陕西省各市历中考录取分数线
- 格式:doc
- 大小:29.00 KB
- 文档页数:2
2023安康汉滨区中考录取分数线(公布)2023安康汉滨区中考录取分数线2023陕西安康汉滨区各镇办中心校(教育集团)、区直各教育单位,各民办学校分数线如下:汉滨区全区普通高中录取最低控制分数线为 498.6分。
二、汉滨区全区普通高中统招录取分数:1.安康中学: 766.9分;2.安康中学高新分校公办学位:788.7分:民办学位:725.3;3.汉滨高级中学:737.7分;4.安康高新中学: 764.1分;5.江北高级中学:685.5分;6.安康市第二中学: 659.6分;7.张滩高级中学:620.3分;8.五里高级中学:582.2分;9.瀛湖中学:553.9分;10.大河中学: 512.5 分;11.流水中学: 525.5 分;12.恒口高中: 542.4分;13.安康黄冈实验学校: 498.6 分;14.安康长兴学校: 591.5 分。
历年安康汉滨区中考录取分数线是多少2022年汉滨区普通高中录取最低控制分数线为483.5分。
2022年汉滨区普通高中录取分数线:1、安康中学 725.9分2、安康中学高新分校(公办学位)743.7分3、安康中学高新分校(民办学历)677.4分4、汉滨高级中学 685.0分5、安康高新中学710.4分6、江北高级中学 630.0分7、安康市第二中学 597.6分8、漳潭中学 563.8分9、五里中学 529.9分10、鹰湖中学 518.2分11、大河中学 490.0分12、流水中学495.0分13、横口中学 502.5分14、安康市黄丰实验学校 483.5分15、安康长兴学校 548.1分2021年汉滨区普通高中录取最低控制分数线为443.3分。
2021年汉滨区各普通高中统招生录取分数线:1. 安康中学 703.9分2. 安康中学高新分校(公办学校) 714.6分3. 安康中学高新分校(民办学校)642.9分4. 汉滨高级中学 658.6分5. 安康高新中学 680.0分6. 江北高级中学 589.3分7. 安康市第二中学 543.7分8. 张滩高级中学 503.8分9. 五里高级中学 470.0分10. 瀛湖中学 468.1分11. 大河中学 445.2分12. 流水中学 448.4分13. 恒口高级中学 449.1分14. 安康黄冈实验学校 444分15. 安康长兴学校 494.7分中考怎么知道自己录取了一般来说只要中考考生被录取了,学校会有中考录取通知书寄到你家里的或者打电话给你。
西安各高中历年录取分数线西安城六区——碑林区、新城区、莲湖区、雁塔区、未央区(含沣东新城)灞桥区,普通高中录取分数线为440分;五年制高职建档分数线180分,普通中专为150分。
2009-2012年西安中考录取分数线:学校类型学校名称2009年2010年2011年2012年(含体育,不包括英语听力/实验)(含听力体育)省示范高中西工大附中565 594 589(择校562)585铁一中566 589 589 586西安交大附中558 581 580 575 高新一中本部560(国际部552)577 581(国际部570)580(国际部571)师大附中553 575 574 570西安中学550 570(择校556)572(择校557)563西安市第一中学542 567 567(择校559)562西安市第八十三中531563(择校558,宏志班528)565(择校550,宏志班510,凌志班570-574,春笋班575以上)558(择校549)西北大学附中526 549 554(择校547)551西安市第八十九中516 541 544(择校517)544西安市第八十五中517 535 541 541 长安一中508 528 518 520(择校518)户县一中497 519 508 ——省标准高中西安高级中学529 559 559 551 唐南中学529 550 542 546 西安铁一中国际部543 575 573 570 西安市第三中学514 545 554 550 西电附中521 544 541 538 西安市第二十六中511 538 542 538庆安中学509 534 538 525西光中学507 533 536(择校515)535远东一中503 530 532 532(择校517)西安市第七十中500 522 531 530 建大附中494 521 519 523航天中学513 521 520(择校503)521西安市第六中学500 516 525 518 曲江一中——515 522 552黄河中学511 513 521 512西安交大二附中496 512 516 