电动力学杨世平习题参考答案
- 格式:pdf
- 大小:635.42 KB
- 文档页数:78
电动力学考试题及答案3一、单项选择题(每题2分,共20分)1. 电场中某点的电场强度方向是()。
A. 正电荷在该点受力方向B. 负电荷在该点受力方向C. 正电荷在该点受力的反方向D. 负电荷在该点受力的反方向答案:A2. 电场强度的单位是()。
A. 牛顿B. 牛顿/库仑C. 伏特D. 库仑答案:B3. 电场中某点的电势为零,该点的电场强度一定为零。
()A. 正确B. 错误答案:B4. 电场线与等势面的关系是()。
A. 互相平行B. 互相垂直C. 互相重合D. 以上都不对答案:B5. 电容器的电容与()有关。
A. 电容器的两极板面积B. 电容器的两极板间距C. 电容器的两极板材料D. 以上都有关答案:D6. 电容器充电后断开电源,其电量()。
A. 增加B. 减少C. 不变D. 无法确定答案:C7. 电容器两极板间电压增大时,其电量()。
A. 增加B. 减少C. 不变D. 无法确定答案:A8. 电容器两极板间电压增大时,其电场强度()。
A. 增加B. 减少C. 不变D. 无法确定答案:A9. 电容器两极板间电压增大时,其电势差()。
A. 增加B. 减少C. 不变D. 无法确定10. 电容器两极板间电压增大时,其电势能()。
A. 增加B. 减少C. 不变D. 无法确定答案:A二、多项选择题(每题3分,共15分)11. 电场强度的物理意义包括()。
A. 描述电场的强弱B. 描述电场的方向C. 描述电场的性质D. 描述电场的作用12. 电场中某点的电势与()有关。
A. 该点的电场强度B. 参考点的选择C. 电场线的方向D. 电场线的形状答案:B13. 电容器的电容与()有关。
A. 电容器的两极板面积B. 电容器的两极板间距C. 电容器的两极板材料D. 电容器的电量答案:A|B|C14. 电容器充电后断开电源,其()。
A. 电量不变B. 电压不变C. 电场强度不变D. 电势差不变答案:A|B|C|D15. 电容器两极板间电压增大时,其()。
电动力学习题解答若干运算公式的证明ϕψψϕϕψψϕϕψψϕϕψ∇+∇=∇+∇=∇+∇=∇c c c c )()()(f f f f f f f ⋅∇+⋅∇=⋅∇+⋅∇=⋅∇+⋅∇=⋅∇ϕϕϕϕϕϕϕ)()()()()(c c c c f f f f f f f ⨯∇+⨯∇=⨯∇+⨯∇=⨯∇+⨯∇=⨯∇ϕϕϕϕϕϕϕ)()()()()(c c c c )()()(g f g f g f ⨯⋅∇+⨯⋅∇=⨯⋅∇c c )()(g f f g ⨯∇⋅-⨯∇⋅=c c)()(g f g f ⨯∇⋅-⋅⨯∇=)()()(g f g f g f ⨯⨯∇+⨯⨯∇=⨯⨯∇c cg f f g g f f g )()()()(∇⋅-⋅∇+⋅∇-∇⋅=c c c cg f f g g f f g )()()()(∇⋅-⋅∇+⋅∇-∇⋅=)()()(c c g f g f g f ⋅∇+⋅∇=⋅∇)()(c c g f f g ⋅∇+⋅∇=(利用公式b a c b a c c b a )()()(⋅+⨯⨯=⋅得)f g f g g f g f )()()()(∇⋅+⨯∇⨯+∇⋅+⨯∇⨯=c c c cf g f g g f g f )()()()(∇⋅+⨯∇⨯+∇⋅+⨯∇⨯=第一章 电磁现象的普遍规律1. 根据算符∇的微分性与向量性,推导下列公式:B A B A A B A B B A )()()()()(∇⋅+⨯∇⨯+∇⋅+⨯∇⨯=⋅∇ A A A A )()(221∇⋅-∇=⨯∇⨯A解:(1))()()(c c A B B A B A ⋅∇+⋅∇=⋅∇B A B A A B A B )()()()(∇⋅+⨯∇⨯+∇⋅+⨯∇⨯=c c c cB A B A A B A B )()()()(∇⋅+⨯∇⨯+∇⋅+⨯∇⨯=(2)在(1)中令B A =得:A A A A A A )(2)(2)(∇⋅+⨯∇⨯=⋅∇,所以 A A A A A A )()()(21∇⋅-⋅∇=⨯∇⨯即 A A A A )()(221∇⋅-∇=⨯∇⨯A2. 