吉大15春学期《计算方法》在线作业一答案
- 格式:doc
- 大小:25.00 KB
- 文档页数:4
吉林大学智慧树知到“计算机科学与技术”《计算方法》网课测试题答案(图片大小可自由调整)第1卷一.综合考核(共15题)1.微分和积分是一对互逆的数学运算。
()A、错误B、正确2.常用的折线函数是简单()次样条函数。
A、零B、一C、二D、三3.线性方程组的解法大致可以分为()。
A、直接法和间接法B、直接法和替代法C、直接法和迭代法D、间接法和迭代法4.改进的平方根法,亦称为()。
A、约当消去法B、高斯消去法C、追赶法D、乔累斯基方法5.数值运算中常用的误差分析方法有:概率分析法、向后误差分析法、区间分析法等。
()A、错误B、正确6.利用克莱姆法则求解行列式时,求解一个n阶方程组,需要()个n阶行列式。
A、nB、n+1C、n-1D、n*n7.迭代法的优点是算法简单,因而编制程序比较容易。
()A、错误B、正确8.以下近似值中,保留四位有效数字,()。
A、0.01234B、-12.34C、-2.20D、0.22009.通过点(x₀,y₀),(x₁,y₁)的拉格朗日插值基函数l₀(x₀),l₁(x₁)满足()。
A、l₀(x₀)=0,l₁(x₁)=0B、l₀(x₀)=0,l₁(x₁)=1C、l₀(x₀)=1,l₁(x₁)=0D、l₀(x₀)=1,l₁(x₁)=110.所谓()插值,就是将被插值函数逐段多项式化。
A、牛顿B、拉格朗日C、三次样条D、分段11.基于“使残差的平方和”为最小的准则来选取拟合曲线的方法称为曲线拟合的最小二乘法。
()A、错误B、正确12.按四舍五入原则数2.7182818与8.000033具有五位有效数字的近似值分别为2.7183和8.00000。
()A、错误B、正确13.设x=2.40315是真值2.40194的近似值,则x具有()为有效数字。
A、2B、3C、4D、514.在计算算法的复杂度时,主要关注乘除法的运算次数。
()A、错误B、正确15.二次插值的精度高于线性插值。
()A、错误B、正确第2卷一.综合考核(共15题)1.为了保证插值函数能更好地密合原来的函数,不但要求“过点”,即两者在节点上具有相同的函数值,而且要求“相切”,即在节点上还具有相同的导数值,这类插值称为()。
《数值计算方法》课后题答案详解吉 林 大 学第一章 习 题 答 案1. 已知(1)2,(1)1,(2)1f f f −===,求()f x 的Lagrange 插值多项式。
解:由题意知:()01201212001020211012012202121,1,2;2,1,1()()(1)(2)()()6()()(1)(2)()()2()()(1)(1)()()3(1)(2)(1)(2)()2162nj j j x x x y y y x x x x x x l x x x x x x x x x x l x x x x x x x x x x l x x x x x x x x L x y l x ==−=====−−−−==−−−−+−==−−−−−+−==−−−−+−==×+×−∴∑()2(1)(1)131386x x x x +−+×=−+2. 取节点01210,1,,2x x x ===对x y e −=建立Lagrange 型二次插值函数,并估计差。
解11201201210,1,;1,,2x x x y y e y e −−======1)由题意知:则根据二次Lagrange插值公式得:02011201201021012202110.510.520.51()()()()()()()()()()()()()2(1)(0.5)2(0.5)4(1)(224)(43)1x x x x x x x x x x x x L x y y y x x x x x x x x x x x x x x x x e x x e e e x e e x −−−−−−−−−−−−=++−−−−−−=−−+−−−=+−+−−+22)Lagrange 根据余项定理,其误差为(3)2210122()1|()||()||(1)(0.5)|3!61max |(1)(0.5)|,(0,1)6()(1)(0.5),()330.5030.2113()61()0.2113(0.21131)(0.21130.5)0.008026x f R x x e x x x x x x t x x x x t x x x x t x R x ξξωξ−+≤≤==−−≤−−∈′=−−=−+=−==≤××−×−=∴取 并令 可知当时,有极大值3. 已知函数y =在4, 6.25,9x x x ===处的函数值,试通过一个二次插值函数求的近似值,并估计其误差。