520西安市第八中学485 509 516 519 远东二中496 506 513 516育才中学478 500 511 505华山中学486 494 503 498西电高中485 492 498 492西安市第八十二中453 491 500(择校481)504长安大学附中455 484 492 494西安市第六十六中468 482 501 516 五环中学481 479 504 507中铁中学452 474 471 483西安市第七十五中461 473 481 502西安市第三十中444 463 467 482 东方中学463 458 471 472西航一中——461 470 489。
2023年陕西各市区中考分数线预测汇总2023年西安中考分数线预测:1、西工大附中:672分;2、铁一中:667分;3、高新一中:668分。
2022年铜川中考分数线预测:1、第一批次分数线,录取最低控制分数线:415分;2、第二批次分数线,录取最低控制分数线:446分;3、第三批次分数线,录取最低控制分数线:409分。
2023西安中考录取分数线预测西工大附中:672分铁一中:667分高新一中:668分交大附中:665分师大附中:653分西安中学:651分市三中:642分市一中:645分西大附中:643分曲江一中:637分西安高级中学:626分庆安中学:611分航天中学:609分2023铜川中考录取分数线预测提前批次(普通高中特长生)分数线,文化课录取最低控制分数线:247分;第一批次(定向生)分数线(面向26所定向生学校),录取最低控制分数线:415分;第二批次(省级标准化高中)分数线,录取最低控制分数线:446分;第三批次(普通高中)分数线,录取最低控制分数线:409分;第四批次(职业高中)分数线,录取最低控制分数线:153分;第五批次(省属驻铜技工学校)分数线,录取最低控制分数线:156分。
2023宝鸡年中考录取分数线预测一、县区公办普通高中最低录取分数线1.渭滨区465分2.金台区465分3.陈仓区425分4.凤翔县420分5.岐山县400分6.扶风县423分7.眉县414分8.陇县400分9.千阳县372分10.麟游县378分11.凤县402分12.太白县364分二、全市民办普通高中最低控制分数线:360分。
三、全市普通高中艺体特长生最低控制分数1.公办高中:中考成绩350分,专业测试成绩合格。
2.民办高中:中考成绩320分,专业测试成绩合格。
2023商洛中考分数线预测商洛中学录取最低控制线为425分。
洛南县中学录取最低控制线为416分。
丹凤中学录取最低控制线为408分。
柞水中学录取最低控制线为451分。
咸阳市2023年中考录取分数线咸阳市2023年中考录取分数线全市统招最低控制线、县市区招生最低控制线、民办学校招生最低控制线执行同一最低控制线。
具体如下:咸阳市区(秦都区、渭城区)585分武功县、三原县、泾阳县550分兴平市、礼泉县、彬州市543分乾 ?县525分永寿县、淳化县520分长武县、旬邑县486分特长生招生最低控制线为考生所在县市区招生最低控制线的75%中考志愿填报注意事项考生登录中考志愿填报系统成功后,先不要急于进行志愿填报,首先要认真浏览首页的相关注意事项,明确填报要求;二是认真查看中考志愿填报系统公告信息栏有关信息;三是要明确自己所要填报学校的学校代码或专业代码。
由于中考志愿录取的原则是从高分到低分,按照考生的中考志愿填报顺序进行录取。
因此,第一志愿可报与自己平时的水平相对或稍高一点的学校,下一个中考志愿填报要比平时水平报得稍低一点形成一个由高到低的“梯度”。
中考志愿应该怎样填报第一步:了解孩子的成绩,预估中考成绩因为中考志愿在中考前就要填报,所以为了更好的填报志愿,家长和孩子们需要在填报志愿前进行预估中考分。
这一环节相当重要,但是也比较困难。
虽然预估分不可能十分正确,但大家还是能够预估出一个大概范围,为填报志愿做参考。
第二步:选择学校在择校时,建议大家采用三步定位法:首先自身水平定位,综合分析初中阶段成绩及自己所获得相关奖项做自身定位排名;其次合理预测初三一年的成长空间,中考时可以提升到什么档次。
最后参考院校往年录取情况及规则,结合自身目前综合实力确定几所目标院校。
如果定位不明确很容易导致,即使中考成绩很好,但是因为考生填报的志愿不合理,最终还是不能被目标院校录取。
第三步:中考志愿填报1、各批次的填报顺序没有规定,考生可根据招生学校所在的批次自行填报。
2、中考志愿填报同批次内须遵循从第一志愿到后续志愿的填报顺序,要注意各区对志愿个数的限制。
3、提前批的指标计划志愿只能填报分配到考生毕业学校的示范性普通高中指标计划。
陕西中考线多少分2023
