(苏)版七年级有理数单元测试题(卷)
- 格式:doc
- 大小:198.00 KB
- 文档页数:8
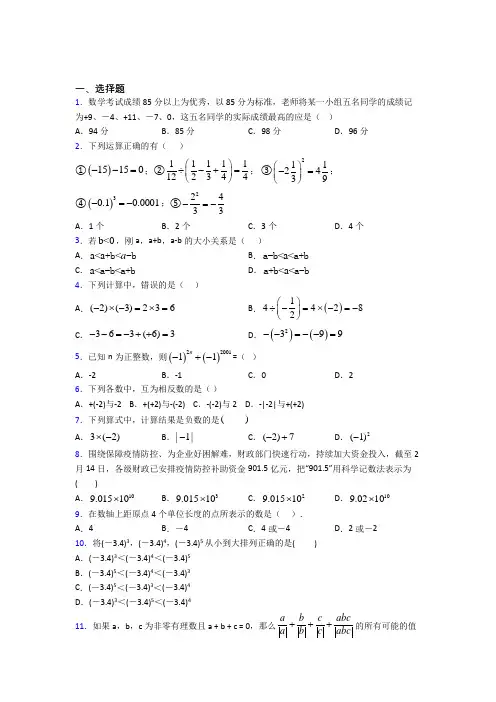
章节测试题1.【答题】某城市三月末连续四天的天气情况如图所示,这四天中温差(最高气温与最低气温的差)最大的是()A. 星期一B. 星期二C. 星期三D. 星期四【答案】D【分析】根据有理数的减法法则:减去一个数等于加上这个数的相反数,分别计算出每天的温差,然后比较大小即可.【解答】每天的温差分别为:A.星期一:5-(-6)=5+6=11;B.星期二:7-(-5)=7+5=12;C.星期三:8-(-2)=8+2=10;D.星期四:6-(-7)=6+7=13;星期四的温差最大.选D.2.【答题】随着北京公交票制票价调整,公交集团换成了新版公交站牌,乘客在乘车时可以通过新版公交站牌计算乘车费用.新版公交站牌每一个站名上方都有一个对应的数,将上下车站站名所对应数相减取绝对值就是乘车路程,再按照其所在计价区段,参照票制规则计算票价.具体内容如下:乘车路程计价区段0~10 11~15 16~20 …对应票价(元) 2 3 4 …另外,一卡通普通卡刷卡实行五折优惠,学生卡实行二五折优惠.小明用学生卡乘车,上车时站名上对应的数是5,下车时站名上对应的数是22,那么小明乘车的费用是______元.【答案】1【分析】先用下车时站名上对应的数减去上车时站名上对应的数,求出小明乘车的路程是多少,进而得到对应的票价,然后用它乘以0.25,即可得到小明的乘车费用.【解答】小明的乘车路程为:22-5=17,故小明的乘车费用为4×0.25=1(元).故答案为1.3.【题文】全班同学分成五个组进行游戏,每个组的基本分为100分,答对一题加50分,答错一题扣50分,游戏结束时,各组的分数如下:第一组第二组第三组第四组第五组100 150 -400 350 -100若按成绩从高到低排列.(1)第一名超出第四名多少分?(2)第四名超出第五名多少分?【答案】(1)450分;(2)300分.【分析】本题考查有理数的比较大小和有理数的减法法则,根据题题意先比较有理数的大小,再进行有理数的减法即可.先对五个组进行排名的350>150>100>-100>-400,然后用对应的名次相减即可得到结果.【解答】(1)∵350>150>100>-100>-400,∴第一名超出第四名的分数为350-(-100)=350+100=450(分).(2)第四名超出第五名的分数为-100-(-400)=-100+400=300(分).答:第一名超出第四名的分数为450(分);第四名超出第五名的分数为-300(分).4.【题文】把几个数用大括号括起来,中间用逗号断开,如:{1,2,-3},{-2,7,,19},我们称之为集合,其中的数称为集合的元素.如果一个集合满足:当有理数a是集合的元素时,有理数5-a也必是这个集合的元素,这样的集合我们称为好的集合.例如集合{5,0}就是一个好的集合.(1)请你判断集合{1,2},{-2,1,2.5,4,7}是不是好的集合?(2)请你再写出两个好的集合(不得与上面出现过的集合重复);(3)写出所有好的集合中,元素个数最少的集合.【答案】(1){1,2}不是好的集合,{-2,1,2.5,4,7}是好的集合;(2)答案不唯一,如{8,-3};{8,2.5,-3};(3)元素个数最少的好的集合是{2.5}.【分析】本题考查有理数的减法以及新定义问题.(1)根据“好集合”的定义:a,5-a都是这个集合的元素检验即可;(2)满足“好集合”的条件即可;(3)元素个数最少的集合即只有一个数,∴a=5-a,∴a=2.5.【解答】(1)∵5-1=4,5-2=3,4,3不在集合{1,2}中,∴{1,2}不是“好集合”;{-2,1,2.5,4,7}是“好集合”;(2)答案不唯一,如{2,3,1,4}、{2.5,10,﹣5};满足“好集合”的条件即可;(3)元素个数最少的集合即只有一个数,∴a=5-a,∴a=2.5.∴元素个数最少的集合为{2.5}.5.【答题】把-6-(+7)+(-2)-(-9)写成省略加号和括号的和的形式是()A. -6-7+2-9B. -6-7-2+9C. -6+7-2-9D. -6+7-2+9【答案】B【分析】本题考查有理数的加减混合运算.【解答】原式=-6-7-2+9.选B.6.【答题】式子-20+3-5+7的正确读法是()A. 负20加3减5加7的和B. 负20加3减负5加正7C. 负20加3减5加7D. 负20加正3减负5加正7【答案】C【分析】本题考查有理数的加减混合运算.正负数加减运算时,负号要读出来,正号不需要读出来.【解答】式子-20+3-5+7的正确读法是负20加3减5加7.故答案选C.7.【答题】下列交换加数位置的变形中,正确的是()A. 1﹣4+5﹣4=1﹣4+4﹣5B. 1﹣2+3﹣4=2﹣1+4﹣3C. 4﹣7﹣5+8=4﹣5+8﹣7D. ﹣3+4﹣1﹣2=2+4﹣3﹣1【答案】C【分析】本题考查有理数的加减混合运算.【解答】A.1﹣4+5﹣4=1﹣4-4+5,故原选项错误;B.1﹣2+3﹣4=-2+1-4+3,故原选项错误;C.4﹣7﹣5+8=4﹣5+8﹣7,正确;D.﹣3+4﹣1﹣2=-2+4﹣3﹣1,故原选项错误.选C.8.【答题】某地冬季一天中午的气温是5℃,下午上升到7℃,受冷空气影响,到夜间气温最低时又下降了9℃,则这天夜间的最低气温是______℃.【答案】-2【分析】有关温度的计算时,上升为加法,下降为减法,再列式计算即可.本题要注意温度是上升到,不是上升,要仔细审题.根据题意温度最高为7℃,下降为减法,然后列式计算即可得到结果.【解答】根据题意得:7-9=-2℃.故答案为-2.9.【答题】在算式-1+7-()=-3中,括号里应填()A. +2B. -2C. +9D. -9【答案】C【分析】本题考查有理数的加减混合运算.根据题意可知括号里的数等于-1+7-(-3),通过计算即可得到结果.【解答】根据题意得:-1+7-(-3)=-1+7+3=9.选C.10.【答题】下列各式中,与式子-1-2+3不相等的是()A. (-1)+(-2)+(+3)B. (-1)-2+(+3)C. (-1)+(-2)-(-3)D. (-1)-(-2)-(-3)【答案】D【分析】本题考查有理数的加减混合运算.根据有理数的减法法则,将各个选项去括号,再与原式进行比较即可得解.【解答】A.(-1)+(-2)+(+3)=-1-2+3,与原式相等;B.(-1)-2+(+3)=-1-2+3,与原式相等;C.(-1)+(-2)-(-3)=-1-2+3,与原式相等;D.(-1)-(-2)-(-3)=-1+2+3,与原式不相等.选D.11.【答题】若x是最大的负整数,y是最小的正整数,z是绝对值最小的数,w是相反数等于它本身的数,则x-z+y-w的值是()A. 0B. -1C. 1D. -2【答案】A【分析】本题考查有理数的加减混合运算.本题根据题意结合整数的分类和绝对值的知识,得到每个字母所代表的数,然后再进行有理数的加减法计算即可.先根据题意得,最大的负整数x为-1,最小的正整数y为1,绝对值最小的数z为0,相反数等于它本身的数w为0,再进行计算即可得解.【解答】根据题意得:x=-1,y=1,z=0,w=0,则x-z+y-w=-1-0+1-0=0.选A.12.【答题】运用去括号法则和加法交换律后,8-(-3)+(-5)+(-7)等于()A. 8-3+5-7B. 3+8-7-5C. -5-7-3+8D. 8+3-5+7【答案】B【分析】本题考查有理数的加减混合运算.根据有理数的减法法则,将原式去括号得8+3-5-7,再与各个选项进行比较即可.【解答】8-(-3)+(-5)+(-7)=8+3-5-7.选B.13.【答题】若表示运算x+z-(y+w),则的值是()A. 5B. 7C. 9D. 11【答案】C【分析】本题是一道新定义类型的题目,关键是要理解定义表示的运算,然后根据有理数的加减法法则进行运算即可.根据题意将数字代入对应字母得到算式3-1-(-2-5),再求出式子的值即可.【解答】由题意得=3+(-1)-[(-2)+(-5)]=3-1+7=9.选C.14.【答题】请指出下面的计算从哪一步开始出现错误()1-(+1)-(-1)-(+1)=1-1+1-1①=(1+1)-(1-1)②=2-(1-1)③=2-0=2④.A. ①B. ②C. ③D. ④【答案】B【分析】本题考查有理数的减法运算.此题错在(1+1)-(1-1)②,把(1+1)写成了(1-1),应该是(1+1)-(1+1).【解答】1-(+1)-(-1)-(+1)=1-1+1-1①=(1+1)-(1+1)②=2-(1+1)③=2-2=0④.错在②.选B.15.【答题】1减去-5与5的和,所得的差是______.【答案】1【分析】本题考查有理数的减法运算.两个互为相反数的数相加为零,1减去0还是为1.【解答】根据题意得1-(-5+5)=1-0=1.故答案为1.16.【答题】已知有理数-1,-8,+11,-2,请你设计一种有理数的加减混合运算,使这四个数的运算结果最大,则列式为______.【答案】答案不唯一,如-(-1)-(-8)+(+11)-(-2).【分析】本题的解题思路为:要使运算结果最大,则正数前面应取“+”,负数前面应取“-”.要使四个数的运算最大,相当于让它们的绝对值相加,负数的绝对值等于它的相反数,如:-1,-8,-2,就是加上它们的相反数,然后再加上+11即可.【解答】答案不唯一,如-(-1)-(-8)+(+11)-(-2).17.【题文】计算:-20+(-14)-(-18)-13.【答案】-29.【分析】本题考查有理数的加减混合运算. 利用有理数加减运算法则:同号两数相加,取相同符号,并把绝对值相加;绝对值不相等异号两数相加,取绝对值较大的加数的符号,并用加大的绝对值减去较小的绝对值;互为相反数的两个数相加得0;从而求解.【解答】-20+(-14)-(-18)-13=-20-14+18-13=-34+18-13=-16-13=-29.18.【答题】大家都知道,八点五十五可以说成九点差五分,有时这样表达更清楚.这启发人们设计了一种新的加减记数法,比如:9可以写成,=10-1;198可以写成,=200-2;7683可以写成,=10000-2320+3.总之,数字上画一杠表示减去它,按这个方法请计算的结果为()A. 1990B. 2068C. 2134D. 3024【答案】B【分析】本题考查新定义运算,要理解并准确按照新定义写出算式,再根据有理数的加减法法则进行计算.根据题意数字上画一杠表示减去它,分别求出的值各是多少,然后用即可得到结果.【解答】根据题意得:=(5000-201+30)-(3000-240+1)=4829-2761=2068.选B.19.【题文】请根据如图所示的对话解答下列问题.求:(1)a,b,c的值;(2)8-a+b-c的值.【答案】(1)a=-3,b=±7;(2)33或5.【分析】本题考查有理数的加减混合运算,掌握相反数和绝对值的概念是解题关键.(1)首先根据相反数的概念求得a的值,根据绝对值求得b,b的值有了两个;(2)根据b的两个取值,分别求出两个c的值,再分别代入8-a+b-c,求值即可.【解答】(1)∵a的相反数是3,b的绝对值是7,∴a=-3,b=±7;(2)∵a=-3,b=±7,c和b的和是-8,∴当b=7时,c=-15,当b=-7时,c=-1,当a=-3,b=7,c=-15时,8-a+b-c=8-(-3)+7-(-15)=33;当a=-3,b=-7,c=-1时,8-a+b-c=8-(-3)+(-7)-(-1)=5.20.【题文】在一条不完整的数轴上从左到右有点A,B,C,其中AB=2,BC=1,如图所示.设点A,B,C所对应数的和是p.(1)若以B为原点,写出点A,C所对应的数,并计算p的值;若以C为原点,p又是多少?(2)若原点O在图中数轴上点C的右边,且CO=28,求p的值.【答案】(1)-1,-4;(2)-88.【分析】本题考查有理数的加减混合运算.(1)根据以B为原点,则C表示1,A表示-2,进而得到p的值;根据以C为原点,则A表示-3,B表示-1,进而得到p的值;(2)根据原点O在图中数轴上点C的右边,且CO=28,可得C表示-28,B表示-29,A 表示-31,据此可得p的值.【解答】(1)若以B为原点,则C表示1,A表示−2,∴p=1+0−2=−1;若以C为原点,则A表示−3,B表示−1,∴p=−3−1+0=−4;(2)若原点O在图中数轴上点C的右边,且CO=28,则C表示−28,B表示−29,A表示−31,∴p=−31−29−28=−88.。
一、选择题1.数学考试成绩85分以上为优秀,以85分为标准,老师将某一小组五名同学的成绩记为+9、-4、+11、-7、0,这五名同学的实际成绩最高的应是( ) A .94分B .85分C .98分D .96分2.下列运算正确的有( )①()15150--=;②11111122344⎛⎫÷-+= ⎪⎝⎭; ③2112439⎛⎫-= ⎪⎝⎭; ④()30.10.0001-=-;⑤22433-=-A .1个B .2个C .3个D .4个3.若b<0,刚a ,a+b ,a-b 的大小关系是( )A .a<a <+b -b aB .<a<a-b a+bC .a<<a-b a+bD .<a<a+b a-b4.下列计算中,错误的是( ) A .(2)(3)236-⨯-=⨯= B .()144282⎛⎫÷-=⨯-=- ⎪⎝⎭C .363(6)3--=-++=D .()()2399--=--=5.已知n 为正整数,则()()2200111n-+-=( )A .-2B .-1C .0D .26.下列各数中,互为相反数的是( )A .+(-2)与-2B .+(+2)与-(-2)C .-(-2)与2D .-|-2|与+(+2) 7.下列算式中,计算结果是负数的是( ) A .3(2)⨯-B .|1|-C .(2)7-+D .2(1)-8.围绕保障疫情防控、为企业好困解难,财政部门快速行动,持续加大资金投入,截至2月14日,各级财政已安排疫情防控补助资金901.5亿元,把“901.5”用科学记数法表示为( ) A .109.01510⨯ B .39.01510⨯ C .29.01510⨯ D .109.0210⨯ 9.在数轴上距原点4个单位长度的点所表示的数是( ). A .4B .-4C .4或-4D .2或-210.将(-3.4)3,(-3.4)4,(-3.4)5从小到大排列正确的是( ) A .(-3.4)3<(-3.4)4<(-3.4)5 B .(-3.4)5<(-3.4)4<(-3.4)3 C .(-3.4)5<(-3.4)3<(-3.4)4 D .(-3.4)3<(-3.4)5<(-3.4)411.如果a ,b ,c 为非零有理数且a + b + c = 0,那么a b c abc a b c abc+++的所有可能的值为(A.0 B.1或- 1 C.2或- 2 D.0或- 212.据《经济日报》2018年5月21日报道:目前,世界集成电路生产技术水平最高已达到7nm(1nm=10﹣9m),主流生产线的技术水平为14~28nm,中国大陆集成电路生产技术水平最高为28nm.将28nm用科学记数法可表示为()A.28×10﹣9m B.2.8×10﹣8m C.28×109m D.2.8×108m 13.按键顺序是的算式是()A.(0.8+3.2)÷45=B.0.8+3.2÷45=C.(0.8+3.2)÷45=D.0.8+3.2÷45=14.把实数36.1210-⨯用小数表示为()A.0.0612 B.6120 C.0.00612 D.61200015.计算(-2)2018+(-2)2019等于( )A.-24037B.-2 C.-22018D.22018二、填空题16.绝对值小于2的整数有_______个,它们是______________.17.数轴上表示有理数-3.5与4.5两点的距离是___________.18.已知|a|=3,|b|=2,且ab<0,则a﹣b=_____.19.按下面程序计算,若开始输入x的值为正数,最后输出的结果为656,则满足条件所有x的值是___.20.计算3253.1410.31431.40.284⨯+⨯-⨯=__.21.某商店营业员每月的基本工资为4000元,奖金制度是每月完成规定指标10000元营业额,发奖金300元;若营业额超过规定指标,另奖超额部分营业额的5%.该商店的一名营业员九月份完成营业额13200元,则他九月份的收入为________元.22.校运动会的拔河比赛真是紧张刺激!规定拔河时,任意一方拉过30cm就算获胜.