应用多元统计分析试题及答案
- 格式:doc
- 大小:294.00 KB
- 文档页数:5
1. 在多元统计分析中,主成分分析的主要目的是:A. 减少变量数量B. 增加变量数量C. 提高模型复杂度D. 降低模型复杂度2. 下列哪种方法不属于多元回归分析?A. 逐步回归B. 岭回归C. 主成分回归D. 判别分析3. 在因子分析中,公因子的数量通常是如何确定的?A. 根据经验B. 根据数据特征C. 根据特征值大于1的原则D. 根据样本数量4. 多元统计分析中的聚类分析主要用于:A. 数据降维B. 数据分类C. 数据预测D. 数据可视化5. 在判别分析中,Fisher判别法的主要思想是:A. 最大化类间距离B. 最小化类内距离C. 最大化类内距离D. 最小化类间距离6. 下列哪种统计方法适用于处理非正态分布数据?A. 多元回归分析B. 主成分分析C. 因子分析D. 非参数统计方法7. 在多元统计分析中,协方差矩阵的作用是:A. 描述变量间的线性关系B. 描述变量间的非线性关系C. 描述变量间的独立关系D. 描述变量间的随机关系8. 下列哪种方法可以用于处理多重共线性问题?A. 逐步回归B. 岭回归C. 主成分回归D. 以上都是9. 在多元统计分析中,偏相关系数的定义是:A. 控制其他变量后,两个变量间的相关性B. 控制其他变量后,两个变量间的独立性C. 控制其他变量后,两个变量间的依赖性D. 控制其他变量后,两个变量间的随机性10. 下列哪种方法不属于时间序列分析?A. 移动平均法B. 指数平滑法C. 主成分分析D. 自回归模型11. 在多元统计分析中,典型相关分析的主要目的是:A. 分析两个变量集之间的相关性B. 分析两个变量集之间的独立性C. 分析两个变量集之间的依赖性D. 分析两个变量集之间的随机性12. 下列哪种方法可以用于处理缺失数据?A. 删除含有缺失数据的样本B. 使用均值填充C. 使用回归模型预测缺失值D. 以上都是13. 在多元统计分析中,马氏距离的定义是:A. 基于协方差矩阵的距离度量B. 基于相关矩阵的距离度量C. 基于方差矩阵的距离度量D. 基于标准差矩阵的距离度量14. 下列哪种方法不属于非线性降维方法?A. 主成分分析B. 核主成分分析C. 局部线性嵌入D. 等距映射15. 在多元统计分析中,偏最小二乘回归的主要优点是:A. 处理多重共线性问题B. 处理非正态分布数据C. 处理缺失数据D. 处理高维数据16. 下列哪种方法可以用于处理高维数据?A. 主成分分析B. 因子分析C. 偏最小二乘回归D. 以上都是17. 在多元统计分析中,核方法的主要思想是:A. 将数据映射到高维空间B. 将数据映射到低维空间C. 将数据映射到同维空间D. 将数据映射到随机空间18. 下列哪种方法不属于分类方法?A. 判别分析B. 逻辑回归C. 支持向量机D. 主成分分析19. 在多元统计分析中,支持向量机的主要优点是:A. 处理线性可分问题B. 处理线性不可分问题C. 处理非线性可分问题D. 处理非线性不可分问题20. 下列哪种方法可以用于处理不平衡数据集?A. 过采样B. 欠采样C. 合成少数类过采样技术D. 以上都是21. 在多元统计分析中,随机森林的主要优点是:A. 处理高维数据B. 处理缺失数据C. 处理不平衡数据集D. 以上都是22. 下列哪种方法不属于集成学习方法?A. 随机森林B. 梯度提升机C. 自适应提升D. 主成分分析23. 在多元统计分析中,梯度提升机的主要思想是:A. 逐步构建模型B. 逐步优化模型C. 逐步简化模型D. 逐步复杂化模型24. 下列哪种方法可以用于处理时间序列数据?A. 移动平均法B. 指数平滑法C. 自回归模型D. 以上都是25. 在多元统计分析中,时间序列分析的主要目的是:A. 预测未来值B. 分析历史值C. 分析周期性D. 以上都是26. 下列哪种方法不属于时间序列预测方法?A. 移动平均法B. 指数平滑法C. 自回归模型D. 主成分分析27. 在多元统计分析中,移动平均法的主要优点是:A. 处理趋势数据B. 处理季节性数据C. 处理周期性数据D. 处理随机性数据28. 下列哪种方法可以用于处理季节性数据?A. 移动平均法B. 指数平滑法C. 季节性分解D. 以上都是29. 在多元统计分析中,指数平滑法的主要优点是:A. 处理趋势数据B. 处理季节性数据C. 处理周期性数据D. 处理随机性数据30. 下列哪种方法可以用于处理周期性数据?A. 移动平均法B. 指数平滑法C. 季节性分解D. 以上都是31. 在多元统计分析中,季节性分解的主要目的是:A. 分析趋势B. 分析季节性C. 分析周期性D. 分析随机性32. 下列哪种方法不属于时间序列分解方法?A. 移动平均法B. 指数平滑法C. 季节性分解D. 主成分分析答案部分(1-32题)1. A2. D3. C4. B5. A6. D7. A8. D9. A10. C11. A12. D13. A14. A15. A16. D17. A18. D19. D20. D21. D22. D23. B24. D25. D26. D27. A28. D29. A30. D31. B32. D以下是后32题:选择题部分(33-64题)33. 在多元统计分析中,自回归模型的主要目的是:A. 预测未来值B. 分析历史值C. 分析周期性D. 以上都是34. 下列哪种方法不属于自回归模型?A. ARIMAB. SARIMAC. VARD. 主成分分析35. 在多元统计分析中,ARIMA模型的主要优点是:A. 处理趋势数据B. 处理季节性数据C. 处理周期性数据D. 处理随机性数据36. 下列哪种方法可以用于处理多变量时间序列数据?A. ARIMAB. SARIMAC. VARD. 以上都是37. 在多元统计分析中,VAR模型的主要目的是:A. 分析多变量时间序列数据B. 预测多变量时间序列数据C. 分析多变量时间序列数据的周期性D. 以上都是38. 下列哪种方法不属于时间序列模型?A. ARIMAB. SARIMAC. VARD. 主成分分析39. 在多元统计分析中,SARIMA模型的主要优点是:A. 