求{a n }前8项的和S 8.23.(本小题满分12分)设直线y=x+1是曲线y=x 3+3x 2+4x+a 的切线,求切点坐标和a 的值。
2017年成人高考专升本考试真题及答案高等数学(一)一、选择题:1~10小题。
1.(单选题)当时,下列变量是无穷小量的为( )(本题4分)ABCD标准答案: C解析:【考情点拨】本题考查了无穷小量的知识点。
【应试指导】2.(单选题)( )(本题4分)A eBCD标准答案: C解析:【考情点拨】本题考查了的知识点。
【应试指导】3.(单选题)若函数在x=0处连续,则常熟a=( )(本题4分)A 0BC 1D 2标准答案: B解析:【考情点拨】本题考查了函数在一点处连续的知识点。
【应试指导】因为函数在处连续,则4.(单选题)设函数则( )(本题4分)A -1B 0C 1D 2标准答案: D解析:【考情点拨】本题考查了导数的基本公式的知识点。
【应试指导】因为,所以5.(单选题)函数的极小值为( )(本题4分)A -2B 0C 2D 4标准答案: A解析:【考情点拨】本题考查了极小值的知识点。
【应试指导】因为得驻点所以处取得极小值,且极小值6.(单选题)方程表示的二次曲面是( )(本题4分)A 圆锥面B 旋转抛物面C 球面D 椭球面标准答案: D解析:【考情点拨】本题考查了二次曲面的知识点。
【应试指导】可将原方程化为,所以原方程表示的是椭球面。
7.(单选题)若则常熟( )(本题4分)A -2B -1C 0D 1标准答案: C解析:【考情点拨】本题考查了定积分的知识点【应试指导】8.(单选题)设函数在[a,b]上连续且,则( )(本题4分)ABCD 的符号无法确定标准答案: A解析:【考情点拨】本题考查了定积分性质的知识点【应试指导】若在区间[a,b]上,则定积分的值为由曲线,直线x=a,x=b,y=0所围成图形的面积,所以9.(单选题)空间直线的方向向量可取为( )(本题4分)A (3,-1,2)B (1,-2,3)C (1,1,-1)D (1,-1,-1)标准答案: A解析:【考情点拨】本题考查了直线方程的方向向量的知识点【应试指导】因为直线方程为,所以其方向向量为(3,-1,2)。
成人高等学校招生全国统一考试数学试题归类汇总一、集合运算1、(2006)设集合{}{}1,0,1,2,0,1,2,3M N =-=,则集合M N =( )A {}0,1B {}0,1,2C {}1,0,1-D {}1,0,1,2,3-2、(2008)设集合{}{}2,4,6,1,2,3A B ==,则A B =( )A {}4B {}1,2,3,4,6C {}2,4,6D {}1,2,33、(2009)设集合{}{}1,2,3,1,3,5M N ==,则M N =( )A φB {}1,3C {}5D {}1,2,3,54、(2010) 设集合{}{}3,1M x x N x x =≥-=≤,则集合MN = ( ) A R B (][),31,-∞-+∞ C []3,1- D ∅5、(2011)已知集合{}{}1,2,3,4,13==-<<A B x x ,则=A B ( )A {}0,1,2B {}1,2C {}1,2,3D {}1,0,1,2-6、(2012)设集合{}{}0,1,2,3,4,5,0,2,4,6==M N ,则集合MN =( ) A {}0,1,2,3,4,5,6 B {}1,3,5 C {}0,2,4 D ∅7、(2013)设集合{}{}231,1A x x B x x ====,则AB =( )A. ∅B. {}1C. {}1-D. {}1,1- 8.(2014)设集合{}{}12,1M x x N x x =-≤<=≤,则M N =( ) A. {}1x x >- B. {}1x x > C. {}11x x -≤≤ D. {}12x x ≤≤9.(2015)设集合{}{}2,5,8,6,8M N ==,则M N =( )A. {}8B. {}6C. {}2,5,6,8D. {}2,5,610.