信号与系统试题库
- 格式:doc
- 大小:675.50 KB
- 文档页数:12
信号与系统试题库一、填空题绪论:1。
离散系统的激励与响应都是____离散信号 __。
2.请写出“LTI ”的英文全称___线性非时变系统 ____。
3.单位冲激函数是__阶跃函数_____的导数. 4.题3图所示波形可用单位阶跃函数表示为()(1)(2)3(3)t t t t εεεε+-+---。
5.如果一线性时不变系统的输入为f(t ),零状态响应为y f (t )=2f (t —t 0),则该系统的单位冲激响应h (t )为____02()t t δ-_________。
6。
线性性质包含两个内容:__齐次性和叠加性___。
7。
积分⎰∞∞-ω--δ-δdt )]t t ()t ([e 0t j =___01j t e ω--_______。
8。
已知一线性时不变系统,当激励信号为f (t)时,其完全响应为(3sint-2cost )ε(t );当激励信号为2f (t )时,其完全响应为(5sint+cost )ε(t),则当激励信号为3f(t )时,其完全响应为___7sint+4cost _____。
9。
根据线性时不变系统的微分特性,若:f (t)−−→−系统y f (t)则有:f ′(t)−−→−系统_____ y ′f (t )_______。
10。
信号f (n )=ε(n )·(δ(n)+δ(n-2))可_____δ(n)+δ(n —2)_______信号。
11、图1所示信号的时域表达式()f t =()(1)(1)tu t t u t --- 。
12、图2所示信号的时域表达式()f t =()(5)[(2)(5)]u t t u t u t +----。
13、已知()()()2f t t t t εε=--⎡⎤⎣⎦,则()f t '=()(2)2(2)u t u t t δ----.14、[]2cos32t d ττδτ-∞⎛⎫+ ⎪⎝⎭⎰=8()u t 。
试题一一. 选择题(共10题,20分) 1、n j n j een x )34()32(][ππ+=,该序列是 。
A.非周期序列 B 。
周期3=N C 。
周期8/3=N D 。
周期24=N2、一连续时间系统y (t)= x (sint),该系统是 。
A 。
因果时不变B 。
因果时变C 。
非因果时不变 D.非因果时变 3、一连续时间LTI 系统的单位冲激响应)2()(4-=-t u e t h t ,该系统是 。
A 。
因果稳定 B.因果不稳定 C.非因果稳定 D 。
非因果不稳定4、若周期信号x[n]是实信号和奇信号,则其傅立叶级数系数a k 是 .A 。
实且偶 B.实且为奇 C 。
纯虚且偶 D. 纯虚且奇 5、一信号x(t)的傅立叶变换⎩⎨⎧><=2||02||1)(ωωω,,j X ,则x (t)为 。
A 。
t t 22sinB 。
tt π2sin C 。
t t 44sin D 。
t t π4sin6、一周期信号∑∞-∞=-=n n t t x )5()(δ,其傅立叶变换)(ωj X 为 。
A. ∑∞-∞=-k k )52(52πωδπ B 。
∑∞-∞=-k k )52(25πωδπC 。
∑∞-∞=-k k )10(10πωδπD 。
∑∞-∞=-k k)10(101πωδπ7、一实信号x [n ]的傅立叶变换为)(ωj e X ,则x[n]奇部的傅立叶变换为 。
A.)}(Re{ωj e X j B 。
)}(Re{ωj e XC 。
)}(Im{ωj e X j D. )}(Im{ωj e X8、一信号x(t )的最高频率为500Hz ,则利用冲激串采样得到的采样信号x (nT )能唯一表示出原信号的最大采样周期为 .A 。
500 B. 1000 C. 0。
05D 。
0。
0019、一信号x(t)的有理拉普拉斯共有两个极点s=-3和s=-5,若)()(4t x e t g t=,其傅立叶变换)(ωj G 收敛,则x (t)是 。
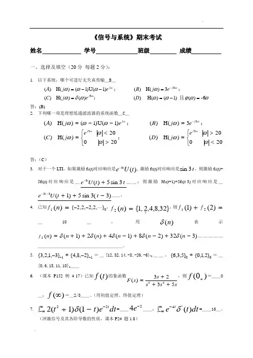
《信号与系统》期末考试姓名 学号 班级 成绩一、选择及填空(20分 每题2分):1. 以下系统,哪个可进行无失真传输_B _ωωϕωωωδωωωωωωωω-6)( )1()(H )( )()(H )( 3)(H )( )1()1()(H )( 33=-===--=-且;;;D ej C e j B e j A j j j U答:(B)2. 下列哪一项是理想低通滤波器的系统函数_C _⎩⎨⎧<>=⎩⎨⎧><==--=-20 020 )(H )( 20 020 )(H )( 3)(H )( )1()1()(H )(3 33ωωωωωωωωωωωωωωj j j j e j D e j C e j B e j A ;;;U答:(C )3. 对于一个LTI ,如果激励f 1(t)对应响应是)(3t U e t -, 激励f 2(t)对应响应是t 3sin ,则激励f 1(t)+5f 2(t)对应响应是_t t U e t 3sin 5)(3+-__;则激励3f 1(t+1)+5f 2(t-3)对应响应是_)3 (3sin 5)1(33-++--t t U e t __。
4. 已知},2,2,2,2{01)( --=n f ,}32,8,4,2,1{)(2↑=n f ,则=+)2()1(21f f _10_,用)(n δ表示)3(32)2(8)1(4)(2)1()(2-+-+-+++=n n n n n n f δδδδδ________________________。
5. }2,8,4{}3,1,2,3{11----*=_{12,32,14,-8,-26,-6}-2__,}2,1,0{}5,3,6{00*=_{0,6,15,11,10}0__ 6. (课本P152 例4-17)已知)(t f 的象函数ss s s s F 5323)(23+++=,则)0(+f =__0_;)(∞f =_2/5__。
信号与系统复习题含答案HEN system office room 【HEN16H-HENS2AHENS8Q8-HENH1688】(C ))(t δ+(-6e -t +8e -2t)u(t) (D )3)(t δ +(-9e -t +12e -2t)u(t)6、 连续周期信号的频谱具有(A ) 连续性、周期性 (B )连续性、收敛性 (C )离散性、周期性 (D )离散性、收敛性7、 周期序列2)455.1(0+k COS π的 周期N 等于(A) 1 (B )2 (C )3 (D ) 48、序列和()∑∞-∞=-k k 1δ等于(A )1 (B) ∞ (C) ()1-k u (D) ()1-k ku9、单边拉普拉斯变换()se s s s F 2212-+=的愿函数等于10、信号()()23-=-t u te t f t的单边拉氏变换()s F 等于二、填空题(共9小题,每空3分,共30分) 1、 卷积和[()k+1u(k+1)]*)1(k -δ=________________________2、 单边z 变换F(z)= 12-z z的原序列f(k)=______________________ 3、 已知函数f(t)的单边拉普拉斯变换F(s)=1+s s,则函数y(t)=3e -2t·f(3t)的单边拉普拉斯变换Y(s)=_________________________4、 频谱函数F(j ω)=2u(1-ω)的傅里叶逆变换f(t)=__________________5、 单边拉普拉斯变换s s s s s F +++=2213)(的原函数 f(t)=__________________________6、 已知某离散系统的差分方程为)1(2)()2()1()(2-+=----kf k f k y k y k y ,则系统的单位序列响应h(k)=_______________________7、 已知信号f(t)的单边拉氏变换是F(s),则信号⎰-=2)()(t dxx f t y 的单边拉氏变换Y(s)=______________________________ 8、描述某连续系统方程为 该系统的冲激响应h(t)=9、写出拉氏变换的结果()=t u 66 ,=k t 22三(8分)已知信号()()()⎪⎩⎪⎨⎧><==↔./1,0,/1,1s rad s rad jw F j F t f ωωω设有函数()(),dtt df t s =求⎪⎭⎫ ⎝⎛2ωs 的傅里叶逆变换。
常熟理工学院20 ~20 学年第 学期信号与系统考试试卷试卷库01试题总分: 100 分 考试时限:120 分钟一、选择题15分,每题3分1、信号)(t f 波形如右图所示,则其表达式为 B ;A )]1()1([+--t u t u tB )]1()1([--+t u t u tC )]1()1([++-t u t u tD )]1()1([/1+--t u t u t2、下列说法错误的是 B ;A 系统的零状态响应包括自由响应和强迫响应两部分;B 若系统初始状态为零,则系统的零状态响应就是系统的强迫响应;C 零状态响应与系统起始状态无关,而由系统的激励信号产生;D 零输入响应与系统激励无关,而由系统的起始状态产生;3、已知()f t 的频谱函数为()F j ω,则()cos c f t t ω的频谱函数 为 A ;A[])()(21c c j j F j j F ωωωω-++ B [])()(21c c j j F j j F ωωωω--+ C [])()(21c c j j F j j F ωωωω+-- D [])()(41c c j j F j j F ωωωω--+4、已知)(t f 的拉普拉斯变换为)(s F ,则dtt df )(的单边..拉普拉斯变换为 B ; A. )(s sF B.)0()(--f s sF C. )0()(-+f s sF D. ⎰-∞-+0)(1)(ττd f ss sF5、已知1()f k 的Z 变换为1()F z ,2()f k 的Z 变换为2()F z ,则12()*()f k f k 的Z 变换结果为 C ;A 12()*()F z F zB 121()*()2F z F z π C 12()()F z F z D 121()()2F z F z π二、填空题15分,每题3分1、所谓线性系统是指其具有_________齐次性_______和___________ 叠加性____;2、积分(3)t t e dt δ∞--∞+⎰=______3e ____________;3、频谱函数)2()2()(++-=ωδωδωj F 的傅立叶逆变换)(t f 为t 2cos 1π;4、已知信号的最高频率为f ,要抽样后的信号能完全恢复原信号,则最大抽样间隔为 1/2f ;5、函数)(2cos t tu 的拉普拉斯变换为_____24ss +;三、计算卷积14分,每题7分1)()(2t u e t u e t t --*⎰⎰------==*tttt ttt u d eet u d eet u et u e 020)(22)()()()(τττττ4分)()()()1(22t u e e t u e e t t t t ----=-=3分2已知两个有限序列}3,2,1{)(-=k x ,}1,1,1,1{)(-=k h ,求)()(k h k x *;利用就地相乘法方法4分,结果2分1 1 1 1 × 123 = 3 3 3 3 2 2 2 2 1 1 1 1=1 3 6 6 5 3其中,k =0时的值为11分四、试判断系统)()(2t e t r =是否为线性的,时不变的,因果的 并证明之;9分 解:令)()]([)(2t e t e T t r ==,其中][⋅T 代表系统函数;)]([)(11t e T t r =,)]([)(22t e T t r =那么2221122112222112211)]()([)]()([)()()()(t e C t e C t e C t e C T t e C t e C t r C t r C +=+≠+=+ ∴系统是非线性的; 3分)]([)()-(0020t t e T t t e t t r -=-= ,∴系统是时不变的;3分由于)()(2t e t r =可知,系统输出只与当前的输入值有关,因而系统是因果的;五、已知)(t f 的双边拉普拉斯变换为)(s F ,试证明⎰∞-td f ττ)(的双边拉氏变换为s s F /)(;6分 证明:[])(t f L 代表)(t f 的拉普拉斯变换;⎥⎦⎤⎢⎣⎡⎰∞-ττd f L t )(=)](*)([t u t f L 3分 ⎥⎦⎤⎢⎣⎡⎰∞-ττd f L t)(=[]s s F s s F t u L t f L /)(/1)()]([)(=•=• 3分六、已知矩形脉冲信号)(t f 如右图所示, (1) 写出)(t f 的时域表达式; (2) 求)(t f 的频谱函数; (3) 画出)(t f 频谱图;12分 解:1)21()21()(--+=t u t u t f 3分2)(t f 中1=A ,1=τ1分⎪⎭⎫⎝⎛↔=2)()(ωτττSa A t g t f 4分-1/21/20t所以,)2()(ωωSa j F =1分34分其中,E =1,1=τ七、描述某系统的微分方程为)()(2)(t f t y t y =+',求输入)()(t u e t f t -=时系统的响应;14分解:取傅氏变换,有)()(2)(ωωωωj F j Y j Y j =+2分21)()()(+==ωωωωj j F j Y j H 2分输入信号11)()()(+=↔=-ωωεj j F t e t f t 3分 故:1111)1)(2(1)()()(+-+=++==ωωωωωωωj j j j j F j H j Y 4分 取反变换)()()(2t e e t y t t ε---=3分八、已知线性时不变系统的差分方程为()()()n u n y n y 512=-+ ,()11=-y ,求系统的全响应;15分 解:202-==+r r齐次解()()nh C n y 21-=3分特解()()(常数)时全为 5 05≥=n n u n x ()C n y p =∴)0(52≥=+n C C35=∴C 3分 全解()()()()3521+-=+=np h C n y n y n y 2分()迭代出由11=-y 3)1(25)0( 0=--==y y n 3分()(),得代入 解3521+-=nC n y()35301+==C y341=∴C 2分 ()()035234≥+-=∴n n y n 2分常熟理工学院20 ~20 学年第 