处理趋势数据B. 处理季节性数据C. 处理周期性数据D. 处理随机性数据40. 下列哪种方法可以用于处理非线性时间序列数据?A. ARIMAB. SARIMAC. VARD. 非线性自回归模型41. 在多元统计分析中,非线性自回归模型的主要目的是:A. 预测未来值B. 分析历史值C. 分析周期性D. 以上都是42. 下列哪种方法不属于非线性时间序列模型?A. 非线性自回归模型B. 神经网络模型C. 支持向量机模型D. 主成分分析43. 在多元统计分析中,神经网络模型的主要优点是:A. 处理趋势数据B. 处理季节性数据C. 处理周期性数据D. 处理随机性数据44. 下列哪种方法可以用于处理复杂时间序列数据?A. 神经网络模型B. 支持向量机模型C. 随机森林模型D. 以上都是45. 在多元统计分析中,支持向量机模型的主要目的是:A. 预测未来值B. 分析历史值C. 分析周期性D. 以上都是46. 下列哪种方法不属于复杂时间序列模型?A. 神经网络模型B. 支持向量机模型C. 随机森林模型D. 主成分分析47. 在多元统计分析中,随机森林模型的主要优点是:A. 处理趋势数据B. 处理季节性数据C. 处理周期性数据48. 下列哪种方法可以用于处理高维时间序列数据?A. 神经网络模型B. 支持向量机模型C. 随机森林模型D. 以上都是49. 在多元统计分析中,高维时间序列数据的主要特点是:A. 数据量大B. 数据维度高C. 数据复杂度高D. 以上都是50. 下列哪种方法不属于高维时间序列数据处理方法?A. 神经网络模型B. 支持向量机模型C. 随机森林模型D. 主成分分析51. 在多元统计分析中,主成分分析在高维时间序列数据处理中的主要作用是:A. 数据降维B. 数据分类C. 数据预测D. 数据可视化52. 下列哪种方法可以用于处理高维时间序列数据的缺失值?A. 删除含有缺失数据的样本B. 使用均值填充C. 使用回归模型预测缺失值D. 以上都是53. 在多元统计分析中,高维时间序列数据的缺失值处理的主要目的是:A. 提高数据完整性B. 提高数据准确性C. 提高数据可靠性D. 以上都是54. 下列哪种方法不属于高维时间序列数据的缺失值处理方法?A. 删除含有缺失数据的样本B. 使用均值填充C. 使用回归模型预测缺失值D. 主成分分析55. 在多元统计分析中,高维时间序列数据的可视化主要目的是:B. 提高数据分析性C. 提高数据预测性D. 以上都是56. 下列哪种方法可以用于高维时间序列数据的可视化?A. 散点图B. 热力图C. 平行坐标图D. 以上都是57. 在多元统计分析中,高维时间序列数据的可视化方法的主要优点是:A. 提高数据理解性B. 提高数据分析性C. 提高数据预测性D. 以上都是58. 下列哪种方法不属于高维时间序列数据的可视化方法?A. 散点图B. 热力图C. 平行坐标图D. 主成分分析59. 在多元统计分析中,高维时间序列数据的预测主要目的是:A. 提高数据理解性B. 提高数据分析性C. 提高数据预测性D. 以上都是60. 下列哪种方法可以用于高维时间序列数据的预测?A. 神经网络模型B. 支持向量机模型C. 随机森林模型D. 以上都是61. 在多元统计分析中,高维时间序列数据的预测方法的主要优点是:A. 提高数据理解性B. 提高数据分析性C. 提高数据预测性D. 以上都是62. 下列哪种方法不属于高维时间序列数据的预测方法?A. 神经网络模型B. 支持向量机模型C. 随机森林模型D. 主成分分析63. 在多元统计分析中,高维时间序列数据的分类主要目的是:A. 提高数据理解性B. 提高数据分析性C. 提高数据预测性D. 以上都是64. 下列哪种方法可以用于高维时间序列数据的分类?A. 神经网络模型B. 支持向量机模型C. 随机森林模型D. 以上都是答案部分(33-64题)33. D34. D35. A36. D37. D38. D39. B40. D41. D42. D43. D44. D45. D46. D47. D48. D49. D50. D51. A52. D53. D54. D55. D56. D57. D58. D59. C60. D61. C62. D63. D64. D。
一、判断题( 对 )112(,,,)p X X X X '=的协差阵一定是对称的半正定阵( 对 )2标准化随机向量的协差阵与原变量的相关系数阵相同。
( 对)3典型相关分析是识别并量化两组变量间的关系,将两组变量的相关关系的研究转化为一组变量的线性组合与另一组变量的线性组合间的相关关系的研究。
( 对 )4多维标度法是以空间分布的形式在低维空间中再现研究对象间关系的数据分析方法。
( 错)5),(~),,,(21∑'=μp p N X X X X ,,X S 分别是样本均值和样本离差阵,则,SX n分别是,μ∑的无偏估计。
( 对)6),(~),,,(21∑'=μp p N X X X X ,X 作为样本均值μ的估计,是无偏的、有效的、一致的。
( 错)7 因子载荷经正交旋转后,各变量的共性方差和各因子的贡献都发生了变化( 对)8因子载荷阵()ij A a =中的ij a 表示第i 个变量在第j 个公因子上的相对重要性。
( 对 )9 判别分析中,若两个总体的协差阵相等,则Fisher 判别与距离判别等价。
(对)10距离判别法要求两总体分布的协差阵相等,Fisher 判别法对总体的分布无特定的要求。
二、填空题1、多元统计中常用的统计量有:样本均值向量、样本协差阵、样本离差阵、样本相关系数矩阵.2、设∑是总体1(,,)m X X X =的协方差阵,∑的特征根(1,,)i i m λ=与相应的单位正交化特征向量12(,,,)i i i im a a a α=,则第一主成分的表达式是11111221m my a X a X a X =+++,方差为1λ。
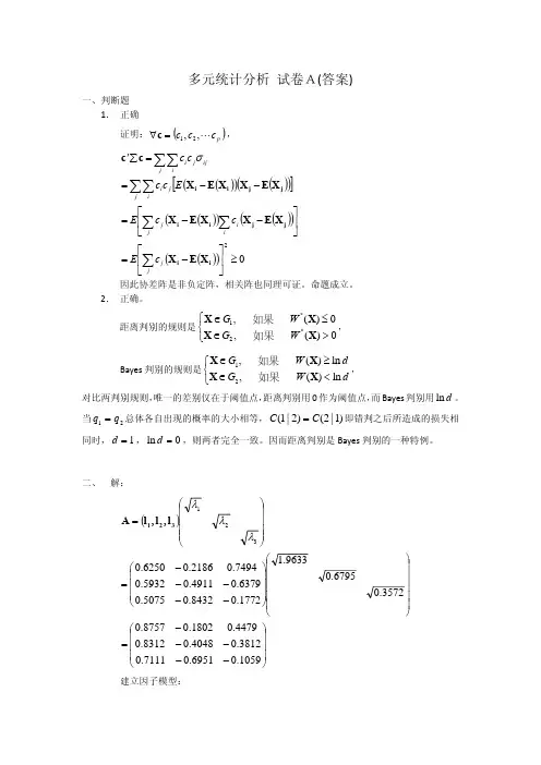
