考研数学三角函数公式
- 格式:docx
- 大小:105.03 KB
- 文档页数:4
考研数学必备公式不看后悔IMB standardization office【IMB 5AB- IMBK 08- IMB 2C】一. 三角公式1. 倍角公式与半角公式x x x cos sin 22sin =; x x x x x 2222sin 211cos 2sin cos 2cos -=-=-= 2cos 2cos 12x x =+, 或2cos 12cos 2x x += 2sin 2cos 12xx =-, 或2cos 12sin 2x x -=2. 三角函数定义与恒等式sin α=对边/斜边; cos α=邻边/斜边; tan α=对边/邻边; 1cos sin 22=+x x ; 22sec tan 1x x =+, 22tan sec 1x x =-xxx cos sin tan =; xx cos 1sec =3. 特殊角的三角与反三角函数值, 三角函数在四个象限中的符号arctan()/2π+∞=; arctan()/2π-∞=-,0e e +∞-∞=+∞=, ln(),ln 0++∞=+∞=-∞-- 1 -- 3. 诱导公式sin()cos 2παα-=; cos()sin 2παα-=; tan()cot 2παα-=;sin()sin παα-=; cos()cos παα-=-; tan()tan παα-=- ααsin )sin(-=-; ααcos )cos(=-; ααtan )tan(-=- 二.代数公式1.2)1(321+=+⋅⋅⋅⋅+++n n n (等差数列求和公式)2.21111n n a a aaa--+++⋅⋅⋅+=- (等比数列求和公式,1a <)或 )1)(1(121++⋅⋅⋅++-=---a a a a a n n n3.2222)(b ab a b a +±=± (和差的平方公式)3223333)(b ab b a a b a ±+±=± (和差的立方公式) ))((22b a b a b a -+=- (平方差公式)))((2233b ab a b a b a +±=± (立方和、立方差公式)4.指数运算: c b c b a a a +=⋅; /b c b c a a a -=; bc c b a a =)(;()c c c a b a b ⋅=⋅; (/)/c c c a b a b =; 10=a ; 11/a a -=5. 对数运算: c b bc a a a log log )(log +=;log log log aa ab bc c=-; b b a a log 1log -=log log c a a b c b =; log b a b a =; 特别 ln b b e =log 10a =; log 1a a =; 特别 ln10=,ln 1e =;6. 基本不等式: x a a x a <⇔-<< (其中0a >)222a b ab +≥, 也可写成当,0a b >时成立a b +≥-- 2--7. 一元二次方程20ax bx c ++=求根公式: 有解1,22b x a-=三.极限 四. 平面解析几何 1.直线方程:y kx b =+ (斜截式:斜率为k ,y 轴上截距为b );00()y y k x x -=- (点斜式: 过点00(,)x y ,斜率为k );1x ya b+= (截距式: x 与y 轴上截距分别为a 与b )0ax by c ++= (一般式) 两直线垂直⇔它们的斜率为负倒数关系 121/k k =-。
高等数学公式篇·平方关系:sin^2(α)+cos^2(α)=1 tan^2(α)+1=sec^2(α) cot^2(α)+1=csc^2(α) ·倒数关系:tanα·cotα=1sinα·cscα=1cosα·secα=1·积的关系:sinα=tanα*cosα cosα=cotα*sinα tanα=sinα*secα cotα=cosα*cscα secα=tanα*cscα cscα=secα*cotα直角三角形ABC中, 角A的正弦值就等于角A的对边比斜边, 余弦等于角A的邻边比斜边正切等于对边比邻边,·三角函数恒等变形公式·两角和与差的三角函数:cos(α+β)=cosα·cosβ-sinα·sinβcos(α-β)=cosα·cosβ+sinα·sinβsin(α±β)=sinα·cosβ±cosα·sinβtan(α+β)=(tanα+tanβ)/(1-tanα·tanβ)tan(α-β)=(tanα-tanβ)/(1+tanα·tanβ)·三角和的三角函数:sin(α+β+γ)=sinα·cosβ·cosγ+cosα·sinβ·cosγ+cosα·cosβ·sinγ-sinα·sinβ·sinγ cos(α+β+γ)=cosα·cosβ·cosγ-cosα·sinβ·sinγ-sinα·cosβ·sinγ-sinα·sinβ·cosγ tan(α+β+γ)=(tanα+tanβ+tanγ-tanα·tanβ·tanγ)/(1-tanα·tanβ-tanβ·tanγ-tanγ·t anα)·辅助角公式:Asinα+Bcosα=(A^2+B^2)^(1/2)sin(α+t),其中sint=B/(A^2+B^2)^(1/2)cost=A/(A^2+B^2)^(1/2)tant=B/AAsinα+Bcosα=(A^2+B^2)^(1/2)cos(α-t),tant=A/B·倍角公式:sin(2α)=2sinα·cosα=2/(tanα+cotα)cos(2α)=cos^2(α)-sin^2(α)=2cos^2(α)-1=1-2sin^2(α)tan(2α)=2tanα/[1-tan^2(α)]·三倍角公式:sin(3α)=3sinα-4sin^3(α)co s(3α)=4cos^3(α)-3cosα·半角公式:sin(α/2)=±√((1-cosα)/2)cos(α/2)=±√((1+cosα)/2)tan(α/2)=±√((1-cosα)/(1+cosα))=sinα/(1+cosα)=(1-cosα)/sinα·降幂公式sin^2(α)=(1-cos(2α))/2=versin(2α)/2 cos^2(α)=(1+cos(2α))/2=covers(2α)/2 tan^2(α)=(1-cos(2α))/(1+cos(2α)) ·万能公式:sinα=2tan(α/2)/[1+tan^2(α/2)]cosα=[1-tan^2(α/2)]/[1+tan^2(α/2)] tanα=2tan(α/2)/[1-tan^2(α/2)] ·积化和差公式:sinα·cosβ=(1/2)[sin(α+β)+sin(α-β)] cosα·sinβ=(1/2)[sin(α+β)-sin(α-β)] cosα·cosβ=(1/2)[cos(α+β)+cos(α-β)] sinα·sinβ=-(1/2)[cos(α+β)-cos(α-β)] ·和差化积公式:sinα+sinβ=2sin[(α+β)/2]cos[(α-β)/2] sinα-sinβ=2cos[(α+β)/2]sin[(α-β)/2] cosα+cosβ=2cos[(α+β)/2]cos[(α-β)/2] cosα-cosβ=-2sin[(α+β)/2]sin[(α-β)/2] ·推导公式tanα+cotα=2/sin2αtanα-cotα=-2cot2α1+cos2α=2cos^2α1-cos2α=2sin^2α1+sinα=(sinα/2+cosα/2)^2·其他:sinα+sin(α+2π/n)+sin(α+2π*2/n)+sin(α+2π*3/n)+……+sin[α+2π*(n-1)/n]=0 