(2016)已知集合{}{}0,1,0,1,2A B ==,则A B =( )A. {}1,2B. {}0,2C. {}0,1D. {}0,1,2二、充分必要条件1、(2006)设甲:1x = 乙:20x x -=,则( )A 甲是乙的充分条件,但不是乙的必要条件B 甲是乙的必要条件,但不是乙的充分条件C 甲不是乙的充分条件,也不是乙的必要条件D 甲是乙的充分必要条件2、(2007)若,x y 为实数,设甲:220x y += 乙:0x =且0y =,则( ) A 甲是乙的充分条件,但不是乙的必要条件B 甲是乙的必要条件,但不是乙的充分条件C 甲不是乙的充分条件,也不是乙的必要条件D 甲是乙的充分必要条件3、(2008)设甲:6x π= 乙:1sin 2x =,则( )A 甲是乙的充分条件,但不是乙的必要条件B 甲是乙的必要条件,但不是乙的充分条件C 甲不是乙的充分条件,也不是乙的必要条件D 甲是乙的充分必要条件4、(2010) 设甲:2x π= 乙:sin 1x =,则( )A 甲是乙的充分条件,但不是乙的必要条件B 甲是乙的必要条件,但不是乙的充分条件C 甲不是乙的充分条件,也不是乙的必要条件D 甲是乙的充分必要条件5、(2012)设甲:1=x 乙:2320-+=x x ,则() A 甲是乙的充分条件,但不是乙的必要条件B 甲是乙的必要条件,但不是乙的充分条件C 甲不是乙的充分条件,也不是乙的必要条件D 甲是乙的充分必要条件6、(2013)设甲:1x = 乙:21x = 则( )A 甲是乙的充分条件,但不是乙的必要条件B 甲是乙的必要条件,但不是乙的充分条件C 甲不是乙的充分条件,也不是乙的必要条件D 甲是乙的充分必要条件7. (2014)若,,a b c 为实数,且0a ≠甲:240b ac -≥乙:20ax bx c ++= 有实数根 则( )A 甲是乙的必要条件,但不是乙的充分条件B 甲是乙的充分条件,但不是乙的必要条件C 甲既不是乙的充分条件,但不是乙的必要条件D 甲是乙的充分必要条件8.(2015)设甲:函数y kx b =+的图像过点()1,1,乙:1k b +=则( )A 甲是乙的必要条件,但不是乙的充分条件B 甲是乙的充分条件,但不是乙的必要条件C 甲既不是乙的充分条件,但不是乙的必要条件D.甲是乙的充分必要条件9、(2016)若甲:1x >,乙:1x e > 则( )A 甲是乙的必要条件,但不是乙的充分条件B 甲是乙的充分条件,但不是乙的必要条件C 甲既不是乙的充分条件,但不是乙的必要条件D 甲是乙的充分必要条件三、绝对值不等式1、(2006)不等式31x +≤的解集为( )A {}42x x -≤≤-B {}2x x ≤-C {}24x x ≤≤D {}4x x ≤2、(2007)不等式311x -<的解集为( )A RB 203x x x ⎧⎫>>⎨⎬⎩⎭或 C 23x x ⎧⎫>⎨⎬⎩⎭ D 203x x ⎧⎫<<⎨⎬⎩⎭ 3、(2008)不等式23x -≤的解集是( ) A {}51x x x ≤-≥或 B {}51x x -≤≤ C {}15x x x ≤-≥或 D {}15x x -≤≤4、(2011)不等式23-<x 的解集中包含的整数共有( )A 8个B 7个C 6个D 5个5、(2013)不等式||1x <的解集为( ) A. {}1x x > B. {}1x x < C. {}11x x -<< D. {}1x x <-6、(2014)不等式32x ->的解集是( ) A. {}1x x < B. {}5x x > C. {}51x x x ><或 D. {}15x x << 7.(2015)不等式11x -<的解集为 ;8.(2016)不等式231x -≤的解集是( )A. {}12x x ≤≤B. {}12x x x ≤-≥或C. {}13x x ≤≤D. {}23x x ≤≤四、一元二次不等式1、(2009)不等式210x ->的解集为( )A {}1x x >B {}1x x <-C {}11x x x ><-或D {}11x x -<<五、不等式的性质1、(2006)设,a b R ∈,且a b >,则下列各不等式中,一定成立的一个是( ) A 22a b > B ac bc > C 11a b > D 0a b ->2、(2009),a b 为实数,则22a b >的充分必要条件为( )A a b >B a b >C a b <D a b >-3、(2014)设两个正数,a b 满足20a b +=,则ab 的最大值为( )A. 400B.200C.100D.50六、指数对数运算1、(2006)122log 816-= ;2、(2007)0441log 8log 24⎛⎫+-= ⎪⎝⎭( )A 3B 2C 1D 03、(2008)021log 43⎛⎫-= ⎪⎝⎭( )A 9B 3C 2D 14、(2010) 23227log 8-= ( )A 12B 6C 3D 15、(2011)41log 2=( )A 2B 12 C 12- D 2-6、(2011)若15⎛⎫= ⎪⎝⎭ma ,则2-=ma ( )A 125 B 25 C 10 D 257、(2012)已知0,1>≠a a ,且0log +=a a a ( )A aB 2C 1D 08、(2014)计算513344833log 10log 5⨯--= ; 9.