3设∑是总体1234(,,,)X X X X X =的协方差阵,∑的特征根和标准正交特征向量分别为:'112.920(0.1485,0.5735,0.5577,0.5814)U λ==--- '221.024(0.9544,0.0984,0.2695,0.0824)U λ==-'330.049(0.2516,0.7733,0.5589,0.1624)U λ==--'440.007(0.0612,0.2519,0.5513,0.7930)U λ==--,则其第二个主成分的表达式是212340.95440.09840.26950.0824y X X X X =-++,方差为1.0244. 若),(~)(∑μαp N X ,(n ,,2,1 =α)且相互独立,则样本均值向量X 服从的分布是(,)p N nμ∑.5.设(,),1,2,,16i p X N i μ∑=,X 和A 分别是正态总体的样本均值和样本离差阵,则2115[4()][4()]T X A X μμ-'=--服从 215(15,)(,)16p T p F p n p p--或6设3(,),1,2,,10i X N i μ∑=,则101()()i i i W X X μμ='=--∑服从3(10,)W ∑7.设随机向量123(,,)X X X X '=,且协差阵4434923216-⎛⎫ ⎪∑=-- ⎪ ⎪-⎝⎭,则其相关矩阵R =231382113631186⎛⎫-⎪ ⎪ ⎪-- ⎪ ⎪ ⎪- ⎪⎝⎭8. 设122(,)(,),X X X N μ=∑,其中212(,),ρμμμσρ⎛⎫=∑=⎪⎝⎭11,则1212,)X X X X +-=Cov(09设X,Y 是来自均值向量为μ,协差阵为∑的总体G 的两个样品,则X ,Y 间的马氏平方距离2(,)d X Y =1()()X Y X Y -'-∑-10设X,Y 是来自均值向量为μ,协差阵为∑的总体G 的两个样品,则X 与总体G 的马氏平方距离2(,)d X G =1()()X X μμ-'-∑-11设随机向量123(,,)X X X X '=的相关系数矩阵通过因子分析分解为121330.93400.1280.9340.4170.8351100.4170.8940.02700.8940.44730.8350.4470.1032013R ⎛⎫- ⎪⎛⎫⎛⎫ ⎪-⎛⎫ ⎪ ⎪⎪=-=-+ ⎪ ⎪ ⎪ ⎪⎝⎭ ⎪ ⎪ ⎪⎝⎭⎝⎭ ⎪ ⎪⎝⎭则1X 的共性方差21h = 0.9342 =0.872 ,其统计意义是:描述了全部公因子对变量X1的总方差所作的贡献,称为变量X1的共同度,反映了公共因子对变量X1的影响程度。
22121212121~(,),(,),(,),,1X N X x x x x x x ρμμμμσρ⎛⎫∑==∑=⎪⎝⎭+-1、设其中则Cov(,)=____.答案:010312~(,),1,,10,()()_________i i i i X N i W X X μμμ='∑=--∑、设则=服从。
答案:W 3(10,∑)()1234433,492,3216___________________X x x x R -⎛⎫ ⎪'==-- ⎪⎪-⎝⎭=∑、设随机向量且协方差矩阵则它的相关矩阵答案:211342113611146R ⎛⎫-⎪ ⎪ ⎪=-- ⎪ ⎪ ⎪- ⎪⎝⎭4、__________, __________,(),123设X=xx x 的相关系数矩阵通过因子分析分解为211X h =的共性方差111X σ=的方差121330.93400.1280.9340.4170.8351100.4170.8940.02700.8940.44730.8350.4470.1032013R ⎛⎫- ⎪⎛⎫⎛⎫ ⎪-⎛⎫ ⎪ ⎪⎪=-=-+ ⎪ ⎪ ⎪ ⎪⎝⎭ ⎪ ⎪ ⎪⎝⎭⎝⎭ ⎪ ⎪⎝⎭________________。
答案:0.872 1 1.743215,1,,16(,),(,)15[4()][4()]~___________i p p X i N X A N T X A X μμμμ-=∑∑'=--、设是来自多元正态总体和分别为正态总体的样本均值和样本离差矩阵,则。
答案:T 2(15,p )或(15p/(16-p))F (p ,n-p )12332313116421(,,)~(,),(1,0,2),441,2142X x x x N x x x x x μμ-⎛⎫⎪'=∑=-∑=-- ⎪ ⎪-⎝⎭-⎛⎫+ ⎪⎝⎭、设其中试判断与是否独立?答案:2312131231112213312121,2,10021021210001102231642100102x x y y x x x x x x y x x y x x x y E y y V y -⎛⎫==+ ⎪⎝⎭-⎛⎫⎛⎫⎛⎫⎛⎫ ⎪ ⎪ ⎪== ⎪ ⎪ ⎪ ⎪⎝⎭ ⎪ ⎪ ⎪+⎝⎭⎝⎭⎝⎭⎛⎫⎛⎫⎛⎫⎛⎫⎪⎪ ⎪== ⎪ ⎪⎪ ⎪⎝⎭ ⎪⎪ ⎪-⎝⎭⎝⎭⎝⎭-⎛⎫⎛⎫⎪=- ⎪ ⎪⎝⎭ ⎪⎝⎭、令则01-101-101-11234411002141021061661620162040210616(1,61620)3162040y y N ⎛⎫⎛⎫⎪⎪- ⎪⎪ ⎪⎪-⎝⎭⎝⎭--⎛⎫ ⎪=- ⎪⎪-⎝⎭--⎛⎫⎛⎫ ⎪ ⎪- ⎪ ⎪⎪ ⎪--⎝⎭⎝⎭1-1故,的联合分布为故不独立。
22121212121~(,),(,),(,),,1X N X x x x x x x ρμμμμσρ⎛⎫∑==∑=⎪⎝⎭+-1、设其中则Cov(,)=____.10312~(,),1,,10,()()_________i i i i X N i W X X μμμ='∑=--∑、设则=服从。
()1234433,492,3216___________________X x x x R -⎛⎫ ⎪'==-- ⎪⎪-⎝⎭=∑、设随机向量且协方差矩阵则它的相关矩阵4、__________, __________,________________。
215,1,,16(,),(,)15[4()][4()]~___________i p p X i N X A N T X A X μμμμ-=∑∑'=--、设是来自多元正态总体和分别为正态总体的样本均值和样本离差矩阵,则。