《计算方法》习题答案第一章 数值计算中的误差1.什么是计算方法?(狭义解释)答:计算方法就是将所求的的数学问题简化为一系列的算术运算和逻辑运算,以便在计算机上编程上机,求出问题的数值解,并对算法的收敛性、稳定性和误差进行分析、计算。
2.一个实际问题利用计算机解决所采取的五个步骤是什么?答:一个实际问题当利用计算机来解决时,应采取以下五个步骤: 实际问题→建立数学模型→构造数值算法→编程上机→获得近似结果 4.利用秦九韶算法计算多项式4)(53-+-=x x x x P 在3-=x 处的值,并编程获得解。
解:400)(2345-+⋅+-⋅+=x x x x x x P ,从而所以,多项式4)(53-+-=x x x x P 在3-=x 处的值223)3(-=-P 。
5.叙述误差的种类及来源。
答:误差的种类及来源有如下四个方面:(1)模型误差:数学模型是对实际问题进行抽象,忽略一些次要因素简化得到的,它是原始问题的近似,即使数学模型能求出准确解,也与实际问题的真解不同,我们把数学模型与实际问题之间存在的误差称为模型误差。
(2)观测误差:在建模和具体运算过程中所用的一些原始数据往往都是通过观测、实验得来的,由于仪器的精密性,实验手段的局限性,周围环境的变化以及人们的工作态度和能力等因素,而使数据必然带有误差,这种误差称为观测误差。
(3)截断误差:理论上的精确值往往要求用无限次的运算才能得到,而实际运算时只能用有限次运算的结果来近似,这样引起的误差称为截断误差(或方法误差)。
(4)舍入误差:在数值计算过程中还会用到一些无穷小数,而计算机受机器字长的限制,它所能表示的数据只能是一定的有限数位,需要把数据按四舍五入成一定位数的近似的有理数来代替。
这样引起的误差称为舍入误差。
6.掌握绝对误差(限)和相对误差(限)的定义公式。
答:设*x 是某个量的精确值,x 是其近似值,则称差x x e -=*为近似值x 的绝对误差(简称误差)。
计算方法交卷时间:2018-10-15 14:46:52一、单选题1.(4分)当A ( )时,线性方程组的迭代解一定收敛• A. >=6• B. =6• C. <6• D. >6得分:0知识点:计算方法作业题展开解析答案D解析2.(4分)4.3490是4.3490287…的近似值,有( )位有效数字• A. 6• B. 5• C. 4• D. 7得分:0知识点:计算方法作业题展开解析答案B解析3.(4分)以下各值,当间隔分段n为()时,牛顿-柯斯特求积公式稳定性不好• A. 1• B. 4• C. 6• D. 12得分:0知识点:计算方法作业题展开解析答案D解析4.(4分)应用二分法求方程在区间[0, 1]上误差不超过的近似根,需要二分()次• A. 14• B. 15• C. 16• D. 17得分:0知识点:计算方法作业题展开解析答案D解析5.(4分)用简单迭代法求方程的近似根,下列迭代格式收敛的是( )• A. ex-x-1=0,[1,1.5],令xk+1 =In(xk+1)• B. x3-x2-1=0,[1.4,1.5],令x k+1=1+• C. x3-x2-1=0,[1.3,1.6],令xk+1</sup>=• D. 4-2x=x,[1,2],令xk+1=得分:0知识点:计算方法作业题展开解析答案D解析6.(4分)应用二分法求方程在区间[0, 1]上误差不超过的近似根,需要二分()次• A. 12• B. 15• C. 19• D. 20得分:0知识点:计算方法作业题展开解析答案C解析7.(4分)关于列主元高斯-约当消去法,以下说法正确的是()• A. 通常用来求解正定矩阵• B. 不能同时求解系数矩阵相同的多个方程组• C. 能够判断矩阵是否非奇异• D. 能够避免零主元或小主元得分:0知识点:计算方法作业题展开解析答案D解析8.(4分)假设矩阵是正定对称矩阵,并且,在矩阵的Cholesky分解中,下三角矩阵()• A.• B.• C.• D.得分:0知识点:计算方法作业题展开解析答案A解析9.(4分)用选主元方法解方程组,是为了()• A. 提高运算速度• B. 