电动力学题库
- 格式:doc
- 大小:1.17 MB
- 文档页数:52
电动力学考试题及答案3一、单项选择题(每题2分,共20分)1. 电场中某点的电场强度方向是()。
A. 正电荷在该点受力方向B. 负电荷在该点受力方向C. 正电荷在该点受力的反方向D. 负电荷在该点受力的反方向答案:A2. 电场强度的单位是()。
A. 牛顿B. 牛顿/库仑C. 伏特D. 库仑答案:B3. 电场中某点的电势为零,该点的电场强度一定为零。
()A. 正确B. 错误答案:B4. 电场线与等势面的关系是()。
A. 互相平行B. 互相垂直C. 互相重合D. 以上都不对答案:B5. 电容器的电容与()有关。
A. 电容器的两极板面积B. 电容器的两极板间距C. 电容器的两极板材料D. 以上都有关答案:D6. 电容器充电后断开电源,其电量()。
A. 增加B. 减少C. 不变D. 无法确定答案:C7. 电容器两极板间电压增大时,其电量()。
A. 增加B. 减少C. 不变D. 无法确定答案:A8. 电容器两极板间电压增大时,其电场强度()。
A. 增加B. 减少C. 不变D. 无法确定答案:A9. 电容器两极板间电压增大时,其电势差()。
A. 增加B. 减少C. 不变D. 无法确定10. 电容器两极板间电压增大时,其电势能()。
A. 增加B. 减少C. 不变D. 无法确定答案:A二、多项选择题(每题3分,共15分)11. 电场强度的物理意义包括()。
A. 描述电场的强弱B. 描述电场的方向C. 描述电场的性质D. 描述电场的作用12. 电场中某点的电势与()有关。
A. 该点的电场强度B. 参考点的选择C. 电场线的方向D. 电场线的形状答案:B13. 电容器的电容与()有关。
A. 电容器的两极板面积B. 电容器的两极板间距C. 电容器的两极板材料D. 电容器的电量答案:A|B|C14. 电容器充电后断开电源,其()。
A. 电量不变B. 电压不变C. 电场强度不变D. 电势差不变答案:A|B|C|D15. 电容器两极板间电压增大时,其()。
电动力学试题一、选择题(共10小题,每小题3分,共30分)1.电场是指:– A. 由电子构成的区域– B. 电荷周围的空间– C. 电荷具有的能力– D. 电荷移动的速度2.真空中两个电荷相距一定距离,当电荷之间的距离减小一半,相互作用力将:– A. 减小为原来的一半– B. 保持不变– C. 增大为原来的两倍– D. 增大为原来的四倍3.根据库仑定律,两个电荷之间的相互作用力与它们之间的距离的关系是:– A. 正比例关系– B. 反比例关系– C. 指数关系– D. 对数关系4.电场强度的单位是:– A. 瓦特/秒– B. 伏特/米– C. 库仑/米– D. 焦耳/秒5.在恒定电场中,电势差等于:– A. 电荷与电场的乘积– B. 电势能的改变量– C. 电流与电阻的乘积– D. 电容器的电荷与电压的乘积6.如果一个电子在电场中的电势能为-10J,并且它的电荷量为1.6×10^-19C,则电场的强度为:– A. 6.25×10^7N/C– B. -6.25×10^7N/C– C. 1.6×10^-18N/C– D. -1.6×10^-18N/C7.均匀带电环的电场强度在环心与环上同轴线上点的关系是:– A. 近似正比– B. 近似反比– C. 近似指数关系– D. 近似对数关系8.闭合电路中,电流的方向是:– A. 从高电位到低电位– B. 从低电位到高电位– C. 只有一种方向– D. 电流方向可以改变9.电阻的单位是:– A. 法拉– B. 兆欧姆– C. 伏特– D. 欧姆10.在串联电路中,总电阻等于:– A. 各电阻的和– B. 各电阻的倒数之和– C. 各电阻之积– D. 任意两个电阻之和的一半二、简答题(共4小题,每小题10分,共40分)1.描述电场与电荷之间的相互作用关系。
–电场是指电荷周围的空间,电荷会产生电场。
电场与电荷之间存在相互作用关系,即电荷会受到电场力的作用。
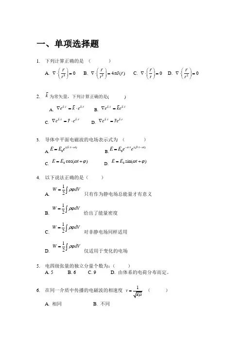
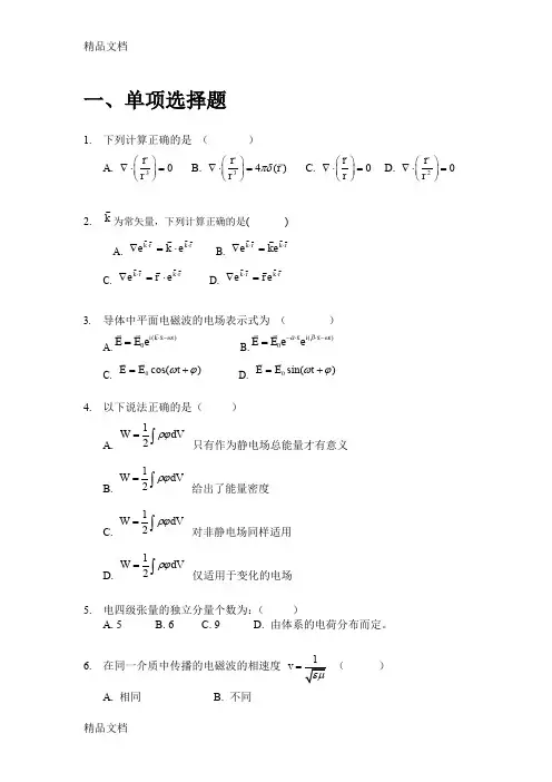
一、单项选择题1. 下列计算正确的是 ( ) A. 30r r ⎛⎫∇⋅= ⎪⎝⎭ B. 34()r r r πδ⎛⎫∇⋅= ⎪⎝⎭ C. 0r r ⎛⎫∇⋅= ⎪⎝⎭ D. 20r r ⎛⎫∇⋅= ⎪⎝⎭2. k 为常矢量,下列计算正确的是( )A. r k r k e k e⋅⋅⋅=∇ B. r k r k e k e ⋅⋅=∇ C. r k r k e r e ⋅⋅⋅=∇ D. r k r k e r e ⋅⋅=∇3. 导体中平面电磁波的电场表示式为 ( )A.()0i k x t E E e ω⋅-=B.()0x i x t E E e e αβω-⋅⋅-=C.0cos()E E t ωϕ=+ D. 0sin()E E t ωϕ=+4. 以下说法正确的是( ) A. 12W dV ρϕ=⎰ 只有作为静电场总能量才有意义 B. 12W dV ρϕ=⎰ 给出了能量密度 C. 12W dV ρϕ=⎰ 对非静电场同样适用 D. 12W dV ρϕ=⎰ 仅适用于变化的电场5. 电四级张量的独立分量个数为:( )A. 5B. 6C. 9D. 由体系的电荷分布而定。
6. 在同一介质中传播的电磁波的相速度 v= ( )A. 相同B. 不同C. 与电磁波的频率有关D. 以上说法均不正确7. 已知电极化强度,则极化电荷密度为 ( ) A. B. C. D.8. 下面说法正确的是 ( )A. 空间任一点的场强是由该点的电荷密度决定的;B. 空间任一点的场强的散度是由所有在场的电荷q决定的;C. 空间任一点的场强的散度只与该点的电荷密度有关;D. 空间某点,则该点,可见该点也必为零.9. 球对称电荷分布的体系是:( )A. 电中性的B. 电偶极矩不为零,电四级矩为零C. 电偶极矩为零,电四级矩不为零D. 各级电多极矩均为零10. 电像法的理论基础是 ( )A. 场方程的边界条件B. 麦克斯韦方程组C. 唯一性定理D. 场的叠加原理11. 在同一介质中传播的电磁波的相速度 v εμ= ( )A. 相同B. 不同C. 与电磁波的频率有关D. 以上说法均不正确12. H B μ= 是 ( )A .普适的 B. 仅适用于铁磁性物质C .仅适用于线性非铁磁性物质 D. 不适用于非铁磁性物质13. 以下说法正确的是: () A . 平面电磁波的E 和B 一定同相B . 平面电磁波中电场能量一定等于磁场能量C . 两种电磁波的频率相同,它们的波长也一定相同D . 以上三种说法都不正确。
第二章一、选择题1、 静电场的能量密度等于( ) A ρϕ21 B E D ⋅21 C ρϕ D E D ⋅ 2、下列函数(球坐标系a 、b 为非零常数)中能描述无电荷区电势的是( )A a 2rB a b r +3C ar(2r +b)D b ra + 3、真空中两个相距为a 的点电荷1q 和2q ,它们之间的相互作用能是( ) A a q q 0218πε B a q q 0214πε C a q q 0212πε D aq q 02132πε 4、电偶极子p 在外电场e E 中所受的力为( )A (∇⋅P )e EB —∇(⋅P e E )C (P ⋅∇)e ED (eE ⋅∇)P5、电导率为1σ和2σ,电容率为1ε和2ε的均匀导电介质中有稳恒电流,则在两导电介质面上电势的法向微商满足的关系为( ) A n n ∂∂=∂∂21ϕϕ B σϕεϕε-=∂∂-∂∂n n 1122 C nn ∂∂=∂∂2211ϕσϕσ D n n ∂∂=∂∂122211σσϕσ 6. 用点像法求接静电场时,所用到的像点荷___________ 。
A) 确实存在;B) 会产生电力线;C) 会产生电势;D) 是一种虚拟的假想电荷。
7.用分离变量法求解静电场必须要知道__________ 。
A) 初始条件;B) 电场的分布规律;C) 边界条件;D) 静磁场。
8.设区域V 内给定自由电荷分布)(x ρ,S 为V 的边界,欲使V 的电场唯一确定,则需要给定( )。
