2019年河北衡水中学全国高三统一联合考试 理科数学答案
- 格式:pdf
- 大小:2.47 MB
- 文档页数:4
姓名______________________ 准考证号_______________________绝密★启用前2019年全国高三统一联合考试英语本试卷满分150分。
考试用时120分钟。
注意事项:1.答题前,考生务必将自己的姓名、准考证号填写在答题卡上相应的位置。
2. 全部答案在答题卡上完成,答在本试题上无效。
3. 回答选择题时,选出每小题客案后,用2B铅笔把答题卡上对应题目的答案标号涂黑。
如需改动,用橡皮擦干净后,在选涂其他答案标。
回答非选择题时,将答案用0.5mm黑色笔迹签字笔写在答题卡上。
4. 考试结束后,将本试卷和答题卡一并交回。
第一部分听力(共两节,满分30分)做题时,先将答案标在试卷上,录音内容结束后,你将有两分钟时间将试卷上的答案转涂到答题卡上。
第一节(共5小题;每小题1.5分,满分7.5分)听下面5段对话,每段对话后有一个小题,从题中所给的A、B、C三个选项中选出最佳选项。
听完每段对话后,你都有10秒钟的时间来回答有关小题和阅读下一小题,每段对话仅读一遍。
例: How much is the shirt?A. £19.15.B. £ 9.18C. £ 9.15 答案是C.1. What is the woman looking for?A. Her purse.B. Her train ticket.C. Her glasses.2. How did the women go to school today?A. By bus.B. By bike.C. On foot.3. When will the speakers probably meet?A. At 9:30.B. At 9:45.C. At 10:00.4. What does the woman think of the talent show?A. Interesting.B. Exciting.C. Boring.5. What's the probable relationship between the speakers?A. Classmates.B. Neighbors.C. Teacher and student第二节 (共15小题;每小题1.5分,满分22.5分)听下面5段对话或独白。
绝密★启用前2019年高考普通高等学校招生全国统一考试(全国1卷)理科数学注意事项:1.答卷前,考生务必将自己的姓名、准考证号填写在答题卡上。
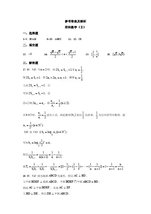
2.回答选择题时,选出每小题答案后,用铅笔把答题卡上对应题目的答案标号涂黑。
如需改动,用橡皮擦干净后,再选涂其它答案标号。
回答非选择题时,将答案写在答题卡上。
写在本试卷上无效。
3.考试结束后,将本试卷和答题卡一并交回。
一、选择题:本题共12小题,每小题5分,共60分。
在每小题给出的四个选项中,只有一项是符合题目要求的。
1.(5分)已知集合M={x|﹣4<x<2},N={x|x2﹣x﹣6<0},则M∩N=()A.{x|﹣4<x<3}B.{x|﹣4<x<﹣2}C.{x|﹣2<x<2}D.{x|2<x<3} 2.(5分)设复数z满足|z﹣i|=1,z在复平面内对应的点为(x,y),则()A.(x+1)2+y2=1B.(x﹣1)2+y2=1C.x2+(y﹣1)2=1D.x2+(y+1)2=13.(5分)已知a=log20.2,b=20.2,c=0.20.3,则()A.a<b<c B.a<c<b C.c<a<b D.b<c<a4.(5分)古希腊时期,人们认为最美人体的头顶至肚脐的长度与肚脐至足底的长度之比是(≈0.618,称为黄金分割比例),著名的“断臂维纳斯”便是如此.此外,最美人体的头顶至咽喉的长度与咽喉至肚脐的长度之比也是.若某人满足上述两个黄金分割比例,且腿长为105cm,头顶至脖子下端的长度为26cm,则其身高可能是()A.165cm B.175cm C.185cm D.190cm5.(5分)函数f(x)=在[﹣π,π]的图象大致为()A.B.C.D.6.(5分)我国古代典籍《周易》用“卦”描述万物的变化.每一“重卦”由从下到上排列的6个爻组成,爻分为阳爻“”和阴爻“”,如图就是一重卦.在所有重卦中随机取一重卦,则该重卦恰有3个阳爻的概率是()A.B.C.D.7.(5分)已知非零向量,满足||=2||,且(﹣)⊥,则与的夹角为()A.B.C.D.8.(5分)如图是求的程序框图,图中空白框中应填入()A.A=B.A=2+C.A=D.A=1+9.(5分)记S n为等差数列{a n}的前n项和.已知S4=0,a5=5,则()A.a n=2n﹣5B.a n=3n﹣10C.S n=2n2﹣8n D.S n=n2﹣2n 10.(5分)已知椭圆C的焦点为F1(﹣1,0),F2(1,0),过F2的直线与C交于A,B两点.若|AF2|=2|F2B|,|AB|=|BF1|,则C的方程为()A.+y2=1B.+=1C.+=1D.+=111.(5分)关于函数f(x)=sin|x|+|sin x|有下述四个结论:①f(x)是偶函数②f(x)在区间(,π)单调递增③f(x)在[﹣π,π]有4个零点④f(x)的最大值为2其中所有正确结论的编号是()A.①②④B.②④C.①④D.①③12.(5分)已知三棱锥P﹣ABC的四个顶点在球O的球面上,P A=PB=PC,△ABC是边长为2的正三角形,E,F分别是P A,AB的中点,∠CEF=90°,则球O的体积为()A.8πB.4πC.2πD.π二、填空题:本题共4小题,每小题5分,共20分。
2019年全国统一高考数学试卷(理科)(新课标Ⅰ)含详细答案一、选择题(本大题共12小题,共60.0分)1.已知集合M={x|−4<x<2},N={x|x2−x−6<0},则M∩N=()A. {x|−4<x<3}B. {x|−4<x<−2}C. {x|−2<x<2}D. {x|2<x<3}2.设复数z满足|z−i|=1,z在复平面内对应的点为(x,y),则()A. (x+1)2+y2=1B. (x−1)2+y2=1C. x2+(y−1)2=1D. x2+(y+1)2=13.已知a=log20.2,b=20.2,c=0.20.3,则()A. a<b<cB. a<c<bC. c<a<bD. b<c<a4.古希腊时期,人们认为最美人体的头顶至肚脐的长度与肚脐至足底的长度之比是√5−12(√5−12≈0.618,称为黄金分割比例),著名的“断臂维纳斯”便是如此.此外,最美人体的头顶至咽喉的长度与咽喉至肚脐的长度之比也是√5−12.若某人满足上述两个黄金分割比例,且腿长为105cm,头顶至脖子下端的长度为26cm,则其身高可能是()A. 165cmB. 175cmC. 185cmD. 190cm5.函数f(x)=sinx+xcosx+x2在[−π,π]的图象大致为()A. B.C. D.6.我国古代典籍《周易》用“卦”描述万物的变化.每一“重卦”由从下到上排列的6个爻组成,爻分为阳爻“”和阴爻“”,下图就是一重卦.在所有重卦中随机取一重卦,则该重卦恰有3个阳爻的概率是()A. 516B. 1132C. 2132D.11167.已知非零向量a⃗,b⃗ 满足|a⃗|=2|b⃗ |,且(a⃗−b⃗ )⊥b⃗ ,则a⃗与b⃗ 的夹角为()A. π6B. π3C. 2π3D. 5π68.下图是求12+12+12的程序框图,图中空白框中应填入()A. A=12+AB. A=2+1AC. A=11+2AD. A=1+12A9.记S n为等差数列{a n}的前n项和.已知S4=0,a5=5,则()A. a n=2n−5B. a n=3n−10C. S n=2n2−8nD. S n=12n2−2n 10.已知椭圆C的焦点为F1(−1,0),F2(1,0),过F2的直线与C交于A,B两点.若|AF2|=2|F2B|,|AB|=|BF1|,则C的方程为()A. x22+y2=1 B. x23+y22=1 C. x24+y23=1 D. x25+y24=111.关于函数f(x)=sin|x|+|sinx|有下述四个结论:①f(x)是偶函数②f(x)在区间(π2,π)单调递增③f(x)在[−π,π]有4个零点④f(x)的最大值为2其中所有正确结论的编号是()A. ①②④B. ②④C. ①④D. ①③12.已知三棱锥P−ABC的四个顶点在球O的球面上,PA=PB=PC,△ABC是边长为2的正三角形,E,F分别是PA,AB的中点,∠CEF=90°,则球O的体积为()A. 8√6πB. 4√6πC. 2√6πD. √6π二、填空题(本大题共4小题,共20.0分)13.曲线y=3(x2+x)e x在点(0,0)处的切线方程为________.14. 记S n 为等比数列{a n }的前n 项和.若a 1=13,a 42=a 6,则S 5=________.15. 甲、乙两队进行篮球决赛,采取七场四胜制(当一队赢得四场胜利时,该队获胜,决赛结束).根据前期比赛成绩,甲队的主客场安排依次为“主主客客主客主”.设甲队主场取胜的概率为0.6,客场取胜的概率为0.5,且各场比赛结果相互独立,则甲队以4:1获胜的概率是 .16. 已知双曲线C :x 2a 2−y2b 2=1(a >0,b >0)的左、右焦点分别为F 1,F 2,过F 1的直线与C 的两条渐近线分别交于A ,B 两点.若F 1A ⃗⃗⃗⃗⃗⃗⃗ =AB ⃗⃗⃗⃗⃗ ,F 1B ⃗⃗⃗⃗⃗⃗⃗ ⋅F 2B ⃗⃗⃗⃗⃗⃗⃗ =0,则C 的离心率为三、解答题(本大题共7小题,共82.0分)17. △ABC 的内角A ,B ,C 的对边分别为a ,b ,c.设(sinB −sinC)2=sin 2A −sinBsinC . (1)求A ;(2)若√2a +b =2c ,求sin C .18. 如图,直四棱柱ABCD −A 1B 1C 1D 1的底面是菱形,AA 1=4,AB =2,∠BAD =60°,E ,M ,N 分别是BC ,BB 1,A 1D 的中点. (1)证明:MN//平面C 1DE ;(2)求二面角A −MA 1−N 的正弦值.19. 已知抛物线C :y 2=3x 的焦点为F ,斜率为32的直线l 与C 的交点为A ,B ,与x轴的交点为P .(1)若|AF|+|BF|=4,求l 的方程;(2)若AP⃗⃗⃗⃗⃗ =3PB ⃗⃗⃗⃗⃗ ,求|AB|.20.已知函数f(x)=sinx−ln(1+x),f′(x)为f(x)的导数.证明:)存在唯一极大值点;(1)f′(x)在区间(−1,π2(2)f(x)有且仅有2个零点.21.为治疗某种疾病,研制了甲、乙两种新药,希望知道哪种新药更有效,为此进行动物试验.试验方案如下:每一轮选取两只白鼠对药效进行对比试验.对于两只白鼠,随机选一只施以甲药,另一只施以乙药.一轮的治疗结果得出后,再安排下一轮试验.当其中一种药治愈的白鼠比另一种药治愈的白鼠多4只时,就停止试验,并认为治愈只数多的药更有效.为了方便描述问题,约定:对于每轮试验,若施以甲药的白鼠治愈且施以乙药的白鼠未治愈则甲药得1分,乙药得−1分;若施以乙药的白鼠治愈且施以甲药的白鼠未治愈则乙药得1分,甲药得−1分;若都治愈或都未治愈则两种药均得0分.甲、乙两种药的治愈率分别记为α和β,一轮试验中甲药的得分记为X.(1)求X的分布列;(2)若甲药、乙药在试验开始时都赋予4分,p i(i=0,1,…,8)表示“甲药的累计得分为i时,最终认为甲药比乙药更有效”的概率,则p0=0,p8=1,p i=ap i−1+bp i+cp i+1(i=1,2,…,7),其中a=P(X=−1),b=P(X=0),c= P(X=1).假设α=0.5,β=0.8.(i)证明:{p i+1−p i}(i=0,1,2,…,7)为等比数列;(ii)求p4,并根据p4的值解释这种试验方案的合理性.22.在直角坐标系xOy中,曲线C的参数方程为{x=1−t21+t2y=4t1+t2(t为参数).以坐标原点O为极点,x轴的正半轴为极轴建立极坐标系,直线l的极坐标方程为2ρcosθ+√3ρsinθ+11=0.(1)求C和l的直角坐标方程;(2)求C上的点到l距离的最小值.23.已知a,b,c为正数,且满足abc=1.证明:(1)1a +1b+1c≤a2+b2+c2;(2)(a+b)3+(b+c)3+(c+a)3≥24.答案和解析1.【答案】C【解析】【分析】本题考查了一元二次不等式的解法和交集的运算,属基础题.利用一元二次不等式的解法和交集的运算即可得出.【解答】解:∵M={x|−4<x<2},N={x|x2−x−6<0}={x|−2<x<3},∴M∩N={x|−2<x<2}.故选C.2.【答案】C【解析】【分析】本题考查复数的模、复数的几何意义,属基础题.由z在复平面内对应的点为(x,y),可得z=x+yi,然后根据|z−i|=1即可得解.【解答】解:∵z在复平面内对应的点为(x,y),∴z=x+yi,∴z−i=x+(y−1)i,∴|z−i|=√x2+(y−1)2=1,∴x2+(y−1)2=1,故选C.3.【答案】B【解析】【分析】本题考查了指数函数和对数函数的单调性运用,属基础题.由指数函数和对数函数的单调性易得log20.2<0,20.2>1,0<0.20.3<1,从而得出a,b,c的大小关系.