cosα+cos(α+2π/n)+cos(α+2π*2/n)+cos(α+2π*3/n)+……+cos[α+2π*(n-1)/n]=0 以及sin^2(α)+sin^2(α-2π/3)+sin^2(α+2π/3)=3/2tanAtanBtan(A+B)+tanA+tanB-tan(A+B)=0三角函数的角度换算公式一:设α为任意角,终边相同的角的同一三角函数的值相等:sin(2kπ+α)=sinα cos(2kπ+α)=cosα tan(2kπ+α)=tanα cot(2kπ+α)=cotα公式二:设α为任意角,π+α的三角函数值与α的三角函数值之间的关系:sin(π+α)=-sinα cos(π+α)=-cosα tan(π+α)=tanα cot(π+α)=cotα公式三:任意角α与-α的三角函数值之间的关系:sin(-α)=-sinα cos(-α)=c osα tan(-α)=-tanα cot(-α)=-cotα公式四:利用公式二和公式三可以得到π-α与α的三角函数值之间的关系:sin(π-α)=sinα cos(π-α)=-cosα tan(π-α)=-tanα cot(π-α)=-cotα公式五:利用公式一和公式三可以得到2π-α与α的三角函数值之间的关系:sin(2π-α)=-sinα cos(2π-α)=cosα tan(2π-α)=-tanα cot(2π-α)=-cotα公式六:π/2±α及3π/2±α与α的三角函数值之间的关系: sin (π/2+α)=cosα cos (π/2+α)=-sinα tan (π/2+α)=-cotα cot (π/2+α)=-tanα sin (π/2-α)=cosα cos (π/2-α)=sinα tan (π/2-α)=cotα cot (π/2-α)=tanα sin (3π/2+α)=-cosα cos (3π/2+α)=sinα tan (3π/2+α)=-cotα cot (3π/2+α)=-tanα sin (3π/2-α)=-cosα cos (3π/2-α)=-sinα tan (3π/2-α)=cotα cot (3π/2-α)=tanα (以上k ∈Z)部分高等内容·高等代数中三角函数的指数表示(由泰勒级数易得):[][][][])()()()()()()()(tan 2cos 2sin ix ix ix ix ix ix ix ix e e e e x e e x i e e x +-=+=-=, , 泰勒展开有无穷级数:⋯++⋯+++++==!!4!3!2!11)exp(432n zz z z z z e nz此时三角函数定义域已推广至整个复数集。
高等数学公式篇·平方关系:sin^2(α)+cos^2(α)=1tan^2(α)+1=sec^2(α)cot^2(α)+1=csc^2(α)·积的关系:sinα=tanα*cosαcosα=cotα*sinαtanα=sinα*secαcotα=cosα*cscαsecα=tanα*cscαcscα=secα*cotα·倒数关系:tanα·cotα=1sinα·cscα=1cosα·secα=1直角三角形ABC中,角A的正弦值就等于角A的对边比斜边,余弦等于角A的邻边比斜边正切等于对边比邻边,·三角函数恒等变形公式:·两角和与差的三角函数:cos(α+β)=cosα·cosβ-sinα·sinβcos(α-β)=cosα·cosβ+sinα·sinβsin(α±β)=sinα·cosβ±cosα·sinβtan(α+β)=(tanα+tanβ)/(1-tanα·tanβ)tan(α-β)=(tanα-tanβ)/(1+tanα·tanβ)·三角和的三角函数:sin(α+β+γ)=sinα·cosβ·cosγ+cosα·sinβ·cosγ+cosα·cosβ·sinγ-sinα·sinβ·sinγcos(α+β+γ)=cosα·cosβ·cosγ-cosα·sinβ·sinγ-sinα·cosβ·sinγ-sinα·sinβ·cosγtan(α+β+γ)=(tanα+tanβ+tanγ-tanα·tanβ·tanγ)/(1-tanα·tanβ-tanβ·tanγ-tanγ·tanα)·辅助角公式:Asinα+Bcosα=(A^2+B^2)^(1/2)sin(α+t),其中sint=B/(A^2+B^2)^(1/2)cost=A/(A^2+B^2)^(1/2)tant=B/AAsinα+Bcosα=(A^2+B^2)^(1/2)cos(α-t),tant=A/B·倍角公式:sin(2α)=2sinα·cosα=2/(tanα+cotα)cos(2α)=cos^2(α)-sin^2(α)=2cos^2(α)-1=1-2sin^2(α)tan(2α)=2tanα/[1-tan^2(α)]·三倍角公式:sin(3α)=3sinα-4sin^3(α)cos(3α)=4cos^3(α)-3cosα·半角公式:sin(α/2)=±√((1-cosα)/2)cos(α/2)=±√((1+cosα)/2)tan(α/2)=±√((1-cosα)/(1+cosα))=sinα/(1+cosα)=(1-cosα)/sinα·降幂公式sin^2(α)=(1-cos(2α))/2=versin(2α)/2cos^2(α)=(1+cos(2α))/2=covers(2α)/2tan^2(α)=(1-cos(2α))/(1+cos(2α))·万能公式:sinα=2tan(α/2)/[1+tan^2(α/2)]cosα=[1-tan^2(α/2)]/[1+tan^2(α/2)]tanα=2tan(α/2)/[1-tan^2(α/2)]·积化和差公式:sinα·cosβ=(1/2)[sin(α+β)+sin(α-β)]cosα·sinβ=(1/2)[sin(α+β)-sin(α-β)]cosα·cosβ=(1/2)[cos(α+β)+cos(α-β)]sinα·sinβ=-(1/2)[cos(α+β)-cos(α-β)]·和差化积公式:sinα+sinβ=2sin[(α+β)/2]cos[(α-β)/2]sinα-sinβ=2cos[(α+β)/2]sin[(α-β)/2]cosα+cosβ=2cos[(α+β)/2]cos[(α-β)/2]cosα-c osβ=-2sin[(α+β)/2]sin[(α-β)/2]·推导公式tanα+cotα=2/sin2αtanα-cotα=-2cot2α1+cos2α=2cos^2α1-cos2α=2sin^2α1+sinα=(sinα/2+cosα/2)^2·其他:sinα+sin(α+2π/n)+sin(α+2π*2/n)+sin(α+2π*3/n)+……+sin[α+2π*(n-1)/n]=0cosα+cos(α+2π/n)+cos(α+2π*2/n)+cos(α+2π*3/n)+……+cos[α+2π*(n-1)/n]=0 以及sin^2(α)+sin^2(α-2π/3)+sin^2(α+2π/3)=3/2tanAtanBtan(A+B)+tanA+tanB-tan(A+B)=0三角函数的角度换算[编辑本段]公式一:设α为任意角,终边相同的角的同一三角函数的值相等:sin(2kπ+α)=sinαcos(2kπ+α)=cosαtan(2kπ+α)=tanαcot(2kπ+α)=cotα公式二:设α为任意角,π+α的三角函数值与α的三角函数值之间的关系:sin(π+α)=-sinαcos(π+α)=-cosαtan(π+α)=tanαcot(π+α)=cotα公式三:任意角α与-α的三角函数值之间的关系:sin(-α)=-sinαcos(-α)=c