化学名称(俗名)
- 格式:docx
- 大小:12.66 KB
- 文档页数:1
一些化学物质的俗名1.生石灰(主要成份是CaO);消石灰、熟石灰[主要成份是Ca(OH)2];水垢[主要成份是CaCO3和Mg(OH)2];石灰石、大理石、白垩(è)、蛋壳、贝壳、骨骼中的无机盐(主要成份是CaCO3);波尔多液(石灰水与硫酸铜溶液的混合物);石硫合剂(石灰水与硫粉的悬浊液)。
碱石灰[由NaOH、Ca(OH)2的混合液蒸干并灼烧而成,可以看成是NaOH和CaO的混合物];2.烧碱、火碱、苛性钠(NaOH);苛性钾(KOH)3.苏打、纯碱、口碱(Na2CO3);小苏打(NaHCO3);大苏打、海波(Na2S2O3)纯碱晶体(Na2CO3·10H2O);泡花碱、水玻璃、矿物胶(Na2SiO3的水溶液)。
4.芒硝(Na2SO4·10H2O);重晶石(BaSO4);石膏(CaSO4·2H2O);熟石膏(2CaSO4·H2O)。
5.胆矾、蓝矾(CuSO4·5H2O);明矾[KAl(SO4)2·12H2O或K2SO4·Al2(SO4)3·24H2O];绿矾(FeSO4·7H2O);皓矾(ZnSO4·7H2O)。
6.菱镁矿(主要成份是MgCO3);菱铁矿(主要成份是FeCO3);磁铁矿(主要成份是Fe3O4);赤铁矿、铁红(主要成份是Fe2O3);黄铁矿、硫铁矿(主要成份是FeS2)。
7.磷矿石[主要成份是Ca3(PO4)2];重过磷酸钙、重钙[主要成份是Ca(H2PO4)2];过磷酸钙、普钙[主要成份是Ca(H2PO4)2和CaSO4]。
8.光卤石(KCl·MgCl2·6H2O);9.铜绿、孔雀石[Cu2(OH)2CO3];10.萤石(CaF2);电石(CaC2);冰晶石(Na3AlF6)水晶(SiO2);玛瑙(主要成份是SiO2);石英(主要成份是SiO2);硅藻土(无定形SiO2)宝石、刚玉(Al2O3);金刚砂(SiC)。
初中常见化学式与俗名1、食盐:主要成分:氯化钠,化学式NaCl2、二氧化碳固体:化学式CO2,俗称干冰3、氧化钙:化学式CaO,俗称生石灰4、氢氧化钙:化学式Ca(OH)2,俗称熟石灰、消石灰、石灰浆氢氧化钙溶液:俗称石灰水,主要成分Ca(OH)25、甲烷:化学式CH4,俗称天然气,瓦斯、沼气的主要成分6、乙醇:化学式C2H5OH ,俗称酒精7、汞:化学式Hg,俗称水银8、过氧化氢:化学式H2O2,俗称双氧水9、硫酸铜晶体:化学式CuSO4·5H2O,俗称胆矾、蓝矾10、氢氧化钠:化学式NaOH,俗称火碱、烧碱、苛性钠11、大理石、石灰石、水垢、锅垢的主要成分:CaCO312、氢氯酸(HCl):盐酸(氯化氢气体溶于水所得的溶液),学名:氢氯酸14、碳酸钠:化学式:Na2CO3,俗称纯碱、苏打15、碳酸氢钠:化学式:NaHCO3,俗称小苏打16、铁锈主要成分:氧化铁;化学式:Fe2O3初中常见化学式与化学方程式一、化合反应1.镁在空气中燃烧:2Mg + O2点燃2Mg2、铁在氧气中燃烧:3Fe + 2O2点燃Fe3O43、铜在空气中受热:2Cu + O2加热2CuO4、铝在空气中燃烧:4Al + 3O2点燃2Al2O35、氢气中空气中燃烧:2H2 + O2点燃2H2O6、红磷在空气中燃烧:4P + 5O2点燃2P2O57、硫粉在空气中燃烧: S + O2点燃SO28、碳在氧气中充分燃烧:C + O2点燃CO29、碳在氧气中不充分燃烧:2C + O2点燃2CO10、一氧化碳在氧气中燃烧:2CO + O2点燃2CO211、二氧化碳与水反应生成碳酸:CO2 + H2O= H2CO3高温12、二氧化碳通过灼热的炭层:CO2 + C 2CO13、二氧化碳溶解于水:CO2 + H2O=H2CO314、生石灰溶于水:CaO + H2O = Ca(OH)215、三氧化硫溶于水:SO3 + H2O = H2SO416、无水硫酸铜作干燥剂:CuSO4 + 5H2O = CuSO4·5H2O二、分解反应172O 通电2H 2↑+ O 2 ↑18、 过氧化氢分解:2H 22O+O 2 ↑19、加热氯酸钾(有少量的二氧化锰):2KClO 3 2 ↑ 20、加热高锰酸钾:2KMnO 4 加热 K 2MnO 4 + MnO 2 + O 2↑ 21、碳酸不稳定而分解:H 2CO 3 === H 2O + CO 2↑ 22、高温煅烧石灰石:CaCO 3 高温 CaO + CO 2↑23、硫酸铜晶体受热分解:CuSO 4·5H 2O 加热 CuSO 4 + 5H 2O 三、置换反应24、氢气还原氧化铜:H 2 + CuO 加热 Cu + H 2O 