小胖他们班在每次喊过“拉”声之后都可拉过7cm,但又会被拉回3cm.如此下去,该班在第________次喊过“拉”声后就可获得胜利.23.等边三角形ABC(三条边都相等的三角形是等边三角形)在数轴上的位置如图所示,点A,B对应的数分别为0和1-,若ABC绕着顶点顺时针方向在数轴上翻转1次后,点C所对应的数为1,则再翻转3次后,点C所对应的数是________.24.分别输入1-,2-,按如图所示的程序运算,则输出的结果依次是_________,________.输入→+4 →(-(-3))→-5→输出25.比较大小:364--_____________()6.25--.26.(1)用四舍五入法,对5.649取近似值,精确到0.1的结果是____;(2)用四舍五入法,把1 999.508取近似值(精确到个位),得到的近似数是____;(3)用四舍五入法,把36.547精确到百分位的近似数是____.三、解答题27.体育课上全班男生进行了百米测试,达标成绩为14秒,下面是第一小组8名男生的成绩记录,其中“+”表示成绩大于14秒,“-”表示成绩小于14秒.-1.2+0.70-1-0.3+0.20.3+0.5求这个小组8名男生的平均成绩是多少?28.如图,数轴上A,B两点之间的距离为30,有一根木棒MN,设MN的长度为x.MN数轴上移动,M始终在左,N在右.当点N移动到与点A,B中的一个重合时,点M所对应的数为9,当点N移动到线段AB的中点时,点M所对应的数是多少?29.将n个互不相同的整数置于一排,构成一个数组.在这n个数字前任意添加“+”或“-”号,可以得到一个算式.若运算结果可以为0,我们就将这个数组称为“运算平衡”数组.(1)数组1,2,3,4是否是“运算平衡”数组?若是,请在以下数组中填上相应的符号,并完成运算;1 2 3 4 =(2)若数组1,4,6,m是“运算平衡”数组,则m的值可以是多少?(3)若某“运算平衡”数组中共含有n个整数,则这n个整数需要具备什么样的规律?30.定义:求若干个相同的有理数(均不等于0)的除法运算叫做除方,如222÷÷等.类比有理数的乘方,我们把222÷÷记作32,读作“2的下3次方”,一般地,把n个(0)a a≠相除记作na,读作“a的下n次方”.理解:(1)直接写出计算结果:32=_______.(2)关于除方,下列说法正确的有_______(把正确的序号都填上); ①21a =(0)a ≠;②对于任何正整数n ,11n =; ③433=4;④负数的下奇数次方结果是负数,负数的下偶数次方结果是正数. 应用:(3)我们知道,有理数的减法运算可以转化为加法运算,除法运算可以转化为乘法运算,有理数的除方运算如何转化为乘方运算呢?例如:241111222222()2222=÷÷÷=⨯⨯⨯=(幂的形式)试一试:将下列除方运算直接写成幂的形式:65=_______;91()2-=________;(4)计算:3341()(2)2(8)24-÷--+-⨯-.。
初中数学苏科版七年级上册第2章有理数单元测试(基础)一、单选题(共10题;共20分)1.如果温度上升记作那么温度下降记作()A. B. C. D.2.四个数,0,5,2.6 ,其中既不是正数也不是负数的是()A. B. 0 C. 5 D. 2.63.在﹣1,0,1,﹣四个数中,最大的数是()A. ﹣1B. 0C. 1D. ﹣4.|-2020|=( )A. -2020B. 2020C.D. -5.实数a,b,c,d在数轴上的对应点的位置如图所示,则这四个数中,相反数是正数的为()A. aB. bC. cD. d6.有理数a,b,c在数轴上的对应点的位置如图所示,有如下四个结论:① ;② ;③ ;④ .上述结论中,所有正确结论的序号是()A. ①②B. ②③C. ②④D. ③④7.(-2)2018+(-2)2019结果为( )A. -2B. 0C. -22018D. 以上都不对8.原子钟是以原子的规则振动为基础的各种守时装置的统称,其中氢脉泽钟的精度达到了1 700 000年误差不超过1秒,数据1 700 000用科学记数法表示为( )A. 17×105B. 1.7×106C. 0.17×107D. 1.7×1079.若、互为相反数,和互为倒数是最大的负整数,则的值是()A. 0B.C. 或0D. 210.若(a﹣2)2+|b﹣3|=0,则以a、b为边长的等腰三角形的周长为()A. 6B. 7C. 8D. 7或8二、填空题(共8题;共11分)11.在-4,0,π,1.010010001,-,这6个数中,无理数有________个.12.-1 的相反数是________,绝对值是________,倒数是________.13.绝对值大于1而小于3.5的所有整数的和为________.14.已知如下各数:4,,0,-4,2.5,-1,解答下列各题(1)用“>”号把这些数连接起来________(2)这些数的绝对值的和是________15.定义新运算“ ”,规定,则________.16.若x、y互为倒数,则(-xy) 2018=________;17.已知,,且,则的值等于________.18.有理数a、b在数轴上的位置如图所示,则化简|a+b|+|a﹣b|的结果为________.三、解答题(共8题;共84分)19.计算:(1)﹣20+(﹣14)﹣(﹣18)﹣13(2)4﹣8×(﹣)3(3)(4)20.把下列各数序号分别填在表示它所在的集合里:①﹣5,②﹣,③2.004×102,④﹣(﹣4),⑤ ,⑥﹣|﹣13|,⑦﹣0.36,⑧0,⑨6.2,⑩(1)正数集合{ …};(2)负数集合{ …};(3)整数集合{ …};(4)分数集合{ …}.21.把下列5个数:,,,1,(1)分别在数轴上表示出来;(2)用“<”将这5个数连接起来.22.已知(x -5)2与│2y-1│互为相反数,试求x-2y的值23.若|x|=7,y2=9,且x>y,求x+y值24.在抗险救灾中,消防官兵的冲锋舟沿东西方向的河流抢救灾民,早晨从A地出发,晚上到达B地,约定向东为正方向,当天的航行路程记录如下(单位:千米):+14,﹣9,+8,﹣7,+13,﹣6,+10,﹣5.(1)救灾过程中,B地离出发点A有多远?B地在A地什么方向?(2)若冲锋舟每千米耗油0.5升,油箱容量为29升,求途中还需补充多少升油?25.实数a、b、c在数轴上的位置如图所示,化简代数式:的值.26.在学习绝对值后,我们知道,|a|表示数a在数轴上的对应点与原点的距离.如:|5|表示5在数轴上的对应点到原点的距离.而|5|=|5﹣0|,即|5﹣0|表示5、0在数轴上对应的两点之间的距离.类似的,有:|5﹣3|表示5、3在数轴上对应的两点之间的距离;|5+3|=|5﹣(﹣3)|,所以|5+3|表示5、﹣3在数轴上对应的两点之间的距离.一般地,点A、B在数轴上分别表示有理数a、b,那么A、B之间的距离可表示为|a﹣b|.请根据绝对值的意义并结合数轴解答下列问题:(1)数轴上表示2和3的两点之间的距离是________;数轴上P、Q两点的距离为3,点P表示的数是2,则点Q表示的数是________.(2)点A、B、C在数轴上分别表示有理数x、﹣3、1,那么A到B的距离与A到C的距离之和可表示为________(用含绝对值的式子表示);满足|x﹣3|+|x+2|=7的x的值为________.(3)试求|x﹣1|+|x﹣2|+|x﹣3|+…+|x﹣100|的最小值.答案解析部分一、单选题1.【答案】D2.【答案】B3.【答案】C4.【答案】B5.【答案】A6.【答案】C7.【答案】C8.【答案】B9.【答案】B10.【答案】D二、填空题11.【答案】112.【答案】1 ;1 ;13.【答案】014.【答案】(1)4>2.5>0>-1>>-4(2)1315.【答案】1216.【答案】117.【答案】-4或-1018.【答案】-2b三、解答题19.【答案】(1)解:原式=-20-14+18-13=-29(2)解:原式=4-8× =5(3)解:原式=(--+ )×36=-×36-×36+ ×36=-27-20+21=-26 (4)解:原式= ÷ -= × -= -=-20.【答案】(1)正整数集合(2)负数集合(3)整数集合(4)分数集合21.【答案】(1)(2)-4<-2.5<1<<+522.【答案】解:由题意得∵,∴,解得,∴23.【答案】解:∵,∴∵,∴又∵∴当时,均符合题意,或当时,不符合题意,舍去.故答案为10或4.24.【答案】(1)解:依题意得+14+(﹣9)+8+(﹣7)+13+(﹣6)+10+(﹣5)=14+8+13+10﹣9﹣7﹣6﹣5=18(千米).故B地离出发点A有18千米远,B地在A地东方(2)解:∵冲锋舟每千米耗油0.5升,油箱容量为29升,∴0.5×(14+9+8+7+13+6+10+5)﹣29=7.25.【答案】解:由图得:b<a<0<c.原式=﹣a+a+b+c﹣a+c﹣b=2c﹣a.26.【答案】(1)1;﹣1或5(2);﹣3或4(3)解:|x﹣1|+|x﹣2|+|x﹣3|+…+|x﹣100|=(|x﹣1|+|x﹣100|)+(|x﹣2|+|x﹣99|)+…+(|x﹣50|+|x﹣51|)。
一.选择题(共10小题,满分30分,每小题3分)1.|﹣|的值是()A.2020B.﹣2020C.﹣D.2.在3.14159,4,1.1010010001…,4.,π,中,无理数有()A.1个B.2个C.3个D.4个3.近年来,华为手机越来越受到消费者的青睐.截至2019年12月底,华为5G手机全球总发货量突破690万台.将690万用科学记数法表示为()A.0.69×107B.69×105C.6.9×105D.6.9×1064.数轴上的点A到原点的距离是4,则点A表示的数为()A.4B.﹣4C.4或﹣4D.2或﹣25.下列说法中,正确的是()A.0是最小的整数B.最大的负整数是﹣1C.有理数包括正有理数和负有理数D.一个有理数的平方总是正数6.2020年3月抗击“新冠肺炎”居家学习期间,小华计划每天背诵6个汉语成语.将超过的个数记为正数,不足的个数记为负数,某一周连续5天的背诵记录如下:+4,0,+5,﹣3,+2,则这5天他共背诵汉语成语()A.38个B.36个C.34个D.30个7.计算(﹣5)÷的结果等于()A.﹣25B.﹣1C.1D.258.|x﹣1|+|y+3|=0,则y﹣x﹣的值是()A.﹣4B.﹣2C.﹣1D.19.若计算机按如图所示程序工作,若输入的数是1,则输出的数是()A.﹣63B.63C.﹣639D.63910.将九个数分别填在3×3 (3行3列)的方格中,如果满足每个横行,每个竖列和每条对角线上的三个数之和都等于m,则将这样的图称为“和m幻方”.如图①为“和15幻方”,图②为“和0幻方”,图③为“和39幻方”,若图④为“和m幻方”,则m的值等于()A.6B.3C.﹣6D.﹣9二.填空题(共6小题,满分24分,每小题4分)11.计算:0﹣(﹣6)=.12.﹣3的相反数是,的倒数是.13.如果盈利100元记作+100元,那么亏损50元记作元.14.在数轴上,到原点的距离等于1.6个单位长度的点所表示的有理数是.15.定义新运算:a⊕b=ab+b,例如:3⊕2=3×2+2=8,则(﹣3)⊕4=.16.计算:(﹣1)1+(﹣1)2+(﹣1)3+…+(﹣1)2030=.三.解答题(共8小题,满分66分)17.(12分)计算(1)10﹣(﹣5)+(﹣8);(2)÷(﹣1)×(﹣2);(3)(+﹣)×12;(4)(﹣1)10×2+(﹣2)3÷4.18.(6分)如图,在数轴上有三个点A、B、C,请回答下列问题.(1)A、B、C三点分别表示、、;(2)将点B向左移动3个单位长度后,点B所表示的数是;(3)将点A向右移动4个单位长度后,点A所表示的数是.19.(6分)若(a﹣1)2与(b+2)2互为相反数,求(a+b)2013+a2011.20.(8分)有理数a、b、c在数轴上的位置如图:(1)判断正负,用“>”或“<”填空:b﹣c0,a+b0,c﹣a0.(2)化简:|b﹣c|+|a+b|﹣|c﹣a|.21.(8分)一辆货车从百货大楼出发送货,向东行驶4千米到达小明家,继续向东行驶1.5千米到达小红家,然后向西行驶8.5千米到达小刚家,最后返回百货大楼.(1)以百货大楼为原点,向东为正方向,1个单位长度表示1千米,请你在数轴上标出小明、小红、小刚家的位置.(小明家用点A表示,小红家用点B表示,小刚家用点C表示)(2)小明家与小刚家相距多远?22.(8分)用“⊕”定义一种新运算:对于任意有理数a和b,规定a⊕b=ab2+2ab+a.如:1⊕3=1×32+2×1×3+1=16.(1)求(﹣2)⊕3的值;(2)若(⊕3)⊕(﹣)=8,求a的值.23.(9分)学校阅览室有故事书、科学书、漫画书等.已知故事书240本,科学书比故事书多.(1)求学校阅览室的科学书有多少本?(2)学校阅览室的漫画书比科学书少,求漫画书有多少本?(3)在(2)的条件下,漫画书占学校阅览室书的,求学校阅览室的书一共有多少本?24.(9分)2020年的“新冠肺炎”疫情的蔓延,使得医用口罩销量大幅增加,某口罩加工厂为满足市场需求计划每天生产5000个,由于各种原因实际每天生产量相比有出入,下表是二月份某一周的生产情况(超产为正,减产为负,单位:个).星期一二三四五六日增减+100 ﹣200 +400 ﹣100 ﹣100 +350 +150 (1)根据记录可知前三天共生产多少个口罩;(2)产量最多的一天比产量最少的一天多生产多少个;(3)该口罩加工厂实行计件工资制,每生产一个口罩0.2元,本周口罩加工厂应支付工人的工资总额是多少元?参考答案一.选择题(共10小题,满分30分,每小题3分)1.解:,故选:D.2.解:在3.14159,4,1.1010010001…,4.,π,中,无理数有1.1010010001…,π共2个.故选:B.3.解:690万=6900000=6.9×106.故选:D.4.解:在数轴上,4和﹣4到原点的距离为4.∴点A所表示的数是4和﹣4.故选:C.5.解:A、没有最小的整数,错误;B、最大的负整数是﹣1,正确;C、有理数包括0、正有理数和负有理数,错误;D、一个有理数的平方是非负数,错误;故选:B.6.解:(+4+0+5﹣3+2)+5×6=38个,∴这5天他共背诵汉语成语38个,故选:A.7.解:(﹣5)÷=(﹣5)×5=﹣25.故选:A.8.解:∵|x﹣1|+|3+y|=0,∴x﹣1=0,3+y=0,解得y=﹣3,x=1,∴y﹣x﹣=﹣3﹣1﹣=﹣4.故选:A.9.解:把x=1代入计算程序中得:(1﹣8)×9=﹣63,把x=﹣63代入计算程序中得:(﹣63﹣8)×9=﹣639.则输出的数是﹣639.故选:C.10.解:图④中,由第1行与第1列三数和相等,便可求得第3行第1个数为﹣2,∵﹣2﹣4=﹣6,∴中间数是﹣6÷2=﹣3,∴m=﹣6﹣3=﹣9.故选:D.二.填空题(共6小题,满分24分,每小题4分)11.解:原式=0+6=6.故答案为:6.12.解:﹣3的相反数是:3,的倒数是:3.故答案为:3,3.13.解:∵盈利100元记作+100元,∴亏损50元记作﹣50元,故答案为:﹣50.14.解:在数轴上,到原点的距离等于1.6个单位长度的点所表示的有理数是±1.6,故答案为:±1.6.15.解:∵a⊕b=ab+b,∴(﹣3)⊕4=(﹣3)×4+4=﹣12+4=﹣8.故答案为:﹣8.16.解:原式=﹣1+1﹣1+1﹣……﹣1+1=0×1015=0,故答案为:0.三.解答题(共8小题,满分66分)17.解:(1)10﹣(﹣5)+(﹣8)=10+5﹣8=7;(2)÷(﹣1)×(﹣2)=×(﹣)×(﹣)=;(3)(+﹣)×12=×12+×12﹣×12=3+2﹣6=﹣1;(4)(﹣1)10×2+(﹣2)3÷4=1×2+(﹣8)÷4=2﹣2=0.18.解:(1)从数轴看,点A、B、C三点分别为:﹣4,﹣2,3,故答案为:﹣4,﹣2,3;(2)将点B向左移动3个单位长度后,点B所表示的数是﹣5,故答案为﹣5;(3)将点A向右移动4个单位长度后,点A所表示的数为0,故答案为:0.19.解:∵(a﹣1)2与(b+2)2互为相反数,∴(a﹣1)2+(b+2)2=0,∴a﹣1=0,a=1,b+2=0,b=﹣2,∴(a+b)2013+a2011=(1﹣2)2013+12011=﹣1+1=0.20.解:(1)由图可知,a<0,b>0,c>0且|b|<|a|<|c|,所以,b﹣c<0,a+b<0,c﹣a>0;故答案为:<,<,>;(2)|b﹣c|+|a+b|﹣|c﹣a|=(c﹣b)+(﹣a﹣b)﹣(c﹣a)=c﹣b﹣a﹣b﹣c+a=﹣2b.21.解:(1)如图所示:(2)小明家与小刚家相距:4﹣(﹣3)=7(千米).答:小明家与小刚家相距7千米远.22.解:(1)根据题中新定义得:(﹣2)⊕3=﹣2×32+2×(﹣2)×3+(﹣2)=﹣18﹣12﹣2=﹣32;(2)根据题中新定义得:⊕3=×32+2××3+=8(a+1),8(a+1)⊕(﹣)=8(a+1)×(﹣)2+2×8(a+1)×(﹣)+8(a+1)=2(a+1),已知等式整理得:2(a+1)=8,解得:a=3.23.解:(1)240×(1+)=300,所以学校阅览室的科学书有300本;(2)300×(1﹣)=225,所以学校阅览室的漫画书有225本;(3)225÷=1200,所以学校阅览室的书一共有1200本.24.解:(1)(+100﹣200+400)+3×5000=15300(个).故前三天共生产15300个口罩;(2)+400﹣(﹣200)=600(个).故产量最多的一天比产量最少的一天多生产600个;(3)5000×7+(100﹣200+400﹣100﹣100+350+150)=35600(个),0.2×35600=7120(元).故本周口罩加工厂应支付工人的工资总额是7120元.。