减少舍入误差• C. 增加有效数字• D. 方便计算得分:0知识点:计算方法作业题展开解析答案B解析10.(4分)应用二分法求方程在区间[0, 1]上误差不超过的近似根,需要二分()次• A. 4• B. 5• C. 6• D. 7得分:0知识点:计算方法作业题展开解析答案B解析11.(4分)设是对称正定矩阵,经过高斯消元法第一步后,变为,则有性质()• A.• B. 是对称正定矩阵• C. 是对称矩阵• D. 是正定矩阵得分:0知识点:计算方法作业题展开解析答案B解析12.(4分)关于预测-校正公式,以下描述正确的是()• A. 步长h较大• B. 进行多次迭代• C. 比龙格-库塔法精度高• D. 局部阶段误差为O(h3)得分:0知识点:计算方法作业题展开解析答案D解析(4分)以下方法中,哪个方法不能求解一元非线性方程的根?()• A. 逐步搜索法• B. 迭代法• C. 欧拉法• D. 区间二分法得分:0知识点:计算方法作业题展开解析答案C解析14.(4分)以下对欧拉法描述错误的是()• A. 用差商代替导数求常微分方程初值问题• B. 不能由数值微分方法推导得到• C. 用一条初始点重合的折线来近似表示曲线• D. 可用泰勒展开法导出得分:0知识点:计算方法作业题展开解析解析15.(4分)为使两点数值求积公式具有最高阶代数精度,则求积结点应为()• A. 任意• B.• C.• D.得分:0知识点:计算方法作业题展开解析答案C解析16.(4分)设方程f(x)=0的有根区间为[1, 2],使用二分法时,误差限为|xk+1-x*|≤(),其中• A. 1/2• B. 1/2 k• C. 1/2 k+1• D. 1得分:0知识点:计算方法作业题展开解析答案C解析17.(4分)用高斯―赛德尔迭代法解方程组收敛的充分必要条件是()• A.• B.• C.• D.得分:0知识点:计算方法作业题展开解析答案A解析18.(4分)满足插值条件的LAgrAnge插值多项式的次数()• A. 等于• B. 小于• C. 大于• D. 不超过得分:0知识点:计算方法作业题展开解析答案D解析(4分)用牛顿迭代法计算,取=10-3,正确结果为()• A. 5.55• B. 5.56• C. 5.57• D. 5.58得分:0知识点:计算方法作业题展开解析答案C解析20.(4分)拟合三点A(0,1),B(1,3),C(2,2)的直线是()• A. 2x-y+1=0• B. 2x-y+3=0• C. x-2y+5=0• D. x-2y+3=0得分:0知识点:计算方法作业题展开解析解析二、判断题1.(2分)算式在ALGOL中写为••得分:0知识点:计算方法作业题展开解析答案对解析2.(2分)解方程的牛顿迭代公式••得分:0知识点:计算方法作业题展开解析答案对解析3.(2分)源程序由开始部分、说明部分、语句部分、结束部分组成••得分:0知识点:计算方法作业题展开解析答案对解析4.(2分)浮点数的加法满足结合律••得分:0知识点:计算方法作业题展开解析答案对解析5.(2分)数值计算中,误差主要来源于模型误差••得分:0知识点:计算方法作业题展开解析答案错解析6.(2分)求解f(x)=0的牛顿法,误差具有平方收敛性••得分:0知识点:计算方法作业题展开解析答案对解析7.(2分)在实际进行插值时插值时,将插值范围分为若干段,然后在每个分段上使用低阶插值――――如线性插值和抛物插值,这就是所谓分段插值法•得分:0知识点:计算方法作业题展开解析答案对解析8.(2分)导数有三种差商,其中称为向前差商,称为向后差商,而则称为中心差商••得分:0知识点:计算方法作业题展开解析答案对解析9.(2分)对给定的数据点,插值函数必须要经过这些点,而拟合函数不一定经过•得分:0知识点:计算方法作业题展开解析答案对解析10.(2分)已知函数表,则一次差商0.8()算法是指解题方案的准确而完整的描述••得分:0知识点:计算方法作业题展开解析答案错解析考试成绩0 分用时: -2分-17秒交卷的时候提示提示关闭计算方法交卷时间:2018-10-15 14:47:09一、单选题1.(4分)用1+近似表示所产生的误差是( )误差• A. 舍入• B. 观测• C. 模型• D. 截断得分:0知识点:计算方法作业题展开解析答案D解析2.(4分)下列求积公式中用到外推技术的是()• A. 梯形公式• B. 复合抛物线公式• C. 龙贝格公式• D. 高斯型求积公式得分:0知识点:计算方法作业题展开解析答案B解析3.(4分)顺序高斯消去法的计算量近似为()• A.。