学期信号与系统考试试卷试卷库02试题总分: 100 分 考试时限:120 分钟一、选择题15分,每题3分1、函数)(t f 的波形如下图所示,则)(t f 的一次积分的波形为A ;A B C D2、连续周期信号的频谱具有 D ;A 连续性、周期性B 连续性、收敛性C 离散性、周期性D 离散性、收敛性3、已知)()(ωF t f ↔,则)24(t f -的频谱函数为 A ; A ωω2)2(21j e F -- B ωωj e F --)2(21 C ωω2)2(21j e F - D ωω2)2(21j e F ---4、拉普拉斯变换性质中,卷积定理的形式正确的是 A ;A )()()()(2121s F s F t f t f ↔*B )()(2)()(2121s F s jF t f t f *↔*πC )()(21)()(2121s F s F jt f t f π↔* D )()(2)()(2121s F s jF t f t f *↔π5、序列)(])1(1[21k u k -+的Z 变换为 B ;A 221z z +B 221z z -C 21z z +D 21z z -二、填空题15分,每题3分1、系统的全响应可分解为 零状态响应 和零输入响应两部分响应之和,又可以分解为 自由响应和强迫响应两部分响应之和; 2、积分⎰+∞∞-⋅dt t tt)(22sin δ等于 4 ;3、频谱结构中,当脉宽减小时,信号的频宽____增大 _;4、信号)()1()(t u e t f t α--=的象函数为_________()as s a +;5、12()2F z z z --=+对应的原始时间序列为 (1)2(2)k k δδ-+- 三、已知信号ft=)]23cos(31)22cos(21)2[cos(2111πωπωπωπ-+-+-t t ,画出ft 的单边、双边幅度频谱图和相位频谱图;12分解:单边谱:每图3分 双边谱:每图3分111四、设)()(ωj F t f ↔,求下列各式的频谱函数;15分,每题5分 1)3()3(t f t -- 解:由展缩特性)31(31)3(ωj F t f -↔-2分由频域微分特性)31(31)]31(31[)3(ωωωωj F d d j j F d d jt tf -=-↔-2分 因此)31()31(31)3(3)3()3()3(ωωωj F j F d d j t f t tf t f t ---↔---=--1分2dtt df )42(+-解:由展缩和时移特性,得ωωj e j F t f 2)21(21)42(--↔+-3分 再根据时域微分特性ωωωj e j F j t f dt d 2)21(21)42(--↔+-2分 3t j e t f 2)23(-- 解:由展缩和时移特性,得ωωj e j F t f 32)31(31)23(-↔-3分再根据频移特性)2(322)]2(31[31)23(+--+↔-ωωj tj e j F et f 2分 下方程和非零起始条件表示的连续时间因果LTI 系统,⎪⎩⎪⎨⎧==+=++--5)0(',2)0()(52)(4522y y t f dtdft y dt dy dt y d 五.已知输入)()(2t u e t f t-=时,试用拉普拉斯变换的方法求系统的零状态响应)(t y zs 和零输入响应)(t y zi ,0≥t 以及系统的全响应),(t y 0≥t ;15分 解:方程两边取拉氏变换:)(455245)0(5)0(')0()()()(22s F s s s s s y y sy s Y s Y s Y zi zs ⋅++++++++=+=---3分 455221459222+++⋅+++++=s s s s s s s 43/713/134592)(2+-+=+++=s s s s s s Y zi 2分 )()37313()(4t u e e t y t t zi ---=3分42/122/111459221)(2+-+-+=+++⋅+=s s s s s s s s Y zs 3分 )()2121()(42t u e e e t y tt t zi -----=2分 )()61721316()()()(42t u e e e t y t y t y t t t zi zs -----=+=2分六、有一因果离散时间LTI 系统,激励为)()21()(1n u n f n =时,全响应为)()21()(2)(1t u n u n y n n -=;起始状态不变,激励为)()21(2)(2n u n f n =时,其全响应为)()21(2)(23)(2n u n u n y n n -⋅⋅=,求:1系统的零输入响应,2激励为)()21(5.0)(3n u n f n ⋅=时的完全响应起始状态保持不变;14分 解:设相同初始条件下,零输入响应分量)(n y zi ,则 )()()(11n y n y n y zi f +=2分 由线性关系)()(2)()()(122n y n y n y n y n y zi f zi f +=+=3分解得:)()21()(22)(1n u n u n y n n f -⋅=2分因此)(2)()()(11n u n y n y n y n f zi -=-=2分所以)()(5.0)()()(133n y n y n y n y n y zi f zi f +=+=3分)()21(21)(3n u n y n⋅-=2分 七、已知系统框图如下,求该系统的单位样值响应;14分解:可得()()()()()261523---+--=n y n y n x n x n y即()()()()()232615--=-+--n x n x n y n y n y 4分 求得齐次解n n C C 2321+2分假定差分方程式右端只有xn 项起作用,不考虑3xn-2项作用,此时系统单位样值响应为)(1n h ; 由1)0(1=h ,0)1(1=-h 可得⎪⎩⎪⎨⎧+=+=2121213101C C C C解得31=C ,22-=C())(23)(111n u n h n n ++-=4分当-3xn-2项起作用时,由线性时不变特性 ())2(233)(112---=--n u n h n n 2分)2()23(3)()23()()()(111121----=+=--++n u n u n h n h n h n n n n 2分也可通过Z 变换得到常熟理工学院20 ~20 学年第 学期信号与系统考试试卷试卷库03试题总分: 100 分 考试时限:120 分钟一、填空题本大题共10小题,每小题2分,共20分;不写解答过程,将正确的答案写在每小题的空格内;错填或不填均无分;1、对于连续的线性系统,若输入为)(1t f 时的响应为)(1t y ,输入为)(2t f 时的响应为)(2t y ,则对于任意常数1a 和2a , 输入为)()(2211t f a t f a +时的响应为______)()(2211t y a t y a +2、某连续系统的输入信号为f t,冲激响应为h t,则其零状态响应为____)(*)(t h t f3、一线性时不变连续时间系统是稳定系统的充分且必要条件是系统函数的极点位于S 平面的 左半平面 ;4、=--)(*)(2τδt t u e t )()(2ττ---t u e t5、()dt t e t 12-⎰+∞∞--δ= e -2 ; 6、已知 ft 的傅里叶变换为Fj ω, 则f2t-3的傅里叶变换为 )2(2123ωωj F e j - ; 7、已知 651)(2+++=s s s s F ,则=+)0(f 1 ; =∞)(f 0 ;8、、若描述某线性时不变连续系统的微分方程为)(3)()(2)(2)(t f t f t y t y t y +'=+'+'',则该系统的系统函数Hs=__223)(2+++=s s s s H ___________; 9、信号)(n u a n 的z 变换为_____az z- ________;10、已知信号的最高频率为m f ,要使抽样后的信号能完全恢复原信号,则最大的抽样间隔为mf 21 二、选择题本大题共10小题,每小题2分,共20分;在每小题列出的四个选项中只有一个选项是符合题目要求的,请将正确选项前的字母填在题后的括号内;1、假如周期矩形脉冲信号的周期为T ,脉冲宽度为τ,高度为A ,下列关于对周期矩形脉冲信号的频谱叙述不正确的是 B ;A. 