苏教版七年级上册数学第二单元单元测试卷一、单选题(共12题;共24分)1. ( 2分) ﹣2018的倒数是()A. 2018B.C. ﹣2018D.2. ( 2分) 3的相反数是()A. B. 3 C. ﹣3 D. ±3. ( 2分) 作为世界文化遗产的长城,其总长大约为6700000m。
数据6700000用科学记数法表()A. 6.7×106B. 67×105C. 0.67×107D. 6.7×1074. ( 2分) ﹣5的绝对值是()A. 5B. ﹣5C.D. -5. ( 2分) 某汽车参展商为参加第8届中国(长春)国际汽车博览会,印制了105 000张宣传彩页.105000这个数字用科学记数法表示为()A. 10.5×104B. 1.05×105C. 1.05×106D. 0.105×1066. ( 2分) 如果a与﹣2互为相反数,那么a等于()A. ﹣2B. 2C. ﹣D.7. ( 2分) 据统计,1959年南湖革命纪念馆成立以来,约有2500万人次参观了南湖红船(中共一大会址).数据2500万用科学记数法表示为()A. 2.5×108B. 2.5×107C. 2.5×106D. 25×1068. ( 2分) 若x是有理数,则x2+1一定是()A. 等于1B. 大于1C. 不小于1D. 不大于19. ( 2分) 下列计算正确的是()A. (﹣2)﹣(﹣5)=﹣7B. (+3)+(﹣6)=3C. (+5)﹣(﹣8)=﹣3D. (﹣5)﹣(﹣8)=310. ( 2分) 下列说法正确的是()A. 正数和负数互为相反数B. -a的相反数是正数C. 任何有理数的绝对值都大于它本身D. 任何一个有理数都有相反数11. ( 2分) 为求1+2+22+23+…+22008的值,可令S=1+2+22+23+…+22008,则2S=2+22+23+24+…+22009,因此2S-S=22009-1,所以1+2+22+23+…+22008=22009-1.仿照以上推理计算出1+3+32+33+…+32018的值是( )A. 32019-1B. 32018-1C.D.12. ( 2分) 2016年某省人口数超过105 000 000,将这个数用科学记数法表示为()A. 0.105×109B. 1.05×109C. 1.05×108D. 105×106二、填空题(共11题;共22分)13. ( 2分)的倒数是________;的相反数是________.14. ( 2分) 绝对值小于3的所有负整数的和为________,积为________。
初一数学上册《有理数》综合测试卷(苏教版)七上数学有理数单元综合测试题(带答案苏教版)1.判定题(24%)(1)没有最大的整数,也没有最小的负整数.()(2)任何有理数的平方差不多上正数.()(3)平方等于16的数是4.()(4)假如两个数的绝对值相等,那么这两个数一定相等.()(5)两个负数比较大小,绝对值大的反而小.()(6)任何两个互为相反数的商为-1.()(7)任何小于1的数,它的倒数一定大于1.()(8)由四舍五入得到的近似数0.0560有四个有效数字.()2.填空题(18%)(1)在-11,0,-2,3.14,12中最小的数是____.(2)比-小的数是_____.(3)绝对值小于4.2的正整数有_______.(4)-的倒数与-的相反数的和等于______.(5)比较大小:43____34,-(+)_____,|-|-0.33____-0.32.(6)数5.6784精确到千分位约等于_____.3.选择题(24%)(1)数零是()(A)整数(B)正整数(C)负整数(D)分数(2)大于-2.7而小于3.6的整数有()(A)7个(B)6个(C)5个(D)4个(3)假如一个数的相反数比它本身大,那么那个数为()(A)正数(B)负数(C)整数(D)不等于零的有理数(4)在有理数中,倒数等于本身的数有()(A)1个(B)2个(C)3个(D)许多个(5)下列各对数中,数值相等的是()(A)(-2)3和-2×3(B)54和45(C)(-2)3和-23(D)3×24和(3×2)4(6)一个有理数的偶数次幂是正数,那么那个有理数()(A)是正数(B)是负数(C)为正数或负数(D)任何有理数4.解下列各题(14%)(1)把下列各数填在相应的括号里:-,+1,4.7,-17,0,5,39,,5,-6①正整数集合:{,…}②整数集合:{,…}③分数集合:{,…}④有理数集合:{,…}(2)在数轴上表示下列各数,并按从大到小的顺序用“>”号连接起来.+5,-3,0,1,-45.运算(20%)(1)-23×(-3)2×(-1)11;(2)-1×[5÷(-)2-1]÷(-);(3)9×17;(4)(-+)×30;(5)-1-{+[-(-)]}.参考答案1.(1)√(2)×(3)×(4)×(5)√(6)×(7)×(8)×2.(1)-11(2)-(3)4,3,2,1(4)0(5)<,<,>(6)5. 6784(1)A(2)B(3)B(4)B(5)C(6)C4.(1)正整数集合:{+1,39,5,…}整数集合:{+1,-17,0,39,5,-6,…}分数集合{-,4,7,5,,…}有理数集合:{-,+1,4.7,-17,0,5,39,,5,-6,…}“教书先生”可能是市井百姓最为熟悉的一种称呼,从最初的门馆、私塾到晚清的学堂,“教书先生”那一行当如何说也确实是让国人景仰甚或敬畏的一种社会职业。
第2章 有理数一、选择题(每小题3分,共24分) 1.12的相反数是( ) A .-12 B.12 C .-2 D .22.-3的绝对值是( )A .3B .-3C .13D .-133.在数3.14159,4,1.010010001, 4.2·1·,π,227中,无理数有( )A .1个B .2个C .3个D .4个4.下列说法中,正确的是( )A .两个有理数的和一定大于每个加数B .3与-13互为倒数 C .0没有倒数也没有相反数 D .绝对值最小的数是05.提出了未来5年“精准扶贫”的构想,意味着每年要减贫约11700000人,将数据11700000用科学记数法表示为( )A .1.17×106B .1.17×107C .1.17×108D .11.7×1066.如图1,如果数轴上A ,B 两点之间的距离是8,那么点B 表示的数是( )图1A .5B .-5C .3D .-3`7.下列运算中,不正确的是( )A .-15+5=-10B .347×(-3.14)-637×3.14=-31.4C .334-(+3.75)=0D .-9÷(-3)2=18.下列计算:①-(0.1)3=-0.001;②-32=9;③(-1)3=-1;④-⎝ ⎛⎭⎪⎫-132=19;⑤⎝ ⎛⎭⎪⎫352=95;⑥⎝ ⎛⎭⎪⎫-132=19.其中,正确的有( )A .4个B .3个C .2个D .1个二、填空题(每小题3分,共24分)9.将顺时针旋转60°记为-60°,则逆时针旋转45°可记为________.10.小明家的冰箱冷冻室的温度是-2 ℃,冷藏室的温度是 5 ℃,则小明家的冰箱冷藏室的温度比冷冻室的温度高________ ℃.11.计算:3-22=________.12.下列各数 2.5,-3.14,0,21,-6,-114,+180中,属于分数的有____________________(填入符合条件的数).13.已知三个数:-32,(-3)2,(-3)3,其中,最大的数是________.14.某年级举办足球循环赛,规则是:胜一场得3分,平一场得1分,输一场得-1分.某班的比赛结果是胜3场、平2场、输4场,则该班得________分.15.被除数是-312,除数比被除数小112,则商为________.16.观察下面一列数:-1,2,-3,4,-5,6,-7,…,将这列数排成图2的形式,按照上述规律排下去,那么第10行从左边数第9个数是________.图2三、解答题(共52分)17.(6分)在数轴上将数-2.5,0,-3,4,-5,12表示出来,并结合数轴用“<”号将它们连接起来.18.(4分)计算:34+(-15)-(-16)-(+25).19.(6分)计算:4÷⎝ ⎛⎭⎪⎫-13÷()-6×16.20.(6分)计算:-9÷3+⎝ ⎛⎭⎪⎫12-23×12+32.21.(8分)若|a|=2,b =-3,c 是最大的负整数,求a +b -c 的值.22.(10分)小明家(记为A)、他上学的学校(记为B)、书店(记为C)依次坐落在一条东西走向的大街上,小明家位于学校西边250米处,书店位于学校东边100米处,小明中午放学后,到书店买本辅导书,然后回家吃中午饭,下午直接去学校上课.(1)试用数轴表示出小明家(A)、学校(B)、书店(C)的位置; (2)计算出小明家与书店的距离;(3)小明从中午放学离校到下午上学到校一共走了多少米?23.(12分)某自行车厂7天计划生产1400辆自行车,平均每天生产200辆,由于各种原因,无法按计划生产,下表是这7天的生产情况(超产为正,减产为负,单位:辆):第1天 第2天 第3天 第4天 第5天 第6天 第7天 +5-2-6+15-9-13+8(1)根据记录可知前4天共生产自行车______辆;(2)自行车产量最多的一天比产量最少的一天多生产________辆;(3)该厂实行日计件工资制,每生产一辆自行车,厂方付给工人工资60元,超额完成计划任务的,每超产一辆奖励15元,没有完成计划任务的,每减产一辆扣15元,则该厂工人这7天的工资总额是多少?1.A 2.A 3.A4.D 5.B 6.D 7.D 8.B 9.+45°10.7 11.-1 12.2.5,-3.14,-114 13.(-3)214.7 15.0.7 16.9017.解:将各数在数轴上表示略. -5<-3<-2.5<0<12<4.18.解:34+(-15)-(-16)-(+25) =34-15+16-25 =34+16-15-25=10. 19.解:4÷⎝ ⎛⎭⎪⎫-13÷(-6)×16 =4×3×16×16=13.20.解:-9÷3+⎝ ⎛⎭⎪⎫12-23×12+32=-3+12×12-23×12+9=-3+6-8+9=4.21.解:∵|a |=2,∴a =±2. ∵c 是最大的负整数,∴c =-1. 当a =2时,a +b -c =2-3-(-1)=0; 当a =-2时,a +b -c =-2-3-(-1)=-4.22.解:(1)根据题意,可选取从西向东为正方向,学校所在位置为原点,1个单位长度代表50米,则用数轴表示A ,B ,C 的位置如图所示:(2)100-(-250)=350(米). 答:小明家与书店的距离为350米. (3)100+100+|-250|+|-250|=700(米).答:小明从中午放学离校到下午上学到校一共走了700米.23.解:(1)812 (2)28(3)5-2-6+15-9-13+8=-2,2×60+2×15=150(元),1400×60-150=83850(元).答:该厂工人这一周的工资总额是83850元.。
第二章《有理数》单元测试卷 一、选择题 1.若规定收入为“+”,那么-50元表示 [ ]A.收入了50元B.支出了50元C.没有收入也没有支出D.收入了100元2.下列说法不正确的是 [ ]A.-3.14既是负数、分数,也是有理数B.0既不是正数,也不是负数,但他是正数C.-2000既是负教,也是整数,但不是有理数D.0是非正数3.下列运算中正确的是 [ ]A.(+8)+(-10)=-(10-8 ) =-2B.(-3)+(-2)=-(3-2) =-1C.(-5)+(+6)=+( 6+5 )=+11D.(-6)+(-2)=+(6+2)=+ 84.下列各组数中.互为相反数的有 [ ] ①21和 -21 ②-(-6)和+(-6) ③-(-4)和+(+4) ④-(+1)和+(-1) ⑤+521和+(-521) ⑥-371和-(-371) A.4组 B.3组C.2组D.1组5. 如图,四个有理数在数轴上的对应点M,P ,N,Q,若点M ,N 表示的有理数互为相反数,则图中表示绝对值最小的数的点是 [ ]A.点MB.点NC.点PD.点Q6. 如果a>0,b<0,a+b<0,那么下列各式中大小关系正确的是 [ ]A. -b<-a<b<aB. -a<b<a<-bC. b<-a<-b<aD. b<-a<a<-b7.下列说法正确的是 [ ]A. 所有的整数都是正数B.不是正数的数一定是负数C. 0不是最小的有理数D. 正有理数包括整数和分数8.下列结论不正确的有 [ ]①两个有理数相加,和一定大于每一个加数; ②一个正数和一个负数相加得正数; ⑧两个负数和的绝对值等于它们绝对值的和; ④一个正数加一个负数,和一定大于那个负数 A.0个 B. 1个C.2个D. 3个9.下列各组数在数轴上对应点之间的距离最大的是 [ ]A.3与-2.2B. 4.75与2.25C.-4与4.5D. -332与23110.如图,M ,N ,P ,R 分别是数轴上四个正数所对应的点,其中有一点是原点,并且MN=NP=PR= 1,数a 对应的点在M 与N 之间,数b 对应的点在P 与R 之间,若│a │+│b │=3,则原点可能是[ ]A. M 或RB. N 或PC. M 或ND. P 或R二、填空题11.在数+8.3,-4,-0.8,-51,0,90,-421,-│-24│中,负整数有 个。
第2章有理数数学七年级上册-单元测试卷-苏科版(含答案)一、单选题(共15题,共计45分)1、如图,数轴上的点A所表示的数为a,化简|a|+|1﹣a|的结果为()A.1B.2a﹣1C.2a+1D.1﹣2a2、绝对值大于1而小于4的整数有()个A.1B.2C.3D.43、如图,数轴上A,B两点分别对应实数a,b,则下列结论错误的是( )A. B. C. D.4、下列说法中①是负数;②是二次单项式;③倒数等于它本身的数是;④若,则;⑤由变形成,正确个数是( )A.1个B.2个C.3个D.4个5、下列各式正确的是()A. B. C. D.6、根据如图所示的程序计算,若输入x的值为1,则输出y的值为().A.0B.2C.-2D.47、若x的相反数是2,│y│=3,则│x+y│的值为( )A.5B.-5C.-5或1D.以上都不对8、下列实数中,有理数是( ).A. B. C. D.3.141599、下列各数中,绝对值最大的是()A.2B.-1C.0D.-310、有理数a,b在数轴上的位置如图所示,下列结论中正确的是()A.-b>aB.-a<bC.b>aD.∣a∣>∣b∣11、下列说法正确的有()个①规定了原点,正方向和单位长度的直线叫数轴;②最小的整数是0;③正数,负数和零统称整数;④数轴上的点都表示有理数A.0B.1C.2D.312、下列四个运算中,结果最小的是()A.-1+(-2)B.1-(-2)C.1×(-2)D.1÷(-2)13、下列实数中,−、、、-3.14,、、0、0.3232232223…(相邻两个3之间依次增加一个2),无理数的个数是()A.1个B.2个C.3个D.4个14、在-1.732,,π, 3, 2+ ,3.212212221…,3.14这些数中,无理数的个数为( )A.5B.2C.3D.415、在下列各数中,你认为是无理数的是()A. B. C. D.二、填空题(共10题,共计30分)16、“*”是规定的一种运算法则:a*b=a2﹣2b.那么2*3的值为________ ;若(﹣3)*x=7,那么x=________17、a的相反数是一,则a的倒数是________.18、已知a,b互为相反数,c,d互为倒数,,则的值是________.19、太原冬季某日的最高气温是3℃,最低气温为﹣12℃,那么当天的温差是________℃.20、如图,四个有理数在数轴上的对应点分别为M,P,N,Q,若点M,N表示的有理数互为相反数,则图中表示绝对值最小的数的点是________.21、有六张完全相同的卡片,其正面分别标有数字:﹣2,,π,0,,,将它们背面朝上洗匀后,从中随机抽取一张卡片,则其正面的数字为无理数的概率是________.22、计算:﹣22﹣(﹣2)2=________23、小明的妈妈在超市买了一瓶消毒液,发现在瓶上印有这样一段文字:“净含量(750±5)ml”,这瓶消毒液至少有________mL.24、-(-4)= ________.25、﹣1的绝对值是________.三、解答题(共5题,共计25分)26、计算:-32×(5-3)-(-2)2÷l-4l27、根据试验测定,高度每增加100米,气温大约下降0.6 ,小王是一名登山运动员,他在攀登山峰的途中发回信息,报告他所在的位置的气温是-15 ,若此时地面温度为3 ,则小王所在位置离地面的高度是多少米?28、如图,用粗线在数轴上表示了一个“范围”,这个“范围”包含所有大于1小于2的有理数.请你在数轴上表示出一范围,使得这个范围同时满足以下三个条件:(1)至少有100对相反数和200对倒数;(2)有最大的负整数;(3)这个范围内最大的数与最小的数表示的点的距离大于4但小于5.29、规定一种新运算:=a-b+c, =-xz+(w-y)求 + 的值。