【解答】解:a=log20.2<log21=0,b=20.2>20=1,∵0<0.20.3<0.20=1,∴c=0.20.3∈(0,1),∴a<c<b,故选B.4.【答案】B【解析】【分析】本题考查简单的推理和估算,考查运算能力和推理能力,属于中档题.充分运用黄金分割比例,计算可估计身高.【解答】解:头顶至脖子下端的长度为26cm,说明头顶到咽喉的长度小于26cm,,由头顶至咽喉的长度与咽喉至肚脐的长度之比是√5−12可得咽喉至肚脐的长度小于√5−12=√5−1≈42cm,由头顶至肚脐的长度与肚脐至足底的长度之比是√5−12,可得肚脐至足底的长度小于26+52√5−1√5−12≈110,即有该人的身高小于110+68=178cm,又肚脐至足底的长度大于105cm,可得头顶至肚脐的长度大于105×√5−12≈65cm,即该人的身高大于65+105=170cm,故选B.5.【答案】D【解析】【分析】本题考查了函数图象的作法及函数的奇偶性,解题关键是奇偶性和特殊值,属基础题.由f(x)的解析式知f(x)为奇函数可排除A,然后计算f(π),判断正负即可排除B,C,从而可得结果.【解答】解:∵f(x)=sinx+xcosx+x2,x∈[−π,π],∴f(−x)=−sinx−xcos(−x)+x2=−sinx+xcosx+x2=−f(x),∴f(x)为[−π,π]上的奇函数,因此排除A;又f(π)=sinπ+πcosπ+π2=π−1+π2>0,因此排除B,C,故选D.6.【答案】A【解析】【分析】本题主要考查概率的求法,考查古典概型、组合的应用,考查运算求解能力,属于基础题.基本事件总数n=26=64,该重卦恰有3个阳爻包含的基本个数m=C63=20,由此能求出该重卦恰有3个阳爻的概率.【解答】解:在所有重卦中随机取一重卦,基本事件总数n=26=64,该重卦恰有3个阳爻包含的基本个数m=C63=20,则该重卦恰有3个阳爻的概率p=mn =2064=516.故选A.7.【答案】B【解析】【分析】本题考查了平面向量的数量积和向量的夹角,属基础题.由(a⃗−b⃗ )⊥b⃗ ,可得(a⃗−b⃗ )⋅b⃗ =0,进一步得到|a⃗||b⃗ |cos<a⃗,b⃗ >−b⃗ 2=0,然后求出夹角即可. 【解答】 解:∵(a ⃗ −b ⃗ )⊥b ⃗ ,∴(a ⃗ −b ⃗ )⋅b ⃗ =a ⃗ ⋅b ⃗ −b ⃗ 2=|a ⃗ ||b ⃗ |cos <a ⃗ ,b ⃗ >−b ⃗ 2=0, ∴cos <a ⃗ ,b ⃗ >=|b⃗ |2|a ⃗ ||b⃗ |=12,∵<a ⃗ ,b ⃗ >∈[0,π],∴<a ⃗ ,b ⃗ >=π3,故选B . 8.【答案】A【解析】【分析】本题考查了程序框图的应用问题,是基础题.模拟程序的运行,由题意,依次写出每次得到的A 的值,观察规律即可得解. 【解答】解:模拟程序的运行,可得: A =12,k =1;满足条件k ≤2,执行循环体,A =12+12,k =2;满足条件k ≤2,执行循环体,A =12+12+12,k =3;此时,不满足条件k ≤2,退出循环,输出A 的值为12+12+12,观察A 的取值规律可知图中空白框中应填入A =12+A . 故选A . 9.【答案】A【解析】【分析】本题考查等差数列的通项公式以及前n 项和公式,关键是求出等差数列的公差以及首项,属于基础题.根据题意,设等差数列{a n }的公差为d ,则有{4a 1+6d =0a 1+4d =5,求出首项和公差,然后求出通项公式和前n 项和即可. 【解答】解:设等差数列{a n }的公差为d , 由S 4=0,a 5=5,得 {4a 1+6d =0a 1+4d =5,∴{a 1=−3d =2, ∴a n =2n −5,S n =n (−3+2n−5)2=n 2−4n ,故选:A .10.【答案】B【解析】【分析】本题考查了椭圆的定义以及方程、余弦定理,属中档题.根据椭圆的定义以及余弦定理列方程可解得a=√3,b=√2,可得椭圆的方程.【解答】解:∵|AF2|=2|BF2|,∴|AB|=3|BF2|,又|AB|=|BF1|,∴|BF1|=3|BF2|,又|BF1|+|BF2|=2a,∴|BF2|=a2,∴|AF2|=a,|BF1|=32a,则|AF2|=|AF1|=a,所以A为椭圆短轴端点,在Rt△AF2O中,cos∠AF2O=1a,在△BF1F2中,由余弦定理可得cos∠BF2F1=4+(a2)2−(32a)22×2×a2=4−2a22a,根据cos∠AF2O+cos∠BF2F1=0,可得1a +4−2a22a=0,解得a2=3,∴a=√3,b2=a2−c2=3−1=2.所以椭圆C的方程为:x23+y22=1,故选B.11.【答案】C【解析】【分析】本题主要考查与三角函数有关的命题的真假判断,结合绝对值的应用以及利用三角函数的性质是解决本题的关键,属于中档题.根据绝对值的应用,结合三角函数的性质分别进行判断即可.【解答】解:f(−x)=sin|−x|+|sin(−x)|=sin|x|+|sinx|=f(x),且f(x)的定义域为R,则函数f(x)是偶函数,故①正确;当x∈(π2,π)时,sin|x|=sinx,|sinx|=sinx,则f(x)=sinx+sinx=2sinx为减函数,故②错误;当0≤x≤π时,f(x)=sin|x|+|sinx|=sinx+sinx=2sinx,由f(x)=0,得2sinx=0,即x=0或x=π,由f(x)是偶函数,得在[−π,0)上还有一个零点x=−π,即函数f(x)在[−π,π]有3个零点,故③错误;当sin|x|=1,|sinx|=1时,f(x)取得最大值2,故④正确,故正确是①④,故选C.12.【答案】D【解析】【分析】本题考查多面体外接球体积的求法,是中档题.设∠PAC=θ,PA=PB=PC=2x,EC=y,根据余弦定理以及勾股定理证明三条侧棱两两互相垂直,即可求外接球O的体积.【解答】解:设∠PAC=θ,PA=PB=PC=2x,EC=y,因为E,F分别是PA,AB的中点,所以EF=12PB=x,AE=x,在△PAC中,cosθ=4x2+4−4x22×2x×2=12x,在△EAC中,cosθ=x2+4−y22×2x,整理得x2−y2=−2,①因为△ABC是边长为2的正三角形,所以CF=√3,又∠CEF=90°,则x2+y2=3,②,由①②得x=√22,所以PA=PB=PC=√2,所以PA2+PB2=4=AB2,即PA⊥PB,同理可得PA⊥PC,PB⊥PC,则PA、PB、PC两两垂直,则球O是以PA为棱的正方体的外接球,则外接球的直径为√2+2+2=√6,所以球O的体积为.故选D.13.【答案】y=3x【解析】【分析】本题考查了利用导数研究曲线上某点的切线方程,属基础题.对y=3(x2+x)e x求导,可将x=0代入导函数,求得斜率,即可得到切线方程.【解答】解:∵y=3(x2+x)e x,∴y′=3(2x+1)e x+3(x2+x)e x=3e x(x2+3x+1),∴当x=0时,y′=3,∴y=3(x2+x)e x在点(0,0)处的切线斜率k=3,∴切线方程为:y=3x.故答案为y=3x.14.【答案】1213【解析】【分析】本题主要考查等比数列前n项和的计算,属于基础题.根据等比数列的通项公式,建立方程求出q的值,结合等比数列的前n项和公式进行计算即可.【解答】解:设等比数列{a n}的公比为q,由a42=a6,得(a1q3)2=a1q5,即q6a12=q5a1,解得q=3,则S5=13(1−35)1−3=1213,故答案为1213.15.【答案】0.18【解析】【分析】本题考查概率的求法,考查相互独立事件概率乘法公式等基础知识,考查运算求解能力,是基础题.甲队以4:1获胜包含的情况有:①前5场比赛中,第一场负,另外4场全胜,②前5场比赛中,第二场负,另外4场全胜,③前5场比赛中,第三场负,另外4场全胜,④前5场比赛中,第四场负,另外4场全胜,由此能求出甲队以4:1获胜的概率.【解答】解:甲队的主客场安排依次为“主主客客主客主”.甲队主场取胜的概率为0.6,客场取胜的概率为0.5,且各场比赛结果相互独立,第六场一定是甲胜,甲队以4:1获胜包含的情况有:①前5场比赛中,第一场负,另外4场全胜,其概率为:p 1=0.4×0.6×0.5×0.5×0.6=0.036,②前5场比赛中,第二场负,另外4场全胜,其概率为:p 2=0.6×0.4×0.5×0.5×0.6=0.036,③前5场比赛中,第三场负,另外4场全胜,其概率为:p 3=0.6×0.6×0.5×0.5×0.6=0.054,④前5场比赛中,第四场负,另外4场全胜,其概率为:p 4=0.6×0.6×0.5×0.5×0.6=0.054,则甲队以4:1获胜的概率为:p =p 1+p 2+p 3+p 4=0.036+0.036+0.054+0.054=0.18. 故答案为:0.18. 16.【答案】2【解析】【分析】本题考查双曲线的简单性质,是中档题.由题意画出图形,结合已知可得F 1B ⊥OA ,可得一条渐近线方程的倾斜角为,从而可得,进而求出离心率.【解答】 解:如图,∵F 1A ⃗⃗⃗⃗⃗⃗⃗ =AB ⃗⃗⃗⃗⃗ ,且F 1B ⃗⃗⃗⃗⃗⃗⃗ ⋅F 2B ⃗⃗⃗⃗⃗⃗⃗ =0, ∴F 1B ⊥F 2B,F 1A =AB , ∴OA ⊥F 1B ,则△AOF 1≌△AOB , 则,所以一条渐近线的斜率为,所以e =c a =√1+b 2a 2=2,故答案为:2.17.【答案】解:(1)∵△ABC 的内角A ,B ,C 的对边分别为a ,b ,c .设(sinB −sinC)2=sin 2A −sinBsinC .则sin 2B +sin 2C −2sinBsinC =sin 2A −sinBsinC , ∴由正弦定理得:b 2+c 2−a 2=bc , ∴cosA =b 2+c 2−a 22bc=bc 2bc =12,∵0<A <π,∴A =π3.(2)∵√2a +b =2c ,A =π3,∴由正弦定理得√2sinA +sinB =2sinC , ∴√62+sin(2π3−C)=2sinC ,即√62+√32cosC +12sinC =2sinC ,即√62+√32cosC −32sinC =0, 即sin(C −π6)=√22,,则,∴C −π6=π4,C =π4+π6, ∴sinC =sin(π4+π6)=sin π4cos π6+cos π4sin π6=√22×√32+√22×12=√6+√24.【解析】本题考查了正弦定理、余弦定理,属于中档题. (1)由正弦定理得:b 2+c 2−a 2=bc ,再由余弦定理求出A .(2)由已知及正弦定理可得:sin(C −π6)=√22,可解得C 的值,由两角和的正弦函数公式即可得解.18.【答案】(1)证明:如图,过N 作NH ⊥AD ,连接BH ,则NH//AA 1,H 是AD 中点,且NH =12AA 1, 又MB//AA 1,MB =12AA 1,∴四边形NMBH 为平行四边形,则NM//BH ,由H 为AD 中点,而E 为BC 中点,∴BE//DH ,BE =DH ,则四边形BEDH 为平行四边形,则BH//DE , ∴NM//DE ,∵NM ⊄平面C 1DE ,DE ⊂平面C 1DE , ∴MN//平面C 1DE ;(2)解:以D 为坐标原点,以平面ABCD 内垂直于DC 的直线为x 轴,以DC 所在直线为y 轴,以DD 1所在直线为z 轴建立空间直角坐标系,则N(√32,−12,2),M(√3,1,2),A 1(√3,−1,4),NM ⃗⃗⃗⃗⃗⃗⃗ =(√32,32,0),NA 1⃗⃗⃗⃗⃗⃗⃗⃗ =(√32,−12,2), 设平面A 1MN 的一个法向量为m⃗⃗⃗ =(x,y,z),由{m ⃗⃗⃗ ⋅NM ⃗⃗⃗⃗⃗⃗⃗ =√32x +32y =0m⃗⃗⃗ ⋅NA 1⃗⃗⃗⃗⃗⃗⃗⃗ =√32x −12y +2z =0,取x =√3,得m ⃗⃗⃗ =(√3,−1,−1), 又平面MAA 1的一个法向量为n ⃗ =(1,0,0), ∴cos <m ⃗⃗⃗ ,n ⃗ >=m ⃗⃗⃗ ⋅n ⃗⃗|m ⃗⃗⃗ |⋅|n ⃗⃗ |=√3√5=√155. ∴二面角A −MA 1−N 的正弦值为√105.【解析】本题考查直线与平面平行的判定,考查空间想象能力与思维能力,训练了利用空间向量求解空间角,是中档题.(1)过N 作NH ⊥AD ,证明NM//BH ,再证明BH//DE ,可得NM//DE ,再由线面平行的判定可得MN//平面C 1DE ;(2)以D 为坐标原点建立空间直角坐标系,分别求出平面A 1MN 与平面MAA 1的一个法向量,由两法向量所成角的余弦值可得二面角A −MA 1−N 的正弦值.19.【答案】解:(1)设直线l :y =32x +t ,A (x 1,y 1),B (x 2,y 2),由题意可得F (34,0),故|AF |+|BF |=x 1+x 2+32, 因为|AF|+|BF|=4, 所以x 1+x 2=52, 联立{y =32x +t y 2=3x,整理得9x 2+12(t −1)x +4t 2=0,由韦达定理可知,x 1+x 2=−12(t−1)9,从而−12(t−1)9=52,解得t =−78,所以直线l 的方程为y =32x −78.