25、木炭还原氧化铜:C+ 2CuO 高温 2Cu + CO 2↑ 26、焦炭还原氧化铁:3C+ 2Fe 2O 3 高温 4Fe + 3CO 2↑ 27、焦炭还原四氧化三铁:2C+ Fe 3O 4 高温 3Fe + 2CO 2↑ 金属单质 + 酸 -------- 盐 + 氢气28、锌与稀硫酸Zn + H 2SO 4 = ZnSO 4 + H 2↑ 29、铁与稀硫酸Fe + H 2SO 4 = FeSO 4 + H 2↑ 30、镁与稀硫酸Mg + H 2SO 4 = MgSO 4 + H 2↑ 31、铝与稀硫酸2Al +3H 2SO 4 = Al 2(SO 4)3 +3H 2↑ 32、锌与稀盐酸Zn + 2HCl === ZnCl 2 + H 2↑ 33、、铁与稀盐酸Fe + 2HCl === FeCl 2 + H 2↑ 34、镁与稀盐酸Mg+ 2HCl === MgCl 2 + H 2↑ 35、铝与稀盐酸2Al + 6HCl == 2AlCl 3 + 3H 2↑(2)金属单质 + 盐(溶液) ------- 另一种金属 + 另一种盐 36、铁与硫酸铜溶液反应:Fe + CuSO 4 === FeSO 4 + Cu 37、锌与硫酸铜溶液反应:Zn + CuSO 4 === ZnSO 4 + Cu38、铜与硝酸汞溶液反应:Cu + Hg(NO 3)2 === Cu(NO 3)2 + Hg 四、复分解反应(1)碱性氧化物 +酸 -------- 盐 + 水39、氧化铁与稀盐酸反应:Fe 2O 3 + 6HCl === 2FeCl 3 + 3H 2O 40、氧化铁与稀硫酸反应:Fe 2O 3 + 3H 2SO 4 === Fe 2(SO 4)3 + 3H 2O 41、氧化铜与稀盐酸反应:CuO + 2HCl ==== CuCl 2 + H 2O 42、氧化铜与稀硫酸反应:CuO + H 2SO 4 ==== CuSO 4 + H 2O 43、氧化镁与稀硫酸反应:MgO + H 2SO 4 ==== MgSO 4 + H 2O 44、氧化钙与稀盐酸反应:CaO + 2HCl ==== CaCl 2 + H 2O (2)酸 + 碱 -------- 盐 + 水45、硫酸与烧碱反应:H 2SO 4 + 2NaOH ==== Na 2SO 4 + 2H 2O 46、硫酸与氢氧化钾反应:H 2SO 4 + 2KOH ==== K 2SO 4 + 2H 2O47、硫酸与氢氧化铜反应:H 2SO 4 + Cu(OH)2 ==== CuSO 4 + 2H 2O 48、硫酸与氢氧化铁反应:3H 2SO 4 + 2Fe(OH)3==== Fe 2(SO 4)3 + 6H 2O 49、盐酸与氢氧化钾反应:HCl + KOH ==== KCl +H 2O50、盐酸与氢氧化铜反应:2HCl + Cu(OH)2 ==== CuCl 2 + 2H 2O 51、盐酸与氢氧化钙反应:2HCl + Ca(OH)2 ==== CaCl 2 + 2H 2O 52、盐酸与氢氧化铁反应:3HCl + Fe(OH)3 ==== FeCl 3 + 3H 2O53、氢氧化铝药物治疗胃酸过多:3HCl + Al(OH)3 ==== AlCl 3 + 3H 2O 54、盐酸与烧碱起反应:HCl + NaOH ==== NaCl +H 2O 55、硝酸与烧碱反应:HNO 3+ NaOH ==== NaNO 3 +H 2O (3)酸 + 盐 -------- 另一种酸 + 另一种盐56、大理石与稀盐酸反应:CaCO 3 + 2HCl === CaCl 2 + H 2O + CO 2↑ 57、碳酸钠与稀盐酸反应: Na 2CO 3 + 2HCl === 2NaCl + H 2O + CO 2↑ 58、碳酸镁与稀盐酸反应: MgCO 3 + 2HCl === MgCl 2 + H 2O + CO 2↑ 59、盐酸与硝酸银溶液反应:HCl + AgNO 3 === AgCl ↓ + HNO 3 60、硫酸与碳酸钠反应:Na 2CO 3 + H 2SO 4 === Na 2SO 4 + H 2O + CO 2↑ 61、硫酸与氯化钡溶液反应:H 2SO 4 + BaCl 2 ==== BaSO 4 ↓+ 2HCl (4)碱 + 盐 -------- 另一种碱 + 另一种盐62、氢氧化钠与硫酸铜:2NaOH + CuSO 4 ==== Cu(OH)2↓ + Na 2SO 4 63、氢氧化钠与氯化铁:3NaOH + FeCl 3 ==== Fe(OH)3↓ + 3NaCl 64、氢氧化钠与氯化镁:2NaOH + MgCl 2 ==== Mg(OH)2↓ + 2NaCl 65、氢氧化钠与氯化铜:2NaOH + CuCl 2 ==== Cu(OH)2↓ + 2NaCl 66、氢氧化钙与碳酸钠:Ca(OH)2 + Na 2CO 3 === CaCO 3↓+ 2NaOH (5)盐 + 盐 ----- 两种新盐67、氯化钠溶液与硝酸银溶液:NaCl + AgNO 3 ==== AgCl ↓ + NaNO 3 68、硫酸钠与氯化钡:Na 2SO 4 + BaCl 2 ==== BaSO 4↓ + 2NaCl 五、其她反应类型69、二氧化碳通入澄清石灰水中:CO 2 + Ca(OH)2 == CaCO 3↓+ H 2O 70、消石灰吸收二氧化硫:Ca(OH)2 + SO 2 ==== CaSO 3 ↓+ H 2O 71、氢氧化钠溶液吸收二氧化硫:SO 2 + 2NaOH ==Na 2SO 3+ H 2O 72、氢氧化钠在空气中变质:CO 2+ 2NaOH = Na 2CO 3 + H 2O73、苛性钠吸收三氧化硫气体:2NaOH + SO 3 ==== Na 2SO 4 + H 2O74、一氧化碳还原氧化铜:CO + CuO Cu + CO 275、酒精燃烧:C 2H 5OH + 3O 2 2CO 2 + 3H 2O 76、甲烷燃烧:CH 4 + 2O 2 CO 2 + 2H 2O△点燃点燃。
化学物质俗名(高中所有教材)物质俗名1.水银:汞Hg2.过氧一硫酸:过氧硫酸过硫酸H2SO53.白金:主要成分铂Pt4.苯:C6H 65.硫磺、石硫磺、硫矿、黄英、将军、倭硫、昆仑黄、白硫磺、天生黄、光明硫磺、舶硫、留黄、西土:硫S6.苯酚钠,苯氧化钠:C6H5 ONa7.金刚石、石墨、木炭:碳 C8.白磷、红磷、黄磷:磷P9.石油醚,中文名称又叫石油苯、石油英:主要为戊烷(C5H12)和己烷(C6H14)的混合物10.盐酸、盐镪水:氢氯酸HCl11.坏水:浓度大于或等于70%的硫酸溶液12.硝镪水:硝酸HNO313.绿矾油、硫镪水、硫镪水:硫酸H2SO414.瓦斯主要成分是烷烃,其中甲烷(CH4)占绝大多数,另有少量的乙烷(C2H6)、丙烷(C3H8)和丁烷(C4H10),此外一般还含有硫化氢(H2S)、二氧化碳(CO2)、氮(N2)和水气(H2O),以及微量的惰性气体。
15.王水:浓硝酸HNO3与浓盐酸HCl按1:3比例的混合液16.酒精是乙醇的俗称,也叫绝对酒精,他们同指一种物质:CH3CH2OH,是纯净物。
17.双氧水:过氧化氢H2O2。
注:双氧水为3%浓度的过氧化氢溶液,属于混合物。
18.无水酒精是纯度较高的乙醇水溶液,99.5%的叫无水酒精。
无水酒精不是纯净物。
19.铅丹、红丹、红铅:四氧化三铅Pb3O 420.普通酒精含乙醇95.57%(质量)和水4.43%,这是恒沸点混合物,它的沸点是78.15℃,比纯乙醇的沸点(78.5℃)低。
21.甲基苯,苯基甲烷:甲苯C7H 822.升汞、高汞:氯化汞HgCl223.超氧化氢也叫超氧酸、氧化羟基自由基,化学式HO2,是一种一元酸。
将活泼金属投入其中会燃烧起来,同时在表面分解产生的氢气也会燃烧,有时甚至会发生爆炸。
因此超氧化氢又被称为“火氢水”。
24.朱砂、辰砂、丹砂、银朱:硫化汞HgS25.过三氧化氢也称为“三氧化氢”或“三氧化二氢”,其化学式为“H2O3”或“HOOOH”,是氢元素的氧化物。
(完整版)初中化学物质俗名、颜色、用途中考化学要点必备一、物质的学名、俗名及化学式1、单质:金刚石、石墨、炭黑:C 汞、水银:Hg 硫、硫磺:S2、氧化物:固体二氧化碳、干冰:CO2氧化钙、生石灰:CaO 氧化铁、铁锈的主要成份:Fe2O33、酸:盐酸:HCl的水溶液碳酸(汽水):H2CO34、碱:氢氧化钠、苛性钠、火碱、烧碱:NaOH 氢氧化钙、熟石灰、消石灰:Ca(OH)2氨水、一水合氨:NH3·H2O(为常见的碱,具有碱的通性,是一种不含金属离子的碱)5、盐:碳酸钠、苏打、纯碱(不是碱,是盐):Na2CO3,碳酸钠晶体、纯碱晶体Na2CO3·10H2O碳酸氢钠、小苏打:NaHCO3大理石,石灰石的主要成份是CaCO3食盐的主要成分是NaCl 亚硝酸钠、工业用盐:NaNO2(有毒)硫酸铜晶体、胆矾、蓝矾:CuSO4·5H2O 碳酸钾、草木灰的主要成份:K2CO3碱式碳酸铜、铜绿、孔雀石:Cu2(OH)2CO3(分解生成三种氧化物的物质)6、有机物:甲烷、CNG、沼气、天然气的主要成份:CH4乙醇、酒精:C2H5OH葡萄糖:C6H12O6甲醇:CH3OH 