2019年苏科新版数学七年级上册《第2章有理数》单元测试卷一.选择题(共15小题)1.如果盈利2元记为“+2元”,那么“﹣2元”表示()A.亏损2元B.亏损﹣2元C.盈利2元D.亏损4元2.下列说法中正确的是()A.任何有理数的绝对值都是正数B.最大的负有理数是﹣1C.0是最小的数D.如果两个数互为相反数,那么它们的绝对值相等3.如图,数轴上的A、B、C三点所表示的数分别为a,b,c,点A与点C到点B的距离相等,如果|a|>|c|>|b|,那么该数轴的原点O的位置应该在()A.点A的左边B.点A与点B之间C.点B与点C之间D.点C的右边4.相反数等于其本身的数是()A.1B.0C.±1D.0,±15.一个正数的绝对值小于另一个负数的绝对值,则两数和一定是()A.正数B.负数C.零D.不能确定和的符号6.已知|a+3|+|b﹣1|=0,则a+b的值是()A.﹣4B.4C.2D.﹣27.的倒数是()A.B.﹣C.2019D.﹣20198.绝对值小于5的所有整数的和为()A.0B.﹣8C.10D.209.在π,,1.732,3.14四个数中,无理数的个数是()A.4个B.3个C.2个D.没有10.在3.14,,,﹣,2π,中,无理数有()个.A.1个B.2个C.3个D.4个11.下列实数,﹣,0.,,,(﹣1)0,﹣,0.1010010001中,其中无理数共有()A.2个B.3个C.4个D.5个12.在下列五个数中①,②,③,④0.777…,⑤2π,是无理数的是()A.①③⑤B.①②⑤C.①④D.①⑤13.在1.732,﹣,,,3﹣,3.02中,无理数的个数是()A.1B.2C.3D.414.在实数﹣1.414,,π,3.,2+,3.212212221…,3.14中,无理数的个数是()个.A.1B.2C.3D.415.下列实数中,无理数是()A.2B.﹣C.3.14D.二.填空题(共6小题)16.吐鲁番盆地低于海平面155米,记作﹣155m,南岳衡山高于海平面1900米,则衡山比吐鲁番盆地高m.17.在有理数集合中,最小的正整数是,最大的负整数是.18.在数轴上将点A向右移动7个单位,再向左移动4个单位,终点恰好是原点,则点A 表示的数是.19.请写出一个比3大比4小的无理数:.20.请写出一个无理数.21.下列各数中:0.3、、π﹣3、、3.14、1.51511511…,有理数有个,无理数有个.三.解答题(共3小题)22.蜗牛从某点0开始沿一东西方向直线爬行,规定向东爬行的路程记为正数,向西爬行的路程记为负数.爬过的各段路程依次为(单位:厘米):+5,﹣3,+10,﹣8,﹣6,+12,﹣10.(1)求蜗牛最后是否回到出发点?(2)蜗牛离开出发点0最远时是多少厘米?(3)在爬行过程中,如果每爬1厘米奖励一粒芝麻,则蜗牛一共得到多少粒芝麻?23.(1)将下列各数填入相应的圈内:2,5,0,1.5,+2,﹣3.(2)说出这两个圈的重叠部分表示的是什么数的集合:.24.定义:可以表示为两个互质整数的商的形式的数称为有理数,整数可以看作分母为1的有理数;反之为无理数.如不能表示为两个互质的整数的商,所以,是无理数.可以这样证明:设与b是互质的两个整数,且b≠0.则a2=2b2因为b是整数且不为0,所以,a是不为0的偶数,设a=2n,(n是整数),所以b2=2n2,所以b也是偶数,与a,b是互质的正整数矛盾.所以,是无理数.仔细阅读上文,然后,请证明:是无理数.2019年苏科新版数学七年级上册《第2章有理数》单元测试卷参考答案与试题解析一.选择题(共15小题)1.如果盈利2元记为“+2元”,那么“﹣2元”表示()A.亏损2元B.亏损﹣2元C.盈利2元D.亏损4元【分析】首先审清题意,明确“正”和“负”所表示的意义;再根据题意作答.【解答】解:∵盈利2元记为“+2元”,∴“﹣2元”表示亏损2元.故选:A.【点评】本题考查了正数和负数的定义.解本题的根据是掌握正数和负数是互为相反意义的量.2.下列说法中正确的是()A.任何有理数的绝对值都是正数B.最大的负有理数是﹣1C.0是最小的数D.如果两个数互为相反数,那么它们的绝对值相等【分析】根据有理数的定义和特点,绝对值、互为相反数的定义及性质,对选项进行一一分析,排除错误答案.【解答】解:A、0的绝对值是0,故选项A错误;B、没有最大的负有理数也没有最小的负有理数,故选项B错误;C、没有最大的有理数,也没有最小的有理数,故选项C错误;D、根据绝对值的几何意义:互为相反数的两个数绝对值相等,故选项D正确.故选:D.【点评】本题考查了绝对值的几何意义及互为相反数的两个数在数轴上的位置特点,以及有理数的概念,难度适中.3.如图,数轴上的A、B、C三点所表示的数分别为a,b,c,点A与点C到点B的距离相等,如果|a|>|c|>|b|,那么该数轴的原点O的位置应该在()A.点A的左边B.点A与点B之间C.点B与点C之间D.点C的右边【分析】根据绝对值是数轴上表示数的点到原点的距离,分别判断出点A、B、C到原点的距离的大小,从而得到原点的位置,即可得解.【解答】解:∵|a|>|c|>|b|,∴点A到原点的距离最大,点C其次,点B最小,又∵AB=BC,∴原点O的位置是在点B、C之间且靠近点B的地方.故选:C.【点评】本题考查了实数与数轴,理解绝对值的定义是解题的关键.4.相反数等于其本身的数是()A.1B.0C.±1D.0,±1【分析】相反数的定义:只有符号不同的两个数互为相反数,0的相反数是0.【解答】解:根据相反数的定义,则相反数等于其本身的数只有0.故选:B.【点评】主要考查了相反数的定义,要求掌握并灵活运用.5.一个正数的绝对值小于另一个负数的绝对值,则两数和一定是()A.正数B.负数C.零D.不能确定和的符号【分析】根据有理数的加法运算法则进行计算即可得解.【解答】解:∵一个正数的绝对值小于另一个负数的绝对值,∴两数和一定是负数.故选:B.【点评】本题考查了绝对值,一个正数的绝对值是它本身;一个负数的绝对值是它的相反数;0的绝对值是0.6.已知|a+3|+|b﹣1|=0,则a+b的值是()A.﹣4B.4C.2D.﹣2【分析】根据非负数的性质列式求出a、b的值,然后代入代数式进行计算即可得解.【解答】解:根据题意得,a+3=0,b﹣1=0,解得a=﹣3,b=1,所以,a+b=﹣3+1=﹣2.故选:D.【点评】本题考查了非负数的性质:几个非负数的和为0时,这几个非负数都为0.7.的倒数是()A.B.﹣C.2019D.﹣2019【分析】根据倒数的定义解答.【解答】解:的倒数是=2019.故选:C.【点评】考查了倒数的定义,考查了学生对概念的记忆,属于基础题.8.绝对值小于5的所有整数的和为()A.0B.﹣8C.10D.20【分析】找出绝对值小于5的所有整数,求出之和即可.【解答】解:绝对值小于5的所有整数为:0,±1,±2,±3,±4,之和为0.故选:A.【点评】此题考查了有理数的加法,熟练掌握运算法则是解本题的关键.9.在π,,1.732,3.14四个数中,无理数的个数是()A.4个B.3个C.2个D.没有【分析】根据无理数的定义得到无理数有π,共两个.【解答】解:无理数有:π,故选:C.【点评】本题考查了无理数的定义:无限不循环小数叫无理数,常见形式有:①开方开不尽的数,如等;②无限不循环小数,如0.101001000…等;③字母,如π等.10.在3.14,,,﹣,2π,中,无理数有()个.A.1个B.2个C.3个D.4个【分析】无理数就是无限不循环小数.理解无理数的概念,一定要同时理解有理数的概念,有理数是整数与分数的统称.即有限小数和无限循环小数是有理数,而无限不循环小数是无理数.由此即可判定选择项.【解答】解:无理数有:﹣,2π共2个.【点评】此题主要考查了无理数的定义,其中初中范围内学习的无理数有:π,2π等;开方开不尽的数;以及像0.1010010001…,等有这样规律的数.11.下列实数,﹣,0.,,,(﹣1)0,﹣,0.1010010001中,其中无理数共有()A.2个B.3个C.4个D.5个【分析】无理数就是无限不循环小数.理解无理数的概念,一定要同时理解有理数的概念,有理数是整数与分数的统称.即有限小数和无限循环小数是有理数,而无限不循环小数是无理数.由此即可判定选择项.【解答】解:无理数有:,﹣,共有3个.故选:B.【点评】此题主要考查了无理数的定义,其中初中范围内学习的无理数有:π,2π等;开方开不尽的数;以及像0.1010010001…,等有这样规律的数.12.在下列五个数中①,②,③,④0.777…,⑤2π,是无理数的是()A.①③⑤B.①②⑤C.①④D.①⑤【分析】根据无理数的三种形式:①开方开不尽的数,②无限不循环小数,③含有π的数,结合所给数据进行判断即可.【解答】解:=2,所给数据中无理数有:①,⑤2π.故选:D.【点评】本题考查了无理数的定义,属于基础题,解答本题的关键是熟练掌握无理数的三种形式.13.在1.732,﹣,,,3﹣,3.02中,无理数的个数是()A.1B.2C.3D.4【分析】根据无理数就是无限不循环小数即可解答.【解答】解:在1.732,﹣,,,3﹣,3.02中,无理数有:﹣,,3﹣共3个.【点评】此题主要考查了无理数的定义.判断一个数是否是无理数时,可紧密联系无理数的概念以及无理数常见的几种形式进行判断.14.在实数﹣1.414,,π,3.,2+,3.212212221…,3.14中,无理数的个数是()个.A.1B.2C.3D.4【分析】无理数常见的三种类型(1)开不尽的方根(2)特定结构的无限不循环小数(3)含有π的绝大部分数,如2π.【解答】解:﹣1.414是有限小数,是有理数,是无理数,π是无理数,3.无限循环小数是有理数,2+是无理数,3.212212221…是无限不循环小数是无理数,3.14有限小数是有理数.故选:D.【点评】本题主要考查的是无理数的认识,掌握无理数的常见类型是解题的关键.15.下列实数中,无理数是()A.2B.﹣C.3.14D.【分析】无理数就是无限不循环小数.理解无理数的概念,一定要同时理解有理数的概念,有理数是整数与分数的统称.即有限小数和无限循环小数是有理数,而无限不循环小数是无理数.由此即可判定选择项.【解答】解:A、2是整数,是有理数,选项不符合题意;B、﹣是分数,是有理数,选项不符合题意;C、3.14是有限小数,是有理数,选项不符合题意;D、是无理数,选项符合题意.故选:D.【点评】本题考查了无理数的定义:无限不循环小数叫无理数,常见形式有:开方开不尽的数,如等;无限不循环小数,如0.1010010001…等;字母表示的无理数,如π等.二.填空题(共6小题)16.吐鲁番盆地低于海平面155米,记作﹣155m,南岳衡山高于海平面1900米,则衡山比吐鲁番盆地高2055m.【分析】根据正负数的意义,把比海平面低记作“﹣”,则比海平面高可记作“+”,求高度差用“作差法”,列式计算.【解答】解:吐鲁番盆地低于海平面155米,记作﹣155m,则南岳衡山高于海平面1900米,记作+1900米;∴衡山比吐鲁番盆地高1900﹣(﹣155)=2055(米).【点评】先根据数的意义确定两个读数,再列式计算.17.在有理数集合中,最小的正整数是1,最大的负整数是﹣1.【分析】根据正整数和负整数的定义来得出答案.正整数:+1,+2,+3,…叫做正整数.负整数:﹣1,﹣2,﹣3,…叫做负整数.特别注意:0是整数,既不是正数,也不是负数.【解答】解:在有理数集合中,最小的正整数是1,最大的负整数是﹣1.故答案为1;﹣1.【点评】本题主要考查了有理数的分类及定义.认真掌握正数、负数、整数、分数、正有理数、负有理数、非负数的定义与特点.特别注意:整数和正数的区别,注意0是整数,但不是正数.18.在数轴上将点A向右移动7个单位,再向左移动4个单位,终点恰好是原点,则点A 表示的数是﹣3.【分析】设点A表示的数为x,根据向右平移加,向左平移减列出方程,然后解方程即可.【解答】解:设点A表示的数为x,由题意得,x+7﹣4=0,解得x=﹣3,所以,点A表示的数是﹣3.故答案为:﹣3.【点评】本题考查了数轴,主要利用了向右平移加,向左平移减,熟记并列出方程是解题的关键.19.请写出一个比3大比4小的无理数:π.【分析】由于带根号的要开不尽方是无理数,无限不循环小数为无理数,根据无理数的定义即可求解.【解答】解:比3大比4小的无理数很多如π.故答案为:π.【点评】此题主要考查了无理数的定义,解题时注意带根号的要开不尽方才是无理数,无限不循环小数为无理数.20.请写出一个无理数.【分析】根据无理数定义,随便找出一个无理数即可.【解答】解:是无理数.故答案为:.【点评】本题考查了无理数,牢记无理数的定义是解题的关键.21.下列各数中:0.3、、π﹣3、、3.14、1.51511511…,有理数有3个,无理数有3个.【分析】无理数就是无限不循环小数.理解无理数的概念,一定要同时理解有理数的概念,有理数是整数与分数的统称.即有限小数和无限循环小数是有理数,而无限不循环小数是无理数.由此即可得到正确答案.【解答】解:0.3、=2、3.14这三个数是有理数,π﹣3、、1.51511511…这三个数是无理数,故答案为3、3.【点评】此题主要考查了无理数和有理数的知识点,其中初中范围内学习的无理数有:π,2π等;开方开不尽的数;以及像0.1010010001…,等有这样规律的数.三.解答题(共3小题)22.蜗牛从某点0开始沿一东西方向直线爬行,规定向东爬行的路程记为正数,向西爬行的路程记为负数.爬过的各段路程依次为(单位:厘米):+5,﹣3,+10,﹣8,﹣6,+12,﹣10.(1)求蜗牛最后是否回到出发点?(2)蜗牛离开出发点0最远时是多少厘米?(3)在爬行过程中,如果每爬1厘米奖励一粒芝麻,则蜗牛一共得到多少粒芝麻?【分析】(1)把爬过的路程记录相加,即可得解;(2)求出各段距离,然后根据正负数的意义解答;(3)求出爬行过的各段路程的绝对值的和,然后解答即可.【解答】解:(1)5﹣3+10﹣8﹣6+12﹣10,=27﹣27,=0,所以,蜗牛最后能回到出发点;(2)蜗牛离开出发点0的距离依次为:5、2、12、4、2、10、0,所以,蜗牛离开出发点0最远时是12厘米;(3)|+5|+|﹣3|+|+10|+|﹣8|+|﹣6|+|+12|+|﹣10|,=5+3+10+8+6+12+10,=54厘米,∵每爬1厘米奖励一粒芝麻,∴蜗牛一共得到54粒芝麻.【点评】此题主要考查了正负数的意义,解题关键是理解“正”和“负”的相对性,明确什么是一对具有相反意义的量.在一对具有相反意义的量中,先规定其中一个为正,则另一个就用负表示.23.(1)将下列各数填入相应的圈内:2,5,0,1.5,+2,﹣3.(2)说出这两个圈的重叠部分表示的是什么数的集合:正整数.【分析】按照有理数的分类填写:有理数,整数,分数.【解答】解:(1);(2)由图形可得,两个圈的重叠部分表示的是正整数的集合.【点评】本题考查了有理数的分类.认真掌握正数、负数、整数、分数、正有理数、负有理数、非负数的定义与特点.24.定义:可以表示为两个互质整数的商的形式的数称为有理数,整数可以看作分母为1的有理数;反之为无理数.如不能表示为两个互质的整数的商,所以,是无理数.可以这样证明:设与b是互质的两个整数,且b≠0.则a2=2b2因为b是整数且不为0,所以,a是不为0的偶数,设a=2n,(n是整数),所以b2=2n2,所以b也是偶数,与a,b是互质的正整数矛盾.所以,是无理数.仔细阅读上文,然后,请证明:是无理数.【分析】先设=,再由已知条件得出,a2=5b2,又知道b是整数且不为0,所以a不为0且为5的倍数,再设a=5n,(n是整数),则b2=5n2,从而得到b也为5的倍数,与a,b是互质的正整数矛盾,从而证明了答案.【解答】解:设与b是互质的两个整数,且b≠0.则,a2=5b2,因为b是整数且不为0,所以a不为0且为5的倍数,设a=5n,(n是整数),所以b2=5n2,所以b也为5的倍数,与a,b是互质的正整数矛盾.所以是无理数.【点评】本题考查了无理数的概念,解题的关键是根据所给事例模仿去做,做到举一反三.。