2023年陕西各地中考录取分数线如下:
1. 西安市城六区:539分;体育艺术特长生:323分;长安区:520分;蓝田县:419分;体育艺术特长生:251分;阎良区:466分;体育艺术特长生:280分;高陵区:463分;临潼区:447分;鄠邑区:455分;周至县:425分。
2. 咸阳市区(秦都区、渭城区):585分;武功县、三原县、泾阳县:550分;兴平市、礼泉县、彬州市:543分。
以上分数线仅供参考,请注意,每年的分数线都会有所不同,且不同地区的中考分数线也有所差异。
因此,对于具体某年某地的中考分数线,建议参考当地教育部门或学校官网发布的信息。
2023年西安中考各高中录取分数线(公布)2023年西安中考各高中录取分数线(公布)中考志愿相对于高考比较容易填报,考生只要正确判断自己的学习状况,理清自己想要填报志愿学校的顺序即可。
以下是小编整理的2023年西安中考各高中录取分数线公布,希望可以提供给大家进行参考和借鉴。
2023年西安中考各高中录取分数线公布2023年西安市城六区普通高中学校招生录取最低控制线为539分,体育艺术特长生最低录取控制线为323分。
中考填报志愿如何录取中考填报志愿录取按照分数优先,依照志愿顺序的原则。
统招填报志愿顺序要遵循:从高到低原则,一冲二稳三保。
包括第二批次的非省标志愿也是同样的道理。
“分数优先”:假如有甲和乙两位同学参加中考,考试成绩分别为420分和419分。
那么就会先查看甲同学的的志愿表,甲同学的志愿处理完投完档录取后,才会去处理乙同学的志愿。
这就是“分数优先”的意思。
“依照志愿顺序”:还是上面那个例子,在处理甲同学的志愿时,会先看甲的第一志愿。
比如第一志愿是深圳中学,再看一下深圳中学是否已经录满,假如未录满,那么甲同学的档案就会被投到深圳中学,甲被深圳中学录取。
甲被录取后,不会再看甲同学余下的其它志愿。
而如果深圳中学早已录满,那么就接着看甲同学的第二志愿,以此类推。
中考填报志愿顺序不能颠倒各个学校的录取分数排名,一年之间变化不至于太大,所以,填报志愿的时候,一定要认真参考近两三年来志愿学校的分数变化情况,志愿顺序,一定是从高分到低分顺序排列,否则,容易出现考生考出高分却被更低一个档次的学校录取的情况。
中考第一志愿一定要填吗第一志愿一定要填。
第一志愿就是填你最想去且有一定把握的学校,学校招生从第一至第四志愿依次考虑,但是第二三四志愿分数要求会略高,总之第一志愿要慎重,特别是定向。
统招第一志愿就要看你自己的实力了,统招没上,再看定向,招生。
根据考生志愿,按考生升学成绩总分(第一台阶)从高到低依次进行录取;若考生总分相同,则语数英3科分数之和(第二台阶)高的优先录取;若仍然相同,则按综合素质评定等价(第三台阶)的高低排序;若再相同,则物理化学(合卷)分数(第四台阶)高的优先录取。
2021年陕西铜川中考分数线已公布【导语】中考频道从铜川教育局了解到,2021年陕西铜川中考分数线已公布,具体如下:经铜川市高中招生工作领导小组研究批准,现将2021年铜川市普通高中和职业高中招生录取最低控制分数线及相关工作要求予以公布:分数线:第一批次定向生分数线(面向24所定向生学校),录取最低控制分数线:420分;第二批次省级标准化高中分数线,录取最低控制分数线:450分;第三批次普通高中分数线,录取最低控制分数线:360分;第四批次职业高中分数线,录取最低控制分数线:190分;普通高中特长生分数线,文化课录取最低控制分数线:216分。
2021年全市普通高中招生特长生、第一批次定向生、第二批次省级标准化高中统一招生集中录取工作已经结束,现将各校各批次录取情况公告如下:按照考生志愿,按计划由高分到低分录取的办法,全市共录取各类特长生116名。
铜川市第一中学北关校区定向生录取最低分420分,统招生录取按照学生第一志愿由高分到低分全部录满,最低分505分。
耀州中学定向生录取最低分420分,统招生录取按照学生第一志愿由高分到低分全部录满,最低分518分。
铜川市第一中学新区校区定向生录取最低分420分,统招生录取按照学生第一志愿由高分到低分全部录满,最低分454分。
铜川矿务局第一中学定向生录取最低分420分,统招生录取最低分450分。
陕西煤炭建设公司第一中学定向生录取最低分420分,统招生录取最低分450分。
宜君县高级中学定向生录取最低分420分,统招生录取最低分450分。
目前,铜川矿务局第一中学、陕西煤炭建设公司第一中学、宜君县高级中学统招计划尚未完成。
铜川矿务局第一中学标准化高中统招计划剩余71个、陕西煤炭建设公司第一中学剩余345个、宜君县高级中学剩余43个。
