同济大学《高等数学》第七版上、(下册)答案(详细讲解).doc
- 格式:doc
- 大小:2.37 MB
- 文档页数:30
练习1-1
文案大全
文案大全
文案大全
文案大全
文案大全
文案大全
文案大全
文案大全
文案大全
文案大全
文案大全
文案大全
文案大全
文案大全
文案大全
文案大全
文案大全
文案大全
文案大全
文案大全
文案大全
文案大全
文案大全
文案大全
文案大全
文案大全
文案大全
文案大全
文案大全
练习1-2
文案大全
文案大全
文案大全
文案大全
文案大全
文案大全
文案大全
文案大全
文案大全
文案大全
练习1-3
文案大全
文案大全
文案大全
文案大全
文案大全
文案大全
文案大全
文案大全
文案大全
文案大全
文案大全。
高等数学同济第七版下课后习题及解答高等数学作为大学理工科专业的重要基础课程,对于学生的逻辑思维和数学素养的培养起着至关重要的作用。
而《高等数学同济第七版》更是众多高校广泛采用的教材,其课后习题是巩固知识、提升能力的重要途径。
接下来,我们就来详细探讨一下这本教材下册的课后习题及解答。
下册的内容主要包括多元函数微积分学、向量代数与空间解析几何、无穷级数等重要章节。
这些章节的知识点相互关联,构成了一个较为完整的高等数学知识体系。
在多元函数微积分学这一部分,课后习题涵盖了多元函数的概念、偏导数、全微分、多元函数的极值与条件极值等重要知识点。
例如,有这样一道习题:求函数\(z = x^2 + 2y^2 4x + 8y\)的极值。
解答这道题,首先需要求出函数的偏导数\(z_x\)和\(z_y\),分别为\(2x 4\)和\(4y + 8\)。
令偏导数等于零,得到方程组\(2x 4 = 0\),\(4y + 8 = 0\),解得\(x = 2\),\(y =-2\)。
然后,计算二阶偏导数\(z_{xx} = 2\),\(z_{yy} =4\),\(z_{xy} = 0\)。
由于\(z_{xx} > 0\),且\(z_{xx}z_{yy} z_{xy}^2 = 8 > 0\),所以函数在点\((2, -2) \)处取得极小值,极小值为\( 12\)。
向量代数与空间解析几何这一章节的习题则注重考查学生对向量运算、空间直线和平面方程的理解和掌握。
比如,给定两个向量\(\vec{a} =(1, 2, -1) \)和\(\vec{b} =(3, 1, 2) \),求它们的叉积\(\vec{a} \times \vec{b} \)。
首先,根据叉积的计算公式,得到\(\vec{a} \times \vec{b} =\begin{vmatrix} \vec{i} &\vec{j} &\vec{k} \\ 1 & 2 &-1 \\ 3 & 1 & 2 \end{vmatrix} = 5\vec{i} 5\vec{j} 5\vec{k} =(5, -5, -5) \)。
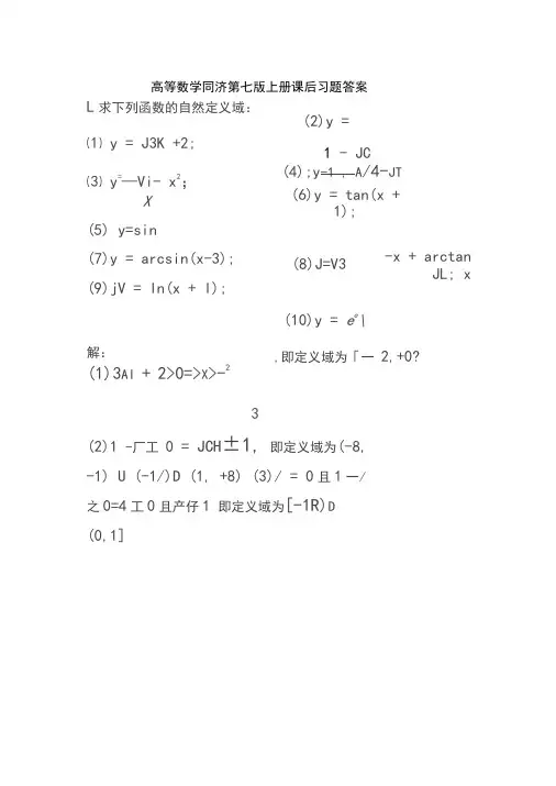
高等数学同济第七版上册课后习题答案L 求下列函数的自然定义域: ⑴ y = J3K +2; ⑶ y =—Vi- x 2;X (5) y=sin(7)y = arcsin(x-3); (9)jV = ln(x + l);解:(1)3AI + 2>0=>X >-23(2)1 -厂工 0 = JCH ±1, 即定义域为(-8, -1) U (-1/)D (1, +8) (3)/ = 0且1一/之0=4工0且产仔1 即定义域为[-1R)D(0,1](2)y = 1 - JC (4);y -1 , A /4-JT (6)y = tan(x +1); (8)J=V3-x + arctanJL; x(10)y = e e\,即定义域为「一 2,+0?(4)4-犬>。
二>卜|<2即定义域为(—2,2)(5)x2 0,即定义域为[0, +oc)71(6)x +1 / kjr + 一 (% £Z), \ 2 1即定义域为x xe R^x^(k+ )兀一1k eZ(7)|x-3|< 1= 2 WxW 4,即定义域为[2,4](8)3—冗2 0且4工0,即定义域为(一8,0) u(0,3](9)x + 1 >0=>x> -1 即定义域为(-1,+8) (10)工工0,即定义域为(一双0) u (0, +oo)2,下列各题中,函数/(x)和g(x)是否相同?为什么?