12332313116421(,,)~(,),(1,0,2),441,2142X x x x N x x x x x μμ-⎛⎫⎪'=∑=-∑=-- ⎪ ⎪-⎝⎭-⎛⎫+ ⎪⎝⎭、设其中试判断与是否独立?(),123设X=x x x 的相关系数矩阵通过因子分析分解为211X h =的共性方差111X σ=的方差21X g =1公因子f 对的贡献121330.93400.1280.9340.4170.8351100.4170.8940.02700.8940.44730.8350.4470.1032013R ⎛⎫- ⎪⎛⎫⎛⎫⎪-⎛⎫ ⎪ ⎪⎪=-=-+ ⎪ ⎪ ⎪ ⎪⎝⎭ ⎪ ⎪ ⎪⎝⎭⎝⎭ ⎪⎪⎝⎭11262(90,58,16),82.0 4.310714.62108.946460.2,(5)( 115.6924)14.6210 3.17237.14.5X S μ--'=-⎛⎫ ⎪==-- ⎪ ⎪⎝⎭0、对某地区农村的名周岁男婴的身高、胸围、上半臂围进行测量,得相关数据如下,根据以往资料,该地区城市2周岁男婴的这三个指标的均值现欲在多元正态性的假定下检验该地区农村男婴是否与城市男婴有相同的均值。
22121212121~(,),(,),(,),,1X N X x x x x x x ρμμμμσρ⎛⎫∑==∑=⎪⎝⎭+-1、设其中则Cov(,)=____.10312~(,),1,,10,()()_________i i i i X N i W X X μμμ='∑=--∑L 、设则=服从。
()1234433,492,3216___________________X x x x R -⎛⎫ ⎪'==-- ⎪ ⎪-⎝⎭=∑、设随机向量且协方差矩阵则它的相关矩阵4、__________, __________,________________。
215,1,,16(,),(,)15[4()][4()]~___________i p p X i N X A N T X A X μμμμ-=∑∑'=--L 、设是来自多元正态总体和分别为正态总体的样本均值和样本离差矩阵,则。
12332313116421(,,)~(,),(1,0,2),441,2142X x x x N x x x x x μμ-⎛⎫⎪'=∑=-∑=-- ⎪ ⎪-⎝⎭-⎛⎫+ ⎪⎝⎭、设其中试判断与是否独立?(),123设X=x x x 的相关系数矩阵通过因子分析分解为211X h =的共性方差111X σ=的方差21X g =1公因子f 对的贡献121330.93400.1280.9340.4170.8351100.4170.8940.02700.8940.44730.8350.4470.1032013R ⎛⎫- ⎪⎛⎫⎛⎫⎪-⎛⎫ ⎪ ⎪⎪=-=-+ ⎪ ⎪ ⎪ ⎪⎝⎭ ⎪ ⎪ ⎪⎝⎭⎝⎭ ⎪⎪⎝⎭11262(90,58,16),82.0 4.310714.62108.946460.2,(5)( 115.6924)14.6210 3.17237.14.5X S μ--'=-⎛⎫ ⎪==-- ⎪ ⎪⎝⎭0、对某地区农村的名周岁男婴的身高、胸围、上半臂围进行测量,得相关数据如下,根据以往资料,该地区城市2周岁男婴的这三个指标的均值现欲在多元正态性的假定下检验该地区农村男婴是否与城市男婴有相同的均值。
4、 __________, __________, ________________。
(1) 试从Σ出发求X 的第一总体主成分;(2) 试问当 取多大时才能使第一主成分的贡献率达95%以上。
1、0 2、W 3(10,∑) 3、211342113611146R ⎛⎫-⎪ ⎪ ⎪=-- ⎪ ⎪ ⎪- ⎪⎝⎭4、0.872 1 1.7435、T 2(15,p )或(15p/(16-p))F (p ,n-p )一、填空题:1、多元统计分析是运用 数理统计 方法来研究解决 多指标 问题的理论和方法.2、回归参数显着性检验是检验 解释变量 对 被解释变量 的影响是否着.3、聚类分析就是分析如何对样品(或变量)进行量化分类的问题。
通常聚类分析分为 Q 型 聚类和 R 型 聚类。
4、相应分析的主要目的是寻求列联表 行因素A 和 列因素B 的基本分析特征和它们的最优联立表示。
5、因子分析把每个原始变量分解为两部分因素:一部分为 公共因子 ,另一部分为 特殊因子 。
6、若()(,),P x N αμα∑=1,2,3….n 且相互独立,则样本均值向量x 服从的分布为_x ~N(μ,Σ/n)_。
二、简答1、简述典型变量与典型相关系数的概念,并说明典型相关分析的基本思想。
在每组变量中找出变量的线性组合,使得两组的线性组合之间具有最大的相关系数。
选取和最初挑选的这对线性组合不相关的线性组合,使其配对,并选取相关系数最大的一对,如此下去直到两组之间的相关性被提取完毕为止。
被选出的线性组合配对称为典型变量,它们的相关系数称为典型相关系数。
2、简述相应分析的基本思想。
ρ(),123设X=xx x 的相关系数矩阵通过因子分析分解为211X h =的共性方差111X σ=的方差相应分析,是指对两个定性变量的多种水平进行分析。
设有两组因素A 和B ,其中因素A 包含r 个水平,因素B 包含c 个水平。
对这两组因素作随机抽样调查,得到一个rc 的二维列联表,记为 。
22121212121~(,),(,),(,),,1X N X x x x x x x ρμμμμσρ⎛⎫∑==∑=⎪⎝⎭+-1、设其中则Cov(,)=____.10312~(,),1,,10,()()_________i i i i X N i W X X μμμ='∑=--∑、设则=服从。
()1234433,492,3216___________________X x x x R -⎛⎫ ⎪'==-- ⎪ ⎪-⎝⎭=∑、设随机向量且协方差矩阵则它的相关矩阵4、__________, __________,________________。