设u 是空间坐标z y x ,,的函数,证明:u uf u f ∇=∇d d )( , uu u d d )(A A ⋅∇=⋅∇, uu u d d )(A A ⨯∇=⨯∇ 证明: (1)z y x z u f y u f x u f u f e e e ∂∂+∂∂+∂∂=∇)()()()(z y x zu u f yu u f x u u f e e e ∂∂+∂∂+∂∂=d d d d d du uf zu y u xuu f z y x ∇=∂∂+∂∂+∂∂=d d )(d d e e e(2)zu A yu A xu A u z y x ∂∂+∂∂+∂∂=⋅∇)()()()(A zu u A y u u A x u u A z y x ∂∂+∂∂+∂∂=d d d d d d uu zu yu x u uA uA uA z y x z z y y x x d d )()d d d d d d (A e e e e e e ⋅∇=∂∂+∂∂+∂∂⋅++=(3)uA uA uA z u y u x u uu z y x zyxd /d d /d d /d ///d d ∂∂∂∂∂∂=⨯∇e e e A zx y y z x x y z y u u A x u u A x u u A z u u A z u u A y u u A e e e )d d d d ()d d d d ()d d d d (∂∂-∂∂+∂∂-∂∂+∂∂-∂∂=z x y y z x x y z yu A xu A xu A zu A zu A yu A e e e ])()([])()([])()([∂∂-∂∂+∂∂-∂∂+∂∂-∂∂=)(u A ⨯∇=3. 设222)'()'()'(z z y y x x r -+-+-=为源点'x 到场点x 的距离,r 的方向规定为从源点指向场点。
电动力学(C) 试卷班级 姓名 学号题号 一二三四总 分分数一、填空题(每空2分,共32分)1、已知矢径r ,则 ×r= 。
2、已知矢量A 和标量 ,则 )(A。
3、一定频率ω的电磁波在导体内传播时,形式上引入导体的“复电容率”为。
4、在迅变电磁场中,引入矢势A和标势 ,则E= ,B= 。
5、麦克斯韦方程组的积分形式 、 、、 。
6、电磁场的能流密度为 S= 。
7、欧姆定律的微分形式为 。
8、相对论的基本原理为 , 。
9、事件A ( x 1 , y 1 , z 1 , t 1 ) 和事件B ( x 2 , y 2 , z 2 , t 2 ) 的间隔为s 2 =。
10、位移电流的表达式为 。
二、判断题(每题2分,共20分)1、由j B0 可知,周围电流不但对该点的磁感应强度有贡献,而且对该点磁感应强度的旋度有贡献。
( )2、矢势A沿任意闭合回路的环流量等于通过以该回路为边界的任一曲面的磁通量。
( )3、电磁波在波导管内传播时,其电磁波可以是横电波,也可以是横磁波。
( )4、任何相互作用都是以有限的速度传播的。
( )5、由0 j可知,稳定电流场是无源场。
( )6、如果两事件在某一惯性系中是同时同地发生的,在其他任何惯性系中它们必同时发生。
( )7、平面电磁波的电矢量和磁矢量为同相位。
( )8、E 、D 、B 、H 四个物理量中只有E 、B为描述场的基本物理量。
( )9、由于A B,虽然矢势A 不同,但可以描述同一个磁场。
( )10、电磁波的亥姆霍兹方程022 E k E适用于任何形式的电磁波。
( )三、证明题(每题9分,共18分) 1、利用算符 的矢量性和微分性,证明 )cos()]sin([00r k E k r k E式中r为矢径,k 、0E 为常矢量。
2、已知平面电磁波的电场强度j t z cE E)sin(0 ,求证此平面电磁波的磁场强度为i t z cc E B )sin(0四、计算题(每题10分,共30分)1、迅变场中,已知)(0t r k i e A A, )(0t r k i e ,求电磁场的E 和B 。