(2)设直线l :y =32x +m ,A (x 1,y 1),B (x 2,y 2), 由AP ⃗⃗⃗⃗⃗ =3PB ⃗⃗⃗⃗⃗ ,可得y 1=−3y 2, 联立{y =32x +m y 2=3x,整理得y 2−2y +2m =0,由韦达定理可知,y 1+y 2=2,又y 1=−3y 2,解得y 1=3,y 2=−1, 代入抛物线C 方程得,x 1=3,x 2=13, 即A (3,3),B (13,−1),故|AB |=√(3−13)2+(3+1)2=4√133.【解析】本题考查了抛物线的定义,考查直线与抛物线的位置关系,属于中档题.(1)根据韦达定理以及抛物线的定义可得.(2)由AP ⃗⃗⃗⃗⃗ =3PB ⃗⃗⃗⃗⃗ ,可得y 1=−3y 2,由韦达定理可得y 1+y 2=2,从而解出A 、B 两点坐标,使用弦长公式计算即可.20.【答案】证明:(1)f(x)的定义域为(−1,+∞), 令f′(x )=ℎ(x)=cosx −11+x , ℎ′(x )=−sinx +1(1+x)2,令g(x)=−sinx +1(1+x)2,则g′(x)=−cosx −2(1+x)3<0在(−1,π2)恒成立, ∴ℎ′(x )在(−1,π2)上为减函数,又ℎ′(0)=1,ℎ′(π2)=−1+1(1+π2)2<−1+1=0,由零点存在定理可知,函数ℎ′(x )在(−1,π2)上存在唯一的零点x 0,结合单调性可得,f′(x )在(−1,x 0)上单调递增,在(x 0,π2)上单调递减, 可得f′(x )在区间(−1,π2)存在唯一极大值点; (2)由(1)知,当x ∈(−1,0)时,f′(x )单调递增, 则f′(x )<f′(0)=0,则f(x)单调递减; 当x ∈(0,x 0)时,f′(x )单调递增, 则f′(x )>f′(0)=0,f(x)单调递增; 由于f′(x )在(x 0,π2)上单调递减, 且f′(x 0)>0,,由零点存在定理可知,函数f′(x )在(x 0,π2)上存在唯一零点x 1,结合单调性可知, 当x ∈(x 0,x 1)时,f′(x )单调递减,则f′(x )>f′(x 1)=0,故f(x)单调递增; 当x ∈(x 1,π2)时,f′(x )单调递减, 则f′(x )<f′(x 1)=0,f(x)单调递减. 当x ∈(π2,π)时,cosx <0,−11+x <0, 于是f′(x )=cosx −11+x <0,f(x)单调递减, 其中f(π2)=1−ln(1+π2)>1−ln(1+3.22)=1−ln2.6>1−lne =0,f(π)=−ln(1+π)<−ln3<0. 于是可得下表:结合单调性可知,函数f(x)在(−1,π2]上有且只有一个零点0,由函数零点存在性定理可知,f(x)在(π2,π)上有且只有一个零点x2,当x∈[π,+∞)时,f(x)=sinx−ln(1+x)<1−ln(1+π)<1−ln3<0,因此函数f(x)在[π,+∞)上无零点.综上,f(x)有且仅有2个零点.【解析】本题考查利用导数求函数的极值,考查函数零点的判定,考查数学转化思想方法,考查逻辑思维能力,难度较大.(1)f(x)的定义域为(−1,+∞),求出原函数的导函数,令f′(x)=ℎ(x)=cosx−11+x,进一步求导,得到ℎ′(x)在(−1,π2)上为减函数,结合ℎ′(0)=1,ℎ′(π2)=−1+1(1+π2)2<−1+1=0,由零点存在定理可知,函数ℎ′(x)在(−1,π2)上存在唯一得零点x0,结合单调性可得,f′(x)在(−1,x0)上单调递增,在(x0,π2)上单调递减,可得f′(x)在区间(−1,π2)存在唯一极大值点;(2)由(1)知,当x∈(−1,0)时,f′(x)<0,f(x)单调递减;当x∈(0,x0)时,f′(x)> 0,f(x)单调递增;由于f′(x)在(x0,π2)上单调递减,且f′(x0)>0,,可得函数f′(x)在(x0,π2)上存在唯一零点x1,结合单调性可知,当x∈(x0,x1)时,f(x)单调递增;当x∈(x1,π2)时,f(x)单调递减.当x∈(π2,π)时,f(x)单调递减,再由f(π2)>0,f(π)<0.然后列x、f′(x)与f(x)的变化情况表得答案.21.【答案】(1)解:X的所有可能取值为−1,0,1.P(X=−1)=(1−α)β,P(X=0)=αβ+(1−α)(1−β),P(X=1)=α(1−β),(2)(i)证明:∵α=0.5,β=0.8,∴由(1)得,a=0.4,b=0.5,c=0.1.因此p i=0.4p i−1+0.5p i+0.1p i+1(i=1,2,…,7),故0.1(p i+1−p i)=0.4(p i−p i−1),即p i+1−p i=4(p i−p i−1),又∵p1−p0=p1≠0,∴{p i+1−p i}(i=0,1,2,…,7)为公比为4,首项为p1的等比数列;(ii)解:由(i)可得,p8=(p8−p7)+(p7−p6)+⋯+(p1−p0)+p0=p1(1−48)1−4=48−13p1,∵p 8=1,∴p 1=348−1,∴p 4=(p 4−p 3)+(p 3−p 2)+(p 2−p 1)+(p 1−p 0)+p 0=44−13p 1=1257.由计算结果可以看出,在甲药治愈率为0.5,乙药治愈率为0.8时,认为甲药更有效的概率为p 4=1257≈0.0039,此时得出错误结论的概率非常小,说明这种试验方案合理.【解析】本题主要考查数列的应用,考查离散型随机变量的分布列,属于难题. (1)由题意可得X 的所有可能取值为−1,0,1,再由相互独立试验的概率求P(X =−1),P(X =0),P(X =1)的值,则X 的分布列可求;(2)(i)由α=0.5,β=0.8结合(1)求得a ,b ,c 的值,代入p i =ap i−1+bp i +cp i+1,得到(p i+1−p i )=4(p i −p i−1),由p 1−p 0=p 1≠0,可得{p i+1−p i }(i =0,1,2,…,7)为公比为4,首项为p 1的等比数列;(ii)由(i)可得,p 8=(p 8−p 7)+(p 7−p 6)+⋯+(p 1−p 0)+p 0,利用等比数列的前n 项和与p 8=1,得p 1=348−1,进一步求得p 4=1257,即可求解. 22.【答案】解:(1)由{x =1−t 21+t 2y =4t 1+t 2(t 为参数),得{x =1−t 21+t 2y 2=2t1+t2, 两式平方相加,得x 2+y 24=1(x ≠−1),∴C 的直角坐标方程为x 2+y 24=1(x ≠−1),由2ρcosθ+√3ρsinθ+11=0,得2x +√3y +11=0,即直线l 的直角坐标方程为2x +√3y +11=0.(2)设与直线2x +√3y +11=0平行的直线方程为2x +√3y +m =0,联立{2x +√3y +m =04x 2+y 2−4=0,得16x 2+4mx +m 2−12=0. 由Δ=16m 2−64(m 2−12)=0, 得m =±4,∴当m =4时,直线2x +√3y +4=0与曲线C 的切点到直线2x +√3y +11=0的距离最小, 即为直线2x +√3y +4=0与直线2x +√3y +11=0之间的距离√22+3=√7.【解析】本题考查简单曲线的极坐标方程,考查参数方程化为普通方程,考查直线与椭圆位置关系的应用,训练了两平行线间的距离公式的应用,是中档题.(1)把曲线C 的参数方程变形,平方相加可得普通方程,把x =ρcosθ,y =ρsinθ代入2ρcosθ+√3ρsinθ+11=0,可得直线l 的直角坐标方程.(2)写出与直线l 平行的直线方程为2x +√3y +m =0,与曲线C 联立,化为关于x 的一元二次方程,利用判别式等于0求得m ,转化为两平行线间的距离求C 上的点到l 距离的最小值.23.【答案】证明:(1)分析法:已知a ,b ,c 为正数,且满足abc =1.要证1a +1b+1c≤a2+b2+c2;因为abc=1.即证:abca +abcb+abcc≤a2+b2+c2;即证:bc+ac+ab≤a2+b2+c2;即证:2bc+2ac+2ab≤2a2+2b2+2c2;即证:2a2+2b2+2c2−2bc−2ac−2ab≥0,即证(a−b)2+(a−c)2+(b−c)2≥0;∵a,b,c为正数,且满足abc=1.∴(a−b)2≥0;(a−c)2≥0;(b−c)2≥0恒成立;当且仅当:a=b=c=1时取等号.即(a−b)2+(a−c)2+(b−c)2≥0得证.故1a +1b+1c≤a2+b2+c2得证.(2)已知a,b,c为正数,且满足abc=1.(a+b)为正数;(b+c)为正数;(c+a)为正数;(a+b)3+(b+c)3+(c+a)3≥3(a+b)⋅(b+c)⋅(c+a);当且仅当(a+b)=(b+c)=(c+a)时取等号;即:a=b=c=1时取等号;∵a,b,c为正数,且满足abc=1.a+b≥2√ab;b+c≥2√bc;c+a≥2√ac;当且仅当a=b,b=c,c=a时取等号;即:a=b=c=1时取等号;∴(a+b)3+(b+c)3+(c+a)3≥3(a+b)⋅(b+c)⋅(c+a)≥3×8√ab⋅√bc⋅√ac=24abc=24;当且仅当a=b=c=1时取等号;故(a+b)3+(b+c)3+(c+a)3≥24.得证.故得证.【解析】本题考查基本不等式的运用,分析法和综合法的证明方法,属于中档题.(1)利用基本不等式和“1”的运用可证;(2)利用综合法可证.。
全国高三统一联合考试理科数学一、选择题:本大题共12个小题,每小题5分,共60分.在每小题给出的四个选项中,只有一项是符合题目要求的.1.已知全集{}1,2,3,4,5,6,7,8U =,{}3,4,5A =,{}1,3,6B =,则集合{}2,7,8是( ) A.A B UB.A B IC.()U C A B ID.()U C A B U2.已知复数z 的实部不为0,且1z =,设1z z ω=+,则ω在复平面上对应的点在( )A.实轴上B.虚轴上C.第三象限D.第四象限3.将()2nx -的展开式按x 的升幂排列,若倒数第三项的系数是40-,则n 的值是( ) A.4B.5C.6D.74.如图所示是三棱柱与球的组合体的三视图,则三棱柱的体积与球的体积之比是( )33B.6πC.9π435.设1F ,2F 分别是双曲线()2222:10,0x y C a b a b-=>>的左、右焦点,以1F 为圆心、12F F 为半径的圆与双曲线左支的其中一个交点为A ,若12120AF F =∠°,则该双曲线的离心率是( ) 233131+6.若函数()()()2sin 20f x a x θθπ=+<<,a 是不为零的常数)在R 上的值域为[]2,2-,且在区间5,1212ππ⎡⎤-⎢⎥⎣⎦上是单调减函数,则a 和θ的值是( )A.1a =,3πθ=B.1a =-,3πθ=C .1a =,6πθ=D.1a =-,6πθ=7.已知函数()32f x x ax bx c =+++(a ,b ,c 均为常数)的图象关于点()1,0-对称,则b c -的值是( ) A.4-B.4C.2-D.28.已知“x a x b ≥⇒>”,且“x a x c <⇒≤”,则“x c ≤”是“x b ≤”的( ) A.充分不必要条件B.必要不充分条件C.充要条件D.既不充分也不必要条件9.“三个臭皮匠,楔个诸葛亮”,这是我们常说的口头禅,主要是说集体智慧的强大,假设李某智商较高,他独自一人解决项目M 的概率为10.3P =;同时,有n 个水平相同的人也在研究项目M ,他们各自独立地解决项目M 的概率都是0.1.现在李某单独研究项目M ,且这n 个人组成的团队也同时研究项目M ,设这个n 人团队解决项目M 的概率为2P ,若21P P ≥,则n 的最小值是( ) A.3B.4C.5D.610.已知向量()cos ,sin AB αα=u u u r ,()cos ,sin BC ββ=u u u r ,()cos ,sin CA γγ=u u u r,其中02αβγπ<<<<,则AB BC ⋅u u u r u u u r的值是( )A.12B.12-C.32-D.3 11.设函数()f x 定义如下表: x1 2 3 4 5 ()f x14253执行如图所示的程序框图,则输出的x 的值是( )A.4B.5C.2D.312.已知异面直线a ,b 所成的角为90°,直线AB 与a ,b 均垂直,且垂足分别为A ,B ,若动点P 在直线a 上运动,动点Q 在直线b 上运动,4PA QB +=,则线段PQ 的中点M 的轨迹所围成的平面区域的面积是( ) A.2B.4C.8D.12二、填空题(每题5分,满分20分,将答案填在答题纸上)13.抛物线24y x =-的焦点到它的准线的距离是____________.14.若实数x ,y 满足100x y x y +≥-⎧⎪≤⎨⎪≤⎩,则2z x y =+取得最大值时对应的最优解是____________.15.已知在ABC △中,角,,A B C 的对边分别是,,a b c ,5cos A =,10cos B =,2c =,则a =____________.16.已知函数()xxf x e =,关于x 的方程()()220f x f x c -+=⎡⎤⎣⎦有以下四个结论: ①当0c =时,方程有3个实根;②当221c c e -=时,方程有3个实根;③当2211e c e -<<时,方程有2个实根;④当221e c e -<时,方程有4个实根. 