215,1,,16(,),(,)15[4()][4()]~___________i p p X i N X A N T X A X μμμμ-=∑∑'=--、设是来自多元正态总体和分别为正态总体的样本均值和样本离差矩阵,则。
(),123设X=x x x 的相关系数矩阵通过因子分析分解为211X h =的共性方差111X σ=的方差21X g =1公因子f 对的贡献121330.93400.1280.9340.4170.8351100.4170.8940.02700.8940.44730.8350.4470.1032013R ⎛⎫- ⎪⎛⎫⎛⎫ ⎪-⎛⎫ ⎪ ⎪⎪=-=-+ ⎪ ⎪ ⎪ ⎪⎝⎭ ⎪ ⎪ ⎪⎝⎭⎝⎭ ⎪ ⎪⎝⎭12332313116421(,,)~(,),(1,0,2),441,2142X x x x N x x x x x μμ-⎛⎫⎪'=∑=-∑=-- ⎪ ⎪-⎝⎭-⎛⎫+ ⎪⎝⎭、设其中试判断与是否独立?11262(90,58,16),82.0 4.310714.62108.946460.2,(5)( 115.6924)14.6210 3.17237.14.5X S μ--'=-⎛⎫ ⎪==-- ⎪ ⎪⎝⎭0、对某地区农村的名周岁男婴的身高、胸围、上半臂围进行测量,得相关数据如下,根据以往资料,该地区城市2周岁男婴的这三个指标的均值现欲在多元正态性的假定下检验该地区农村男婴是否与城市男婴有相同的均值。
多元统计期末考试题及答案一、选择题(每题2分,共20分)1. 在多元线性回归中,如果一个变量的系数为0,这意味着什么?A. 该变量对因变量没有影响B. 该变量与因变量完全相关C. 该变量与因变量无关D. 该变量是多余的2. 主成分分析(PCA)的主要目的是什么?A. 减少数据的维度B. 增加数据的维度C. 找到数据的均值D. 找到数据的中位数3. 以下哪个不是聚类分析的优点?A. 可以揭示数据的内在结构B. 可以用于分类C. 可以减少数据的维度D. 可以找到数据的异常值4. 在因子分析中,如果一个因子的方差贡献率很低,这通常意味着什么?A. 该因子对数据的解释能力很强B. 该因子对数据的解释能力很弱C. 该因子是多余的D. 该因子是重要的5. 以下哪个是多元统计分析中常用的距离度量?A. 欧氏距离B. 曼哈顿距离C. 切比雪夫距离D. 所有以上选项二、简答题(每题10分,共30分)6. 解释什么是多元线性回归,并简述其在实际问题中的应用。
7. 描述主成分分析(PCA)的基本原理,并举例说明其在数据分析中的作用。
8. 简述聚类分析的过程,并讨论其在商业数据分析中的应用。
三、计算题(每题25分,共50分)9. 假设有以下数据集,包含两个变量X和Y,以及它们的观测值:| 观测 | X | Y |||||| 1 | 2 | 3 || 2 | 3 | 4 || 3 | 4 | 5 || 4 | 5 | 6 |请计算X和Y的协方差,并解释其意义。
10. 给定以下数据集,进行聚类分析,并解释聚类结果:| 观测 | 变量1 | 变量2 |||-|-|| 1 | 1.5 | 2.5 || 2 | 2.0 | 3.0 || 3 | 3.5 | 4.5 || 4 | 4.0 | 5.0 |多元统计期末考试题答案一、选择题1. A2. A3. C4. B5. D二、简答题6. 多元线性回归是一种统计方法,用于分析两个或两个以上的自变量(解释变量)与一个因变量之间的关系。
多元统计分析试题及答案华南农业⼤学期末试卷(A 卷)2006学年第2学期考试科⽬:多元统计分析考试类型:(闭卷)考试时间:120 分钟⼀、填空题(5×6=30)22121212121~(,),(,),(,),,1X N X x x x x x x ρµµµµσρ∑==∑=+-1、设其中则Cov(,)=____.10312~(,),1,,10,()()_________iiii XN i W XXµµµ='∑=--∑ 、设则=服从。
()1234433,492,3216___________________X x x x R -?? ?'==-- ? ?-?=∑、设随机向量且协⽅差矩阵则它的相关矩阵________________。
(),123设X=xx x 的相关系数矩阵通过因⼦分析分解为211X h =的共性⽅差111X σ=的⽅差21X g =1公因⼦f 对的贡献121330.9340.1280.9340.4170.8351100.4170.8940.027 0.8940.44730.8350.4470.1032013R ?-?-=-=-+5,1,,16(,),(,)15[4()][4()]~___________i p p X i N X A N TX A X µµµµ-=∑∑'=-- 、设是来⾃多元正态总体和分别为正态总体的样本均值和样本离差矩阵,则。
⼆、计算题(5×11=50)12332313116421(,,)~(,),(1,0,2),441,2142X x x x N x x x x x µµ-??'=∑=-∑=-- --??+、设其中试判断与是否独⽴?11262(90,58,16),82.0 4.310714.62108.946460.2,(5)( 115.6924)14.62103.17237.14.5X S µ--'=-?? ?==-- ? 0、对某地区农村的名周岁男婴的⾝⾼、胸围、上半臂围进⾏测量,得相关数据如下,根据以往资料,该地区城市2周岁男婴的这三个指标的均值现欲在多元正态性的假定下检验该地区农村男婴是否与城市男婴有相同的均值。
一、填空题:1、多元统计分析是运用数理统计方法来研究解决多指标问题的理论和方法.2、回归参数显著性检验是检验解释变量对被解释变量的影响是否著.3、聚类分析就是分析如何对样品(或变量)进行量化分类的问题。
通常聚类分析分为 Q型聚类和 R型聚类。
4、相应分析的主要目的是寻求列联表行因素A 和列因素B 的基本分析特征和它们的最优联立表示。
5、因子分析把每个原始变量分解为两部分因素:一部分为公共因子,另一部分为特殊因子。
6、若()(,), Px N αμα∑=1,2,3….n且相互独立,则样本均值向量x服从的分布为_x~N(μ,Σ/n)_。