有毒、致失明、死亡乙酸、醋酸(16.6℃冰醋酸)CH3COOH(具有酸的通性)二、常见物质的颜色和状态1、白色固体:MgO、P2O5、CaO、NaOH、Ca(OH)2、KClO3、KCl、Na2CO3、NaCl、无水CuSO4、铁、镁为银白色(汞为银白色液态)2、黑色固体:石墨、炭粉、铁粉、CuO、MnO2、Fe3O4 ▲KMnO4为紫黑色3、红色固体:Cu、Fe2O3、HgO、红磷▲ Fe(OH) 3为红褐色4、蓝色固体:硫酸铜晶体(胆矾)、氢氧化铜▲硫:淡黄色▲ 碱式碳酸铜Cu2(OH)2CO3为绿色5、溶液的颜色:凡含Cu2+的溶液呈蓝色;凡含Fe2+的溶液呈浅绿色;凡含Fe3+的溶液呈棕黄色,高锰酸钾溶液为紫红色;其余溶液一般无色。
常见化学物质俗称大全一、硫酸盐类:1、皓矾:ZnSO4·7H2O2、钡餐,重晶石:BaSO43、绿矾,皂矾,青矾:FeSO4·7H2O4、芒硝,朴硝,皮硝:Na2SO4·10H2O5、明矾:KAl(SO4)2·12H2O6、生石膏:CaSO4·2H2O 熟石膏:2CaSO4·H2O7、胆矾、蓝矾:CuSO4·5H2O 8、莫尔盐:〔NH4〕2SO4·FeSO4·6H2O二、矿石类:1、莹石:CaF22、光卤石:KCl·MgCl2·6H2O3、黄铜矿:CuFeS24、矾土:Al2O3·H2O·Al2O3·3H2O和少量Fe2O3·SiO25、磁铁矿石:Fe3O46、赤铁矿石:Fe2O37、褐铁矿石:2Fe2O3、3H2O 8、菱铁矿石:Fe2CO39、镁铁矿石:Mg2SiO410、苏口铁:碳以片状石墨形式存在11、白口铁:碳以FeC3形式存在12、高岭石:Al2(Si2O5)(OH)4或(Al2O3·2SiO2·2H2O)13、正长石:KAlSi3O814、石英:SiO215、硼砂:Na2B4O7·10H2O 16、脉石:SiO217、刚玉(蓝宝石、红宝石):天然产的无色氧化铝晶体18、黄铁矿〔愚人金〕:FeS219、炉甘石:ZnCO3 20、智利硝石:NaNO321、滑石:3MgO·4SiO2·H2O 22、大理石〔方解石、石灰石〕:CaCO323、孔雀石:CuCO3·Cu(OH)224、白云石:MgCO3·CaCO325、冰晶石:Na3AlF6 26、高岭土:Al2O3·2SiO2·2H2O 27、锡石:SnO2 28、辉铜矿:Cu2S三、气体类:1、高炉煤气:CO,CO2等混合气体2、水煤气CO,H23、天然气〔沼气〕:CH44、液化石油气:C3H8,C4H10为主5、焦炉气:CH4,CO,H2,C2H4为主6、裂解气:C2H4为主7、爆鸣气:H2和O28、笑气:N2O9、裂化气:C1~C4的烷烃、烯烃10、电石气:C2H2〔通常含H2S、PH3等〕四、有机类:1、福尔马林〔蚁醛〕:HCHO2、蚁酸:HCOOH3、尿素:(NH4CNO) 或CO(NH2)24、氯仿:CCl45、木精〔工业酒精〕:CH3OH6、甘油:CH2OH-CHOH- CH2OH7、硬脂酸:C17H35COOH8、软脂酸:C15H31COOH9、油酸:C17H33OH 10、肥皂:C17H35COONa11、银氨溶液:[Ag(NH3)2]+12、乳酸:CH3-CHOH-COOH 13、葡萄糖:C6H12O614、蔗糖:C12H22O1115、核糖:CH2OH-(CHOH)3CHO 16、脱氧核糖:CH2OH-(CHOH)2CH2-CH317、淀粉:(C6H10O5) n18、火棉,胶棉:主要成份都是[(C6H7O2)- (ONO2)3] n只是前者含N量高19、尿素:CO(NH2)2NH4CNO为氰酸铵〔互为同分异构体〕20、氯仿:CHCl321、油酸:C17H33COOH22、银氨溶液:[Ag(NH3)2]OH 23、脱氧核糖:CH2OH-(CHOH)2CH2-CHO五、其他类:1、白垩:CaCO32、石灰乳:Ca(OH)23、熟石灰:2CaSO4·H2O4、足球烯:C605、铜绿:Cu2(OH)2CO36、纯碱〔碱面〕:Na2CO37、王水:HCl,HNO3 (3:1) 8、水玻璃(泡火碱) :Na2SiO39、小苏打:NaHCO310、苏打:Na2CO311、大苏打〔海波〕:Na2S2O312、盐卤:MgCl2· 6H2O13、雌黄:As2S314、雄黄:As4S415、朱砂:HgS 16、石棉:CaO· 3MgO· 4SiO217、砒霜:As2O318、泻盐:MgSO4、7H2O19、波尔多液:CuSO4+Ca(OH)220、钛白粉:TiO2盐卤MgCl2· 6H2O碳酸钠:苏打、纯碱、Na2CO3碳酸氢钠:小苏打、NaHCO3氢氧化钠:烧碱、苛性钠、NaOH 