(2015)55log 10log 2-=( )A. 0B. 1C. 5D. 810. (2016)231964log 81+=( )A. 8B. 14C. 12D. 10七、函数的定义域1、(2006)函数23()log (3)f x x x =-的定义域为( )A (,0)(3,)-∞⋃+∞B (,3)(0,)-∞-⋃+∞C (0,3)D (3,0)-2、(2007)函数lg(1)y x =-的定义域为( )A RB {}0x x >C {}2x x >D {}1x x >3、(2008)函数lg y x =+ )A ()0,+∞B ()3,+∞C (]0,3D (],3-∞4、(2010) 函数y =) A (][),44,-∞+∞ B (][),22,-∞+∞ C []4,4- D []2,2-5、(2011)函数=y A (],0-∞ B []0,2 C []2,2- D (][),22,-∞+∞ 6、(2012)函数()2lg 1=-y x 的定义域是A (][),11,-∞-+∞B ()1,1-C ()(),11,-∞-+∞D []1,1-7、(2014)函数15y x =-的定义域为( ) A. (),5-∞ B. (),-∞+∞ C. ()5,+∞ D. ()(),55,-∞+∞8.(2015)函数y = )A. [)3,+∞B. [)0,+∞C. [)9,+∞D. R9、(2016)函数()21ln 11y x x =-+-的定义域是( ) A. {}11x x x <->或 B. {}11x x x <>或 C. {}11x x -<< D. R八、函数奇偶性1、(2006)下列函数中为偶函数的是( )A 2x y =B 2y x =C 2log y x =D 2cos y x =2、(2007)下列函数中既不是奇函数也不是偶函数的是( )A 21()1f x x =+B 2()f x x x =+C ()cos 3x f x =D 2()f x x= 3、(2008)下列函数中,为奇函数的是( ) A 3log y x = B 3x y = C 23y x = D 3sin y x =4、(2010) 下列函数中,为奇函数的是( )A 3y x =-B 32y x =-C 12xy ⎛⎫= ⎪⎝⎭D 21log y x ⎛⎫= ⎪⎝⎭ 5、(2010) 设函数2()(3)3f x x m x =+-+是偶函数,则m =( ) A 3- B 1 C 3 D 56、(2011)下列函数中,既是偶函数,又在区间()0,3为减函数的是A cos =y xB 2log =y xC 24=-y xD 13⎛⎫= ⎪⎝⎭xy 7、(2011)已知函数()=y f x 是奇函数,且()53-=f ,则()5=f ( )A 5B 3C 3-D 5-8、(2012)下列函数中,为偶函数的是( )A 231=-y xB 33=-y xC 3=xy D 3log =y x9、(2012)设函数43()(3)4=+++f x x m x 是偶函数,则m =( ) A 4 B 3 C 3- D 4-10.(2013)下列函数中为减函数的是( )A. 3y x =B. sin y x =C. 3y x =-D. cos y x =11.(2013)若函数2()f x x ax =+为偶函数,则a =12、(2014)下列函数为奇函数的是( )A. 2log y x =B. sin y x =C. 2y x = D. 3x y =13.(2015)设()f x 为偶函数,若(2)3f -=,则(2)f =( )A .3- B. 0 C. 3 D. 614.(2015)下列函数在定义域内为增函数的是( )A. 1y x =-B. 21y x =+C. 12x y -=+D. 12x y =+15.(2016)下列函数为偶函数的是( )A. 2log y x =B. 2y x =C. 4y x = D. 2y x x =+九、待定系数法1、(2006)设一次函数的图像过点()1,1和()2,0-,则该一次函数的解析式为( )A 1233y x =+ B 1233y x =- C 21y x =- D 2y x =+2、(2010) 设函数2()2f x ax ax =-,且()26f =-,则a =( )A 1-B 34- C 1 D 43、(2010) 如果一次函数y kx b =+的图像过点()1,7A 和()0,2B ,则k =( )A 5-B 1C 2D 54、(2012)如果一次函数=+y x b 的图像过点()1,7,则=b ( )A 5-B 1C 4D 65、(2012)若二次函数()=y f x 的图像经过点()()0,0,1,1-和()2,0-,则()=f x ;6、(2014)已知一次函数2y x b =+的图像经过点()2,1-,则该图像经过点( )A. ()1,3-B. ()1,1-C. ()1,7D. ()1,57.