《计算方法》样题(一)说明:1) 可使用计算器;第一、九题各15分,其余每题10分 2) 把要求的答案直接写在横线 上或方框 [ ] 内一、解答下列问题:1) 数值计算中,最基础的五个误差概念(术语)是 , , , , .2) 分别用 2.718281, 2.718282 作数e 的近似值 ,它们的有效位数分别有位, 位; 又取73.13≈ (三位有效数字),则≤-73.13 .3)为减少乘除法运算次数,应将算式32)1(7)1(51318---+-+=x x x y 改写成4)为减少舍入误差的影响,应将算式 9910- 改写成 5)递推公式 ⎪⎩⎪⎨⎧=-==-,2,1,110210n y y y n n如果取41.120≈=y 作计算,则计算到10y 时,误差有这个计算公式数值稳定不稳定 ?二、解答下列线性代数方程组问题:1) 解线性代数方程组b Ax =(nn R A ⨯∈非奇异)的关键思想是首先把方程组约化为 和 ,然后分别通过 过程 或 过程很容易求得方程组的解. 2)用“列主元Gauss 消元法”将下列方程组:⎥⎥⎥⎦⎤⎢⎢⎢⎣⎡=⎥⎥⎥⎦⎤⎢⎢⎢⎣⎡⎥⎥⎥⎦⎤⎢⎢⎢⎣⎡-20111.0310********x x x化为上三角方程组的两个步骤⎥⎥⎥⎦⎤⎢⎢⎢⎣⎡-211.03010451321 ⇒ ⎥⎥⎥⎦⎤⎢⎢⎢⎣⎡ ⇒ ⎥⎥⎥⎦⎤⎢⎢⎢⎣⎡再用“回代过程”可计算解:三、解答下列线性代数方程组:1) 给定线性方程组 ⎩⎨⎧-=-=-45892121x x x x则解此方程组的Jacobi 迭代公式是⎪⎩⎪⎨⎧而Guass-Seidel 迭代公式是⎪⎩⎪⎨⎧2) 取迭代初值T x )0,0()0(=,用Guass-Seidel 迭代公式计算(取至小数后5位)可得 ⎪⎩⎪⎨⎧====)2(2)1(2)2(1)1(1,,x x x x四、设一元方程0133=--x x ,欲求其正根,试问:1) 方程的正根有几个? (个) 2) 方程的正根的有根区间是 3) 给出在有根区间收敛的不动点迭代公式: 4) 给出求有根区间上的Newton 迭代公式:五、解答插值问题:1) 函数)(x f 在],[10x x 上的一次(线性)插值函数(公式) =)(1x L其余项公式=)(x R2) 函数)2ln()(+=x x f 在区间]1,0[上的一次(线性)插值函数 =)(1x L 其余项估计 =)(x R六、设有实验数据如下:x 0 1 2 3 5 f 1.1 1.9 3.1 3.9 4.9要求按最小二乘法拟合上述数据。
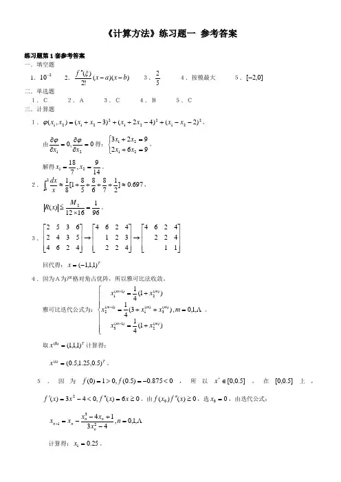
《计算方法》练习题一 参考答案练习题第1套参考答案 一.填空题 1.210- 2.))((!2)(b x a x f --''ξ 3.524.按模最大 5.]0,2[- 二.单选题1.C 2.A 3.C 4.B 5.C 三.计算题1.22122122121)2()42()3(),(--+-++-+=x x x x x x x x ϕ,由0,021=∂∂=∂∂x x ϕϕ得:⎩⎨⎧=+=+9629232121x x x x , 解得149,71821==x x 。
2.⎰≈++++≈21697.0]217868581[81x dx ,9611612)(2=⨯≤M x R 。
3.⎥⎥⎥⎦⎤⎢⎢⎢⎣⎡→⎥⎥⎥⎦⎤⎢⎢⎢⎣⎡→⎥⎥⎥⎦⎤⎢⎢⎢⎣⎡1142242644223214264426453426352回代得:Tx )1,1,1(-=4.因为A为严格对角占优阵,所以雅可比法收敛。
雅可比迭代公式为:⎪⎪⎪⎩⎪⎪⎪⎨⎧=+=++=+=+++Λ,1,0,)1(41)3(41)1(41)(2)1(3)(3)(1)1(2)(2)1(1m x x x x x x x m m m m m m m 。
取T x )1,1,1()0(=计算得: T x )5.0,25.1,5.0()1(=。
5.因为0875.0)5.0(,01)0(<-=>=f f ,所以]5.0,0[*∈x ,在]5.0,0[上,06)(,043)(2≥=''<-='x x f x x f 。
由0)()(0≥''x f x f ,选00=x ,由迭代公式:Λ,1,0,4314231=-+--=+n x x x x x n n n n n 计算得:25.01=x 。
