七年级整式混合运算
- 格式:doc
- 大小:105.00 KB
- 文档页数:4
数学七年级上册整式一、整式的概念整式是包含加、减、乘、除和乘方运算的代数式。
其中,单项式和多项式统称为整式。
1. 单项式:数字与字母的积叫做单项式,单独的一个数或一个字母也叫做单项式。
2. 多项式:由几个单项式的和组成的代数式叫做多项式。
二、整式的加减法整式的加减法主要涉及同类项的合并和合并同类项。
1. 同类项:同类项是指相同字母的指数也相同的项。
例如,x²y和x²y'是同类项。
2. 合并同类项:把同类项的系数相加,字母和字母的指数不变。
例如,2x²y+3x²y=5x²y。
三、整式的乘法整式的乘法包括单项式乘以单项式、单项式乘以多项式和多项式乘以多项式。
1. 单项式乘以单项式:把它们的系数、相同字母的幂分别相乘,其余字母连同它的指数不变,作为积的因式。
2. 单项式乘以多项式:用一个数去乘多项式的每一项,再把所得的积相加。
3. 多项式乘以多项式:用一个多项式的每一项去乘另一个多项式的每一项,再把所得的积相加。
四、整式的除法整式的除法主要是单项式除以单项式和多项式除以单项式。
1. 单项式除以单项式:把系数、同底数幂分别相除后,作为商的因式;对于只在被除式里含有的字母,则连同它的指数一起作为商的一个因式。
2. 多项式除以单项式:把这个多项式的每一项分别除以单项式,再把所得的商相加。
五、整式的混合运算整式的混合运算是指混合使用加、减、乘、除和乘方运算。
运算顺序是先乘方再乘除后加减,有括号的先算括号里面的。
六、整式的化简求值化简求值是指将整式通过加减乘除等运算后,化简为最简形式,然后代入数值计算。
在化简过程中要遵循先化简后求值的原则。
整式的混合运算 (习题及答案)整式的混合运算题例题示范1:已知$x=-1$,$y=-1$,求解原式:$(3x+2y)(3x-2y)-5x(x-y)-(2x-y)^2$。
解:原式$=(9x^2-4y^2)-(5x^2-5xy)-(4x^2-4xy+y^2)$9x^2-4y^2-5x^2+5xy-4x^2+4xy-y^2$9xy-5y^2$当$x=-1$,$y=-1$时。
原式$=9\times\frac{-1}{3}-5\times(-1)^2=-2$例题示范2:已知$x^m-n=2$,$x^n=2$,求解$x^{m+n}$。
思路分析:①观察所求式子,根据同底数幂的乘法,$x^{m+n}=x^m\times x^n$,我们需要求出$x^m$,$x^n$的值;②观察已知条件,由$x^{m-n}=x^m\div x^n=2$,$x^n=2$,可求出$x^m=4$;③代入,求得$x^m\times x^n=8$,即$x^{m+n}=8$。
例题示范3:若$4x^2+mx+9$是一个完全平方式,则$m$=________。
思路分析:①完全平方公式是由首平方,尾平方,二倍的乘积组成,观察式子结构,首尾两项是平方项。
②将$4x^2$,$9$写成平方的形式$4x^2=(2x)^2$,$9=3^2$,故$m$应为二倍的乘积。
③对比完全平方公式的结构,完全平方公式有两个。
a\pm b)^2=a^2\pm 2ab+b^2$因此$mx=\pm2\times2x\times3$,所以$m=\pm12$。
巩固练:1.计算:①$\frac{(−3a−b)−(−3a+b)(3a+b)}{2a−3b}$;②$\frac{(xy+1)(xy-1)-2xy+1}{-xy}$;③$(1-2a)(2a+1)(4a^2+1)-1$;④$50^2-49^2+48^2-47^2+…+2^2-1^2$;⑤$-2016\times4028+2014^2$。
初一数学上册综合算式专项练习题整式乘法混合运算练习题1:将多项式 (2x^2 - 3xy + 4y^2)(3x - 2y) 进行整式乘法运算。
解答:(2x^2 - 3xy + 4y^2)(3x - 2y) 可以展开为:2x^2 * 3x + 2x^2 * (-2y) - 3xy * 3x - 3xy * (-2y) + 4y^2 * 3x + 4y^2 * (-2y)。
根据整式乘法法则和指数幂的乘法法则,上述式子可以化简为:6x^3 - 4x^2y - 9x^2y + 6xy^2 + 12xy^2 - 8y^3。
练习题2:计算下列整式的值:3x^2y^3 - 2xy^3,当 x = 4,y = -2 时。
解答:将 x 替换为 4,y 替换为 -2,得到:3(4)^2(-2)^3 - 2(4)(-2)^3。
根据指数幂的乘法法则,上述式子可以化简为:3(16)(-8) - 2(4)(-8)。
继续化简,得到:-384 - (-64)。
最终结果为:-384 + 64 = -320。
练习题3:将整式 5x - 2xy + 4y - 3x^2 + 6xy 进行合并同类项的运算。
解答:整式 5x - 2xy + 4y - 3x^2 + 6xy 的各项中,存在相同的字母,并且字母的指数也相同,可以合并为同类项。
将同类项合并,得到:(5x - 3x^2) + (-2xy + 6xy) + 4y。
再进行进一步的合并运算,得到:-3x^2 + 5x + 4xy + 4y。
练习题4:将整式 (2x^2 - 3xy + 4)(3 - x) 进行整式乘法运算。
解答:(2x^2 - 3xy + 4)(3 - x) 可以展开为:2x^2 * 3 + 2x^2 * (-x) - 3xy * 3 - 3xy * (-x) + 4 * 3 + 4 * (-x)。
根据整式乘法法则和指数幂的乘法法则,上述式子可以化简为:6x^2 - 2x^3 - 9xy + 3x^2y + 12 - 4x。
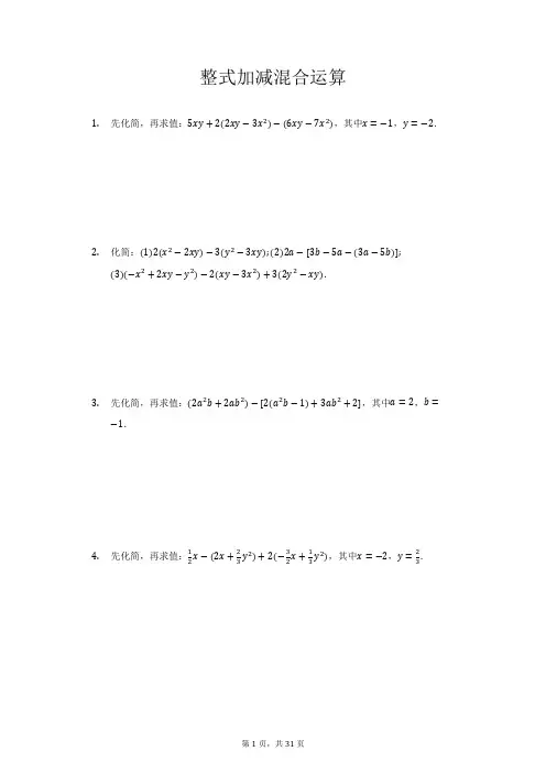
整式加减混合运算1.先化简,再求值:5xy+2(2xy−3x2)−(6xy−7x2),其中x=−1,y=−2.2.化简:(1)2(x2−2xy)−3(y2−3xy);(2)2a−[3b−5a−(3a−5b)];(3)(−x2+2xy−y2)−2(xy−3x2)+3(2y2−xy).3.先化简,再求值:(2a2b+2ab2)−[2(a2b−1)+3ab2+2],其中a=2,b=−1.4.先化简,再求值:12x−(2x+23y2)+2(−32x+13y2),其中x=−2,y=23.5.先化简,再求值:(1)14(−4x2+2x−8)−(12x−1),其中x=−13.(2)若|m+3|+(n−12)2=0,求代数式5mn2−2{2m2n−[3mn2−2(2mn2−m2n)]}的值.6.化简与求值(1)化简:3(x−1)−2(1−2x)(2)已知(x−1)2+|y+2|=0,求代数式2x2+(−x2−2xy+2y2)−2(x2−xy+2y2)的值.7.化简:(1)m2−2(mn−4n)−8n; (2)3x2−[7x−(4x−3)−2x2].8.化简:(1)2(m+n)−52(m−n)−23(m+n)+3(m−n);(2)x2−2[12x2+2(x−6)−3x]−8.9.先化简,再求值:(1)5a2−[3a−(2a−3)+4a2],其中a=−1;(2)5(3a2b−ab2)−4(−ab2+3a2b),其中a=−1,b=−2.10.化简下列多项式:(1)(2m+3n−5)+(2m−n−5);(2)(5a−3b)−3(a2−2b);(3)6a2b+(2a+1)−2(3a2b−a).11. 计算下列各式:(1)(13+56−38)×(−24) (2)3x 2−13x −2(1−13x)+212. 9a 2−[7a 2−2a −2(a 2−3a)]−3.13. 先化简,再求值:13x 2−13xy −14x 2−(112x 2−23xy),其中x =6,y =−34.14. 先化简再求值:2(x 2y +xy)−3(x 2y −xy)−4x 2y ,其中x =1,y =−1.15.先化简再求值:−3(x2+y2−xy)+2(x2−y2)−3xy,其中x=−2,y=1.16.计算:(1)3a+2b−(5a+b);(2)3a2b+(2a2b−2ab2)−2(3ab2−a2b).17.已知k=−1,求代数式2(k2−k−1)−(k2−k−1)+3(k2−k−1)的值.218.先化简,再求值:14(−4x2+2x−8)−(12x−1),其中x=12.19.