二、简答1、简述典型变量与典型相关系数的概念,并说明典型相关分析的基本思想。
在每组变量中找出变量的线性组合,使得两组的线性组合之间具有最大的相关系数。
选取和最初挑选的这对线性组合不相关的线性组合,使其配对,并选取相关系数最大的一对,如此下去直到两组之间的相关性被提取完毕为止。
被选出的线性组合配对称为典型变量,它们的相关系数称为典型相关系数。
2、简述相应分析的基本思想。
相应分析,是指对两个定性变量的多种水平进行分析。
设有两组因素A和B,其中因素A包含r个水平,因素B包含c个水平。
对这两组因素作随机抽样调查,得到一个rc的二维列联表,记为。
要寻求列联表列因素A和行因素B的基本分析特征和最优列联表示。
相应分析即是通过列联表的转换,使得因素 A 和因素B具有对等性,从而用相同的因子轴同时描述两个因素各个水平的情况。
把两个因素的各个水平的状况同时反映到具有相同坐标轴的因子平面上,从而得到因素A、B的联系。
3、简述费希尔判别法的基本思想。
从k个总体中抽取具有p个指标的样品观测数据,借助方差分析的思想构造一个线性判别函数系数:确定的原则是使得总体之间区别最大,而使每个总体内部的离差最小。
将新样品的p 个指标值代入线性判别函数式中求出 值,然后根据判别一定的规则,就可以判别新的样品属于哪个总体。
22121212121~(,),(,),(,),,1X N X x x x x x x ρμμμμσρ⎛⎫∑==∑=⎪⎝⎭+-1、设其中则Cov(,)=____.10312~(,),1,,10,()()_________i i i i X N i W X X μμμ='∑=--∑、设则=服从。
()1234433,492,3216___________________X x x x R -⎛⎫ ⎪'==-- ⎪⎪-⎝⎭=∑、设随机向量且协方差矩阵则它的相关矩阵4、__________, __________,________________。
215,1,,16(,),(,)15[4()][4()]~___________i p p X i N X A N T X A X μμμμ-=∑∑'=--、设是来自多元正态总体和分别为正态总体的样本均值和样本离差矩阵,则。
(),123设X=x x x 的相关系数矩阵通过因子分析分解为211X h =的共性方差111X σ=的方差21X g =1公因子f 对的贡献121330.93400.1280.9340.4170.8351100.4170.8940.02700.8940.44730.8350.4470.1032013R ⎛⎫- ⎪⎛⎫⎛⎫ ⎪-⎛⎫ ⎪ ⎪ ⎪=-=-+ ⎪ ⎪ ⎪ ⎪⎝⎭ ⎪ ⎪ ⎪⎝⎭⎝⎭ ⎪ ⎪⎝⎭12332313116421(,,)~(,),(1,0,2),441,2142X x x x N x x x x x μμ-⎛⎫⎪'=∑=-∑=-- ⎪ ⎪-⎝⎭-⎛⎫+ ⎪⎝⎭、设其中试判断与是否独立?11262(90,58,16),82.0 4.310714.62108.946460.2,(5)( 115.6924)14.6210 3.17237.14.5X S μ--'=-⎛⎫ ⎪==-- ⎪ ⎪⎝⎭0、对某地区农村的名周岁男婴的身高、胸围、上半臂围进行测量,得相关数据如下,根据以往资料,该地区城市2周岁男婴的这三个指标的均值现欲在多元正态性的假定下检验该地区农村男婴是否与城市男婴有相同的均值。
《多元统计分析》试卷题号 一 二 三 总分 分值 40 40 20 100 得分1、若),2,1(),,(~)(n N Xp =åa m a 且相互独立,则样本均值向量X 服从的分布为)1,(~ånN X p m 。
2、变量的类型按尺度划分有_间隔尺度_、_有序尺度_、名义尺度_。
3、判别分析是判别样品、判别分析是判别样品 所属类型 的一种统计方法,常用的判别方法有__距离判别法_、Fisher 判别法、Bayes 判别法、逐步判别法。
4、Q 型聚类是指对_样品_进行聚类,R 型聚类是指对_指标(变量)_进行聚类。
进行聚类。
5、设样品),2,1(,),,('21n i X X X X ip i i i ==,总体),(~åm p N X ,对样品进行分类常用的距离有:明氏距离qpqjiij x x q d 11)||()(å=-=aa a ,马氏距离2()ijd M =)()(1j i j i x x x x -å¢--,兰氏距离()ij d L =å=+-pj i j i x x x x 1||a a a a a 。
6、因子分析中因子载荷系数ij a 的统计意义是_第i 个变量与第j 个公因子的相关系数。
7、一元回归的数学模型是:eb b ++=x y 1,多元回归的数学模型是:e b b b b ++++=ppxxxy22110。
8、对应分析是将、对应分析是将 R 型因子分析和Q 型因子分析结合起来进行的统计分析方法。
结合起来进行的统计分析方法。
9、典型相关分析是研究两组变量之间、典型相关分析是研究两组变量之间相关关系相关关系的一种多元统计方法。
的一种多元统计方法。
得分 评卷人 一、填空题(每空2分,共40分)得分 评卷人 二、计算题(每小题10分,共40分)1、设三维随机向量),(~3åm N X ,其中÷÷÷øöçççèæ=å200031014,问1X 与2X 是否独立?),(21¢X X 和3X 是否独立?为什么?是否独立?为什么?解:解: 因为1),cov(21=X X ,所以1X 与2X 不独立。