以上结论中正确的有____________(填序号).三、解答题 (本大题共6小题,共70分.解答应写出文字说明、证明过程或演算步骤.)17.已知正项等比数列{}n a 满足()*14n n n a a n N +=∈. (1)求数列{}n a 的通项公式; (2)设2211log log n n n b a a +=,求数列{}n b 的前n 项和n S .18.如图,在三棱柱111ABC A B C -中,1AC BC AB AA ===,过1AA 的平面分别交BC ,11B C 于点D ,1D .(1)求证:四边形11ADD A 为平行四边形;(2)若1AA ⊥平面ABC ,D 为BC 中点,E 为1DD 中点,求二面角1A C E C --的余弦值. 19.最近,在“我是演说家”第四季这档节目中,英国华威大学留学生游斯彬的“数学之美”的演讲视频在微信朋友圈不断被转发,点赞的人数更是不断增加,对一周(7天)内演讲视频被转发的天数x 与点赞的人数y 进行了统计,数据见下表:根据所给数据(),x y ,画出了散点图以后,发现演讲视频被转发的天数x 与点赞的人数y 的关系可以近似地表示为x y a b =⋅(,a b 均为正常数). (题中所有数据的最后计算结果都精确到0.01) (1) 建立y 关于x 的回归方程;(2) 试预测,至少经过多少天,点赞的人数超过12000?附:①对于一组数据()11,x y ,()22,x y ,…,(),n n x y ,其回归直线$y x aβ=+的斜率和截距的最小二乘估计分别为µβ=µy x β-. ②参考数据:20.已知椭圆()2222:10x y E a b a b+=>>的左、右焦点分别为1F 、2F ,椭圆E 上一点A 在x 轴上的射影恰好为1F ,且直线2AF 的斜率为(1)求椭圆E 的离心率;(2)当2a =时,过点()0,2Q -的射线与椭圆E 交于不同的两点M ,N ,若点P 在射线QM 上,且满足2QM QN QP ⋅=u u u u r u u u r u u u r ,求点P 的横坐标0x 的取值范围.21.已知函数()ln f x x =.(1)设()()()()'F x f k x k f k =-+(其中0k >),求证:()()f x F x ≤.(2)若曲线()y f x =与抛物线()22y ax a x =+-有两个公共点,求实数a 的取值范围.22.已知圆C 的极坐标方程为2sin 104πρθ⎛⎫+++= ⎪⎝⎭,直角坐标系xOy 的坐标原点O 与极点重合,x 轴的正半轴与极轴重合. (1)求圆C 的标准方程和它的一个参数方程; (2)设(),P x y 是圆C 上的任意一点,求xy 的最大值. 23.已知函数()1f x x x =+-. (1)解不等式()3f x ≥;(2)若()()2f x f y +≤,求x y +的取值范围.。
河北省衡水中学2019届高三下学期一调考试数学(理科)一、选择题:本题共12小题.在每小题给出的四个选项中,只有一项是符合题目要求的.1.已知集合,,则()A. B. C. D.【答案】D【解析】【分析】解一元二次不等式求得A,解指数不等式求得B,再根据两个集合的交集的定义求得.【详解】因为集合,,所以,故选D.【点睛】该题考查的是有关集合的运算,属于简单题目.2.已知,是虚数单位,若,则()A. B. 2 C. D. 5【答案】C【解析】【分析】根据复数相等的充要条件,构造关于的方程组,解得的值,进而可得答案.【详解】因为,结合,所以有,解得,所以,故选C.【点睛】该题考查的是有关复数的模的问题,涉及到的知识点有复数相等的条件,属于简单题目.3.给出下列四个结论:①命题“,”的否定是“,”;②命题“若,则且”的否定是“若,则”;③命题“若,则或”的否命题是“若,则或”;④若“是假命题,是真命题”,则命题,一真一假.其中正确结论的个数为()A. 1B. 2C. 3D. 4【答案】B【解析】【分析】①写出命题“,”的否定,可判断①的正误;②写出命题“若,则且”的否定,可判断②的正误;写出命题“若,则或”的否命题,可判断③的正误;④结合复合命题的真值表,可判断④的正误,从而求得结果.【详解】①命题“,”的否定是:“,”,所以①正确;②命题“若,则且”的否定是“若,则或”,所以②不正确;③命题“若,则或”的否命题是“若,则且”,所以③不正确;④“是假命题,是真命题”,则命题,一真一假,所以④正确;故正确命题的个数为2,故选B.【点睛】该题考查的是有关判断正确命题的个数的问题,涉及到的知识点有命题的否定,否命题,复合命题真值表,属于简单题目.4.函数的图像大致是()A. B.C. D.【答案】A【解析】【分析】观察函数解析式,通过函数的定义域,特殊点以及当时,函数值的变化趋势,将不满足条件的选项排除,从而得到正确的结果.【详解】因为函数的定义域为R,故排除B,因为,所以排除C,当时,因为指数函数比对数函数增长速度要快,所以当时,有,所以排除D,故选A.【点睛】该题是一道判断函数图象的题目,总体方法是对函数解析式进行分析,注意从函数的定义域、图象所过的特殊点以及对应区间上函数图象的变化趋势,来选出正确的结果,注意对不正确的选项进行排除.5.已知图①②③中的多边形均为正多边形,,分别是所在边的中点,双曲线均以图中,为焦点.设图①②③中双曲线的离心率分别为,,,则()A. B.C. D.【答案】D【解析】【分析】分别根据正三角形、正方形、正六边形的性质,将用表示,然后利用双曲线的定义,求得,的等量关系,分别求出图示①②③中的双曲线的离心率,然后再判断的大小关系.【详解】图①中,;图③中,设正六边形的一个在双曲线右支上的顶点为,则,则;图②中,,,故选D.【点睛】本题主要考查双曲线的定义及离心率,属于难题.离心率的求解在圆锥曲线的考查中是一个重点也是难点,一般求离心率有以下几种情况:①直接求出,从而求出;②构造的齐次式,求出;③采用离心率的定义以及圆锥曲线的定义来求解;④根据圆锥曲线的统一定义求解.6.执行如图所示的程序框图,则输出的结果是()A. 2018B. -1010C. 1009D. -1009【答案】C【解析】【分析】根据程序框图,它的作用是求的值,根据结合律进行求解,可得结果. 【详解】该程序框图的作用是求的值,而,故选C.【点睛】该题主要考查程序框图,用结合律进行求和,属于简单题目.7.已知某几何体的三视图如图所示,图中小方格的边长为1,则该几何体的表面积为()A. 65B.C.D. 60【答案】D【解析】【分析】由已知的三视图还原几何体为三棱柱截去三棱锥得到的,根据图中数据,计算表面积.【详解】由三视图可知,该几何体为如下图所示的多面体,它是由直三棱柱截去三棱锥所剩的几何体,其中,所以其表面积为,故选D.【点睛】该题考查的是有关几何体的表面积的问题,涉及到的知识点有根据三视图还原几何体,锥体的表面积,属于简单题目.8.五个人围坐在一张圆桌旁,每个人面前放着完全相同的硬币,所有人同时翻转自己的硬币.若硬币正面朝上,则这个人站起来;若硬币正面朝下,则这个人继续坐着.那么没有相邻的两个人站起来的概率为()A. B. C. D.【答案】C【解析】五个人的编号为由题意,所有事件共有种,没有相邻的两个人站起来的基本事件有,再加上没有人站起来的可能有种,共种情况,所以没有相邻的两个人站起来的概率为故答案选9.在中,角,,所对的边分别为,,,若,则()A. B. C. D.【答案】C【解析】在中,,由正弦定理得,,由余弦定理得,,,,,故选C.10.已知抛物线的焦点为,,是抛物线上的两个动点,若,则的最大值为()A. B. C. D.【答案】B【解析】【分析】利用余弦定理,结合基本不等式,即可求出的最大值.【详解】因为,,所以,在中,由余弦定理得:,又,所以,所以,所以的最大值为,故选B.【点睛】该题考查的是有关解三角形的问题,涉及到的知识点有余弦定理,基本不等式,在解题的过程中,对题的条件进行正确转化是解题的关键,属于中档题目.11.已知当时,,则以下判断正确的是()A. B. C. D.【答案】C【解析】记,为偶函数且在上单调递减,由,得到即∴,即故选:C12.若存在一个实数,使得成立,则称为函数的一个不动点.设函数(,为自然对数的底数),定义在上的连续函数满足,且当时,.若存在,且为函数的一个不动点,则实数的取值范围为()A. B. C. D.【答案】B【解析】∵f(﹣x)+f(x)=x2∴令F(x)=f(x)﹣,∴f(x)﹣=﹣f(﹣x)+x2∴F(x)=﹣F(﹣x),即F(x)为奇函数,∵F′(x)=f′(x)﹣x,且当x0时,f′(x)<x,∴F′(x)<0对x<0恒成立,∵F(x)为奇函数,∴F(x)在R上单调递减,∵f(x)+≥f(1﹣x)+x,∴f(x)+﹣≥f(1﹣x)+x﹣,即F(x)≥F(1﹣x),∴x≤1﹣x,x0≤,∵为函数的一个不动点∴g(x0)=x0,即h(x)= =0在(﹣∞,]有解.∵h′(x)=e x-,∴h(x)在R上单调递减.∴h(x)min=h()=﹣a即可,∴a≥.故选:B点睛:已知函数有零点求参数取值范围常用的方法和思路(1)直接法:直接根据题设条件构建关于参数的不等式,再通过解不等式确定参数范围;(2)分离参数法:先将参数分离,转化成求函数值域问题加以解决;(3)数形结合法:先对解析式变形,在同一平面直角坐标系中,画出函数的图象,然后数形结合求解.二、填空题:本题共4小题.13.抛物线的准线方程为________.【答案】【解析】由抛物线的标准方程为x2=y,得抛物线是焦点在y轴正半轴的抛物线,2P=1,∴其准线方程是y=,。
绝密★启用前2019年普通高等学校招生全国统一考试理科数学本试卷共4页,23小题,满分150分,考试用时120分钟。
一、选择题:本题共12小题,每小题5分,共60分。
在每小题给出的四个选项中,只有一项是符合题目要求的。
1.已知集合{}}242{60M x x N x x x =-<<=--<,,则M N ⋂=A. }{43x x -<<B. }{42x x -<<-C. }{22x x -<<D.}{23x x <<【答案】C 【解析】 【分析】本题考查集合的交集和一元二次不等式的解法,渗透了数学运算素养.采取数轴法,利用数形结合的思想解题.【详解】由题意得,{}{}42,23M x x N x x =-<<=-<<,则{}22M N x x ⋂=-<<.故选C .【点睛】不能领会交集的含义易致误,区分交集与并集的不同,交集取公共部分,并集包括二者部分.2.设复数z 满足=1i z -,z 在复平面内对应的点为(x ,y ),则 A. 22+11()x y +=B. 22(1)1x y -+=C. 22(1)1x y +-=D.22(+1)1y x +=【答案】C 【解析】 【分析】本题考点为复数的运算,为基础题目,难度偏易.此题可采用几何法,根据点(x ,y )和点(0,1)之间的距离为1,可选正确答案C .【详解】,(1),z x yi z i x y i =+-=+-1,z i -则22(1)1x y +-=.故选C . 【点睛】本题考查复数的几何意义和模的运算,渗透了直观想象和数学运算素养.采取公式法或几何法,利用方程思想解题.3.已知0.20.32log 0.2,2,0.2a b c ===,则A. a b c <<B. a c b <<C. c a b <<D.b c a <<【答案】B 【解析】 【分析】运用中间量0比较,a c ,运用中间量1比较,b c 【详解】22log 0.2log 10,a =<=0.20221,b =>=0.300.20.21,<<=则01,c a c b <<<<.故选B .【点睛】本题考查指数和对数大小的比较,渗透了直观想象和数学运算素养.采取中间变量法,利用转化与化归思想解题.4.(12≈0.618,称为黄金分割比例),著名的“断臂维纳斯”便是如此.此外,最美人体比例,且腿长为105cm ,头顶至脖子下端的长度为26 cm ,则其身高可能是A. 165 cmB. 175 cmC. 185 cmD. 190cm【答案】B 【解析】 【分析】理解黄金分割比例的含义,应用比例式列方程求解.【详解】设人体脖子下端至腿根的长为x cm ,肚脐至腿根的长为y cm ,则26261105x x y +==+,得42.07, 5.15x cmy cm ≈≈.又其腿长为105cm ,头顶至脖子下端的长度为26cm ,所以其身高约为42.07+5.15+105+26=178.22,接近175cm .故选B . 【点睛】本题考查类比归纳与合情推理,渗透了逻辑推理和数学运算素养.采取类比法,利用转化思想解题.5.函数f (x )=2sin cos x xx x ++在[—π,π]的图像大致为A.B.C. D.【答案】D 【解析】 【分析】先判断函数的奇偶性,得()f x 是奇函数,排除A ,再注意到选项的区别,利用特殊值得正确答案.【详解】由22sin()()sin ()()cos()()cos x x x xf x f x x x x x-+----===--+-+,得()f x 是奇函数,其图象关于原点对称.又221422()1,2()2f πππππ++==>2()01f πππ=>-+.故选D . 【点睛】本题考查函数的性质与图象,渗透了逻辑推理、直观想象和数学运算素养.采取性质法或赋值法,利用数形结合思想解题.6.