osαtan(-α)=-tanαcot(-α)=-cotα公式四:利用公式二和公式三可以得到π-α与α的三角函数值之间的关系:sin(π-α)=sinαcos(π-α)=-cosαtan(π-α)=-tanαcot(π-α)=-cotα公式五:利用公式一和公式三可以得到2π-α与α的三角函数值之间的关系:sin(2π-α)=-sinαcos(2π-α)=cosαtan(2π-α)=-tanαcot(2π-α)=-cotα公式六:π/2±α及3π/2±α与α的三角函数值之间的关系:sin(π/2+α)=cosαcos(π/2+α)=-sinαtan(π/2+α)=-cotαcot(π/2+α)=-tanαsin(π/2-α)=cosαcos(π/2-α)=sinαtan(π/2-α)=cotαcot(π/2-α)=tanαsin(3π/2+α)=-cosαcos(3π/2+α)=sinαtan(3π/2+α)=-cotαcot(3π/2+α)=-t anαsin(3π/2-α)=-cosαcos(3π/2-α)=-sinαtan(3π/2-α)=cotαcot(3π/2-α)=tanα(以上k∈Z)部分高等内容[编辑本段]·高等代数中三角函数的指数表示(由泰勒级数易得):sinx=[e^(ix)-e^(-ix)]/(2i) cosx=[e^(ix)+e^(-ix)]/2 tanx=[e^(ix)-e^(-ix)]/[ie^(ix)+ie^(-ix)] 泰勒展开有无穷级数,e^z=exp(z)=1+z/1!+z^2/2!+z^3/3!+z^4/4!+…+z^n/n !+… 此时三角函数定义域已推广至整个复数集。
三角函数诱导公式大全2010-11-16 11:41 |(分类:考研数学)三角函数诱导公式常用的诱导公式有以下几组:公式一:设α为任意角,终边相同的角的同一三角函数的值相等:sin(2kπ+α)=sinαcos(2kπ+α)=cosαtan(2kπ+α)=tanαcot(2kπ+α)=cotα公式二:设α为任意角,π+α的三角函数值与α的三角函数值之间的关系:sin(π+α)=-sinαcos(π+α)=-cosαtan(π+α)=tanαcot(π+α)=cotα公式三:任意角α与-α的三角函数值之间的关系:sin(-α)=-sinαcos(-α)=cosαtan(-α)=-tanαcot(-α)=-cotα公式四:利用公式二和公式三可以得到π-α与α的三角函数值之间的关系:sin(π-α)=sinαcos(π-α)=-cosαtan(π-α)=-tanαcot(π-α)=-cotα公式五:利用公式一和公式三可以得到2π-α与α的三角函数值之间的关系:sin(2π-α)=-sinαcos(2π-α)=cosαtan(2π-α)=-tanαcot(2π-α)=-cotα公式六:π/2±α与α的三角函数值之间的关系:sin(π/2+α)=cosαcos(π/2+α)=-sinαtan(π/2+α)=-cotαcot(π/2+α)=-tanαsin(π/2-α)=cosαcos(π/2-α)=sinαtan(π/2-α)=cotαcot(π/2-α)=tanα诱导公式记忆口诀※规律总结※上面这些诱导公式可以概括为:对于k·π/2±α(k∈Z)的个三角函数值,①当k是偶数时,得到α的同名函数值,即函数名不改变;②当k是奇数时,得到α相应的余函数值,即sin→cos;cos→sin;tan→cot,cot→tan. (奇变偶不变)然后在前面加上把α看成锐角时原函数值的符号。
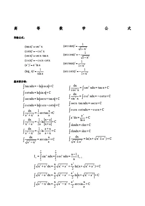
高等数学公式导数公式:基本积分表:ax x a a a x x x x x x x x x x a x x ln 1)(log ln )(cot csc )(csc tan sec )(sec csc )(cot sec )(tan 22='='⋅-='⋅='-='='222211)cot (11)(arctan 11)(arccos 11)(arcsin x x arc x x x x x x +-='+='--='-='⎰⎰⎰⎰⎰⎰⎰⎰⎰⎰+±+=±+=+=+=+-=⋅+=⋅+-==+==Ca x x a x dx C shx chxdx C chx shxdx Ca a dx a Cx xdx x Cx dx x x Cx xdx x dx C x xdx x dx xx)ln(ln csc cot csc sec tan sec cot csc sin tan sec cos 22222222C axx a dx C x a xa a x a dx C a x ax a a x dx C a xa x a dx Cx x xdx C x x xdx Cx xdx C x xdx +=-+-+=-++-=-+=++-=++=+=+-=⎰⎰⎰⎰⎰⎰⎰⎰arcsin ln 21ln 21arctan 1cot csc ln csc tan sec ln sec sin ln cot cos ln tan 22222222⎰⎰⎰⎰⎰++-=-+-+--=-+++++=+-===-Cax a x a x dx x a Ca x x aa x x dx a x Ca x x a a x x dx a x I nn xdx xdx I n n nn arcsin 22ln 22)ln(221cos sin 2222222222222222222222ππ三角函数的有理式积分:和差角公式: ·和差化积公式:倍角公式: ·半角公式: ·正弦定理:R CcB b A a 2sin sin sin === ·余弦定理:C ab b a c cos 2222-+= ·反三角函数性质:x arcc x x xtan 2arctan arccos 2arcsin -=-=ππ高阶导数公式——莱布尼兹(Leibniz )公式: 中值定理与导数应用: 多元函数微分法及应用 多元函数的极值及其求法: 常数项级数: 级数审敛法:绝对收敛与条件收敛: 幂级数:函数展开成幂级数: 一些函数展开成幂级数: 欧拉公式:微分方程的相关概念: 一阶线性微分方程: 全微分方程: 二阶微分方程:2sin2sin 2cos cos 2cos2cos 2cos cos 2sin2cos 2sin sin 2cos2sin2sin sin βαβαβαβαβαβαβαβαβαβαβαβα-+=--+=+-+=--+=+αββαβαβαβαβαβαβαβαβαβαβαcot cot 1cot cot )cot(tan tan 1tan tan )tan(sin sin cos cos )cos(sin cos cos sin )sin(±⋅=±⋅±=±=±±=±二阶常系数齐次线性微分方程及其解法:二阶常系数非齐次线性微分方程线性代数公式大全——最新修订1、行列式1. n 行列式共有2n 个元素,展开后有!n 项,可分解为2n行列式;2. 代数余子式的性质:①、ij A 和ij a 的大小无关;②、某行(列)的元素乘以其它行(列)元素的代数余子式为0; ③、某行(列)的元素乘以该行(列)元素的代数余子式为A ;3. 