四.证明题1.设))()(()()()(),)()(()(10110x t x t x k t L t f t g x x x x x k x R ----=--=,有x x x ,,10为三个零点。
吉大15春学期《分析化学》在线作业一一、单选题【共15道,总分:60分】1.浓度为0.1mol/LNH4Cl(pKb=4.74)溶液的pH是A. 5.13B. 4.13C. 3.13D. 2.13正确答案:A2.用同一KMnO4标准溶液分别滴定体积相等的FeSO4和H2C2O4溶液,耗用标准溶液的体积相等,则对两溶液浓度关系的正确表述是A. cFeSO4=cH2C2O4B. 2cFeSO4=cH2C2O4C. cFeSO4=2cH2C2O4D. 2nFeSO4=nH2C2O4正确答案:C3.用物质的量浓度相同的NaOH和KMnO4两溶液分别滴定相同质量的KHC2O4·H2C2O4·2H2O。
滴定所消耗的两种溶液的体积关系是A. 3VNaOH=4VKMnO4B. 20VNaOH=3VKMnO4C. 4VNaOH=15VKMnO4D. 5VNaOH=12VKMnO4正确答案:C4.H2PO4^-的共轭碱是A. H3PO4B. HPO4^(2-)C. PO4^(3-)D. OH^(-)正确答案:B5.下列现象中属于系统误差的是A. 试样未经充分混匀B. 温度发生微小变化C. 天平两臂不等长D. 滴定时有液溅出正确答案:C6.标定盐酸溶液常用的基准物质有A. 无水Na2CO3B. 草酸C. 碳酸钙D. 邻苯二甲酸氢钾正确答案:A7.间接碘量法中加入淀粉指示剂的适宜时间是A. 滴定开始前B. 滴定开始后C. 滴定至近终点时D. 滴定至红棕色褪尽至无色时正确答案:C8.使用离子选择性电极时在标准溶液和样品溶液中加入TISAB的目的是A. 提高测定结果的精密度B. 维持溶液具有相同的活度系数和副反应系数C. 消除干扰离子D. 提高响应速率正确答案:B9.按质子理论,Na2HPO4是A. 中性物质B. 酸性物质C. 碱性物质D. 两性物质正确答案:D10.测定试样中CaO的质量分数,称取试样0.9080g,滴定耗去EDTA标液20.50ml,以下结果表示正确的是A. 10%B. 10.1%C. 10.08%D. 10.077正确答案:C11.滴定I2的合适的标准溶液是A. Ce(SO4)2B. KMnO4C. Na2S2O3D. I2正确答案:C12.测定KBrO3含量的合适方法是A. 酸碱滴定法B. KMnO4法C. EDTA法D. 碘量法正确答案:D13.当HCl溶于液氨时,溶于中最强的酸是A. H3O+B. NH3C. NH4D. NH2^(正确答案:C14.重铬酸钾在酸性溶液中被1mol的Fe2+还原为Cr3+时,所需质量为其摩尔质量的A. 3倍B. 1/3C. 1/6D. 6倍正确答案:C15.在下列说法中,氟电极的电位A. 随试液中氟离子浓度的增高向正方向变化B. 随试液中氟离子浓度的增高向负方向变化C. 与试液中氢氧根离子浓度无关D. 上述三种说法都不对正确答案:D二、判断题【共10道,总分:40分】1.强碱滴定弱酸时其计量点的pH值在酸性范围内。
吉大15年春《基础会计学》在线作业一答案吉大15春学期《基础会计学》在线作业一一、单选题(共10道试题,共40分。
)1.“生产成本”账户的期末借方余额表示()。
A.完工产品成本B.期末在产品成本C.本月生产费用合计D.库存产品成本----------------选择:B2.资产负债表“未分配利润”项目应根据()账户的期末余额填制。
A.本年利润B.利润分配C.本年利润和利润分配D.应付利润----------------选择:C3.下列错误中能够通过试算平衡查找的有()。
A.重记经济业务B.漏记经济业务C.借贷方向相反D.借贷金额不等----------------选择:D4.会计凭证保管期限是()。
A. 5年B. 15年C. 3年D.永久----------------选择:B5.下列不属于资料采购成本的组成项目是()。
A.材料的买价B.外地运杂费C.运输途中的合理消耗D.采购机构经费----------------选择:D6.资产负债表中的应收账款项目,应根据()填列。