我国古代典籍《周易》用“卦”描述万物的变化.每一“重卦”由从下到上排列的6个爻组成,爻分为阳爻“——”和阴爻“— —”,如图就是一重卦.在所有重卦中随机取一重卦,则该重卦恰有3个阳爻的概率是A.516B.1132C.2132D.1116【答案】A 【解析】 【分析】本题主要考查利用两个计数原理与排列组合计算古典概型问题,渗透了传统文化、数学计算等数学素养,“重卦”中每一爻有两种情况,基本事件计算是住店问题,该重卦恰有3个阳爻是相同元素的排列问题,利用直接法即可计算.【详解】由题知,每一爻有2中情况,一重卦的6爻有62情况,其中6爻中恰有3个阳爻情况有36C ,所以该重卦恰有3个阳爻的概率为3662C =516,故选A .【点睛】对利用排列组合计算古典概型问题,首先要分析元素是否可重复,其次要分析是排列问题还是组合问题.本题是重复元素的排列问题,所以基本事件的计算是“住店”问题,满足条件事件的计算是相同元素的排列问题即为组合问题.7.已知非零向量a ,b 满足a =2b ,且(a –b )⊥b ,则a 与b 的夹角为A.π6B.π3C.2π3D.5π6【答案】B 【解析】 【分析】本题主要考查利用平面向量数量积数量积计算向量长度、夹角与垂直问题,渗透了转化与化归、数学计算等数学素养.先由()a b b -⊥得出向量,a b 的数量积与其模的关系,再利用向量夹角公式即可计算出向量夹角.【详解】因为()a b b -⊥,所以2()a b b a b b -⋅=⋅-=0,所以2a b b ⋅=,所以c o s θ=22||12||2a b b a b b ⋅==⋅,所以a 与b 的夹角为3π,故选B . 【点睛】对向量夹角的计算,先计算出向量的数量积及各个向量的摸,在利用向量夹角公式求出夹角的余弦值,再求出夹角,注意向量夹角范围为[0,]π.8.如图是求112122++的程序框图,图中空白框中应填入A. A =12A+ B. A =12A+C. A =112A+D.A =112A+【答案】A 【解析】 【分析】本题主要考查算法中的程序框图,渗透阅读、分析与解决问题等素养,认真分析式子结构特征与程序框图结构,即可找出作出选择.【详解】执行第1次,1,122A k ==≤是,因为第一次应该计算1122+=12A +,1k k =+=2,循环,执行第2次,22k =≤,是,因为第二次应该计算112122++=12A +,1k k =+=3,循环,执行第3次,22k =≤,否,输出,故循环体为12A A=+,故选A .【点睛】秒杀速解 认真观察计算式子的结构特点,可知循环体为12A A=+.9.记n S 为等差数列{}n a 的前n 项和.已知4505S a ==,,则 A. 25n a n =-B. 310n a n =-C. 228n S n n =-D.2122n S n n =- 【答案】A 【解析】 【分析】等差数列通项公式与前n 项和公式.本题还可用排除,对B ,55a =,44(72)1002S -+==-≠,排除B ,对C ,245540,25850105S a S S ==-=⨯-⨯-=≠,排除C .对D ,24554150,5250522S a S S ==-=⨯-⨯-=≠,排除D ,故选A .【详解】由题知,41514430245d S a a a d ⎧=+⨯⨯=⎪⎨⎪=+=⎩,解得132a d =-⎧⎨=⎩,∴25n a n =-,故选A . 【点睛】本题主要考查等差数列通项公式与前n 项和公式,渗透方程思想与数学计算等素养.利用等差数列通项公式与前n 项公式即可列出关于首项与公差的方程,解出首项与公差,在适当计算即可做了判断.10.已知椭圆C 的焦点为121,01,0F F -(),(),过F 2的直线与C 交于A ,B 两点.若222AF F B =││││,1AB BF =││││,则C 的方程为A. 2212x y +=B. 22132x y +=C. 22143x y +=D.22154x y += 【答案】B 【解析】 【分析】可以运用下面方法求解:如图,由已知可设2F B n =,则212,3AF n BF AB n ===,由椭圆的定义有121224,22a BF BF n AF a AF n=+=∴=-=.在12AF F △和12BF F △中,由余弦定理得2221222144222cos 4,422cos 9n n AF F n n n BF F n ⎧+-⋅⋅⋅∠=⎨+-⋅⋅⋅∠=⎩,又2121,AF F BF F ∠∠互补,2121cos cos 0AF F BF F ∴∠+∠=,两式消去2121cos cos AF F BF F ∠∠,,得223611n n +=,解得2n =.22224,312,a n a b a c ∴==∴=∴=-=-=∴所求椭圆方程为22132x y +=,故选B . 【详解】如图,由已知可设2F B n =,则212,3AF n BF AB n ===,由椭圆的定义有121224,22a BF BF n AF a AF n =+=∴=-=.在1A F B △中,由余弦定理推论得22214991cos 2233n n n F AB n n +-∠==⋅⋅.在12AF F △中,由余弦定理得2214422243n n n n +-⋅⋅⋅=,解得2n =.22224312,a n a b a c ∴==∴=∴=-=-=∴所求椭圆方程为22132x y +=,故选B .【点睛】本题考查椭圆标准方程及其简单性质,考查数形结合思想、转化与化归的能力,很好的落实了直观想象、逻辑推理等数学素养.11.关于函数()sin |||sin |f x x x =+有下述四个结论:①f (x )是偶函数 ②f (x )在区间(2π,π)单调递增 ③f (x )在[,]ππ-有4个零点 ④f (x )的最大值为2 其中所有正确结论的编号是 A. ①②④ B. ②④C. ①④D. ①③【答案】C 【解析】 【分析】化简函数()sin sin f x x x =+,研究它的性质从而得出正确答案. 【详解】()()()()sin sin sin sin ,f x x x x x f x f x -=-+-=+=∴为偶函数,故①正确.当2x ππ<<时,()2sin f x x =,它在区间,2π⎛⎫π ⎪⎝⎭单调递减,故②错误.当0x π≤≤时,()2s i n fx x =,它有两个零点:0,π;当0x π-≤<时,()()s i n s i n 2s i nfx xx x =--=-,它有一个零点:π-,故()f x 在[],-ππ有3个零点:0-π,,π,故③错误.当[]()2,2x k k k *∈ππ+π∈N 时,()2s i n fx x =;当[]()2,22x k k k *∈π+ππ+π∈N 时,()s i n s i n 0f x x x =-=,又()f x 为偶函数,()f x ∴的最大值为2,故④正确.综上所述,①④ 正确,故选C .【点睛】画出函数()sin sin f x x x =+的图象,由图象可得①④正确,故选C .12.已知三棱锥P -ABC 的四个顶点在球O 的球面上,P A =PB =PC ,△ABC 是边长为2的正三角形,E ,F 分别是P A ,PB 的中点,∠CEF =90°,则球O 的体积为A. B.C.D.【答案】D 【解析】 【分析】先证得PB ⊥平面PAC ,再求得PA PB PC ===从而得P ABC -为正方体一部分,进而知正方体的体对角线即为球直径,从而得解. 【详解】解法一:,PA PB PC ABC ==∆为边长为2的等边三角形,P ABC ∴-为正三棱锥,PB AC ∴⊥,又E ,F 分别为PA 、AB 中点, //EF PB ∴,EF AC ∴⊥,又EF CE ⊥,,CEAC C EF =∴⊥平面PAC ,PB ⊥平面PAC ,PAB PA PB PC ∴∠=90︒,∴===,P ABC ∴-为正方体一部分,2R == 3442338R V R =∴=π=⨯=π,故选D .解法二:设2PA PB PC x ===,,E F 分别为,PA AB 中点,//EF PB ∴,且12EF PB x ==,ABC ∆为边长为2的等边三角形,CF ∴=又90CEF ∠=︒1,2CE AE PA x ∴===AEC ∆中余弦定理()2243cos 22x x EAC x+--∠=⨯⨯,作PD AC ⊥于D ,PA PC =,D Q 为AC 中点,1cos 2AD EAC PA x ∠==,2243142x x x x +-+∴=,22121222x x x ∴+=∴==,PA PB PC ∴======2AB BC AC ,,,PA PB PC ∴两两垂直,2R ∴==R ∴=,344338V R ∴=π=π⨯=,故选D .【点睛】本题考查学生空间想象能力,补体法解决外接球问题.可通过线面垂直定理,得到三棱两两互相垂直关系,快速得到侧棱长,进而补体成正方体解决.二、填空题:本题共4小题,每小题5分,共20分。
绝密★启用前2019年普通高等学校招生全国统一考试理科数学注意事项:1.答卷前,考生务必将自己的姓名、准考证号填写在答题卡上。
2.作答时,务必将答案写在答题卡上。
写在本试卷及草稿纸上无效。
3.考试结束后,将本试卷和答题卡一并交回。
一、选择题:本题共12小题,每小题5分,共60分.在每小题给出的四个选项中,只有一项是符合题目要求的.1.设集合A ={x |x 2-5x +6>0},B ={ x |x -1<0},则A ∩B =A. (-∞,1)B. (-2,1)C. (-3,-1)D. (3,+∞)【答案】A 【解析】 【分析】本题考查集合的交集和一元二次不等式的解法,渗透了数学运算素养.采取数轴法,利用数形结合的思想解题.【详解】由题意得,{}{}2,3,1A x x x B x x ==<或,则{}1A B x x ⋂=<.故选A .【点睛】本题考点为集合的运算,为基础题目,难度偏易.不能领会交集的含义易致误,区分交集与并集的不同,交集取公共部分,并集包括二者部分.2.设z =-3+2i ,则在复平面内z 对应的点位于 A. 第一象限 B. 第二象限 C. 第三象限 D. 第四象限【答案】C 【解析】 【分析】本题考查复数的共轭复数和复数在复平面内的对应点位置,渗透了直观想象和数学运算素养.采取定义法,利用数形结合思想解题.【详解】由32,z i =-+得32,z i =--则32,z i =--对应点(-3,-2)位于第三象限.故选C .【点睛】本题考点为共轭复数,为基础题目,难度偏易.忽视共轭复数的定义致错,复数与共轭复数间的关系为实部同而虚部异,它的实部和虚部分别对应复平面上点的横纵坐标.3.已知AB =(2,3),AC =(3,t ),BC =1,则AB BC ⋅= A. -3 B. -2 C. 2 D. 3【答案】C 【解析】 【分析】本题考查平面向量数量积的坐标运算,渗透了直观想象和数学运算素养.采取公式法,利用转化与化归思想解题.【详解】由(1,3)BC AC AB t =-=-,211BC ==,得3t =,则(1,0)BC =,(2,3)(1,0)21302AB BC ==⨯+⨯=.故选C .【点睛】本题考点为平面向量的数量积,侧重基础知识和基本技能,难度不大.学生易在处理向量的法则运算和坐标运算处出错,借助向量的模的公式得到向量的坐标,然后计算向量数量积.4.2019年1月3日嫦娥四号探测器成功实现人类历史上首次月球背面软着陆,我国航天事业取得又一重大成就,实现月球背面软着陆需要解决的一个关键技术问题是地面与探测器的通讯联系.为解决这个问题,发射了嫦娥四号中继星“鹊桥”,鹊桥沿着围绕地月拉格朗日2L 点的轨道运行.2L 点是平衡点,位于地月连线的延长线上.设地球质量为M 1,月球质量为M 2,地月距离为R ,2L 点到月球的距离为r ,根据牛顿运动定律和万有引力定律,r 满足方程:121223()()M M M R r R r r R +=++.设r Rα=,由于α的值很小,因此在近似计算中34532333(1)ααααα++≈+,则r 的近似值为A.B.C.D.【答案】D 【解析】 【分析】本题在正确理解题意的基础上,将有关式子代入给定公式,建立α的方程,解方程、近似计算.题目所处位置应是“解答题”,但由于题干较长,易使考生“望而生畏”,注重了阅读理解、数学式子的变形及运算求解能力的考查. 【详解】由rRα=,得r R α= 因为121223()()M M M R r R r r R +=++,所以12122222(1)(1)M M M R R R ααα+=++,即543232221133[(1)]3(1)(1)M M αααααααα++=+-=≈++,解得3α=所以3.r R α==【点睛】由于本题题干较长,所以,易错点之一就是能否静心读题,正确理解题意;易错点之二是复杂式子的变形出错.5.演讲比赛共有9位评委分别给出某选手的原始评分,评定该选手的成绩时,从9个原始评分中去掉1个最高分、1个最低分,得到7个有效评分.7个有效评分与9个原始评分相比,不变的数字特征是A. 中位数B. 平均数C. 方差D. 极差【答案】A 【解析】 【分析】可不用动笔,直接得到答案,亦可采用特殊数据,特值法筛选答案. 【详解】设9位评委评分按从小到大排列为123489x x x x x x <<<<<.