研究生数值分析试卷
- 格式:doc
- 大小:433.00 KB
- 文档页数:12
研究生“数值分析”试题一, 填空(20分)1,n +1个互异节点插值型数值求积公式的代数精度为________次,最高为________次。
2,SOR 方法收敛的必要条件:松弛因子ω满足条件_________。
3,对于插值型求积公式∑⎰=-≈nk k k x f A dx x f 011)()(,其节点),,1,0(n k x k =是高斯点的充分必要条件是_________。
4,设)(ij a A =为n ×n 矩阵,则1A =________,∞A =________。
5,设解方程组b Ax =的迭代法为d Bx x k k +=+1,则迭代收敛的充分必要条件是________。
6,判断下面的函数是否为三次样条函数(填是或否)(1)211001)1(0)(233≤≤<≤<≤⎪⎩⎪⎨⎧-+=x x x x x x x f - (2)⎩⎨⎧≤≤<≤-++++=100112212)(33x x x x x x x f二,(10分)在22-≤≤-x 上给出x e x f -=)(等距节点函数运用二次插值求x e -的近似值,要使误差不超过610-,问使用函数表的步长应取多大?三,(10分)四,(10分)设)(x f 在[]30,x x 上有三阶连续导数,且3210x x x x <<<,试作一个次数不高于四次的多项式)(x p ,满足条件)()(j j x f x p ==j 0,1,2,3)(')('11x f x p = 推导它的余项)()()(x p x f x E -=的表达式五,(10分)试用Romberg (龙贝格)方法,计算积分⎰311dx x,并精确到小数点后4位。
六,(10分)利用数值积分的Simpson (辛甫生)公式,导出公式)''4'(31111-+-++++=n n n n n y y y h y y 并指出次方法的阶七,(10分)设0)(=x f 的单根α,)(x F x =是0)(=x f 的等价方程,则:)(x F 可表为)()()(x f x m x x F -=证明: 当1)]('[)(-≠ααf m 时,)(x F 是一阶的。
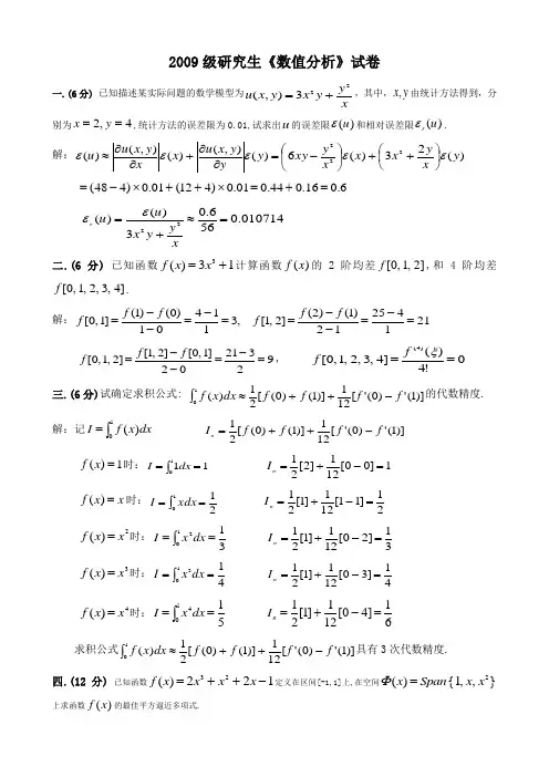
2009级研究生《数值分析》试卷一.(6分) 已知描述某实际问题的数学模型为xy y x y x u 223),(+=,其中,y x ,由统计方法得到,分别为4,2==y x,统计方法的误差限为0.01,试求出u 的误差限)(u ε和相对误差限)(u r ε.解:)(23)(6)(),()(),()(222y x y x x x y xy y y y x u x x y x u u εεεεε⎪⎭⎫ ⎝⎛++⎪⎭⎫ ⎝⎛-=∂∂+∂∂≈ 6.016.044.001.0)412(01.0)448(=+=⨯++⨯-= 0.010714566.03)()(22=≈+=xy y x u u r εε 二.(6分) 已知函数13)(3+=x x f 计算函数)(x f 的2阶均差]2,1,0[f ,和4阶均差]4,3,2,1,0[f .解:21142512)1()2(]2,1[,311401)0()1(]1,0[=-=--==-=--=f f f f f f9232102]1,0[]2,1[]2,1,0[=-=--=f f f ,0!4)(]4,3,2,1,0[)4(==ξff 三.(6分)试确定求积公式: )]1(')0('[121)]1()0([21)(1f f f f dx x f -++≈⎰的代数精度.解:记⎰=10)(dx x f I )]1(')0('[121)]1()0([21f f f f I n -++= 1)(=x f 时:1110==⎰dx I1]00[121]2[21=-+=n I x x f =)(时:2110==⎰xdx I 21]11[121]1[21=-+=n I2)(x x f =时:31102==⎰dx x I 31]20[121]1[21=-+=n I3)(x x f =时:41103==⎰dx x I 41]30[121]1[21=-+=n I 4)(x x f =时:51104==⎰dx x I 61]40[121]1[21=-+=n I求积公式)]1(')0('[121)]1()0([21)(1f f f f dx x f -++≈⎰具有3次代数精度. 四.(12分) 已知函数122)(23-++=x x x x f 定义在区间[-1,1]上,在空间},,1{)(2x x Span x =Φ上求函数)(x f 的最佳平方逼近多项式.其中,权函数1)(=x ρ,154))(),((,1532))(),((,34))(),((210-==-=x x f x x f x x f ϕϕϕ.解:0))(),(())(),((21))(),((1101101100=====⎰⎰--dx x x x x x dx x x ϕϕϕϕϕϕ32))(),(())(),(())(),((112110220====⎰-dx x x x x x x x ϕϕϕϕϕϕ0))(),(())(),((1131221===⎰-dx x x x x x ϕϕϕϕ 52))(),((11422==⎰-dx x x x ϕϕ解方程组⎪⎪⎪⎪⎪⎪⎭⎫ ⎝⎛--=⎪⎪⎪⎭⎫ ⎝⎛⎪⎪⎪⎪⎪⎪⎭⎫ ⎝⎛154153234520320320320221a a a 得⎪⎪⎪⎪⎭⎫ ⎝⎛-=⎪⎪⎪⎭⎫ ⎝⎛15161210a a a 则)(x f 的最佳平方逼近多项式为:1516)(2-+=x x x p 五.(16分) 设函数)(x f 满足表中条件:(1) 填写均差计算表((2) 分别求出满足条件22k k k k 的 2次 Lagrange 和 Newton 差值多项式.(3) 求出一个四次插值多项式)(4x H ,使其满足表中所有条件.并用多项式降幂形式表示. 解:12)12)(02()1)(0()20)(10()2)(1()(22+-=----+----=x x x x x x x L12)1)(0(1)0)(1(1)(22+-=--+--+=x x x x x x N 令)2)(1()(12)(24--+++-=x x x b ax x x x H则)2()()2)(1)(()2)(1(22)('4-++--++--+-=x x b ax x x b ax x x ax x x H)1()(-++x x b ax由 ⎩⎨⎧-=+=+⇒⎩⎨⎧=-++-=-=-++-=1220)12(2)2(24)2('2)21)((22)1('44b a b a b a H b a H ,解得 5,3=-=b a 因此1820143)2)(1()53(12)(23424++-+-=--+-++-=x x x x x x x x x x x H 六.(16分)(1). 用Romberg 方法计算⎰31dx x ,将计算结果填入下表(*号处不填).(2). 试确定三点 Gauss-Legender 求积公式⎰∑-=≈110)()(k k k x f A dx x f 的Gauss 点k x 与系数k A ,并用三点 Gauss-Legender 求积公式计算积分: ⎰31dx x .解:过点(1,-1)和点(3,1)作直线得 y t x +=所以积分⎰⎰-+=11312dt t dx x由三次Legendre 多项式 )35(21)(33x x x p -=得得Gauss 点: ,515,0,515210==-=x x x再由代数精度得 ⎪⎪⎪⎩⎪⎪⎪⎨⎧==+==+-==++⎰⎰⎰---32535305155152111220112011210dt x A A dt x A A dt A A A即 ⎪⎩⎪⎨⎧=+=-=++9/10022020210A A A A A A A 解得 ,95,98,95210===A A A所以三点Gauss-Legendre 求积公式为:()⎪⎪⎭⎫⎝⎛++⎪⎪⎭⎫ ⎝⎛-≈⎰-5159509851595)(11f f f dx x f 因此 79746.2515295298515295211=+++-≈+=⎰-dx t I七.