(2015)设函数ky x =的图像经过点()2,2-,则k =( )A. 4B. 1C. 1-D. 4-十、一元二次函数1、(2006)已知二次函数的图像交x 轴于()1,0-和()5,0两点,则该图像的对称轴方程为()A 1x =B 2x =C 3x =D 4x =2、(2007)二次函数245y x x =-+的图像的对称轴方程是( )A 2x =B 1x =C 0x =D 1x =-3、(2008)二次函数222y x x =++的图像的对称轴方程为( )A 1x =-B 0x =C 1x =D 2x =4、(2009)二次函数2()23f x x ax =++图像的对称轴为1x =,则a = ;5、(2010) 如果二次函数的图像经过原点和点()4,0-,则该二次函数的对称轴方程为 ;6、(2007)如果二次函数2y x px q =++的图像经过原点和点()4,0-则该二次函数的最小值为( )A 8-B 4-C 0D 127、(2011)二次函数241=++y x x ( )A 有最小值 3-B 有最大值 3-C 有最小值 6-D 有最大值 6-8、(2006)函数223y x x =-+的单调区间是( )A [)0,+∞B [)1,+∞C (],2-∞D (],3-∞9、(2014)二次函数22y x x =+-的图像与x 轴的交点坐标为( )A. ()2,0- 和()1,0B. ()2,0- 和()1,0-C. ()2,0 和()1,0D. ()2,0 和()1,0- 10.(2015)设二次函数2y ax bx c =++的图像过点()1,2-和()3,2,则其对称轴方程为( )A .3x = B. 2x = C. 1x = D. 1x =-11.(2016)若二次函数()22f x ax x =+最小值为13-,则a = ; 十一、指数函数对数函数的单调性1、(2007)设1a b >>,则( )A log 2log 2a b >B 22log log a b >C 0.50.5log log a b >D log 0.5log 0.5b a >2、(2008)若1a >,则( )A 12log 0a < B 2log 0a < C 10a -< D 210a -<3、(2009) 设1a b >>,则( )A 0.30.3a b >B 33a b <C 33log log a b <D 33log log a b >4、(2010)设01a b <<<,则( )A log 2log 2a b <B 22log log a b >C 1122a b >D 1122a b⎛⎫⎛⎫> ⎪ ⎪⎝⎭⎝⎭5、(2012)使23log log 27>a 成立的a 的取值范围是( )A ()0,+∞B ()3,+∞C ()9,+∞D ()8,+∞6.(2013)设1a >,则( ) A. log 20a < B. log 20a > C. 21a < D. 211a ⎛⎫> ⎪⎝⎭7.(2014)若0lg lg 2a b <<<,则A. 01a b <<<B. 01b a <<<C. 1100b a <<<D. 1100a b <<< 8.(2015)下列不等式成立的是( )A .531122⎛⎫⎛⎫> ⎪ ⎪⎝⎭⎝⎭ B. 112253--> C. 1122log 5log 3> D. 22log 5log 3> 9、(2006)对于函数3x y =,当0x ≤时,y 的取值范围是( )A 1y ≤B 01y <≤C 3y ≤D 03y <≤10、(2007)函数2x y =的图像过点( )A 13,8⎛⎫- ⎪⎝⎭B 13,6⎛⎫- ⎪⎝⎭C ()3,8--D ()3,6--11.(2016)函数22x y =-的图像与坐标轴的交点共有 个十二、函数其它1、(2012)设函数()()12=+x f x x ,且()2=f ( ) A 12 B 6 C 4 D 22、(2007)设21()24xf x x =-,则()f x = 3、(2008)下列函数中,函数值恒大于0的是( ) A 2y x = B 2x y = C 2log y x = D c o s y x =4、(2009)点(3,2),(3,2)P Q -,则P 与Q ( )A 关于x 轴对称B 关于y 轴对称C 关于直线 y x =对称D 关于直线 y x =-对称5、(2009)下列函数中,在其定义域上为增函数的是( )A y x =B 2y x =C 3y x =D 4y x =6、(2009) 函数1y x=-的图像在( ) A 第一、二象限 B 第一、三象限 C 第三、四象限 D 第二、四象限7.