先化简,再求值:2(3a2b−ab2)−(ab2+3a2b),其中a=−1,b=2.20.计算:(1)−3x+2y−5x−7y;(2)5a−(2a−4b);(3)(7x+2y)+(4+3x)−(15y−7);(4)5(x+y)−4(3x−2y)−3(2x−3y).21.已知A=m2−3mn+n2,B=−2m2+8mn−3n2.计算:(1)B+2A;(2)4A−3B.22.化简求值:(x2+2x)−2(12x2−2x),其中x=12.23.(1)化简:(4a+b)−2(5a−b);(2)先化简再求值:3xy2−4x2y−2xy2+5x2y.其中x=1,y=2.24.先化简,再求值:2x2y−[5xy2+2(x2y−3xy2+1)],其中x=4,y=−12.25.化简:(1)a2−3a+8−a2−13−12a(2)2(2a2+3b)−3(−5a2+4b)26.(1)化简:−3x2+5x+0.5x2−x+1;(2)先化简,再求值:−2(2m2−mn+12)+3(m2+mn),其中m=−1,n=1.27.化简下列各式:(1)3x2y−[2x2z−(2xyz−x2z+4x2y)];(2)−6[(a2+1)−16(2a2+a)+13(a−5)];(3)ab−{4a2b−[3a2b−3(2ab−a2b)+3ab]}.28.先化简,再求值:12x−2(x−13y2)+(−32x+13y2),其中x=−2,y=12.29.化简下列各题:(1)(5x+4z+7y)+(5z−3y−6x);(2)(2m2n−mn2)−2(mn2+3m2n).30.先化简,再求值:(1)3(x2−2x−1)−4(3x−2)+2(x−1),其中x=−3;(2)2x−y+(2y2−x2)−(x2+2y2),其中x=1,y=−2.31.先化简,再求值:3(5x2y−xy2)−(2xy2−7x2y),其中x=1,y=−1.232.先化简,再求值:3(a2b+ab2)−(3a2b−1)−ab2−1,其中a=1,b=−3.33.先化简,再求值:5x2−[4x2−(2x−3)+3x],其中x=−2.34.先化简,再求值:3x2y−[2x2y−x(xy+3)],其中x=−1,y=2.235.化简:(1)5(2x−7y)−3(4x−10y);(2)3a2b−[4ab2−3(ab2−59a2b)+32ab2]−a2b.36.化简:(1)2(x2−2xy)−3(y2−3xy);(2)2a−[3b−5a−(3a−5b)];(3)(−x2+2xy−y2)−2(xy−3x2)+3(2y2−xy).37. 先化简,再求值:5(3a 2b −ab 2)−(ab 2+3a 2b),其中a =12,b =13.38. 先化简,再求值(1)2m 2−4m +1−2(m 2+2m −12),其中m =−1: (2)5xy 2−[2x 2y −(2x 2y −3xy 2)],其中(x −2)2+|y +1|=0.39. 先化简,再求值:5(3a 2b −ab 2)−4(−ab 2+3a 2b),其中a =12,b =−4.40. 若关于x 、y 的式子(x 2+ax −2y +7)−(bx 2−2x +9y −1)的值与x 无关,求(a +b)2015的值.41.先化简再求值:(2m2n+2mn2)−2[(m2n−1)+4mn2+2],其中m=−2,n=2.42.先化简,再求值:3x+2(−4x+1)−12(6−4x),其中x=−12.43.先化简再求值:12(2a3−a2b)−(a3−ab2)−12a2b,其中a=12,b=−2.44. 先化简,再求值:x −2(x −y 2)−2(x +2y 2),其中x =1,y =−2.45. 已知:A =2x 2+3xy −1,B =−x 2+xy −1,求2A −B .46. 先化简后求值(3x 2y −xy 2)−3(−2xy 2+x 2y),其中x =12,y =13.47. 先化简,再求值:2(a 2b +ab 2)−2(a 2b −1)−ab 2−2,其中a =1,b =2.48.先把化简,再求值:4(x−1)−2(x2+1)+12(4x2−2x),其中x=−2.49.先化简,再求值:5a2−[3a−(2a−3)+4a2],其中a=−2.先化简,再求值:2xy−[12(5xy−16x2y2)−2(xy−4x2y2)],其中x=−12,y=4.1.【答案】解:原式=5xy+4xy−6x2−6xy+7x2=x2+3xy当x=−1,y=−2时,原式=(−1)2+3×(−1)(−2)=1+6=7【解析】先去括号,再合并同类项,然后代入求值本题考查了去括号法则及合并同类项.题目难度不大,正确的化简多项式是解决本题的关键.2.【答案】解:(1)2(x2−2xy)−3(y2−3xy)=2x2−4xy−3y2+9xy=2x2+5xy−3y2.(2)2a−[3b−5a−(3a−5b)]=2a−(3b−5a−3a+5b)=2a−3b+5a+3a−5b=10a−8b.(3)(−x2+2xy−y2)−2(xy−3x2)+3(2y2−xy)=−x2+2xy−y2−2xy+6x2+ 6y2−3xy=5x2−3xy+5y2.【解析】见答案3.【答案】解:(2a2b+2ab2)−[2(a2b−1)+3ab2+2]=2a2b+2ab2−2a2b+ 2−3ab2−2=−ab2,当a=2,b=−1时,原式=−2×(−1)2=−2.【解析】代入化简后的算式,求出算式的值是多少即可.此题主要考查了整式的加减−化简求值问题,要熟练掌握,解答此题的关键是要明确:给出整式中字母的值,求整式的值的问题,一般要先化简,再把给定字母的值代入计算,得出整式的值,不能把数值直接代入整式中计算.4.【答案】解:12x−(2x+23y2)+2(−32x+13y2),=12x−2x−23y2−3x+23y2=−92x当x=−2,y=23原式=−92×(−2)=9.【解析】先去括号,再合并同类项,最后把数代入求值即可.此题主要考查整式的化简求值,熟练掌握去括号法则,准确合并同类项是解题的关键,在代入求值时也要注意数的符号.5.【答案】解:(1)原式=−x 2+12x −2−12x +1=x 2−1,当x =−13时,原式=−89;(2)原式=5mn 2−4m 2n +6mn 2−8mn 2+4m 2n =3mn 2,∵|m +3|+(n −12)2=0, ∴m =−3,n =12,则原式=−94.【解析】(1)原式去括号合并得到最简结果,把x 的值代入计算即可求出值;(2)原式去括号合并得到最简结果,利用非负数的性质求出m 与n 的值,代入计算即可求出值.此题考查了整式的加减−化简求值,熟练掌握运算法则是解本题的关键.6.【答案】解:(1)原式=3x −3−2+4x =7x −5;(2)原式=2x 2−x 2−2xy +2y 2−2x 2+2xy −4y 2=−x 2−2y 2,∵(x −1)2+|y +2|=0,∴x −1=0,y +2=0,即x =1,y =−2,则原式=−1−8=−9.【解析】(1)去括号合并即可得到结果;(2)去括号合并得到最简结果,由非负数的性质求出x 与y 的值,代入计算即可求出值.此题考查了整式的加减−化简求值,以及整式的加减,涉及的知识有:去括号法则,以及合并同类项法则,熟练掌握法则是解本题的关键.7.【答案】解:(1)原式=m 2−2mn +8n −8n=m 2−2mn ;(2)原式=3x2−(7x−4x+3−2x2)=3x2−7x+4x−3+2x2 =5x2−3x−3.【解析】见答案8.【答案】解:(1)原式=(2−23)(m+n)+(−52+3)(m−n)=43(m+n)+12(m−n)=43m+43n+12m−12n=116m+56n.(2)原式=x2−x2−4(x−6)+6x−8=−4x+24+6x−8=2x+16【解析】本题考查整式的加减,掌握去括号和合并同类项的方法是解题关键.(1)先把m+n和m−n当成整体进行合并同类项,再进行加减运算即可;(2)先去括号,再进行合并同类项即可.9.【答案】解:(1)原式=5a2−(3a−2a+3+4a2)=5a2−(a+3+4a2)=5a2−a−3−4a2=a2−a−3.当a=−1时,原式=(−1)2−(−1)−3=−1;(2)原式=15a2b−5ab2+4ab2−12a2b=3a2b−ab2.当a=−1,b=−2时,原式=3×(−1)2×(−2)−(−1)×(−2)2=−2.