氢氧化钾:苛性钾、KOH氢氧化钙:熟石灰、Ca(OH)2高锰酸钾:灰锰氧、KMnO4氟化钙:萤石、氟石、CaF2二硫化亚铁:黄铁矿、硫铁矿、FeS2硫酸铜晶体:胆矾、蓝矾、CuSO4· 5H2O 硫酸锌晶体:皓矾、ZnSO4· 7H2O硫酸亚铁晶体:绿矾、FeSO4·7H2O 硫酸铝钾晶体:明矾、kAl(SO4)2· 12H2O 硫酸钙晶体:(生)石膏、CaSO4· 2H2O 硫酸钙晶体:熟石膏、烧石膏、(CaSO4)2· H2O 硫酸钡晶体:重晶体、BaSO4硫酸钠晶体:芒硝、NaSO4· 10H2O硫酸镁晶体:泻盐、MgSO4· 7H2O 硫代硫酸钠:大苏打、海波、Na2S2O3硝酸钾:智利硝石、火硝、KNO3过磷酸钙(普钙):硫酸钙和硫酸二氢钙、Ca (H2PO4)2和2CaSO4重过磷酸钙:磷酸二氢钙、重钙、Ca(H2PO4)2一氧化碳和氢气:水煤气、CO和H2一氧化碳和二氧化碳:发生炉煤气、CO和CO2二氧化碳(固体):干冰、CO2碳酸钙:石灰石、方解石、大理石、白垩、CaCO3氧化钙:生石灰、CaO 碳化钙:电石、CaC2碳化硅:金刚砂、SiC 二氧化硅:石英、水晶、SiO2硅酸钠溶液:水玻璃、泡花碱、Na2SiO3氧化铝:刚玉、AL2O3亚铁青化钾:黄血盐、K4 (Fe(CN)6) 铁氢化钾:赤血盐、k3 (Fe (CN)6)3亚铁氢化钾:普鲁士蓝、K4Fe(CN)6碱式碳酸铜:铜绿、Cu2 (OH)2CO3漂白粉:Ca(ClO)2 和CaCl2 王水:浓HNO3和浓HCl (1:3 )氧化砷:砒霜、As2O3 硫化砷:雄黄、As2S3氯化汞:升汞、HgCl2氯化亚汞:三仙丹、HgCl硫化汞:辰砂、HgS物质俗称性质用途S 硫磺淡黄色粉末、易燃、于空气中燃烧火焰为淡蓝色、纯氧为蓝紫色,并伴有刺鼻气体产生〔SO2〕P 赤磷白磷燃烧时产生大量的烟〔P2O5固体〕用物制烟雾弹C 金刚石、石墨、活性炭金刚石是最硬物质;石墨具有导电性、润滑性、质软;活性炭用于吸附剂金刚石用于制钻头,切割物质。
高中常见化学物质俗名总结无机火碱、烧碱、苛性钠:NaOH纯碱、碱面、苏打、天然碱、口碱:Na2CO3小苏打:NaHCO3大苏打:Na2S2O3石膏生石膏:CaSO4·2H2O熟石膏:2CaSO4·H2O石灰石、大理石:CaCO3生石灰:CaO熟石灰、消石灰:CaOH2硅石、石英:SiO2芒硝:Na2SO4·7H2O缓泻剂绿矾:FaSO4·7H2O明矾:KAlSO42·12H2O皓矾:ZnSO4·7H2O泻盐:MgSO4·7H2O胆矾、蓝矾:CuSO4·5H2O水玻璃、泡花碱、矿物胶:Na2SiO3漂白粉:CaClO2、CaCl2混和物重晶石:BaSO4无毒莹石:CaF2冰晶石:Na3AlF6刚玉:Al2O3碳铵:NH4HCO3双氧水:H2O2干冰:CO2铁红、铁矿:Fe2O3磁铁矿:Fe3O4黄铁矿、硫铁矿:FeS2铜绿、孔雀石:Cu2OH2CO3菱铁矿:FeCO3赤铜矿:Cu2O波尔多液:CaOH2和CuSO4石硫合剂:CaOH2和S铝热剂:Al+Fe2O3或其它氧化物玻璃的主要成分:Na2SiO3、CaSiO3、SiO2过磷酸钙主要成分:CaH2PO42和CaSO4重过磷酸钙主要成分:CaH2PO42天然气、沼气、坑气主要成分:CH4水煤气:CO和H2硫酸亚铁铵淡蓝绿色:FeNH42SO42溶于水后呈淡绿色光化学烟雾:NO2在光照下产生的一种有毒气体王水:浓HNO3与浓HCl按体积比1:3混合而成有机尿素:CONH22氯仿:CHCl3电石:CaC2电石气:C2H2乙炔TNT:三硝基甲苯酒精、乙醇:C2H5OH甘油、丙三醇:C3H8O3醋酸、冰醋酸、食醋:CH3COOH石炭酸:苯酚蚁酸、甲酸:HCOOH蚁醛、甲醛:HCHO福尔马林:35%—40%的甲醛水溶液葡萄糖:C6H12O6果糖:C6H12O6蔗糖:C12H22O11麦芽糖:C12H22O11淀粉:C6H10O5n硬脂酸:C17H35COOH油酸:C17H33COOH软脂酸:C15H31COOH氟氯烃:是良好的制冷剂,有毒,但破坏O3层焦炉气成分煤干馏:H2、CH4、乙烯、CO等裂解气成分石油裂化:烯烃、烷烃、炔烃、H2S、CO2、CO等草酸:乙二酸HOOC—COOH使蓝墨水褪色,强酸性,受热分解成CO2和水,使KMnO4酸性溶液褪色;。