(14分)(1) 证明方程02ln =--x x 在区间(1,∞)有一个单根.并大致估计单根的取值范围. (2) 写出Newton 迭代公式,并计算此单根的近似值.(要求精度满足: 5110||-+<-k k x x ). 解:令 2ln )(--=x x x f),1(,011)('∞∈>-=x xx f > 即)(x f 在区间 ),1(∞ 单调增又 04)(,02ln )2(22>-=<-=e e f f 所以 02ln =--x x 在区间 ),1(∞有一单根 ),1(20e x ∈ Newton 迭代公式为1ln 112ln 1-+=----=+k k k k kk k k k x x x x x x x x x令 20=x 计算得八. (12分) 用追赶法求解方程组:⎪⎪⎪⎪⎪⎭⎫ ⎝⎛=⎪⎪⎪⎪⎪⎭⎫ ⎝⎛⎪⎪⎪⎪⎪⎭⎫ ⎝⎛022112111131124321x x x x 的解. 解: 由计算公式 ⎪⎩⎪⎨⎧-===+====-1,,2,,,2,,111111n i c n i b a c b i i ii i i i i i βααβγγβαα得 ,2,1,1,21,1,24321111======γγγββαα25211322212=⨯-=⇒=+ααβγb 52222222==⇒=αββαc c 53521133323=⨯-=⇒=+ααβγb 35333333==⇒=αββαc c37352144434-=⨯-=⇒=+ααβγb因此 ⎪⎪⎪⎪⎪⎪⎪⎭⎫ ⎝⎛⎪⎪⎪⎪⎪⎪⎪⎭⎫⎝⎛-=⎪⎪⎪⎪⎪⎭⎫⎝⎛135152121137253125121211113112即 LU A = 令 b Ly = 解 ⎪⎪⎪⎪⎪⎭⎫ ⎝⎛=⎪⎪⎪⎪⎪⎭⎫ ⎝⎛⎪⎪⎪⎪⎪⎪⎪⎭⎫⎝⎛-022137253125124321y y y y 得⎪⎪⎪⎪⎪⎭⎫ ⎝⎛=⎪⎪⎪⎪⎪⎭⎫ ⎝⎛23753214321y y y y 令 y Ux =解 ⎪⎪⎪⎪⎪⎭⎫ ⎝⎛=⎪⎪⎪⎪⎪⎭⎫ ⎝⎛⎪⎪⎪⎪⎪⎪⎪⎭⎫⎝⎛237532113515212114321x x x x 得⎪⎪⎪⎪⎪⎭⎫ ⎝⎛-=⎪⎪⎪⎪⎪⎭⎫ ⎝⎛21104321x x x x九. (12分) 设求解初值问题⎩⎨⎧==00)(),('y x y y x f y 的计算格式为:)],(),([111--+++=n n n n n n y x bf y x af h y y ,假设11)(,)(--==n n n n y x y y x y ,试确定参数b a ,的值,使该计算格式的局部截断误差为二阶,即截断部分为: )(3h o .解:)],(),([111--+++=n n n n n n y x bf y x af h y y )](')('[)(1-++=n n n x by x ay h x y])('''21)('')('[)(')(2++-++=n nn n n x y h x hy x y hb x hay x y ++-++=)('''21)('')(')()(32n n n n x by h x by h x y b a h x y对比 ++++=+)('''61)(''21)(')()(321n n n n n x y h x y h x hy x y x y得 ⎩⎨⎧==+2/11b b a , 即 2/1==b a 时该计算格式具有二阶精度.。
阅卷负责人签名:.(5分)设 n n n I I e -=,则11---n n I I )(1n n I I n--=, ||11---n n I I |)(|1n n I I n -=,即n n e ne 11=-.每迭代一次误差均在减少,所以设计的递推算法是数值稳定的. (15分)二、(15分)设n n ij R a A ⨯∈=)(对称,顺序主子式),,2,1(0n i i =≠∆则T LDL A =分解存在,其中L 为单位下三角形矩阵,D 为对角阵,试写出求方程组b Ax =解的计算步骤(用矩阵表示), 此法称为改进平方根法. 试用它求解方程组.:⎩⎨⎧=+=+221669632121x x x x 解: 由T LDL A =可得b Ax =的方程为b x LDL T=,令y x DL T=,则b Ly =.计算步骤(1) 将A 直接分解T LDL A =,求出 D L , (2) 求解方程b Ly =(3) 求解方程y D x L T 1-= (5分)现有⎢⎣⎡63 ⎥⎦⎤166⎥⎦⎤⎢⎣⎡=10121l ⎥⎦⎤⎢⎣⎡2100d d ⎥⎦⎤⎢⎣⎡10121l 比较矩阵两边的元素,可得: ,221=l ,31=d .42=d由b Ly =可得⎥⎦⎤⎢⎣⎡1201⎥⎦⎤⎢⎣⎡21y y ⎥⎦⎤⎢⎣⎡=229 ⎥⎦⎤⎢⎣⎡=⎥⎦⎤⎢⎣⎡⇒4921y y 由y D x L T1-=得⎥⎦⎤⎢⎣⎡1021⎥⎦⎤⎢⎣⎡21x x ⎥⎦⎤⎢⎣⎡=13 ⎥⎦⎤⎢⎣⎡=⎥⎦⎤⎢⎣⎡⇒1112x x (15分)三、(15分)已知下列线性方程组⎥⎥⎥⎦⎤⎢⎢⎢⎣⎡-=⎥⎥⎥⎦⎤⎢⎢⎢⎣⎡⎥⎥⎥⎦⎤⎢⎢⎢⎣⎡-14514103131021310321x x x 之精确解Tx )1,1,1(=.用Jacobi 迭代法和Gauss-Seidel 迭代法求解下列问题: (1) 写出Jacobi 迭代和Gauss-Seidel 迭代两种迭代格式的分量迭代形式;(2) 求Jacobi 迭代格式的迭代矩阵及其-∞范数,并指出Jacobi 迭代法的收敛性. 解: (1) Jacobi 迭代法的分量形式:⎪⎪⎩⎪⎪⎨⎧--=----=--=+++10/)314()10/()325(10/)314()(2)(1)1(3)(3)(1)1(2)(3)(2)1(1k k k k k k k k k x x x x x x x x x ),1,0( =kGauss-Seidel 迭代法的分量形式:⎪⎪⎩⎪⎪⎨⎧--=----=--=++++++10/)314()10/()325(10/)314()1(2)1(1)1(3)(3)1(1)1(2)(3)(2)1(1k k k k k k k k k x x x x x x x x x ),1,0( =k (10分)(2) Jacobi 迭代格式的迭代矩阵及其-∞范数分别为:⎪⎪⎪⎭⎫ ⎝⎛----=-=-010/310/110/3010/210/110/301A D I B J15.010/310/2||||<=+=∞J B Jacobi 迭代收敛. (15分)四、(10分)用最小二乘法解下列超定线性方程组:⎪⎪⎩⎪⎪⎨⎧=+=+=-=+7262353114221212121x x x x x x x x 解 +-+=221)1142(),(x x y x Q 221)353(--x x+-++221)62(x x 221)72(-+x x要使总残差达到最小,必有⎪⎪⎩⎪⎪⎨⎧=∂∂=∂∂0021x Q x Q ⇒⎩⎨⎧-=-=-48463513182121x x x x⇒⎪⎪⎩⎪⎪⎨⎧==9111327383021x x 或⎩⎨⎧≈≈24.104.321x x (10分)五、(10分) 设23)()(a x x f -=.(1) 写出0)(=x f 解的Newton 迭代格式; (2) 证明此迭代格式是线性收敛的.解 (1) 因23)()(a x x f -=,故)(6)(32a x x x f -='.由Newton 迭代公式: ,1,0,)()(1='-=+k x f x f x x k k k k 得 ,1,0,665)(6)(232231=+=---=+k x ax a x x a x x x kk k k k k k .