当T 不变,将τ减小时,频谱的幅度将减小B. 当T 不变,将τ减小时,相邻谱线的间隔将变密C. 当T 不变,将τ减小时,频谱包络线过零点的频率将增高D. 当τ不变,将T 增大到∞时,频谱将由离散谱变为连续谱 2、题2图中信号)(t f 的表达式是 A ;A. )1()]1()([-+--t u t u t u tB. )]1()([--t u t u tC. )]1()()[1(---t u t u tD. )]2()([--t u t u t3、已知)(t f 的波形如题3a 图所示,则)22(--t f 为图3b 图中的的波形为 A ;4、积分⎰∞∞--+dt t t )2()1(2δ的值为 D ;A.1B.3C.4D.55、已知)(t f 的拉普拉斯变换为)(s F ,则dtt df )(的拉普拉斯变换为 B ; A. )(s sF B.)0()(--f s sFC. )0()(-+f s sFD. ⎰-∞-+0)(1)(ττd f s s sF6、周期信号)(t f 如题6图所示,其三角形式傅里叶级数的特点是 B ;A. 含余弦项的偶次谐波且含直流分量B. 含余弦项的奇次谐波且无直流分量C. 含正弦项的奇次谐波且无直流分量D. 含正弦项的偶次谐波且含直流分量7、已知dtt d t f )()(δ=,则其频谱)(ωj F 等于 C ; A.ωj 1 B.)(1ωπδω+jC. ωjD.)(21ωπδω+j 8、题8图a 中ab 段电路是某复杂电路的一部分,其中电感L 和电容C 都含有初始状态其初始状态分别为)0(-L i 和)0(-C u ,请在题8图b 中选出该电路的s 域模型为 B ;_题8图(a))(t u c b-L 1题8图(b)sc -A.-L 1sc -B.-L 1sc -C.-L 1sc -D.9、已知某离散序列,其它, , ⎩⎨⎧=≤=n N n n f 0||1)(该序列还可以表述为 C ; A. )()()(N n u N n u n f --+= B. )()()(N n u N n u n f ---+-= C. )1()()(---+=N n u N n u n f D. )1()()(----+-=N n u N n u n f 10、离散信号fn 是指 BA .n 的取值是连续的,而fn 的取值是任意的信号B .n 的取值是离散的,而fn 的取值是任意的信号C .n 的取值是连续的,而fn 的取值是连续的信号D .n 的取值是连续的,而fn 的取值是离散的信 三、计算题本题共16分1已知 6116332)(232+++++=s s s s s s F ,试求其拉氏逆变换ft ;8分解:1找极点())3)(2)(1(3322+++++=s s s s s s F 2分2展成部分分式 ()321321+++++=s k s ks k s F 2分 362511)( +++-++=s s s s F 所以 2分()[]1e αs t u L t +=-α根据 ()0e 6e 5e )(:32≥+-=---t t f tt t 得 2分2()。
信号与系统试题库整理 IMB standardization office【IMB 5AB- IMBK 08- IMB 2C】信号与系统试题库一、选择题共50题1.下列信号的分类方法不正确的是(A):A、数字信号和离散信号B、确定信号和随机信号C、周期信号和非周期信号D、因果信号与反因果信号2.下列说法正确的是(D):A、两个周期信号x(t),y(t)的和x(t)+y(t)一定是周期信号。
B、两个周期信号x(t),y(t)的周期分别为2和2,则其和信号x(t)+y(t)是周期信号。
C、两个周期信号x(t),y(t)的周期分别为2和 ,其和信号x(t)+y(t)是周期信号。
D、两个周期信号x(t),y(t)的周期分别为2和3,其和信号x(t)+y(t)是周期信号。
3.下列说法不正确的是(D)。
A、一般周期信号为功率信号。
B、时限信号(仅在有限时间区间不为零的非周期信号)为能量信号。
C、ε(t)是功率信号;D、e t为能量信号;4.将信号f(t)变换为(A)称为对信号f(t)的平移或移位。
A、f(t–t0)B、f(k–k0)C、f(at)D、f(-t)5.将信号f(t)变换为(A)称为对信号f(t)的尺度变换。
A、f(at)B、f(t–k0)C、f(t–t0)D、f(-t)6.下列关于冲激函数性质的表达式不正确的是(B)。
A 、)()0()()(t f t t f δδ=B 、()t aat δδ1)(=C 、)(d )(t t εττδ=⎰∞-D 、)()-(t t δδ=7.下列关于冲激函数性质的表达式不正确的是(D )。
A 、⎰∞∞-='0d )(t t δB 、)0(d )()(f t t t f =⎰+∞∞-δC 、)(d )(t tεττδ=⎰∞-D 、⎰∞∞-=')(d )(t t t δδ8.下列关于冲激函数性质的表达式不正确的是(B )。
A 、)()1()()1(t f t t f δδ=+B 、)0(d )()(f t t t f '='⎰∞∞-δC 、)(d )(t tεττδ=⎰∞-D 、)0(d )()(f t t t f =⎰+∞∞-δ9.)1()1()2(2)(22+++=s s s s H ,属于其零点的是(B )。
.试题一一. 选择题(共10题,20分) 1、n j n j een x )34()32(][ππ+=,该序列是 。
A.非周期序列B.周期3=NC.周期8/3=ND. 周期24=N2、一连续时间系统y(t)= x(sint),该系统是 。
A.因果时不变B.因果时变C.非因果时不变D.非因果时变 3、一连续时间LTI 系统的单位冲激响应)2()(4-=-t u e t h t ,该系统是 。
A.因果稳定B.因果不稳定C.非因果稳定D. 非因果不稳定4、若周期信号x[n]是实信号和奇信号,则其傅立叶级数系数a k 是 。
A.实且偶B.实且为奇C.纯虚且偶D. 纯虚且奇 5、一信号x(t)的傅立叶变换⎩⎨⎧><=2||02||1)(ωωω,,j X ,则x(t)为 。
A. t t 22sinB. tt π2sin C. t t 44sin D.t t π4sin6、一周期信号∑∞-∞=-=n n t t x )5()(δ,其傅立叶变换)(ωj X 为 。