俗名:无机部分1、纯碱、苏打、天然碱:Na2CO3 17、铁红:Fe2O32、小苏打:NaHCO318、磁铁矿:Fe3O43、大苏打:Na2S2O319、铜绿、孔雀石:Cu2 (OH)2CO34、重晶石:BaSO4(无毒)20、水煤气:CO和H25、石灰石、大理石:CaCO321、波尔多液:Ca (OH)2和CuSO46、生石灰:CaO 22、王水:浓HNO3与浓HCl按体积比1:3混合而成7、食盐:NaCl 23、铝热剂:Al + Fe2O3或其它氧化物8、熟石灰、消石灰、石灰水:Ca(OH)224、天然气、沼气、坑气(主要成分):CH49、烧碱、火碱、苛性钠:NaOH 25、光化学烟雾:NO2在光照下产生的一种有毒气体10、绿矾:FaSO4·7H2O 26、玻璃的主要成分:Na2SiO3、CaSiO3、SiO211、干冰:CO227、芒硝:Na2SO4·10H2O (缓泻剂)12、明矾:KAl (SO4)2·12H2O 28、石膏(生石膏):CaSO4.2H2O13、漂白粉:Ca (ClO)2 、CaCl2(混和物)29、熟石膏:2CaSO4·.H2O14、胆矾、蓝矾:CuSO4·5H2O 30、莹石:CaF215、硅石、石英:SiO231、刚玉:Al2O316、水玻璃、泡花碱、矿物胶:Na2SiO3 32 、皓矾:ZnSO4·7H2O有机部分:1、氯仿:CHCl32、电石:CaC23、电石气:C2H2 (乙炔)4、TNT:三硝基甲苯5、酒精、乙醇:C2H5OH6、氟氯烃:是良好的制冷剂,有毒,但破坏O3层。
7、醋酸:冰醋酸、食醋CH3COOH8、裂解气成分(石油裂化):烯烃、烷烃、炔烃、H2S、CO2、CO等。
9、甘油、丙三醇:C3H8O310、焦炉气成分(煤干馏):H2、CH4、乙烯、CO等。
11、石炭酸:苯酚12、蚁醛:甲醛HCHO13、福尔马林:35%—40%的甲醛水溶液14、蚁酸:甲酸HCOOH15、葡萄糖:C6H12O616、果糖:C6H12O617、蔗糖:C12H22O1118、麦芽糖:C12H22O1119、淀粉:(C6H10O5)n 20、硬脂酸:C17H35COOH21、油酸:C17H33COOH 22、软脂酸:C15H31COOH23、草酸:乙二酸HOOC—COOH 使蓝墨水褪色,强酸性,受热分解成CO2和水,使KMnO4酸性溶液褪色1。
化学俗名大全化学是一门探索物质构成、性质和变化的科学,既是一门基础学科,也是应用学科。
在日常生活中,我们经常使用一些化学物质,这些化学物质除了常用的学名外,还有许多俗名。
下面是一些常见化学物质的俗名大全:1. 硫酸:俗名磁灰、油虎。
硫酸常用于工业生产、实验室分析等领域,俗名磁灰是因为硫酸可以溶解铁产生磁性物质;俗名油虎是因为硫酸具有强烈的腐蚀性和毒性,像老虎一样危险。
2. 氢氧化钠:俗名苏打粉。
氢氧化钠是一种强碱,常用于清洁剂、制皂等领域,俗名苏打粉是因为氢氧化钠可以与酸反应产生二氧化碳,并产生起泡作用,类似于苏打水中的效果。
3. 碳酸氢钠:俗名小苏打。
碳酸氢钠是一种碱性物质,常用于烘焙中的发酵剂,俗名小苏打是因为碳酸氢钠与酸反应时会产生二氧化碳,并产生起泡泡的效果,类似于苏打水中的苏打效果,但相对较小。
4. 醋酸:俗名酸水、醋。
醋酸是一种有机酸,是醋的主要成分,常用于烹饪、食品调味等领域,俗名酸水是因为醋酸具有酸性,可以与一些碱性物质反应产生水;俗名醋是因为它是醋的成分之一。
5. 液氯:俗名漂白水。
液氯是一种强氧化剂,常用于漂白、消毒等领域,俗名漂白水是因为液氯能够使物质变白,具有漂白的效果。
6. 甘油:俗名甘丹。
甘油是一种常用的有机溶剂,具有保湿、柔软皮肤等作用,俗名甘丹是因为甘油在很多化妆品中被用作保湿剂,能够使皮肤保持滋润和柔软。
7. 氨水:俗名清烟水。
氨水是一种含氮化合物,常用于实验室、工业生产等领域,俗名清烟水是因为氨水可以与酸性气体反应,能够起到清除烟雾的作用。
8. 硫酸铜:俗名青矾。
硫酸铜是一种无机化合物,常用于杀菌、防腐等领域,俗名青矾是因为硫酸铜具有蓝色晶体,呈现出青矾色。
9. 硝酸甘油:俗名炸药。
硝酸甘油是一种炸药,由于其具有很高的爆炸性和威力,所以俗称炸药。
10. 乙醇:俗名酒精。
乙醇是一种有机化合物,常用于酒精饮料、消毒剂等领域,俗名酒精是因为乙醇可以通过发酵酿造出来。