多元统计期末试题及答案一、选择题1. 在多元统计中,什么是协方差矩阵?A. 描述两个变量之间的线性关系的矩阵B. 描述两个变量之间的非线性关系的矩阵C. 描述多个变量之间的线性关系的矩阵D. 描述多个变量之间的非线性关系的矩阵答案:C2. 多元方差分析适用于以下哪种情况?A. 只有一个自变量和一个因变量B. 有一个自变量和多个因变量C. 有多个自变量和一个因变量D. 有多个自变量和多个因变量答案:C3. 多元线性回归分析中的残差是指什么?A. 因变量的观测值与估计值之间的差异B. 自变量的观测值与估计值之间的差异C. 因变量的观测值与真实值之间的差异D. 自变量的观测值与真实值之间的差异答案:A4. 主成分分析的目标是什么?A. 减少变量的数量B. 识别主要影响因素C. 降低模型复杂度D. 提高预测准确率答案:A5. 判别分析的目标是什么?A. 最小化类内方差B. 最大化类间方差C. 最小化类间方差D. 最大化类内方差答案:B二、填空题1. 多元正态分布的概率密度函数用符号____表示。
答案:f(x)2. 多元统计分析中的数据通常以矩阵的形式表示,其中每行代表____,每列代表____。
答案:样本,变量三、计算题假设有一组学生数据,包括他们的数学成绩(变量X1)、英语成绩(变量X2)和科学成绩(变量X3)。
1. 计算变量X1和X2之间的协方差。
答案:可使用协方差公式计算:Cov(X1,X2) = Σ[(X1-μ1)(X2-μ2)] / (n-1)其中,Σ表示求和符号,μ1和μ2分别为X1和X2的均值,n为样本数量。
2. 假设已经进行了主成分分析,计算数据的前两个主成分和对应的方差解释比例。
答案:主成分分析会得到一组主成分,可以通过对应的特征值来计算方差解释比例。
假设前两个特征值为λ1和λ2,总特征值和为Σλi。
则前两个主成分的方差解释比例为:(λ1 + λ2) / Σλi四、简答题1. 解释多元统计分析中的共线性问题。
判断:1对2对3对4对5错6对应分析是否可降维(对)7 数据的计量尺度:定类尺度,定序尺度,定距尺度,定比尺度1.应用统计学中的数据可以不是数值。
(×)2.相关系数等于零,表明变量之间不存在任何关系。
(√ )3.双因素方差分析主要用于检验两个总体方差是否相等。
(√ )4.环比增长速度的连乘积等于相应时期的定基增长速度。
(×)5.线性回归分析中,可决系数R2是对回归模型拟合程度的评价。
(√ )6.加权平均数指数是加权综合指数的一种变形,它们具有相同的权数。
(√ )7.在假设检验中,给定的显著性水平α是在原假设为真的条件下,拒绝原假设的概率。
(×)8.在抽样调查中,允许误差也称极限误差,是抽样误差的最大值。
(×)9.若样本容量确定,则假设检验中的两类错误不能同时减少。
(√ )10.如果一组数据的众数大于中位数,且中位数又大于算术平均数,则这组数据的偏态系数小于0。
(√ )简答:一、数据的清洗技术:答案一:(1)解决缺失值:均值替换法、个案剔除法、多重替换法、热卡填充法、回归替换法。
(2)错误值:偏差分析,识别不遵守分布或回归方程的值。
(3)重复记录:合半、清除(4)不一致:可定义完整性约束用于检测不一致性,也可通过分析数据发现联系,使数据保持一致。
答案二:主要为下一步数据分析做进一步的准备,最终将数据清洗为满足分析需求的具体数据集。
期间主要内容包括:(1)数据集的预先分析:对数据进行必要的分析,如数据分组、排序、分布图、平均数、标准差描述等,以掌握数据的基本特点和基本情况,保证后续工作的有效性,也为确定应采用的统计检验方法提供依据(2)相关变量缺失值的查补检查(3)分析前相关的校正和转换工作.(4)观测值的抽样筛选.(5)其他数据清洗工作二、如何处理数据缺失值:答案一:1剔除数据,即删除数据。
2替换方法,一般有三种:均值替换法,即用其他个案中该变量观测值的平均数对缺失的数据进行替换,但这种方法会产生有偏估计,所以并不被推崇。
1 、设 X ~ N2 ( ,), 其中 X( x1 , x 2 ),( 1 ,212 ),,1则 Cov( x1x 2 , x1x 2 )=____.102、设X i ~N 3 (,), i 1, L,10,则 W =( X i)( X i)i 1服从_________。
4433、设随机向量X x1x2x3, 且协方差矩阵 4 9 2 ,3 2 16则它的相关矩阵R___________________4、设 X= x1x2x3,的相关系数矩阵通过因子分析分解为112330.93400.1280.4171R100.4170.9340.83530.8940.8940.027 0.83500.4472010.4470.10332__________,__________,X1的共性方差 h1X1的方差11公因子 f 1对 X的贡献 g12________________。
5、设 X i , i 1,L ,16 是来自多元正态总体N p (, ), X 和 A分别为正态总体N p ( ,)的样本均值和样本离差矩阵 , 则T 215[4( X)] A 1[4( X)] ~ ___________。
1642、设( x1 , x2 , x3) ~ N3(, ),其中(1,0, 2) ,44 1 ,1X214试判断 x12 x3与x2x3是否独立?x12、对某地区农村的 6 名 2 周岁男婴的身高、胸围、上半臂围进行测量,得相关数据如下 , 根据以往资料 , 该地区城市 2周岁男婴的这三个指标的均值0(90,58,16), 现欲在多元正态性的假定下检验该地区农村男婴是否与城市男婴有相同的均值。
82.0 4.310714.62108.9464其中 X60.2 ,(5 S ) 1( 115.6924)114.6210 3.17237. 376014.58.946437.376035.5936 (0.01,F 0.01 (3, 2)99.2, F 0.01 (3,3)29.5,F0.01 (3, 4)16.7)、设已知有两正态总体G与 G,且12,24,1211,3126219而其先验概率分别为q1q20.5,误判的代价C (2 1)4;e ,C(1 2)e试用判别法确定样本X 3属于哪一个总体?Bayes514、设X( X1 , X2 , X3 , X4 )T,协方差阵1~ N (0, ),0111(1)试从Σ出发求 X 的第一总体主成分;(2)试问当取多大时才能使第一主成分的贡献率达95%以上。
一、填空题:
1、多元统计分析是运用数理统计方法来研究解决多指标问题的理论和方法.