【解析】(1)原式去括号合并得到最简结果,将a的值代入计算即可求出值;(2)原式去括号合并得到最简结果,将a、b的值代入计算即可求出值.此题考查了整式的加减−化简求值,熟练掌握运算法则是解本题的关键.10.【答案】解:(1)原式=2m+3n−5+2m−n−5=4m+2n−10;(2)原式=5a−3b−3a2+6b=5a−3a2+3b;(3)原式=6a2b+2a+1−6a2b+2a=4a+1.【解析】根据整式的运算法则即可求出答案.本题考查整式的运算,解题的关键是熟练运用整式的运算法则,本题属于基础题型.11.【答案】解:(1)(13+56−38)×(−24)=13×(−24)+56×(−24)−38×(−24) =−8−20+9=−19;(2)3x2−13x−2(1−13x)+2=3x2−13x−2+23x+2=3x2+1 3 x.【解析】(1)根据乘法分配律计算即可求解;(2)先去括号,然后合并同类项.考查了整式的加减,整式的加减步骤及注意问题:1.整式的加减的实质就是去括号、合并同类项.一般步骤是:先去括号,然后合并同类项.2.去括号时,要注意两个方面:一是括号外的数字因数要乘括号内的每一项;二是当括号外是“−”时,去括号后括号内的各项都要改变符号.12.【答案】解:原式=9a2−[7a2−2a−2a2+6a]−3=9a2−7a2+2a+2a2−6a−3=4a2−4a−3.【解析】先去小括号,再去中括号,然后合并同类项即可得出答案.此题考查了整式的加减,解决此类题目的关键是熟记去括号法则,熟练运用合并同类项的法则,这是各地中考的常考点.13.【答案】解:原式=13x2−13xy−14x2−112x2+23xy=(13x2−14x2−112x2)+(−13xy+23xy)=(112x2−112x2)+13xy=13xy,…(4分)当x=6,y=−34时,原式=13×6×(−34)=−32.…(7分)【解析】把原式先利用去括号法则:括号外边是负号,去掉负号和括号,括号里各项都变号,去括号后,找出同类项,合并同类项后得到最简结果,最后把x与y的值代入即可求出值.此题考查了整式的化简求值,涉及的知识有去括号法则,合并同类项以及代数式的值,其中对于先化简再求值的题型必须先把所求的式子利用去括号,合并同类项化为最简,然后再代值.同时去括号时,括号外边有系数,应先将系数乘到括号里边然后再去括号.14.【答案】解:原式=2x2y+2xy−3x2y+3xy−4x2y=−5x2y+5xy,当x=1,y=−1时,原式=−5×1×(−1)+5×1×(−1)=0、【解析】先去括号,然后合并同类项得到原式=−5x2y+5xy,然后把x、y的值代入计算即可.本题考查了整式的加减−化简求值:给出整式中字母的值,求整式的值的问题,一般要先化简,再把给定字母的值代入计算,得出整式的值,不能把数值直接代入整式中计算.15.【答案】解:原式=−3x2−3y2+3xy+2x2−2y2−3xy=−x2−5y2,当x=−2,y=1时,原式=−(−2)2−5×12=−4−5=−9.【解析】先去括号,再合并同类项化简原式,继而代入求值即可.本题主要考查整式的加减−化简求值,熟练掌握整式的加减运算法则是解题的关键. 16.【答案】解:(1)3a +2b −(5a +b)=3a +2b −5a −b=−2a +b ;(2)3a 2b +(2a 2b −2ab 2)−2(3ab 2−a 2b)=3a 2b +2a 2b −2ab 2−6ab 2+2a 2b=7a 2b −8ab 2.【解析】(1)先去括号,然后合并同类项;(2)先去括号,然后合并同类项.考查了整式的加减,整式的加减的实质就是去括号、合并同类项.一般步骤是:先去括号,然后合并同类项.17.【答案】解:2(k 2−k −1)−(k 2−k −1)+3(k 2−k −1)=2k 2−2k −2−k 2+k +1+3k 2−3k −3.=4k 2−4k −4.∵k =−12, ∴原式=4×(−12)2−4×(−12)−4=−1.【解析】先根据整式的混和运算顺和法则分别进行计算,再把所得的结果进行合并,最后把k 的值代入即可.本题主要考查了整式的混合运算,在解题时要注意混合运算的顺序和结果的符号是本题的关键.18.【答案】解:原式=−x 2+12x −2−12x +1=−x 2−1把x =12代入原式:原式=−x 2−1=−(12)2−1=−54【解析】先去括号,再合并同类项,把x的值代入原式计算即可.本题考查了整式的混合运算,有理数的混合计算是解题的关键.19.【答案】解:原式=6a2b−2ab2−ab2−3a2b=3a2b−3ab2.当a=−1,b=2时,原式=3×(−1)2×2−3×(−1)×22=6+12=18.【解析】先去括号,再合并同类项,最后代入求值.本题考查了有理数的混合运算和整式的加减,掌握合并同类项法则是解决本题的关键.20.【答案】解:(1)原式=−3x−5x+2y−7y=−8x−5y;(2)原式=5a−2a+4b=3a+4b;(3)原式=7x+2y+4+3x−15y+7=10x−13y+11;(4)原式=5x+5y−12x+8y−6x+9y=−13x+22y.【解析】本题主要考查了整式的加减,整式的加减的实质是去括号、合并同类项,步骤为去括号,合并同类项.(1)找出同类项合并即可;(2)先去括号,然后再合并同类项即可;(3)先去括号,然后再合并同类项即可;(4)先去括号,然后再合并同类项即可,注意括号前的数应乘以括号内的每一项.21.【答案】解:(1)∵A=m2−3mn+n2,B=−2m2+8mn−3n2∴B+2A=−2m2+8mn−3n2+2(m2−3mn+n2)=−2m2+8mn−3n2+2m2−6mn+2n2=2mn−n2,(2)∵A=m2−3mn+n2,B=−2m2+8mn−3n2∴4A−3B=4(m2−3mn+n2)−3(−2m2+8mn−3n2)=4m2−12mn+4n2+6m2−24mn+9n2=10m2−36mn+13n2.【解析】根据整式的运算法则即可求出答案.本题考查整式的运算,解题的关键是熟练运用整式的运算法则,本题属于基础题型.22.【答案】解:原式=(x2+2x)−(x2−4x)=x2+2x−x2+4x=6x;当x=1时,2原式=6×12=3.【解析】先去括号,合并同类项,再代入求值.本题考查了整式的加减−化简求值,掌握整式的加减法法则是解决本题的关键.23.【答案】解:(1)原式=4a+b−10a+2b=3b−6a;(2)原式=xy2+x2y.当x=1,y=2时,原式=1×4+1×2=6.【解析】(1)去括号后合并同类项;(2)先合并同类项,再代入求值.本题考查了整式的加减,掌握合并同类项法则和去括号法则是解决本题的关键.24.【答案】解:原式=2x2y−5xy2−2(x2y−3xy2+1)=2x2y−5xy2−2x2y+6xy2−2=xy2−2,当x=4,y=−1时,2原式=4×(−12)2−2=−1.【解析】本题主要考查了代数式的值和整式的加减运算的知识点,解题关键点是熟练运用整式的加减法则进行化简.先利用去括号,再合并同类项,最后把x、y的值代入进行计算即可25.【答案】解:(1)原式=(1−1)a2−(3+12)a+(8−13),=−15a−5;(2)原式=4a2+6b+15a2−12b,=19a2−6b.【解析】本题考查整式的加减,解决此类题目的关键是熟记去括号法则,熟练运用合并同类项的法则,这是各地中考的常考点.(1)先整理式子,直接合并整式中的同类项即可;(2)先按照去括号法则去掉整式中的小括号,再合并整式中的同类项即可.26.【答案】解:(1)−3x2+5x+0.5x2−x+1=(−3x2+0.5x2)+(5x−x)+1=−52x2+4x+1;(2)−2(2m2−mn+12)+3(m2+mn)=−4m2+2mn−1+3m2+3mn=−m2+5mn−1,∵m=−1,n=1,∴原式=−(−1)2+5×(−1)×1−1=−1−5−1=−7.【解析】(1)将原式合并同类项即可;(2)先将原式去括号,再合并同类项,然后将m=−1,n=1代入计算即可.本题考查了整式的加减,即整式的化简求值,熟练掌握整式的加减运算法则是解题的关键.27.【答案】解:(1)原式=3x 2y −2x 2z +(2xyz −x 2z +4x 2y)=3x 2y −2x 2z +2xyz −x 2z +4x 2y=7x 2y −3x 2z +2xyz .