则①原始中位数为5x ,去掉最低分1x ,最高分9x ,后剩余2348x x x x <<<,中位数仍为5x ,∴A 正确. ②原始平均数1234891()9x x x x x x x =<<<<<,后来平均数234817x x x x x '=<<<()平均数受极端值影响较大,∴x 与x '不一定相同,B 不正确③()()()22221119q S x x x x x x ⎡⎤=-+-++-⎢⎥⎣⎦ ()()()222223817s x x x x x x ⎡⎤'=-'+-'++-'⎢⎥⎣⎦由②易知,C 不正确.④原极差91=x -x ,后来极差82=x -x 显然极差变小,D 不正确. 【点睛】本题旨在考查学生对中位数、平均数、方差、极差本质的理解.6.若a >b ,则 A. ln(a −b )>0B. 3a <3bC. a 3−b 3>0D. │a │>│b │【答案】C 【解析】 【分析】本题也可用直接法,因为a b >,所以0a b ->,当1a b -=时,ln()0a b -=,知A 错,因为3xy =是增函数,所以33a b >,故B 错;因为幂函数3y x =是增函数,a b >,所以33a b >,知C 正确;取1,2a b ==-,满足a b >,12a b =<=,知D 错.【详解】取2,1a b ==,满足a b >,ln()0a b -=,知A 错,排除A ;因为9333a b =>=,知B 错,排除B ;取1,2a b ==-,满足a b >,12a b =<=,知D 错,排除D ,因为幂函数3y x =是增函数,a b >,所以33a b >,故选C .【点睛】本题主要考查对数函数性质、指数函数性质、幂函数性质及绝对值意义,渗透了逻辑推理和运算能力素养,利用特殊值排除即可判断.7.设α,β为两个平面,则α∥β的充要条件是 A. α内有无数条直线与β平行 B. α内有两条相交直线与β平行 C. α,β平行于同一条直线 D. α,β垂直于同一平面 【答案】B 【解析】 【分析】本题考查了空间两个平面的判定与性质及充要条件,渗透直观想象、逻辑推理素养,利用面面平行的判定定理与性质定理即可作出判断.【详解】由面面平行的判定定理知:α内两条相交直线都与β平行是//αβ的充分条件,由面面平行性质定理知,若//αβ,则α内任意一条直线都与β平行,所以α内两条相交直线都与β平行是//αβ的必要条件,故选B .【点睛】面面平行的判定问题要紧扣面面平行判定定理,最容易犯的错误为定理记不住,凭主观臆断,如:“若,,//a b a b αβ⊂⊂,则//αβ”此类的错误.8.若抛物线y 2=2px (p >0)的焦点是椭圆2231x y pp+=的一个焦点,则p =A. 2B. 3C. 4D. 8【答案】D 【解析】 【分析】利用抛物线与椭圆有共同的焦点即可列出关于p 的方程,即可解出p ,或者利用检验排除的方法,如2p =时,抛物线焦点为(1,0),椭圆焦点为(±2,0),排除A ,同样可排除B ,C ,故选D .【详解】因为抛物线22(0)y px p =>的焦点(,0)2p 是椭圆2231x y p p +=的一个焦点,所以23()2pp p -=,解得8p =,故选D .【点睛】本题主要考查抛物线与椭圆的几何性质,渗透逻辑推理、运算能力素养.9.下列函数中,以2π为周期且在区间(4π,2π)单调递增的是 A. f (x )=│cos 2x │ B. f (x )=│sin 2x │ C. f (x )=cos│x │ D. f (x )= sin│x │【答案】A 【解析】 【分析】本题主要考查三角函数图象与性质,渗透直观想象、逻辑推理等数学素养.画出各函数图象,即可做出选择.【详解】因为sin ||y x =图象如下图,知其不是周期函数,排除D ;因为cos cos y x x ==,周期为2π,排除C ,作出cos2y x =图象,由图象知,其周期为2π,在区间单调递增,A 正确;作出sin 2y x =的图象,由图象知,其周期为2π,在区间单调递减,排除B ,故选A .【点睛】利用二级结论:①函数()y f x =的周期是函数()y f x =周期的一半;②sin y x ω=不是周期函数;10.已知a ∈(0,π2),2sin2α=cos2α+1,则sinα=A.15B.5C. D.【答案】B 【解析】 【分析】利用二倍角公式得到正余弦关系,利用角范围及正余弦平方和为1关系得出答案. 【详解】2sin 2cos21α=α+,24sin cos 2cos .0,,cos 02π⎛⎫∴α⋅α=αα∈∴α> ⎪⎝⎭.sin 0,2sin cos α>∴α=α,又22sin cos 1αα+=,2215sin 1,sin 5∴α=α=,又sin 0α>,sin α∴=B .【点睛】本题为三角函数中二倍角公式、同角三角函数基本关系式的考查,中等难度,判断正余弦正负,运算准确性是关键,题目不难,需细心,解决三角函数问题,研究角的范围后得出三角函数值的正负,很关键,切记不能凭感觉.11.设F 为双曲线C :22221x y a b-=(a >0,b >0)的右焦点,O 为坐标原点,以OF 为直径的圆与圆x 2+y 2=a2交于P 、Q 两点.若|PQ |=|OF |,则C 的离心率为 A.B. C. 2 D.【答案】A 【解析】 【分析】准确画图,由图形对称性得出P 点坐标,代入圆的方程得到c 与a 关系,可求双曲线的离心率. 【详解】设PQ 与x 轴交于点A ,由对称性可知PQ x ⊥轴,又||PQ OF c ==,||,2cPA PA ∴=∴为以OF 为直径的圆的半径,A ∴为圆心||2cOA =.,22c c P ⎛⎫∴ ⎪⎝⎭,又P 点在圆222x y a +=上,22244c c a ∴+=,即22222,22c c a e a =∴==.e ∴=A .【点睛】本题为圆锥曲线离心率的求解,难度适中,审题时注意半径还是直径,优先考虑几何法,避免代数法从头至尾,运算繁琐,准确率大大降低,双曲线离心率问题是圆锥曲线中的重点问题,需强化练习,才能在解决此类问题时事半功倍,信手拈来.12.设函数()f x 的定义域为R ,满足(1) 2 ()f x f x +=,且当(0,1]x ∈时,()(1)f x x x =-.若对任意(,]x m ∈-∞,都有8()9f x ≥-,则m 的取值范围是A. 9,4⎛⎤-∞ ⎥⎝⎦B. 7,3⎛⎤-∞ ⎥⎝⎦ C. 5,2⎛⎤-∞ ⎥⎝⎦ D. 8,3⎛⎤-∞ ⎥⎝⎦【答案】B 【解析】 【分析】本题为选择压轴题,考查函数平移伸缩,恒成立问题,需准确求出函数每一段解析式,分析出临界点位置,精准运算得到解决. 【详解】(0,1]x ∈时,()=(1)f x x x -,(+1)= ()f x 2f x ,()2(1)f x f x ∴=-,即()f x 右移1个单位,图像变为原来的2倍.如图所示:当23x <≤时,()=4(2)=4(2)(3)f x f x x x ---,令84(2)(3)9x x --=-,整理得:2945560x x -+=,1278(37)(38)0,,33x x x x ∴--=∴==(舍),(,]x m ∴∈-∞时,8()9f x ≥-成立,即73m ≤,7,3m ⎛⎤∴∈-∞ ⎥⎝⎦,故选B .【点睛】易错警示:图像解析式求解过程容易求反,画错示意图,画成向左侧扩大到2倍,导致题目出错,需加深对抽象函数表达式的理解,平时应加强这方面练习,提高抽象概括、数学建模能力.二、填空题:本题共4小题,每小题5分,共20分.13.我国高铁发展迅速,技术先进.经统计,在经停某站的高铁列车中,有10个车次的正点率为0.97,有20个车次的正点率为0.98,有10个车次的正点率为0.99,则经停该站高铁列车所有车次的平均正点率的估计值为___________. 【答案】0.98. 【解析】 【分析】本题考查通过统计数据进行概率的估计,采取估算法,利用概率思想解题.【详解】由题意得,经停该高铁站的列车正点数约为100.97200.98100.9939.2⨯+⨯+⨯=,其中高铁个数为10+20+10=40,所以该站所有高铁平均正点率约为39.20.9840=. 【点睛】本题考点为概率统计,渗透了数据处理和数学运算素养.侧重统计数据的概率估算,难度不大.易忽视概率的估算值不是精确值而失误,根据分类抽样的统计数据,估算出正点列车数量与列车总数的比值.14.已知()f x 是奇函数,且当0x <时,()e axf x =-.若(ln 2)8f =,则a =__________.【答案】-3【解析】 【分析】本题主要考查函数奇偶性,对数的计算.渗透了数学运算、直观想象素养.使用转化思想得出答案. 【详解】因为()f x 是奇函数,且当0x <时,()ax f x e -=-.又因为ln 2(0,1)∈,(ln 2)8f =,所以ln 28a e --=-,两边取以e 为底的对数得ln 23ln 2a -=,所以3a -=,即3π. 【点睛】本题主要考查函数奇偶性,对数的计算.15.V ABC 的内角,,A B C 的对边分别为,,a b c .若π6,2,3b ac B ===,则V ABC 的面积为__________.【答案】【解析】 【分析】本题首先应用余弦定理,建立关于c 的方程,应用,a c 的关系、三角形面积公式计算求解,本题属于常见题目,难度不大,注重了基础知识、基本方法、数学式子的变形及运算求解能力的考查. 【详解】由余弦定理得2222cos b a c ac B =+-,所以2221(2)2262c c c c +-⨯⨯⨯=, 即212c =解得c c ==-所以2a c ==11sin 222ABC S ac B ∆==⨯= 【点睛】本题涉及正数开平方运算,易错点往往是余弦定理应用有误或是开方导致错误.解答此类问题,关键是在明确方法的基础上,准确记忆公式,细心计算.16.中国有悠久的金石文化,印信是金石文化的代表之一.印信的形状多为长方体、正方体或圆柱体,但南北朝时期的官员独孤信的印信形状是“半正多面体”(图1).半正多面体是由两种或两种以上的正多边形围成的多面体.半正多面体体现了数学的对称美.图2是一个棱数为48的半正多面体,它的所有顶点都在同一个正方体的表面上,且此正方体的棱长为1.则该半正多面体共有________个面,其棱长为_________.【答案】 (1). 共26个面. (2). 1. 【解析】 【分析】第一问可按题目数出来,第二问需在正方体中简单还原出物体位置,利用对称性,平面几何解决. 【详解】由图可知第一层与第三层各有9个面,计18个面,第二层共有8个面,所以该半正多面体共有18826+=个面.如图,设该半正多面体的棱长为x ,则A B B E x ==,延长BC 与FE 交于点G ,延长BC 交正方体棱于H ,由半正多面体对称性可知,BGE ∆为等腰直角三角形,,21)122BG GE CH x GH x x x ∴===∴=⨯+==,1x ∴==.【点睛】本题立意新颖,空间想象能力要求高,物体位置还原是关键,遇到新题别慌乱,题目其实很简单,稳中求胜是关键.立体几何平面化,无论多难都不怕,强大空间想象能力,快速还原图形.三、解答题:共70分。
河北省衡水中学2019届高三下学期大联考数 学(理科)本试卷共4页,23题(含选考题)。
全卷满分150分。
考试用时120分钟。
注意事项:1、答题前,先将自己的姓名、准考证号填写在试题卷和答题卡上,并将准考证号条形码粘贴在答题卡上的指定位置。
2、选择题的作答:每小题选出答案后,甩2B 铅笔把答题卡上对应题目的答案标号涂黑。
写在试题卷、草稿纸和答题卡上的非答题区域均无效。
3、填空题和解答题的作答:用签字笔直接答在答题卡上对应的答题区域内。
写在试题卷、草稿纸莉答题卡上的非答题区域均无效。
4、选考题的作答:先把所选题目的题号在答题卡上指定的位置用2B 铅笔涂黑。
答案写在答题卡上对应的答题区域内,写在试题卷、草稿纸和答题卡上的非答题区域均无效。
5、考试结束后,请将本试题卷和答题卡一并上交。
第Ⅰ卷一、选择题:本题共12小题,每小题5分,在每小题给出的四个选项中,只有一项是符合题目要求的。