(2013)函数1y x =+与1y x =图像交点个数为( )A. 0B. 1C. 2D. 38.(2013)直线320x y +-=经过( )A.第一、二、四象限B. 第一、二、三象限C.第二、三、四象限D. 第一、三、四象限9、(2014)设函数()1,x f x x +=则()1f x -=( ) A. 1xx + B. 1xx - C. 11x + D. 11x -10、(2016)点()2,4关于直线y x =的的对称点的坐标为( )A. ()4,2B. ()2,4--C. ()2,4-D. ()4,2--11.(2016)下列函数中,函数值恒为负值是( )A. y x =B. 21y x =--C. 3y x =D. 21y x =-+十三、等差数列1、(2006)在等差数列{}n a 中,若351,7a a ==-则7a =( )A 11-B 13-C 15-D 17-2、(2010)已知一个等差数列的第5项等于10,前3项的和等于3,那么这个等差数列的公差为( )A 3B 1C 1-D 3-3、(2011)在首项是20,公差为3- 的等差数列中,绝对值最小的一项是( )A 第5项B 第6项C 第7项D 第8项4、(2012)已知一个等差数列的首项为1,公差为3,那么该数列的前5项和为() A 35 B 30 C 20 D 105、(2013)等差数列{}n a 中,若132,6,a a ==则2a =( )A 3B 4C 8D 126、(2016))等差数列{}n a 中,若132,6a a ==则7a =( )A. 10B. 12C.14D. 8十四、等比数列1、(2007)设等比数列{}n a 的各项都为正数,若351,9a a ==则公比q =( ) A 3 B 2 C 2- D 3-2、(2008)在等比数列{}n a 中,246,24a a ==,则6a =( ) A 8 B 24 C 96 D 3843、(2009)公比为2的等比数列{}n a 中,1237a a a ++=,则1a =( )A 73-B 1C 73D 7 4、(2011)已知25与实数m 的等比中项是1,则=mA 125B 15C 5D 255、(2014)等比数列{}n a 中,若28a =,公比为14,则5a = 6.(2015)若等比数列{}n a 的公比为3,49a =,则1a =( ) A.19 B. 13C. 3D. 27 十五、求函数的周期1、(2006)函数sin 2y x =的最小正周期是 ;2、(2007)函数1sin 3y x =的最小正周期为( ) A3πB 2πC 6πD 8π 3、(2008)函数cos3xy =的最小正周期是( ) A 6π B 3π C 2π D3π4、(2010) 函数sin 2y x =的最小正周期为( ) A 6π B 2π C π D 2π5、(2011)函数12sin 26π⎛⎫=+⎪⎝⎭y x 的最小正周期是 ;6、(2012)函数2sin 2cos 2=y x x 的最小正周期是( )A 6πB 2π C2π D 4π 7、(2013)函数()1cos f x x =+的最小正周期是( )A.2πB. πC. 32πD. 2π8、(2014)函数2sin 6y x =的最小正周期是( )A.3π B. 2πC. 2πD. 3π 9、(2016))函数2sin cos y x x =的最小正周期是( )A.2πB. πC. 2πD. 4π 十六、三角函数其它 1、(2011)设角α是第二象限角,则( )A cos 0α<且tan 0α>B cos 0α<且tan 0α<C cos 0α>且tan 0α<D cos 0α>且tan 0α> 2、(2012)已知角α的顶点在坐标原点,始边为x 轴非负半轴,终边过点(,则sin α=( )A2 B 12 C 12- D 2- 3、(2010) 19cos 6π⎛⎫-= ⎪⎝⎭( )A 2-B 12-C 12D 2 4、(2012)7cos6π= ( )A2 B 12 C 12- D 2- 5、(2007)设1sin ,2αα=为第二象限角,则cos α=( )A 2-B 2-C 12D 2 6、(2006)在∆ABC 中,30C ∠=︒,则cos cos sin sin A B A B -的值等于( )A12 B C 12- D 7、(2007)sin(45)cos cos(45)sin αααα︒-+︒-的值为 ;8、(2008)在ABC ∆中,且1sin ,150,43A C BC ==︒=,则AB = ; 9、(2009)∆ABC 中,3,60,2AB B BC ==︒=,则AC =( )AB C 4 D 10、(2009)函数sin cos y x x =+的最大值为( )A 1B 2 C12D11.