电动⼒学课后答案第五章多电⼦原⼦1.选择题:(1)关于氦原⼦光谱下列说法错误的是:BA.第⼀激发态不能⾃发的跃迁到基态;B.1s2p 3P2,1,0能级是正常顺序;C.基态与第⼀激发态能量相差很⼤;D.三重态与单态之间没有跃迁(2)氦原⼦由状态1s2p 3P2,1,0向1s2s 3S1跃迁,可产⽣的谱线条数为:BA.0;B.3;C.2;D.1(3)氦原⼦由状态1s3d 3D3,2,1向1s2p3P2,1,0跃迁时可产⽣的谱线条数为:CA.3;B.4;C.6;D.5(4)氦原⼦有单态和三重态两套能级,从⽽它们产⽣的光谱特点是:DA.单能级各线系皆为单线,三重能级各线皆为三线;B.单重能级各线系皆为双线,三重能级各线系皆为三线;C.单重能级各线系皆为单线,三重能级各线系皆为双线;D.单重能级各线系皆为单线,三重能级各线系较为复杂,不⼀定是三线.(5)若某原⼦的两个价电⼦处于2s2p组态,利⽤L-S耦合可得到其原⼦态的个数是:CA.1;B.3;C.4;D.6.(6)设原⼦的两个价电⼦是p电⼦和d电⼦,在L-S耦合下可能的原⼦态有:CA.4个;B.9个;C.12个D.15个;(7)若镁原⼦处于基态,它的电⼦组态应为:CA.2s2s B.2s2p C.3s3s D.3s3p(8)有状态2p3d3P 2s3p3P的跃迁:DA.可产⽣9条谱线B.可产⽣7条谱线C 可产⽣6条谱线D.不能发⽣课后习题1.He 原⼦的两个电⼦处在2p3d态。
问可能组成哪⼏种原⼦态?(按LS耦合)解答:l1 = 1 l2 = 2 L = l1 + l2, l1 + l2?1, ……, | l1? l2| = 3, 2, 1 s1 =1/2 s2 =1/2 S = s1 + s2, s1 + s2?1, ……, |s1 ? s2| = 1, 0 这样按J = L+S, L+S?1, ……, |L?S| 形成如下原⼦态:S = 0 S = 1L = 1 1P13P0,1,2L =2 1D23D1,2,3L = 3 1F33F2,3,43.Zn 原⼦(Z=30) 的最外层电⼦有两个。
电动力学课后答案本文档为电动力学课后习题的答案,旨在帮助学生理解和巩固所学的电动力学知识。
以下是习题的答案解析。
1. 高斯定律的应用(20分)题目:一半径为 R 的均匀带电球面,电荷密度为σ。
沿球面 A 点方向垂直放置一个圆环,半径为 r (r < R),环面上均匀分布着电荷,电荷密度为ρ。
求圆环上的电场强度。
解析:根据高斯定律,可以得到球面上的电场强度公式:E * 4πR² = Q / ε₀其中 E 为电场强度,R 为球面的半径,Q 为球面内的总电荷量,ε₀ 为真空介电常数。
对于球面内的总电荷量 Q,可以通过球面的电荷密度σ求得:Q = σ * 4πR²将 Q 的值代入上式,可以得到球面上的电场强度:E = σ / ε₀对于圆环上的电场强度E₁,根据叠加原理,可以将整个圆环分割成无限小的电荷元素,然后将各个电荷元素对圆环上某一点的电场强度进行叠加:E₁ = ∫(k * dq / r²)其中 k 为库仑常数,dq 为圆环上无限小的电荷元素,r 为圆环上的点到电荷元素之间的距离。
将 dq 的值代入上式,进行积分计算,可以得到圆环上的电场强度。
2. 电势与电势能(15分)题目:一电荷为 Q 的点电荷静止在距离无限远处,根据库仑定律,可以得到电场强度公式。
根据电场强度 E,可以求出电势差V = ∫E · dr。
解析:根据库仑定律,点电荷 Q 在距离 r 处的电场强度 E 可以表示为:E = k * Q / r²其中 k 为库仑常数。
对于电势差V,可以定义为电场强度E 在两点之间的积分:V = ∫E · dr该积分表示沿路径的曲线积分,其中 E 为点电荷 Q 在路径上的电场强度,dr 为路径上的微小位移。
将 E 的表达式代入上式,并对路径进行处理,可以计算得到电势差 V。
3. 静电场的能量(25分)题目:两个点电荷Q₁ 和Q₂ 之间的电势能可以表示为 E = k * Q₁ * Q₂ / r,其中 k 为库仑常数,r 为两个点电荷之间的距离。