A. S φ或S n ∂∂φB. S QC. E 的切向分量D. 以上都不对9.设区域V 内给定自由电荷分布()ρx ,在V 的边界S 上给定电势s ϕ或电势的法向导数s n ϕ∂∂,则V 内的电场( )A . 唯一确定 B. 可以确定但不唯一 C. 不能确定 D. 以上都不对10.导体的静电平衡条件归结为以下几条,其中错误的是( )A. 导体内部不带电,电荷只能分布于导体表面B. 导体内部电场为零C. 导体表面电场线沿切线方向D. 整个导体的电势相等11.一个处于x ' 点上的单位点电荷所激发的电势)(x ψ满足方程( )A. 2()0x ψ∇=B. 20()1/x ψε∇=-C. 201()()x x x ψδε'∇=-- D. 201()()x x ψδε'∇=-12.对于均匀带电的球体,有( )。
《电动力学》习题库2011-12-13一、判断题1. 电荷守恒定律的微分形式为:/J t ρ∇⋅=∂∂。
( )2. 根据亥姆霍兹定理,一个矢量场的性质由它的散度和旋度确定( )3. 磁场强度H 是个辅助物理量,它与磁感应强度B 的普遍关系为:)(0M H B +=μ.( )4. 静电场总能量表示为V d W ⎰=ρϕ21,则其能量密度为ρϕ21=w ( )5. 用势描述电磁场,客观规律和势的特殊选择有关 ( )6. 在介质分界面上,磁场强度的切向分量总是连续的。
( )7. 矩形波导中不能传输TEM 模式的电磁波。
( )8. 可以直接引入磁标势,不需要条件。
( )9. 导电媒质中的平面波是衰减波。
( )10. 时变电磁场中,电场和磁场相互激发形成电磁波。
( )11. 变化的电磁场中,场点在r t c+时刻对源点t 时刻的变化作出响应( )。
12. 在相对论中,时间先后是相对的。
在某一惯性系中,A 事件比B 事件先发生。
在另一惯性系中,A 事件就可能比B 事件迟发生。
( )13. 在相对论中,能量为,2mc W =其中2201c v m m -=. ( )14. 电偶极辐射场的分布具有方向性。
( )15. 在相对论中,间隔2S 在任何惯性系都是不变的,也就是说两事件时间先后关系保持不变。
( )二、选择题1. 下面关于静电场中导体的描述不正确的是A 导体处于平衡状态;B 导体内部电场处处为零;C 电荷分布在导体内部;D 导体表面的电场垂直于导体表面。
2. 导体中的平面波电磁波不具有( )性质。
A .电场和磁场垂直B .振幅沿传播方向衰减C .电场和磁场同相3. 变化的电磁场中,场点在( )时刻对源点t 时刻发生的变化作出响应。
A .r t c -B .r t c+ C .t (其中:r 为源点与场点的距离,c 为光速。
)4. 半径为a 均匀带电介质球,介电常数为ε,电荷体密度为ρ,则球内的任一点的电场强度的散度E ∇∙ 为:( )A . 0B . ρC . 34a πρD . ρ5. 在自由空间传播的平面波,下列说法错误的是( )。
《电动力学》习题集1、根据算符▽的微分性与矢量性,推导下列公式:2()()()()()1()()2A ∇=⨯∇⨯+∇+⨯∇⨯+∇⨯∇⨯=∇-∇AB B A B A A B A B A A A A2、设u 是空间坐标x,y,z 的函数,证明:(),(),().df f u u dud u u dud u u du∇=∇∇=∇∇⨯=∇⨯A A A A 4、应用高斯定理证明,V SdV d ∇⨯=⨯⎰⎰f S f 应用斯托克斯(Stokes )定理,证明.S L d d ϕϕ⨯∇=⎰⎰S l5、已知一个电荷系统的偶极距定义为:()(,)V P t x t x dV ρ'''=⎰ 利用电荷守恒定律0j t ρ∂∇⋅+=∂ ,证明P 的变化率:(,)V d p j x t dV dt ''=⎰6、若m 为常矢量,证明除0R =点以外,矢量3m R A R ⨯= 的旋度等于标量3m R R ϕ= 的梯度的负值。
即:A ϕ∇⨯=-∇ , 其中R 为坐标原点到场点的距离,方向由原点指向场点。
7、直接给出库仑定律的数学表达式,写明其中各个符号的物理意义。
并推导出真空中静电场的下列公式:()();()0x x ρε∇=∇⨯=E E 。
x 8、证明两个闭合的恒定电流圈之间的作用力大小相等,方向相反(但两个电流元之间的作用力一般并不服从牛顿第三定律)。
9、直接给出毕奥-萨伐尔定律的数学表达式,写明其中各个符号的物理意义,并推导出真空中静磁场的下列公式。
J B B 00μ=⨯∇=⋅∇ 10、直接给出法拉第电磁感应定律的积分形式和微分形式,写明其中各个符号的物理意义。
11、直接给出真空中麦可斯韦方程组的积分形式和微分形式,写明其中各个符号的物理意义。
12、设想存在孤立磁荷(磁单极子),试改写Maxwell 方程组,以包括磁荷密度ρm 和磁流密度J m 的贡献。
13、场和电荷系统的能量守恒定律的积分形式和微分形式,电磁场能量密度和能流密度表达式。
电动力学试题题库一、填空题:1. 一个半径为a的带电球,电荷在球内均匀分布,总电荷为Q ,则球内电场满足____________,球外电场满足____________。
2. 一个半径为a的带电球,电荷在球内均匀分布,总电荷为Q ,则球内电场满足____________,球外电场满足____________。
3. 一根无限长直圆柱形导体,横截面半径为a,沿轴向通有均匀分布的稳恒电流,电流强度为.设导体的磁导率为,导体外为真空,则柱内磁场的旋度为_______,柱外磁场的旋度为_______。
4. 一根无限长直圆柱形导体,横截面半径为a,沿轴向通有均匀分布的稳恒电流,电流强度为.设导体的磁导率为,导体外为真空,则柱内磁场的散度为_______,柱外磁场的散度为_______。
5. 静电场中导体的边界条件有两种给法,一种是给定____________,另一种是给定____________。
6. 静电场中半径为a导体球,若将它与电动势为的电池的正极相连,而电池的负极接地,则其边界条件可表示为______________;若给它充电,使它带电,则其边界条件可表示为______________________________________。
7. 复电容率的实部代表______________的贡献,虚部代表______________的贡献。
8. 良导体的条件是_________________,理想导体的条件是_________________。
9. 复波矢的实部描述_________________,复波矢的实部描述_________________。
10. 库仑规范条件是__________________________,洛伦兹规范条件是__________________________。
11. 静电场方程的微分形式为___________、__________。
12. 恒定磁场方程的微分形式为___________________、___________________。
一、单项选择题1.学习电动力学课程的主要目的有下面的几条,其中错误的是(D) A.把握电磁场的基本规律,深入对电磁场性质和时空概念的理解B.获得本课程领域内分析和处理一些基本问题的初步力量,为以后解决实际问题打下基础C.更深刻领悟电磁场的物质性,深入辩证唯物主义的世界观D.物理理论是否定之否定,没有肯定的真理,世界是不行知的 2.V∙(A×B)=(C ) A.A∙(V×B)+B∙(V×A) B.A(VxB)-B(VxA) C.B∙(V×A)-A∙(V×B) D.(V∙A)×B3.下列不是恒等式的为(CA.V×=OB.V∙V×/=0C.V ∖7φ=QD.V ∖7φ=V 2φ 4.设-=J(X 一f)2+(y-y ,)2+(z 一z ,)2为源点到场点的距离,「的方向规定为从源点指向场点,则(B)o B.Vr=- C.V7=0D.Vr=-5.若所为常矢量,矢量H=卑K 标量8=等,则除R=O 点外,Z 与。
应满意关系(A) A.V×A=V φB.V×A=-VφC.A=VφD.以上都不对6. 设区域V 内给定自由电荷分布夕(X),S 为P 的边界,欲使V 的电场唯一确定,则需要给定(A )。