A. ∑∞-∞=-k k )52(52πωδπ B. ∑∞-∞=-k k )52(25πωδπC. ∑∞-∞=-k k )10(10πωδπD. ∑∞-∞=-k k)10(101πωδπ7、一实信号x[n]的傅立叶变换为)(ωj e X ,则x[n]奇部的傅立叶变换为 。
A.)}(Re{ωj e X j B. )}(Re{ωj e XC. )}(Im{ωj e X j D. )}(Im{ωj e X8、一信号x(t)的最高频率为500Hz ,则利用冲激串采样得到的采样信号x(nT)能唯一表示出原信号的最大采样周期为 。
A. 500B. 1000C. 0.05D. 0.001 9、一信号x(t)的有理拉普拉斯共有两个极点s=-3和s=-5,若)()(4t x e t g t =,其傅立叶变换)(ωj G 收敛,则x(t)是 。
A. 左边B. 右边C. 双边D. 不确定10、一系统函数1}Re{1)(->+=s s e s H s,,该系统是 。
信号与系统试题1第一部分 选择题(共32分)一、单项选择题(本大题共16小题,每小题2分,共32分。
在每小题的四个备选答案中,选出一个正确答案,并将正确答案的序号填在题干的括号内)1.积分e d t --∞⎰2τδττ()等于( )A .δ()tB .ε()tC .2ε()tD .δε()()t t +2.已知系统微分方程为dy t dt y t f t ()()()+=2,若y f t t t (),()sin ()012+==ε,解得全响应为y t e t t ()sin()=+-︒-54242452,t ≥0。
全响应中24245sin()t -︒为( ) A .零输入响应分量 B .零状态响应分量C .自由响应分量D .稳态响应分量3.系统结构框图如图示,该系统的单位冲激响应h(t)满足的方程式为( )A .dy t dt y t x t ()()()+= B .h t x t y t ()()()=- C .dh t dt h t t ()()()+=δ D .h t t y t ()()()=-δ4.信号f t f t 12(),()波形如图所示,设f t f t f t ()()*()=12,则f()0为( )A .1B .2C .3D .45.已知信号f t ()的傅里叶变换F j ()()ωδωω=-0,则f t ()为( )A .120πωe j t B .120πωe j t - C .120πεωe t j t () D .120πεωe t j t -()6.已知信号f t ()如图所示,则其傅里叶变换为( )A .τωττωτ2422Sa Sa ()()+B .τωττωτSa Sa ()()422+ C .τωττωτ242Sa Sa ()()+ D .τωττωτSa Sa ()()42+7.信号f t 1()和f t 2()分别如图(a )和图(b)所示,已知 [()]()f t F j 11=ω,则f t 2()的 傅里叶变换为( )A .F j e j t 10()--ωωB .F j e j t 10()ωω-C .F j e j t 10()-ωωD .F j e j t 10()ωω8.有一因果线性时不变系统,其频率响应H j j ()ωω=+12,对于某一输入x(t)所得输出信号的傅里叶变换为Y j j j ()()()ωωω=++123,则该输入x(t)为( ) A .--e t t 3ε()B .e t t -3ε()C .-e t t 3ε()D .e t t 3ε()9.f t e t t ()()=2ε的拉氏变换及收敛域为( )A .122s s +>-,Re{} B .122s s +<-,Re{} C .122s s ->,Re{} D .122s s -<,Re{} 10.f t t t ()()()=--εε1的拉氏变换为( ) A .11s e s ()--B .11s e s ()-C .s e s ()1--D .s e s ()1-11.F s s s s s ()Re{}=+++>-25622的拉氏反变换为( )A .[]()e e t t t --+322εB .[]()e e t t t ---322εC .δε()()t e t t +-3D .e t t -3ε()12.图(a )中ab 段电路是某复杂电路的一部分,其中电感L 和电容C 都含有初始状态,请在图(b )中选出该电路的复频域模型。
信科0801《信号与系统》复习参考练习题一、单项选择题:14、已知连续时间信号,)2(100)2(50sin )(--=t t t f 则信号t t f 410cos ·)(所占有的频带宽度(C ) A .400rad /s B 。
200 rad /s C 。
100 rad /s D 。
50 rad /sf如下图(a)所示,其反转右移的信号f1(t) 是( D )15、已知信号)(tf如下图所示,其表达式是(B )16、已知信号)(1tA、ε(t)+2ε(t-2)-ε(t-3)B、ε(t-1)+ε(t-2)-2ε(t-3)C、ε(t)+ε(t-2)-ε(t-3)D、ε(t-1)+ε(t-2)-ε(t-3)17、如图所示:f(t)为原始信号,f1(t)为变换信号,则f1(t)的表达式是( D )A、f(-t+1)B、f(t+1)C、f(-2t+1)D、f(-t/2+1)18、若系统的冲激响应为h(t),输入信号为f(t),系统的零状态响应是( C )19。
信号)2(4sin 3)2(4cos 2)(++-=t t t f ππ与冲激函数)2(-t δ之积为( B )A 、2B 、2)2(-t δC 、3)2(-t δD 、5)2(-t δ,则该系统是()2>-]Re[,651)(系统的系统函数LTI .已知202s s s s s H +++= 因果不稳定系统 非因果稳定系统C 、因果稳定系统 非因果不稳定系统21、线性时不变系统的冲激响应曲线如图所示,该系统微分方程的特征根是( B )A 、常数B 、 实数C 、复数D 、实数+复数22、线性时不变系统零状态响应曲线如图所示,则系统的输入应当是( A )A 、阶跃信号B 、正弦信号C 、冲激信号D 、斜升信号 23. 积分⎰∞∞-dt t t f )()(δ的结果为( A )A )0(fB )(t f C.)()(t t f δD.)()0(t f δ 24. 卷积)()()(t t f t δδ**的结果为( C )A.)(t δB.)2(t δC. )(t fD.)2(t f 25. 零输入响应是( B )A.全部自由响应B.部分自由响应C.部分零状态响应D.全响应与强迫响应之差2A 、1-e 3e 、3-e、127.信号〔ε(t)-ε(t -2)〕的拉氏变换的收敛域为 ( C )A.Re[s]>0B.Re[s]>2C.全S 平面D.不存在28.已知连续系统二阶微分方程的零输入响应)(t y zi 的形式为t t Be Ae 2--+,则其2个特征根为( A )A 。
信号与系统考试方式:闭卷 考试题型:1、简答题(5个小题),占30分;计算题(7个大题),占70分。