高中化学常见俗名一、硫酸盐类:1.皓矾:ZnSO4.7H2O2.钡餐,重晶石:BaSO43.绿矾,皂矾,青矾:FeSO4.7H2O4.芒硝,朴硝,皮硝:Na2SO4.10H2O5.明矾:KAl(SO4)2.12H2O6.生石膏:CaSO4.2H2O 熟石膏:2CaSO4.H2O7.胆矾、蓝矾:CuSO4.5H2O8.莫尔盐:(NH4)2SO4.FeSO4.6H2O二、矿石类:1.莹石:CaF22.光卤石:KCl.MgCl2.6H2O3.黄铜矿:CuFeS24.矾土:Al2O3.H2O、Al2O3.3H2O和少量Fe2O3 、SiO25.磁铁矿石:Fe3O46.赤铁矿石:Fe2O37.褐铁矿石:2Fe2O3.3H2O8.菱铁矿石:Fe2CO39.镁铁矿石:Mg2SiO410.苏口铁:碳以片状石墨形式存在11.白口铁:碳以FeC3形式存在12.高岭石:Al2(Si2O5)(OH)4 或(Al2O3.2SiO2.2H2O)13.正长石:KAlSi3O814.石英:SiO215.硼砂:Na2B4O7.10H2O16.脉石:SiO217.刚玉(蓝宝石.红宝石):天然产的无色氧化铝晶体18.黄铁矿(愚人金):FeS219.炉甘石:ZnCO320.智利硝石:NaNO321.滑石:3MgO.4SiO2.H2O22.大理石(方解石、石灰石):CaCO323.孔雀石:CuCO3.Cu(OH)224.白云石:MgCO3.CaCO325.冰晶石:Na3AlF626.高岭土:Al2O3.2SiO2.2H2O27.锡石:SnO228.辉铜矿:Cu2S三、气体类:1.高炉煤气:CO,CO2等混合气体2.水煤气:CO,H23.天然气(沼气):CH44.液化石油气:C3H8,C4H10为主5.焦炉气:CH4,CO,H2,C2H4为主6.裂解气:C2H4为主7.爆鸣气:H2和O28.笑气:N2O9.裂化气:C1~C4的烷烃、烯烃10.电石气:C2H2(通常含H2S、PH3等)四、有机类:1.福尔马林(蚁醛):HCHO2.蚁酸:HCOOH3.尿素:(NH4CNO)或CO(NH2)24.氯仿:CCl45.木精(工业酒精):CH3OH6.甘油:CH2OH-CHOH- CH2OH7.硬脂酸:C17H35COOH8.软脂酸:C15H31COOH9.油酸:C17H33OH10.肥皂:C17H35COONa11.银氨溶液:[Ag(NH3)2]+12.乳酸:CH3-CHOH-COOH13.葡萄糖:C6H12O614.蔗糖:C12H22O1115.核糖:CH2OH-(CHOH)3CHO16.脱氧核糖:CH2OH-(CHOH)2CH2-CH317.淀粉:(C6H10O5)n18.火棉,胶棉:主要成份都是[(C6H7O2)-(ONO2)3]n 只是前者含N量高19.尿素:CO(NH2)2 NH4CNO为氰酸铵(互为同分异构体)20.氯仿:CHCl321.油酸:C17H33COOH22.银氨溶液:[Ag(NH3)2]OH23.脱氧核糖:CH2OH-(CHOH)2CH2-CHO五、其他类:1.白垩:CaCO32.石灰乳、熟石灰:Ca(OH)23.熟石膏:2CaSO4.H2O4.足球烯:C605.铜绿:Cu2(OH)2CO36.纯碱(碱面):Na2CO37.王水:HCl,HNO3 (3:1)8.水玻璃(泡火碱) :Na2SiO39.小苏打:NaHCO310.苏打:Na2CO311.大苏打(海波):Na2S2O312.盐卤:MgCl2.6H2O13.雌黄:As2S314.雄黄:As4S415.朱砂:HgS16.石棉:CaO.3MgO.4SiO217.砒霜:As2O318.泻盐:MgSO4.7H2O19.波尔多液:CuSO4+Ca(OH)220.钛白粉:TiO2化学俗名当然有时直接称石头),硅酸钠(水玻璃),次氯酸钠(漂白水,消毒水),次氯酸钙(漂白粉,事实上漂白粉是混合物,有效成分是次氯酸钙),乙醇(酒精),苯酚(石炭酸),丙三醇(甘油),四氯甲烷(四氯化碳)。
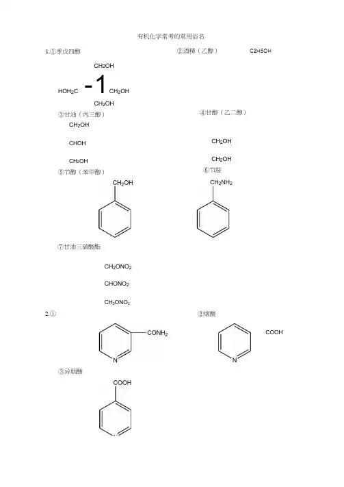
有机化学常考的常用俗名1.①季戊四醇 CH 2OH HOH 2C - 1C H 2OH CH 2OH ③甘油(丙三醇) CH 2OH CHOHCH 2OH⑤节醇(苯甲醇)②酒精(乙醇)④甘醇(乙二醇)CH 2OH CH 2OHC2H5OH⑥节胺CH 2NH 2⑦甘油三硝酸酯CH 2ONO 2 CHONO 2 2.① ②烟酸③异烟酸CH 2ONO 2COOHCOOHCH2OH4.①水杨幣CHO COOHCH2OH①巴。