A.0∣s 或?ISB.OlSC 后的切向重量D.以上都不对7. 设区域V 内给定自由电荷分布P(X),在V 的边界S 上给定电势时$或电势的法向导数器,则V 内 的电场(A) A.唯一确定B.可以确定但不唯一C.不能确定D.以上都不对8. 导体的静电平衡条件归结为以下几条,其中错误的是(C) A.导体内部不带电,电荷只能分布于导体表面 B.导体内部电场为零 C.导体表面电场线沿切线方向D.整个导体的电势相等9. 一个处于元'点上的单位点电荷所激发的电势族(五)满意方程(C) A.V 2ι∕∕(x)=0C.^72ψ(x)= ------------ δ{x -x ,)⅞10 .对于匀称带电的球体,有(C)OA.电偶极矩不为零,电四极矩也不为零 C.电偶极矩为零,电四极矩也为零11 .对于匀称带电的长形旋转椭球体,有(BA.电偶极矩不为零,电四极矩也不为零C.电偶极矩为零,电四极矩也为零12 .对于匀称带电的立方体,则(C)A.Vr = OB.V 2ι∕∕(x) =-1 / D. V 2ψ(x) = --δ(x ,) εoB.电偶极矩为零,电四极矩不为零 D.电偶极矩不为零,电四极矩为零B.电偶极矩为零,电四极矩不为零 D.电偶极矩不为零,电四极矩为零A.电偶极矩不为零,电四极矩为零 C.电偶极矩为零,电四极矩也为零 13 .电四极矩有几个独立重量?(C )A.9个B.6个C.5个14 .平面电磁波的特性描述如下:电磁波为横波,后和月都与传播方向垂直后和后相互垂直,后X 月沿波矢E 方向 □卢和方同相,振幅比为V 以上3条描述正确的个数为(D ) A.O 个B.1个C.2个15 .关于全反射下列说法正确的是(D )。
.zD a e 2.63x yC xye y e + .x yB aye axe -+ .()r A are 柱坐标系p p B are ϕ=电动力学练习题第一章电磁现象的基本规律一.选择题1.下面函数中能描述静电场强度的是( )2.下面矢量函数中不能表示磁场强度的是( )3.变化的磁场激发的感应电场满足( )4.非稳恒电流的电流线起自于( )A.正点荷增加的地方;B.负电荷减少的地方;C.正电荷减少的地方;D.电荷不发生改变的地方。
5.在电路中负载消耗的能量是( )A.通过导线内的电场传递的;B.通过导线外周围的电磁场传递的;C.通过导线内的载流子传递;D. 通过导线外周围的电磁场传递的,且和导线内电流无关。
二、填空题1.极化强度为 的均匀极化介质球,半径为R,设与球面法线夹角为θ,则介质球的电偶极矩等于_____,球面上极化电荷面密度为_____。
2.位移电流的实质是_________.3.真空中一稳恒磁场的磁感应强度(柱坐标系)产生该磁场的电流密度等于_______。
4.在两种导电介质分界面上,有电荷分布,一般情况下,电流密度满足的边值关系是____。
5.已知某一区域在给定瞬间的的电流密度:其中c 是大于零的常量。
此瞬间电荷密度的时间变化率等于___ ,若以原点为中心,a 为半径作一球面,球内此刻的总电荷的时间变化率等于_____。
6.在两绝缘介质的界面处,电场的边值关系应采用()21 ,n D D ⋅-= 21()n E E ⨯-=。
在绝缘介质与导体的界面(或两导体的界面处)稳恒电流的情况下,电流的边值关系为7.真空中电磁场的能量密度w =_____________,能流密度S =_________。
8.已知真空中电场为23r r E ab r r =+(a ,b 为常数),则其电荷分布为______。
9.传导电流与自由电荷之间的关系为:f J ∇⋅= _____________ 极化电流与束缚电荷之间的关系为:p J ∇⋅=_____________然而按分子电流观点,磁化电流的散度为 M J ∇⋅=_____________ 10.电荷守恒定律的微分形式为_____________。
练习题(一)单选题(在题干后的括号内填上正确选项前的序号,每题1分)1.高斯定理→→⎰⋅E S ds=εQ中的Q是()①闭合曲面S外的总电荷②闭合曲面S内的总电荷③闭合曲面S外的自由电荷④闭合曲面S内的自由电荷2.高斯定理→→⎰⋅E S ds=εQ中的E是 ( )①曲面S外的电荷产生的电场强度②曲面S内的电荷产生的电场强度③空间所有电荷产生的电场强度④空间所有静止电荷产生的电场强度3.下列哪一个方程不属于高斯定理()①→→⎰⋅E S ds=εQ②→→⎰⋅E S dS=VdV'⎰ρε1③▽→⨯E=-tB∂∂→④→⋅∇E=ερ4.对电场而言下列哪一个说法正确()①库仑定律适用于变化电磁场②电场不具备叠加性③电场具有叠加性④电场的散度恒为零5.静电场方程→→⎰⋅l dEL= 0 ()①仅适用于点电荷情况②适用于变化电磁场③ L仅为场中一条确定的回路④ L为场中任一闭合回路6.静电场方程▽→⨯E= 0 ( )①表明静电场的无旋性②适用于变化电磁场③表明静电场的无源性④仅对场中个别点成立7.对电荷守恒定律下面哪一个说法成立 ( )①一个闭合面内总电荷保持不变②仅对稳恒电流成立③对任意变化电流成立④仅对静止电荷成立8.安培环路定理→→⎰⋅l dBL= I0μ中的I为()①通过L所围面的总电流②不包括通过L所围曲面的总电流③通过L所围曲面的传导电流④以上说法都不对9.在假定磁荷不存在的情况下,稳恒电流磁场是 ( )① 无源无旋场 ② 有源无旋场 ③有源有旋场 ④ 无源有旋场10.静电场和静磁场(即稳恒电流磁场)的关系为 ( )① 静电场可单独存在,静磁场也可单独存在② 静电场不可单独存在,静磁场可单独存在③ 静电场可单独存在,静磁场不可单独存在④ 静电场不单独存在,静磁场也不可单独存在11.下面哪一个方程适用于变化电磁场 () ① ▽→⨯B =→J 0μ②▽→⨯E =0 ③→⋅∇B =0 ④→⋅∇E =012.下面哪一个方程不适用于变化电磁场( )① ▽→⨯B =→J 0μ②▽→⨯E =-t B ∂∂→③▽•→B =0 ④▽•→E =0ερ13.通过闭合曲面S 的电场强度的通量等于 ( )①⎰⋅∇V dV E )( ②⎰⋅⨯∇L l d E )(③⎰⨯∇V dV E )( ④⎰⋅∇S dS E )(14.通过闭合曲面S 的磁感应强度的通量等于 ( )①⎰⨯∇V dV B )( ②⎰⋅⨯∇L l d B )(③⎰⨯SS d B④ 0 15.电场强度沿闭合曲线L 的环量等于 ( )①⎰⋅∇V dV E )( ②⎰⋅⨯∇S S d E )(③⎰⨯∇V dV E )( ④⎰⋅∇S dS E )(16.磁感应强度沿闭合曲线L 的环量等于( ) ①l d B L ⋅⨯∇⎰)(②⎰⋅⨯∇S S d B )(③⎰⨯S S d B ④⎰⋅∇V dV B )(17. 位置矢量r 的散度等于 ()①0 ②3 ③r 1④r18.位置矢量r 的旋度等于 ( ) ①0 ②3 ③r r ④3r r19.位置矢量大小r 的梯度等于 ( )①0 ②r 1③r r ④3r r20.)(r a ⋅∇=? (其中a 为常矢量) ( )①r ② 0 ③r r④a21.r 1∇=?( )① 0 ② -3r r ③r r ④r22.⨯∇3r r=? ( )① 0 ②r r ③r ④r 123.⋅∇3r r=?(其中r ≠0) ( )①0 ② 1 ③ r ④r124.)]sin([0r k E ⋅⋅∇的值为(其中0E 和k 为常矢量) ( )①)sin(0r k k E ⋅⋅②)cos(0r k r E ⋅⋅③)cos(0r k k E ⋅⋅④)sin(0r k r E⋅⋅25. )]sin([0r k E ⋅⨯∇的值为(其中0E 和k为常矢量) ( )①)sin(0r k E k ⋅⨯②)cos(0r k r E ⋅⨯③)cos(0r k E k ⋅⨯④)sin(0r k k E⋅⨯26.对于感应电场下面哪一个说法正确( )①感应电场的旋度为零 ②感应电场散度不等于零③感应电场为无源无旋场④感应电场由变化磁场激发27.位移电流( )①是真实电流,按传导电流的规律激发磁场②与传导电流一样,激发磁场和放出焦耳热③与传导电流一起构成闭合环量,其散度恒不为零④实质是电场随时间的变化率28.位移电流和传导电流 ( )①均是电子定向移动的结果 ②均可以产生焦耳热③均可以产生化学效应 ④均可以产生磁场29.