(2)原式=−6(a 2+1)+(2a 2+a)−2(a −5)=−6a 2−6+2a 2+a −2a +10=−4a 2−a +4.(3)原式=ab −4a 2b +[3a 2b −3(2ab −a 2b)+3ab]=ab −4a 2b +3a 2b −3(2ab −a 2b)+3ab=ab −4a 2b +3a 2b −6ab +3a 2b +3ab=2a 2b −2ab .【解析】略28.【答案】解:原式=12x −2x +23y 2−32x +13y 2=−3x +y 2,∵x =−2,y =12,∴原式=−3×(−2)+(12)2=254.【解析】本题考查了整式的加减−化简求值:先去括号,然后合并同类项,再把字母的值代入计算得到对应的整式的值计算即可.29.【答案】解:(1)(5x +4z +7y)+(5z −3y −6x)=5x +4z +7y +5z −3y −6x=−x +4y +9z ;(2)(2m 2n −mn 2)−2(mn 2+3m 2n)=2m 2n −mn 2−2mn 2−6m 2n=−4m2n−3mn2.【解析】(1)先去括号,合并同类项即可求解;(2)先去括号,然后合并同类项.考查了整式的加减,整式的加减的实质就是去括号、合并同类项.一般步骤是:先去括号,然后合并同类项.30.【答案】解:(1)原式=3x2−6x−3−12x+8+2x−2=3x2−16x+3,当x=−3时,原式=3×(−3)2−16×(−3)+3=27+48+3=78;(2)原式=2x−y+2y2−x2−x2−2y2=2x−y−2x2,当x=1,y=−2时,原式=2×1−(−2)−2×(1)2=2.【解析】(1)原式去括号合并得到最简结果,把x的值代入计算即可求出值;(2)原式去括号合并得到最简结果,把x与y的值代入计算即可求出值.此题考查了整式的加减−化简求值,熟练掌握运算法则是解本题的关键.31.【答案】解:原式=15x2y−3xy2−2xy2+7x2y=22x2y−5xy2;当x=12,y=−1时,原式=22×14×(−1)−5×12×1=8.【解析】先去括号,再合并同类项化为最简,再把a、b的值代入即可得出答案.本题主要考查了整式的加减−化简求值,熟练掌握整式的加减运算法则进行计算是解决本题的关键.32.【答案】解:原式=3a2b+3ab2−3a2b+1−ab2−1=2ab2,当a=1,b=−3时,原式=2×1×(−3)2=2×9=18.【解析】去括号、合并同类项即可化简原式,再将a、b的值代入计算即可.本题主要考查整数的化简求值,解题的关键是熟练掌握整式的混合运算顺序和运算法则.33.【答案】解:原式=5x 2−4x 2+2x −3−3x =x 2−x −3,当x =−2时,原式=4+2−3=3.【解析】原式去括号合并得到最简结果,把x 的值代入计算即可求出值.此题考查了整式的加减−化简求值,熟练掌握运算法则是解本题的关键.34.【答案】解:原式=3x 2y −(2x 2y −x 2y −3x)=3x 2y −(x 2y −3x)=3x 2y −x 2y +3x=2x 2y +3x当x =−12,y =2时,原式=2×14×2+3×(−12)=1−32=−12.【解析】根据整式的运算法则即可求出答案.本题考查整式的运算,解题的关键是熟练运用整式的运算法则,本题属于基础题型. 35.【答案】解:(1)原式=10x −35y −12x +30y =−2x −5y .(2)原式=3a 2b −(4ab 2−3ab 2+53a 2b +32ab 2)−a 2b=2a 2b −(53a 2b +52ab 2) =2a 2b −53a 2b −52ab 2 =13a 2b −52ab 2.【解析】略36.【答案】解:(1)2(x 2−2xy)−3(y 2−3xy)=2x 2−4xy −3y 2+9xy=2x2+5xy−3y2;(2)2a−[3b−5a−(3a−5b)]=2a−(3b−5a−3a+5b)=2a−3b+5a+3a−5b=10a−8b;(3)(−x2+2xy−y2)−2(xy−3x2)+3(2y2−xy)=−x2+2xy−y2−2xy+6x2+6y2−3xy=5x2−3xy+5y2.【解析】此题主要考查了整式的加减,关键是注意在去括号时符号的变化.(1)首先利用乘法分配律把括号外的系数乘进括号里,再去括号,合并同类项即可;(2)首先去小括号,再去中括号,注意符号的改变,然后再合并同类项即可;(3)首先利用乘法分配律把括号外的系数乘进括号里,再去括号,合并同类项即可.37.【答案】解:5(3a2b−ab2)−(ab2+3a2b)=15a2b−5ab2−ab2−3a2b=12a2b−6ab2当a=12,b=13时,原式=12×14×13−6×12×19=1−13=23.【解析】根据整式的加减混合运算法则把原式化简,代入计算即可.本题考查的是整式的加减混合运算,掌握整式的加减混合运算法则是解题的关键.38.【答案】解:(1)原式=2m2−4m+1−2m2−4m+1=−8m+2当m=−1时,原式=8+2=10;(2)原式=5xy2−2x2y+2x2y−3xy2=2xy2,∵(x−2)2+|y+1|=0∴x=2,y=−1,∴原式=4.【解析】(1)根据整式的加减法则进行化简再把数值代入化简后的整式中计算即可求解;(2)根据整式的加减法则进行化简再把数值代入化简后的整式中计算即可求解.本题考查了整式的加减、非负数的性质,求整式的值的问题,一般要先化简,再把给定字母的值代入计算,得出整式的值,不能把数值直接代入整式中计算.39.【答案】解:原式=15a2b−5ab2+4ab2−12a2b=3a2b−ab2,,b=−4时,原式=−3−8=−11.当a=12【解析】原式去括号合并得到最简结果,把a与b的值代入计算即可求出值.此题考查了整式的加减−化简求值,熟练掌握运算法则是解本题的关键.40.【答案】解:(x2+ax−2y+7)−(bx2−2x+9y−1)=x2+ax−2y+7−bx2+2x−9y+1=(1−b)x2+(a+2)x−11y+1.∵代数式的值与x无关.∴1−b=0a+2=0.∴a=−2b=1.∴a+b=−1.∴(a+b)2015=−1.【解析】先将(x2+ax−2y+7)−(bx2−2x+9y−1)进行化简,然后根据代数式的值与x无关,便可找到a与b的值,即可求解了.此题主要考查了多项式,正确把握多项式的系数定义是解题关键.41.【答案】解:(2m2n+2mn2)−2[(m2n−1)+4mn2+2]=2m2n+2mn2−2m2n+2−8mn2−4=−6mn2−2.∵m=−2,n=2,∴原式=−6×(−2)×22−2=12×4−2=46.【解析】先将原式去括号,再合并同类项,然后将m=−2,n=2代入计算即可.本题考查了整式的加减,即整式的化简求值,熟练掌握整式的加减运算法则是解题的关键.42.【答案】解:原式=3x−8x+2−3+2x=−3x−1,当x =−12时,原式=32−1=12.【解析】原式去括号合并得到最简结果,将x 的值代入计算即可求出值. 此题考查了整式的加减−化简求值,熟练掌握运算法则是解本题的关键. 43.【答案】解:原式=a 3−12a 2b −a 3+ab 2−12a 2b =−a 2b +ab 2, 当a =12,b =−2时,原式=212.【解析】原式去括号合并得到最简结果,把a 与b 的值代入计算即可求出值. 此题考查了整式的加减−化简求值,熟练掌握运算法则是解本题的关键. 44.【答案】解:原式=x −2x +2y 2−2x −4y 2=−3x −2y 2,当x =1,y =−2时,原式=−3×1−2×4=−11.【解析】根据整式的加减混合运算法则把原式化简,代入计算即可. 本题考查的是整式的加减,掌握整式的加减混合运算法则是解题的关键. 45.【答案】解:∵A =2x 2+3xy −1,B =−x 2+xy −1,∴2A −B =4x 2+6xy −2+x 2−xy +1=5x 2+5xy −1.【解析】把A 与B 代入原式计算即可得到结果.此题考查了整式的加减,熟练掌握运算法则是解本题的关键.46.【答案】解:原式=3x 2y −xy 2+6xy 2−3x 2y=5xy 2;当x =12,y =13时,原式=5×12×(13)2=518.【解析】先去括号合并同类项,再代入求值即可.本题考查了整式的加减,掌握合并同类项法则是解决本题的关键. 47.【答案】解:原式=2a 2b +2ab 2−2a 2b +2−ab 2−2=ab 2,第31页,共31页 当a =1,b =2时,原式=1×22=4.【解析】整式先去括号,再合并同类项,最后代入求值.本题考查了整式的加减及有理数的混合运算,掌握合并同类项法则和去括号法则是解决本题的关键.48.【答案】解:原式=4x −4−2x 2−2+2x 2−x=3x −6,当x =−2时,原式=3×(−2)−6=−6−6=−12.【解析】原式去括号合并得到最简结果,将x 的值代入计算即可求出值. 此题考查了整式的加减−化简求值,熟练掌握运算法则是解本题的关键. 49.【答案】解:原式=5a 2−3a +2a −3−4a 2=a 2−a −3,当a =−2时,原式=4+2−3=3.【解析】原式去括号合并得到最简结果,把a 的值代入计算即可求出值. 此题考查了整式的加减−化简求值,熟练掌握运算法则是解本题的关键. 50.【答案】解:原式=2xy −(52xy −8x 2y 2−2xy +8x 2y 2)=2xy −12xy =32xy 当x =−12,y =4时,原式=32×(−12)×4=−3.【解析】先将原式去括号合并同类项,再代入求值即可.本题考查了整式的加减和化简求值,熟练掌握运算法则是解本题的关键.。