(2013)函数()2sin(3)1f x x π=++的最大值为( )A. 1-B. 1C. 2D. 3 12、(2009)如果04πθ<<,则( )A cos sin θθ<B cos tan θθ<C tan cos θθ<D sin tan θθ< 13.(2013)若02πθ<<,则( )A. sin cos θθ>B. 2cos cos θθ<C. 2sin sinθθ< D. 2sin sin θθ>14、(2010) sin15cos15︒︒= ( )A14 B 12C 4D 215、(2014)在等腰ABC ∆中,A 是顶角,且1cos 2A =,则cos B =( )A.2 B. 12 C. 12- D. 2- 16.(2015)设tan 2θ=,则()tan θπ+=( )A .2 B.12 C. 12- D. 2-17.(2015)若1,sin 24πθπθ<<=,则cos θ=( )A. 4-B. 16-C. 16D. 418.(2016)在ABC ∆中,若3,45,30AB A C ==︒=︒,则BC =( )A.B. C. D.2十七、向量的内积1、(2012)若向量()()1,,2,4==-a m b ,且10⋅=-a b ,则=m ( )A 4-B 2-C 1D 42. (2014) 已知平面向量()()1,1,1,1a b ==-,则两向量的夹角为( )A.6π B. 4π C. 3π D. 2π十八、向量垂直1、(2006)已知平面向量()()3,,4,3a x b ==-且a b ⊥则x 的值等于( ) A 1 B 2 C 3 D 42、(2009)向量,a b 互相垂直,且1a =,则()a ab ⋅+= ; 3、(2011)已知向量()()2,4,,1==-a b m ,且⊥a b ,则=m ( )A 2B 1C 1-D 2-4.(2015)已知平面向量()2,1a =-与(),2b λ=垂直,则λ=( ) A. 4- B. 1- C. 1 D. 4十九、向量的平行1、(2008)若向量()(),2,2,3a x b ==-,且a ∥b ,则x = ;2、(2010)若向量()(),2,2,4a x b ==-,且,a b 共线,则x =( )A 4-B 1-C 1D 43、(2007)已知平面向量()()2,4,1,2AB AC =-=-则BC =( ) A ()3,6- B ()1,2- C ()3,6- D ()2,8-- 4.(2013)若向量(1,2)a =与(3,)b x =平行,则x =5、(2016)若平面向量()(),1,1,2a x b ==-,且a b ∥,则x = ; 二十、直线的倾斜角1、(2006)直线2y =+的倾斜角的度数为 ;2、(2008)设α为直线2y x =-+的倾斜角,则α= ; 二十一、与某条直线垂直与平行的直线1、(2008)过点()1,1且与直线210x y +-=垂直的直线方程为( )A 210x y --=B 230x y --=C 230x y +-=D 210x y -+= 2、(2009)过点()1,2且与直线230x y +-=平行的直线方程为( )A 250x y +-=B 230x y --=C 240x y +-=D 20x y -= 3、(2010) 已知点()()5,3,3,1A B -,则线段AB 中点的坐标为( ) A ()4,1- B ()4,1- C ()2,4- D ()1,2-4、(2012)已知点()()4,2,0,0A B ,则线段AB 的垂直平分线的斜率为( )A 2B 12-C 12D 2 5.(2013)过点()2,1且与直线0y =垂直的直线方程为( )A. 2x =B. 1x =C. 2y =D. 1y = 6.(2013)抛物线24y x =-的准线方程为( )A. 1x =-B. 1x =C. 1y =D. 1y =- 7、(2014)抛物线23y x =的准线方程为( )A. 32x =-B. 34x =-C. 12x =D. 34x = 8、(2014)已知圆2248110x y x y ++-+=,经过点()1,0P 作该圆的切线,切点为Q ,则线段PQ 的长为( )A. 4B. 8C.10D. 169、(2015)已知点()()()1,1,2,1,2,3A B C -,则过点A 及线段BC 中点的直线方程为( )A .20x y +-= B. 20x y ++= C. 0x y -= D. 20x y -+=10、(2015)以点()0,130y --=相切的圆的方程为( )A .