请中考成绩在450分(含450分)以上、未被录取的考生,登陆铜川市中招管理系统,填报铜川矿务局第一中学、陕西煤炭建设公司第一中学、宜君县高级中学3所学校标准化高中征集志愿。
西安(2023)中考各高中录取分数线西安(2023)中考各高中录取分数线中考的志愿全是分批次开展的,有提前批次、第一批、第二批,第三批等。
在每一批志愿中又分成第一志愿、第二志愿、第三志愿。
以下是小编整理的西安中考各高中录取分数线,希望可以提供给大家进行参考和借鉴。
西安2023中考各高中录取分数线2023年西安市城六区普通高中学校招生录取最低控制线为539分,体育艺术特长生最低录取控制线为323分。
中考志愿填报规则如果不把本校或某校填在第一志愿,是否影响录取?不影响。
中招录取的原则是:德、智、体全面衡量,从高分到低分,按考生填报的志愿顺序择优录取。
误导或强迫考生必须把本校或某校填报在第一志愿的做法是没有政策依据的,也是侵害考生权益的。
(必须填报为第一志愿的学校和专业除外。
)考生志愿信息上交后能否再更改?不能更改。
这是因为考生填报志愿是在统一规定的时间内、在不知道所报学校的报考人数、不知道自己考试分数的情况下进行的,而且每个考生都希望争取到更多的录取机会,实现被最理想的学校录取的愿望。
如果允许个别考生在得知学校报考人数、考试成绩等招生考试信息后更改志愿信息,则将破坏招生录取工作的公平、公正原则。
为了维护广大考生的利益,招生部门规定,考生志愿信息一旦经确认被采集后,任何人不得以任何理由更改考生志愿信息。
中考要填报志愿吗中考需要填报志愿的。
考生填报志愿时所填录取区域必须与中考报名时确定的录取区域相一致。
志愿填报在中考成绩公布后进行。
根据各高中招生范围、招生计划,每个考生按中考报名时确定的录取区域,根据自己意愿最多可以填报普通高中与职业学校各 6 个志愿。
凡填报民办学校志愿的学生,应充分考虑家庭经济承受能力。
考生所填普通高中志愿必须符合各自确定的录取区域,否则该志愿作废。
考生必须认真完整填写志愿表,并经考生本人、考生家长确认,学校确定相关人员审核。
志愿表由学校保存一年以上备查。
学生志愿由初中学校落实专人进行网上上报,上报人员对所报数据的准确性负责。
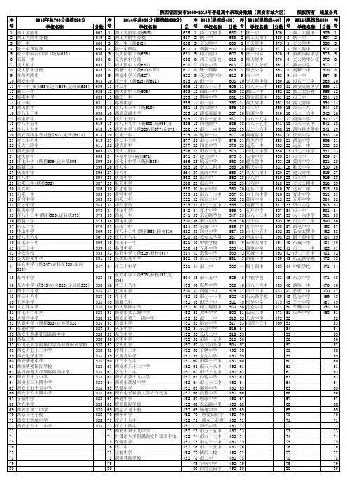
西安中考历年录取分数线(2005-2012)2012年西安中考分数线序号学校分数线1 铁一中 5862 西工大附中 5853 西安交大附中575(571)4 高新一中 5715 铁一中国际合作学校570(565)6 陕师大附中 5707 西工大附中分校5678 西安中学 563(535)9 西安市第一中学56210 交大附中分校56011 西安市第八十三中学558(549)12 曲江一中 55213 西北大学附中55114 西安高级中学55115 西安市第三中学55016 唐南中学 54617 西安第89中学54418 西安市第85中学 54119 西电附中 53820 西安市第26中学 53821 西光中学 53522 远东一中 532(517)23 西安市第70中学 53024 庆安中学 52525 建大附中 52326 航天中学 52127 交大第二附中52028 长安区第一中学520(518)29 西安市第八中学51930 西安市第六中学51831 远东二中 51632 西安市第66中学 51633 黄河中学 51234 高新三中 51135 五环中学 50736 育才中学 50537 西安市第十中学505 38 西安市第82中学 50439 西安市第75中学 50240 华山中学 49841 长安大学附中 49442 西电中学 49243 东城一中 49244 西航一中 48945 西安市第44中学 48546 中铁学校 48347 西安市第86中学 48348 西安第30中学48249 东元路中学 48050 庆华中学 47551 昆仑中学 47452 长庆二中 47353 东方中学 47254 西安市第43中学 46955 车辆中学 4662011西安中考录取分数线西工大附中 594西铁一中 589交大附中 581高新一中 577陕师大附中 575西安中学 570西安一中 567西安市第八十三中学 563西安高级中学559八十九中学 541八十五中学 535唐南中学 550西大附中 549铁一中国际部 575西安三中 545西电附中 544二十六中学 538庆安中学 534西光中学 533远东一中 530七十中学 522建大附中 521航天中学 521六中 516黄河中学 513交大二附中512八中 509远东二中 506育才中学 500华山中学 494西电中学 492八十二中学 491十中 485长大附中 484六十六中学 