(5分)(2)迭代函数,665)(2x a x x +=ϕ而,365)(3--='x ax ϕ 又3*a x =, 则 =-='-333)(3165)(a a ϕ.0213165≠=-故此迭代格式是线性收敛的. (10分)六、(15分) 取节点21,010==x x ,12=x ,求函数xe x y -=)(在区间]1,0[上的二次插值多项式),(2x L 并估计插值误差.解 由Lagrange 插值公式得()()()2112142122112----⎪⎭⎫ ⎝⎛-+⎪⎭⎫ ⎝⎛--=e x x e x x x x x L . (10分)())1)(5.0)(0(!3)()()(22---'''=-=x x x y x L x y x R ξ )10(<<ξ ()1)5.0(max 6110--≤≤≤x x x x 令 ),1)(5.0()(--=x x x x h 由0)(='x h ,求得两个驻点得)311(211+=x , )311(212-=x于是 =≤≤|)(|max 10x h x 3121)}1(),(),(),0({max 2110=≤≤h x h x h h x所以,有())()(22x L x y x R -=)(max 6110x h x ≤≤≤008019.03721≈=(15分) 七、(10分)已知某河宽20m ,测得水深)(x f 如下表 (单位:m ):4.18.10.28.20.35.28.20.38.15.10.1)(20181614121086420k kx f x利用所有数据,用复合梯形公式和复合Simpson 公式计算河水的截面积dx x f ⎰20)(的近似值.解:用复合梯形公式,小区间数,10=n 步长.21020=-=h]4.1)8.10.28.20.35.28.20.38.15.1(20.1[22)(1020++++++++++=≈⎰T dx x f)(8.442m = (5分)用复合Simpson 公式. 小区间数5=n , 步长4)020(51=-⨯=h ]4.1)0.20.38.28.1(2)8.18.25.20.35.1(40.1[64)(520++++++++++=≈⎰S dx x f)(33.45)(313622m m ≈=(10分)八、(10分)设初值问题:⎩⎨⎧=≤≤-='0)0(10),1(10y x y x y ,(1) 写出用Euler 方法、取步长1.0=h 解上述初值问题数值解的公式; (2) 写出用改进Euler 方法、取步长1.0=h 解上述初值问题数值解的公式. 解: (1)取步长1.0=h 解上述初值问题数值解的Euler 公式为;9,,1,0),1(),(01==-+=+=+y n y x y y x hf y y n n n n n n n (5分)(2)取步长1.0=h 解上述初值问题数值解的改进Euler 公式为:)]1()1([21)1(01111=⎪⎩⎪⎨⎧-+-+=-+=++++y y x y x y y y x y y n n n n n n n n n n 9,,1,0 =n (10分)。
东华大学研究生《数值分析》实验考试大纲教材:«数值分析及其MATLAB实验»姜健飞胡良剑唐俭编考试规则领座试卷不同,开卷,解答全部用笔写在考卷上,作图题只需手画草图。
开考前可将准备程序Copy到硬盘, 但是开考后不允许用软盘,也不允许上网。
评分原则满分20。
对一题得6分, 对两题得11分, 对三题得15分. 对四题得18分. 基本正确题酌情给分。
类型1:使用Matlab命令的计算题共3题主要使用如下MATLAB命令解题:第二章(1)用矩阵除法解线性方程组;(2)行列式det、逆inv;(3)特征值、特征向量eig;(4)范数和条件数;第三章(1)用roots求多项式的根;(2)用fzero解非线性方程;(3)用fsolve解非线性方程组;第四章(1)多项式插值和拟合polyfit(2) 线性插值interp1(3) 样条插值spline, csape(4)最小二乘拟合lsqcurvefit第五章(1)用diff或gradiet求导数(2)用trapz、quad或quadl求积分;(3)用dblquad或triplequad求重积分;第六章(1)用ode45求解微分方程;(2)用ode45求解微分方程组;(3)用ode45求解高阶微分方程;类型2:使用课本程序的计算题共1题(不必将课本程序部分写在考卷上)第二章nagauss nagauss2 nalu nalupad第三章nabisect nanewton nags naspgs nasor第四章nalagr naspline nafit naorthfit第五章natrapz nagsint naromberg naadapt dblquad2第六章naeuler naeulerb naeuler2 nark4 nark4v naeuler2s类型3:编程题共1题(必须将程序写在考卷上)要求使用MATLAB控制流语句编程,主要涉及for, while, if等语句以及关系与逻辑运算,M 函数编写。
研究⽣考试数值分析试题研究⽣2002级数值分析⼀(12分)、对于积分=+1,2,1,0,999n dx x x n。
(1)试推导递推公式 ,2,1,19991=+-=-n nI I n n ;(2)分析上述算法的数值稳定性;(3)若上⾯算法不稳定,请选择合适的算法,并分析其稳定性。
⼆(12分)、解⽅程组= 00001.8800001.626221x x 和?=00002.8800001.626221x x ,就所观察到的现象进⾏分析。
三(12分)、设⽅程组=--=+-=+-7989783212121x x x x x x x ;(1)适当调整⽅程的排列顺序,使得⽤Gauss-Seidel 迭代法求解时收敛?说明收敛原因。
(2)取初始向量()()Tx 0,0,00=,⽤Gauss-Seidel 迭代求近似解()2x,并求其()()k k x x-+1误差。
四(12分)、(1)已知函数()4xe xf =,在[0,1]内三点0,1/2,1的函数值,求其⼆次插值的余项;(2)三个节点如何安排能使其余项达最⼩,此时⼈余项为多少?五(12分)、对于⽅程()02ln =+-x x ,若求[-1.9,-1]内的根,分别选取迭代⽅程()2ln +=x x 和2-=x e x ,它们的收敛性如何?再写出⽜顿迭代公式。
六(10分)、设()?=>+-='100,5y x x y y ,解析解xe x y -+-=25262515,分别取45.0,4.0,2.0,1.0=h ,利⽤Euler ⽅法计算得y(10)的近似值分别为1.96,1.96,5.2851,142.8863,对此现象进⾏分析。
七(10分)、设()x e x f =,分别取步长0001.0,01.0,5.0=h ,⽤中⼼差商公式计算()0f '的近似值并求出误差,对结果作分析⽐较。
⼋(10分)、求不超过2次的多项式()x P 2,使其满⾜条件:()21=f ,()32=f ,()12='f ,并写出其误差估计。
2009-2010数值分析第一章绪论 (1)第二章函数插值 (2)第三章函数逼近 (5)第四章数值积分与数值微分 (10)第五章解线性方程组的直接解法 (12)第六章解线性方程组的迭代解法 (16)第七章非线性方程求根 (19)第九章常微分方程初值问题的数值解法 (21)第一章绪论1.1要使胸的相对误差不超过0.1%,应取几位有效数字?解:面的首位数字%=4。
设/有n位有效数字,由定理知相对误差限k(.r*)|<—xlO1^ =-xl0^1 r 1 2x4 84-xio1-" <0.1%, 8解得〃Z3.097,即需取四位有效数字.1.2 序列{/}满足关系式y,,=10y,_]-l(n = l,2,...),若y0=V2«1.41,计算到M。
