山东大学2013年学院接收转专业学生计划表
- 格式:xls
- 大小:38.50 KB
- 文档页数:5
关于2013年转专业学生学籍异动等相关工作的通知全校各单位:根据《关于2013年转专业工作安排的通知》(厦大教〔2013〕17号)的规定,经过学生自愿报名、申请转专业学生所在院系和拟转入院系审核同意、学校批准,2013年转专业学生共233人。
请各相关单位、院系根据文件要求做好后续的各项管理工作;已获准转专业的学生,请办好个人学籍异动手续和新专业修读计划的调整安排。
具体安排如下:1.转专业正式录取名单发布后,各院系教学秘书应及时做好学生学籍材料的转出或转入的准备工作。
2. 获准转专业的学生,请到原所在学院领取转专业学籍批复,并到转入院系办理相关手续。
各相关院系应指导转入学生制定新的修读计划,及时完成转入学生的学分认定工作,并将相应资料交由教学秘书归档,作为学生毕业资格审核的依据。
学分认定原则及办理流程请详见《厦门大学本科生学籍管理规定》(厦大教〔2005〕38号)第二十三条规定。
3. 转专业学生自2013-2014学年第一学期起到转入专业所对应的院系注册,按新专业的教学培养方案修读课程。
注册前,请带上转专业学籍批复及学生证自行到学生事务大厅(思明校区:南光一104;翔安校区:学武楼C105)办理学生证专业变更记载。
4. 获准转专业的学生,必须修读完2012-2013第三学期原专业所要求课程。
5. 获准转专业学生的宿舍调整由厦门大学学生处另行通知。
参加2013年新闻传播学院考核并转入新闻学(国际新闻实验班)学习的15名转专业学生(见附件2)同样按以上安排办理相关手续。
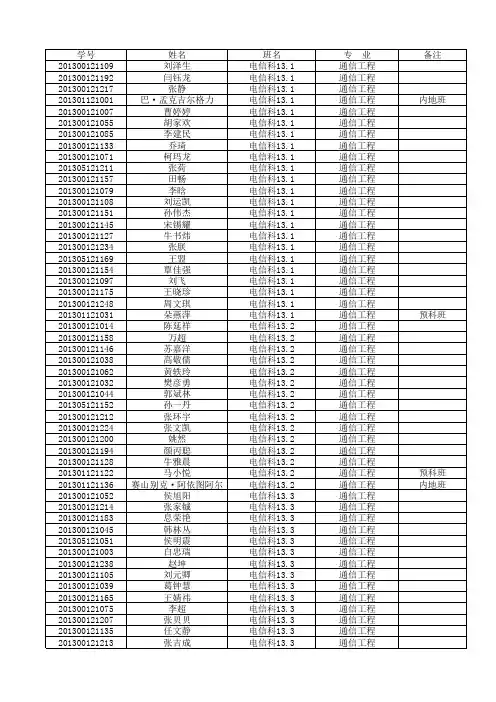
附件:1.2013年转专业学生名单(共233人)2. 2013年转入新闻学(国际新闻实验班)学生名单(共15人)教务处2013年7月17日附件1.2013年转专业名单(共233人)附件2.2013年转入新闻学(国际新闻实验班)学生名单(共15人)。
附件一山东省2013年普通高等教育专升本招生学校招生专业和计划师范类:高职高专类:When you are old and grey and full of sleep, And nodding by the fire, take down this book,And slowly read, and dream of the soft lookYour eyes had once, and of their shadows deep;How many loved your moments of glad grace,And loved your beauty with love false or true,But one man loved the pilgrim soul in you,And loved the sorrows of your changing face;And bending down beside the glowing bars,Murmur, a little sadly, how love fledAnd paced upon the mountains overheadAnd hid his face amid a crowd of stars.The furthest distance in the worldIs not between life and deathBut when I stand in front of youYet you don't know thatI love you.The furthest distance in the worldIs not when I stand in front of youYet you can't see my loveBut when undoubtedly knowing the love from both Yet cannot be together.The furthest distance in the worldIs not being apart while being in loveBut when I plainly cannot resist the yearningYet pretending you have never been in my heart. The furthest distance in the worldIs not struggling against the tidesBut using one's indifferent heartTo dig an uncrossable riverFor the one who loves you.。