下列哪种情况中的位移电流必然为零 ( )①非闭合回路 ②当电场不随时间变化时③在绝缘介质中 ④在导体中30.麦氏方程中t B E ∂∂-=⨯∇的建立是依据哪一个实验定律 ( )①电荷守恒定律②安培定律③电磁感应定律④库仑定律31.麦克斯韦方程组实际上是几个标量方程 ( )①4个 ②6个 ③8个 ④10个32.从麦克斯韦方程组可知变化电场是 ( )①有源无旋场②有源有旋场③无源有旋场④无源无旋场33.从麦克斯韦方程组可知变化磁场是 ( )①有源无旋场 ②有源有旋场③无源有旋场④无源无旋场34.下列说法正确的是 ( )①束缚电荷只出现在非均匀介质表面 ②束缚电荷只出现在均匀介质表面③介质界面上不会出现束缚电荷 ④以上说法都不对35.介质的均匀极化是指 ( )①均匀介质的极化 ②线性介质的极化③各向同性介质的极化 ④介质中处处极化矢量相同36.束缚电荷体密度等于 ( )①0 ②P ⨯∇③-P ⋅∇④)(12P P n-⋅37.束缚电荷面密度等于 ( )①0 ②P ⨯∇③-P ⋅∇④-)(12P P n-⋅38.极化电流体密度等于 ( )①0 ②M ⋅∇③M ⨯∇④t P∂∂39.磁化电流体密度等于 ( )①M ⨯∇②M ⋅∇③t M ∂∂ ④)(12M M n-⋅40.)(0M H B+=μ( )①适用于任何介质 ②仅适用于均匀介质③仅适用于铁磁介质 ④仅适用于各向同性介质41.P E D+=0ε( )①仅适用于各向同性介质 ②仅适用于均匀介质③适用于任何介质 ④仅适用于线性介质42.H B μ=( )①适用于任何介质 ②仅适用于各向同性介质③仅适用于铁磁介质 ④仅适用于各向同性非铁磁介质43.E Dε=( )①仅适用于各向同性线性介质 ②仅适用于非均匀介质 ③适用于任何介质 ④仅适用于铁磁介质44.对于介质中的电磁场 ( )①(E ,H )是基本量,(D ,B )是辅助量②(D ,B )是基本量,(E ,H )是辅助量③(E ,B )是基本量,(D ,H )是辅助量④(D ,H )是基本量,(E ,B )是辅助量45. 电场强度在介质分界面上 ( )①法线方向连续,切线方向不连续 ②法线方向不连续,切线方向不连续③法线方向连续,切线方向连续 ④法线方向不连续,切线方向连续46.磁感应强度在介质分界面上 ( )①法线方向连续,切线方向不连续 ②法线方向不连续,切线方向不连续③法线方向连续,切线方向连续 ④法线方向不连续,切线方向连续47.电位移矢量在介质分界面上的法向分量 ( )①连续 ②0=p σ时连续 ③0=f σ时连续 ④任何情况下都不连续48.磁场强度在介质的分界面上的切向分量 () ①连续 ②0=f α时连续 ③0=M α时连续 ④任何情况下都不连续49.关于磁场的能量下面哪一种说法正确 ( )①场能在空间分布不随时间变化②场能仅存在于有限区域③场能按一定方式分布于场内④场能仅存在导体中50.玻印亭矢量S ( )①只与E 垂直②只与H 垂直 ③与E 和H 均垂直 ④与E 和H 均不垂直51.在稳恒电流或低频交变电流情况下,电磁能是 ( )① 通过导体中电子的定向移动向负载传递的 ② 通过电磁场向负载传递的③ 在导线中传播 ④ 现在理论还不能确定52.静电势的梯度 ( )① 是无源场 ② 等于电场强度 ③ 是无旋场 ④是一个常矢量53.在静电问题中,带有电荷的导体 ()①内部电场不为零 ② 表面不带电 ③ 表面为等势面 ④内部有净电荷存在54.当一个绝缘的带有电荷的导体附近移入一个带电体并达到静电平衡时下面说法 错误的是 ( )①导体面上的电荷分布一定是均匀的 ② 导体内任意一点的电场强度为零③导体表面为一个等势面 ④ 导体表面的电场强度处处与表面垂直55.将一个带有正电荷的导体A 移近一个接地导体B 时,则B 上的电荷是 ( )① 正电荷 ②负电荷 ③ 零 ④无法确定56.真空中半径为0R 的导体球带有电荷Q ,它在球外产生的电势为 ( ) ① 任一常数 ②R Q04πε③004R Qπε④R Q04πε57.边界上的电势为零,区域内无电荷分布,则该区域内的电势为 ( ) ①零 ②任一常数 ③ 不能确定 ④R Qπε458.在均匀介质中一个自由点电荷f Q 在空间一点产生的电势为(其中P Q 为束缚电荷)①R Q f04πε②R Q p 04πε③R Qp πε4④RQ Q Pf 04πε+ ( )59. 接地导体球壳的内半径为a ,中心有一点电荷Q ,则壳内的电势为 () ①R Q 04πε② 任意常数 ③)11(40a R Q-πε④ 060.半径为a 的薄导体球带有电荷Q ,同心的包围着一个半径为b 的不接地导体球,则球与球壳间的电势差为 ( )① 0 ②b Q 04πε③)11(40b a Q-πε④aQ04πε61.介电常数为ε的长细棒置于均匀场0E 中,棒与0E方向平行,则棒内场强为 ( )① 0 ②00E εε③00Eεε④0E62.在电偶极子p 的中垂线上 ( )① 电势为零,电场为零 ② 电势为零,电场不为零③电势不为零,电场不为零 ④ 电势不为零,电场为零63.正方形四个顶角上各放一个电量为Q 的点电荷,则正方形中心处 ()① 电势为零,电场为零 ② 电势为零,电场不为零③电势不为零,电场不为零 ④ 电势不为零,电场为零64. 根据静电屏蔽现象,对于一个接地导体壳层,下面说法错误的是 ( ) ① 外部电荷对壳内电场无影响 ②内部电荷对壳外电场无影响 ③ 外部电荷对壳内电势有影响 ④内部电荷对壳外电势有影响65.真空中的带电导体产生的电势为ϕ,则导体表面所带电荷面密度σ为 ( )① -n ∂∂ϕε②-n∂∂ϕε0③常数④不能确定 66.介质分界面上无自由电荷分布,则电势的边值关系正确的是 ( )①21ϕϕ≠②n ∂∂22ϕε≠n ∂∂11ϕε③21ϕϕ=④n ∂∂1ϕ=n ∂∂2ϕ67.用电象法求导体外的电势时,假想电荷(即象电荷) ( )①是用来代替导体外的电荷 ②必须放在导体外面③只能有一个 ④必须放在导体内68. 对于电象法,下列哪一种说法正确 ( )① 只能用于有导体的情况 ② 象电荷一定与原电荷反号③ 象电荷一定与感应电荷相同 ④能用于导体有少许几个电荷的情况69.电象法的理论依据为 ( )① 电荷守恒 ②库仑定律 ③ 唯一性定理 ④ 高斯定理70.两均匀带电无限大平行导体板之间的电场为 ( )① 非均匀场 ②均匀场 ③电势为常数的场 ④球对称场71.均匀静电场0E中任一点P 的电势为(其中0ϕ为参考点的电势) ( )①任一常数 ②r E p 0)(=ϕ③r E p ⋅-=00)(ϕϕ④r E p⋅+=00)(ϕϕ72.无限大导体板外距板a 处有一点电荷Q ,它受到作用力大小的绝对值为( ) ①2022a Q πε②2024a Q πε③20216a Q πε④2028aQ πε73.稳恒电流情况下矢势A 与B 的积分关系⎰⎰⋅=⋅L S S d B l d A 中 () ①S 为空间任意曲面 ②S 为以L 为边界的闭合曲面③S 为空间一个特定的闭合曲面 ④S 为以L 为边界的任意曲面74.对稳恒电流磁场的矢势A ,下面哪一个说法正确 () ①A 本身有直接的物理意义 ②A 是唯一确定的③只有A 的环量才有物理意义 ④A 的散度不能为零75.矢势A的旋度为 ( )①任一常矢量 ②有源场 ③无源场 ④无旋场 76.关于稳恒电流磁场能量⎰⋅=dV J A W 21,下面哪一种说法正确 ( ) ①W 是电流分布区域之外的能量 ②J A ⋅21是总磁场能量密度③W 是稳恒电流磁场的总能量 ④J A ⋅21是电流分布区的能量密度77.关于静电场⎰=dV W ρϕ21,下面哪一种说法正确 () ①W 是电荷分布区外静电场的能量 ②ρφ21是静电场的能量密度③W 是电荷分布区内静电场的能量 ④W 是静电场的总能量78.电流密度为J 的稳恒电流在矢势为e A 的外静磁场e B中,则相互作用能量为() ①dV A J e ⎰⋅ ②21dV A J e ⎰⋅③dV B J e ⎰⋅ ④21dV B J e ⎰⋅79.稳恒电流磁场能够引入磁标势的充要条件 ( )①J =0的点 ② 所研究区域各点J =0 ③引入区任意闭合回路0=⋅⎰l d H L ④ 只存在铁礠介质80.