代数余子式和余子式的关系:(1)(1)i j i j ijij ij ijM A A M ++=-=-4. 设n 行列式D :将D 上、下翻转或左右翻转,所得行列式为1D ,则(1)21(1)n n D D -=-; 将D 顺时针或逆时针旋转90,所得行列式为2D ,则(1)22(1)n n D D -=-;将D 主对角线翻转后(转置),所得行列式为3D ,则3D D =;将D 主副角线翻转后,所得行列式为4D ,则4D D =;5. 行列式的重要公式:①、主对角行列式:主对角元素的乘积; ②、副对角行列式:副对角元素的乘积(1)2(1)n n -⨯ -;③、上、下三角行列式( = ◥◣):主对角元素的乘积; ④、 ◤和 ◢:副对角元素的乘积(1)2(1)n n -⨯ -;⑤、拉普拉斯展开式:A O A C AB CB O B==、(1)m n CA OA AB B OB C==-⑥、范德蒙行列式:大指标减小指标的连乘积; ⑦、特征值;6. 对于n 阶行列式A ,恒有:1(1)nnkn kk k E A S λλλ-=-=+-∑,其中kS 为k 阶主子式;7. 证明0A =的方法:①、A A =-; ②、反证法;③、构造齐次方程组0Ax =,证明其有非零解; ④、利用秩,证明()r A n <; ⑤、证明0是其特征值;2、矩阵1. A 是n 阶可逆矩阵:⇔0A ≠(是非奇异矩阵);⇔()r A n =(是满秩矩阵) ⇔A 的行(列)向量组线性无关; ⇔齐次方程组0Ax =有非零解; ⇔n b R ∀∈,Ax b =总有唯一解; ⇔A 与E 等价;⇔A 可表示成若干个初等矩阵的乘积; ⇔A 的特征值全不为0; ⇔T A A 是正定矩阵;⇔A 的行(列)向量组是n R 的一组基; ⇔A 是n R 中某两组基的过渡矩阵;2. 对于n 阶矩阵A :**AA A A A E == 无条件恒成立;3. 1**111**()()()()()()T T T T AA A A A A ----===4. 矩阵是表格,推导符号为波浪号或箭头;行列式是数值,可求代数和;5. 关于分块矩阵的重要结论,其中均A 、B 可逆:若12s A A A A ⎛⎫ ⎪⎪= ⎪ ⎪⎝⎭,则: Ⅰ、12s A A A A =;Ⅱ、111121s A A A A ----⎛⎫ ⎪⎪= ⎪ ⎪ ⎪⎝⎭; ②、111A O A O O B OB ---⎛⎫⎛⎫=⎪ ⎪⎝⎭⎝⎭;(主对角分块)③、111O A O B B O A O ---⎛⎫⎛⎫= ⎪ ⎪⎝⎭⎝⎭;(副对角分块) ④、11111A C A A CB O B OB -----⎛⎫-⎛⎫=⎪ ⎪⎝⎭⎝⎭;(拉普拉斯) ⑤、11111A O A O C B B CAB -----⎛⎫⎛⎫= ⎪ ⎪-⎝⎭⎝⎭;(拉普拉斯) 3、矩阵的初等变换与线性方程组1. 一个m n ⨯矩阵A ,总可经过初等变换化为标准形,其标准形是唯一确定的:rm nE OF OO ⨯⎛⎫=⎪⎝⎭; 等价类:所有与A 等价的矩阵组成的一个集合,称为一个等价类;标准形为其形状最简单的矩阵; 对于同型矩阵A 、B ,若()()r A r B A B = ⇔ ;2. 行最简形矩阵:①、只能通过初等行变换获得; ②、每行首个非0元素必须为1;③、每行首个非0元素所在列的其他元素必须为0;3. 初等行变换的应用:(初等列变换类似,或转置后采用初等行变换) ①、 若(,)(,)rA E E X,则A 可逆,且1X A -=;②、对矩阵(,)A B 做初等行变化,当A 变为E 时,B 就变成1A B -,即:1(,)(,)cA B E A B - ~ ;③、求解线形方程组:对于n 个未知数n 个方程Ax b =,如果(,)(,)rA b E x ,则A 可逆,且1x A b -=;4. 初等矩阵和对角矩阵的概念:①、初等矩阵是行变换还是列变换,由其位置决定:左乘为初等行矩阵、右乘为初等列矩阵; ②、12n ⎛⎫⎪⎪Λ= ⎪ ⎪⎝⎭λλλ,左乘矩阵A ,i λ乘A 的各行元素;右乘,iλ乘A 的各列元素;③、对调两行或两列,符号(,)E i j ,且1(,)(,)E i j E i j -=,例如:1111111-⎛⎫⎛⎫ ⎪ ⎪= ⎪ ⎪ ⎪ ⎪⎝⎭⎝⎭;④、倍乘某行或某列,符号(())E i k ,且11(())(())E i k E i k -=,例如:1111(0)11k k k -⎛⎫⎛⎫⎪⎪⎪=≠ ⎪ ⎪ ⎪ ⎪⎝⎭⎝⎭;⑤、倍加某行或某列,符号(())E ij k ,且1(())(())E ij k E ij k -=-,如:11111(0)11k k k --⎛⎫⎛⎫ ⎪ ⎪=≠ ⎪ ⎪ ⎪ ⎪⎝⎭⎝⎭;5. 矩阵秩的基本性质:①、0()min(,)m n r A m n ⨯≤≤; ②、()()T r A r A =; ③、若AB ,则()()r A r B =;④、若P 、Q 可逆,则()()()()r A r PA r AQ r PAQ ===;(可逆矩阵不影响矩阵的秩) ⑤、max((),())(,)()()r A r B r A B r A r B ≤≤+;(※) ⑥、()()()r A B r A r B +≤+;(※) ⑦、()min((),())r AB r A r B ≤;(※)⑧、如果A 是m n ⨯矩阵,B 是n s ⨯矩阵,且0AB =,则:(※) Ⅰ、B 的列向量全部是齐次方程组0AX =解(转置运算后的结论);Ⅱ、()()r A r B n +≤⑨、若A 、B 均为n 阶方阵,则()()()r AB r A r B n ≥+-;6. 三种特殊矩阵的方幂:①、秩为1的矩阵:一定可以分解为列矩阵(向量)⨯行矩阵(向量)的形式,再采用结合律;②、型如101001a c b ⎛⎫⎪⎪ ⎪⎝⎭的矩阵:利用二项展开式; 二项展开式:01111110()nnnn m n mmn n n nm m n mnnnnnn m a b C a C a b C ab Ca bC b C a b -----=+=++++++=∑;注:Ⅰ、()n a b +展开后有1n +项;Ⅱ、0(1)(1)!1123!()!--+====-m n n n n n n n m n C C C m m n mⅢ、组合的性质:111102---+-===+==∑nmn m mm m r nr r nnn n nnn n r C C CC CCrC nC ;③、利用特征值和相似对角化:7. 伴随矩阵:①、伴随矩阵的秩:*()()1()10()1nr A n r A r A n r A n = ⎧⎪==-⎨⎪<-⎩; ②、伴随矩阵的特征值:*1*(,)AAAX X A A A A X X λλλ- == ⇒ =;③、*1A A A -=、1*n A A-=8. 关于A 矩阵秩的描述:①、()r A n =,A 中有n 阶子式不为0,1n +阶子式全部为0;(两句话) ②、()r A n <,A 中有n 阶子式全部为0; ③、()r A n ≥,A 中有n 阶子式不为0;9. 线性方程组:Ax b =,其中A 为m n ⨯矩阵,则:①、m 与方程的个数相同,即方程组Ax b =有m 个方程; ②、n 与方程组得未知数个数相同,方程组Ax b =为n 元方程;10. 线性方程组Ax b =的求解:①、对增广矩阵B 进行初等行变换(只能使用初等行变换); ②、齐次解为对应齐次方程组的解; ③、特解:自由变量赋初值后求得;11. 