1.已知集合}1|{≥=x x M ,})2(|{212x x y x N -==,则集合=N M I A .φB .),2(+∞C .),2[+∞D .]2,1[2.已知i 为虚数单位,且复数z 满足:i 32)i 1(-=-z ,则z 的虚部为A .21-B .2i -C .21D .253.已知抛物线)0(22>=p py x C :的焦点F 在直线4=+y x l :上,则点F 到C 的准线的距离为A .2B .4C .8D .164.下图是我国2018年1月至12月石油进口量统计图(其中同比是今年第n 个月与去年第n 个月之比),则下列说法错误的是A .2018年下半年我国原油进口总量高于2018年上半年B .2018年12个月中我国原油月最高进口量比月最低进口量高 1152万吨C .2018年我国原油进口总量高于2017年我国原油进口总量D .2018年1月-5月各月与2017年同期相比较,我国原油进口量有增有减5.已知)2,1(A ,)3,2(B ,),1(m C -,若||||BC BA BC BA -=+,则=ACA .6B .52C .16D .206.已知函数2)1(2)(3-+'-=a f x x x f ,若)(x f 为奇函数,则曲线)(x f y =在点))(,(a f a 处的切线方程为 A .02=-y x B .0=y C .01610=--y x D .02=+-y x 7.函数)(x f 的图象可看作是将函数x y cos 2=的图象向右平移6π个单位长度后,荐把图象上所有点的横坐标变为原来的21倍(纵坐标不变)而得到的,则函数)(x f 的解析式为 A .)62cos(2)(π+=x x fB .)32cos(2)(π+=x x fC .)621cos(2)(π-=x x fD .)32sin(2)(π+=x x f 8.设函数2tan )(x x f =,若)2o 1(3g f a =,)2lo (5g f b =,)2(2.0f c =,则A .c b a <<B .a c b <<C .b c <<αD .c a b <<9.十三届全国人大二次会议于2019年3月5日至15日在北京召开.会议期间,工作人员将其中的5个代表团人员(含A 、B 两市代表团)安排至a ,b ,c 三家宾馆住宿,规定同一个代表团的人员住同一家宾馆,且每家宾馆至少有一个代表团入住,若A 、B 两市代表团必须安排在a 宾馆入住,则不同的安排方法种数为 A .6 B .12 C .16 D .18 10.某几何体的三视图如图所示,则该几何体的外接球的表面积为A .π3B .23πC .π6D .π1211.已知坐标平面xOy 中,点F 1,F 2分别为双曲线)0(1222>=-a y ax C :的左、右焦点,点M 在双曲线C 的左支上,MF 2与双曲线C 的一条渐近线交于点D ,且D 为MF 2的中点,点I 为△OMF 2的外心,若O 、I 、D 三点共线,则双曲线C 的离心率为 A .2B .3C .5D .512.当x 为实数时,trunc(x )表示不超过x 的最大整数,如trunc(3,1)=3.已知函数)(trunc )(x x f = (其中R x ∈),函数)(x g 满足)6()(x g x g -=,)1()1(x g x g -=+,且]3,0[∈x 时|2|)(2x x x g -=,则方程)()(x g x f =的实根的个数为A .4B .5C .6D .7第Ⅱ卷本卷包括必考题和选考题两部分。
2019年全国高三统一联合考试理科数学一、选择题1.若集合A ={x|x <3},{}2B =,则A∩B =A .{x|x <3}B .{x|0≤x <3}C .{x|0<x <3}D .{x|x≤4} 2.已知i 为虚数单位,若a 为实数,且a ≠0, 则1i ia a -=+A .a +iB .a -iC .iD .-i3.如图,网格纸上每个小正方形的边长为10cm ,粗实线画出的是某蛋糕店制作的一款生日蛋糕的三视图,则该蛋糕的体积为A .3π×103cm 3B .7π×103cm 3C .9π×103cm 3D .10π×103cm 3 4.已知ππ()22α∈-,,且cos2α=2sin2α-1,则tanα=A .12- B .12C .-2D .25.在25()y x x-的展开式中,xy 3的系数为 A .20 B .10 C .-10 D .-20 6.函数21()x xe f x xe +=的图象大致为A .B .C .D .7.摆线最早出现于公元1501年出版的C·包威尔的一本书中,摆线是这样定义的:一个圆沿一条直线缓慢地滚动,则圆上一固定点所经过的轨迹称为摆线.圆滚动一周,动圆上定点描画出摆线的第一拱;再向前滚动一周,动圆上定点描画出第二拱;继续滚动,可得第三拱、第四拱、……设圆的半径为r ,圆滚动的圈数为c ,摆线的长度为l ,执行如图所示程序框图,若输入的r =2,c =2,则输出摆线的长度为A .12πB .16πC .32D .968.在△ABC 中,a ,b ,c 分别为角A ,B ,C 的对边,b =2,c C =60°,则sinA 的值为A B .7C D .149.某车站在某一时刻有9位旅客出站,假设每位旅客选择共享单车继续出行的概率都为12,且各位旅客之间互不影响.设在这一时刻9位旅客中恰好有k人骑行共享单车的概率为P(X-k),则A.P(X=4)=P(X=5)B.P(X=4)>P(X=5)C.P(X=5)<P(X=6)D.P(X=5)=P(X=6)10.在边长为8的等边△ABC中,D,E分别为AC,AB的中点.现将△ADE 沿DE折起到△A′DE的位置,使得A B'=A′B与底面BCDE所成的正弦值为ABCD.11.已知抛物线C:y2=4x的焦点为F,A为抛物线C上异于顶点O的一点,点B的坐标为(a,b)(其中a,b满足b2-4a<0).当|AB|+|AF|最小时,△ABF恰好正三角形,则a=A.1 B.43C.53D.212.已知函数ln(2)2()02ln(2)2x xf x xx x->⎧⎪==⎨⎪-<⎩,,,若f(x)≤|x-a|对任意的x∈R恒成立,则实数a的取值范围是A.[1,3] B.[2,4] C.[1,2] D.[-1,1]二、填空题13.已知向量(21)a =-,,()32b =,,若()a b a λ+⊥,则实数λ=_________. 14.函数f (x )=x 2-ln|x|的图象在点(-1,f (-1))处的切线方程为__________.15.将函数2π()2cos π13f x x ⎛⎫=+- ⎪⎝⎭的图象上所有点的横坐标伸长到原来的2倍,纵坐标不变,再把所得函数的图象向右平移1个单位长度,最后得到的图象对应的函数设为g (x ),则g (x )在区间[-1,1]上的所有零点的和为_______________. 16.已知双曲线C :22221x y a b-=(a >0,b >0)的左、右焦点分别为F 1,F 2,过F 2的直线l 与C 交于A ,B (其中点A 在x 轴上方)两点,且满足22AF F B λ=.若C 的离心率为32,直线l 的倾斜角为120°,则实数λ的值是____________.三、解答题 (一)必考题17.已知等比数列{a n }是递减数列,a 1a 4=3,a 2+a 3=4. (1)求数列{a n }的通项公式;(2)设b n =2n -2a n +1+n ,求数列{b n }的前n 项和T n .18.如图,在多面体ABCDFE中,四边形ABCD是菱形,∠ABC=60°,四边形ABEF是直角=梯形,∠FAB=90°,AF∥BE,AF=AB=2BE=2.(1)证明:CE∥平面ADF.(2)若平面ABCD⊥平面ABEF,H为DF的中点,求平面ACH与平面ABEF所成锐二面角的余弦值.19.为了解高三学生的“理科综合”成绩是否与性别有关,某校课外学习兴趣小组在本地区高三年级理科班中随机抽取男、女学生各100名,然后对200名学生在一次联合模拟考试中的“理科综合”成绩进行统计.规定:分数不小于240分为“优秀”,小于240分为“非优秀”.(1)根据题意,填写下面的2×2列联表,并根据;列联表判断是否有90%以上的把握认为“理科综合”成绩是否优秀与性别有关.(2)用分层抽样的方法从成绩优秀的学生中随机抽取12名学生,然后再从这12名学生中抽取3名参加某高校举办的自主招生考生,设抽到的3名学生中女生的人数为X ,求X 的分布列及数学期望.附:22()()()()()n ad bc K a b c d a c b d -=++++,其中n =a +b +c +d .20.在平面直角坐标系xOy中,已知椭圆C:22221x ya b+=(a>b>0)的离心率为3,直线l和椭圆C交于A,B两点,当直线l过椭圆C的焦点,且与x轴垂直时,23AB=.(1)求椭圆C的方程;(2)设直线l过点(1,0)且倾斜角为钝角,P为弦AB的中点,当∠OPB 最大时,求直线l的方程.21.已知函数f(x)=x2e ax-1.(1)讨论函数f(x)的单调性;(2)当1e3a>时,求证:f(x)>lnx.22.[选修4-4:坐标系与参数方程]在平面直角坐标系xOy 中,已知倾斜角为α的直线l 的参数方程为2cos sin x t y t αα=-+⎧⎨=⎩(t 为参数),曲线C 的参数方程为cos sin x y θθ=⎧⎨=⎩(θ为参数),点P的坐标为(-2,0).(1)当12cos 13α=时,设直线l 与曲线C 交于A ,B 两点,求|PA|·|PB|的值;(2)若点Q 在曲线C 上运动,点M 在线段PQ 上运动,且2PM MQ =,求动点M 的轨迹方程.23.[选修4-5:不等式选讲] 已知函数f (x )=|x -1|+|2x|.(1)在给出的平面直角坐标系中作出函数f (x )的图象,并解不等式f (x )≥2;(2)若不等式f (x )+|x -1|≥5-k 对任意的x ∈R 恒成立,求证:65k k+≥.2019年全国高三统一联合考试·理科数学一、选择题1.B 2.D 3.C 4.B 5.C 6.A 7.C 8.D 9.A 10.B 11.C 12.A 二、填空题13.5414.x +y =0 15.2316.17三、解答题17.解:(1)设等比数列{a n }的公比为q ,则2312113,4,a q a q a q ⎧=⎪⎨+=⎪⎩ 解得11,33a q ⎧=⎪⎨⎪=⎩或19,1.3a q =⎧⎪⎨=⎪⎩又因为数列{a n }是递减数列,所以11,33a q ⎧=⎪⎨⎪=⎩不合题意,故19,1.3a q =⎧⎪⎨=⎪⎩故数列{a n }的通项公式为a n =33-n .(2)由(1)得222223()3n n n n b n n ---=⨯+=+, 故232[1()](1)99223()22223213n n n n n n n T -++=+=-⨯+-.18.(1)证明:(方法一)因为四边形ABCD 是菱形,所以AD ∥BC .又因为AF ∥BE ,AF∩AD =A ,BC∩BE =B ,所以平面ADF ∥平面BCE . 因为CE ⊂平面BCE ,所以CE ∥平面ADF . (方法二)取AF 的中点M ,连接DM ,EM ,如图.由题意知AM =BE 且AM ∥BE ,所以四边形ABEM 为平行四边形,即ME =AB 且ME ∥AB .又因为四边形ABCD 是菱形,所以四边形DCEM 为平行四边形,即有DM ∥CE .又DM ⊂平面ADF ,CE ⊄平面ADF ,所以CE ∥平面ADF .(2)解:取CD 的中点N ,在菱形ABCD 中,∠ABC =60°,可得AN ⊥CD . 因为平面ABCD ⊥平面ABEF ,平面ABCD∩平面ABEF =AB ,AF ⊂平面ABEF ,AF ⊥AB ,所以AF ⊥平面ABCD . 以A为坐标原点,以AN uuu r ,AB uu ur ,AF uu u r 的方向分别为x 轴、y 轴、z 轴的正方向,建立空间直角坐标系A —xyz 如图所示.故A(0,0,0),C1,0),D-1,0),F(0,0,2),1,1)2H-,1,1)2AH=-uuu r,,0)AC=u u u r.设平面ACH的一个法向量为(,,)n x y z=r,则有0,0,n AHn AC⎧⋅=⎪⎨⋅=⎪⎩r uuu rr uuu r即10,220.x y zy-+=⎪⎨+=令x=1可得(1,n=r.易知平面ABEF的一个法向量为(1,0,0)m=u r.设平面ACH与平面ABEF所成的锐二面角为θ,则||cos||||m nm nθ⋅==u r ru r r,.19.解:(1)填写列联表如下:因为22200(35756525) 2.381 2.70610010060140K ⨯⨯-⨯=≈<⨯⨯⨯, 所以没有90%以上的把握认为“理科综合”成绩是否优秀与性别有关.(2)利用分层抽样的方法,抽到男生的人数为1235760⨯=,抽到女生的人数为1225560⨯= 若从12人中任意抽取3人,则女生被抽到的人数X =0,1,2,3,3075312C C 7(0)C 44P X ===,2175312C C 21(1)C 44P X ===,1275312C C 7(2)C 22P X ===,0375312C C 1(3)C 22P X ===. 故抽到女生的人数X 的分布列为()0123444422224E X =⨯+⨯+⨯+⨯=. 20.解:(1)由题意知c a =,2221(1)9c b a -=,又a 2=b 2+c 2,解得b 2=1,a 2=9,故椭圆C 的方程为2219x y +=. (2)设A (x 1,y 1),B (x 2,y 2),直线l :y =k (x -1)(k <0). 联立方程221,9(1),x y y k x ⎧+=⎪⎨⎪=-⎩得(9k 2+1)x 2-18k 2x +9k 2-9=0,故21221891k x x k +=+. 设P (x 0,y 0),则212029291x x k x k +==+,200229(1)(1)9191k k y k x k k k =-=-=-++,所以直线OP 的斜率0019OP y k x k==-. 设直线l ,OP 的倾斜角分别为α,β,则∠OPB =α-β,tan tan 91tan tan()()1tan tan 89OPB k kαβαβαβ-∠=-==++. 因为k <0,所以112()()993k k k k -+=-+=-≥,即1293k k +-≤,所以3t an 4O P B ∠-≤.