假想磁荷密度m ρ等于零 ( )① 任意常数 ②M ⋅∇-0μ③M ⋅∇0μ④H⋅∇-0μ81.引入的磁标势的梯度等于 ( )①H -②H ③B -④B82.在能够引入磁标势的区域内 ( )①m H ρμ0=⋅∇ ,0=⨯∇H ②m H ρμ0=⋅∇ ,0≠⨯∇H③0μρm H =⋅∇ ,0≠⨯∇H ④0μρm H =⋅∇,0=⨯∇H 83.自由空间是指下列哪一种情况的空间 ( )①0,0==J ρ②0,0≠=J ρ③0,0=≠J ρ④0,0≠≠J ρ84. 在一般非正弦变化电磁场情况下的均匀介质内)()(t E t D ε≠的原因是 ()①介电常数是坐标的函数 ② 介电常数是频率的函数③介电常数是时间的函数 ④ 介电常数是坐标和时间的函数85.通常说电磁波满足亥姆霍兹方程是指 ( )①所有形式的电磁波均满足亥姆霍兹方程 ②亥姆霍兹方程仅适用平面波③亥姆霍兹方程仅适用单色波 ④亥姆霍兹方程仅适用非球面波86.对于电磁波下列哪一种说法正确 ( )① 所有电磁波均为横波 ②所有单色波均为平面波③ 所有单色波E 均与H 垂直 ④上述说法均不对87.平面电磁波相速度的大小 ( )①在任何介质中都相同 ②与平面电磁波的频率无关③等于真空中的光速 ④上述说法均不对88.已知平面电磁波的电场强度)]1023002(exp[1006t z i e E x ⨯-=ππ则 ( )① 波长为300 ② 振幅沿z 轴 ③圆频率为610④波速为81031⨯89已知平面电磁波的电场强度)]1023002(exp[1006t z i e E x ⨯-=ππ则 ( )①波矢沿x 轴②频率为610③波长为61032⨯π④波速为6103⨯90.已知平面电磁波的电场强度)]1023002(exp[1006t z i e E x ⨯-=ππ则 ( )①圆频率为610②波矢沿x 轴 ③波长为100④波速为8103⨯91.已知平面电磁波的电场强度)]1023002(exp[1006t z i e E x ⨯-=ππ则 ( )①圆频率为610②波矢沿x 轴 ③波长为100 ④磁场强度H 沿y e方向92.已知2121)],(exp[)(E E t kz i E e E e E y x =-+=ω为实数,则该平面波为 ( )① 圆偏振波 ②椭圆偏振波 ③线偏振波 ④部分偏振波93.已知2121)],(exp[)(iE E t kz i E e E e E y x =-+=ω为实数,则该平面波为 ( )① 圆偏振波 ②椭圆偏振波 ③线偏振波 ④部分偏振波94.平面电磁波的电场强度与磁场强度的关系为 ( )①0=⋅H E 且位相相同 ②0=⋅H E 但位相不相同③0≠⋅H E 且位相相同 ④0≠⋅H E 但位相不相同95.)ex p(x k i ⋅的梯度为 ( )①k i ②k i )ex p(x k i ⋅③k )ex p(x k i ⋅④x i )ex p(x k i ⋅96.对于平面电磁波 ( )①电场能=磁场能=2E ε② 电场能=2倍的磁场能③2倍的电场能=磁场能 ④ 电场能=磁场能=212E ε 97.对于平面电磁波,下列哪一个公式正确 ( )①B E S ⨯=②v B E = ③H E με=④n E S 2εμ= 98.对于变化电磁场引入矢势的依据是 ( )①0=⨯∇H ②0=⋅∇H ③0=⨯∇B ④0=⋅∇B99.对于变化电磁场能够引入标量势函数的依据是①0=⋅∇E ②0)(=∂∂+⨯∇t A E ③0=⨯∇E ④0)(=∂∂+⋅∇tA E 100.加上规范条件后,矢势A 和标势ϕ ( )①可唯一确定 ②仍可进行规范变换 ③A 由ϕ确定 ④ϕ由A 确定101.对于电磁场的波动性,下面哪种说法正确 ( )①波动性在不同规范下性质不同 ② 波动性与规范变换无关③波动性仅体现在洛仑兹规范中 ④ 以上说法均不正确102.对于描述同一磁场的两个不同的矢势A 和/A ,下列哪一个的关系正确 ( )①/A A ⋅∇=⋅∇②tA t A ∂∂=∂∂/③./ψ∇+⨯∇=⨯∇A A ④0)(/=-⨯∇A A103. 洛仑兹规范下变换tA A ∂∂-=∇+=ψϕϕψ//, 中的ψ应满足的方程为 ( ) ①02=∇ψ②0=∇ψ③022=∂∂t ψ④012222=∂∂-∇t c ψψ 104. 库仑规范下变换t A A ∂∂-=∇+=ψϕϕψ//, 中的ψ应满足的方程为 ( ) ①02=∇ψ②0=∇ψ③022=∂∂t ψ④012222=∂∂-∇tc ψψ 105.从狭义相对论理论可知在不同参考系观测,两个事件的 ( )①空间间隔不变 ②时间间隔不变 ③时空间隔不变 ④时空间隔可变106.狭义相对论的相对性原理是 ( )①麦克尔逊实验的结果 ②洛仑兹变化的直接推论③光速不变原理的表现形式 ④物理学的一个基本原理107.狭义相对论光速不变原理的内容是 ( )①光速不依赖光源的运动速度 ②光速的大小与所选参照系无关③光速是各向同性的 ④以上三条的综合108.用狭义相对论判断下面哪一个说法不正确 ( )①真空中的光速是物质运动的最大速度 ②光速的大小与所选参照系无关③真空中的光速是相互作用的极限速度 ④光速的方向与所选的参照系无关109.在一个惯性参照系中同时同地地两事件在另一惯性系中 ( )①为同时不同地的两事件 ②为同时同地的两事件③为不同时同地的两事件 ④为不同时不同地的两事件110.在一个惯性参照系中观测到两事件有因果关系,则在另一参照系中两事件( )①因果关系不变 ②因果关系倒置③因果关系不能确定 ④无因果关系111.设一个粒子的静止寿命为810-秒,当它以c 9.0的速度飞行时寿命约为 ( )①81029.2-⨯秒②81044.0-⨯秒③81074.0-⨯秒④81035.1-⨯秒112.运动时钟延缓和尺度收缩效应 ( )①二者无关 ②二者相关 ③是主观感觉的产物 ④与时钟和物体的结构有关113.一个物体静止在∑系时的静止长度为0l ,当它静止在/∑系时,/∑系的观测者测到该物体的长度为(设/∑相对∑系的运动速度为)9.0c ( ) ①044.0l ②029.2l ③0l ④不能确定114.在∑系测到两电子均以c 6.0的速率飞行但方向相反,则在∑系测到它们的相对速率为①c 6.0②0③c 2.1④c 1715 ( ) 115.一观测者测到运动着的米尺长度为5.0米(此尺的固有长度为1米),则此尺的运动速度的大小为 ( ) ①s m 8106.2⨯②s m 8102.2⨯③s m 8108.2⨯④sm 6106.2⨯ 116.相对论的质量、能量和动量的关系式为 ( )①mgh W =②221mv W =③mgh mv W +=221④42022c m p c W += 117.一个静止质量为0m 的物体在以速度v 运动时的动能为 ( )①2mc T =②221mv T =③20221c m mv T +=④20)(c m m T -= 118.一个静止质量为0m 的物体在以速度v 运动时的动量大小为 ( ) ①v m p 0=②mc p =③c m p 0=④2201c vvm p -=119.真空中以光速c 运动的粒子,若其动量大小为p ,则其能量为 ( )①20c m W =②221mc W =③pc W =④不能确定120.下列方程中哪一个不适用于相对论力学( ) ①dt p d F =②dt dW v F =⋅ ③a m F =④vdt dm a m F+=。
一、单项选择题1. 下列计算正确的是 ( ) A. 30r r ⎛⎫∇⋅= ⎪⎝⎭ B. 34()r r r πδ⎛⎫∇⋅= ⎪⎝⎭ C. 0r r ⎛⎫∇⋅= ⎪⎝⎭ D. 20r r ⎛⎫∇⋅= ⎪⎝⎭2. k 为常矢量,下列计算正确的是( )A. r k r k e k e⋅⋅⋅=∇ B. r k r k e k e ⋅⋅=∇ C. r k r k e r e ⋅⋅⋅=∇ D. r k r k e r e ⋅⋅=∇3. 导体中平面电磁波的电场表示式为 ( )A.()0i k x t E E e ω⋅-=B.()0x i x t E E e e αβω-⋅⋅-=C.0cos()E E t ωϕ=+ D. 0sin()E E t ωϕ=+4. 以下说法正确的是( ) A. 12W dV ρϕ=⎰ 只有作为静电场总能量才有意义 B. 12W dV ρϕ=⎰ 给出了能量密度 C. 12W dV ρϕ=⎰ 对非静电场同样适用 D. 12W dV ρϕ=⎰ 仅适用于变化的电场5. 电四级张量的独立分量个数为:( )A. 5B. 6C. 9D. 由体系的电荷分布而定。