,误差有多大?这个算法稳定吗?解:y0 = V2,y* =1.41,|y0 -y*| <^-xl0-2=5 ,于是|/i 一川=|1。
》0 —IT。
〉;+1| = 1。
|光 - 司 < 1。
5卜2-》;| = |10》1一1一10》;+1| = 10卜1一酣〈10逆, 一般地|儿一司<103 因此计算到Mo其误差限为1010^,可见这个计算过程是不稳定的。
1. 3计算球的体积,要使相对误差限为1%,问测量半径R时允许的相对误差限是多少?解:5,、九兀K ~-7tK R_R* R2+R*R + R*2R_R* 37?2R_R*。
,“ ,(v)= _2 ---------- 2 «■«.____________ = _____ 3 = 1% ' 4 f RR- R R 2 R-7lR 3》=一' ,即测量半径R 时允许的相对误差限是一、。
R 300300第二章函数插值2.1、利用如下函数值表构造差商表,并写出牛顿插值多项式。
进而得牛顿多项式为 地⑴=f (.%) + /■氏次』吼⑴+ /[.r (p x 1,.r 2]<»2(.r) + /[.r (p x 1,.r 2,.r 3]<»3(.r)1 1 33A^3 (x) = 3 + — (x -1) + — (x -1)(尤)-2(x- l)(x )x2. 2、已知f(-2) = 2, f(-1) = 1, f (0) = 2, f (0.5) = 3试选用合适的插值节点利用Lagrange 二次插值多项式计算f (-o.5)的近似值,使之精度 尽可能高。
硕士研究生《数值分析》试卷2013(A)一、判断题 (下列各题,你认为正确的,请在题后的括号内打“√ ”,错误的打“×”,每题2分,共10分) 1. 近似数*3.200x =关于准确值 3.200678x =有4位有效数字。
( ) 2. 设(0,1,2,3)i x i =是互异的点,()(0,1,2,3)i l x i =是Lagrange 插值基函数,则3224()4i ii x l x x==∑. ( )3. 设73()32f x x x =-+,则差商1234567[2,2,2,2,2,2,2]1f =。
( ) 4. 设A 是n 阶非奇异方阵,则解方程组A =x b 的迭代法收敛的充要条件是A 的谱半径()1A ρ<。
( )5. 解常微分方程初值问题的四阶Runge-Kutta 方法的整体截断误差是4()O h ,其中h 是步长。
( )二、填空题 (每空2分,共16分) 1. 设T(2,1,3,4)=-x ,2543A -⎡⎤=⎢⎥-⎣⎦. 则 1||||x = , Cond()A ∞= .2. 设20()d I f x x =⎰,若用梯形求积公式计算I ,结果是4;用Simpson 求积公式计算I ,结果是2. 则(1)f = .3. 设S 是函数f 在区间[0,3]上满足第一类边界条件的的三次样条:()()22,01,()111,13,2x x S x x a x b x ⎧≤≤⎪=⎨-+-+≤≤⎪⎩ 则a = ,b = ,(3)f '= .4. 设函数(0.8) 1.2,(0.9) 1.4,(1) 1.0,(1.1)0.2,(1.2)0.5f f f f f =-=-=-==, 步长0.2h =,则用三点数值微分公式计算(1)f '的近似值为 .5. 设函数()f x 是最高次项系数为1-的3次多项式,2()p x 是()f x 在节点1,0,1-上的Lagrange 插值多项式, 则余项2()()f x p x -= .三(本题满分8分)的近似值*x 的相对误差限是0.01%,求*x 至少应具有几位有效数字?四(本题满分10分) 对下列方程组分别建立收敛的Jacobi 和Gauss-Seidel 迭代格式,并说明理由。
数值分析(100分试题) 第 1 页 共 3 页一、、填空题(本大题共5小题,每小题4分,共20分)1、设*0.034x 为经过四舍五入后得到的近似数,则数*x 的有效数字位数是 。
2、设节点,0,1,2,3,,i x i n = ,(),0,1,2,,i l x i n = 是关于上述节点的Lagrange 插值基函数,则对于0,1,2,,k n = ,0()n k i i i x l x ==∑ 。
3、已知矩阵411141114A ⎡⎤⎢⎥=⎢⎥⎢⎥⎣⎦, 求||||A ∞= ;2()cond A = 。
4、给定方程22cos x x =-,求该方程根的Newton 迭代格式是 。
5、 步长为h 时,求常微分方程初值问题⎩⎨⎧=≤≤=-1)0(,10,0'3y x xy y 的改进的Euler 公式是 。
二、(10分)求一个3次多项式)(x p ,使其满足4)2('',3)2(,2)1(',1)1(====p p p p .三、(10分)给定线性方程组12310112013a x a a x a x ⎡⎤⎡⎤⎡⎤⎢⎥⎢⎥⎢⎥=⎢⎥⎢⎥⎢⎥⎢⎥⎢⎥⎢⎥⎣⎦⎣⎦⎣⎦其中a 为常数.写出求解上述线性方程组的Jacobi 迭代格式,并分析当a 取何值时Jacobi 迭代法收敛。
四、(10分)用列主元Gauss 消去法解线性方程组⎥⎥⎥⎥⎦⎤⎢⎢⎢⎢⎣⎡=⎥⎥⎥⎥⎦⎤⎢⎢⎢⎢⎣⎡⎥⎥⎥⎥⎦⎤⎢⎢⎢⎢⎣⎡81213612002120321203214321x x x x 五、(10分)求3()f x x = 在区间[1,1]- 上关于()1x ρ= 的最佳平方逼近2次多项式。
六、(10分) 分析方程01224=---x x x 存在几个实根,并用迭代法求出其中一个实根,精确到3位有效数字。
七、(10分)已知求积公式 )53(95)0(98)53(95)(11f f f dx x f ++-≈⎰- 为Gauss 公式,试给出形如)()()()(221100x f A x f A x f A dx x f ba++≈⎰的求积公式,使其代数精度达到5.八、(10分)用初等反射矩阵将111211245A ⎡⎤⎢⎥=--⎢⎥⎢⎥-⎣⎦分解为QR 的形式,其中Q 为正交矩阵,R 为上三角矩阵。
武汉大学2006〜2007学年第一学期硕士研究生期末考试试题(A 卷)科H 名称:数值分析 学生所在院: 学号: 姓名:注意:所有的答题内容必须答在答题纸上,凡答在试题或草稿纸上的一律无效。
一、(12分)设方程组Ax = 0为■1、 (1\J 1>(1)用Doolittle 分解法求解方程组;(2) 求矩阵A 的条件数Cwd(A)g 二、(12分)设A 为n 阶对称正定矩阵,A的n 个特征值为山 < 心< .•. V 九,为 求解方程组Ax = b,建立迭代格式求出常数s 的取 值范围,使迭代格式收敛。
三、(12分)已知数据试用二次多项式p ⑴=ax 1 2+hx + c 拟合这些数据。
四、(14分)已知y = /(x)的数据如下:取得最小值。
六、 (12)确定常数片,使求积公式1求f (x)的Hermite 插值多项式W 3(x);2 为求\\f{x)dx 的值,采用算法:•⑴必:=「久3)击+ R 试导出截断误差R五、(12分)确定常数。
,b 的值,使积分r I.2I(a,b) = J 0(czx + /?-/) dxc 2^f{x)dx a A/(0) + A2/(l) + A3/(2)的代数精度尽可能高,并问是否是Gauss型公式。
七、(12分)设伊⑴导数连续,迭代格式x M =(p{x k)—阶局部收敛到点x*。
对于常数人,构造新的迭代格式:A 1 ,、队=一从+ 一心)1 +2 1 + 人问如何选取人,使新迭代格式有更高的收敛阶,并问是儿阶收敛。
八、(14分)对于下面求解常微分方程初值问题」方= 的单步法:Mo) = JoA)'〃+】=儿 + hk2< k、=(1)验证它是二阶方法;(2)确定此单步法的绝对稳定区域。
武汉大学2007~2008学年第一学期硕士研究生期末考试试题科目名称:数值分析学生所在院:学号:姓名:注意:所有的答题内容必须答在答题纸上,凡答在试题或草稿纸上的一律无效。