初一整式的四则混合运算整式的加减乘除等等运算一、填空题:1.单项式2xy,6x2y2,-3xy,-4x2y2的和为__________.2.单项式-3x2依次减去单项式-4x2y,-5x2,2x2y的差为_________.3.3xm 2ny8与2x2y3m 4n是同类项,则m+n=_________.4.计算(3a2+2a+1)-(2a2+3a-5)的结果是_________.5.个位上数字是a,十位上数字是b,百位上的数字是c的三位数与把该三位数的个位数字、百位数字对调位置后所得的三位数的差为________.6.已知A=3x2y-4y3,B=-x2y2+2y3,则2A-3B=___________.7.(3 ) 2 3=_________。
8.多项式3an 3 9an 2 5an 1 2an 与an 10an 3 5an 1 7an 2 的差是______.9.-x2(-x)3(-x)2=__________.10.( a5)4 ( a2)3 .11.若16x2+1加上一个单项式后,是一个完全平方式,则加上的这个单项式可以是__________;12.4101×0.2599=__________.13.2xy 22 12xy= .214. 3a a 2b c = .15.(2m b)(b 2m) .16. 7ab 14abx 49aby 7ab(________)17. 9x 12xy =(3x+ )2218.①a2-4a+4,②a2+a+11,③4a2-a+,④4a2+4a+1,以上各式中属于完全平方式的有_44(填序号)19.代数式4x2+3mx+9是完全平方式,则m=___________20.若a 2 b 2b 1 0,则a b=.21若x y 48,x y 6,则x _________,.y ________22.已知:a __ 5,则a2 2 ________,a4 4 aaa23.若x+y=8,x2y2=4,则x2+y2=_________.24. 若am 2,an 3,则am n=__ 2 =25.整式的加减乘除等等运算26..a3a5x m a56,当x 5时,m=3nnn27.若x 2,y 3,则xy =二、选择题:1.长方形的一边等2a+3b,另一边比它大a-b,则此长方形的周长等为( )A.3a+2b;B.6a+4b;C. 4a+6b;D.10a+10b2. 多项式x4-3x3+9x+2与多项式3x3-x4+8-4x的和一定是( )A.偶数;B.奇数;C.2与5的倍数;D.以上答案都不对3.下列运算中,结果正确的是( )A.4+5ab=9ab;B.6xy-x=6y;C.6a3+4a3=10a6;D.8a2b-8ba2=04..设x表示两位数,y表示四位数,如把x放在y的左边组成一个六位数,用代数式表示为( )A.xy;B.__+y;C.x+y;D.1000x+y5.对于有理数a,b,定义a⊙b=3a+2b,则[(x+y) ⊙(x-y)]⊙3x化简后得( )A.0;B.5x;C.21x+3y;D.9x+6y6.. 若a 0,a 0,则b a a b 5的值是( ) bA.4;B.-4;C.-2a+2b+6;D.不能确定7..若M,N都是4次多项式, 则多项式M+N的次数为( )A.一定是4B.不超过4.C.不低于4.D.一定是8.8..如果代数式2a2+3a+1的值是6,则代数式6a2+9a+5的值为( )A.18B.16.C.15.D.209.一根铁丝正好可以围成一个长是2a+3b,宽是a+b的长方形框,把它剪去可围成一个长是a,宽是b的长方形(均不计接缝)的一段铁丝,剩下部分铁丝的长是( )A.a+2b;B.b+2a;C.4a+6b;D.6a+4b10.下列计算正确的是()A.2a5 a5 3a10 B.a2 a3 a6 C.(a2)3 a5 D.a10 a2 a811.下列运算正确的是()A2xy 3xy 5xyB x x xC.__ a32 a2 3 1D. 2x x 3x 32512.下列多项式乘法中,利用乘法公式正确的是()A.222 B.(2x 3y)2x 12xy 3y D.(x 2y) x 2xy 4y 222整式的加减乘除等等运算三、解答题3 1.计算:(1)(-3xy2)(__y);(2)4a2x2 (-a4x3y3)(-a5xy2);652(3)x2 (x 2)(x 2) (x 1)2;(4)5y2 (y 2)(3y 1) 2(y 1)(y 5).18. 化简求值( 3ax ax 3) ( ax19. 已知m,x,y,满足:①__ax 1),其中a=-2,x=3.(6分) 22(x 5)2 5m 0,② 2a2by 1与3a2b3是同类项,求代数式372 __ 0.375x2y 5m2x xy xy (x y3.475xy ) 16 4 16分) 26.275xy 的值. (620. 大客车上原有(3a-b)人,中途下车一半人,又上车若干人,这时车上共有乘客(8a-5b)人,问上车乘客是多少人?当a=10, b=8时,上车乘客是多少人? (7分)4.已知x2+x-1=0,求x3+2x2+3的值.5.已知a b 2,ab 2,求131ab a2b2 ab3的值.22整式的加减乘除等等运算6.已知a b 2a 4b 5 0,7.若(x2+px+q)(x2-2x-3)展开后不含求2a 4b 3的值.x2,x3项,求p、q的值8.已知a、b、c是△ABC的三边的长,且满足a2 2b2 c2 2b(a c) 0,试判断此三角形的形状.。
整式的混合运算在数学中,整式(或称多项式)是由数字、变量和运算符号(如加号、减号和乘号)组成的代数表达式。
整式的混合运算指的是对整式进行不同类型的运算,包括加法、减法、乘法和化简等操作。
本文将介绍整式的混合运算及其相关概念。
一、加法运算整式的加法运算是指将两个或多个整式相加得到一个新的整式。
在进行加法运算时,需要注意整式中各项的次数和系数。
具体的步骤如下:1. 检查整式中各项的次数是否相同,如果不同,则需要先进行合并同类项。
合并同类项是将具有相同变量的幂次的项合并,并将系数相加。
例如,对于表达式2x^2 + 3x + 5x^2 - 2x + 4,合并同类项后得到7x^2 + x + 4。
2. 合并同类项后,可直接将系数相加得到最终的整式。
继续以上例,最终结果为7x^2 + x + 4。
二、减法运算整式的减法运算类似于加法运算,只是在合并同类项时需要注意减去被减数的系数。
具体的步骤如下:1. 将减数的符号取反,即将减数中各项的系数变为相反数。
2. 将得到的相反数减数和被减数进行加法运算,得出最终的整式。
例如,对于表达式3x^2 + 4x + 2 - (2x^2 + 3x + 1),将减数中各项的系数取反得到-2x^2 - 3x - 1,然后将两个整式进行加法运算,得出最终结果为x^2 + x + 1。
三、乘法运算整式的乘法运算是指将两个或多个整式相乘得到一个新的整式。
在进行乘法运算时,需要将每个整式中的每一项与另一个整式中的每一项进行乘法,然后将结果合并同类项并进行化简。
具体的步骤如下:1. 将第一个整式中的每一项与第二个整式中的每一项进行乘法。