2、回归参数显著性检验是检验解释变量对被解释变量的影响是否著.
3、聚类分析就是分析如何对样品(或变量)进行量化分类的问题。
通常聚类分析分为 Q型聚类和 R型聚类。
4、相应分析的主要目的是寻求列联表行因素A 和列因素B 的基本分析特征和它们的最优联立表示。
5、因子分析把每个原始变量分解为两部分因素:一部分为公共因子,另一部分为特殊因子。
6、若
()
(,), P
x N αμα
∑=1,2,3….n且相互独立,则样本均值向量x服从的分
布为_x~N(μ,Σ/n)_。
二、简答
1、简述典型变量与典型相关系数的概念,并说明典型相关分析的基本思想。
在每组变量中找出变量的线性组合,使得两组的线性组合之间具有最大的相关系数。
选取和最初挑选的这对线性组合不相关的线性组合,使其配对,并选取相关系数最大的一对,如此下去直到两组之间的相关性被提取完毕为止。
被选出的线性组合配对称为典型变量,它们的相关系数称为典型相关系数。
2、简述相应分析的基本思想。
相应分析,是指对两个定性变量的多种水平进行分析。
设有两组因素A和B,其中因素A包含r个水平,因素B包含c个水平。
对这两组因素作随机抽样调查,得到一个rc的二维列联表,记为。
要寻求列联表列因素A和行因素B
的基本分析特征和最优列联表示。
相应分析即是通过列联表的转换,使得因素A 和因素B 具有对等性,从而用相同的因子轴同时描述两个因素各个水平的情况。
把两个因素的各个水平的状况同时反映到具有相同坐标轴的因子平面上,从而得到因素A 、B 的联系。
3、简述费希尔判别法的基本思想。
从k 个总体中抽取具有p 个指标的样品观测数据,借助方差分析的思想构造一个线性判别函数 系数:
确定的原则是使得总体之间区别最大,而使每个总体内部的离差最小。
将新样品的p 个指标值代入线性判别函数式中求出 值,然后根据判别一定的规则,就可以判别新的样品属于哪个总体。
5、简述多元统计分析中协差阵检验的步骤 第一,提出待检验的假设 和H1;
第二,给出检验的统计量及其服从的分布;
第三,给定检验水平,查统计量的分布表,确定相应的临界值,从而得到否定域;
第四,根据样本观测值计算出统计量的值,看是否落入否定域中,以便对待判假设做出决策(拒绝或接受)。
协差阵的检验
检验0 ΣΣ
0p H =ΣI : /2
/21exp 2np n e tr n λ⎧⎫⎛⎫
=-⎨⎬ ⎪
⎩⎭⎝⎭
S S
00p H =≠ΣΣI : /2
/2**1exp 2np n e tr n λ⎧⎫⎛⎫
=-⎨⎬ ⎪
⎩⎭⎝⎭
S S
检验12k ===ΣΣΣ012k H ===ΣΣΣ:
统计量/2/2
/2
/2
1
1
i i k
k
n n pn np k i
i
i i n
n
λ===∏∏S
S
6、在进行系统聚类分析时,不同的类间距离计算方法有何区别?请举例说
明。
设d ij 表示样品X i 与X j 之间距离,用D ij 表示类G i 与G j 之间的距离。
(1). 最短距离法
,min
i k j r
kr ij X G X G D d ∈∈=
min{,}kp kq D D =
(2)最长距离法
,max
i p j q
pq ij X G X G D d ∈∈=
,max
i k j r
kr ij X G X G D d ∈∈=
max{,}kp kq D D =
(3)中间距离法
其中
(4)重心法
2()()pq p q p q D X X X X '=-- )(1
q q p p r
r
X n X n n X +=
22222
p q p q kr
kp
kq
pq r
r
r n n n n D D D D n n n =
+
-
(5)类平均法
2
21
i p j j
pq ij X G X G p q
D d n n ∈∈=
∑∑
221
i k j r
kr ij X G X G k r
D d n n ∈∈=
∑∑
2
2
p q kp kq r
r
n n D D n n =
+
ij G X G X ij d D j
j i i ∈∈=,min
2
2222121pq kq kp kr D D D D β++=
(6)可变类平均法
其中β是可变的且β <1 (7)可变法
2222
1()2
kr kp kq pq D D D D ββ-=
++ 其中β是可变的且β <1 (8)离差平方和法
1
()()t
n t it t it t t S X X X X ='=--∑
2222
k p k q k kr
kp
kq pq r k
r k
r k
n n n n n D D D D n n n n n n ++=
+
-
+++
7、比较主成分分析与因子分析的异同点。
相同点:①两种分析方法都是一种降维、简化数据的技术。
②两种分析的求解过程是类似的,都是从一个协方差阵出发,利用特征值、特征向量求解。
因子分析可以说是主成分分析的姐妹篇,将主成分分析向前推进一步便导致因子分析。
因子分析也可以说成是主成分分析的逆问题。
如果说主成分分析是将原指标综合、归纳,那么因子分析可以说是将原指标给予分解、演绎。
主要区别是:主成分分析本质上是一种线性变换,将原始坐标变换到变异程度大的方向上为止,突出数据变异的方向,归纳重要信息。
而因子分析是从显在变量去提炼潜在因子的过程。
此外,主成分分析不需要构造分析模型而因子分析要构造因子模型。
9、进行相应分析时在对因素A 和因素B 进行相应分析之前没有必要进行独立性检验?为什么?
222
2(1)()p q kr kp kq pq
r r
n n D D D D n n ββ=-++
有必要,如果因素A和因素B独立,则没有必要进行相应分析;如果因素A和因素B不独立,可以进一步通过相应分析考察两因素各个水平之间的相关关系。