醛H3C C = c —CHO H3C—C=C——COOH 6.①l;:lCH2OH②茴香醛OCH3③茴香酸OCH3COOH7.①河.l汛(乙酰水杨酸)③水杨酸甲酯OH8.①,OCH3②PAS (对姐基水杨酸)oO⑤••: Z!:' !CH3 9・①•:ONM 10.①与来酸COOHOIIEtO ——C——OEt ②疔马酸COOH④「三HOOCCOOHCOOEt COOH(其余竣酸俗名见书上P305)12.①苯丙氨酸②甘氨酸NH2NH?CHoCOOH(其余见书上)13.① 長](六氢毗II定)H14.①甘醇②〔门②二甘醇CH2OHCH2OHHOCH2CH2OCH2CH2OH③三甘醇HOCH2CH2OCH2CH2OCH2CH2OH15.①泸Mi限HO——CHCOOHIHO——CHCOOH③异柠椽酸HO——CHCOOHIHC ——COOHICH2COOH16.①交息仆心(苯甲酸)②佇圖CH2COOHHO ------- 1 ------ C OOHCH2COOH②m (苯酚)COOH③敢酸OHCOOHCOOH27.①“唱④对瞰酸OHIH3C ——CHCOOH③苹果酸COOHCHOHCH2COOH18.①(顺丁烯二酸gf)②没食门協(五倍子酸)②心(邻苯二甲酸BD③乙酹(CH B CO )2O19.①:'、]••」COCI220. NO 221.①噁烷 O22・①必、(碳酰胺、腺) ②六六六④丙酮缩二乙醇CO (NH2)2③丙酮缩乙二醇 (CH3)2C(OC 2H5)2②光气(碳酰氯)23.①兰(2-咲喃甲醛)②殳(2-咲喃甲酸)③(2-咲喃甲醇)CHO COOH(其余杂环化合物见书上P411)24.-①丿川醛n -C11H23CHO③..n —C11H23CH2OH26.① |< 1 ■;(碳烯)②丿”卞n -C11H23COOH②重氮甲烷CH2:CH2N2③二氯卡宾④氮烯CCI2:27.,俎①蚁酔(甲醛)HCHO③三聚甲醛②蚁酸(甲酸)HCOOH④三聚乙醛CH3 29.® -屮阳〈!(DMSO)②二甲砚③环丁飒30.,① 己二酸(1, 6•〜)CH 2CH 2COOHCH 2CH 2COOH③己二醇(同前)CH 2CH 2CH 2OH CH 2CH 2CH 2OH⑤己二猜(同前)CH 2CH 2CNCH 2CH 2CN② 己二胺(同前)CH 2CH 2CH 2NH 2ICH 2CH 2CH 2NH 2④己二醛(同前)CH 2CH 2CHO CH 2CH 2CHO32•①连苯三酚(1, 2, 3•苯三酚)(CH 3)2SO (CH 3)2SO 22, 4•苯三酚)OH③均苯三酚(1, 3, 5•苯三酚)CF2CI2CF2CICFCI2③香兰素(4男基・3冲氧基苯甲醛)OCH3OH。
化学名称(俗名)
一、无机部分:
纯碱、苏打、天然碱、口碱:Na2CO3小苏打:NaHCO3大苏打:Na2S2O3石膏(生石膏):CaSO4.2H2O熟石膏:2CaSO4•.H2O 莹石:CaF2重晶石:BaSO4(无毒)碳铵:NH4HCO3石灰石、大理石:CaCO3生石灰:CaO食盐:NaCl熟石灰、消石灰:Ca(OH)2芒硝:Na2SO4•7H2O (缓泻剂)烧碱、火碱、苛性钠:NaOH绿矾:FaSO4•7H2O干冰:CO2明矾:KAl (SO4)2•12H2O漂白粉:Ca (ClO)2 、CaCl2(混和物)泻盐:MgSO4•7H2O胆矾、蓝矾:CuSO4•5H2O 双氧水:H2O2皓矾:ZnSO4•7H2O硅石、石英:SiO2刚玉:Al2O3水玻璃、泡花碱、矿物胶:Na2SiO3铁红、铁矿:Fe2O3磁铁矿:Fe3O4黄铁矿、硫铁矿:FeS2铜绿、孔雀石:Cu2 (OH)2CO3菱铁矿:FeCO3 赤铜矿:Cu2O波尔多液:Ca (OH)2和CuSO4石硫合剂:Ca (OH)2和S玻璃的主要成分:Na2SiO3、CaSiO3、SiO2过磷酸钙(主要成分):Ca (H2PO4)2和CaSO4重过磷酸钙(主要成分):Ca (H2PO4)2天然气、沼气、坑气(主要成分):CH4 水煤气:CO和H2硫酸亚铁铵(淡蓝绿色):Fe (NH4)2 (SO4)2 溶于水后呈淡绿色
光化学烟雾:NO2在光照下产生的一种有毒气体王水:浓HNO3:浓HCl 按体积比1:3混合而成。
铝热剂:Al + Fe2O3或其它氧化物。
尿素:CO(NH2) 2
二、有机部分:
氯仿:CHCl3电石:CaC2电石气:C2H2 (乙炔)TNT:三硝基甲苯氟氯烃:是良好的制冷剂,有毒,但破坏O3层。
酒精、乙醇:C2H5OH 裂解气成分(石油裂化):烯烃、烷烃、炔烃、H2S、CO2、CO等。
焦炉气成分(煤干馏):H2、CH4、乙烯、CO等。
醋酸:冰醋酸、食醋CH3COOH
甘油、丙三醇:C3H8O3石炭酸:苯酚蚁醛:甲醛HCHO
福尔马林:35%—40%的甲醛水溶液蚁酸:甲酸HCOOH
葡萄糖:C6H12O6果糖:C6H12O6蔗糖:C12H22O11麦芽糖:C12H22O11淀粉:(C6H10O5)n
硬脂酸:C17H35COOH油酸:C17H33COOH软脂酸:C15H31COOH 草酸:乙二酸HOOC—COOH (能使蓝墨水褪色,呈强酸性,受热分解成CO2和水,使KMnO4酸性溶液褪色)。