(1)/U) = 1g g(x) =21gx(2)/U) = x, g(x)=岳(3)/(%) = #(f-丁), g(x) =(4)/(x) = l,g(x) =sec'x — tarrx解;(1)不同,因为定义域不同((2)不同,因为对应法则不同,g(M= 1—= x.x>0< 0(3)相同,因为定义域,对应法则均相同(4)不同,因为定义域不同匹斗|斗<3 .设a“)=\ 兀3州花一11 3求0(二),夕(巴),旗一土),0(-2),并指出函数y = Q(x)的图形6 4 41 /乃、, 7T yfl二?,以 4)= sin 耳=~^,0(_Z)= sin(--)l = =0,44 | 2(l)y=(2)y = x + In x,(0, +oo)证明:,匹、 .匹%)=sm%解:4 .试证下列函数在指定区间内的单调X \-xx 1⑴尸/W = ---- -- = T+ -- --- ,(一00』)1-x 1-x设X] <工2 < 1,因为/%)—/区)=“七方 ,〉0 (—Xi) >U1 2所以/(X2 )> /(&),即/(X)在(一8,1)内单调增加(2) y - /(x) = x + In x,(0, +8)设0<»<彳2,因为 /U) -/u) = X - x+ In 当二。
高等数学(同济人学数学系-第七版)上册高等数学(同济大学数学系第七版)上册第三章:微分屮值定理与导数的应用课后习题答案微分中值定理&I.脸证罗尔定理对= Insin x任区间[于打]上的止确性.证函数/(x)=lnsinx^[y^]匕连续•在(卡•乎)内可导■又4f)= ,nsin 6 =,n \ /(T)= ,n,in T=,n T*即4才)唧认卜灯⑷在[:・丫]上満足罗尔定理条件•山罗尔定理®至少仔任T・(H(:、罟卜仙'(§)"•乂 JS二瓷令厂(丫)“得""T +于(w = 0. = 1 ・ ± 2 .・•・)・ JR 兀=0 w(? •普)・IM比罗尔定理对函数尸Insin x任区叫亍'寻]上是正确的•& 2.脸证拉格制日中值定理对函敎y・4』-5/u 2在区何[0,1]上的正确性.it 匪数/(尤)=4“・5/在区河卫・1上连缤■金(0.1)內叫导,故/(・丫)在0」上满足拉格朗H中值定理条件,从而至少存在一点f e(0J).使门小斗护二仝严“又•由八° =12^2 - 10f 4 I =0 olUlf =^~^G(0J) JM此拉俗阴H屮值定理对函敗y=4八5P r・2徃区何0」;上是正确的."i"及化X)’ + cos X在IX间|o,y]j;验让柯內中值定理的正确性.证旳数"+0*在区1叫0,;]上连续皿(0.;)內可品.M住卩•寸)内=1 -MOX ZO.故.心)屮(兀)满足柯两中值定理条件•从而至55/ 1.高等数学(同济人学数学系•第七版)上册55/ 2.高等数学(同济人学数学系•第七版)上册55/ 3.高等数学(同济大学数学系-第七版)上册.55/ 4.高等数学(同济人学数学系•第七版)上册.55/ 5.高等数学(同济人学数学系-第七版)上册86 一、《离等数学》(第七版)上冊习趣全解55 / 6.高等数学(同济人学数学系•第七版)上册件;)"(0)"(目1 -0 cos £ T . 1 - HI1 {T"14Z n = 0,得 go = 2arclan -一~ . 1*1 0 < < 丨•故 C = 2arckm j 4 ^ * | € (。
第四章 不定积分4.1 复习笔记一、不定积分的概念与性质1.原函数与不定积分的概念(1)原函数①定义如果在区间I 上,可导函数的导函数为,即对任意一,都有,则函数就称为在区间I 上的一个原函数.②原函数存在定理如果函数在区间I 上连续,则在区间I 上存在可导函数使对任一都有即连续函数一定有原函数.③注意两点a .如果有一个原函数,则就有无限多个原函数.b .若和都是的原函数,则()Fx ()x φ()f x(C 0为某个常数)(2)不定积分在区间I 上,函数的带有任意常数项的原函数称为(或)在区间I上的不定积分,记作,其中称为积分号,称为被积函数,称为被积表达式,x称为积分变量.2.基本积分表3.不定积分的性质(1)性质1设函数的原函数存在,则注:性质1对于有限个函数都是成立的.(2)性质2设函数的原函数存在,k为非零常数,则二、换元积分法1.第一类换元法设具有原函数,可导,则有换元公式()[()]()[()]u x f x x dx f u du ϕϕϕ='=⎰⎰2.