2022-2023学年七年级数学上学期复习备考高分秘籍【苏科版】专题2.5第2章有理数单元测试(培优提升卷)(七上苏科)注意事项:本试卷满分120分,试题共26题,其中选择8道、填空10道、解答8道.答卷前,考生务必用0.5毫米黑色签字笔将自己的姓名、班级等信息填写在试卷规定的位置.一、选择题(本大题共8小题,每小题2分,共16分)在每小题所给出的四个选项中,只有一项是符合题目要求的.1.(2022·江苏·七年级期中)冰箱冷藏室的温度零上3℃,记作+3℃,冷冻室的温度零下8℃,应记作( )A.8℃B.﹣8℃C.11℃D.﹣5℃【答案】B【分析】首先审清题意,明确“正”和“负”所表示的意义;再根据题意作答.【详解】冰箱冷藏室的温度零上3℃,记作+3℃,冷冻室的温度零下8℃,应记作﹣8℃.故选:B.【点睛】此题主要考查了正负数的意义,解题关键是理解“正”和“负”的相对性,明确什么是一对具有相反意义的量.在一对具有相反意义的量中,先规定其中一个为正,则另一个就用负表示.2.(2022·江苏·扬州市江都区实验初级中学七年级阶段练习)下列运算中,正确的是( )A.-32=(-3)2B.(-1)2022=-2022×(-4)=4×(-4)C.7-(-3)=7+3D.143.(2021·江苏南京·七年级期末)有理数a、b、c在数轴上对应点的位置如图所示,若|b|>|c|,则下列结论中正确的是()A .abc <0B .b +c <0C .a +c >0D .ac >ab 【答案】B 【分析】根据题意,a 和b 是负数,但是c 的正负不确定,根据有理数加减乘除运算法则讨论式子的正负.【详解】解:∵|b |>|c |,∴数轴的原点应该在表示b 的点和表示c 的点的中点的右边,∴c 有可能是正数也有可能是负数,a 和b 是负数,ab >0,但是abc 的符号不能确定,故A 错误;若b 和c 都是负数,则b +c <0,若b 是负数,c 是正数,且|b |>|c |,则b +c <0,故B 正确;若a 和c 都是负数,则a +c <0,若a 是正数,c 是负数,且|a |>|c |,则a +c <0,故C 错误;若b 是负数,c 是正数,则ac <ab ,故D 错误.故选:B .【点睛】本题考查数轴和有理数的加减乘除运算法则,解题的关键是通过有理数加减乘除运算法则判断式子的正负.4.(2022·江苏无锡·七年级阶段练习)在简便运算时,把24×(-994748)变形成最合适的形式是( )A .24×(148-100)B .24×(-100-148)C .24×(100-148)D .24×(-99+4748)5.(2022·江苏扬州·七年级阶段练习)如图,半径为1个单位长度的圆从A 点沿数轴向左滚动(无滑动)两周到达点B ,则点B 表示的数是( )A.2πB.-4πC.-4π+1D.-4π-1【答案】D【分析】先求出滚动两周的距离,然后根据数轴上的点与实数一一对应,可得B点表示的数.【详解】解:滚动两周的距离为2×2π×1=4π,∴点B表示的数是-4π-1,故选:D.【点睛】本题考查了数轴上的动点问题,求出滚动两周的距离是解题的关键.6.(2022·江苏·七年级专题练习)下列说法中,正确的个数是( )①若|1a|=1a,则a≥0;②若|a|>|b|,则有(a+b)(a﹣b)是正数;③A、B、C三点在数轴上对应的数分别是﹣2、6、x,若相邻两点的距离相等,则x=2;④若代数式2x+|9﹣3x|+|1﹣x|+2011的值与x无关,则该代数式值为2021;⑤a+b+c=0,abc<0,则b c|a|+a c|b|+a b|c|的值为±1.A.1个B.2个C.3个D.4个7.(2022·江苏·七年级专题练习)如图所示,在这个数据运算程序中,若开始输入的x的值为4,输出的结果是2,返回进行第二次运算则输出的是1,…,则第2020次输出的结果是( )A.﹣1B.-2C.-4D.-68.(2018·江苏·铜山进修学校七年级期中)我们平常用的是十进制,如:1967=1×103+9×102+6×101+7,表示十进制的数要用10个数码:0,1,2,3,4,5,6,7,8,9.在计算机中用的是二进制,只有两个数码:0,1.如:二进制中111=1×22+1×21+1相当于十进制中的7,又如:11011=1×24+1×23+0×22+1×21+1相当于十进制中的27.那么二进制中的1011相当于十进制中的()A.9B.10C.11D.12【答案】C【分析】根据题意得出1011=1×23+0×22+1×21+1,求出即可【详解】1011=1×23+0×22+1×21+1=11,即二进制中的1011相当于十进制中的11.故答案选C.【点睛】考查了有理数的乘方,结合计算机教学,主要考查学生的理解能力、阅读能力和计算能力.第II卷(非选择题)二、填空题9.(2022·江苏·南京市第二十九中学七年级阶段练习)-3的绝对值是___________,-11的倒数是___________.510.(2022·江苏镇江·七年级阶段练习)镇江西津渡古街是镇江文物古迹保存最多、最集中、最好的街区,其占地约50万平方米,50万平方米这个数字用科学记数法可记为____________平方米.【答案】5×105【分析】根据科学记数法的公式a×10n,1≤a<10书写即可;【详解】50万=5×105;故答案是5×105.【点睛】本题主要考查了科学记数法的表示,准确书写是解题的关键.11.(2021·江苏宿迁·七年级阶段练习)某粮店出售的三种品牌的面粉袋上,分别标有质量为(50±0.1)kg, (50±0.2)kg,(50±0.3)kg的字样,从中任意拿出两袋,它们的质量最多相差__________.【答案】0.6kg【分析】先找出质量的最大值和最小值,根据有理数的减法法则计算.【详解】解:质量最小值是50-0.3=49.7(kg),最大值是50+0.3=50.3(kg),∴50.3-49.7=0.6(kg).故答案为:0.6kg.【点睛】本题考查有理数减法的实际应用,是基础考点,掌握相关知识是解题关键.12.(2022·江苏·南京市第二十九中学七年级阶段练习)若|a|=7,b=5,且a+b<0,那么a-b=___________.【答案】-12【分析】根据绝对值的性质求出a,再根据有理数的加法运算法则判断出a的情况,然后根据有理数的减法运算法则进行计算即可得解.【详解】解:∵|a|=7,∴a=±7,∵a+b<0,b=5,∴a=-7,∴a-b=-7-5=-12,故答案为:-12.【点睛】本题考查了有理数的减法,主要利用了减去一个数等于加上这个数的相反数,确定出a的对应情况是解题的关键.13.(2022·江苏·南京市第二十九中学七年级阶段练习)小亮有5张卡片,上面分别写有-3、-5、0、+3、+4,他想从这5张卡片中取出2张,使得这2张卡片上的数字相除的商最小,商的最小值是___________.14.(2022·江苏·南京市第二十九中学七年级阶段练习)如图,一远古牧人在从右到左依次排列的绳子上打结,满4进1,用来记录他所放牧的羊的只数.由图可知,他所放牧的羊的只数是___________.【答案】27【分析】根据题意“满4进1”可知,从右到左第一根绳子上一个结代表一个1,第二根绳子上一个结代表4,第三根绳子一个结代表42,再进行计算即可.【详解】解:1×42+2×4+3×1=27,故答案为:27.【点睛】本题主要考查了用数字表示事件,解题的关键是正确理解“满4进1”的计数规则.15.(2019·江苏南通·七年级阶段练习)当x=_____时,﹣10+|x﹣1|有最小值,最小值为_____.【答案】 1 -10【分析】(1)要使﹣10+|x﹣1|最小,则|x﹣1|最小,即|x﹣1|=0,解出答案,(2)根据(1)中,求出最小值.【详解】|x﹣1|=0,解得:x=1,最小值=-10,故答案为(1)1,(2)-10.【点睛】本题主要考查了绝对值的基本性质,绝对值最小值为0.16.(2022·江苏·南闸实验学校七年级阶段练习)如果有理数a,b满足|ab﹣2|+(1﹣b)2=0,则1ab +1(a1)(b1)+1(a2)(b2)+⋯+1(a2022)(b2022)的值为______.17.(2020·江苏·南京师范大学附属中学树人学校七年级阶段练习)观察下列等式:第1层1+2=3第2层4+5+6=7+8第3层9+10+11+12=13+14+15第4层16+17+18+19+20=21+22+23+24…在上述的数字宝塔中,从上往下数,2020在第_____层.【答案】44.【分析】根据题目中每层最大数字的特点,发现数字变化的特点,从而解答本题.【详解】解:由题意可得,第1层最大数是22-1,第2层最大数是32-1,第3层最大数是42-1,第4层最大数是52-1,……∵442-1<2020<452-1,∴2020在第44层,故答案为:44.【点睛】本题考查数字的变化类,解答本题的关键是明确题意,发现题目中数字的变化特点,求出相应的层数.18.(2022·江苏·七年级期中)已知点O是数轴的原点,点A、B、C在数轴上对应的数分别是﹣12、b、c,且b、c满足(b﹣9)2+|c﹣15|=0,动点P从点A出发以2单位/秒的速度向右运动,同时点Q从点C出发,以1个单位/秒速度向左运动,O 、B 两点之间为“变速区”,规则为从点O 运动到点B 期间速度变为原来的一半,之后立刻恢复原速,从点B 运动到点O 期间速度变为原来的3倍,之后立刻恢复原速,运动时间为 _____秒时,P 、Q 两点到点B 的距离相等.三、解答题19.(2022·江苏无锡·七年级阶段练习)把下列各数填入表示它所在的数集的大括号:-25,3,-2020,-103,0.101001001…,0,-(-30%),π3,-|-4|,-2.3(1)正数集合: {____________________________...};(2)无理数集合: {____________________________...};(3)分数集合: {____________________________...};(4)非正整数集合:{____________________________...}.20.(2021·江苏镇江·七年级期中)计算:(1)4×(―3)―5×(―2)+6(2)(―24)×12―3×2―(―3)2(3)―12021―(1―0.5)×13(4)(―2)3×6―8×+8÷1821.(2017·江苏连云港·七年级期中)已知(x+3)2与|y﹣2|互为相反数,z是绝对值最小的有理数,求(x+y)y +xyz的值.【答案】1【分析】根据题意z是绝对值最小的有理数可知,z=0,且互为相反数的两数和为0,注意平方和绝对值都具有非负性.【详解】解:因为(x+3)2与|y﹣2|互为相反数,所以(x+3)2+|y﹣2|=0,因为(x+3)2≥0,|y﹣2|≥0,所以(x+3)2=0,|y﹣2|=0,即x+3=0,y﹣2=0,所以x=﹣3,y=2,因为z是绝对值最小的有理数,所以z=0.所以(x+y)y+xyz=(﹣3+2)2+(﹣3)×2×0=1.故答案为:1【点睛】本题考查有理数的混合运算、非负数的性质、绝对值的性质等知识,解题的关键是熟练掌握非负数的性质.22.(2020·江苏·兴化市乐吾实验学校七年级期中)网购的盛行,带动了快递行业的快速发展.一天快递员小李骑车从快递公司出发,在一条东西方向的马路上来回送件,规定在快递公司东边记为正,快递公司西边记为负,小李一天所走的路程记录如下:(单位:千米):+4,-3,+5,-2.5,2.5,-3,-2.8,+1.5,+1.5,-1.2.(1)该快递员最后到达的地方在快递公司的哪个方向?距快递公司多远?(2)该快递员在这次送件过程中,共走了多少千米?【答案】(1)东边,2千米;(2)27千米【分析】(1)根据题目中的数据,可以解答本题;(2)将题目中的数据的绝对值相加,即可解答本题.【详解】解:(1)4+(-3)+5+(-2.5)+2.5+(-3)+(-2.8)+1.5+1.5+(-1.2)=2(千米),答:该快递员最后到达的地方在快递公司的东边,距快递公司2千米;(2)4+|-3|+5+|-2.5|+2.5+|-3|+|-2.8|+1.5+1.5+|-1.2|=27(千米),答:该快递员在这次送件过程中,共走了27千米.【点睛】本题考查了正数和负数,解答本题的关键是明确正负数在题目中的实际意义.23.(2019·江苏·泰州市姜堰区张甸初级中学七年级期中)下面是一个数值转换机的示意图.(1)当输入x=-4,y=1时,则输出结果为 ,当输入x=-1,y=2,则输出结果为 .(2)用含x、y的代数式表示输出结果为 .(3)若输入x的值为1,输出结果为11时,求输入y的值.(4)若(1)中输出的两个结果依次对应数轴上的点A,B,点C为A、B之间的一个动点,若将数轴以点C为折点,将此数轴向右对折,若A点与数轴上的D点重合,且B、D两点之间的距离为1,则点C在数轴上表示的数为.(直接写出答案)【答案】(1)-7, 2;(2)2x+y2;(3)±3;(4)-2或-3【分析】(1)将x,y的值分别代入流程图进行计算即可;(2)通过(1)即可总结出代数式;(3)令x=1,代数式的值为11,解关于y的一元一次方程即可;(4)先求出A、B两点,然后折叠,通过线段的和差即可完成解答.【详解】(1)将x=-4,y=1代入流程图得:-7;将x=-1,y=2代入流程图得:2,故答案为-7,2;(2)由(1)得代数式为(3)令x=1,代数式2x+y2的值为11,得:2×1+ y2=11,解得y=±3(4)①如图:当D在AB上时:则C为-3;①如图:当D在AB延长线上时:则C为-2;故C为-2或-3.【点睛】本题考查了流程图、代数式以及数轴的相关知识,正确的识别流程图并灵活运用数轴是解答本题的关键.24.(2018·江苏泰州·七年级期中)有4张写着以下数字的卡片,请按要求抽出卡片,完成下列各题:(1)从中取出2张卡片,使这2张卡片上数字之积最大,最大值是________.(2)从中取出2张卡片,使这2张卡片上数字之差最小,最小值是________.(3)从中取出4张卡片,将这4个数字进行加、减、乘、除或乘方等混合运算,使结果为24,请写出一种符合要求的运算式子________.(注:4个数字都必须用到且只能用一次.)【答案】 10 -12 (―5―7)×(―2)×1【分析】(1)观察这四个数,要找乘积最大的就要找符号相同且绝对值最大的数,所以选-5和-2;(2)根据题意可知卡片中的最大数与最小数之间的差值即为所求;(3)从中取出4张卡片,用学过的运算方法,使结果为24,这就不唯一,用加减乘除只要答数是24即可,比如(―5―7)×(―2)×1=24.【详解】解:(1)根据题意得:(-5)×(-2)=10,故答案为10;(2)由题意可得,从中取出2张卡片,使这2张卡片上数字的差最小,最小值是:-5-7=-12,故答案为-12;(3)(答案不唯一)如(―5―7)×(―2)×1=24.【点睛】此题实际上是有理数的混合运算的逆运算,先给你数,让你列混合运算的式子,所以学生平时要培养自己的逆向思维能力.25.(2022·江苏·七年级期中)概念学习现规定:求若干个相同的有理数(均不等于0)的商的运算叫做除方,比如2÷2÷2,(―3)÷(―3)÷(―3)÷(―3)等,类比有理数的乘方,我们把2÷2÷2写作2③,读作“2的圈3次方”,(―3)÷(―3)÷(―3)÷(―3)写作(―3)④,读作“(―3)的圈4次方”,一般地,把a ÷a ÷a ÷⋅⋅⋅÷a ︸n 个a(a ≠0)写作a ⓝ,读作“a 的圈n 次方”.初步探究(1)直接写出计算结果:3②=________,=________;(2)下列关于除方说法中,错误的有________;(在横线上填写序号即可)A .