例如,对于表达式(2x + 3)(x - 1),将2x与x进行乘法得到2x^2,2x与-1进行乘法得到-2x,3与x进行乘法得到3x,3与-1进行乘法得到-3。
2. 将得到的结果进行合并同类项。
例如,合并同类项后得到2x^2 - 2x + 3x - 3。
3. 化简合并同类项后得到的整式。
七年级整式混合运算知识点整式混合运算是数学中一个非常基础且重要的知识点,也是中学数学中的重点。
本文将会从整式的定义、整式混合运算的概念与步骤、整式混合运算中经常出现的错误等几个方面来详细讲解七年级整式混合运算的知识点。
一、整式的定义首先,我们需要了解什么是整式。
整式是由代数和常数的有限个多项式和它们的积(常数算作一次项的系数为0的一次多项式)所组成的代数式。
其中,代数式通常用字母表示,而多项式则是由若干个单项式相加或相减组成的。
比如a+b、x^2+3x、y^3-2y+4等都属于整式的范畴。
二、整式混合运算的概念与步骤整式混合运算指的是在一个算式中,同时含有两种或以上的代数式计算的过程。
下面是整式混合运算的步骤:1.先计算乘方,即把带有乘方的单项式化简成非乘方单项式。
2.再进行乘法,即按照先进性原则,先算带括号的乘法,再算去括号后的乘法。
3.接着进行加减法,按照同类项合并的原则,把同类项相加或相减,并去掉无用的括号。
4.最后,再进行化简,即把能化到最简式的式子化到最简式。
三、整式混合运算中经常出现的错误在整式混合运算中,经常出现一些错误,下面列举几个常见的错误:1.混淆了加减法和乘法:在进行加减运算时,有些学生会错误的把加号看成乘号,把减号看成除号。
这种错误应该引起重视,需要进行反复练习和纠正。
2.混淆了同类项的概念:同类项是指各项相同的代数式,而不是相似或相近的代数式。
比如3x和5x是同类项,但3x和5y就不是同类项。
3.处理乘方时出现错误:处理乘方时最容易出现的错误是计算错误。
此外,还有一种错误是将单项式错认为了多项式。
对于这种错误,需要对公式进行详细的分解和化简。
四、结语整式混合运算是中学数学中的一项重要知识点,学生们需要深入了解其定义、概念与步骤以及经常出现的错误,并进行反复练习和巩固。
只有真正掌握了整式混合运算,才能更好的应用于解决实际问题。
初中数学整式的混合运算—化简求值(含答案)1.求值:x2(x﹣1)﹣x(x2+x﹣1),其中x=.考点:整式的混合运算—化简求值。
分析:先去括号,然后合并同类项,在将x的值代入即可得出答案.解答:解:原式=x3﹣x2﹣x3﹣x2+x=﹣2x2+x,将x=代入得:原式=0.故答案为:0.点评:本题考查了整式的混合运算化简求值,是比较热点的一类题目,但难度不大,要注意细心运算.2.先化简,再求值:(1)a(a﹣1)﹣(a﹣1)(a+1),其中.(2)[(2a+b)2+(2a+b)(b﹣2a)﹣6ab]÷2b,且|a+1|+=0.考点:整式的混合运算—化简求值;非负数的性质:偶次方;非负数的性质:算术平方根。
专题:计算题。
分析:(1)先将代数式化简,然后将a的值代入计算;(2)先将代数式化简,然后将a、b的值代入计算.解答:解:(1)a(a﹣1)﹣(a﹣1)(a+1)=a2﹣a﹣a2+1=1﹣a将代入上式中计算得,原式=a+1=+1+1=+2(2)[(2a+b)2+(2a+b)(b﹣2a)﹣6ab]÷2b=(4a2+4ab+b2﹣4a2+2ab﹣2ab+b2﹣6ab)÷2b=(2b2﹣2ab)÷2b=2b(b﹣a)÷2b=b﹣a由|a+1|+=0可得,a+1=0,b﹣3=0,解得,a=﹣1,b=3,将他们代入(b﹣a)中计算得,b﹣a=3﹣(﹣1)=4点评:这两题主要题考查的是整式的混合运算,主要考查了公式法、单项式与多项式相乘以及合并同类项的知识点.3.化简求值:(a+1)2+a(a﹣2),其中.考点:整式的混合运算—化简求值。
专题:计算题。
分析:先按照完全平方公式、单项式乘以多项式的法则展开,再合并,最后把a的值代入计算即可.解答:解:原式=a2+2a+1+a2﹣2a=2a2+1,当a=时,原式=2×()2+1=6+1=7.点评:本题考查了整式的化简求值,解题的关键是公式的使用、合并同类项.4.,其中x+y=3.考点:整式的混合运算—化简求值。
七年级数学上册综合算式专项练习题整式的加减乘除混合运算整式的加减乘除混合运算是初中数学中的基础知识之一,通过对整式的运算,可以提高学生的代数化思维能力和运算技巧。
本篇文章将围绕七年级数学上册的综合算式专项练习题展开,介绍整式的加减乘除混合运算的具体步骤和技巧。
一、整式的加法运算整式的加法运算就是将同类项按照系数的大小进行合并。
例如:(3a + 2b + 4c) + (2a + 3b - c) = 3a + 2a + 2b + 3b + 4c - c = 5a + 5b + 3c二、整式的减法运算整式的减法运算可以转化为加法运算进行计算,即将被减的整式中的各项系数取相反数,然后按照加法运算的规则进行合并。
例如:(4a + 3b - 2c) - (2a - b + c) = 4a + 3b - 2c - 2a + b - c = 2a + 4b - 3c三、整式的乘法运算整式的乘法运算就是将两个整式的每一项按照乘法的规则进行计算,并将结果合并。
例如:(3a + 4b)(2a - 5b) = 3a * 2a + 3a * (-5b) + 4b * 2a + 4b * (-5b) = 6a^2 - 15ab + 8ab - 20b^2 = 6a^2 - 7ab - 20b^2四、整式的除法运算整式的除法运算可以通过因式分解的方法进行计算。
例如:(6a^2 - 7ab - 20b^2) ÷ (2a - 5b) = (3a + 4b)(2a - 5b) ÷ (2a - 5b) = 3a + 4b综合运算示例:根据上述的加减乘除运算法则,我们来解决一道综合运算题:(3x^2 + 2xy) - (2x^2 - 5xy) * (x + y) ÷ (x - y)首先,我们进行乘法运算:(2x^2 - 5xy) * (x + y) = 2x^3 + 2x^2y - 5x^2y - 5xy^2接下来,进行减法运算:(3x^2 + 2xy) - (2x^2 - 5xy) * (x + y) = 3x^2 + 2xy - (2x^3 + 2x^2y - 5x^2y - 5xy^2)再进行加法运算:3x^2 + 2xy - (2x^3 + 2x^2y - 5x^2y - 5xy^2) = 3x^2 + 2xy - 2x^3 -2x^2y + 5x^2y + 5xy^2继续合并同类项:3x^2 - 2x^3 + 3xy + 5xy^2最后,进行除法运算:(3x^2 - 2x^3 + 3xy + 5xy^2) ÷ (x - y) = (3x^2 - 2x^3 + 3xy + 5xy^2) ÷(x - y)通过上述步骤,我们完成了整式的加减乘除混合运算。
北师大版七年级下册综合复习利用图形结合思维解决整式运算一、整式混合运算与数学思维的碰撞1、整式混合运算主要是加、减、乘、除、乘方这5种运算,应运用运算顺序与数学思维相结合的计算方式来简化,从而为后面函数学习打下坚固基础。
2、整式乘法相关的几个重要公式⑴、单项式与多项式相乘:m(a+b+c)=ma+mb+mc⑵、多项式与多项式相乘:(m+a)(n+b)=mn+mb+an+ab注意:多项式与多项式相乘,均可以转化为单项式与多项式相乘。
如:(m+n+p)(a+b+c)=m(a+b+c)+n(a+b+c)+p(a+b+c)⑶、平方差公式:(a+b)(a-b)=a2-b2⑷、完全平方公式:(a±b)2=a2±2ab+b23、整式四则运算与数学思维碰撞出的最亲密思维---整体思维例题1:若a+b=23,ab=1,求(a-2)(b-2)的值【解析】:(a-2)(b-2)=ab-2a-2b+4=ab-2(a+b)+4=1-2×23+4=2整体思维的运用:将代数式a+b、ab的值作为一个整体带入求值,而不必将这2个已知条件中等式联合成方程组分别求出a、b的值再带入,可见数学思维的运用是要简化并降低计算的难度。
例题2:将4个数a,b,c,d排成2行、2列,两边各加一条竖直线记成a bc d,定义a bc d=ad﹣bc,请你将3113x xx x+-++化为代数式,再化简为__________.【解析】:∵a bc d=ad﹣bc,∴3113x xx x+-++=(x+3)(x+3)﹣(x﹣1)(x+1)=x2+6x+9﹣x2+1=6x+10.整体思维的运用:这里是将代数式x+3、x﹣1、x+1分别与已知条件中的a、b、c、d对应成一个整体,再运用已知条件,来进行解答题目。