由n 个未知数m 个方程的方程组构成n 元线性方程:①、11112211211222221122n n n n m m nm n n a x a x a x b a x a x a x b a x a x a x b +++= ⎧⎪+++= ⎪⎨⎪⎪+++=⎩;②、1112111212222212n n m m mn m m a a a x b a a a x b Ax b a a a x b ⎛⎫⎛⎫⎛⎫ ⎪⎪ ⎪ ⎪⎪ ⎪=⇔= ⎪⎪ ⎪⎪⎪ ⎪⎝⎭⎝⎭⎝⎭(向量方程,A 为m n ⨯矩阵,m 个方程,n 个未知数)③、()1212n n x x a a a x β⎛⎫ ⎪ ⎪= ⎪⎪⎝⎭(全部按列分块,其中12n b b b β⎛⎫ ⎪ ⎪= ⎪ ⎪⎝⎭);④、1122n n a x a x a x β+++=(线性表出)⑤、有解的充要条件:()(,)r A r A n β=≤(n 为未知数的个数或维数)4、向量组的线性相关性1. m 个n 维列向量所组成的向量组A :12,,,m ααα构成n m ⨯矩阵12(,,,)m A =ααα;m 个n 维行向量所组成的向量组B :12,,,T TTm βββ构成m n ⨯矩阵12T T T m B βββ⎛⎫⎪ ⎪= ⎪⎪ ⎪⎝⎭; 含有有限个向量的有序向量组与矩阵一一对应;2. ①、向量组的线性相关、无关 0Ax ⇔=有、无非零解;(齐次线性方程组)②、向量的线性表出Ax b ⇔=是否有解;(线性方程组)③、向量组的相互线性表示 AX B ⇔=是否有解;(矩阵方程) 3. 矩阵m nA ⨯与l nB ⨯行向量组等价的充分必要条件是:齐次方程组0Ax =和0Bx =同解;(101P 例14) 4. ()()Tr AA r A =;(101P 例15)5. n 维向量线性相关的几何意义:①、α线性相关 ⇔0α=;②、,αβ线性相关⇔,αβ坐标成比例或共线(平行);③、,,αβγ线性相关 ⇔,,αβγ共面;6. 线性相关与无关的两套定理:若12,,,s ααα线性相关,则121,,,,s s αααα+必线性相关; 若12,,,s ααα线性无关,则121,,,s ααα-必线性无关;(向量的个数加加减减,二者为对偶)若r 维向量组A 的每个向量上添上n r -个分量,构成n 维向量组B :若A 线性无关,则B 也线性无关;反之若B 线性相关,则A 也线性相关;(向量组的维数加加减减) 简言之:无关组延长后仍无关,反之,不确定;7. 向量组A (个数为r )能由向量组B (个数为s )线性表示,且A 线性无关,则r s ≤(二版74P 定理7);向量组A 能由向量组B 线性表示,则()()r A r B ≤;(86P 定理3) 向量组A 能由向量组B 线性表示AX B ⇔=有解;()(,)r A r A B ⇔=(85P 定理2)向量组A 能由向量组B 等价()()(,)r A r B r A B ⇔ ==(85P 定理2推论) 8. 方阵A 可逆⇔存在有限个初等矩阵12,,,l P P P ,使12l A P P P =;①、矩阵行等价:~rA B PA B ⇔=(左乘,P 可逆)0Ax ⇔=与0Bx =同解②、矩阵列等价:~cA B AQ B ⇔=(右乘,Q 可逆); ③、矩阵等价:~A B PAQ B ⇔=(P 、Q 可逆); 9. 对于矩阵m nA ⨯与l nB ⨯:①、若A 与B 行等价,则A 与B 的行秩相等;②、若A 与B 行等价,则0Ax =与0Bx =同解,且A 与B 的任何对应的列向量组具有相同的线性相关性;③、矩阵的初等变换不改变矩阵的秩; ④、矩阵A 的行秩等于列秩; 10.若m ss n m n AB C ⨯⨯⨯=,则:①、C 的列向量组能由A 的列向量组线性表示,B 为系数矩阵; ②、C 的行向量组能由B 的行向量组线性表示,TA 为系数矩阵;(转置)11. 齐次方程组0Bx =的解一定是0ABx =的解,考试中可以直接作为定理使用,而无需证明;①、0ABx = 只有零解0Bx ⇒ =只有零解; ②、0Bx = 有非零解0ABx ⇒ =一定存在非零解; 12.设向量组12:,,,n rrBb b b ⨯可由向量组12:,,,n ss Aa a a ⨯线性表示为:(110P 题19结论)1212(,,,)(,,,)r s b b b a a a K=(B AK =)其中K 为s r ⨯,且A 线性无关,则B 组线性无关()r K r ⇔=;(B 与K 的列向量组具有相同线性相关性)(必要性:()()(),(),()r r B r AK r K r K r r K r ==≤≤∴=;充分性:反证法)注:当r s =时,K 为方阵,可当作定理使用; 13.①、对矩阵m nA ⨯,存在n mQ ⨯,mAQ E = ()r A m ⇔=、Q 的列向量线性无关;(87P )②、对矩阵m nA ⨯,存在n mP ⨯,nPA E =()r A n ⇔=、P 的行向量线性无关;14.12,,,s ααα线性相关⇔存在一组不全为0的数12,,,s k k k ,使得11220s s k k k ααα+++=成立;(定义)⇔1212(,,,)0s s x xx ααα⎛⎫ ⎪ ⎪= ⎪ ⎪⎝⎭有非零解,即0Ax =有非零解;⇔12(,,,)s r s ααα<,系数矩阵的秩小于未知数的个数;15. 设m n ⨯的矩阵A 的秩为r ,则n 元齐次线性方程组0Ax =的解集S 的秩为:()r S n r =-; 16.若*η为Ax b=的一个解,12,,,n rξξξ-为Ax =的一个基础解系,则*12,,,,n r ηξξξ-线性无关;(111P 题33结论)5、相似矩阵和二次型1. 正交矩阵TAA E ⇔=或1T A A -=(定义),性质:①、A 的列向量都是单位向量,且两两正交,即1(,1,2,)0T ij i j a a i j n i j=⎧==⎨≠⎩;②、若A 为正交矩阵,则1T AA -=也为正交阵,且1A =±;③、若A 、B 正交阵,则AB 也是正交阵;注意:求解正交阵,千万不要忘记施密特正交化和单位化; 2. 施密特正交化:12(,,,)r a a a11b a =;121121112211[,][,][,][,][,][,]r r r r r r r r r b a b a b a b a b b b b b b b b b ----=----; 3. 对于普通方阵,不同特征值对应的特征向量线性无关; 对于实对称阵,不同特征值对应的特征向量正交; 4. ①、A 与B 等价 ⇔A 经过初等变换得到B ;⇔=PAQ B ,P 、Q 可逆;()()⇔=r A r B ,A 、B 同型;②、A 与B 合同 ⇔=T C AC B ,其中可逆; ⇔T x Ax 与T x Bx 有相同的正、负惯性指数; ③、A 与B 相似 1-⇔=P AP B ;5. 相似一定合同、合同未必相似;若C 为正交矩阵,则T C AC B =⇒A B ,(合同、相似的约束条件不同,相似的更严格);6. A 为对称阵,则A 为二次型矩阵;7. n 元二次型T x Ax 为正定:A ⇔的正惯性指数为n ;A ⇔与E 合同,即存在可逆矩阵C ,使T C AC E =; A ⇔的所有特征值均为正数; A ⇔的各阶顺序主子式均大于0; 0,0ii a A ⇒>>;(必要条件)考研概率论公式汇总1.随机事件及其概率吸收律:A AB A A A A =⋃=∅⋃Ω=Ω⋃)( AB A A A A A =⋃⋂∅=∅⋂=Ω⋂)( 反演律:B A B A =⋃ BA AB ⋃= 2.概率的定义及其计算若B A ⊂ )()()(A P B P A B P -=-⇒ 对任意两个事件A , B , 有 )()()(AB P B P A B P -=- 加法公式:对任意两个事件A , B , 有3.