任何非零数的圈2次方都等于1B .任何非零数的圈3次方都等于它的倒数C .负数的圈奇数次方结果是负数,负数的圈偶数次方结果是正数D .圈n 次方等于它本身的数是1或―1深入思考我们知道,有理数的减法运算可以转化为加法运算,除法运算可以转化为乘法运算,那么有理数的除方运算如何转化为乘方运算呢?除方→→乘方幂的形式(3)归纳:请把有理数a(a ≠0)的圈n(n ≥3)次方写成幂的形式为:a ⓝ=________;(4)比较:(―2)⑧________(―4)⑥;填“>”“<”或“=”)(5)计算:―1⑳+14②÷―×(―7)⑥―(―48)÷.26.(2022·江苏·七年级期中)已知数轴上有A、B、C三点,分别对应有理数-26、-10、10,动点P从B出发,以每秒1个单位的速度向终点C移动,同时,动点Q从A出发,以每秒3个单位的速度向终点C移动,设点P的移动时间为t秒.(1)当t=5秒时,数轴上点P对应的数为,点Q对应的数为;P、Q两点间的距离为.(2)用含t的代数式表示数轴上点P对应的数为.(3)在点P运动到C点的过程中(点Q运动到C点后停止运动),请用含t的代数式表示P、Q两点间的距离.【答案】(1)-5,-11;6.(2)-10+t.(3)当0≤t≤8时,PQ=-2t+16;当8<t≤12时,PQ=2t-16;当12<t≤20时,PQ=20-t.【分析】(1)由题意根据数轴上动点向正方向移动用加法以及两点间距离公式进行分析计算;(2)根据题意点P的移动时间为t秒列出代数式即可;(3)根据题意分当0≤t≤8时,当8<t≤12时,当12<t≤20时三种情况进行分析即可.【详解】解:(1)由题意可得当t=5秒时,数轴上点P对应的数为:―10+1×5=―5,点Q对应的数为:―26+3×5=―11,P、Q两点间的距离为:|―5―(―11)|=6,故答案为:-5, -11;6.(2)用含t的代数式表示数轴上点P对应的数为:-10+t.故答案为:-10+t.(3)当0≤t≤8时,PQ=(-10+t)-(-26+3t) =-2t+16;当8<t≤12时,PQ=(-26+3t)-(-10+t)=2t-16;当12<t≤20时,PQ=10-(-10+t) =20-t.【点睛】本题考查数轴上的动点问题,熟练掌握列代数式表示动点以及两点间距离公式,运用数形结合思维和分类讨论思维进行分析是解题的关键.27.(2022·江苏·七年级期中)(1)尝试:比较下列各式的大小关系:(用>,<,=,≥,≤填空)①|―2|+|3|___________|―2+3|;②|―6|+|4|_________|―6+4|;③|―3|+|―4|_________|―3―4|;④|0|+|―7|__________|0―7|;(2)归纳:观察上面的数量关系,可以得到:|a|+|b|___________|a+b|(用>,<,=,≥,≤填空)(3)应用:利用上面得到的结论解决下面问题:若|m|+|n|=16,|m+n|=2,则m=______________.(4)拓展:当a、b、c满足什么条件时,|a|+|b|+|c|>|a+b+c|(请直接写出结果,不需过程)【答案】(1)①>;②>;③=;④=;(2)≥;(3)±9或±7;(4)1个正数,2个负数;2个正数,1个负数;1个0,1个正数,1个负数.【分析】(1)①根据绝对值运算、有理数的加法即可得;②根据绝对值运算、有理数的加法即可得;③根据绝对值运算、有理数的加减法即可得;④根据绝对值运算、有理数的加减法即可得;(2)根据(1)的结果归纳类推即可得;(3)先根据上述结论得出m、n异号,再分m为正数,n为负数和m为负数,n为正数两种情况,然后代入解绝对值方程即可得;(4)先根据a,b,c中0的个数进行分类,再结合上述结论、绝对值运算分析即可得.【详解】(1)①|―2|+|3|=2+3=5,|―2+3|=|1|=1,则|―2|+|3|>|―2+3|,故答案为:>;②|―6|+|4|=6+4=10,|―6+4|=|―2|=2,则|―6|+|4|>|―6+4|,故答案为:>;③|―3|+|―4|=3+4=7,|―3―4|=|―7|=7,则|―3|+|―4|=|―3―4|,故答案为:=;④|0|+|―7|=0+7=7,|0―7|=|―7|=7,则|0|+|―7|=|0―7|,故答案为:=;(2)由(1)的结果,归纳类推得:|a|+|b|≥|a+b|,故答案为:≥;(3)∵|m|+|n|=16,|m+n|=2,∴|m|+|n|>|m+n|,由上述结论可得:m、n异号,①当m为正数,n为负数时,则|m|+|n|=m―n=16,即n=m―16,将n=m―16代入|m+n|=2得:|m+m―16|=2,解得m=9或m=7,符合题设;②当m为负数,n为正数时,则|m|+|n|=―m+n=16,即n=m+16,将n=m+16代入|m+n|=2得:|m+m+16|=2,解得m=―9或m=―7,符合题设;综上,m=±9或m=±7,故答案为:±9或±7;(4)由题意,分以下四类:第一类:当a,b,c三个数都不等于0时,①1个正数,2个负数,此时|a|+|b|+|c|>|a+b+c|,②2个正数,1个负数,此时|a|+|b|+|c|>|a+b+c|,③3个正数,此时|a|+|b|+|c|=|a+b+c|,不符题意,舍去,④3个负数,此时|a|+|b|+|c|=|a+b+c|,不符题意,舍去;第二类:当a,b,c三个数中有1个等于0时,①1个0,2个正数,此时|a|+|b|+|c|=|a+b+c|,不符题意,舍去,②1个0,2个负数,此时|a|+|b|+|c|=|a+b+c|,不符题意,舍去,③1个0,1个正数,1个负数,此时|a|+|b|+|c|>|a+b+c|;第三类:当a,b,c三个数中有2个等于0时,①2个0,1个正数,此时|a|+|b|+|c|=|a+b+c|,不符题意,舍去,②2个0,1个负数,此时|a|+|b|+|c|=|a+b+c|,不符题意,舍去;第四类:当a,b,c三个数都等于0时,此时|a|+|b|+|c|=|a+b+c|,不符题意,舍去;综上,|a|+|b|+|c|>|a+b+c|成立的条件是:1个正数,2个负数;2个正数,1个负数;1个0,1个正数,1个负数.【点睛】本题考查了绝对值、有理数的加减运算,熟练掌握绝对值运算,并正确归纳出规律是解题关键.。
有理数单元测试卷学校:________ 班级:________ 姓名:________ 学号:________一、单选题(共8小题)1.在﹣,0,﹣|﹣5|,﹣0.6,2,﹣(﹣),﹣10中负数的个数有()A.3 B.4 C.5 D.62.下列说法中,①分数都是有理数;②两数之和为正,则两数均为正;③0是单项式;④一条直线就是一个平角.正确的说法的个数是()A.1 B.2 C.3 D.43.点A、B、C、D在数轴上的位置如图所示,表示的数是负数的点是()A.A B.B C.C D.D4.下列各数中是无理数的是()A.﹣3 B.πC.9 D.﹣0.115.a,b是有理数,它们在数轴上的对应点的位置如图所示,把a,﹣a,b,﹣b按照从小到大的顺序排列,正确的是()A.﹣b<﹣a<a<b B.﹣b<a<﹣a<b C.﹣a<﹣b<a<b D.﹣b<b<﹣a<a6.﹣的绝对值是()A.B.C.D.7.下列运算中,结果最小的是()A.1﹣(﹣2)B.1﹣|﹣2| C.1×(﹣2)D.1÷(﹣2)8.如果a、b互为相反数,c、d互为倒数,x的绝对值等于2,那么cdx2﹣a﹣b的值是()A.4 B.﹣4 C.4或﹣4 D.无法确定二、填空题(共8小题)9.下列各数:27,,0.333…,﹣4π,1.3030030003…,3.1415926中,无理数的个数是.10.如图,数轴上的点A所表示的数为a,化简|a|﹣|a﹣2|的结果为.11.已知实数x,y满足|x﹣5|+=0 那么代数式()2008的值为.12.已知|x|=3,|y|=7,且x+y>0,则x﹣y的值等于.13.如图所示的是一个正方体的展开图,它的每一个面上都写有一个数,并且a与相对面的数互为相反数;b与相对面的数互为倒数;c与相对面的数和为33.那么a+b+c=.14.如图,有理数a在数轴上的位置如图所示,则a、、|a|、a2从小到大的顺序是.(用“<”号连接)15.对于整数a,b,c,d,符号表示运算ad﹣bc,例如=2×5﹣3×4=10﹣12=﹣2,若x,y均为整数,且满足1<<3,则x+y的值是.16.如图,根据图中的运算程序进行计算,当输入x=3,y=2时,输出的结果为.三、解答题(共9小题)17.计算:(1)(+4)×(+3)÷(﹣);(2)(+10)﹣(+1)+(﹣2)﹣(﹣5);(3)(﹣24)×(﹣+);(4)﹣12+(﹣6)×(﹣)﹣8÷(﹣2)3.18.计算下列各题(1)(﹣2)3﹣|2﹣5|﹣(﹣15);(2)(﹣+﹣+)÷(﹣);(3)﹣32﹣[(1)3×(﹣)﹣6÷|﹣|];(4)2×(﹣1)﹣2×13+(﹣1)×5+×(﹣13).19.某市某公交车从起点到终点共有六个站,一辆公交车由起点开往终点,在起点站始发时上了部分乘客,从第二站开始下车、上车的乘客数如表:二三四五六站次人数下车(人)3610719上车(人)1210940(1)求本趟公交车在起点站上车的人数;(2)若公交车的收费标准是上车每人2元,计算此趟公交车从起点到终点的总收入?20.十几年前我国曾经流行有一种叫“二十四点”的数学趣味算题,方法是给出1~13之间的自然数,从中任取四个,将这四个数(四个数都只能用一次)进行“+”“﹣”“×”“÷”运算,可加括号使其结果等于24.例如:对1,2,3,4可运算(1+2+3)×4=24,也可以写成4×(1+2+3)=24,但视作相同的方法.现有郑、付两同学的手中分别握着四张扑克牌(见下图);若红桃♥、方块♦上的点数记为负数,黑桃♠、梅花♣上的点数记为正数.请你对郑、付两同学的扑克牌的按要求进行记数,并按前面“二十四点”运算方式对郑、付两同学的记数分别进行列式计算,使其运算结果均为24.(分别尽可能提供多种算法)依次记为:﹣、、﹣、依次记为:、﹣、﹣、.(1)帮助郑同学列式计算:﹣﹣﹣(2)帮助付同学列式计算:﹣﹣.21.阅读下列材料:现规定一种运算:=ad﹣bc.例如:=1×4﹣2×3=4﹣6=﹣2;=4x ﹣(﹣2)×3=4x+6.按照这种规定的运算,请解答下列问题:(1)=(只填结果);(2)已知:=1.求x的值.(写出解题过程)22.十一黄金周(7天)期间,49中学7年7班某同学计划租车去旅行,在看过租车公司的方案后,认为有以下两种方案比较适合(注:两种车型的油耗相同):周租金(单位:元)免费行驶里程(单位:千米)超出部分费用(单位:元/千米)A型1600100 1.5 B型2500220 1.2解决下列问题:(1)如果此次旅行的总行程为1800千米,请通过计算说明租用哪种型号的车划算;(2)设本次旅行行程为x千米,请通过计算说明什么时候费用相同.23.观察下列等式:=1﹣,=,=,将以上三个等式两边分别相加得:++=1﹣=1﹣=.(1)猜想并写出:=.(2)直接写出计算结果:+++…+=;(3)探究并计算:①.②.24.在解决数学问题的过程中,我们常用到“分类讨论”的数学思想,下面是运用分类讨论的数学思想解决问题的过程,请仔细阅读,并解答题目后提出的“探究”【提出问题】三个有理数a、b、c满足abc>0,求++的值.【解决问题】解:由题意得:a,b,c三个有理数都为正数或其中一个为正数,另两个为负数.①当a,b,c都是正数,即a>0,b>0,c>0时,则:++=++=1+1+3;②当a,b,c有一个为正数,另两个为负数时,设a>0,b<0,c<0,则:++=++=1﹣1﹣1=﹣1所以:++的值为3或﹣1.【探究】请根据上面的解题思路解答下面的问题:(1)三个有理数a,b,c满足abc<0,求++的值;(2)已知|a|=9,|b|=4,且a<b,求a﹣2b的值.25.(材料阅读)数轴是数学学习的一个很重要的工具,利用数轴可以将数与形完美结合.通过数轴我们可发现许多重要的规律:①绝对值的几何意义:一般地,若点A、点B在数轴上表示的有理数分别为a,b,那么A、B两点之间的距离表示为|a﹣b|,记作AB=|a﹣b|,|3﹣1|则表示数3和1在数轴上对应的两点之间的距离;又如|3+1|=|3﹣(﹣1)|,所以|3+1|表示数3和﹣1在数轴上对应的两点之间的距离;②若数轴上点A、点B表示的数分别为a、b,那么线段AB的中点M表示的数为.(问题情境)如图,在数轴上,点A表示的数为﹣20,点B在原点右侧,表示的数为b,动点P从点A出发以每秒2个单位长度的速度沿数轴正方向运动,同时,动点Q从点B出发以每秒3个单位长度的速度沿数轴负方向运动,其中线段PQ的中点记作点M.(综合运用)(1)出发12秒后,点P和点Q相遇,则B表示的数b=;(2)在第(1)问的基础上,当时,求运动时间;(3)在第(1)问的基础上,点P、Q在相遇后继续以原来的速度在这条数轴上运动,但P、Q两点运动的方向相同.随着点P、Q的运动,线段PQ的中点M也相应移动,问线段PQ的中点M能否与表示﹣2的点重合?若能,求出从P、Q相遇起经过的运动时间;若不能,请说明理由.有理数单元提优测试卷参考答案一、单选题(共8小题)1.【答案】B【解答】解:﹣|﹣5|=﹣5,﹣(﹣)=,故负数有﹣,﹣|﹣5|,﹣0.6,﹣10,共4个.故选:B.2.【答案】B【解答】解:①分数都是有理数,说法正确;②两数之和为正,则两数不一定均为正,如2+(﹣1)=1,故原说法错误;③0是单项式,说法正确;④一条直线不是一个平角,因为平角有顶点,原说法错误,故原说法错误.正确的说法有①③共2个.故选:B.3.【答案】A【解答】解:根据数轴得:A表示的数为负数.故选:A.4.【答案】B【解答】解:A、﹣3,是有理数,不合题意;B、π,是无理数,符合题意;C、9,是有理数,不合题意;D、﹣0.11,是有理数,不合题意;故选:B.5.【答案】B【解答】解:∵a<0<b,且﹣a<b,∴﹣a>0,﹣b<0,∵﹣a<b,∴﹣b<a,∴﹣b<a<﹣a<b.故选:B.6.【答案】C【解答】解:﹣的绝对值是|﹣|=;故选:C.7.【答案】C【解答】解:A、原式=1+2=3;B、原式=1﹣2=﹣1;C、原式=﹣2;D、原式=﹣;其中结果最小的是﹣2.故选:C.8.【答案】A【解答】解:∵a、b互为相反数,c、d互为倒数,x的绝对值等于2,∴a+b=0,cd=1,|x|=2,∴cdx2﹣a﹣b=1×22﹣0=4﹣0=4.故选:A.二、填空题(共8小题)9.【答案】2个【解答】解:27,,0.333…,﹣4π,1.3030030003…,3.1415926中,无理数有﹣4π,1.3030030003…,一共有2个.故答案为:2个.10.【答案】2【解答】解:由数轴知:1<a<2,∴a﹣2<0,∴|a|﹣|a﹣2|=a﹣(a﹣2)=a﹣a+2=2.故答案为:2.11.【答案】1【解答】解:∵|x﹣5|+=0,∴x=5,y=﹣4,则原式=1.故答案为:1.12.【答案】-4或-10【解答】解:∵|x|=3,|y|=7∴x=3或x=﹣3;y=7或y=﹣7,又∵x+y>0,∴当x=3,y=7时,x﹣y=3﹣7=﹣4;当x=﹣3,y=7时,x﹣y=﹣3﹣7=﹣10;故答案为:﹣4或﹣10.13.【答案】 14【解答】解:由正方体的表面展开图的“相间、Z端是对面”可得,“a”与“8”相对,“b”与“4”相对,“c”与“25”相对,∵a与相对面的数互为相反数;b与相对面的数互为倒数;c与相对面的数和为33.∴a=﹣8,b=,c=8∴a+b+c=,故答案为:.14.【答案】 1a<a<a2<|a|【解答】解:取a=﹣,则=﹣2,|a|=,a2=(﹣)2=,∵﹣2<﹣<,∴<a<a2<|a|,故答案为:<a<a2<|a|.15.【答案】±4【解答】解:由题意得,1<1×5﹣xy<3,即1<5﹣xy<3,∴,∵x、y均为整数,∴xy为整数,∴xy=3,∴x=±1时,y=±3;x=±3时,y=±1;∴x+y=1+3=4或x+y=﹣1﹣3=﹣4,故答案为±4.16.【答案】1【解答】解:由图中所提供的运算程序,可得输出的结果为x2+y2﹣2xy,即(x﹣y)2,当x=3,y=2时,原式=32+22﹣2×3×2=1,故答案为:1.三、解答题(共9小题)17.【解答】解:(1)原式=12×(﹣)=﹣18;(2)原式=10﹣1﹣2+5=12;(3)原式=(﹣24)×﹣(﹣24)×+(﹣24)×=﹣16+15﹣12=﹣13;(4)原式=﹣1+3﹣8÷(﹣8)=﹣1+3+1=3.18.