2013年山东大学自主招生自荐”零”门槛笔
试将减3科
山东大学公布2013年自主招生选拔录取招生简章。
2013年山大自主招生政策做出改革,降低了学生自荐的门槛,缩小了“直推生”范围,考试项目“大变脸”,笔试科目“缩水”为2门,并加大面试力度。
2013年仍然接受校长推荐、学校推荐、学生自荐三种方式报名,与往年不同的是,在学生自荐部分去除了往年对学生竞赛获奖的“门槛”,而直接让学生自己提供材料,来展示自己的学科特长或创新潜质。
自主招生选拔过程中缩小了“直推生”范围。
2012年“直推生”的范围限于“校长推荐”审核合格的考生、全国新概念作文大赛一等奖获得者、全国创新英语作文大赛优胜者前20名三个群体,而2013年则仅限于“校长推荐”。
身处“北约”联盟的山大,2013年仍通过“省内校考”和“省外联考”两种方式组织报名、考试。
报考山大的省外生源需要登录“2013年综合性大学自主选拔录取联合考试报名平台”报名,通过2013年3月2日“北约”联考方式接受考核;而省内生源则需登录山东大学本科招生在线进行网上报名,并参加2月23日山大单独组织的考试,考试内容仍分笔试和面试。
与往年不同的是,2013年山大笔试科目出现“缩水”,由原来的5科变为2科。
山东大学本科生招办主任柳丽华表示,笔试科目发生变化后,山大酝酿加大面试力度,并延长面试时间。
山东大学关于做好2013级本科学生转专业工作的通知各学院、威海校区:根据《山东大学在校本科生转专业学习管理规定》(山大教字[2011]88号)文件精神(见附件1),现将2013级转专业计划予以公布(见附件2),请各学院认真做好转专业组织工作,具体要求如下:一、转专业条件凡我校全日制在校一年级本科生(包括空间科学与技术、海洋生物资源与环境和朝鲜语3个专业),各方面表现良好,符合学校对转专业学生思想品德、知识能力、身心素质等要求者,可提出转专业申请。
有下列情形之一者,不得申请转专业:1.招生章程及协议规定不能转入其他专业学习的(包括:外国语学校保送生、艺术类、体育类、高水平运动员、国防生、新疆协作计划、贫困专项计划、定向西藏就业及少数民族预科班转正等招生计划录取的学生);2.已修通识教育必修课程有成绩不及格的;3.其他不适合转专业的。
二、转专业的形式1.面试转专业。
在本专业(类)学习成绩排名列前10%的学生,经本人申请及所在学院审核同意,可以免笔试直接参加由接收学院组织的面试,择优录取。
2.考试转专业。
符合转专业条件的学生自愿报名,经学生所在学院审核确认,参加学校及学院组织的转专业考试,达到最低要求分数线的,再由接收学院组织面试,择优录取。
三、日程安排(一)报名组织4月8-11日,以学生所在学院为单位组织转专业报名。
学生需填写《山东大学2013级学生转专业申请表》(见附件3),到所在学院报名。
学院根据学生报名情况集中填写《山东大学2013级转专业学生志愿汇总表》(见附件4)。
学院留存《山东大学2013级学生转专业申请表》,将《山东大学2013级转专业学生志愿汇总表》于4月14上午9:00前,以纸质和电子版两种形式报总校本科生院教务科。
邮箱:zhaoqipeng@。
(二)笔试1、学校统一组织的考试安排:(1)4月20(星期日)上午8:00-9:30英语(含听力,自备耳机,相当于大学英语三级水平);(2)10:00-11:30 高等数学(《大学数学教程微积分》1、2册的1-6章,高等教育出版社出版,刘建亚、吴臻主编)。
大学专业想转就转?作者:来源:《教育与职业·综合版》2013年第07期近日,华中师大武汉传媒学院通讯社对武汉理工大学、武汉工程大学、湖北工业大学和湖北大学等十余所高校的毕业生进行了问卷调查,结果显示,75%的学生想换专业。
而导致众多毕业生想换专业的原因,就业压力大是首要原因,不喜欢自己就读专业排在第二,还有一些学生称自己的专业发展前景不好。
由于种种原因,许多学生进入高校后却发现自己不喜欢不适合所学专业。
而受教学资源制约,高校在允许本科生转专业时,转出和转入人数、申请资格和成绩都有要求,允许转专业的对象往往集中在本科一、二年级和成绩优异者之中。
所以,虽然大部分学校都允许学生转专业,但能成功转专业的可谓少之又少。
如何满足广大学生的转专业需求一直以来都是困扰大学校长们的一个管理难题。
5月10日,中国科技大学校园网“本科教育”板块上一条并不抢眼的公告,在校内外引起广泛关注——这条题为“启动2013年全校专业选择及中期分流工作”的教务处通知,标志着该校已经实现本科生可以100%地自主选择专业,不附加其他门槛。