哈⼯⼤研究⽣数值分析试题及答案1. 3,2x =-分别是⽅程328120x x x --+= 的根;讨论⽤Newton 迭代法求它们近似值的收敛阶。
取初值02x =-计算根3x =-的近似值,要求迭代3次。
(结果保留4位⼩数)解:设 32()812f x x x x =--+ 2()328f x x x '=-- ()62f x x ''=- (3)0,(3)0f f '-=-≠,(2)0,(2)0,(2)100f f f '''===≠则:3-是()0f x =的单根,故Newton 迭代在3-附近是平⽅收敛; 2是()0f x =的⼆重根,故Newton 迭代在2附近是线性收敛;取02x =-,Newton 迭代:3212()812()328n n n n n n n n f x x x x x x x f x x x +--+=-=-'-- 223634n n n x x x ++=+2001023634x x x x ++==+2112123634x x x x ++==+2223223634x x x x ++==+2. 设常数0a ≠ ,求出a 的取值范围使得解⽅程组112233212313a x b a x b a x b --?????? ??? ?-= ??? ? ??? ???????的Jacobi 迭代法收敛。
解: Jacobi 迭代:(1)()k k J x B x g +=+10210211203203130130J a B a a a -----=--=-- ? ? ? ? ? ???123a b g a b a b -??=迭代矩阵J B 的特征⽅程:021211120323013013J a E B a a a a λλλλλλλ-----=+-=-=即:3()14()0a a λλ+=特征根:0,aλλ==±谱半径:()1J B aρ=< 时Jacobi 迭代收敛故:a >3. 设(1)⽤Crout 三⾓分解法求解⽅程组 12323251034133619x x x ?????? ??? ?= ??? ? ??? ???????;(2)⽤乘幂法求⽅程组系数阵的按摸最⼤的特征值和对应的特征向量。
研究生数值分析期末考试试卷参考答案太原科技大学硕士研究生2012/2013学年第1学期《数值分析》课程试卷参考答案一、填空题(每小题3分,共30分)1、x x ++11;2、2;3、20;4、6;5、kk k k k x x x x x cos 11sin 1----=+ ( ,1,0=k ); 6、12121)(2++=x x x f ;7、311+=+k k x x ( ,1,0=k );8、12-n ;9、2; 10、+++++++--100052552452552052552525524;二、(本题满分10分)解:Gauss-Seidel 迭代方法的分量形式为+--=+--=++-=++++++3221522)1(2)1(1)1(3)(3)1(1)1(2)(3)(2)1(1k k k k k k k k k x x x x x x x x x -----5分取初始向量T x )0,0,0()0(=时,则第一次迭代可得===315)1(3)1(2)1(1x x x ,--------------7分答案有错误第二次迭代可得=-==7119)2(3)2(2)2(1x x x ,-----------9分所以T x )7,11,9()2(-=.---------------10分三、(本题满分10分)解:构造正交多项式:取)()()()(,)(,1)(01112010x x x x x x x ?β?α?α??--=-==,1)()(402040200=∑∑===i i i i i x x x ??α,1)()(402140211=∑∑===i i i i i x x x ??α,2)()(402040211=∑∑===i i i i x x ??β;所以点集{}1,0,1,2,3-上的正交多项式为12)(,1)(,1)(2210--=-==x x x x x x .-------------------------5分则矩阵???????? ?-----=221111*********A , ??=14000100005A A T ,????? ??=3915y A T ;法方程=????? ??????? ??391514000100005210c c c ----------------8分解得===1431093210c c c ;--------9分所以要求的二次多项式为35667033143)12(143)1(109322++=--+-+=x x x x x y .-----------10分四、(本题满分10分)解:取基函数210)(,1)(x x x ==??,则1),(1000=?=dx ??,31),(10201=?=dx x ??, 51),(10411=?=dx x ?? ππ?2sin ),(100=?=xdx f , 3102141sin ),(πππ?-=?=xdx x f----------------------------------6分法方程-=???? ???????? ??34125131311πππb a -----------------8分解得-=+=33454151543ππππb a .---------------9分所以最佳平方逼近多项式233)45415(1543)(x x ππππ?-++=.---------10分五、(本题满分10分)解:在区间[]1,+n n x x 上对微分方程),(y x f dxdy =进行积分得 ??=++11),(n n n n x x x x dx y x f dx dxdy 即=-+n n y y 1?+1),(n n xx dx y x f -------2分对上式等号右边的积分采用梯形公式进行求解,即+1),(n n x x dx y x f []n n f f h +=+12-------5分所以原微分方程初值问题的数值求解公式为11()2n n n n h y y f f ++=++.-------6分上述数值求解公式的截断误差为 ))](,())(,([2)()(1111n n n n n n n x y x f x y x f h x y x y R +--=++++---8分而又由泰勒公式得)()()()(2'1h O x hy x y x y n n n ++=+;)())(,())(,(11h O x y x f x y x f n n n n +=++;所以))](,()())(,([2)()()()(2'1n n n n n n n n x y x f h O x y x f h x y h O x hy x y R ++--++=+ )()())(,()(22'h O h O x y x hf x hy n n n =+-= 故该方法是一阶的方法.-----------------10分六、(本题满分20分)解:(1)构造的差商表如下:x )(x f 一阶差商二阶差商三阶差商 1 22 4 23 5 1 21- 4 8 3 121 -----------------------------15分(2)取2、3、4作为插值点,----------------------------------------------------17分构造的二次牛顿插值多项式为84)3)(2()2(4)(22+-=--+-+=x x x x x x P -----19分所以25.6)5.3()5.3(2=≈P f .------------------------------20分七、(本题满分10分)解:由泰勒公式可得)2)(()2()('b a x f b a f x f +-++=ξ,),(b a ∈ξ. 把上式代入积分公式?b a dx x f )(可得dx b a x f b a f dx x f b a b a+-++=?)2)(()2()('ξ ?+-++-=b a dx b a x f b a f a b )2)(()2()('ξ 故求积公式的截断误差表达式为?+-b a dx b a x f )2)(('ξ,),(b a ∈ξ.-----------5分当1)(=x f 时,求积公式左边=右边=a b -.当x x f =)(时,求积公式左边=右边=222a b -. 当2)(x x f =时,求积公式左边=333a b -,右边=()()92a b a b +-,左边≠右边. -----8分所以求积公式具有一次代数精度.-------------------------- -----10分。