6. 在同一介质中传播的电磁波的相速度 v= ( )A. 相同B. 不同C. 与电磁波的频率有关D. 以上说法均不正确7. 已知电极化强度,则极化电荷密度为 ( )A.B.C.D.8. 下面说法正确的是 ( )A. 空间任一点的场强是由该点的电荷密度决定的;B.空间任一点的场强的散度是由所有在场的电荷q决定的;C. 空间任一点的场强的散度只与该点的电荷密度有关;D. 空间某点,则该点,可见该点也必为零.9. 球对称电荷分布的体系是:( )A. 电中性的B. 电偶极矩不为零,电四级矩为零C. 电偶极矩为零,电四级矩不为零D. 各级电多极矩均为零10. 电像法的理论基础是 ( )A. 场方程的边界条件B. 麦克斯韦方程组C. 唯一性定理D. 场的叠加原理11. 在同一介质中传播的电磁波的相速度v = ( )A. 相同B. 不同C. 与电磁波的频率有关D. 以上说法均不正确12. H B μ= 是 ( )A .普适的 B. 仅适用于铁磁性物质C .仅适用于线性非铁磁性物质 D. 不适用于非铁磁性物质13. 以下说法正确的是: () A . 平面电磁波的E 和B 一定同相B . 平面电磁波中电场能量一定等于磁场能量C . 两种电磁波的频率相同,它们的波长也一定相同D . 以上三种说法都不正确。
电动力学复习题库电动力学是物理学中非常重要的一个分支,它研究了电荷在电场和磁场中的运动规律以及它们之间的相互作用。
掌握电动力学的基本概念和公式对于理解电磁现象和解决实际问题至关重要。
在这篇文章中,我将为大家提供一些电动力学的复习题,帮助大家巩固所学知识。
1. 电场和电势问题1:两个等量的正电荷分别放置在真空中的两个点上,它们之间的距离为d。
如果将其中一个电荷移动到另一个点上,求移动过程中所做的功。
问题2:一个点电荷在电势为V的电场中所受到的力为F,求该点电荷的电量。
问题3:在一个电势为V的电场中,将一个电荷从A点移动到B点,电势差为ΔV。
如果将该电荷从B点移动回A点,电势差是否相同?为什么?2. 高斯定律问题4:一个球形导体半径为R,带有总电荷Q。
求球面上的电场强度和球内的电场强度。
问题5:一个无限长的均匀带电线,线密度为λ。
求离线距离为r处的电场强度。
问题6:在一个半径为R的球形空腔内,有一个点电荷Q。
求球内的电场强度。
3. 电势能和电势能差问题7:一个点电荷Q在电势为V的电场中,它的电势能是多少?问题8:一个电荷为q的点电荷从A点移动到B点,电势能差为ΔU。
如果将该电荷从B点移动回A点,电势能差是否相同?为什么?问题9:两个无限大金属平板之间存在一个电势差V,平板之间的距离为d。
求单位正电荷从一平板移动到另一平板所做的功。
4. 电流和电阻问题10:一根电阻为R的导线通过电流I,求导线两端的电压。
问题11:一个电阻为R的电路中通过电流I,求电路中的总电阻。
问题12:一个电阻为R的导线通过电流I,求导线上的电功率。
5. 安培定律和法拉第定律问题13:一根导线的长度为L,导线中的电流为I。
求导线上的磁感应强度。
问题14:一个导线在磁感应强度为B的磁场中,导线的长度为L,导线中的电流为I。
求导线上的磁力。
问题15:一根导线的长度为L,导线中的电流为I。
如果将导线的长度缩短为原来的一半,电流变为原来的两倍,求导线上的磁感应强度。
电动力学试题题库一、填空题:1. 一个半径为a的带电球,电荷在球内均匀分布,总电荷为Q ,则球内电场满足____________,球外电场满足____________。
2. 一个半径为a的带电球,电荷在球内均匀分布,总电荷为Q ,则球内电场满足____________,球外电场满足____________。
3. 一根无限长直圆柱形导体,横截面半径为a,沿轴向通有均匀分布的稳恒电流,电流强度为.设导体的磁导率为,导体外为真空,则柱内磁场的旋度为_______,柱外磁场的旋度为_______。
4. 一根无限长直圆柱形导体,横截面半径为a,沿轴向通有均匀分布的稳恒电流,电流强度为.设导体的磁导率为,导体外为真空,则柱内磁场的散度为_______,柱外磁场的散度为_______。
5. 静电场中导体的边界条件有两种给法,一种是给定____________,另一种是给定____________。
6. 静电场中半径为a导体球,若将它与电动势为的电池的正极相连,而电池的负极接地,则其边界条件可表示为______________;若给它充电,使它带电,则其边界条件可表示为______________________________________。
7. 复电容率的实部代表______________的贡献,虚部代表______________的贡献。
8. 良导体的条件是_________________,理想导体的条件是_________________。
9. 复波矢的实部描述_________________,复波矢的实部描述_________________。
10. 库仑规范条件是__________________________,洛伦兹规范条件是__________________________。
11. 静电场方程的微分形式为___________、__________。
12. 恒定磁场方程的微分形式为___________________、___________________。
第一章电磁现象得普遍规律1)麦克斯韦方程组就是整个电动力学理论得完全描述。
1-1)在介质中微分形式为来自库仑定律,说明电荷就是电场得源,电场就是有源场。
来自毕-萨定律,说明磁场就是无源场。
来自法拉第电磁感应定律,说明变化得磁场能产生电场、来自位移电流假说,说明变化得电场能产生磁场。
1-2)在介质中积分形式为,, , 。
2)电位移矢量与磁场强度并不就是明确得物理量,电场强度与磁感应强度,两者在实验上都能被测定。
与不能被实验所测定,引入两个符号就是为了简洁得表示电磁规律、3)电荷守恒定律得微分形式为、4)麦克斯韦方程组得积分形式可以求得边值关系,矢量形式为,,,具体写出就是标量关系,,,矢量比标量更广泛,所以教材用矢量来表示边值关系。
例题(28页)无穷大平行板电容器内有两层线性介质,极板上面电荷密度为,求电场与束缚电荷分布。
解:在介质与下极板界面上,根据边值关系与极板内电场为0,得、同理得。
由于就是线性介质,有,得,。
在两个介质表面上,由于没有自由电荷,由得介质1与下表面分界处,有介质2与上表面分界处,有5)在电磁场中, 能流密度为,能量密度变化率为、在真空中, 能流密度为。
能量密度为、6)在电路中,电磁场分布在导线与负载周围得空间。
负载与导线上得消耗得功率完全就是在电磁场中传输得,而不就是由导线传送得。
例(32页)同轴传输线内导线半径为,外导线半径为,两导线间为均匀绝缘介质(如图所示)。
导线载有电流,两导线间得电压为、忽略导线得电阻,计算介质中得能流与传输功率。
解:以距对称轴为得半径作一圆周,应用安培定律得,有、设导线电荷线密度为,应用高斯定理得,有。
能流密度为。
设导线间电压为,有。
传输功率为。
第二章静电场1)在静电场时,电场不变化导致磁场不变化,有。
麦氏方程变为与。
由于得无旋性,就引入了电势,即。
这样,求解静电场问题就变为简单:电场量满足(1)泊松方程;(2)边值关系;(3)边界条件(介质或导体)。
第一章 电磁现象的普遍规律1) 麦克斯韦方程组是整个电动力学理论的完全描述。
1-1) 在介质中微分形式为D ρ∇∙=来自库仑定律,说明电荷是电场的源,电场是有源场。
0B ∇∙=来自毕—萨定律,说明磁场是无源场。
B E t ∂∇⨯=-∂来自法拉第电磁感应定律,说明变化的磁场B t ∂∂能产生电场。
D H J t ∂∇⨯=+∂来自位移电流假说,说明变化的电场Dt∂∂能产生磁场。