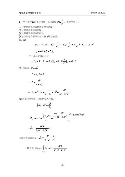
习题四参考答案1.一个半径为R 的电介质球,极化强度为2/r r K P =,电容率为ε.计算⑴ 束缚电荷的体密度和面密度; ⑵ 自由电荷体密度; ⑶ 球外和球内的电势;⑷该带电介质球产生的静电场的总能量.答案:⑴ 2rK p -=ρ,R Kp =σ ⑵ ()20rKf εεερ-=⑶ ()r KR002εεεεϕ-=()R r >⎪⎪⎭⎫ ⎝⎛+-=001ln εεεεϕr K K ()R r <⑷ 2012⎪⎪⎭⎫⎝⎛-⎪⎪⎭⎫ ⎝⎛+=εεεεπεK R W 提示:⑴2rK P p -=⋅-∇= ρ, R KP eR r r p =⋅== ˆσ ⑵ 因为f P ρεερ⎪⎭⎫⎝⎛-=10,所以()2r K f εεερ-= ⑶ 因为电荷分布具有球对称性,所以可以由高斯定理求电场强度E ,再求ϕ ⑷ 两种方法都可以求解⎰=vdV W ρϕ21,V 是电荷分布的球区间。
或者, ⎰∞⋅=dV D E W21,这里V 是电场分布的全空间2.导体内有一半径为R 的球形空腔,腔内充满电容率为ε的均匀电介质,现将电荷量为q 的点电荷放在腔内离球为)(R a a <处,如图所示,已知导体的电势为零,试求:①腔内任一点),(θr p 的电势ϕ;②腔壁上感应电荷量的面密度;③介质极化电荷量的密度和面密度.解:用电像法求解①设导体不存在,整个空间都充满了电容率为ε的均匀介质,像电荷q ' 使腔壁电势为0.041=⎪⎭⎫ ⎝⎛''+=s q s q πεϕ 解之得 aR b 2=q aR q -=' 由此得介质内任一点),(θr p 的电势为⎥⎦⎤⎢⎣⎡-+'+-+=θθπεϕcos 2cos 2412222br b r q ar a r q . ②腔壁上感应电荷量的面密度为2/32222)cos 2(4)(ˆ)(ˆθπϕεϕεεσaR a R R q a R r e E e D n Rr r -+--=⎪⎭⎫ ⎝⎛∂∂=∇⋅=⋅-=⋅= ③介质内极化电荷量的密度为ϕεεεερ200)()(∇-=-⋅-∇=⋅-∇=E P Pρεεερεε)1())((00--=--=. q q p )1(0εε--=. 介质表面极化电荷面密度R r p rE ep n ))(()(ˆ00∂∂--=-⋅=⋅=ϕεεεεσ2/322220)cos 2(4))((θπεεεaR a R R qa R -+--=. 3.接地的空心导体球内外半径为1R 和2R ,在球内离球心为()1R a a <处置一点电荷q ,求空间的电势分布.导体球上的感应电荷有多少?分布在内表面还是外表面?答案:()()⎥⎥⎦⎤⎢⎢⎣⎡-+-+-+=θθπεϕcos /2//cos 2412122121220a R R a R R a qR Ra a R q q q -=',分布在内表面.感应电荷不等于像电荷.提示:该题的解法与例题2完全类似,只是像电荷在球外空间。
第二章静电场1.一个半径为 R 的电介质球,极化强度为 PKr / r 2 ,电容率为。
( 1)计算约束电荷的体密度和面密度:( 2)计算自由电荷体密度;( 3)计算球外和球内的电势;( 4)求该带电介质球产生的静电场总能量。
解:( 1) p P K(r / r 2 )K [(1/ r 2 ) r r (1/ r 2 )]K / r 2pn ( P 2P 1 ) e rPr RK / R( 2) D 内0 E P P/()fD 内P /()K /(0 )r2( 3) E 内D 内 / P /()E 外 D 外f dVKR e r4 0 r 2 e r(20 )r外E 外 drKR(0 )rrRE 外 drK(ln R )内E 内 drrrR( 4) W1 1K 2R4 r 2 dr12K 2 R 24 r 2drD E dV222 R422 ()r 2( 0)r2 R(1)( K) 22.在平均外电场中置入半径为R 0 的导体球,试用分别变量法求以下两种状况的电势: ( 1)导体球上接有电池,使球与地保持电势差 0 ;( 2)导体球上带总电荷 Q解:( 1)该问题拥有轴对称性, 对称轴为经过球心沿外电场E 0 方向的轴线, 取该轴线为极轴,球心为原点成立球坐标系。