当且仅当13k =-时,等号成立. 所以当∠OPB 最大时,直线l 的斜率13k =-,此时直线l 的方程为x +3y -1=0.21.(1)解:函数f (x )的定义域为R ,f′(x )=2xe ax +x 2·ae ax =x (ax +2)e ax .当a =0时,f (x )=x 2-1,则f (x )在区间(0,+∞)内为增函数,在区间(-∞,0)内为减函数;当a >0时,2()()e ax f x ax x a '=+,令f′(x )>0得2x a <-或x >0,令f′(x )<0得20x a -<<,所以f (x )在区间(-∞,2a -)内为增函数,在区间(2a -,0)内为减函数,在区间(0,+∞)内为增函数;当a <0时,2()()e ax f x a x x a '=+,令f′(x )>0得20x a <<-,令f′(x )<0得2x a >-或x <0,所以f (x )在区间(-∞,0)内为减函数,在区间(0,2a -)内为增函数,在区间(2a -,+∞)内为减函数.(2)证明:由f (x )>lnx ,得x 2e ax >lnx +1,即3e ln 1ax x x x+>. 设3ln 1()x g x x +=则3261(ln 1)3()x x x x g x x⋅-+⋅'=23443ln 23(ln ln e )x x x x -+-=-=-当230e x -<<时,g′(x )>0;当23e x ->时,g′(x )<0.所以g (x )在区间(0,23e -)内是增函数,在区间(23e -,+∞)内是减函数, 所以23e x -=是g (x )的极大值点,也是g (x )的最大值点, 即22323max 233ln e 11()(e )e 3(e )g x g ---+===. 设e ()(0)ax h x x x =>,则21()e ()ax a x a h x x -'=. 当10x a <<时,h′(x )<0;当1x a>时,h′(x )>0. 所以h (x )在区间(0,1a )内是减函数,在区间(1a,+∞)内是增函数, 所以1x a=是h (x )的极小值点,也是h (x )的最小值点, 即min 1()()e h x h a a== 综上,21()e e ()3g x a h x <≤≤,故f (x )>lnx 成立. 22.解:(1)曲线C 的普通方程为x 2+y 2=1. 当12cos 13α=时,直线l 的参数方程为122,13513x t y t ⎧=-+⎪⎪⎨⎪=⎪⎩(t 为参数),代入曲线C 的普通方程,得2483013t t -+=. 由于248276()12013169∆=--=>,故可设点A ,B 对应的参数分别为t 1,t 2,则t 1·t 2=3,所以|PA|·|PB|=3.(2)设Q (cosθ,sinθ),M (x ,y ),则由2PM MQ =uuu r uuu r ,得(x +2,y )=2(cosθ-x ,sinθ-y ),即322cos ,32sin .x y θθ+=⎧⎨=⎩消去θ,得2224()39x y ++=,此即为点M 的轨迹方程.23.(1)解:13,0,()|1||2|1,01,31,1,x x f x x x x x x x -<⎧⎪=-+=+⎨⎪->⎩≤≤其图像如下图所示.令f (x )=2,得13x =-或x =1, 由f (x )的图像可知,不等式f (x )≥2的解集为{x|13x -≤,或x≥1}. (2)证明:因为f (x )+|x -1|=|2x -2|+|2x|≥|2x -2-2x|=2. 所以k≥3. 因为2656(2)(3)5k k k k k k k k-+--+-==, 又由k≥3,得k -2>0,k -3≥0,所以(2)(3)0k k k--≥, 即65k k +≥.。
2019年全国统一高考数学试卷(理科)(全国1卷)一、选择题:本题共12小题,每小题5分,共60分。
在每小题给出的四个选项中,只有一项是符合题目要求的。
1.(5分)已知集合M={x|﹣4<x<2},N={x|x2﹣x﹣6<0},则M∩N=()A.{x|﹣4<x<3} B.{x|﹣4<x<﹣2} C.{x|﹣2<x<2} D.{x|2<x<3} 2.(5分)设复数z满足|z﹣i|=1,z在复平面内对应的点为(x,y),则()A.(x+1)2+y2=1 B.(x﹣1)2+y2=1C.x2+(y﹣1)2=1 D.x2+(y+1)2=13.(5分)已知a=log20.2,b=20.2,c=0.20.3,则()A.a<b<c B.a<c<b C.c<a<b D.b<c<a4.(5分)古希腊时期,人们认为最美人体的头顶至肚脐的长度与肚脐至足底的长度之比是(≈0.618,称为黄金分割比例),著名的“断臂维纳斯”便是如此.此外,最美人体的头顶至咽喉的长度与咽喉至肚脐的长度之比也是.若某人满足上述两个黄金分割比例,且腿长为105cm,头顶至脖子下端的长度为26cm,则其身高可能是()A.165cm B.175cm C.185cm D.190cm5.(5分)函数f(x)=在[﹣π,π]的图象大致为()A.B.C.D.6.(5分)我国古代典籍《周易》用“卦”描述万物的变化.每一“重卦”由从下到上排列的6个爻组成,爻分为阳爻“”和阴爻“”,如图就是一重卦.在所有重卦中随机取一重卦,则该重卦恰有3个阳爻的概率是()A.B.C.D.7.(5分)已知非零向量,满足||=2||,且(﹣)⊥,则与的夹角为()A.B.C.D.8.(5分)如图是求的程序框图,图中空白框中应填入()A.A=B.A=2+C.A=D.A=1+9.(5分)记S n为等差数列{a n}的前n项和.已知S4=0,a5=5,则()A.a n=2n﹣5 B.a n=3n﹣10 C.S n=2n2﹣8n D.S n=n2﹣2n 10.(5分)已知椭圆C的焦点为F1(﹣1,0),F2(1,0),过F2的直线与C交于A,B两点.若|AF2|=2|F2B|,|AB|=|BF1|,则C的方程为()A.+y2=1 B.+=1C.+=1 D.+=111.(5分)关于函数f(x)=sin|x|+|sin x|有下述四个结论:①f(x)是偶函数②f(x)在区间(,π)单调递增③f(x)在[﹣π,π]有4个零点④f(x)的最大值为2其中所有正确结论的编号是()A.①②④B.②④C.①④D.①③12.(5分)已知三棱锥P﹣ABC的四个顶点在球O的球面上,P A=PB=PC,△ABC是边长为2的正三角形,E,F分别是P A,AB的中点,∠CEF=90°,则球O的体积为()A.8πB.4πC.2πD.π二、填空题:本题共4小题,每小题5分,共20分。
河北省衡水中学2019届高三下学期一调考试数学(理科)一、选择题:本题共12小题.在每小题给出的四个选项中,只有一项是符合题目要求的.1.已知集合,,则()A. B. C. D.【答案】D【解析】【分析】解一元二次不等式求得A,解指数不等式求得B,再根据两个集合的交集的定义求得.【详解】因为集合,,所以,故选D.【点睛】该题考查的是有关集合的运算,属于简单题目.2.已知,是虚数单位,若,则()A. B. 2 C. D. 5【答案】C【解析】【分析】根据复数相等的充要条件,构造关于的方程组,解得的值,进而可得答案.【详解】因为,结合,所以有,解得,所以,故选C.【点睛】该题考查的是有关复数的模的问题,涉及到的知识点有复数相等的条件,属于简单题目.3.给出下列四个结论:①命题“,”的否定是“,”;②命题“若,则且”的否定是“若,则”;③命题“若,则或”的否命题是“若,则或”;④若“是假命题,是真命题”,则命题,一真一假.其中正确结论的个数为()A. 1B. 2C. 3D. 4【答案】B【解析】【分析】①写出命题“,”的否定,可判断①的正误;②写出命题“若,则且”的否定,可判断②的正误;写出命题“若,则或”的否命题,可判断③的正误;④结合复合命题的真值表,可判断④的正误,从而求得结果.【详解】①命题“,”的否定是:“,”,所以①正确;②命题“若,则且”的否定是“若,则或”,所以②不正确;③命题“若,则或”的否命题是“若,则且”,所以③不正确;④“是假命题,是真命题”,则命题,一真一假,所以④正确;故正确命题的个数为2,故选B.【点睛】该题考查的是有关判断正确命题的个数的问题,涉及到的知识点有命题的否定,否命题,复合命题真值表,属于简单题目.4.函数的图像大致是()A. B.C. D.【答案】A【解析】【分析】观察函数解析式,通过函数的定义域,特殊点以及当时,函数值的变化趋势,将不满足条件的选项排除,从而得到正确的结果.【详解】因为函数的定义域为R,故排除B,因为,所以排除C,当时,因为指数函数比对数函数增长速度要快,所以当时,有,所以排除D,故选A.【点睛】该题是一道判断函数图象的题目,总体方法是对函数解析式进行分析,注意从函数的定义域、图象所过的特殊点以及对应区间上函数图象的变化趋势,来选出正确的结果,注意对不正确的选项进行排除.5.已知图①②③中的多边形均为正多边形,,分别是所在边的中点,双曲线均以图中,为焦点.设图①②③中双曲线的离心率分别为,,,则()A. B.C. D.【答案】D【解析】【分析】分别根据正三角形、正方形、正六边形的性质,将用表示,然后利用双曲线的定义,求得,的等量关系,分别求出图示①②③中的双曲线的离心率,然后再判断的大小关系.【详解】图①中,;图③中,设正六边形的一个在双曲线右支上的顶点为,则,则;图②中,,,故选D.【点睛】本题主要考查双曲线的定义及离心率,属于难题.离心率的求解在圆锥曲线的考查中是一个重点也是难点,一般求离心率有以下几种情况:①直接求出,从而求出;②构造的齐次式,求出;③采用离心率的定义以及圆锥曲线的定义来求解;④根据圆锥曲线的统一定义求解.6.执行如图所示的程序框图,则输出的结果是()A. 2018B. -1010C. 1009D. -1009【答案】C【解析】【分析】根据程序框图,它的作用是求的值,根据结合律进行求解,可得结果. 【详解】该程序框图的作用是求的值,而,故选C.【点睛】该题主要考查程序框图,用结合律进行求和,属于简单题目.7.已知某几何体的三视图如图所示,图中小方格的边长为1,则该几何体的表面积为()A. 65B.C.D. 60【答案】D【解析】【分析】由已知的三视图还原几何体为三棱柱截去三棱锥得到的,根据图中数据,计算表面积.【详解】由三视图可知,该几何体为如下图所示的多面体,它是由直三棱柱截去三棱锥所剩的几何体,其中,所以其表面积为,故选D.【点睛】该题考查的是有关几何体的表面积的问题,涉及到的知识点有根据三视图还原几何体,锥体的表面积,属于简单题目.8.五个人围坐在一张圆桌旁,每个人面前放着完全相同的硬币,所有人同时翻转自己的硬币.若硬币正面朝上,则这个人站起来;若硬币正面朝下,则这个人继续坐着.那么没有相邻的两个人站起来的概率为()A. B. C. D.【答案】C【解析】五个人的编号为由题意,所有事件共有种,没有相邻的两个人站起来的基本事件有,再加上没有人站起来的可能有种,共种情况,所以没有相邻的两个人站起来的概率为故答案选9.在中,角,,所对的边分别为,,,若,则()A. B. C. D.【答案】C【解析】在中,,由正弦定理得,,由余弦定理得,,,,,故选C.10.已知抛物线的焦点为,,是抛物线上的两个动点,若,则的最大值为()A. B. C. D.【答案】B【解析】【分析】利用余弦定理,结合基本不等式,即可求出的最大值.【详解】因为,,所以,在中,由余弦定理得:,又,所以,所以,所以的最大值为,故选B.【点睛】该题考查的是有关解三角形的问题,涉及到的知识点有余弦定理,基本不等式,在解题的过程中,对题的条件进行正确转化是解题的关键,属于中档题目.11.已知当时,,则以下判断正确的是()A. B. C. D.【答案】C【解析】记,为偶函数且在上单调递减,由,得到即∴,即故选:C12.若存在一个实数,使得成立,则称为函数的一个不动点.设函数(,为自然对数的底数),定义在上的连续函数满足,且当时,.若存在,且为函数的一个不动点,则实数的取值范围为()A. B. C. D.【答案】B【解析】∵f(﹣x)+f(x)=x2∴令F(x)=f(x)﹣,∴f(x)﹣=﹣f(﹣x)+x2∴F(x)=﹣F(﹣x),即F(x)为奇函数,∵F′(x)=f′(x)﹣x,且当x0时,f′(x)<x,∴F′(x)<0对x<0恒成立,∵F(x)为奇函数,∴F(x)在R上单调递减,∵f(x)+≥f(1﹣x)+x,∴f(x)+﹣≥f(1﹣x)+x﹣,即F(x)≥F(1﹣x),∴x≤1﹣x,x0≤,∵为函数的一个不动点∴g(x0)=x0,即h(x)= =0在(﹣∞,]有解.∵h′(x)=e x-,∴h(x)在R上单调递减.∴h (x)min=h()=﹣a即可,∴a≥.故选:B点睛:已知函数有零点求参数取值范围常用的方法和思路(1)直接法:直接根据题设条件构建关于参数的不等式,再通过解不等式确定参数范围;(2)分离参数法:先将参数分离,转化成求函数值域问题加以解决;(3)数形结合法:先对解析式变形,在同一平面直角坐标系中,画出函数的图象,然后数形结合求解.二、填空题:本题共4小题.13.抛物线的准线方程为________.【答案】【解析】由抛物线的标准方程为x2=y,得抛物线是焦点在y轴正半轴的抛物线,2P=1,∴其准线方程是y=,。