1-2) 在介质中积分形式为LS dE dl B dS dt=-⎰⎰, f LS dH dl I D dS dt=+⎰⎰, f SD dl Q =⎰,0SB dl =⎰。
2)电位移矢量D 和磁场强度H 并不是明确的物理量,电场强E 度和磁感应强度B ,两者在实验上都能被测定。
D 和H 不能被实验所测定,引入两个符号是为了简洁的表示电磁规律。
3)电荷守恒定律的微分形式为0J tρ∂∇+=∂。
4)麦克斯韦方程组的积分形式可以求得边值关系,矢量形式为()210n e E E ⨯-=,()21n e H H α⨯-=,()21n e D D σ∙-=,()210n e B B ∙-=具体写出是标量关系21t t E E =,21t t H H α-=,21n n D D σ-=,21n n B B =矢量比标量更广泛,所以教材用矢量来表示边值关系。
例题(28页)无穷大平行板电容器内有两层线性介质,极板上面电荷密度为f σ±,求电场和束缚电荷分布。
解:在介质1ε和下极板f σ+界面上,根据边值关系1f D D σ+-=和极板内电场为0,0D +=得1f D σ=。
同理得2f D σ=。
由于是线性介质,有D E ε=,得1111f D E σεε==,2222fD E σεε==。
在两个介质表面上,由于没有自由电荷,由()021n n p f E E εσσ-=+得()0002121p fE E εεσεσεε⎛⎫=-=-⎪⎝⎭ 介质1和下表面分界处,有00111p f f E εσσεσε⎛⎫'=-+=--⎪⎝⎭介质2和上表面分界处,有00221p f f E εσσεσε⎛⎫''=-=-⎪⎝⎭5)在电磁场中, 能流密度S 为S E H =⨯, 能量密度变化率w t∂∂为w D B E H t t t ∂∂∂=+∂∂∂。
1、静电场方程▽ E= 0A表明静电场的无旋性B适用于变化电磁场C表明静电场的无源性D仅对场中个别点成立2、在假定磁荷不存在的情况下,稳恒电流磁场是A无源无旋场B有源无旋场C有源有旋场D无源有旋场3、下面哪一个方程适用于变化电磁场A L T TA ▽B = %JB ▽ E =0TC ' B=0D I E=04、下面哪一个方程不适用于变化电磁场A ▽B = % JB ▽ E 二空aC ▽? B=05、对于感应电场下面哪一个说法正确A感应电场的旋度为零B感应电场散度不等于零C感应电场为无源无旋场D感应电场由变化磁场激发6、麦氏方程中\ E =的建立是依据哪一个实验定律()A电荷守恒定律B安培定律C电磁感应定律D库仑定律7、从麦克斯韦方程组可知变化磁场是()A有源无旋场B有源有旋场C无源无旋场D无源有旋场8 电场强度在介质分界面上()A法线方向连续,切线方向不连续B法线方向不连续,切线方向不连续C法线方向连续,切线方向连续D法线方向不连续,切线方向连续9、磁感应强度在介质分界面上()A法线方向连续,切线方向不连续B法线方向不连续,切线方向不连续C法线方向连续,切线方向连续D法线方向不连续,切线方向连续10、静电势的梯度()A是无源场B等于电场强度C是无旋场D是一个常矢量11、束缚电荷体密度等于()A 0B \ PC・\ PD n (P2 - P i)12、磁化电流体密度等于()A MBv MC MD n (M 2 -M J13、以下关于时变电磁场的叙述中,正确的是()。
A电场是无旋场B电场和磁场相互激发C电场与磁场无关D磁场是有源场14、已知磁感应强度二:T I :;:.T ,则m的值应为()。
A. m=2 B m=3C. m=6D. m=-215、z>0的半空间中为介电常数£ =2e 0的电介质,z V0的半空间中为空气。
已知空气中的静电场为则电介质中的静电场为()A 5 + £6B. 直词4 +邙C. 倉二瓦2+瓦316、区域V全部用非导电媒质填充,当此区域中的电磁场能量减少时,一定是()。
电动⼒学试题及参考答案电动⼒学试题及参考答案⼀、填空题(每空2分,共32分)1、已知⽮径r,则 r = 。
2、已知⽮量A 和标量φ,则=??)(Aφ。
3、区域V 内给定⾃由电荷分布、,在V 的边界上给定或,则V 内电场唯⼀确定。
4、在迅变电磁场中,引⼊⽮势A 和标势φ,则E= ,B= 。
5、麦克斯韦⽅程组的微分形式、、、。
6、电磁场的能量密度为 w = 。
7、库仑规范为。
8、相对论的基本原理为,。
9、电磁波在导电介质中传播时,导体内的电荷密度 = 。
10、电荷守恒定律的数学表达式为。
⼆、判断题(每题2分,共20分)1、由0ερ=??E 可知电荷是电场的源,空间任⼀点,周围电荷不但对该点的场强有贡献,⽽且对该点散度有贡献。
()2、⽮势A沿任意闭合回路的环流量等于通过以该回路为边界的任⼀曲⾯的磁通量。
() 3、电磁波在波导管内传播时,其电磁波是横电磁波。
() 4、任何相互作⽤都不是瞬时作⽤,⽽是以有限的速度传播的。
()5、只要区域V 内各处的电流密度0=j,该区域内就可引⼊磁标势。
()6、如果两事件在某⼀惯性系中是同时发⽣的,在其他任何惯性系中它们必不同时发⽣。
()7、在0=B的区域,其⽮势A 也等于零。
()8、E 、D 、B 、H四个物理量均为描述场的基本物理量。
()9、由于A B=,⽮势A 不同,描述的磁场也不同。
()10、电磁波的波动⽅程012222v E 适⽤于任何形式的电磁波。
()三、证明题(每题9分,共18分)1、利⽤算符的⽮量性和微分性,证明0)(=φr式中r为⽮径,φ为任⼀标量。
2、已知平⾯电磁波的电场强度i t z c E E )sin(0ωω-=,求证此平⾯电磁波的磁场强度为j t z cc E B )sin(0ωω-=四、计算题(每题10分,共30分)1、迅变场中,已知)cos(0t r K A A ω-?= , )cos(0t r K ωφφ-?= ,求电磁场的E 和B。
1.半径为R的均匀磁化介质球,磁化强度为,则介质球的总磁矩为A. B. C. D. 0答案:B2.下列函数中能描述静电场电场强度的是A. B. C. D.(为非零常数)答案:D3.充满电容率为的介质平行板电容器,当两极板上的电量(很小),若电容器的电容为C,两极板间距离为d,忽略边缘效应,两极板间的位移电流密度为:A. B. C. D.答案:A4.下面矢量函数中哪一个不能表示磁场的磁感强度式中的为非零常数A.(柱坐标) B. C. D.答案:A5.变化磁场激发的感应电场是A.有旋场,电场线不闭和B.无旋场,电场线闭和C.有旋场,电场线闭和D.无旋场,电场线不闭和6.在非稳恒电流的电流线的起点.终点处,电荷密度满足A. B. C. D.答案:D7.处于静电平衡状态下的导体,关于表面电场说法正确的是:A.只有法向分量;B.只有切向分量 ;C.表面外无电场 ;D.既有法向分量,又有切向分量答案:A8.介质中静电场满足的微分方程是A. B.; C.D.答案:B9.对于铁磁质成立的关系是A. B. C. D.答案:C10.线性介质中,电场的能量密度可表示为A. ;B.;C.D.11.已知介质中的极化强度,其中A为常数,介质外为真空,介质中的极化电荷体密度;与垂直的表面处的极化电荷面密度分别等于和。
答案: 0, A, -A12.已知真空中的的电位移矢量=(5xy+)cos500t,空间的自由电荷体密度为答案:13.变化磁场激发的感应电场的旋度等于。
答案:14.介电常数为的均匀介质球,极化强度A为常数,则球内的极化电荷密度为,表面极化电荷密度等于答案0,15.一个半径为R的电介质球,极化强度为,则介质中的自由电荷体密度为 ,介质中的电场强度等于.答案:22.解: (1)由于电荷体系的电场具有球对称性,作半径为的同心球面为高斯面,利用高斯定理当 0<r<时,<r<时,r>时,(2)介质内的极化电荷体密度解:(1)由于磁场具有轴对称性,在半径为r的同轴圆环上,磁场大小处处相等,方向沿环的切线方向,并与电流方向服从右手螺旋关系,应用当r>时,有当<r<时,当r<时,(<r<27.图1-41图1-43第二章静电场1、泊松方程适用于A.任何电场B. 静电场;C. 静电场而且介质分区均匀;D.高频电场答案: C2、下列标量函数中能描述无电荷区域静电势的是A. B. C. D.答案: B3、真空中有两个静止的点电荷和,相距为a,它们之间的相互作用能是A. B. C. D.答案:A4、线性介质中,电场的能量密度可表示为A. ;B.;C.D.答案:B5.两个半径为,带电量分别是,且导体球相距为a(a>>),将他们接触后又放回原处,系统的相互作用能变为原来的A. B. C. D.答案: A6.电导率分别为,电容率为的均匀导电介质中有稳恒电流,则在两导电介质分界面上电势的法向微商满足的关系是A. B.C. D.答案:C7、电偶极子在外电场中的相互作用能量是A. B. C. D.8、若一半径为R的导体球外电势为为非零常数,球外为真空,则球面上的电荷密度为。