()2212x y +-= B. ()2214x y +-= C. ()22116x y +-= D. ()2211x y -+=11.(2015)抛物线22y px =的准线过双曲线2213x y -=的左焦点,则p = ;12.(2016)过点()0,1且与10x y ++=垂直的直线方程为( )A. 1y x =+B. 21y x =+C. y x =D. 1y x =-13、(2016)设双曲线221169x y -=的渐近线的斜率为k ,则k =( ) A.916 B. 169 C. 43 D. 34二十二、 排列组合、概率统计1、(2010) 某中学五个学生的跳高成绩(单位:米)分别为:1.68 1.53 1.50 1.72 a他们的平均成绩为1.61米,则a = ; 2、(2011)一个小组共有4名男同学和3名女同学,4名男同学的平均身高为1.72m ,3名女同学的平均身高为1.61m ,则全组同学的平均身高约为(精确到0.01m )( ) A 1.65m B 1.66m C 1.67m D 1.68m 3、(2012)某块小麦试验田近5年产量(单位:kg )分别为63,1+a ,50,a ,70 已知5年的平均产量为58kg ,则a = ; 4、(2006)有一批相同型号的制作轴承用的滚珠,从中任意取出8个滚珠,分别测出其外径,结果(单位:mm )如下:13.7 12.9 14.5 13.8 13.3 12.7 13.5 13.6 则该样本的方差为 ; 5、(2007)经验表明,某种药物的固定剂量会使心率增加,现有8个病人服用同一剂量的这种药,心率增加的次数分别为 13 15 14 10 8 12 13 11 则该样本的样本方差为 ; 6、(2008)用一仪器对一物体的长度重复测量5次,得结果(单位:cm )如下: 1004,1001,998,999,1003则该样本的样本方差为 2cm7、(2009)从某种植物中随机抽出6株,其花期(单位:天)分别为19,23,18,16,25,21, 则其样本方差为 ;(精确到0.1)8、从某篮球运动员全年参加的比赛中任选五场,他在这五场比赛中的得分分别为21,19,15,25,20,则这个样本的方差为;9、(2006)4个人排成一行,其中甲、乙二人总排在一起,则不同的排法共有( )A 3种B 6种C 12种D 24种10、(2007)在一次共有20人参加的老同学聚会上,如果每两人握手一次,那么这次聚会共握手( )A 400 次B 380次C 240次D 190次11、(2008)某学生从6门课程中选修3门,其中甲课程一定要选修,则不同的选课方案共有()A 4种B 8种C 10种D 20种12、(2009)正六边形中,由任意三个顶点连线构成的三角形的个数为( )A 6B 20C 120D 72013、(2010) 用0,1,2,3这四个数字,组成没有重复数字的四位数共有()A 24个B 18个C 12个D 10个14、(2012)从5同学中任意选出3位参加公益活动,不同的选法共有()A 5种B 10种C 15种D 20种15、(2006)两个盒子内各有3个同样的小球,每个盒子中的小球上分别标有1,2,3三个数字,从两个盒子中分别任意取出一个球,则取出的两个球上所标数字的和为3的概率是( )A 19B29C13D2316、(2007)已知甲打中靶心的概率为0.8,乙打中靶心的概率为0.9,两人各独立打靶一次,则两人都打不中靶心的概率为( )A 0.01B 0.02C 0.28D 0.7217、(2009)某人打靶,没枪命中目标的概率为0.9,则4枪中恰有2枪命中目标的概率为( )A 0.0486B 0.81C 0.5D 0.008118、(2010)从甲口袋内摸出一个球是红球的概率是0.2,从乙口袋内摸出一个球是红球的概率是0.3现从甲、乙两个口袋里各摸出一个球,这两个球都是红球的概率是()A 0.94B 0.56C 0.38D 0.0619、(2011)一个篮球运动员投篮两次,两投全中的概率为0.375,两投一中的概率为0.5,则他两投全不中的概率为()A 0.6875B 0.625C 0.5D 0.12520、(2012)将3枚均匀的硬币各抛掷一次,恰有2枚证明朝上的概率为()A 14B13C38D3421、(2008)5个人排成一行,则甲排在正中间的概率是( )A 12B25C15D11022.(2013)一箱子中装有5个相同的球,分别标以号码1,2,3,4,5。