【解答】解:(1)(﹣2)3﹣|2﹣5|﹣(﹣15)=(﹣8)﹣3+15=(﹣8)+(﹣3)+15=4;(2)(﹣+﹣+)÷(﹣)=(﹣+﹣+)×(﹣24)=﹣×(﹣24)+×(﹣24)﹣×(﹣24)+×(﹣24)=12+(﹣20)+9+(﹣10)=﹣9;(3)﹣32﹣[(1)3×(﹣)﹣6÷|﹣|]=﹣9﹣[()3×(﹣)﹣6÷]=﹣9﹣[×(﹣)﹣6×]=﹣9﹣(﹣﹣9)=﹣9++9=;(4)2×(﹣1)﹣2×13+(﹣1)×5+×(﹣13)=(2+5)×(﹣1)+[(﹣2)+(﹣)]×13=7×(﹣)+(﹣3)×13=(﹣10)+(﹣39)=﹣49.19.【解答】解:(1)19﹣[(12﹣3)+(10﹣6)+(9﹣10)+(4﹣7)]=19﹣[9+4﹣1﹣3]=19﹣9=10答:本趟公交车在起点站上车的人数是10人.(2)由(1)知起点上车10人(10+12+10+9+4)×2=45×2=90(元)答:此趟公交车从起点到终点的总收入是90元.20.【答案】【第1空】-9【第2空】7【第3空】-6【第4空】2【第5空】7【第6空】-13【第7空】-5【第8空】3【第9空】(-9+7-2)×(-6)【第10空】[-5×(-13)+7]÷3【解答】解:依次记为:﹣9、7、﹣6、2;依次记为:7、﹣13、﹣5、3.(1)(﹣9+7﹣2)×(﹣6)=(﹣4)×(﹣6)=24;(2)[﹣5×(﹣13)+7]÷3=(65+7)÷3=72÷3=24.故答案为:﹣9,7,﹣6,2;7,﹣13,﹣5,3;(﹣9+7﹣2)×(﹣6);[﹣5×(﹣13)+7]÷3.21.【答案】4【解答】解:(1)根据题中的新定义得:原式=2+6×=2+2=4;故答案为:4;(2)由题意得:﹣=1,去分母,得:3x﹣5(x﹣3)=15,去括号,得:3x﹣5x+15=15,移项及合并,得:﹣2x=0,系数化为1,得:x=0.22.【解答】解:(1)若租用A型车,所需费用为:1600+(1800﹣100)×1.5=4150,若租用B型车,所需费用为:2500+(1800﹣220)×1.2=4396,∵4396>4150∴选择A型号车划算;(2)若租用A型车,所需费用为:1600+1.5(x﹣100)=1.5x+1450,若租用B型车,所需费用为:2500+1.2(x﹣220)=1.2x+2236,当1.5x+1450=1.2x+2236,即x=2620时,租用A型车和B型车费用相同.23.【答案】【第1空】12020-12021【第2空】20192020【解答】解:(1)=﹣;故答案为:﹣;(2)+++…+=1+﹣+﹣+…+﹣=1﹣=;故答案为:;(3)①=(1﹣+﹣+﹣+…+﹣+﹣)=(1﹣)=;②=(1﹣﹣++﹣﹣++﹣+…+﹣﹣+)=×(1﹣﹣+)=.24.【解答】解:(1)由题意得:a,b,c三个有理数都为负数或其中一个为负数,另两个为正数.①当a,b,c都是负数,即a<0,b<0,c<0时,则:++=﹣﹣﹣=﹣1﹣1﹣1=﹣3;②当a,b,c有一个为负数,另两个为正数时,设a>0,b>0,c<0,则:++=++=1+1﹣1=1所以:++的值为﹣3或1.(2)因为|a|=9,|b|=4,所以a=±9,b=±4,因为a<b,所以a=﹣9,b=±4,所以a﹣2b=﹣9﹣2×4=﹣17或a﹣2b=﹣9﹣2×(﹣4)=﹣1.答:a﹣2b的值为﹣17或﹣1.25.【答案】40【解答】解:(1)由题意(2+3)×12=b﹣(﹣20),解得b=40,故答案为40.(2)设运动时间为t秒.由题意:60﹣(2+3)t=×60或(2+3)t﹣60=×60,解得t=8或16.答:运动时间为8秒或16秒时,PQ=AB.(3)能.点P、Q在相遇点表示的数为﹣20+12×2=4,设从点P、Q相遇起经过的时间为t秒时,线段PQ的中点M与﹣2重合.由题意,P,Q必须同时向左运动,可得=﹣2,解得t=,答:从P、Q相遇起经过的运动时间为.1、三人行,必有我师。
苏科七年级上单元测试第2单元班级________姓名________一、单选题1.有理数a 、b 、c 在数轴上对应点的位置如图所示,若|b |>|c |,则下列结论中正确的是()A .abc <0B .b +c <0C .a +c >0D .ac >ab2.求23201913333+++++ 的值,可令23201913333S =+++++ ①,①式两边都乘以3,则2333S =+342020333++++ ②,②-①得2020331S S -=-,则2020312S -=仿照以上推理,计算出2155++342019555++++ 的值为()A .201951-B .202051-C .2020514-D .2010514-3.若||4=a ,||2=b ,且+a b 的绝对值与相反数相等,则-a b 的值是()A .2-B .6-C .2-或6-D .2或64.已知2ab -和1a -是一对互为相反数,()()()()()()1111112220202020ab a b a b a b ++++++++++ 的值是()A .12020B .12021C .20212022D .202020215.已知a 、b 、c 在数轴上的位置如图所示,试化简|a +b |﹣|b |+|b +c |+|c |的结果是()A .a +bB .a +b ﹣2cC .﹣a ﹣b ﹣2cD .a +b +2c6.如图所示,在这个数据运算程序中,若开始输入的x 的值为4,输出的结果是2,返回进行第二次运算则输出的是1,…,则第2020次输出的结果是()A .﹣1B .-2C .-4D .-67.现有以下五个结论:①整数和分数统称为有理数;②绝对值等于其本身的有理数是0和1;③每一个有理数都可以用数轴上的一个点表示;④若两个非0数互为相反数,则它们相除的商等于﹣1;⑤几个有理数相乘,负因数个数是奇数时,积是负数.其中正确的有()A .1个B .2个C .3个D .4个二、填空题8.观察下列等式:11111222=-=´111112112232233+=-+-=´´1111111131122334223344++=-+-+-=´´´……请按上述规律,写出第n 个式子的计算结果(n 为正整数)______.(写出最简计算结果即可)9.把一张纸片剪成4块,再从所得的纸片中任取若干块,每块剪成4块,像这样依次地进行下去,到剪完某一次为止,那么2018、2019、2020、2021这四个数中______可能是剪出的纸片数.10.你玩过24点游戏吧,请你运用加、减、乘、除运算和括号,写出数5、5、5、1得到24的算式__________(每个数只能用一次).11.观察下列等式:第1层1+2=3第2层4+5+6=7+8第3层9+10+11+12=13+14+15第4层16+17+18+19+20=21+22+23+24…在上述的数字宝塔中,从上往下数,2020在第_____层.12.阅读理解:12-111-22112==´,13-211-63223==´,14-311-124334==´……阅读以上材料后计算:111111111357911131517612203042567290++++++++=__.13.数轴上一个点到-1所表示的点的距离为4,那么这个点在数轴上所表示的数是______.14.有两组数,第一组:-0.25,314-,3,第二组数:-0.35,45,310-,从这两组数中各取一个数,将它们相乘,那么所有这样的乘积的总和是______.15.计算:14(81)249-¸´¸_______15=-.三、解答题16.计算(1)45554559696æöæöæö--++---ç÷ç÷ç÷èøèøèø(2)()33312121315137474æöæö´--´+-´+´-ç÷ç÷èøèø(3)()()3311624 2.52æö¸---´-+ç÷èø(4)()()2019211112424248æö-+-+--+´-ç÷èø17.计算:(1)()()221110.5222éù---´´--ëû;(2)18191919-´(简便计算).18.简算(1)﹣(2).19.先计算,再阅读材料,解决问题:(1)计算:11112362æö-+´ç÷èø.(2)认真阅读材料,解决问题:计算:121123031065æö¸-+-ç÷èø.分析:利用通分计算211231065-+-的结果很麻烦,可以采用以下方法进行计算:解:原式的倒数是:211213106530æö-+-¸ç÷èø21123031065æö=-+-´ç÷èø21123030303031065=´-´+´-´20351210=-+-=.故原式110=.请你根据对所提供材料的理解,选择合适的方法计算:1351252426213æöæö-¸-+-ç÷ç÷èøèø.20.已知点M ,N 在数轴上分别表示m ,n ,动点P 表示的数为x .(1)填写表格:m 23-2-n625-M ,N 两点间的距离4_____________(2)由表可知,点M ,N 之间的距离可以表示为m n -,则2x -可以看成是表示为x 的数到2的距离,若数轴上表示数x 的点位于2与6-之间(包含2和6-),那么①()26x x -+--=_______.②126x x x -++++的最小值=_______.(3)12399100x x x x x -+++-++-++ 的最小值=________.参考答案题号1234567答案BCCCCBC8.1n n +9.202010.5×(5-1÷5)=2411.44.12.281513.-5或314.0.15.15.161516.解:(1)45554559696æöæöæö--++---ç÷ç÷ç÷èøèøèø=45554559696---+=4555(45)(5)9966--+-+=105--=15-(2)()33312121315137474æöæö´--´+-´+´-ç÷ç÷èøèø=[][()33312115213137744æöæöù´-+-´+-´+´-ç÷ç÷ûèøèø=3311(52)13(2)744æö-´++´--ç÷èø=-10-39=-49(3)()()3311624 2.52æö¸---´-+ç÷èø=()()11684 2.58æö¸---´-+ç÷èø=12 2.52--+=0(4)()()2019211112424248æö-+-+--+´-ç÷èø=()()()11110242424248éù-+-´--´-+´-êúëû=11263-+-+=817.(1)12-;(2)379-解:(1)()()221110.5222éù---´´--ëû=()1112422--´´-=()1124--´-=11+2-=12-(2)18191919-´=1201919æö-+´ç÷èø=12019+1919-´´=380+1-=379-.18.解:(1)原式=×(﹣1.05﹣11.35+7.7)=×(﹣4.7)=﹣;(2)原式=﹣9×﹣18+4﹣9=﹣24.19.(1)8;(2)147-解:(1)计算:111111121212124268362362æö-+´=´-´+´=-+=ç÷èø;(2)原式的倒数是:()351252426213æö-+-´-ç÷èø,()()()()351252525252426213=´--´-+´--´-,3910268=-+-+,47=-,故原式147=-.20.解:(1)2-(-3)=5,(-2)-(-5)=3,填表如下:m 23-2-n625-M ,N 两点间的距离453(2)①()26x x -+--表示数轴上x 到2和x 到-6的距离之和,∴()()26268x x -+--=--=;②126x x x -++++表示数轴上x 到1和x 到-2以及x 到-6的距离之和,∵表示数x 的点位于2与-6之间(包含2和-6),∴当x 与-2重合时,126x x x -++++最小,即为1-(-6)=7;(3)12399100x x x x x -+++-++-++ 表示数轴上x 分别到1,-2,3,-4,...,99,-100的距离之和,∴当x =()991002+-=12-时,取最小值,最小值为111111239910022222--+-++--++--+- =()1.5 3.5 5.5...99.52++++´=5050.。
苏科新版七年级上册数学第2章有理数单元测试卷一.选择题(共10小题).1.检测4个排球,其中超过标准的克数记为正数,低于标准的克数记为负数,从轻重的角度来看,最接近标准的球是()A.B.C.D.2.在下列实数:、、、、﹣1.010010001…中,无理数有()A.2个B.3个C.4个D.5个3.﹣的相反数是()A.B.﹣C.D.﹣4.下列说法中,正确的是()A.因为相反数是成对出现的,所以0没有相反数B.数轴上原点两旁的两点表示的数是互为相反数C.符号不同的两个数是互为相反数D.正数的相反数是负数,负数的相反数是正数5.a为有理数,下列说法正确的是()A.﹣a为负数B.a一定有倒数C.|a+2|为正数D.|﹣a|+2为正数6.下列数:﹣0.5,,0.1,﹣3,0,﹣(﹣0.7),其中负分数有()A.2个B.3个C.4个D.5个7.两个有理数a,b在数轴上的位置如图,下列四个式子中运算结果为正数的式子是()A.a+b B.a﹣b C.ab D.﹣b﹣a8.一种零件的直径尺寸在图纸上是30±0.03(单位:mm),它表示这种零件的标准尺寸是30mm,加工要求尺寸最大不超过()A.0.03B.0.02C.30.03D.29.979.下面的说法错误的是()A.0是最小的整数B.1是最小的正整数C.0是最小的自然数D.自然数就是非负整数10.在数轴上,点A对应的数是﹣6,点B对应的数是﹣2,点O对应的数是0.动点P、Q 分别从A、B同时出发,以每秒3个单位,每秒1个单位的速度向右运动.在运动过程中,线段PQ的长度始终是另一线段长的整数倍,这条线段是()A.PB B.OP C.OQ D.QB二.填空题11.某商店出售的某种品牌的面粉袋上,标有质量为(50±0.2)千克的字样,从中任意拿出两袋,他们的质量最多相差千克.12.对某种盒装牛奶进行质量检测,一盒装牛奶超出标准质量2克,记作+2克,那么﹣3克表示.13.有理数中,是整数而不是正数的数是,是负数而不是分数的是.14.在数轴上点P到原点的距离为5,点P表示的数是.15.数轴上距离原点2.4个单位长度的点有个,它们分别是.16.a﹣b的相反数是;|3.14﹣π|=.17.化简:=,﹣{﹣[+(﹣2.6)]}=.18.一次数学测试,如果96分为优秀,以96分为基准简记,例如106分记为+10分,那么85分应记为分.19.在有理数3.14,3,﹣,0,+0.003,﹣3,﹣104,6005中,负分数的个数为x,正整数的个数为y,则x+y的值等于.20.阅读下列材料:设=0.333…①,则10x=3.333…②,则由②﹣①得:9x=3,即.所以=0.333…=.根据上述提供的方法把下列两个数化成分数.=,=.三.解答题21.2018年国庆节放假八天,高速公路免费通行,各地风景区游人如织其中,其中闻名于世的“三孔”,在10月1日的游客人数就已经达到了10万人,接下来的七天中,每天的游客人数变化(单位:万人)如下表(正数表示比前一天多的人数,负数表示比前一天少的人数):日期10月2日10月3日10月4日10月5日10月6日10月7日10月8日人数变化+0.6+0.2+0.1﹣0.2﹣0.8﹣1.6﹣0.1(1)10月3日的人数为万人;(2)这八天,游客人数最多的是多少万人?最少呢?(3)这8天参观的总人数约为多少万人?22.把下列各数填入相应的大括号里.﹣0.78,3,+,﹣8.47,10,﹣,0,﹣4.正数:{…};分数:{…};非负整数:{…};负有理数:{…}.23.把下列各数分别填在相应的集合中:﹣,,﹣,0,﹣,、,0.,3.1424.请把下列各数填在相应的集合内:,﹣5,0.34,,20,﹣3.14,﹣1,正数集合{ }负整数集合{ }整数集合{ }分数集合{ }非正数集合{ }非负整数集合{ }.25.有20筐白菜,以每筐25千克为标准,超过或不足的千克数分别用正、负数来表示,记录如下:与标准质量的差值﹣3﹣2﹣1.501 2.5(单位:千克)筐数142328(1)20筐白菜中,最重的一筐比最轻的一筐重千克.(2)与标准重量比较,20筐白菜总计超过或不足多少千克?(3)若白菜每千克售价2元,则出售这20筐白菜可卖多少元?26.出租车司机小李某天上午营运时是在东西走向的大街上进行的,如果规定向东为正,向西为负,以他接到的第一位乘客开始计算,他这天上午连续所接六位乘客的行车里程(单位:km)如下:﹣2,+5,﹣1,+1,﹣6,﹣2,问:(1)将最后一位乘客送到目的地时,小李在第一位乘客上车点哪个方位?