A.“应收账款”总帐帐户的期末余额B.“应收账款”总帐帐户的所属明细帐户的期末余额C.“应收账款”和“应付账款”总帐帐户的所属明细帐户的本期借方余额的合计数D.“应收账款”和“预收账款”总帐帐户的所属明细帐户的本期借方余额的合计数----------------选择:D7.库存商品通常接纳()账簿。
A.多栏式B.三栏式C.数量金额式D.平行式----------------选择:C8.保管期限为永久的管帐档案是()。
A.月、季度财务敷陈B.管帐移交清册C.原始凭据D.会计档案销毁清册----------------选择:D9.按照记账凭证的审核要求,下列内容中不属于记账凭证审核内容的是( )。
A.应借应贷会计科目使用及金额的计算是否正确B.凭据格式中有关项目的填列是不是完备,有关职员是不是都已签章C.凭据内容是不是实在D.记账凭证是否附有原始凭证,记账凭证的内容与原始凭证的内容是否相符----------------选择:C10.资产负债表设想的首要依据是( )。
吉大15 春学期《社会调查理论与方法》在线作业一单选题多选题判断题
一、单选题(共5 道试题,共20 分。
)
1. 判断抽样又称(),就是调查者根据自己的主观判断来抽选样本。
A. 立意抽样
B. 偶遇抽样
C. 方便抽样
D. 便利抽样
----------------选择:A
2. ()又称追溯查找法,即根据作者在文章、专著中所开列的参考文献目录,或在文章、专著中所引用的文献名目,追踪查找有关文献的方法。
A. 检索工具查找法
B. 参考文献查找法
C. 参考文献检索法
D. 循环查找法
----------------选择:B
3. 设计操作定义,一般不采用的方法是()
A. 用客观存在的具体事物来设计操作定义
B. 用看得见、摸得着的社会现象来设计操作定义
C. 用社会测量的方法来设计操作定义
D. 用抽样调查的方法来设计操作定义
----------------选择:D
4. 毛泽东第一次提出“没有调查,就没有发言权”的著名口号是在()
A. 《寻乌调查》
B. 《兴国调查》
C. 《反对本本主义》
D. 《关于农村调查》
----------------选择:C
5. 心理学家刘易斯.古德曼提出了()
A. 语义差异量表
B. 社会关系量表
C. 累积量表
D. 总加量表。
练习题与答案练习题一练习题二练习题三练习题四练习题五练习题六练习题七练习题八练习题答案练习题一一、是非题1.x *–12.0326 作为 x 的近似值一定具有6 位有效数字,且其误差限1 10 4( )2。
2. 对两个不同数的近似数,误差越小,有效数位越多。
( )3.一个近似数的有效数位愈多,其相对误差限愈小。
( )x 24.1( )用2近似表示 cos x 产生舍入误差。
5. 3.14 和 3.142 作为 的近似值有效数字位数相同。
( )二、填空题y 123 4 9x 1231.为了使计算x 1x 1的乘除法次数尽量少,应将该表达式改写为 ;2. x * –0.003457是 x 舍入得到的近似值,它有位有效数字,误差限为,相对误差限为;3. 误差的来源是 ;4. 截断误差为;5.设计算法应遵循的原则是 。
三、选择题1. x * –0.026900作为 x 的近似值,它的有效数字位数为 ( ) 。
(A) 7;(B) 3;(C) 不能确定(D) 5.2.舍入误差是 ( )产生的误差。
(A) 只取有限位数(B) 模型准确值与用数值方法求得的准确值(C) 观察与测量(D) 数学模型准确值与实际值3.用 1+x 近似表示 e x 所产生的误差是 ()误差。
(A). 模型(B). 观测 (C). 截断 (D). 舍入1.用 * 22 表示自由落体运动距离与时间的关系式(g 为重力加速度 ),s t 是在4s =gt时间 t 内的实际距离,则 s t s * 是( )误差。
(A). 舍入(B). 观测 (C). 模型 (D). 截断5. 1.41300作为 2 的近似值,有 ( )位有效数字。
(A) 3 ;(B) 4; (C) 5; (D) 6。
四、计算题221. 3.142,3.141, 7 分别作为 的近似值,各有几位有效数字?2. 设计算球体积允许的相对误差限为1%,问测量球直径的相对误差限最大为多少?3. 利用等价变换使下列表达式的计算结果比较精确:11 x, | x | 1x 11 dt | x |1(1) 1 2x 1 x, (2) x1 t 2(3) ex1, | x | 1,(4)ln(x 2 1 x) x114.真空中自由落体运动距离 s 与时间 t 的关系式是 s= 2 gt 2,g 为重力加速度。