条件概率乘法公式全概率公式Bayes 公式4.随机变量及其分布分布函数计算5.离散型随机变量(1) 0 – 1 分布(2) 二项分布 ),(p n B若P ( A ) = p* Possion 定理有 ,2,1,0!)1(lim ==---∞→k k e p p C kk n n k n k n n λλ(3) Poisson 分布 )(λP6.连续型随机变量(1) 均匀分布 ),(b a U(2) 指数分布 )(λE(3) 正态分布 N (? , ? 2 )*N (0,1) — 标准正态分布7.多维随机变量及其分布二维随机变量( X ,Y )的分布函数 边缘分布函数与边缘密度函数8. 连续型二维随机变量(1) 区域G 上的均匀分布,U ( G )(2)二维正态分布9.二维随机变量的条件分布10.随机变量的数字特征数学期望随机变量函数的数学期望X 的k阶原点矩X 的k阶绝对原点矩X 的k阶中心矩X 的方差X ,Y 的k + l阶混合原点矩X ,Y 的k + l阶混合中心矩X ,Y 的二阶混合原点矩X ,Y 的二阶混合中心矩X ,Y 的协方差X ,Y 的相关系数X 的方差D (X ) =E ((X - E(X))2)协方差相关系数。
高等数学公式导数公式:基本积分表:ax x a a a x x x x x x x x x x a x x ln 1)(log ln )(cot csc )(csc tan sec )(sec csc )(cot sec )(tan 22='='⋅-='⋅='-='='222211)cot (11)(arctan 11)(arccos 11)(arcsin x x arc x x x x x x +-='+='--='-='⎰⎰⎰⎰⎰⎰⎰⎰⎰⎰+±+=±+=+=+=+-=⋅+=⋅+-==+==Ca x x a x dx C shx chxdx C chx shxdx Ca a dx a Cx xdx x Cx dx x x Cx xdx x dx C x xdx x dx xx)ln(ln csc cot csc sec tan sec cot csc sin tan sec cos 22222222Ca x x a dx C x a xa a x a dx C a x ax a a x dx C a xa x a dx Cx x xdx C x x xdx Cx xdx C x xdx +=-+-+=-++-=-+=++-=++=+=+-=⎰⎰⎰⎰⎰⎰⎰⎰arcsin ln 21ln 21arctan 1cot csc ln csc tan sec ln sec sin ln cot cos ln tan 22222222⎰⎰⎰⎰⎰++-=-+-+--=-+++++=+-===-Cax a x a x dx x a Ca x x a a x x dx a x Ca x x a a x x dx a x I nn xdx xdx I n n nn arcsin 22ln 22)ln(221cos sin 2222222222222222222222ππ三角函数的有理式积分:222212211cos 12sin ududx x tg u u u x u u x +==+-=+=, , , A 。
考研三角函数公式三角函数在数学中是非常重要的一个分支,它主要研究的是角和三角形之间的关系。
而在考研数学中,三角函数也是必考内容之一、下面是三角函数的相关公式整理,供考研的同学们参考。
1、正弦函数(Sine Function):正弦函数是三角函数中最基本的一种函数。
它的定义域是实数集,值域是[-1,1]。
sinA = a / c2、余弦函数(Cosine Function):余弦函数是三角函数中常用的一种函数。
它的定义域是实数集,值域是[-1,1]。
cosA = b / c3、正切函数(Tangent Function):正切函数是三角函数中常用的一种函数。
它的定义域是实数集,值域是全体实数。
tanA = a / b4、余切函数(Cotangent Function):余切函数是三角函数中常用的一种函数。
它的定义域是实数集,值域是全体实数。
cotA = 1 / tanA5、正割函数(Secant Function):正割函数是三角函数中常用的一种函数。
它的定义域是实数集,值域是(-∞,-1]∪[1,+∞)。
secA = 1 / cosA6、余割函数(Cosecant Function):余割函数是三角函数中常用的一种函数。
它的定义域是实数集,值域是(-∞,-1]∪[1,+∞)。
cscA = 1 / sinA7、和差角公式:sin(A±B) = sinA * cosB ± cosA * sinBcos(A±B) = cosA * cosB ∓ sinA * sinBtan(A±B) = (tanA ± tanB) / (1 ∓ tanA * tanB)cot(A±B) = (cotA * cotB ∓ 1) / (cotB ± cotA)8、二倍角公式:sin2A = 2 * sinA * cosAcos2A = cos²A - sin²A = 2 * cos²A - 1 = 1 - 2 * sin²Atan2A = (2 * tanA) / (1 - tan²A)cot2A = (cot²A - 1) / (2 * cotA)9、半角公式:sin(A/2) = ±√[(1 - cosA) / 2]cos(A/2) = ±√[(1 + cosA) / 2]tan(A/2) = ±√[(1 - cosA) / (1 + cosA)]cot(A/2) = ±√[(1 + cosA) / (1 - cosA)]10、万能公式:sinA = (2 * tan(A/2)) / (1 + tan²(A/2))cosA = (1 - tan²(A/2)) / (1 + tan²(A/2))tanA = (2 * tan(A/2)) / (1 - tan²(A/2))以上是考研数学中常用的三角函数公式整理,希望对考研的同学们有所帮助。
考研极限公式范文1.常见的基本极限:- $\lim_{n\to\infty}(1+\frac{1}{n})^n=e$- $\lim_{n\to\infty}{\frac{1}{n^p}}=0$ ($p>0$)- $\lim_{n\to\infty}{\sqrt[n]{a}}=1$ ($a>0$)2.三角函数的极限:- $\lim_{x\to0}\frac{\sin x}{x}=1$- $\lim_{x\to0}\frac{\tan x}{x}=1$- $\lim_{x\to0}\frac{1-\cos x}{x^2}=\frac{1}{2}$3. $e^x$和$\ln x$的极限:- $\lim_{x\to0}\frac{e^x-1}{x}=1$- $\lim_{x\to+\infty}(1+\frac{1}{x})^x=e$- $\lim_{x\to0}\frac{\ln(1+x)}{x}=1$4.可用洛必达法则求解的一些极限:- $\lim_{x\to0}\frac{\sin x}{x}=1$- $\lim_{x\to+\infty}\ln x=x$- $\lim_{x\to0}\frac{\ln(1+x)}{x}=1$5.无穷小形式:- $\sin x \sim x$- $\tan x \sim x$- $1-\cos x \sim \frac{1}{2}x^2$需要说明的是,这些极限公式只是考研数学中的一部分公式,掌握它们可以帮助我们在解题时更快地得到结果,但并不是解题的核心。