中国科大的做法是,本科生入学后至少有3次自主选专业的机会:进校一年后,学生根据自己的兴趣,在全校范围内自主选择学院或学科类;二年级的春季学期可参加由学校统一组织的中期分流,有接收条件的院系申报计划,由教务处统一公布信息,学生根据个人兴趣申请;二年级及更高年级的学生每学期均可个别申请转专业。
中国科大教务处处长助理杨凡介绍,绝大多数同学都能如愿调整专业,但也有少数同学因成绩等原因,不能转到自己“钟情”的专业。
为此,该校实施“教学管理与学籍管理分离”政策,针对申请转专业未被接收的学生,只要修完意愿专业认定课程、达到毕业要求,即授予该专业的毕业证书和学位证书,不受学生原学籍所在学科或专业限制。
“今年…郭沫若奖‟32名得主,有四分之一是转专业的学生。
”据介绍,以数学学院为例,每年都有其他学院转入的本科生,比例约占该院学生数的15%左右。
类专业(类)名称北京天津河北山西内蒙古辽宁吉林合计4854251264709288中国语言文学类(尼山学堂、闻一多班)哲学类3322社会学类222222经济学类2223222政治学类222公共管理类2222法学类2222222中国语言文学类224322新闻传播学类22英语2222222俄语2222德语22法语2西班牙语22日语222翻译222历史学类22222考古学222文化产业管理22工商管理类2244222旅游管理22汉语国际教育222朝鲜语(威海)52233文史小计14165041202525数学类(泰山学堂、潘承洞班)3物理学类(泰山学堂、王淦昌班)3化学(泰山学堂、邓从豪班)3生物(泰山学堂、童第周班)3文史机械设计制造及其自动化(卓越工5程师培养计划)电气工程及其自动化5(卓越工程师培养计划)数学类2225222物理学类2235222化学类2234222化学工程与332工艺生物科学类3245222电子信息类2278233光电信息科332学与工程计算机科学45222与技术材料类221010233机械类2268233自动化221010233生物医学工22程能源动力类22610233交通运输类322电气工程及2257232其自动化土木类286222水利类2理工建筑学(五222年制)工程力学22环境科学与24422工程类预防医学223222(五年制)临床医学5422(五年制)临床医学2266233(七年制)口腔医学2222(五年制)口腔医学2(七年制)药学类275223临床医学(药学方2向,七年制)护理学4322工商管理类223322管理科学与工程类3322旅游管理22软件工程210103数字媒体技术35经济学类2222222法学类222文化产业管理英语2俄语德语法语西班牙语日语2翻译朝鲜语(威海)32234海洋生物资源与环境(威海)44理工小计3136170152426161音乐学(西洋器乐表演方向,济南)15音乐学(中国民族器乐表演方向,济南)1131音乐学(键盘器乐表演方向,济南)11音乐学(声乐表演方向,济南)14音乐学(舞蹈表演方向,济南)11611音乐学(西洋器乐表演方向,威海)7音乐学(中国民族器乐表演方向,威海)112音乐学(键盘、电脑音乐制作方向,威海)2艺术 (文)乐表演方171向,威海)舞蹈编导121611(威海)美术学(济2南)工业设计(济南)美术学(威14海)视觉传达设11计(威海)环境设计121(威海)音乐学(西洋器乐表演1方向,济南)音乐学(中国民族器乐11表演方向,济南)音乐学(键盘器乐表演方向,济南)音乐学(声11乐表演方向,济南)音乐学(舞蹈表演方向,济南)音乐学(西洋器乐表演方向,威海)艺术 (理)音乐学(中国民族器乐1表演方向,威海)音乐学(键盘、电脑音1乐制作方向,威海)音乐学(声乐表演方向,威海)舞蹈编导(威海)美术学(济1南)工业设计(济南)美术学(威海)计(威海)环境设计(威海)艺术类小计321366522社会体育指导与管理高水平运动员(经济学类)信息与计算科学(数学类)4会计学(工商管理类)软件工程4电子信息工程(电子信息类)计算机科学与技术电气工程及其自动化土木工程(土木类)4机械设计制造及其自动化(机械类)4国防生小计124口腔医学(五年制)临床医学(五年制)通信工程(电子信息类)定向生小计材料类22机械类22能源动力类2水利类1预防医学(五年制)护理学111贫困专项小计653体育国防生定向生贫困专项黑龙江上海江苏浙江安徽福建江西山东河南83272031802541621212548340102224122 232222253 2222222303 222222182 22222282 222222225322253225322222202 222222202 29282 2228222922222132102 