一、简答题:1.dtt df t f x e t y t )()()0()(+=-其中x(0)是初始状态,为全响应,为激励,)()(t y t f 试回答该系统是否是线性的?[答案:非线性]2.)()(sin )('t f t ty t y =+试判断该微分方程表示的系统是线性的还是非线性的,是时变的还是非时变的?[答案:线性时变的]3.已知有限频带信号)(t f 的最高频率为100Hz ,若对)3(*)2(t f t f 进行时域取样,求最小取样频率s f =?[答案:400s f Hz =]4.简述无失真传输的理想条件。
[答案:系统的幅频特性为一常数,而相频特性为通过原点的直线]5.求[]⎰∞∞--+dt t t e t )()('2δδ的值。
[答案:3]6.已知)()(ωj F t f ↔,求信号)52(-t f 的傅立叶变换。
[答案:521(25)()22j f t e F j ωω--↔]7.已知)(t f 的波形图如图所示,画出)2()2(t t f --ε的波形。
[答案: ]8.已知线性时不变系统,当输入)()()(3t e e t x t t ε--+=时,其零状态响应为)()22()(4t e e t y t t ε--+=,求系统的频率响应。
[答案:())4)(2(52)3(++++ωωωωj j j j ]9.求象函数2)1(32)(++=s s s F ,的初值)0(+f 和终值)(∞f 。
[答案:)0(+f =2,0)(=∞f ]10.若LTI 离散系统的阶跃响应为)(k g ,求其单位序列响应。
其中:)()21()(k k g k ε=。
[答案:1111()()(1)()()()(1)()()(1)222k k k h k g k g k k k k k εεδε-=--=--=--]11.已知()1 1 , 0,1,20 , k f k else ==⎧⎨⎩ ,()2 1 , 0,1,2,30 , k k f k else -==⎧⎨⎩设()()()12f k f k f k =*,求()3?f =。
1.下列信号的分类方法不正确的是( A ):A 、数字信号和离散信号B 、确定信号和随机信号C 、周期信号和非周期信号D 、因果信号与反因果信号2.下列说法正确的是( D ):A 、两个周期信号x (t ),y (t )的和x (t )+y(t )一定是周期信号。
B 、两个周期信号x (t ),y (t )的周期分别为2和2,则其和信号x (t )+y(t ) 是周期信号。
C 、两个周期信号x (t ),y (t )的周期分别为2和π,其和信号x (t )+y(t )是周期信号。
D 、两个周期信号x (t ),y (t )的周期分别为2和3,其和信号x (t )+y(t )是周期信号。
3.下列说法不正确的是( D )。
A 、一般周期信号为功率信号。
B 、 时限信号(仅在有限时间区间不为零的非周期信号)为能量信号。
C 、ε(t )是功率信号;D 、e t 为能量信号;4.将信号f (t )变换为( A )称为对信号f (t )的平移或移位。
A 、f (t –t 0) B 、f (k–k 0) C 、f (at ) D 、f (-t )5.将信号f (t )变换为( A )称为对信号f (t )的尺度变换。
A 、f (at ) B 、f (t –k 0) C 、f (t –t 0) D 、f (-t )6.下列关于冲激函数性质的表达式不正确的是( B )。
A 、)()0()()(t f t t f δδ=B 、()t aat δδ1)(=C 、)(d )(t tεττδ=⎰∞- D 、)()-(t t δδ=7.下列关于冲激函数性质的表达式不正确的是( D )。
A 、⎰∞∞-='0d )(t t δ B 、)0(d )()(f t t t f =⎰+∞∞-δC 、)(d )(t tεττδ=⎰∞- D 、⎰∞∞-=')(d )(t t t δδ8.下列关于冲激函数性质的表达式不正确的是( B )。
填空题10,选择题10,判断题10,简答题,计算题2.离散系统的频率响应()j H e ω为单位样值响应h(n)的傅里叶变换 ( √ )3.若系统的单位样值响应绝对可和,即|()|n h n ∞=-∞<∞∑,则系统是稳定系统( √ )5.单位冲激δ(t)在零状态下系统产生的响应称为单位冲激响应 ( √ )1()()2y t x t =是可逆系统,其逆系统是:()2()y t x t = ( √ )()()nk y n x k =-∞=∑是可逆系统,其逆系统是:()()(1)y n x n x n =-- ( √ )2()()y t x t =是不可逆系统,因为有两个不同的输入( √ )()()(1)y n x n x n =-()(2)y n x n =()()dx t y t dt={}()Re ()y t x t =满足线性性质( X )满足可加性,但不满足齐次性21()[()]()y t x t x t '=满足线性性质( X )满足齐次性但不满足可加性 4.若t<0时,有f(t)=0 , t ≥0时,有f(t) ≠0 ,则f(t)称为因果信号 ( √ ) 1.离散时间系统的频率响应()j H e ω为H(z)在单位圆上的Z 变换 ( √ )第一章1.下列信号的分类方法不正确的是( A ):A 、数字信号和离散信号B 、确定信号和随机信号C 、周期信号和非周期信号D 、因果信号与反因果信号2.下列说法正确的是( D ):A 、两个周期信号x (t ),y (t )的和x (t )+y(t )一定是周期信号。
B 、两个周期信号x (t ),y (t )的周期分别为2和2,则其和信号x (t )+y(t ) 是周期信号。
C 、两个周期信号x (t ),y (t )的周期分别为2和π,其和信号x (t )+y(t )是周期信号。
D 、两个周期信号x (t ),y (t )的周期分别为2和3,其和信号x (t )+y(t )是周期信号。
信号与系统试题库及答案信号与系统试题库及答案,共22页1.下列信号的分类办法不正确的是(A ):A 、数字信号和离散信号B 、确定信号和随机信号C 、周期信号和非周期信号D 、因果信号与反因果信号2.下列说法正确的是(D ):A 、两个周期信号x(t),y(t)的和x(t)+y(t)一定是周期信号。
B 、两个周期信号x(t),y(t)的周期分离为2和,则其和信号x(t)+y(t) 是周期信号。
C 、两个周期信号x(t),y(t)的周期分离为2和,其和信号x(t)+y(t)是周期信号。
D 、两个周期信号x(t),y(t)的周期分离为2和3,其和信号x(t)+y(t)是周期信号。
3.下列说法不正确的是(D )。
A 、普通周期信号为功率信号。
B 、时限信号(仅在有限时光区间不为零的非周期信号)为能量信号。
C 、ε(t)是功率信号;D 、et 为能量信号;一、填空(每空1分,共15分)1、离散信号基本运算有;;;四种。
2、拉氏变换中初值定理、终值定理分离表示为)(lim )0(S SF f S ∞→=,;)(l i m )(0S SF f S →=∞ 。
3、延续系统的分析办法有时域分析法;频域分析法和复频域分析法。
这三种分析办法,其输入与输出表达式分离是y(t)=h(t)*f(t); Y(jω)= H(jω)?. F(jω); Y(s)= H(s)?. F(s)集美高校2022—2022学年第2学期信号与系统试卷及答案一、推断题(共9分,每题1.5分,对的打“V ”,错的打“X ”)。