答案:9. 若一半径为R的导体球外电势为,a为非零常数,球外为真空,则球面上的电荷密度为球外电场强度为..答案: ,10、均匀各向同性介质中静电势满足的微分方程是;介质分界面上电势的边值关系是和;有导体时的边值关系是和。
答案:11、设某一静电场的电势可以表示为,该电场的电场强度是_______。
答案:12.真空中静场中的导体表面电荷密度_______。
答案:13.均匀介质内部的体极化电荷密度总是等于体自由电荷密度_____的倍。
答案: -(1-)14.电荷分布激发的电场总能量的适用于情形.答案:全空间充满均匀介质15.无限大均匀介质中点电荷的电场强度等于_______。
答案:16.接地导体球外距球心a处有一点电荷q, 导体球上的感应电荷在球心处产生的电势为等于.答案:17.无电荷分布的空间电势极值.(填写“有”或“无”)答案:无18.镜象法的理论依据是_______,象电荷只能放在_______区域。
答案:唯一性定理, 求解区以外空间19.当电荷分布关于原点对称时,体系的电偶极矩等于_______。
答案:零20.一个内外半径分别为R1、<, SPAN lang=EN-US>R2的接地导体球壳,球壳内距球心a处有一个点电荷,点电荷q受到导体球壳的静电力的大小等于_______。
答案:21.一个半径为R的电质介球,极化强度为P=,电容率为,(1)计算束缚电荷的体密度和面密度;(2)计算自由电荷体密度;(3)计算球内和球外的电势;(4)求该带电介质球产生的静电场总能量。
解:(1)根据球面上的极化电荷面密度(2)在球内自由电荷密度与的关系为得(3)球内的总电荷为由于介质上极化电荷的代数和为零,上式中后两项之和等于零。
球外电势相当于将Q集中于球心时的电势(r>R)球内电势①根据得②将②代入①式,得=(4)求该带电介质球产生的静电场总能量:22. 真空中静电场的电势为,求产生该电场的电荷分布解:由静电势的方程,得,因此电荷只能分布在x=0面上,设电荷面密度为,根据边值关系28.在均匀外场中置入半径为的导体球,试用分离变量法求下列两种情况的电势:(1)导体球上接有电池,使球与地保持电势差;(2)导体球上带总电荷Q。
解:(1)选导体球球心为坐标原点,E方向为极轴Z,建立球坐标系,并设未放入导体前原点电势为,球外电势为,则满足①=②= -E Rcos③由于电势具有轴对称性,通解为④将④代入②﹑③式比较P的系数,得所以(R 〉R)的第一﹑二项是均匀外电场的电势,第三项是导体接上电源后使球均匀带电而产生的球对称电势,最后一项是导体球上的感应电荷在球外产生的点势。
(2)若使导体球带电荷Q,则球外电势满足①=(待定常量)②= -E Rcos③同时满足要求④由于前三个关系与①中相同,故⑤将⑤式代入④式中,得解得于是,得⑥31.空心导体球壳的内外半径为和,球中心置一偶极子P,球壳上带电Q,求空间各点电势和电荷分布。
解:选球心为原点,令,电势等于球心电偶极子的电势与球壳内外表面上电荷的电势之和,即壳内外电势①②电势满足的方程边界条件为③④有限⑤⑥(待定)⑦⑧由于电势具有轴对称性,并考虑5,6两式,所以设将上式代入①,②两式后再利用⑦式解得于是,得将代入⑧式可确定导体壳的电势最后得到,球壳内外表面的电荷面密度分别为球外电势仅是球壳外表面上的电荷Q产生,这是由于球心的电偶极子及内表面的在壳外产生的电场相互抵消,其实球外电场也可直接用高斯定理求得:34.半径为的导体球外充满均匀绝缘介质,导体球接地,离球心为a处(a>)置一点电荷,试用分离变量法求空间各点电势,证明所得结果与镜像法结果相同。
解:(1)分离变量法:选球心为坐标原点,球心到的连线方向为z轴,设球外电势为,它满足①由于电势具有轴对称性,考虑③式,①式的解为④其中是到场点P的距离,将④代入②式,得⑤利用公式,将用展开,由于,故有代入⑤式确定出系数于是,得⑥(2)镜像法在球内球心与的连线上放一像电荷代替球面上感应电荷在球外的电场,设距球心为B,则的电势满足①~③式,于是利用边界条件②式可得⑦式中代入⑦式结果与⑥式完全相同。
35.接地的空心导体球的内外半径为和,在球内离球心为a(a<)处置一点电荷Q。
用镜像法求电势。
导体球上的感应电荷有多少分布在内表面还是外表面解:取球心为原点,原点与Q连线为z轴建立坐标系,并设球内电势为,它满足①②③由于电势具有轴对称性,故在z轴上z=b(b>R)处放一像电荷Q代替球面感应电荷在球壳内的电势,则④式中r﹑r分别是Q﹑Q到场点的距离将④代入③,两边平方,比较系数,得于是,球壳内电势此解显然满足②式。
设导体球壳表面感应电荷总量为q,由于导体内D=0,作一半径为r(R<r<)的同心球面s.根据高斯定理,,所以37.在接地的导体平面上有一半径为a的半球凸部(如图2-37)半球的球心在导体平面上,点电荷Q位于系统的对称轴上,并与平面相距为b(b>a),试用电象法求空间电势。
解:如图,以球心为原点,对称轴为Z轴,设上半空间电势为,它满足①为了使边界条件1,2满足,在导体界面下半部分空间Z轴放置三个像电荷:,位于处;,位于处;,位于z=-b处.于是,导体上半空间界面电势为38.有一点电荷Q位于两个互相垂直的接地导体平面所围成的直角空间内,它到两个平面的距离为a和b,求空间电势。
解:设Q位于xOy平面内,设x>0且y>0的直角区域为,其它区域电势为0,满足为使以上边界条件全部满足,需要三个像电荷,他们是,位于(-a,-b,0);.于是空间电势为]46. 不带电无穷长圆柱导体,置于均匀外电场中,轴取为z方向,外电场垂直于z轴,沿x方向,圆柱半径为a,求电势分布及导体上的电荷分布。
解:选圆柱轴线处电势为零,则柱内电势=0,在柱坐标系中柱外电势(1)其中为场点的柱坐标,方向为x周,如图,是极化电荷的电势,与上题同样的方法得代入(1)式得,根据边值关系,在r=a处,,即代入(2)式,得导体柱面上电荷密度47. 半径为的导体球置于均匀外电场中,求空间的电势分布,导体的电偶极矩及表面电荷分布,导体的电偶极矩及表面电荷分布。
解:一球心为坐标原点,并设得方向为周,建立球坐标系,则导体球的电偶极矩P应与方向一致,设导体球电势,球外电势在R=R球面上,电势满足解得球面上电荷密度48.(1)两等量点电荷+q间相距为2d,在他们中间放置一接地导体球,如图2-48所示,证明点电荷不受力的条件与q大小无关,而只与球的半径有关,给出不受力时半径满足的方程;(2)设导体球半径为,但球不再接地,而其电势为,求此时导体球所带电量Q及这是每一个点电荷所受的力。
解:(1)选取球心为原点,两点电荷连线为Z轴,求外空间电势为,满足的边界条件为为了使上述条件满足,在球内处放置两个像电荷,空间任意一点电场就是两个点电荷及共同产生的,所以q受的力为由题意知,当时,上式变为显而易知,上式与无关,只与有关,进一步整理得不受力时满足的方程为(2)若导体球不接地,边界条件变为,设此时导体球带电量为,由(1)知,放置的只能使球的电势为零,所受的力为零,因此还要在球心O放一电荷则导体球的电势解得此时点电荷所受的力为根据(2)式,前三项之和等于零,于是49. 一导体球壳不接地也不带电,内半径为,外半径为,内外球心与不重合,球形空腔内离为a处有一点电荷(),壳外离为b处有一点电荷,如图2-49,且壳内外分别充满电容率为和的介质,球壳内外电势及壳外电荷所受的力。
解:设球壳内外电势为,壳外电势为,它们满足边界条件(待定)先来计算球外电势,在区域连线上放像电荷距球心;在处放,可使于是式中分别是到场点的距离,R为球心到场点的距离。