吉林大学网络教育学院2019-2020学年第一学期期末考试《计算方法》大作业答案学生姓名专业层次年级学号学习中心成绩年月日作业完成要求:大作业要求学生手写,提供手写文档的清晰扫描图片,并将图片添加到word文档内,最终wod文档上传平台,不允许学生提交其他格式文件(如JPG,RAR等非word文档格式),如有雷同、抄袭成绩按不及格处理。
一、解线性方程(每小题8分,共80分)1、用矩阵的LU分解算法求解线性方程组X1+2X2+3X3= 02X1+2X2+8X3= -4-3X1-10X2-2X3= -11答:2、用矩阵的Doolittle分解算法求解线性方程组X1+2X2+3X3= 12X1– X2+9X3= 0-3X1+ 4X2+9X3= 1答:3、用矩阵的Doolittle分解算法求解线性方程组2X1+X2+X3= 46X1+4X2+5X3=154X1+3X2+6X3= 13答:4、用高斯消去法求解线性方程组2X1- X2+3X3= 24X1+2X2+5X3= 4-3X1+4X2-3X3= -3答:5、用无回代过程消元法求解线性方程组2X1- X2+3X3= 24X1+2X2+5X3= 4-3X1+4X2-3X3= -3答:6、用主元素消元法求解线性方程组2X1- X2+3X3= 24X1+2X2+5X3= 4-3X1+4X2-3X3= -3答:7、用高斯消去法求解线性方程组1231231232344272266x x x x x x x x x -+=++=-++=答:8、利用Doolittle 分解法解方程组Ax=b ,即解方程组12341231521917334319174262113x x x x -⎡⎤⎡⎤⎡⎤⎢⎥⎢⎥⎢⎥-⎢⎥⎢⎥⎢⎥=⎢⎥⎢⎥⎢⎥--⎢⎥⎢⎥⎢⎥--⎣⎦⎣⎦⎣⎦ 答:9、利用Doolittle 分解法解方程组Ax=b ,即解方程组123421111443306776081011112x x x x ⎡⎤⎡⎤⎡⎤⎢⎥⎢⎥⎢⎥⎢⎥⎢⎥⎢⎥=⎢⎥⎢⎥⎢⎥⎢⎥⎢⎥⎢⎥-⎣⎦⎣⎦⎣⎦ 答:10、用高斯消元法解方程组1237811351341231x x x -⎡⎤⎡⎤⎡⎤⎢⎥⎢⎥⎢⎥-=-⎢⎥⎢⎥⎢⎥⎢⎥⎢⎥⎢⎥⎣⎦⎣⎦⎣⎦答案:二、计算(每小题10分,共20分)1、已知节点x1,x2及节点处函数值f(x1),f(x2),构造线性插值多项式p1(x). 答:2、设f(xi)=i(i=0,1,2),构造二次式p2(x),使满足: p2(xi)=f(xi)(i=0,1,2)答:。
吉大16秋学期《计算方法》在线作业一
一、单选题(共 15 道试题,共 60 分。
)
1. 所谓松弛法,实质上是()的一种加速方法。
A. 雅可比迭代
B. 高斯-赛得尔迭代
C. 变分迭代
D. 牛顿迭代
正确答案:B
2. 为了防止迭代发散,通常对迭代过程再附加一项要求,即保证函数值单调下降,满足这项要求的算法称为()
A. 快速弦截法
B. 弦截法
C. 下山法
D. 牛顿法
正确答案:C
3. 常用的阶梯函数是简单的()次样条函数。
A. 零
B. 一
C. 二
D. 三
正确答案:A
4. 差商形式插值公式称为()
A. 牛顿插值公式
B. 拉格朗日插值公式
C. 分段插值公式
D. 埃尔米特插值公式
正确答案:A
吉大16秋学期《计算方法》在线作业一
一、单选题(共 15 道试题,共 60 分。
)
1. 所谓松弛法,实质上是()的一种加速方法。
A. 雅可比迭代
B. 高斯-赛得尔迭代
C. 变分迭代
D. 牛顿迭代
正确答案:B
2. 为了防止迭代发散,通常对迭代过程再附加一项要求,即保证函数值单调下降,满足这。
吉林大学网络教育学院2018-2019学年第二学期期末考试《计算方法》大作业学生姓名专业层次年级学号学习中心成绩年月日一、构造次数不超过三次的多项式P3(X),使满足:(10分)P3(0)= 1;P3(1)=0;P3′(0)=P3′(1)=0。
二、设f(x i)=i(i=0,1,2),构造二次式p2(x),使满足:(10分) p2(x i)=f(x i)(i=0,1,2)三、设节点x i=i(i=0,1,2,3),f(0)=1,f(1)=0,f(2)=-7,f(3)=26,构造次数不超过3次的多项式p3(x),满足p3(x i)=f(x i),i=0,1,2,3 (10分)四、对于上题的问题,构造Newton插值多项式。