一.(6分) 已知描述某实际问题的数学模型为xy y x y x u 223),(+=,其中,y x ,由统计方法得到,分别为4,2==y x ,统计方法的误差限为0.01,试求出u 的误差限)(u ε和相对误差限)(u r ε.解:)(23)(6)(),()(),()(222y x y x x x y xy y y y x u x x y x u u εεεεε⎪⎭⎫ ⎝⎛++⎪⎭⎫ ⎝⎛-=∂∂+∂∂≈6.016.044.001.0)412(01.0)448(=+=⨯++⨯-=0.010714566.03)()(22=≈+=xy y x u u r εε 二.(6分) 已知函数13)(3+=x x f 计算函数)(x f 的2阶均差]2,1,0[f ,和4阶均差]4,3,2,1,0[f .解:21142512)1()2(]2,1[,311401)0()1(]1,0[=-=--==-=--=f f f f f f9232102]1,0[]2,1[]2,1,0[=-=--=f f f0!4)(]4,3,2,1,0[)4(==ξf f三.(6分)试确定求积公式: )]1(')0('[121)]1()0([21)(10f f f f dx x f -++≈⎰的代数精度. 解:记⎰=10)(dx x f I )]1(')0('[121)]1()0([21f f f f I n -++=1)(=x f 时:1110==⎰dx I 1]00[121]2[21=-+=n Ix x f =)(时:2110==⎰xdx I 21]11[121]1[21=-+=n I2)(x x f =时:31102==⎰dx x I 31]20[121]1[21=-+=n I3)(x x f =时:41103==⎰dx x I 41]30[121]1[21=-+=n I4)(x x f =时:51104==⎰dx x I 61]40[121]1[21=-+=n I求积公式)]1(')0('[121)]1()0([21)(1f f f f dx x f -++≈⎰具有3次代数精度. 四.(12分) 已知函数122)(23-++=x x x x f 定义在区间[-1,1]上,在空间},,1{)(2x x Span x =Φ上求函数)(x f 的最佳平方逼近多项式.其中,权函数1)(=x ρ,154))(),((,1532))(),((,34))(),((210-==-=x x f x x f x x f ϕϕϕ. 解:0))(),(())(),((21))(),((1101101100=====⎰⎰--dx x x x x x dx x x ϕϕϕϕϕϕ32))(),(())(),(())(),((112110220====⎰-dx x x x x x x x ϕϕϕϕϕϕ0))(),(())(),((1131221===⎰-dx x x x x x ϕϕϕϕ52))(),((11422==⎰-dx x x x ϕϕ解方程组⎪⎪⎪⎪⎪⎪⎭⎫ ⎝⎛--=⎪⎪⎪⎭⎫ ⎝⎛⎪⎪⎪⎪⎪⎪⎭⎫ ⎝⎛1541532345203203203202210a a a 得⎪⎪⎪⎪⎭⎫ ⎝⎛-=⎪⎪⎪⎭⎫ ⎝⎛15161210a a a 则)(x f 的最佳平方逼近多项式为:1516)(2-+=x x x p 五.(16分) 设函数)(x f 满足表中条件:(1) 填写均差计算表((2) 分别求出满足条件22k k k k 的 2次 Lagrange 和 Newton 差值多项式.(3) 求出一个四次插值多项式)(4x H ,使其满足表中所有条件.并用多项式降幂形式表示.解:12)12)(02()1)(0()20)(10()2)(1()(22+-=----+----=x x x x x x x L12)1)(0(1)0)(1(1)(22+-=--+--+=x x x x x x N 令)2)(1()(12)(24--+++-=x x x b ax x x x H则)2()()2)(1)(()2)(1(22)('4-++--++--+-=x x b ax x x b ax x x ax x x H)1()(-++x x b ax由 ⎩⎨⎧-=+=+⇒⎩⎨⎧=-++-=-=-++-=1220)12(2)2(24)2('2)21)((22)1('44b a b a b a H b a H 解得 5,3=-=b a因此1820143)2)(1()53(12)(23424++-+-=--+-++-=x x x x x x x x x x x H 六.(16分)(1). 用Romberg 方法计算⎰31dx x ,将计算结果填入下表(*号处不填).(2). 试确定三点 Gauss-Legender 求积公式⎰∑-=≈11)()(k k k x f A dx x f 的Gauss 点k x 与系数k A ,并用三点 Gauss-Legender 求积公式计算积分: ⎰31dx x .解:过点(1,-1)和点(3,1)作直线得 y t x +=所以积分⎰⎰-+=11312dt t dx x由三次Legendre 多项式 )35(21)(33x x x p -= 得得Gauss 点:,515,0,515210==-=x x x再由代数精度得 ⎪⎪⎪⎩⎪⎪⎪⎨⎧==+==+-==++⎰⎰⎰---32535305155152111220112011210dt x A A dt x A A dt A A A即 ⎪⎩⎪⎨⎧=+=-=++9/10022020210A A A A A A A解得 ,95,98,95210===A A A所以三点Gauss-Legendre 求积公式为:()⎪⎪⎭⎫ ⎝⎛++⎪⎪⎭⎫ ⎝⎛-≈⎰-5159509851595)(11f f f dx x f 因此 79746.2515295298515295211=+++-≈+=⎰-dx t I 七.(14分)(1) 证明方程02ln =--x x 在区间(1,∞)有一个单根.并大致估计单根的取值范围. (2) 写出Newton 迭代公式,并计算此单根的近似值.(要求精度满足: 5110||-+<-k k x x ). 解:令 2ln )(--=x x x f),1(,011)('∞∈>-=x xx f > 即)(x f 在区间 ),1(∞ 单调增 又 04)(,02ln )2(22>-=<-=e e f f 所以 02ln =--x x 在区间 ),1(∞有一单根 ),1(20e x ∈Newton 迭代公式为1ln 112ln 1-+=----=+k kk k kk k k k x x x x x x x x x 令 20=x 计算得八. (12分) 用追赶法求解方程组:⎪⎪⎪⎪⎪⎭⎫ ⎝⎛=⎪⎪⎪⎪⎪⎭⎫ ⎝⎛⎪⎪⎪⎪⎪⎭⎫ ⎝⎛022112111131124321x x x x 的解.