整体思维的总结:整体思维作为整式混合运算中一个非常重要,并且是每个人都必须掌握的一个思维,可见整式运算与整体思维已经融为一体了,你只有了解它、分析它、熟悉它、并把它作为你的一种武器,才能在整式混合运算这个大机器里拥有属于你的一小片领地,只有这样你才能为后面学习代数打下坚固的基础,并且不断完善以及开阔自己的知识面。
整式混合运算模块一 单项式2a 23ab - 45xy 2x2πy -2 x例1(1)在下列代数式中,单项式有( C )3ab ,-23abc ,0,-5,x -y ,2xA . 2个B . 3个C . 4个D . 5个练1(1)(2017-2018武珞路七上期中)多项式235x y 中,次数是____3_______;系数是____35_______.(2)下列选项中,错误的是( C ) A . 数字0是单项式B. 单项式x 的系数和次数都是1C. -32x 2y 2是六次单项式D. -27π3x y 的系数是-7π3,次数是3例2(1)若22112n a b -是五次单项式,则n 的值为_____2_______.(2)已知-kx n y 是关于x 、y 的一个单项式,且系数是5,次数是7,那么k +n =______1_____. (3)请写出只含有字母m 、n 的单项式,使它的系数为2,次数为3. 2m 2n练2 -12m axy 是关于x 、y 的一个单项式,且系数为-4,次数是4,那么a =__8_____,m =___3____.模块二 多项式例3(1)代数式-4x 2+2,-13mn ,23a b +,3214,πa 中,多项式的个数是( B )A. 1 B . 2 C. 3 D . 4(2)关于多项式5223311111510326mn m m n m n -+-+,回答下列问题:①这是关于m 、n 的__六____次___五___项式; ②次数最低的项是_____110-_______; ③系数最小的项的次数是____4_______; ④次数最高的项的系数是_____6_______; ⑤按m 的降幂排列应写为___5332211111362510m m n m n mn +-+-_______练3(1)(2017-2018二中七上期中)已知多项式23221322m n mn -+-,它是___五_____次三项式,最高次项的系数是_____-32_______,常数项为_____-12________ (2)若关于x 的多项式14(2)3a x b x ++--为二次二项式,则a 的值为___1____,b 的值为__2_____(1)我们知道3+2=5,那么3a +2a =__5a ______所以8k -3k +2k =__7k ______ 3xy +2xy =__5xy ______8mn -3nm +2mn =__7mn ____ 7a 2b -2ba 2+3a 2b =__8a 2b ______(2)那么a +b =__a +b ________ 7a 2b -2b 2a +3ab 2=__7a 2b +ab 2______ 所以3x +2y -x =__2x +2y ____ 3mn +8m -nm -2n =__2mn +8m -2n ____同类项:字母部分完全相同的单项式叫做同类项,几个常数也是同类项模块三 合并同类项例4(1)①-2016与2017是同类项;②2ab 与-3abc 是同类项;③3x 5与-πx 5是同类项;④-5b 与32b 是同类项;⑤x +y 与2(x +y )是同类项;⑥2m 3n 2与-5n 2m 3是同类项,上述说法正确的有( D ) A. 1个 B. 2个 C. 3个 D. 4个 (2)下列运算中,正确的是( D )A. 3a +2b =5abB. 2a 3+3a 2=5a 5C. 5a 2-4a 2=1D. 5a 2b -5ba 2=0 (3)若524m a b -和-129n ab +是同类项,则m n =____-125______ (4)单项式3m a n 3与-2b n m -的和仍是单项式,则a -b =___5______ (5)若M 和N 都是关于x 的二次三项式,M +N 一定是( D ) A . 二次三项式 B . 一次多项式C . 三项式D . 次数不高于2的整式 练4 (1)(2017-2018江岸区七上期中)下列各组中的两项,不是同类项的是( B ) A .2x 2y 与-2x 2y B.x 3与3x C.-3ab 2c 3与c 3b 2a D.1与-8(2)若-3414b x y -+2x 32a y -=-x 3y 4,则a +b =____-1_______模块四 去括号和添括号例5 (1)(2017-2018外校七上期中)下列各式中,去括号正确的是( C ) A. 22(2)2x y x z x y x z --+=--+ B. 3[6(41)]3641a a a a a a ---=--+ C. 2(642)2642a x y a x y +-+-=-+- D. ()222(1)21x y z x y z --+-=----(2)多项式a 2-b 4+2a 2b 2-a 4=a 2-(b 4 -2a 2b 2+a 4 )(3)(2017-2018硚口区七上期中)化简:①1(21)3(1)a a ---+; ②()()22225323a b ab ab a b --+ 解:原式=-5a -1 解:原式=9a 2b -7ab 2(4)()222232214x x x x ⎡⎤---+--⎣⎦解:原式=-2x 2+2x +4(5)(){}2222x x y xy xy x x y ⎡⎤--+-+---⎣⎦解:原式=2x 2+2x 2y +2xy练5 (1)(2017-2018洪山区七上期中)下列去括号或添括号: ①223(21)361x x y x x x y x ---=-++②222253(21)5321xy x y xy xy x y xy ⎡⎤---=---⎣⎦③2221(2)(1)x y a x a y ---+=----+ ④22222222352235(22)ab ab a b a b ab ab a b a b ⎡⎤-+-+=----⎣⎦其中正确的有( A )个A . 1B . 2C . 3D . 4(2)(2017-2018二中七上期中)下列式子去括号正确的是( D )A .-(2a +3b -5c )=-2a -3b -5cB .5a +2(3b —3)=5a +6b -3C .3a -(b -5)=3a -b -5D .-3(3x -y +1)=-9x +3y -3模块五 整式的化简求值例6(1)化简:①4a 2-3b 2-3a 2+3b 2②2x 2+(3x -1)-4(x -x 2+1)解:原式=a 2解:原式=6x 2-x -5(2)一个多项式减去-5x 等于3x 2-5x +9,这个多项式是( D ) A. 8x 2-5x +9 B. 3x 2+9C. 3x 2+10x +9 D . 3x 2-10x +9 练6(2017-2018洪山区七上期中)已知:A =22321x xy x +--,B =21x xy --,求4A -(2B +3A ). 解:原式=A -2B =5xy -2x +1 例7(1)(2017-2018硚口区七上期中)先化简,再求值:2x -2(x -31y 2)+4(-23x +31y 2),其中x =-3,y =32.解:原式=2y 2-6x =8189(2)先化简,再求值:222252323222ab ab ab a b ab a b ⎡⎤⎛⎫-----+- ⎪⎢⎥⎝⎭⎣⎦,其中a =-4,b =-1.解:原式=4ab +7ab 2-3a 2b =36(3)(2017-2018汉阳区七上期中)先化简,再求值:3a 2﹣3ab +2b 2﹣2(a 2﹣ab +2b 2),其中,a 2+ab =3,b 2+ab =2.解:原式=-1(4)(2017-2018二中七上期中)先化简,再求值: ①化简:22222(3)3(12)3a b ab ab a b --+--;②当关于x 、y 的多项式ax 2+2xy -x 与3x 2-2bxy +3y 的差不含二次项时,求上式的值. 解:①原式=12a 2b -5ab 2-6②原式=-129时光倒流——旧识回顾用基本的运算符号(加减乘除乘方等)把数或字母连接的式子叫代数式课堂总结整式的计算:1.合并同类项 2.去括号。