第二类换元法设是单调的可导函数,并且又设具有原函数,则有换元公式1()()[[()]()]t x f x dx f t t dtψψψ-='=⎰⎰其中的反函数.三、分部积分法1.分部积分法设函数具有连续导数,则两个函数乘积的导数公式为移项,得对这个等式两边求不定积分,得称为分部积分公式.注:2.运用分部积分法需注意(1)v 要容易求得;(2)要比容易积出;(3)遵循“反对幂指三”原则.①“反对幂指三”定义“反对幂指三”分别指反三角函数、对数函数、幂函数、指数函数和三角函数.②“反对幂指三”原则“反对幂指三”原则是指在用分部积分法计算积分时,若出现上面相关函数,把被积表达式按照“反对幂指三”的积分次序,排在前面的看成“u”,排在后面的看成“dv”.【例】3.常见函数的不定积分四、有理函数的积分1.有理函数的积分(1)相关概念①有理函数 两个多项式的商称为有理函数.②有理分式 有理函数又称有理分式.③真分式 当P(x)的次数小于Q(x)的次数时,称这有理函数为真分式.④假分式 当P(x)的次数大于Q(x)的次数时,称这有理函数为假分式.(2)真分式的分解对于真分式,如果分母可分解为两个多项式的乘积且Q 1(x)与Q 2(x)没有公因式,则它可分拆成两个真分式之和。
习题1-11.求下列函数的自然定义域:(1)1(3)(5)sin (7)arcsin(3);(9)ln(1);y y x y y x y x ====-=+211(2);1(4);(6)tan(1);1(8)arctan ;(10).xe y xy y x y xy e =-==+=+=解:2(1)3203x x +≥⇒≥-,即定义域为2,3⎡⎫-+∞⎪⎢⎣⎭2(2)101,x x -≠⇒≠±即定义域为(,1)(1,1)(1,)-∞-⋃-⋃+∞(3)0x ≠且2100x x -≥⇒≠且1x ≤即定义域为[)(]1,00,1-⋃2(4)402x x ->⇒<即定义域为(2,2)-(5)0,x ≥即定义域为[)0,+∞(6)1(),2x k k Z ππ+≠+∈即定义域为1(1,2x x R x k k Z π⎧⎫∈≠+-∈⎨⎬⎩⎭且(7)3124,x x -≤⇒≤≤即定义域为[]2,4(8)30x -≥且0x ≠,即定义域为(](,0)0,3-∞⋃(9)101x x +>⇒>-即定义域为(1,)-+∞(10)0,x ≠即定义域为(,0)(0,)-∞⋃+∞2.下列各题中,函数()f x 和()g x是否相同?为什么?222(1)()lg ,()2lg (2)(),()(3)()()(4)()1,()sec tan f x x g x x f x x g x f x g x f x g x x x========-解:(1)不同,因为定义域不同(2)不同,因为对应法则不同,,0(),0x x g x x x ≥⎧==⎨-<⎩(3)相同,因为定义域,对应法则均相同(4)不同,因为定义域不同3.设sin ,3()0,3x x x x πϕπ⎧<⎪⎪=⎨⎪≥⎪⎩求(),((),(2),644πππϕϕϕϕ--并指出函数()y x ϕ=的图形解:1()sin ,()sin 66244()sin(),(2)0,44ππππϕϕππϕϕ====-=-=-=()y x ϕ=的图形如图11-所示4.试证下列函数在指定区间内的单调性:(1);1(2)ln ,(0,)xy xy x x =-=++∞证明:1(1)()1,(,1)11x y f x x x===-+-∞--设121x x <<,因为212112()()0(1)(1)x x f x f x x x --=>--所以21()(),f x f x >即()f x 在(,1)-∞内单调增加(2)()ln ,(0,)y f x x x ==++∞设120x x <<,因为221211()()ln 0x f x f x x x x -=-+>所以21()()f x f x >即()f x 在(0,)+∞内单调增加5.设()f x 为定义在(,)l l -内的奇函数,若()f x 在(0,)l 内单调增加,证明()f x 在(,0)l -内也单调增加证明:设120l x x -<<<,则210x x l<-<-<由()f x 是奇函数,得2121()()()()f x f x f x f x -=-+-因为()f x 在(0,)l 内单调增加,所以12()()0f x f x --->即()f x 在(,0)l -内也单调增加6.设下面所考虑的函数都是定义在区间(,)l l -上的。