(10分)五、构造三次多项式P 3(X )满足:P 3(0)= P 3(1)=0,P 3′(0)=P 3′(1)=1。
(10分)六、利用Doolittle 分解法解方程组Ax=b 即解方程组 (15分) 12341231521917334319174262113x x x x -⎡⎤⎡⎤⎡⎤⎢⎥⎢⎥⎢⎥-⎢⎥⎢⎥⎢⎥=⎢⎥⎢⎥⎢⎥--⎢⎥⎢⎥⎢⎥--⎣⎦⎣⎦⎣⎦解:用公式七、基于迭代原理证明(10分)+++=22 (22)八、构造二次多项式2()x p 满足: (10分)'010222()1;()0;()1p p p x x x ===九、构造一个收敛的迭代法求解方程3210x x --=在[1.3,1.6]内的实根。
合理选择一个初值,迭代一步,求出1x 。
(15分)作业完成要求:大作业要求学生手写,提供手写文档的清晰扫描图片,并将图片添加到word 文档内,最终word文档上传平台,不允许学生提交其他格式文件(如JPG,RAR等非word 文档格式),如有雷同、抄袭成绩按不及格处理。
A. det A = 0B.detA k = 0(1 乞 k n)c. detA 0D. det A :: 0《计算方法》练习题一一、填空题1.理=3.14159…的近似值3.1428 ,准确数位是()。
2 .满足 f(a) = C, f(b) = d 的插值余项 R(X)=()。
3 .设{P k (x)}为勒让德多项式,则(F 2(χ), P 2(x)) - ( )o4 •乘幕法是求实方阵()特征值与特征向量的迭代法。
5 .欧拉法的绝对稳定实区间是()o6. e =2.71828…具有3位有效数字的近似值是( )。
7 .用辛卜生公式计算积分[fc ( ) oVHx8 .设A (kJ0 =(a (Z )第k 列主兀为a Pk J),则a (Pk A) =()10 •已知迭代法:X n 1 =(X n ), (n=0,1,…)收敛,则:(x)满足条件()。
、单选题1•已知近似数a,b,的误差限;(a), ;(b),则;(ab)=()。
A. E(a)E(b)B. E(a)+^(b)c. ag(a)+∣bw(b) D . a E (b)+'b w(a)2 .设 f(x) =X 2 X ,则 f[1,2,3]=()。
A.lB. 2C. 3D .4 3 . 设A =们 ,则化A 为对角阵的平面旋转 Q =().:1 3一ππππ A.—B .—C .—D .—23 464 . 若双点弦法收敛, 则双点弦法具有()敛速.A.线性B.超线性C.平方D .三次5 .改进欧拉法的局部截断误差阶是().A. o(h)Bo(h 2)C.o(h 3)D.o(h 4)6 .近似数 a = 20.47820 "0的误差限是()o1 一 c -51 _ -4 1__3 1 _ _2A. ×10B.×10 C.×10D . × 1022229 .已知贝TtJ 1 25 4_-7 .矩阵A满足(),则存在三角分解A=LR)&已知 X =(—1,3,-5)T ,则 X 1 =()。
奥鹏吉大15春学期《计算方法》在线作业一满分答案
一、单选题(共15 道试题,共60 分。
)
1. 题面如下,正确的是()
A. A
B. B
C. C
D. D
正确答案:A
2. 利用克莱姆法则求解行列式时,求解一个n阶方程组,总共需要做( )次乘法
A. n!(n-1)(n+1)
B. n(n-1)
C. n(n+1)
D. n(n-1)(n+1)
正确答案:A
3. 线性方程组的解法大致可以分为()
A. 直接法和间接法
B. 直接法和替代法
C. 直接法和迭代法
D. 间接法和迭代法
正确答案:C
4. 为了保证插值函数能更好地密合原来的函数,不但要求“过点”,即两者在节点上具有相同的函数值,而且要求“相切”,即在节点上还具有相同的导数值,这类插值称为()
A. 牛顿插值
B. 埃尔米特插值
C. 分段插值
D. 拉格朗日插值
正确答案:B
5. 辛普生求积公式具有()次代数精度
A. 1
B. 2
C. 3
D. 4
正确答案:C
6. 若x = 1.345678,|x*-x|=0.00041... ,则x*的近似数x 具有( )位有效数字.
A. 1
B. 2。