在考研数学中,重要的是掌握解题的思路和方法,理解题目的要求,合理运用公式和定理。
综合运用各种公式和解题方法,灵活解决各种题目才是最关键的。
考研数学必背公式数学是考研的一门重要科目,无论是理工科还是文科,数学都是考研必考科目之一、在备考期间,掌握并背诵一些重要的数学公式是非常重要的,因为公式是解题的基础,可以帮助我们快速解决问题。
下面是一些考研数学中常见的重要公式,供大家背诵和复习使用:1.三角函数公式:sin(x ± y) = sinxcosy ± cosxsinycos(x ± y) = cosxcosy ∓ sinxsinytan(x ± y) = (tanx ± tany) / (1 ∓ tanxtany)sin²x +cos²x = 11 + tan²x = sec²x1 + cot²x = csc²x2.指数和对数公式:ab × ac = ab+c(ab)c = abca⁰=1,a¹=aaⁿ×aⁿ=aⁿ⁺ⁿ(a/b)ⁿ=aⁿ/bⁿalogba = alogba + logbc = logba*clogba - logbc = logba/c3.三角函数的基本关系:sin(π/2 - x) = cosxcos(π/2 - x) = sinxtan(π/2 - x) = cotxcot(π/2 - x) = tanxsin²x + cos²x = 1secx = 1/cosxcscx = 1/sinxcotx = 1/tanx4.高中数学知识:三角函数的定义:sinx = y/r, cosx = x/r, tanx = y/x, cotx = x/y, secx = r/x, cscx = r/ysin(-x) = -sinx, cos(-x) = cosx, tan(-x) = -tanxsin(π + x) = -sinx, cos(π + x) = -cosx, tan(π + x) = tanx sin(2π - x) = sinx, cos(2π - x) = cosx, tan(2π - x) = tanxsin(π/2 + x) = cosx, cos(π/2 + x) = -sinx, tan(π/2 + x) = -cotxsin(3π/2 - x) = -cosx, cos(3π/2 - x) = sinx, tan(3π/2 - x) = -cotx5.极限公式:lim(x→0) (sinx / x) = 1lim(x→0) (1 - cosx) / x = 0lim(x→∞) (1 + 1/x)^x = elim(x→0) (a^x - 1) / x = ln(a)6.求导公式:(d/dx) (c) = 0(d/dx) (x^n) = nx^(n-1)(d/dx) (sinx) = cosx(d/dx) (cosx) = -sinx(d/dx) (tanx) = sec²x(d/dx) (cotx) = -csc²x(d/dx) (secx) = secxtanx(d/dx) (cscx) = -cscxcotx(d/dx) (e^x) = e^x(d/dx) (lnx) = 1/x7.积分公式:∫(k)dx = kx + C∫(x^n)dx = (x^(n+1)) / (n+1) + C (n ≠ -1)∫(cosx)dx = sinx + C∫(sinx)dx = -cosx + C∫(sec²x)dx = tanx + C∫(csc²x)dx = -cotx + C∫(secx * tanx)dx = secx + C∫(cscx * cotx)dx = -cscx + C∫(e^x)dx = e^x + C∫(1/x)dx = ln,x, + C。
考研数学公式大全数学是考研的核心科目之一,而掌握必要的数学公式则是取得好成绩的关键。
以下是一份考研数学公式大全,涵盖了高等数学、线性代数和概率论与数理统计中的重要公式,希望能对备考研究生入学考试的同学有所帮助。
一、高等数学1、求导法则本文1)链式法则:f(u)f'(u)=f'(u)du本文2)乘积法则:f(u)g(u)=f'(u)g(u)+f(u)g'(u)本文3)指数法则:f(u)^n=nu'f(u)/(n-1)!2、求极值本文1)极值条件:f'(x)=0本文2)极值定理:f(x)在x=a处取得极值,则f'(a)=03、积分公式本文1)牛顿-莱布尼茨公式:∫f(x)dx=F(b)-F(a),其中F'(x)=f(x)本文2)微分定理:d/dx∫f(x)dx=f(x)本文3)积分中值定理:若f(x)在[a,b]上连续,则至少存在一点c∈[a,b],使得∫f(x)dx=f(c)(b-a)4、不定积分公式本文1)幂函数积分:∫x^n dx=(n+1)/n+1 x^(n+1)/n+1+C本文2)三角函数积分:∫sinx dx=cosx+C,∫cosx dx=-sinx+C 5、定积分公式本文1)矩形法:若a<=x<=b,a<=y<=b,则∫(a,b)(x^2+y^2)dx=∫(a,b)x^2 dx+∫(a,b)y^2 dx=(b-a)(x^2+y^2)/2本文2)梯形法:若a<=x<=b,a<=y<=b,则∫(a,b)(x^2+y^2)dx=∫(a,b)x^2 dx+∫(a,b)y^2 dx=(b-a)(x^2+[by]+[ax])/3二、线性代数6、行列式公式本文1)行列式展开式:D=a11A11+a12A12+...+an1An1,其中Aij为行列式中第i行第j列的代数余子式本文2)范德蒙行列式:V=(∏i=1n[(x-a)(i-1)]^(n-i)) / (∏i=1n[(x-a)(i-1)]),其中ai为行列式中第i行第i列的元素7、矩阵公式本文1)矩阵乘法:C=AB,其中Cij=∑AikBkj,k为矩阵乘法的维数本文2)逆矩阵:A^-1=(1/∣A∣)A,其中∣A∣为矩阵A的行列式值,A为矩阵A的伴随矩阵8、向量公式本文1)向量内积:〈a,b〉=a1b1+a2b2+...1、求导法则本文1)链式法则:若f是一个包含x和函数u=u(x),则f' = f'[u(x)] * u'(x)。
积化和差积化和差,指初等数学三角函数部分的一组恒等式.公式sinαsinβ=-[cos(α+β)—cos(α—β)]/2(注意此公式前的负号)cosαcosβ=[cos(α+β)+cos(α-β)]/2sinαcosβ=[sin(α+β)+sin(α—β)]/2cosαsinβ=[sin(α+β)—sin(α—β)]/2证明积化和差恒等式可以通过展开角的和差恒等式的右手端来证明。
即只需要把等式右边用两角和差公式拆开就能证明:sinαsinβ=-1/2[cos(α+β)—cos(α-β)]=—1/2[(cosαcosβ—sinαsinβ)-(cosαcosβ+sinαsinβ)]=-1/2[-2sinαsinβ]其他的3个式子也是相同的证明方法。
作用积化和差公式可以将两个三角函数值的积化为另两个三角函数值的和乘以常数的形式,所以使用积化和差公式可以达到降次的效果。
在历史上,对数出现之前,积化和差公式被用来将乘除运算化为加减运算,运算需要利用三角函数表。
运算过程:将两个数通过乘、除10的方幂化为0到1之间的数,通过查表求出对应的反三角函数值,即将原式化为10^k*sinαsinβ的形式,套用积化和差后再次查表求三角函数的值,并最后利用加减算出结果。
对数出现后,积化和差公式的这个作用由更加便捷的对数取代。