北京版数学七年级下册《整式的乘法混合运算》教学设计一. 教材分析《整式的乘法混合运算》是北京版数学七年级下册的一个重要内容。
本节内容主要引导学生掌握整式乘法的基本运算法则,培养学生的运算能力。
教材通过具体的例子,让学生理解并掌握整式乘法混合运算的方法,为后续的数学学习打下基础。
二. 学情分析学生在学习本节内容前,已经掌握了整式的基本概念和加减运算。
但学生在进行整式乘法混合运算时,容易混淆运算规则,对乘法分配律的理解不够深入。
因此,在教学过程中,需要帮助学生巩固已有的知识,提高他们的运算能力。
三. 教学目标1.让学生掌握整式乘法的基本运算法则。
2.培养学生进行整式乘法混合运算的能力。
3.帮助学生理解并运用乘法分配律进行简便运算。
四. 教学重难点1.重点:整式乘法的基本运算法则。
2.难点:乘法分配律的理解和运用。
五. 教学方法采用问题驱动法、案例教学法和小组合作法。
通过设置问题,引导学生思考;通过具体案例,让学生理解并掌握运算规则;通过小组合作,培养学生的团队协作能力。
六. 教学准备1.PPT课件:内容包括整式乘法的基本运算法则、乘法分配律的讲解和例题展示。
2.练习题:分为基础题、提高题和挑战题,用于巩固所学知识。
3.教学视频:讲解整式乘法混合运算的例子。
七. 教学过程1.导入(5分钟)通过一个简单的例子,引导学生思考整式乘法的基本运算法则。
例如,展示表达式(a+b)×c,让学生思考如何计算。
2.呈现(10分钟)讲解整式乘法的基本运算法则,并通过PPT展示相关的例子。
让学生跟随老师的讲解,一起动手计算,加深对运算法则的理解。
3.操练(10分钟)让学生独立完成一组练习题,检验他们对整式乘法基本运算法则的掌握程度。
教师巡回指导,解答学生的疑问。
4.巩固(10分钟)通过小组合作,让学生互相讨论并完成一组提高题。
鼓励学生运用乘法分配律进行简便运算。
5.拓展(10分钟)观看教学视频,让学生了解整式乘法混合运算在实际问题中的应用。
整式的乘法混合运算-北京版七年级数学下册教案一、教学目标1.学生初步掌握整式乘法混合运算的方法;2.能够应用整式的乘法混合运算解决数学问题;3.能够理解整式乘法混合运算中的数学概念和应用;4.能够掌握整式乘法混合运算的思想和方法,并应用于实际生活中。
二、教学重难点1.整式的乘法混合运算方法;2.如何应用整式的乘法混合运算解决数学问题。
三、教学过程3.1 教学准备1.教师准备教案和黑板书写工具;2.学生准备笔和纸。
3.2 教学步骤步骤1:整式的乘法复习1.请学生回顾前几节课所学的整式的乘法方法;2.通过练习题来检验学生的掌握情况。
步骤2:整式的乘法混合运算1.整式的乘法混合运算的意义:将多个整式进行乘法运算,同时也进行加法运算;2.教师通过例子让学生明确整式的乘法混合运算的思想和方法;3.给学生讲解一些常见乘法混合运算的方法,并通过练习题让学生练习,以加深理解。
步骤3:整式的乘法混合运算的应用1.整式的乘法混合运算在生活中的应用;2.通过教材中的例子或实际生活中的例子,来让学生了解整式乘法混合运算在生活中的重要性和实用性。
3.3 教学总结1.整理学生学习笔记,加深对知识点的理解;2.通过讲解重点、难点,让学生掌握整式的乘法混合运算方法;3.通过练习题巩固知识点。
四、教学反思整式的乘法混合运算对初中数学学生来说是很重要的知识点,既是后续学习的基础,也是实际生活中需要应用的知识。
因此,本次教学主要通过简单易懂的例子和练习题,让学生了解整式的乘法混合运算的方法和应用,同时通过反复练习提高学生的习题水平。
在教学中,针对学生的阅读能力、数学基础和学习习惯等方面进行了不同的帮助和引导,达到了预期的教学目标。
七年级(上)整式的加减 测试题
一、选择题(每小题3分,共15分):
1.原产量n 吨,增产30%之后的产量应为( )
(A )(1-30%)n 吨. (B )(1+30%)n 吨.
(C )n+30%吨. (D )30%n 吨.
2.下列说法正确的是( )
(A )31∏2x 的系数为31. (B )221xy 的系数为x 2
1. (C )25x -的系数为5. (D )23x 的系数为3.
3.下列计算正确的是( )
(A )4x-9x+6x=-x. (B )02
121=-a a . (C )x x x =-23. (D )xy xy xy 32=-.
4.买一个足球需要m 元,买一个篮球需要n 元,则买4个足球、7个篮球共需要
( )元.
(A )4m+7n. (B )28mn. (C )7m+4n. (D )11mn.
5.计算:3562+-a a 与1252-+a a 的差,结果正确的是( )
(A )432+-a a (B )232+-a a (C )272+-a a (D )472+-a a .
二、填空题(每小题4分,共24分):
6.列示表示:p 的3倍的4
1是 . 7.34.0xy 的次数为 .
8.多项式154
122--+ab ab b 的次数为 . 9.写出235y x -的一个同类项 .
10.三个连续奇数,中间一个是n ,则这三个数的和为 .
11.观察下列算式:
;1010122=+=- 3121222=+=-; 5232322=+=-; 7343422=+=-; 9454522=+=-; ……
若字母n 表示自然数,请把你观察到的规律用含n 的式子表示出来: .
三、计算题(每小题5分,共30分):
12.计算(每小题5分,共15分)
(1)632
1+-st st ; (2)67482323---++-a a a a a a ;
(3)355
264733---+++xy xy x xy xy ; 13. 计算(每小题6分,共12分)
(1)2(2a-3b )+3(2b-3a );
(2))]2([2)32(3)(222222y xy x x xy x xy x +------.
14.先化间,再求值(每小题8分,共16分)
(1))23(3
1423223x x x x x x -+--+,其中x=-3; (2))43()3(52
12222c a ac b a c a ac b a -+---,其中a=-1,b=2,c=-2. 15.(9分)如图,在一长方形休闲广场的四角都设计一块半径相同
的四分之一圆形的花坛,若圆形的半径a 米,宽为b 米.(1)请列式表示广场
(2)若休闲广场的长为500米,宽为200米,圆形花坛 的半径为20米,求广场空地的面积(计算结果保留∏)。
16.(9分)小明在实践课中做了一个长方形模型,模型一边长为3a+2b ,另一边比它小a-b ,则长方形模型周长为多少? 五附加题(每小题5分,共10分):
17.张华在一次测验中计算一个多项式加上5xy-3yz+2xz 时,误认为减去此式,计算出错误结果为2xy-6yz+xz ,试求出正确答案.
18.每家乐超市出售一种商品,其原价a 元,现有三种调价方案:(1)先提价20%,再降价20%;(2)先降价20%,再提价20%;(3)先提价15%,再降价15%.问用这三种方案调价结果是否一样?最后是不是都恢复了原价?
测试题答案
1.B
2.D
3.B
4.A
5.D
6.p 4
3. 7.4 8.3. 9.22y x (答案不唯一). 10.3n
11.12)1(22-=--n n n .
12.(1) 625+-st ; (2)633-+a a ; (3)1625
33+++x xy xy . 13.(1)-5a ; (2)23252y xy x ++-.
14.(1)原式=
x x x 3310423+-,-147; (2)原式=ac c a b a 272
322--,13。
15.(1))(2r ab ∏-平方米; (2) (100 000-400∏)平方
米.
16.10a+10b. 17.12xy-12yz+5xz. 18.(1)(1+20%)(1-20%)a=0.96a;
(2)(1-20%)(1+20%)a=0.96a;
(3)(1+15%)(1-15%)a=0.9775a.
前两种方案调价结果一样.
这三种方案最后的价格与原价不一致.。