多远?(2)若汽车耗油量为0.15L/km(升/千米),这天上午小李接送乘客,出租车共耗油多少升?(3)若出租车起步价为8元,起步里程为3km(包括3km),超过部分每千米2元,问小李这天上午共得车费多少元?27.云云的爸爸驾驶一辆汽车从A地出发,且以A为原点,向东为正方向.他先向东行驶15千米,再向西行驶25千米,然后又向东行驶20千米,再向西行驶40千米,问汽车最后停在何处?已知这种汽车行驶100千米消耗的油量为8.9升,问这辆汽车这次消耗了多少升汽油?参考答案与试题解析一.选择题1.解:通过求四个排球的绝对值得,D球的绝对值最小.所以D球是接近标准的球.故选:D.2.解:无理数有:,,﹣1.020010001…,共有3个.故选:B.3.解:根据相反数的含义,可得﹣的相反数等于:﹣(﹣)=.故选:A.4.解:A、0的相反数为0,所以A选项错误;B、数轴上原点两旁且到原点的距离的点所表示的数是互为相反数,所以B选项错误;C、符号不同且绝对值相等的两个数是互为相反数,所以C选项错误;D、正数的相反数是负数,负数的相反数是正数,所以D选项正确.故选:D.5.解:当a=0时,﹣a也等于0,不是负数,因此选项A不正确;当a=0时,0没有倒数,因此选项B不正确;当a=﹣2时,|a+2|=0,因此选项C不正确;|a|≥0,|a|+2≥2,因此选项D正确;故选:D.6.解:﹣0.5,﹣是负分数,故选:A.7.解:由有理数a,b在数轴上的位置可得,a<﹣1,0<b<1,∴a+b<0;a﹣b<0;ab<0;﹣a﹣b>0;故选:D.8.解:根据正数和负数的意义可知,图纸上是30±0.03(单位:mm),它表示这种零件的标准尺寸是30mm,误差不超过0.03mm;加工要求尺寸最大不超过30.03mm.故选:C.9.解:A、没有最小的整数,故错误;B、1是最小的正整数,正确;C、0是最小的自然数,正确;D、自然数是0和正整数的统称,即自然数就是非负整数,正确.故选:A.10.解:设运动的时间为t秒,则运动后点P所表示的数为﹣6+3t,点Q表示的数为﹣2+t,PQ=|﹣6+3t﹣(﹣2+t)|=2|t﹣2|;OQ=|﹣2+t﹣0|=|t﹣2|,故选:C.二.填空题11.解:根据题意得:标有质量为(50±0.2)的字样,∴最大为50+0.2=50.2,最小为50﹣0.2=49.8,故他们的质量最多相差0.4千克.故答案为:0.4.12.解:“正”和“负”相对,若一盒装牛奶超出标准质量2克,记作+2克,那么﹣3克表示低于标准质量3克.13.解:零既不是正数也不是负数.故在理数中,是整数而不是正数的数是0和负整数;是负数而不是分数的是负整数.故答案为:0和负整数;负整数.14.解:∵在数轴上点P到原点的距离为5,即|x|=5,∴x=±5.故答案为:±5.15.解:设数轴上距离原点2.4个单位长度的点为a,则|a|=2.4,解得a=±2.4.故答案为:2;+2.4,﹣2.4.16.解:a﹣b的相反数是b﹣a;|3.14﹣π|=π﹣3.14.故答案为:b﹣a;π﹣3.14.17.解:﹣|﹣(﹣)|=﹣;﹣{﹣[+(﹣2.6)]}=﹣2.6.故答案为:﹣;﹣2.6.18.解:85﹣96=﹣11,故答案为:﹣11.19.解:负分数为:,,共2个;正整数为:3,6005,共2个,则x+y=2+2=4.故答案为:4.20.解:设=x=0.777…①,则10x=7.777…②则由②﹣①得:9x=7,即x=;根据已知条件=0.333…=.可以得到=1+=1+=.故答案为:;.三.解答题21.解:(1)2日的人数为:10+0.6=10.6万人,3日的人数为:10.6+0.2=10.8万人.故答案为10.8;(2)4日的人数为:10.8+0.1=10.9万人,5日的人数为:10.9﹣0.2=10.7万人,6日的人数为:10.7﹣0.8=9.9万人,7日的人数为:9.9﹣1.6=8.3万人,8日的人数为:8.3﹣0.1=8.2万人,所以这八天,游客人数最多的是10月4日,达到10.9万人.游客人数最少的是10月8日,达到8.2万人.(3)10+10.6+10.8+10.9+10.7+9.9+8.3+8.2=79.422.解:在﹣0.78,3,+,﹣8.47,10,﹣,0,﹣4中,分类如下:正数:{3,+,10,…};分数:{﹣0.78,+,﹣8.47,﹣,…};非负整数:{3,10,0,…};负有理数:{﹣0.78,﹣8.47,﹣,﹣4,…}.故答案为:3,+,10;﹣0.78,+,﹣8.47,﹣;3,10,0;0.78,﹣8.47,﹣,﹣4.23.解:有理数集合:(﹣,﹣,0,,0.,3.14,…),无理数集合:(,﹣,,…).24.解:正数集合{,0.34,20…};负整数集合{﹣5,﹣1…};整数集合{﹣5,0,20,﹣1…};分数集合{,0.34,﹣2,﹣3.14…};非正数集合{﹣5,﹣2,0,﹣3.14,﹣1…};非负整数集合{0,20…}.25.解:(1)最重的一筐超过2.5千克,最轻的差3千克,求差即可2.5﹣(﹣3)=5.5(千克),故最重的一筐比最轻的一筐重5.5千克.故答案为:5.5;(2)1×(﹣3)+4×(﹣2)+2×(﹣1.5)+3×0+1×2+8×2.5=﹣3﹣8﹣3+2+20=8(千克).故20筐白菜总计超过8千克;(3)2×(25×20+8)=2×508=1016(元).故出售这20筐白菜可卖1016元.26.解:(1)﹣2+5﹣1+1﹣6﹣2=﹣5.故此时小李在第一位乘客上车点的西边5km的位置;(2)|﹣2|+|+5|+|﹣1|+|+1|+|﹣6|+|﹣2|=2+5+1+1+6+2=17(千米),0.15×17=2.55(L).答:出租车共耗油2.55L;(3)根据题意可得:6×8+(2+3)×2=48+10=58(元).答:小李这天上午共得车费58元.27.解:根据题意得:15﹣25+20﹣40=35﹣65=﹣30,即汽车最后同在A西边30米处;根据题意得:(15+25+20+40)÷100×8.9=8.9(升),即这辆汽车这次消耗了8.9升汽油.。
有理数单元练习一、填空题1.某地某日的最高温度是零上8℃,记作+8℃,那么当日最低温度零下6℃,应记作_______.2.请你写出一个比-1大的有理数_______.3.下列各数:1,-23,0,107,-213,-0.01,-4,5,0.532,-3.14,7,86,其中非正数有_______个.4.观察这一列数:3591733,,,,47101316---,依此规律下一个数是_______.5.例如我们约定正整数a和b中,如果a除以b的商的整数部分记作Z(ab),而它的余数记作R(ab),又如设[x]表示不大于x的最大整数,那么Z112⎛⎫⎪⎝⎭=_______,R112⎛⎫⎪⎝⎭=_______,[4.2]=_______.二、选择题6.在数13,2011,-2,0,-3.14中,负分数有( )A.0个B.1个C.2个D.3个7.在数-5.2,0,23,2011,71,3. 14中,非负数的个数是( )A.3 B.4 C.5 D.6 8.下列说法中,不正确的是( )A.-.2.14既是负数、分数,也是有理数B.0既不是正数,也不是负数,但是整数C.0是非正数D.-2011既是负数,也是整数,但不是有理数9.如果规定前进、收入为正,亏损、公元前为负,那么下列语句错误的是( ) A.盈利的相反意义是亏损B.公元-100年的意义是公元后100年C.前进-10m的意义是后退10m D.收入-5万元的意义是亏损5万元10.下列说法中正确的是( )A.非负有理数就是正有理数B.零表示没有,不是自然数C.正整数和负整数统称为整数D.整数和分数统称为有理数三、解答题11.在下表适当的空格里面画上“√”号.12.不改变下列语句所表达的实际意义,把它们改成使用正数的说法:(1)温度下降了-3℃;(2)现金支出了-80元;(3)长度减少了-7 cm.13.把下列各数分别填在相应的集合里:-113,500%,227,0.3,0,-1.7,21,-2,1.01001,+6(1)正数集合{ …} (2)负数集合{ …} (3)正整数集合{ …} (4)整数集合{ …} (5)分数集合{ …} (6)非负有理数集合{ …} (7)有理数集合{ …}14.某天,小华在一条东西方向的公路上行走,他从家里出发,如果把向东280米记作-280米,那么他折回来行走350米表示什么意思?这时,他停下来休息,休息的地方在他家的什么方向上?距家有多远?小华共走了多少米?15.已知有三个数集:A{-1,3.1,-4,6,2.1),B{-4. 2,2.1,-1,10,-18},C{2.1,-4.2,8,6).(1)请把每个数集中所含的数填入图中的相应部分;(2)把A ,B ,C 三个数集中的负数写在横线上:_______;(3)有没有同时属于A ,B ,C 三个数集的数?若有,请指出.数学练习(一)〔有理数加减法运算练习〕一、加减法法则、运算律的复习。
A .△同号两数相加,取___相同的符号_______________,并把__绝对值相加__________________________。
1、(–3)+(–9) 2、85+(+15) 3、(–361)+(–332) 4、(–3.5)+(–532)△绝对值不相等的异号两数相加,取_绝对值较大的加数的符号________________________,并用________较大的绝对值减去较小的绝对值____________ _____________. 互为__________________的两个数相加得0。
1、(–45) +(+23)2、(–1.35)+6.353、412+(–2.25)4、(–9)+7△ 一个数同0相加,仍得___这个数__________。
1、(–9)+0=___-9___________; 2、0+(+15)=____15_________。
B1、(–1.76)+(–19.15)+(–8.24)2、23+(–17)+(+7)+(–13)3、(+341)+(–253)+543+(–852)4、52+112+(–52)C .有理数的减法可以转化为__正数___来进行,转化的“桥梁”是____(正号可以省略)或是(有理数减法法则)。
_____。
△减法法则:减去一个数,等于______加上这个数的相反数_________________________1、(–3)–(–5)2、341–(–143) 3、0–(–7)D .加减混合运算可以统一为____加法___1、(–3)–(+5)+(–4)–(–10)2、341–(+5)–(–143)+(–5)1、 1–4+3–52、–2.4 +3.5–4.6 + 3.53、 381–253+587–852二、综合提高题。
1、一个病人每天下午需要测量一次血压,下表是病人星期一至星期五收缩压的变化情况,该病人上个星期日的收缩压为160单位。
请算出星期五该病人的收缩压。
数学练习(二)(乘除法法则、运算律的复习)一、乘除法法则、运算律的复习。
A.有理数的乘法法则:两数相乘,同号得_正_______,异号得____负___,并把____绝对值相乘_______________。
任何数同0相乘,都得____0__。
1、(–4)×(–9) 2、(–52)×813、(–6)×04、(–253)×1351、 3的倒数是______,相反数是____,绝对值是____。
2、–4的倒数是____,相反数是____,绝对值是____。
1、 -3.5的倒数是_____,相反数是____,绝对值是____。
C.多个__________的数相乘,负因数的个数是________时,积是正数;负因数的个数是________时,积是负数。
几个数相乘,如果其中有因数为0,积等于_________。
1.(–5)×8×(–7)2.(–6)×(–5)×(–7)3.(–12)×2.45×0×9×100D 1、100×(0.7–103–254+0.03) 3、(–11)×52+(–11)×953E.有理数的除法可以转化为_______来进行,转化的“桥梁”是____________。
除法法则一:除以一个不等于0的数,等于____________________________________。
除法法则二:两数相除,同号得_____,异号得_____,并把绝对值相_______. 0除以任何一个不等于0的数,都得____.1. (–18)÷(–9)2. (–63)÷(7)3. 0÷(–105)4. 1÷(–9)F .有理数加减乘除混合运算,无括号时,“先________,后_________”,有括号时,先算括号内的,同级运算,从_____到______. 计算时注意符号的确定,还要灵活应用运算律使运算简便。
二、加减乘除混合运算练习。
1. 3×(–9)+7×(–9)2. 20–15÷(–5)3. [65÷(–21–31)+281]÷(–181)4. 冰箱开始启动时内部温度为10℃,如果每小时冰箱内部的温度降低5℃,那么3小时后冰箱内部的温度是多少?5.体育课全班女生进行了百米测验,达标成绩为18秒,下面是第一小组8名女生的成绩记录,其中“+1.甲、乙、丙三地的海拔高度分别是130m,-17m,-15m,那么最低的地方比最高的地方 低m.3.下列说法中正确的是( )A .两个数的差一定小于被减数;B .若两数的差为0,则这两数必相等C .两个相反数相减必为0;D .若两数的差为正数,则此两数都是正数 2.将下列各式写成省略括号的和的形式,并指出是哪些数的和. (1) (-5.4)+(+0.2)+(-0.6)+(+0.8) (2) 111()()6312-+--(3) (-21)+(-13)-(+12)-(-23) (4) 1171(4)(3)(4)(5)4882--++---4.计算.(1) 2-3+1-4-5 (2) -2.3-1.5-3.4+2.6(3) -2+(-2)-(+3.5)+(-2.3) (4) -(+56)-48-(-48)-(-56)(5)(-23)-(-18)-1+(-15)+23 (6)5.某粮油店第一天运进大米50包, 第二天运出大米48包, 第三天运进大米25包, 第四天运出大米20包, 第五天运进大米55包,则这五天该粮油店的大米发生了什么变化?7.求-123的绝对值的相反数与213的差.8.某检修小组乘汽车检修供电线路,约定前进为正,后退为负,某天自A 地出发到收工时, 所走路程(单位:km)为:+20,-1,+4,-2,-8,+16,-2,-3,+10,+7,-5.问: (1)收工时距A 地多远?(2)最远时距离A 地多远?为什么?(3)若每公里耗油0.3L,那么从A 地出发到收工时共耗油多少L?131415(7)-3+1- (8)1--0.8-1 84256616.2580.752-+-3174数学练习(三)(有理数的乘方)一、填空。
1、53中,3是________,2是 _______,幂是_________.2、-53的底数是______,指数是______,读作________________,计算结果是_______. 3、-54表示___________________________.结果是________.4、地球离太阳约有150000000万千米,用科学记数法表示为___________万千米.5、近似数3.04,精确到______位,有_______个有效数字。
6、 3.78×107是________位数。
7、 若a 为大于1的有理数,则 a ,a1, a2三者按照从小到大的顺序列为_______________.8、 用四舍五入法得到的近似值0.380精确到________位,48.68万精确到_________位。
10、1.8亿精确到_________位,有效数字为_______________。
11、代数式( a + 2 )2+ 5取得最小值时的 a 的值为___________.12、如果有理数a ,b 满足︱a -b ︱=b -a ,︱a ︱=2,︱b ︱=1,则( a + b )3=__________.二、 选择。
13、一个数的平方一定是( )A.正数B.负数C.非正数D.非负数 14、下面用科学记数法表示106000,其中正确的是( )A.1.06×105B.10.6×105C.1.06×106D.1.06×10715、︱x -21︱+ (2y+1 )2=0 , 则x 2+y 3的值是( ) A .83B.81 C. -81 D.-8316、若(b+1 )2+3︱a -2︱=0, 则a -2b 的值是A. -4B.0C.4D.2三、 计算。