1、一个信号的脉冲持续时光越小,它的频带宽度也就越小。
(× )2、一个信号的脉冲幅度数值越大,它的频谱幅度也就越大。
(V )3、一个能量有限的延续时光信号,它一定是属于瞬态信号。
(V )4、一个功率有限的延续时光信号,它一定是属于周期信号。
(× )5、一个因果稳定的延续时光系统,它的零极点必定都位于S 左半平面。
信号与系统试题库一、填空题:1. 计算=---)3()()2(t t u e t δ 。
2. 已知1131)(+++=s s s X 的收敛域为3}R e {-<s ,)(s X 的逆变换为 。
3. 信号)()()()(0t t u t u t t x ---=δ的拉普拉斯变换为 。
4. 单位阶跃响应)(t g 是指系统对输入为 的零状态响应。
5. 系统函数为)3)(2(1)(++=s s s H 的LTI 系统是稳定的,则)(s H 的收敛域为 。
6. 理想滤波器的频率响应为⎪⎩⎪⎨⎧<≥=πωπωω100,0100,2)(j H , 如果输入信号为)120cos(5)80cos(10)(t t t x ππ+=, 则输出响应y(t) = 。
7. 因果LTI 系统的系统函数为342)(2+++=s s s s H , 则描述系统的输入输出关系的微分方程为 。
8. 一因果LTI 连续时间系统满足:)(2)(3)()(6)(5)(2222t x dt t dx dtt x d t y dt t dy dt t y d ++=++,则系统的单位冲激响应)(t h 为 。
9.对连续时间信号)600cos(5)400sin(2)(t t t x a ππ+=进行抽样,则其奈奎斯特频率为 。
10. 给定两个连续时间信号)(t x 和)(t h , 而)(t x 与)(t h 的卷积表示为)(t y ,则)1(-t x 与)1(+t h 的卷积为 。
11. 卷积积分=+-)(*)(21t t t t x δ 。
12. 单位冲激响应)(t h 是指系统对输入为 的零状态响应。
13. )(2t u e t -的拉普拉斯变换为 。
14. 已知3121)(+++=s s s X 的收敛域为2}R e {3-<<-s , )(s X 的逆变换为 。
15. 连续LTI 系统的单位冲激响应)(t h 满足 ,则系统稳定。
信号与系统试题库一、选择题共50题1.下列信号的分类方法不正确的是( A ):A、数字信号和离散信号B、确定信号和随机信号C、周期信号和非周期信号D、因果信号与反因果信号2.下列说法正确的是( D ):A、两个周期信号x(t),y(t)的和x(t)+y(t)一定是周期信号。
B、两个周期信号x(t),y(t)的周期分别为2和2,则其和信号x(t)+y(t)是周期信号。
C、两个周期信号x(t),y(t)的周期分别为2和 ,其和信号x(t)+y(t)是周期信号。
D、两个周期信号x(t),y(t)的周期分别为2和3,其和信号x(t)+y(t)是周期信号. 3。
下列说法不正确的是( D ).A、一般周期信号为功率信号。
B、时限信号(仅在有限时间区间不为零的非周期信号)为能量信号。
C、ε(t)是功率信号;D、e t为能量信号;4.将信号f(t)变换为( A)称为对信号f(t)的平移或移位。
A、f(t–t0)B、f(k–k0)C、f(at)D、f (—t)5.将信号f(t)变换为(A)称为对信号f(t)的尺度变换。
A 、f (at )B 、f (t –k 0)C 、f (t –t 0)D 、f (-t )6.下列关于冲激函数性质的表达式不正确的是( B ).A 、)()0()()(t f t t f δδ=B 、()t aat δδ1)(=C 、)(d )(t tεττδ=⎰∞-D 、)()-(t t δδ=7。
下列关于冲激函数性质的表达式不正确的是(D).A 、⎰∞∞-='0d )(t t δ B 、)0(d )()(f t t t f =⎰+∞∞-δC 、)(d )(t t εττδ=⎰∞-D 、⎰∞∞-=')(d )(t t t δδ8。
下列关于冲激函数性质的表达式不正确的是( B ).A 、)()1()()1(t f t t f δδ=+B 、)0(d )()(f t t t f '='⎰∞∞-δC 、)(d )(t t εττδ=⎰∞-D 、)0(d )()(f t t t f =⎰+∞∞-δ9。
例5.2-10)()(=)(⇒1+11=1+11=)()(=)()(*)(=)(1+1=)(↔)(1=)(↔)(-t e t t y s ss s s H s F s Y t h t f t y s s H t h ss F t f t zs zs zs εε求函数f(t)= t 2e -αt ε(t)的象函数 令f 1(t)= e -αt ε(t), 则αα>]Re[,+1=)(1s s s F f(t)= t 2e -αt ε(t)= t 2 f 1(t),则2212)+(2=)(=)(αs ds s F d s F 已知H(s)的零、极点分布图如示,并且h(0+)=2。
求H(s)和h(t)的表达式。
解:由分布图可得根据初值定理,有524)1()(22++=++=s s Ks s Ks s H K s s Ks s sH h s s =++==+∞→∞→52lim )(lim )0(22522)(2++=s s ss H 2222)1(2)1(2522)(++-+=++=s s s s s s H 22222)1(22)1(1*2)(++-+++=s s s t h=t e t e tt2sin 2cos 2---已知H(s)的零、极点分布图如示,并且h(0+)=2。
求H(s)和h(t)的表达式。
解:由分布图可得 根据初值定理,有 设由 得:k 1=1 k 2=-4 k 3=5即二、写出下列系统框图的系统方程,并求其冲激响应。
( 15分))2)(1()1()(2+++=s s s s K s H Ks sH h s ===+∞→)(lim )0(21)(321++++=s k s ks k s H )()541()(2t e e t h t t ε--+-=)2)(1()1(2)(2+++=s s s s s H )()(lim s H s s k i s s i i -=→25141)(+++-=s s s s H解:x”(t) + 4x’(t)+3x(t) = f(t)y(t) = 4x’(t) + x(t)则:y”(t) + 4y’(t)+ 3y(t) = 4f’(t) + f(t)根据h(t)的定义有h”(t) + 4h’(t) + 3h(t) = δ(t)h’(0-) = h(0-) = 0先求h’(0+)和h(0+)。
因方程右端有δ(t),故利用系数平衡法。
h”(t)中含δ(t),h’(t)含ε(t),h’(0+)≠h’(0-),h(t)在t=0连续,即h(0+)=h(0-)。
积分得[h’(0+) - h’(0-)] + 4[h(0+) - h(0-)] +3 = 1考虑h(0+)= h(0-),由上式可得h(0+)=h(0-)=0h’(0+) =1 + h’(0-) = 1对t>0时,有 h”(t) + 4h’(t) + 3h(t) = 0故系统的冲激响应为一齐次解。
微分方程的特征根为-1,-3。