2222220222282282 223444351522422222122 355424354 21104337393527408473243324332433243528552852243322365 244332407 2433424072322253 2244342509 3868638512 233432354 2626424010 328686311012 3666338510 3286116412012 2222122 3855538012 233122 32865439010 265942508 2282 3231132222102 253422404 232222404 232732805 2655441208 22292214 2447425582102 2245225422433425052232250682 151010106195126561162222222303222932222242333222423432322243554327 60161581201661127817922311821181161114117111111511121162 111125711202333811231171218348127222111111212211215122113 12174096223236663013821958273811511585225532105 112212 12322212111 29412湖北湖南广东广西海南重庆四川贵州云南1361591411074064138928323232 22222222 222222222 222222 222222 22222222332243 22222222222222222222222222222222 333222232 22223425262830121824221942322422 43322322 4232222433222322 434322432322222 3342242535322632 53432632 4365228762435322632 22253632632225522364 22222222222322233222233 222422334 4422243222 222 332422572 44323224322222 3222222221251248222222322233329964104712240966054 12315111121112114129161541711111135642616553332522121 2112212 2222 1122222221111111674581010西藏陕西甘肃青海宁夏新疆1610511949526822222222222222222122222222222222222222222224222252428101218232223222 2232222223222232222323322332223322233224233323234223234322 22222222222 122223 342222223432 2322222285122222 106573363747 11111211162242311122112112212211110。
2013年山东省选调优秀高校毕业生选调计划根据2013年山东省选调优秀高校毕业生到村任职公告,从2013年起,按照选调生标准条件和程序,选调优秀高校毕业生到村任职,在村服务满2年后,经考核考察合格,录用为选调生。
不再直接面向应届高校毕业生开展选调生工作。
1、选调数量。
全省共计划选调1500名。
其中,面向应届优秀高校毕业生选调1300名;面向服务基层项目人员选调200名。
2、选调范围。
全国普通高校及国家承认学历的海外高校2013年全日制应届大学本科及以上学历优秀毕业生;2011年由我省统一选聘或招募、年度考核称职(合格)以上等次、全日制普通高校大学本科及以上学历、目前在岗的服务基层项目人员。
不限生源,不限户籍。
服务基层项目包括:山东省委组织部组织的“选聘高校毕业生到村任职”,山东省人力资源和社会保障厅组织的高校毕业生“三支一扶”计划,共青团山东省委组织的“大学生志愿服务山东计划”和“大学生志愿服务西部计划”。