482五环中学 479四十四中学 478中铁中学 474七十五中学 473英才中学 470四棉中学 470东元路中学 465三十中学 463西航中学 461东方中学 458五十三中学 456昆仑中学 453三十八中学 451庆华中学 450交大阳光中学 449西京中学 449含光中学 446车辆中学 443三十四中学 438外语学校中学 433博迪中学 431自立中学 430兴华中学 430西城中学 430六十四中学 4302010年西安重点高中录取分数线(含听力及体育成绩)西安西工大附中 594西安铁一中 589西安交大附中 581西安高新一中 577西安铁一中国际班 575师大附中 575西安中学 570西安市第一中学 567西安市第八十三中 563西安高级中学 559西安唐南中学 550西北大学附中 549西安市第三中学 545西安电子科技大学附中 544西安市第八十九中 541西安市第二十六中 538西安市第八十五中 535庆安中学 534西光中学 533远东一中 530西安市第七十中 522建大附中 521航天中学 521西安市第六中学 516黄河中学 513西安交大二附中 512西安市第八中学 509远东二中 506育才中学 500华山中学 494西电高中 492西安市第八十二中 491西安市第十中学 485长安大学附中 484西安市第六十六中 482五环中学 479西安市第四十四中 478中铁 474西安市第七十五中 473英才中学 470四棉中学 470东元路中学 465 西安市第三十中 463西航一中 461东方中学 458西安市第五十三中 456昆仑中学 453西安市第三十八中 451庆华中学 450交大阳光中学 449西京中学 449含光中学 446车辆中学 443三十四中 438外语学校 433博迪中学 431自立中学 430兴华中学 430西城中学 430六十四中 4302009年西安中考部分重点高中录取分数线(成绩为体育分(满分50)+文化课(满分550),不包括英语听力,实验)1 西铁一中 5662 西工大附中 5653 高新一中(本部) 5604 西安交大附中 5585 陕西师大附中 5536 高新一中(国际部) 5527 西安中学 5508 西安市第1中学 5429 西安市第83中学 53110 西安高级中学 52911 唐南中学 52912 西北大学附中 52613 西电科大附中 52114 西安市第85中学 51715 西安市第89中学 51616 西安市第3中学 51417 航天中学 51318 黄河中学 51119 西安市第26中学 51120 庆安中学 50921 西光中学 50722 远东一中 50323 西安市第6中学 50024 西安市第70中学 50025 交大二附中 49626 远东二中 49627 建科大附中 49428 华山中学 48629 西安市第8中学 48530 西电一中 48531 五环中学 48132 育才中学 47833 西安市第10中学 47634 西安市第44中学 47035 西安市第66中学 46836 东方中学 46337 西安市第75中学 46138 长安大学附中 45539 西安市第82中学 45340 中铁中学 45241 英才中学 44742 西安市第38中学 44543 西安市第30中学 44444 西安市第34中学 43145 西安市第64中学 41346 省建一中 4102008年西安中考部分重点高中录取分数线(不含体育及听力成绩)1 西工大附中 5112 西铁一中 5113 高新一中 5094 西安交大附中 508 择校 5015 陕西师大附中 501 择校 4916 西安中学 4987 西安市第1中学 4868 西安高级中学 4839 西安市第83中学 478 择校 47010 西北大学附中 47611 西安市第85中学 466择校 45012 西安市第3中学 4632007年西安中考部分重点高中录取分数线(不含体育及听力成绩)西工大附中 518西铁一中 517西安交大附中 514高新一中 516西安中学 509陕西师大附中 503西安市第83中学 481西安高级中学 494西北大学附中 487西安市第1中学 490西安市第89中学 480西安市第26中学 472西电附中西安市第6中学 468西安市第85中学 461黄河中学 464西安市第3中学 469西光中学 459华山中学 445东方中学 406西安市第70中学 457庆安中学 461西安市第44中学 404 2006年西安中考重点高中录取分数线(不含体育及听力成绩)西工大附中519师大附中508高新一中511西安市第一中学48889中47683中4852005年(不含体育分)西工大附中573分西安铁一中561分交大附中560分高新一中558分西安中学555分师大附中551分。