解: 由计算公式 ⎪⎩⎪⎨⎧-===+====-1,,2,,,2,,111111n i c n i b a c b i i ii i i i i i βααβγγβαα得 ,2,1,1,21,1,24321111======γγγββαα25211322212=⨯-=⇒=+ααβγb 52222222==⇒=αββαc c 53521133323=⨯-=⇒=+ααβγb 35333333==⇒=αββαc c 37352144434-=⨯-=⇒=+ααβγb因此 ⎪⎪⎪⎪⎪⎪⎪⎭⎫⎝⎛⎪⎪⎪⎪⎪⎪⎪⎭⎫⎝⎛-=⎪⎪⎪⎪⎪⎭⎫ ⎝⎛135152121137253125121211113112 即 LU A = 令 b Ly = 解 ⎪⎪⎪⎪⎪⎭⎫ ⎝⎛=⎪⎪⎪⎪⎪⎭⎫ ⎝⎛⎪⎪⎪⎪⎪⎪⎪⎭⎫⎝⎛-022137253125124321y y y y 得⎪⎪⎪⎪⎪⎭⎫ ⎝⎛=⎪⎪⎪⎪⎪⎭⎫ ⎝⎛23753214321y y y y令 y Ux =解 ⎪⎪⎪⎪⎪⎭⎫ ⎝⎛=⎪⎪⎪⎪⎪⎭⎫ ⎝⎛⎪⎪⎪⎪⎪⎪⎪⎭⎫⎝⎛237532113515212114321x x x x 得⎪⎪⎪⎪⎪⎭⎫ ⎝⎛-=⎪⎪⎪⎪⎪⎭⎫⎝⎛21104321x x x x九. (12分) 设求解初值问题⎩⎨⎧==00)(),('y x y y x f y 的计算格式为:)],(),([111--+++=n n n n n n y x bf y x af h y y ,假设11)(,)(--==n n n n y x y y x y ,试确定参数b a ,的值,使该计算格式的局部截断误差为二阶,即截断部分为: )(3h o .(注:原题中)(2h o 错误)解:)],(),([111--+++=n n n n n n y x bf y x af h y y )](')('[)(1-++=n n n x by x ay h x y])('''21)('')('[)(')(2++-++=n n n n n x y h x hy x y hb x hay x y ++-++=)('''21)('')(')()(32n n n n x by h x by h x y b a h x y 对比 ++++=+)('''61)(''21)(')()(321n n n n n x y h x y h x hy x y x y 得 ⎩⎨⎧==+2/11b b a , 即 2/1==b a 时该计算格式具有二阶精度.。
2009级研究生《数值分析》试卷一.(6分) 已知描述某实际问题的数学模型为xyy x y x u 223),(+=,其中,y x ,由统计方法得到,分别为4,2==y x ,统计方法的误差限为0.01,试求出u 的误差限)(u ε和相对误差限)(u r ε.二.(6分) 已知函数13)(3+=x x f 计算函数)(x f 的2阶均差]2,1,0[f ,和4阶均差]4,3,2,1,0[f .三.(6分)试确定求积公式: )]1(')0('[121)]1()0([21)(10f f f f dx x f -++≈⎰的代数精度.四.(12分) 已知函数122)(23-++=x x x x f 定义在区间[-1,1]上,在空间},,1{)(2x x Span x =Φ上求函数)(x f 的最佳平方逼近多项式.其中,权函数1)(=x ρ,154))(),((,1532))(),((,34))(),((210-==-=x x f x x f x x f ϕϕϕ.五.(16分) 设函数)(x f 满足表中条件:(1) 填写均差计算表(标有*号处不填):(2) 分别求出满足条件)2,1,0(),()(),()(22===k x f x N x f x L k k k k 的 2次 Lagrange 和 Newton 差值多项式.(3) 求出一个四次插值多项式)(4x H ,使其满足表中所有条件.并用多项式降幂形式表示. 六.(16分)(1). 用Romberg 方法计算⎰31dx x ,将计算结果填入下表(*号处不填).(2). 试确定三点 Gauss-Legender 求积公式⎰∑-=≈112)()(k k k x f A dx x f 的Gauss 点k x 与系数k A ,并用三点 Gauss-Legender 求积公式计算积分: ⎰31dx x .七.(14分)(1) 证明方程02ln =--x x 在区间(1,∞)有一个单根.并大致估计单根的取值范围. (2) 写出Newton 迭代公式,并计算此单根的近似值.(要求精度满足: 5110||-+<-k k x x ).八. (12分) 用追赶法求解方程组:⎪⎪⎪⎪⎪⎭⎫ ⎝⎛=⎪⎪⎪⎪⎪⎭⎫ ⎝⎛⎪⎪⎪⎪⎪⎭⎫ ⎝⎛022112111131124321x x x x 的解.九. (12分) 设求解初值问题⎩⎨⎧==00)(),('y x y y x f y 的计算格式为:)],(),([111--+++=n n n n n n y x bf y x af h y y ,假设11)(,)(--==n n n n y x y y x y ,试确定参数b a ,的值,使该计算格式的局部截断误差为二阶,即截断部分为: )(3h o .2008年春季学期数值数学试题一.(10分)设给实数0a >,初值00x >:⑴试建立求1a的Newton 迭代公式,要求在迭代函数中不含除法运算;⑵证明给定初值0x ,迭代收敛的充分必要条件为020x a<<;⑶该迭代的收敛速度是多少?⑷取00.1x =,计算15的近似值,要求计算迭代三次的值(结果保留5位小数)。
2005~2006学年第一学期硕士研究生期末考试试题(A 卷)科目名称:数值分析 学生所在院: 学号: 姓名: 注意:所有的答题内容必须答在答题纸上,凡答在试题或草稿纸上的一律无效。
一、(15分)设求方程 0cos 2312=+-x x 根的迭代法k k x x cos 3241+=+(1) 证明对R x ∈∀0,均有*lim x x k k =∞→,其中*x 为方程的根.(2) 此迭代法收敛阶是多少? 证明你的结论.二、(12分)讨论分别用Jacobi 迭代法和Gauss-Seidel 迭代法求解下列方程组的收敛性。
⎪⎩⎪⎨⎧=++-=++=-+.022,1,122321321321x x x x x x x x x三、(8分)若矩阵⎪⎪⎪⎭⎫ ⎝⎛=a a a a A 000002,说明对任意实数0≠a ,方程组bAX =都是非病态的。
(范数用∞⋅)四、(求)(x f 的Hermite 插值多项式)(3x H ,并给出截断误差)()()(3x H x f x R -=。
五、(10分)在某个低温过程中,函数 y 依赖于温度x (℃)的试验数据为已知经验公式的形式为 2bx ax y += ,试用最小二乘法求出 a ,b 。
六、(12分)确定常数 a ,b 的值,使积分[]dx x b ax b a I 2112),(⎰--+=取得最小值。
七、(14分)已知Legendre(勒让德)正交多项式)(x L n 有递推关系式:⎪⎪⎩⎪⎪⎨⎧=+-++===-+),2,1()(1)(112)()(,1)(1110 n x L n n x xL n n x L x x L x L n n n 试确定两点的高斯—勒让德(G —L )求积公式⎰-+≈112211)()()(x f A x f A dx x f的求积系数和节点,并用此公式近似计算积分⎰=211dx e I x八、(14分)对于下面求解常微分方程初值问题 ⎪⎩⎪⎨⎧==00)(),(y x y y x f dx dy的单步法:⎪⎪⎩⎪⎪⎨⎧++==++=+),(),()2121(121211hk y h x f k y x f k k k h y y n n n n n n(1) 验证它是二阶方法;(2) 确定此单步法的绝对稳定域。
2005~2006学年第一学期硕士研究生期末考试试题(B 卷)科目名称:数值分析 学生所在院: 学号: 姓名: 注意:所有的答题内容必须答在答题纸上,凡答在试题或草稿纸上的一律无效。
一、(12分)讨论分别用Jacobi 迭代法和Gauss-Seidel 迭代法求解下列方程组的收敛性。