和差化积正弦、余弦的和差化积指高中数学三角函数部分的一组恒等式sin α+sin β=2sin[(α+β)/2]·cos[(α-β)/2]sin α-sin β=2cos[(α+β)/2]·sin[(α—β)/2]cos α+cos β=2cos[(α+β)/2]·cos[(α-β)/2]cos α—cos β=—2sin[(α+β)/2]·sin[(α-β)/2]以上四组公式可以由积化和差公式推导得到证明过程sin α+sin β=2sin[(α+β)/2]·cos[(α-β)/2]的证明过程因为sin(α+β)=sin αcos β+cos αsin β,sin(α-β)=sin αcos β-cos αsin β,将以上两式的左右两边分别相加,得sin(α+β)+sin(α—β)=2sin αcos β,设α+β=θ,α—β=φα=(θ+φ)/2,β=(θ-φ)/2把α,β的值代入,即得sin θ+sin φ=2sin(θ+φ)/2 cos(θ-φ)/2正切的和差化积tanα±tanβ=sin(α±β)/(cosα·cosβ)(附证明)cotα±cotβ=sin(β±α)/(sinα·sinβ)tanα+cotβ=cos(α—β)/(cosα·sinβ)tanα—cotβ=-cos(α+β)/(cosα·sinβ)证明:左边=tanα±tanβ=sinα/cosα±sinβ/cosβ=(sinα·cosβ±cosα·sinβ)/(cosα·cosβ)=sin(α±β)/(cosα·cosβ)=右边∴等式成立注意事项在应用和差化积时,必须是一次同名三角函数方可实行。
倒数关系:tanα·cotα=1sinα·cscα=1cosα·secα=1商的关系:sinα/cosα=tanα=secα/cscαcosα/sinα=cotα=cscα/secα平方关系:sin^2(α)+cos^2(α)=11+tan^2(α)=sec^2(α)1+cot^2(α)=csc^2(α)平常针对不同条件的常用的两个公式sin^2(α)+cos^2(α)=1tan α*cot α=1一个特殊公式(sina+sinθ)*(sina-sinθ)=sin(a+θ)*sin(a-θ)证明:(sina+sinθ)*(sina-sinθ)=2 sin[(θ+a)/2] cos[(a-θ)/2] *2 cos[(θ+a)/2] sin[(a-θ)/2]=sin(a+θ)*sin(a-θ)坡度公式我们通常半坡面的铅直高度h与水平高度l的比叫做坡度(也叫坡比),用字母i表示,即i=h / l, 坡度的一般形式写成l : m 形式,如i=1:5.如果把坡面与水平面的夹角记作a(叫做坡角),那么i=h/l=tan a.锐角三角函数公式正弦:sin α=∠α的对边/∠α的斜边余弦:cos α=∠α的邻边/∠α的斜边正切:tan α=∠α的对边/∠α的邻边余切:cot α=∠α的邻边/∠α的对边二倍角公式正弦sin2A=2sinA·cosA余弦1.Cos2a=Cos^2(a)-Sin^2(a)2.k3.Cos2a=2Cos^2(a)-1即Cos2a=Cos^2(a)-Sin^2(a)=2Cos^2(a)-1=1-2Sin^2(a)正切tan2A=(2tanA)/(1-tan^2(A))三倍角公式sin3α=4sinα·sin(π/3+α)sin(π/3-α)cos3α=4cosα·cos(π/3+α)cos(π/3-α)tan3a = tan a ·tan(π/3+a)·tan(π/3-a)三倍角公式推导sin(3a)=sin(a+2a)=sin2acosa+cos2asina=2sina(1-sin²a)+(1-2sin²a)sina=3sina-4sin^3acos3a=cos(2a+a)=cos2acosa-sin2asina=(2cos²a-1)cosa-2(1-cos^a)cosa=4cos^3a-3cosasin3a=3sina-4sin^3a=4sina(3/4-sin²a)=4sina[(√3/2)²-sin²a]=4sina(sin²60°-sin²a)=4sina(sin60°+sina)(sin60°-sina)=4sina*2sin[(60+a)/2]cos[(60°-a)/2]*2sin[(60°-a)/2]cos[(60°-a)/2] =4sinasin(60°+a)sin(60°-a)cos3a=4cos^3a-3cosa=4cosa(cos²a-3/4)=4cosa[cos²a-(√3/2)^2]=4cosa(cos²a-cos²30°)=4cosa(cosa+cos30°)(cosa-cos30°)=4cosa*2cos[(a+30°)/2]cos[(a-30°)/2]*{-2sin[(a+30°)/2]sin[(a-30°)/2]}=-4cosasin(a+30°)sin(a-30°)=-4cosasin[90°-(60°-a)]sin[-90°+(60°+a)]=-4cosacos(60°-a)[-cos(60°+a)]=4cosacos(60°-a)cos(60°+a)上述两式相比可得tan3a=tanatan(60°-a)tan(60°+a)现列出公式如下: sin2α=2sinαcosαtan2α=2tanα/(1-tan^2(α)) cos2α=cos^2(α)-sin^2(α)=2cos^2(α)-1=1-2sin^2(α) 可别轻视这些字符,它们在数学学习中会起到重要作用。
考研数学必背诱导公式大汇总摘要:做考研数学题最基础的是什么?当然是得记住各种的公式了。
公式忘记了,即使解题有思路也是白搭,所以在这里整理了常用的公式汇总,背一背它们绝对能在考场上发挥作用使的er。
►常用诱导公式公式一:设为任意角,终边相同的角的同一三角函数的值相等:sin(2k+)=sin(kZ)cos(2k+)=cos(kZ)tan(2k+)=tan(kZ)cot(2k+)=cot(kZ)公式二:设为任意角,的三角函数值与的三角函数值之间的关系:sin(+)=-sincos(+)=-costan(+)=tancot(+)=cot公式三:任意角与-的三角函数值之间的关系:sin(-)=-sincos(-)=costan(-)=-tancot(-)=-cot公式四:利用公式二和公式三可以得到与的三角函数值之间的关系:sin(-)=sincos(-)=-costan(-)=-tancot(-)=-cot公式五:利用公式一和公式三可以得到2与的三角函数值之间的关系:sin(2-)=-sincos(2-)=costan(2-)=-tancot(2-)=-cot公式六:/2及3/2与的三角函数值之间的关系:sin(/2+)=coscos(/2+)=-sintan(/2+)=-cotcot(/2+)=-tansin(/2-)=coscos(/2-)=sintan(/2-)=cotcot(/2-)=tansin(3/2+)=-coscos(3/2+)=sintan(3/2+)=-cotcot(3/2+)=-tansin(3/2-)=-coscos(3/2-)=-sintan(3/2-)=cotcot(3/2-)=tan(以上kZ)注意:在做题时,将a看成锐角来做会比较好做。
诱导公式记忆口诀:上面这些诱导公式可以概括为:对于/2*k(kZ)的三角函数值,①当k是偶数时,得到的同名函数值,即函数名不改变;②当k是奇数时,得到相应的余函数值,即sincos;cossin;tancot,cottan.(奇变偶不变)然后在前面加上把看成锐角时原函数值的符号。