西安中考历年录取分数线(2005-2010)2010年西安重点高中录取分数线(含听力及体育成绩)西安西工大附中594西安铁一中589西安交大附中581西安高新一中577西安铁一中国际班575师大附中575西安中学570西安市第一中学567西安市第八十三中563西安高级中学559西安唐南中学550西北大学附中549西安市第三中学545西安电子科技大学附中544西安市第八十九中541西安市第二十六中538西安市第八十五中535庆安中学534西光中学533远东一中530西安市第七十中522建大附中521航天中学521西安市第六中学516黄河中学513西安交大二附中512西安市第八中学509远东二中506育才中学500华山中学494西电高中492西安市第八十二中491西安市第十中学485长安大学附中484西安市第六十六中482五环中学479西安市第四十四中478中铁474西安市第七十五中473英才中学470四棉中学470东元路中学465西安市第三十中463西航一中461东方中学458西安市第五十三中456昆仑中学453西安市第三十八中451庆华中学450交大阳光中学449西京中学449含光中学446车辆中学443三十四中438外语学校433博迪中学431自立中学430兴华中学430西城中学430六十四中4302009年西安中考部分重点高中录取分数线(成绩为体育分(满分50)+文化课(满分550),不包括英语听力,实验)1 西铁一中5662 西工大附中5653 高新一中(本部) 5604 西安交大附中5585 陕西师大附中5536 高新一中(国际部) 5527 西安中学5508 西安市第1中学5429 西安市第83中学53110 西安高级中学52911 唐南中学52912 西北大学附中52613 西电科大附中52114 西安市第85中学51715 西安市第89中学51616 西安市第3中学51417 航天中学51318 黄河中学51119 西安市第26中学51120 庆安中学50921 西光中学50722 远东一中50323 西安市第6中学50024 西安市第70中学50025 交大二附中49626 远东二中49627 建科大附中49428 华山中学48629 西安市第8中学48530 西电一中48531 五环中学48132 育才中学47833 西安市第10中学47634 西安市第44中学47035 西安市第66中学46836 东方中学46337 西安市第75中学46138 长安大学附中45539 西安市第82中学45340 中铁中学45241 英才中学44742 西安市第38中学44543 西安市第30中学44444 西安市第34中学43145 西安市第64中学41346 省建一中4102008年西安中考部分重点高中录取分数线(不含体育及听力成绩)1 西工大附中5112 西铁一中5113 高新一中5094 西安交大附中508 择校5015 陕西师大附中501 择校4916 西安中学4987 西安市第1中学4868 西安高级中学4839 西安市第83中学478 择校47010 西北大学附中47611 西安市第85中学466 择校45012 西安市第3中学4632007年西安中考部分重点高中录取分数线(不含体育及听力成绩)西工大附中518西铁一中517西安交大附中514高新一中516西安中学509陕西师大附中503西安市第83中学481西安高级中学494西北大学附中487西安市第1中学490西安市第89中学480西安市第26中学472西电附中西安市第6中学468西安市第85中学461黄河中学464西安市第3中学469西光中学459华山中学445东方中学406西安市第70中学457庆安中学461西安市第44中学4042006年西安中考重点高中录取分数线(不含体育及听力成绩)西工大附中519师大附中508高新一中511西安市第一中学48889中47683中4852005年(不含体育分)西工大附中573分西安铁一中561分交大附中560分高新一中558分西安中学555分师大附中551分。
西安是我国历史文化名城,也是一个教育资源丰富的城市。
每年,许多学生和家长都关注着西安的中考分数线,尤其是普通高中的录取分数线。
2023年的中考即将到来,那么西安的中考普高线究竟是多少分呢?接下来,我们将围绕这一主题展开讨论。
一、西安中考普高线的分数构成西安市中考的考试科目包括语文、数学、外语、物理、化学、生物以及政治、历史、地理等文科综合和理科综合。