⎪⎩⎪⎨⎧=++-=++=-+.022,1,122321321321x x x x x x x x x 二、(15分)设求方程 0cos 2312=+-x x 根的迭代法k k x x cos 3241+=+(1) 证明对R x ∈∀0,均有*lim x x k k =∞→,其中*x 为方程的根.(2) 此迭代法收敛阶是多少? 证明你的结论.三、(8分)若矩阵⎪⎪⎪⎭⎫ ⎝⎛=a a a a A 000002,说明对任意实数0≠a ,方程组bAX =都是非病态的。
(范数用∞⋅)四、(求)(x f 的Hermite 插值多项式)(3x H ,并给出截断误差)()()(3x H x f x R -=。
五、(10分)在某个低温过程中,函数 y 依赖于温度x (℃)的试验数据为已知经验公式的形式为 2bx ax y += ,试用最小二乘法求出 a ,b 。
六、(12分)确定常数 a ,b 的值,使积分[]dx x b ax b a I 2112),(⎰--+=取得最小值。
七、(14分)对于求积公式:⎰∑=≈bank k k x f A dx x f x 1)()()(ρ,其中:)(x ρ是区间),(b a 上的权函数。
(1) 证明此求积公式的代数精度不超过2n-1次; (2) 若此公式为Gauss 型求积公式,试证明∑⎰==nk bak dx x A 1)(ρ八、(14分)对于下面求解常微分方程初值问题 ⎪⎩⎪⎨⎧==00)(),(y x y y x f dx dy的单步法:⎪⎪⎩⎪⎪⎨⎧++==++=+),(),()2121(121211hk y h x f k y x f k k k h y y n n n n n n (3) 验证它是二阶方法;(4) 确定此单步法的绝对稳定域。
2006~2007学年第一学期硕士研究生期末考试试题(B 卷)科目名称:数值分析 学生所在院: 学号: 姓名: 注意:所有的答题内容必须答在答题纸上,凡答在试题或草稿纸上的一律无效。
一、(12分)讨论分别用Jacobi 迭代法和Gauss-Seidel 迭代法求解下列方程组的收敛性。
⎪⎩⎪⎨⎧=++-=++=-+.022,1,122321321321x x x x x x x x x 二、(8分)若矩阵⎪⎪⎪⎭⎫ ⎝⎛=a a a a A 000002,说明对任意实数0≠a ,方程组bAX =都是非病态的。
(范数用∞⋅)三、(15分)设)(x ϕ导数连续,迭代格式)(1k k x x ϕ=+一阶局部收敛到点*x 。
构造新的迭代格式:)(1k k k x x x μϕλ+=+问如何选取常数λ及μ,使新迭代格式有更高的收敛阶,并问是几阶收敛。
四、(求)(x f 的Hermite 插值多项式)(3x H ,并给出截断误差)()()(3x H x f x R -=。
五、(10分)在某个低温过程中,函数 y 依赖于温度x (℃)的试验数据为已知经验公式的形式为 2bx ax y += ,试用最小二乘法求出 a ,b 。
六、(12分)确定常数 a ,b 的值,使积分[]dx x b ax b a I 2112),(⎰--+=取得最小值。
七、(14分)对于求积公式:⎰∑=≈bank k k x f A dx x f x 1)()()(ρ,其中:)(x ρ是区间),(b a 上的权函数。
(3) 证明此求积公式的代数精度不超过2n-1次; (4) 若此公式为Gauss 型求积公式,试证明∑⎰==nk bak dx x A 1)(ρ八、(14分)对于下面求解常微分方程初值问题 ⎪⎩⎪⎨⎧==00)(),(y x y y x f dx dy的单步法:⎪⎪⎩⎪⎪⎨⎧++==++=+),(),()2121(121211hk y h x f k y x f k k k h y y n n n n n n (5) 验证它是二阶方法;(6) 确定此单步法的绝对稳定域。
2006~2007学年第一学期硕士研究生期末考试试题(A 卷)科目名称:数值分析 学生所在院: 学号: 姓名:注意:所有的答题内容必须答在答题纸上,凡答在试题或草稿纸上的一律无效。
一、(12分)设方程组b Ax =为⎪⎪⎭⎫⎝⎛=⎪⎪⎭⎫ ⎝⎛⎪⎪⎭⎫ ⎝⎛37111221x x (1) 用Doolittle 分解法求解方程组; (2)求矩阵A 的条件数∞)(A Cond二、(12分)设A 为n 阶对称正定矩阵,A 的n 个特征值为n λλλ≤≤≤ 21,为求解方程组b Ax =,建立迭代格式 )()()()1(k k k Ax b x x -+=+ω,求出常数ω的取值范围,使迭代格式收敛。
三、(12分)已知数据试用二次多项式c bx ax x p ++=2)(拟合这些数据。
四、(14分)已知 )(x f y = 的数据如下:(1)求)(x f 的Hermite 插值多项式)(3x H ;(2)为求⎰31)(dx x f 的值,采用算法:R dx x H dx x f +=⎰⎰31331)()(试导出截断误差R五、(12分)确定常数 a ,b 的值,使积分dx e b ax b a I x21)(),(⎰-+=取得最小值。
六、(12)确定常数i A ,使求积公式)2()1()0()(32120f A f A f A dx x f ++≈⎰的代数精度尽可能高,并问是否是Gauss 型公式。
七、(12分)设)(x ϕ导数连续,迭代格式)(1k k x x ϕ=+一阶局部收敛到点*x 。
对于常数λ,构造新的迭代格式:)(1111k k k x x x ϕλλλ+++=+ 问如何选取λ,使新迭代格式有更高的收敛阶,并问是几阶收敛。
八、(14分)对于下面求解常微分方程初值问题 ⎪⎩⎪⎨⎧==00)(),(y t y y t f dt dy的单步法:⎪⎪⎩⎪⎪⎨⎧++==+=+)21,21(),(12121hk y h t f k y t f k hk y y n n n n n n (7) 验证它是二阶方法;(8) 确定此单步法的绝对稳定区域。
2007~2008学年第一学期硕士研究生期末考试试题科目名称:数值分析 学生所在院: 学号: 姓名:注意:所有的答题内容必须答在答题纸上,凡答在试题或草稿纸上的一律无效。
一、(15分)给定方程 01)1()(=--=x e x x f (1) 分析该方程存在几个根;(2) 用迭代法求出这些根,精确至2位有效数; (3) 说明所用的迭代格式是收敛的. 二、(15分)设线性方程组为0,,221122221211212111≠⎩⎨⎧=+=+a a b x a x a b x a x a(1) 证明用Jacobi 迭代法和Gauss-Seidel 迭代法解此方程组要么同时收敛,要么同时发散.(2) 当同时收敛时比较其收敛速度.三、(10分)设A 为非奇异矩阵,方程组b Ax =的系数矩阵A 有扰动A ∆,受扰动后的方程组为b x x A A =∆+∆+))((,若1||||||||1<∆⋅-A A ,试证:||||||||1||||||||||||||||11A A A A x x ∆⋅-∆⋅≤∆-- 四、(求)(x f 的Hermite 插值多项式)(3x H ,并给出截断误差)()()(3x H x f x R -=。
五、(10分)已知数据设2)1()(-+=x b ax x f ,求常数a ,b , 使得∑==-32min ])([i iiy x f六、(15分)定义内积 ⎰-=11)()(),(dx x g x f g f 在},,1{2x x Span H =中求||)(x x f =的最佳平方逼近元素.七、(10分)给定求积公式⎰-++-≈h hh Cf Bf h Af dx x f 22)()0()()(试确定C B A ,,,使此求积公式的代数精度尽可能高,并问是否是Gauss 型公式.八、(10分)给定微分方程初值问题⎪⎩⎪⎨⎧=≤≤=2)0(102y x y dx dy用一个二阶方法计算)(x y 在0.1 , 0.2 处的近似值. 取 1.0=h 计算结果保留5位有效数字。