当 RR 0 时,电势知足拉普拉斯方程,通解为(a n R nb n 1 )P n (cos )n R n因为无量远处 E E 0 ,E 0 R cosE 0 RP 1 (cos )所以a 00 , a1E 0 , a n0, (n 2)当RR 0 时,所以E 0 R 0 P 1 (cos )b nP n (cos )n 1nR 0即: 0b 0 / R 0 0,b 1 / R 02 E 0 R 0所以b 0 R 0 (0 ), b 1 E 0 R 03, b n 0, (n 2)0 E 0 R cos R 0 (0 0 ) / RE 0 R 03 cos / R 2(RR 0 )(RR 0 )(2)设球体待定电势为0 ,同理可得0 E 0 R cosR 0 (0 0 ) / RE 0 R 03 cos / R 2(RR 0 )(RR 0 )当RR 0 时,由题意,金属球带电量Qn R RdS2Q(E 0 cosR 02E 0 cos ) R 0 sin d d4R 0 ()所以 (0 ) Q / 4R0 E 0 R cos Q / 4 0 R(E 0 R 03 / R 2 ) cos (RR 0 )Q / 4 0 R ( R R 0 )3. 平均介质球的中心置一点电荷Q f ,球的电容率为,球外为真空, 试用分别变量法求空间电势,把结果与使用高斯定理所得结果比较。
电动力学考试题和答案一、选择题(每题2分,共20分)1. 电场强度的定义式为:A. E = F/qB. E = FqC. E = qFD. E = F/Q答案:A2. 电场线的方向是:A. 从正电荷指向负电荷B. 从负电荷指向正电荷C. 从无穷远处指向电荷D. 从电荷指向无穷远处3. 电势差的定义式为:A. U = W/qB. U = WqC. U = qWD. U = W/Q答案:A4. 电容器的电容定义式为:A. C = Q/UB. C = U/QC. C = QVD. C = UV答案:A5. 电流强度的定义式为:B. I = qtC. I = qVD. I = Vq答案:A6. 欧姆定律的公式为:A. V = IRB. V = R/IC. V = I/RD. V = R*I答案:A7. 磁场强度的定义式为:A. B = F/IB. B = FID. B = Vq答案:A8. 洛伦兹力的公式为:A. F = qvBB. F = BqvC. F = qBvD. F = Bvq答案:C9. 磁通量的定义式为:A. Φ = B*AB. Φ = A*BC. Φ = B/AD. Φ = A/B答案:A10. 法拉第电磁感应定律的公式为:A. E = -dΦ/dtB. E = dΦ/dtC. E = Φ/tD. E = tΦ答案:A二、填空题(每题2分,共20分)1. 电场强度的单位是______。
答案:伏特/米(V/m)2. 电势的单位是______。
答案:伏特(V)答案:法拉(F)4. 电流强度的单位是______。
答案:安培(A)5. 电阻的单位是______。
答案:欧姆(Ω)6. 磁场强度的单位是______。
答案:特斯拉(T)7. 磁通量的单位是______。
答案:韦伯(Wb)8. 电感的单位是______。
答案:亨利(H)答案:假想10. 磁场线是______的线。
答案:闭合三、计算题(每题10分,共60分)1. 一个点电荷Q = 2 × 10^-6 C,距离该点电荷r = 0.1 m处的电场强度是多少?答案:E = kQ/r^2 = (9 × 10^9 N·m^2/C^2) × (2 × 10^-6 C) / (0.1 m)^2 =1.8 × 10^4 N/C2. 一个电容器C = 4 μF,两端电压U = 12 V,求该电容器的电荷量Q。