其中,语文、数学、外语三门科目的成绩占据了非常重要的地位,往往也是考生们最为关注的科目。
这三门科目的成绩也是影响西安中考普高线的主要因素。
二、历年西安中考普高线分数情况通过对西安市往年的中考分数线进行整理分析,可以看出,西安的中考普高线在不同年份有着一定的波动,但总体呈现出逐年上升的趋势。
以2019年为例,西安市文理科综合成绩线均为505分,而普高线在430分左右。
随着教育的发展和改革,西安市中考普高线逐年上升的现象也得到了印证。
2020年,文理科综合成绩线分别达到了515分,而普高线也有所提高,达到了440分以上。
可以预期,在2023年,西安市的中考普高线也将继续呈现上升的趋势。
三、分数线的受影响因素西安市中考普高线究竟受到什么因素的影响呢?教育政策的调整和改革是一个重要的因素。
政策的变化往往会直接影响到中考的内容和难度,从而也会间接地影响到普高线的变化。
另外,学生的整体水平和备考状况也会对中考普高线产生影响。
学生们的整体成绩水平提高,会导致分数线的上升;而如果学生整体成绩不理想,分数线则可能会有所下降。
教育资源的分配和利用也会对分数线产生一定的影响。
城市不同地区的教育资源分配不均衡,导致了各个学校之间的实力差距。
这也会在一定程度上影响到普高线的分数情况。
四、对学生的启示对于即将参加2023年西安市中考的学生来说,了解中考普高线的情况是非常重要的。
这不仅有助于学生们更好地把握考试的重点和难点,还能够帮助他们更好地规划备考和选校的方向。
在备考过程中,学生们应该注重提高基础知识和运用能力,适当调整学习方法,落实到每一个科目的备考上。
2023延安市中考录取最低控制分数线公布2023延安市中考录取最低控制分数线公布根据延安市2023年普通高中招生计划和九年级初中学业水平考试成绩,经市教育局研究,确定延安市2023年普通高中录取最低控制分数线为553分。
2022年延安最低控制分数线和各中学录取分数线根据延安市2022年普通高中招生计划和九年级初中学业水平考试成绩,按照职普招生比例,经市教育局研究,确定延安市2022年普通高中录取最低控制分数线为537分。
具体各高中录取情况如下:延安中学最低控制分数线:宝塔区728,全市736新区高级中学最低控制分数线:宝塔区744,全市746实验中学最低控制分数线:宝塔区718,全市724宜川中学最低控制分数线:全市710宝塔区第四中学最低控制分数线:宝塔区706宝塔高级中学最低控制分数线:宝塔区664,全市715北大培文最低控制分数线:宝塔区661,全市716分博文中学最低控制分数线:宝塔区617,全市676育英中学最低控制分数线:宝塔区548,全市6082023延安中考成绩时间2023延安中考成绩7月13日10:00公布2023延安中考成绩查询方式届时,考生可通过以下方式查询成绩:方式一登录延安市考试招生管理系统(124.116.27.122:8082)进行查询;方式二登录延安市2023年初中学业水平考试成绩查询系统(120.46.83.26/)进行查询;方式三手机下载“i延安”APP(仅支持安卓系统),进入首页后,点击“全部”,选择“文化教育”板块,点击“延安市初中学业水平考试成绩查询”进行查询。
2023延安市高中招生计划1.招生计划编制。
严格落实普通高中招生计划市级核准、省级备案制度。
县(市、区)普通高中的招生计划和定向招生计划由县级教育行政部门提出及分配,市属普通高中的招生计划和定向招生计划由市教育局提出及分配。
市教育局按照“统筹推进职普协调发展,合理调控普通高中学位供给和招生规模,适应改革新要求和人民群众的新期盼”的要求,根据各县(市、区)初中毕业生数、申报计划、普通高中办学条件及规模、国家规定班额标准、往年招生等情况,核准全市公办、民办普通高中招生计划,并报省教育厅备案后下达执行。
陕西宝鸡中考录取分数线已公布2021考生填报志愿之前,需要先获取自己的考试成绩,并且了解中考的分数线。
下面就是小编整理的陕西宝鸡中考录取分数线已公布2021,仅供参考。
陕西宝鸡中考录取分数线2021市2021年普通高中最低录取控制分数线为440分,艺体特长生最低录取控制分数线为410分。
一、考生于7月14日8:00至7月16日18:00,登录宝鸡教育云平台“中考中招系统”填报志愿,逾期不填报者视为放弃参与普通高中录取资格。
二、全市公办、民办普通高中统一执行普通高中最低录取控制分数线、艺体特长生最低录取控制分数线。
报考艺体特长生须专业测试成绩合格。
三、宝鸡中学、宝鸡南山中学对中考成绩668分以上(含668分)的考生,均执行公办普通高中收费标准,其他考生按物价部门审批(备案)的民办学校收费标准执行。
四、公办、民办普通高中均按照考生中考成绩、招生范围和所填报志愿从高分到低分依次录取,录满为止。