现将2013年山东省选调优秀高校毕业生选调计划公布如下:序号单位总计应届高校毕业生服务基层项目人员小计本科生硕士研究生博士研究生1 济南110 95 55 37 3 152 青岛125 110 70 40 153 淄博90 80 62 18 104 枣庄70 60 47 12 1 105 东营65 55 41 12 2 106 烟台120 105 85 20 157 潍坊120 95 70 25 258 济宁115 109 79 25 5 69 泰安90 75 50 22 3 1510 威海65 57 49 8 811 日照50 44 35 9 612 莱芜20 16 8 8 413 临沂115 105 79 25 1 1014 德州100 85 59 20 6 1515 聊城80 68 56 10 2 1216 滨州80 72 62 10 817 菏泽85 69 54 10 5 16合计1500 1300 961 311 28 200提醒:3月17日上午,全省统一组织笔试。
山东大学关于在校本科生转专业学习的暂行规定(山大教字〔2005〕22号)为适应社会发展和学生需要,不断深化教育教学改革,提高我校学生的社会竞争力,使学生的个性得到充分、健全发展,学校允许在校本科学生根据自己的志愿转专业学习。
为规范此项工作,特制定本暂行规定。
一、转专业的范围与形式(一)转专业的范围和条件。
我校全日制本科生,经过一年(个别专业为二年)的基础课程学习,各方面表现良好,符合接收专业对转入学生思想道德、知识能力、身心素质等要求,均可申请转专业学习。
有下列情况之一的学生,不得转专业:1.招生章程及合同规定不能转入其他专业学习的(包括:国家示范性软件学院相关专业、部分外国语专业提前单独招生、体育类、艺术类、高水平和优秀运动员、国防生、新疆协作和定向西藏就业等计划录取的学生);2.已学公共必修课程成绩有不及格的;3.经学校审核认为不适合转专业的。
(二)转专业的形式1.根据成绩排名免试转专业。
入学后学习成绩按本年级(或本专业)排名在前10%的学生,由学生所在学院审核确认,在学校公布的可接收专业、年级、名额和规定时间内,学生自愿申请,由学校监督,接收学院组织面试,择优确定转专业名单。
2.通过选拔考试等方式转专业。
符合转专业条件的学生自愿报名,由学生所在学院审核确认,在学校公布的可接收专业、年级、名额和规定时间内,通过学校及学院组织的转专业考试,并达到转专业要求的最低分数线,由学校监督,接收学院择优确定转专业名单。
二、提出转专业计划每年4月份,各学院根据发展规划,提出接收转专业的专业、年级、名额和接收要求,并上报学校,其中在《山东大学招生章程》中规定的热门专业必须接收转专业学生,且名额原则上应不低于该专业年级学生总数的10%。
学校根据现有教育资源和接收能力,统一审核转专业计划,向学生公布。
三、申请程序(一)学生向所在学院提出转专业申请。
学生所在学院对报名学生入学后的学习成绩进行排名审核确认(学院认为必要时可参考其高考成绩和志愿情况),对成绩排名在前10%的学生,学院要予以公示3天以上。
山东大学全面推行“零门槛”转专业是真的吗?具体怎么回事?近日,山东大学2019年春季转专业结果公示。
2019年4月28日,《山东大学在校本科生转专业学习管理规定(修订)》(以下简称“规定”)经第5次校长办公会研究通过。
《规定》明确,山大全日制在校大一、大二本科生,除以特殊招生形式录取、按照相关规定不能转入其他专业学习者,其他均可申请转专业。
其中一年级转专业一般安排在每年5月进行,二年级安排在每年11月进行。
修订后的《规定》放宽了转专业报名条件,取消了学校统一组织的资格考试。
这种转专业模式被成为“零门槛”转专业。
事实上,早在今年年初,山大2017级学生中,已经有一批悄悄试水这种新的转专业模式,53名学生通过“零门槛”方式成功转入其他专业学习。
这一次,政策正式在全校范围内推开。
山大本科生院院长刘传勇表示,山大这次一共拿出1000个计划用于2018级学生春季“零门槛”转专业,700多人报名,进入公示录取名单的,一共489人,其中一志愿451人,二志愿38人,“说明同学对转专业是有需求的。
”据了解,在实行“零门槛”转专业之前,山大对拟转专业学生的成绩是有排名要求的,“比如年级排名前10%可以免笔试直接进面试;前50%有资格报名参加转专业考试。
”不仅如此,学校还会统一组织转专业笔试,理科专业考“数学+英语”,文科类专业考英语等。
“零门槛”转专业政策实施后,学校不再限定转出学生排名,也不再组织全校统考。
“零门槛”转专业实施之后,有些结果在预料之中,有些结果又在意料之外。
比如汉语言文学专业,虽然学科实力很强,但本身并不是热门专业,在这次“零门槛”转专业中却成了热门。
对于学生的转入或转出,山大计算机科学与技术学院副院长彭朝晖也有自己的看法。
他认为,“零门槛”转出代表的是一种资格,但本着对学生未来发展负责的态度,转入专业必须有选拔过程。
“比如限定转入条件,本身也是一种选拔。
”据了解,计算机学院在接收学生时是设定了条件的,“要求学生在原专业成绩排名必须在前50%。