故系统的冲激响应为h(t)=(C1e-t + C2e-3t)ε(t)代入初始条件求得C1=0.5,C2=-0.5, 所以h(t)=(0.5 e-t– 0.5e-3t)ε(t)三、描述某系统的微分方程为y”(t) + 5y’(t) + 6y(t) = f(t)求当f(t) = 2e-t,t≥0;y(0)=2,y’(0)= -1时的解;( 15分)解: (1) 特征方程为λ2 + 5λ+ 6 = 0 其特征根λ1= –2,λ2= –3。
齐次解为y h(t) = C1e -2t + C2e -3t当f(t) = 2e– t时,其特解可设为y p(t) = Pe -t将其代入微分方程得Pe -t + 5(– Pe-t) + 6Pe-t = 2e-t 解得 P=1于是特解为 y p(t) = e-t)ee1(e2sssss-----全解为: y(t) = y h (t) + y p (t) = C 1e -2t + C 2e -3t + e -t 其中 待定常数C 1,C 2由初始条件确定。
y(0) = C 1+C 2+ 1 = 2,y ’(0) = –2C 1 –3C 2 –1= –1解得 C 1 = 3 ,C 2 = – 2最后得全解 y(t) = 3e – 2t – 2e – 3t + e – t , t ≥0四、如图信号f(t)的拉氏变换F(s) = ,试观察y(t)与f(t)的关系,并求y(t) 的拉氏变换Y(s) (10分)解y(t)= 4f(0.5t) Y(s) = 4×2 F(2s)六、有一幅度为1,脉冲宽度为2ms 的周期矩形脉冲,其周期为8ms ,如图所示,求频谱并画出频谱图频谱图。
(10分)解:付里叶变换为())e 2e 1(2e 82222s s ss s -----=)e 2e 1(e 22222s s ss s -----=A 卷 【第2页 共3页】f(t)tT-T…12τ-2τ)e e 1(e 2ss s s s -----Fn 为实数,可直接画成一个频谱图。
六、有一幅度为1,脉冲宽度为2ms 的方波,其周期为4ms ,如图所示,求频谱并画出频谱图。
(10分)解:Ω=2π*1000/4=500π付里叶变换为Fn 为实数,可直接画成一个频谱图。
ΩΩ=Ω-=-Ω-n n T jn T t jn )2sin(2e 122τττF nωτπ2τπ2-τπ441t n n n ππ500)12sin()12(41--=∑∞=或幅频图如上,相频图如下:如图反馈因果系统,问当K 满足什么条件时,系统是稳定的?其中子系统的系统函数G(s)=1/[(s+1)(s+2)]解:设加法器的输出信号X(s) X(s)=KY(s)+F(s)Y(s)= G(s)X(s)=K G(s)Y(s)+ G(s)F(s)H(s)=Y(s)/F(s)=G(s)/[1-KG(s)]=1/(s2+3s+2-k) H(s)的极点为为使极点在左半平面,必须(3/2)2-2+k<(3/2)2, k<2,即当k<2,系统稳定。
∑G(s)K F(s)Y(s)k p +-⎪⎭⎫⎝⎛±-=2232322,1如图离散因果系统框图 ,为使系统稳定,求常量a 的取值范围解:设加法器输出信号X(z) X(z)=F(z)+a/Z*X(z)Y(z)=(2+1/z)X(z)= (2+1/z)/(1-a/z)F(z) H(z)= (2+1/z)/(1-a/z)=(2z+1)/(z-a)为使系统稳定,H(z)的极点必须在单位园内, 故|a|<1周期信号 f (t ) =试求该周期信号的基波周期T ,基波角频率Ω,画出它的单边频谱图,并求f (t ) 的平均功率。
解 首先应用三角公式改写f (t )的表达式,即显然1是该信号的直流分量。
的周期T1 = 8 的周期T2 = 6所以f(t)的周期T = 24,基波角频率Ω=2π/T = π/12,根据帕斯瓦尔等式,其功率为P=是f(t)的[π/4]/[π/12 ]=3次谐波分量;是f(t)的[π/3]/[π/12 ]=4次谐波分量; 画出f (t )的单边振幅频谱图、相位频谱图如图⎪⎭⎫ ⎝⎛-+⎪⎭⎫ ⎝⎛--63sin 41324cos 211ππππt t ⎪⎭⎫ ⎝⎛--+⎪⎭⎫ ⎝⎛+-+=263cos 41324cos 211)(ππππππt t t f ⎪⎭⎫ ⎝⎛+34cos 21ππt ⎪⎭⎫ ⎝⎛-323cos 41ππ 323741212121122=⎪⎭⎫ ⎝⎛+⎪⎭⎫ ⎝⎛+⎪⎭⎫ ⎝⎛+34cos 21ππt ⎪⎭⎫ ⎝⎛-323cos 41ππ12643ωo二、计算题(共15分)已知信号)()(t t t f ε=1、分别画出01)(t t t f -=、)()()(02t t t t f ε-=、)()(03t t t t f -=ε和)()()(004t t t t t f --=ε的波形,其中 00>t 。
(5分)2、指出)(1t f 、)(2t f 、)(3t f 和)(4t f 这4个信号中,哪个是信号)(t f 的延时0t 后的波形。
并指出哪些信号的拉普拉斯变换表达式一样。
(4分)3、求)(2t f 和)(4t f 分别对应的拉普拉斯变换)(2s F 和)(4s F 。
(6分)1、(4分)2、)(4t f 信号)(t f 的延时0t 后的波形。
(2分)3、st s s F s F 02121)()(-==(2分) 0241)(st e ss F -=。
(2分)三、计算题(共10分)如下图所示的周期为π2秒、幅值为1伏的方波)(t u s 作用于RL电路,已知Ω=1R ,H L 1=。
1、 写出以回路电路)(t i 为输出的电路的微分方程。
2、 求出电流)(t i 的前3次谐波。
解“1、 ⎪⎩⎪⎨⎧<<-<<-<<=ππππππt t t t u s 2,2,022,1)(。
(2分)2、 ∑=+=510)cos(21)(n n s nt a a t u)5cos(52)3cos(32)cos(221)cos()2sin(22151t t t nt n n n πππππ+-+=+=∑= (3分)3、 )()()(t u t i t i s =+'(2分)4、 )3sin(51)3cos(151)sin(1)cos(121)(t t t t t i ππππ--++=(3分) 四、计算题(共10分)已知有一个信号处理系统,输入信号)(t f 的最高频率为m m f ωπ2=,抽样信号)(t s 为幅值为1,脉宽为τ,周期为S T (τ>S T )的矩形脉冲序列,经过抽样后的信号为)(t f S ,抽样信号经过一个理想低通滤波器后的输出信号为)(t y 。
)(t f 和)(t s 的波形分别如图所示。
1、试画出采样信号)(t f S 的波形;(4分)2、若要使系统的输出)(t y 不失真地还原输入信号)(t f ,问该理想滤波器的截止频率c ω和抽样信号)(t s 的频率s f ,分别应该满足什么条件?(6分)解:1、(4分)2、理想滤波器的截止频率m c ωω=,抽样信号)(t s 的频率m s f f 2≥。
(6分) 五、计算题(共15分)某LTI 系统的微分方程为:)(6)(2)(6)(5)(t f t f t y t y t y +'=+'+''。
已知)()(t t f ε=,2)0(=-y ,1)0(='-y 。
求分别求出系统的零输入响应、零状态响应和全响应)(t y zi 、)(t y zs 和)(t y 。