为指导考生和家长理性填报志愿,根据各县区招生计划公布公办普通高中指导线如下:渭滨区、金台区504分;陈仓区、凤翔区476分;岐山县、扶风县、眉县474分;陇县、麟游县465分;凤县444分;千阳县、太白县440分。
五、民办普通高中如未完成招生计划,将面向全市征集志愿并组织补录。
拓展阅读:中考志愿填报注意事项是什么1、在填报中考志愿的时候不想去的学校不能填,拿第一批录取来说,考生如果不想去五年制高职,如果在第一批志愿中填报该志愿,很大可能会被录取。
如果第一批被录取了,后面就没机会了。
2、一定尽可能填满平行志愿的一大好处是让考生有更多选择的机会。
因此在填报志愿时,尽可能把志愿填满,想去的都要填。
以前实行“志愿优先”时,如果同时填一中、双十,其中有一个肯定是无效的;实行“平行志愿”后,一中、双十两个都可以填,哪个学校放前面,考生根据个人意愿填报。
因为实行平行志愿,录取学校对考生来说是平行的,“扎堆”的风险性小一些,可能上的都可以填,获取最大的机会。
陕西西安2021中考分数线已公布西安今年的中考录取分数线已经公布了,西安的同学赶紧来看看自己的中考分数线情况,是否都达到中考录取分数线要求。
本文是小编给大家带来的“陕西西安2021中考录取分数线已公布”,供各位同学和家长参考,感谢您的阅读。
陕西西安2021中考录取分数线经西安市中招领导小组会议研究决定,2021年西安市城六区,即新城区、碑林区、莲湖区、灞桥区、未央区、雁塔区等六区及其各自已划归开发区管理的地区(以下简称城六区),普通高中学校招生录取最低控制线为496分;体育艺术特长生最低录取控制线为普通高中学校招生录取最低控制线的60%,最低录取控制线为298分。
五区二县,即阎良区、临潼区、高陵区、长安区、鄠邑区五区和蓝田县、周至县二县及其各自已划归开发区管理的(以下简称五区二县),普通高中学校招生录取建议最低控制线,通过各区县教育局与城六区同步公布。
拓展阅读:分数线出来之后做什么1、关注录取状态8月中下旬,各批次会进行网上录取,家长们要时刻关注自家孩子的录取状况,千万不要以为过线了就稳了,尤其是二批、三批和分配生。
2、领录取通知书8月中下旬各批次网上远程录取,届时家长们需要到各高中学校领取录取通知书(各校时间和地点不一致,以官方消息为准)。
3、关注补录的消息补录预计会在8月中旬进行,招考网发布补录的学校和名额,主要是针对二批和三批,家长在规定的时间内填报征集志愿。
招考办根据考生填报的征集志愿,按照分数从高到低录取。
关于录取中考录取顺序是从提前批到第四批依次录取的。
如果被提前批录取,后面批次的志愿就失效了;如果没被提前批录取,不影响后面的录取。
第一批次的一个志愿若未被录取,会滑到第二批次,这里注意,第二批次和第三批次的3个志愿并非平行志愿。
所以二批、三批的录取变动较大,不能像一批和提前批那样,对比分数线和成绩就知道自己是否被录取了,还是要看官方公布的录取结果,这个录取结果预计会在8月中下旬公布。
陕西省各市历年中考录取分数线
2010年陕西铜川中考录取分数线
铜川市重点是506分
西安市2010年初中毕业学业考试等级划分办法
考试成绩以等级和分数两种方式呈现,分卷成绩以等级呈现,分为A(优秀)、B(良好)、C(合格)、D(不合格)四个等级(各等级人数占报名考试总人数比例分别为:A 等30%、B等40%、C等27%、D等3%),总分以原始分呈现,含体育成绩、英语听力成绩。
(市教考发[2010]42号文件)
科目A等最低分B等最低分C等最低分D等最低分
政史78 60 27 0
语文87.5 73 47 0
数学83 49 12 0
理化102 60 17 0
英语88.8 42 20 0
铜川英语成绩远低于西安标准
2009年陕西西安中考录取分数线
2009年西安中考分数线满分605
1 西铁一中 566
2 西工大附中 565
3 高新一中(本部) 560
4 西安交大附中 558
5 陕西师大附中 553
6 高新一中(国际部) 552
7 西安中学 550
8 西铁一中(国际部) 550
9 西安市第1中学 542
10 西安市第83中学 531
11 西安高级中学 529
12 唐南中学 529
2009年陕西铜川中考录取分数线
市一中:精品班585 实验班550 重点班520
耀中:实验班583 重点班520
耀州中学:普通班分数线438 重点班520
局一中:实验班520 重点班490
成人英语
铜川在成人英语方面同样受到因英语初期重视不够而造成的成绩在全省范围内偏低,考虑到陕西又是教育欠发达省份,其英语成绩在全国范围内可见一斑。
资料个人收集整理,勿做商业用途。