第6章 烷烃
- 格式:doc
- 大小:3.22 MB
- 文档页数:21
第6章习题和参考答案用系统命名法命名下列各化合物。
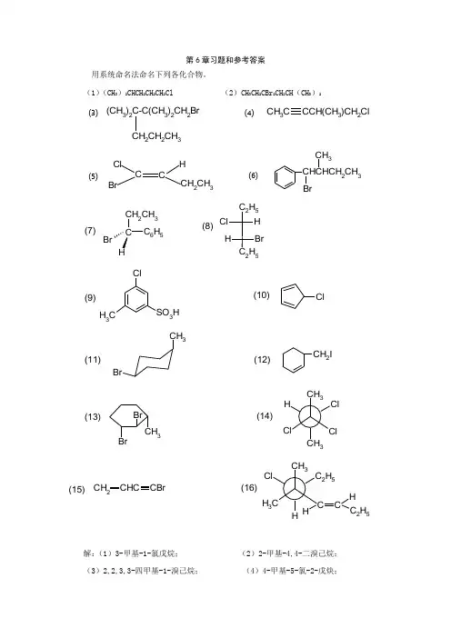
(1)(CH 3)2CHCH 2CH 2CH 2Cl (2)CH 3CH 2CBr 2CH 2CH (CH 3)2(CH 3)2C-C(CH 3)2CH 2Br2CH 2CH 3CH 3C CCH(CH 3)CH 2Cl⑶⑷CH Cl BrCH 2CH 3CHCHCH 2CH 3BrCH 3⑸⑹C 2H 52H 5H ClBr HCCH 2CH 3C 6H 5Br(7)(8)ClClCH 3SO 3H (9)(10)CH 3BrCH 2I(11)(12)CH 3ClClCl CH 3HBrCH 3Br (13)(14)CH 3CH 3C 2H 5H ClHH C 2H 5CCH 2CHCCBr(15)(16)解:(1)3-甲基-1-氯戊烷; (2)2-甲基-4,4-二溴己烷; (3)2,2,3,3-四甲基-1-溴己烷; (4)4-甲基-5-氯-2-戊炔;(5)(Z )-1-氯-1-溴-1-丁烯; (6)2-甲基-1-苯基-1-溴丁烷; (7) (R )-1-苯基-1-溴丙烷; (8)(3R ,4R )-3-氯-4-溴己烷; (9) 3-甲基-5-氯苯磺酸; (10)5-氯-1,3-环己二烯; (11) 顺-1-甲基-4-溴环己烷; (12) 3-碘甲基环己烯(13) (1S ,2R ,3R )-1-甲基-2,3-二溴环己烷; (14) (S )-2,2,3-三氯丁烷 (15) 4-溴-1-丁烯-3-炔; (16) (3E ),(6R )-5,5-二甲基-6-溴-3-辛烯写出下列化合物的结构式。
(1) 异丙基氯; (2) 烯丙基溴; (3) β-苯基乙基溴; (4) 对氯苄基溴; (5) 新戊基碘; (6) 叔丁基氯(7) (S)-2-碘辛烷 (8) 6,7-二甲基-5-氯二环[辛烷(9) 反-1-苯基-2-氯环己烷 (10) 1,2,3-三氯环己烷所有异构体的稳定构象 解:CH 3CH 2CH 2CHCH 3ClBrCH 2CH CH 2(1)(2)CH 2CH 2Br CH 2BrCl(3)(4)C CH 2CH 3CH 3CH 3I C Cl CH 33CH 3(5)(6)C 6H 133I HCH 3C H 3ClClPh(9)(8)(7)ClClClClClClClClCl(10)写出1-溴丁烷与下列试剂反应的主要产物。
第六章卤代烃卤代烃是一种简单的烃的衍生物,它是烃分子中的一个或多个氢原子被卤原子(F, CL, Br,I)取代而生成的化合物。
一般可以用R-X表示,X代表卤原子。
由于卤代烃的化学性质主要有卤原子决定,因而X是卤代烃的官能团。
根据卤代烃分子中烃基的不同,可以将卤代烃分为卤代烷烃、卤代烯烃、卤代炔烃和卤代芳烃等。
第一节卤代烷烃一.卤代烷烃的分类和命名(一)卤代烷烃的分类1.根据卤代烷烃分子中所含卤原子的种类,卤代烷烃分为:氟代烷:如CH3-F氯代烷:如:CH3-CL溴代烷:如:CH3-Br碘代烷:如:CH3-I2.根据卤代烷烃分子中所好卤原子的数目的多少,卤代烷烃分为:一卤代烷:如:CH3CL, CH3-CH2-Br二卤代烷:如:CH2CL2,多卤代烷:CHCL33. 根据卤代烷烃分子中与卤原子直接相连的碳原子的类型的不同,卤代烷烃可以分为: 伯卤代烷(一级卤代烷) R-CH 2-Br 仲卤代烷(二级卤代烷)CHXR 1R 2叔卤代烷(三级卤代烷)CXR 1R 2R 3(二) 卤代烷烃的命名 1. 普通命名使用范围:结构比较简单的卤代烷常采用普通命名法 命名:原则:根据卤原子的种类和与卤原子直接相连的烷基 命名为“某烷”,或按照烷烃的取代物命名为“卤某烷”。
如:CH 3CL CH 3CH 2Br CH 3CH 2CH 2CH 2I CH CH 3H 3CCH 2CLCHBrH 3CCH 2CH 3CCH 3H 3CCH 3CL甲基氯(氯甲烷)乙基溴(溴乙烷)正丁基碘(正碘丁烷)异丁基氯(异氯丁烷)仲丁基溴(仲溴丁烷)叔丁基氯(叔氯丁烷)2. 系统命名法范围:复杂的卤代烷烃一般采用系统命名法。
原则:将卤原子作为取代基,按照烷烃的命名原则来进行命名。
方法: 1)选择连有卤原子的最长碳链为主链,并根据主链所含碳原子的数目命名为“某烷”作为母体; 2) 将支链和卤原子均作为取代基;3)对于主链不带支链的卤代烷烃,主链编号从距离卤原子最近的一端开始; 4)对于主链带支链的卤代烷烃,主链的编号应遵循“最低系列规则”; 5)把取代基和卤原子的名称按“次序规则”依次写在“某烷”之前(次序按先后顺序写),即得该卤代烷烃的名称。
第二章 烷烃一 . 基本内容1. 定义及命名法只含碳和氢两种元素且分子中只存在单键的饱和烃称为烷烃。
除简单的烷烃可以用普通命名法外,主要是掌握系统命名法,系统命名法的原则如下:(1)选取主链:选择最长的碳链作为母体,称为某烷。
当有一种以上的碳链可供选择时,应选择碳链上支链(支链可视为取代基)最多的碳链作母体。
(2)主链编号:编号的原则是从最靠近取代基的一端开始依次用阿拉伯数字编号,位次和取代基之间要用半字线“-”连接。
当首先出现的取代基所连碳原子的编号相同时,则尽可能使连有较多取代基的碳原子的编号最小,如CH 3CH 2CH(CH 2CH 3)C- (CH 3)2CH 2CH 3应命名为3,3-二甲基-4-乙基己烷。
主链上碳原子的编号有几种可能时,则采取“最低系列”的编号方法,即逐个比较两种编号中取代基位次的数字,最先遇到位次较低者,定为“最低系列”,如CH 3CH(CH 3)CH 2CH(CH 3)CH(CH 3)CH 3命名为2,3,5-三甲基己烷。
(3)取代基的名称写在母体名称之前,取代基的排列次序按“优先次序规则”排列,将较优的基团后列出。
2. 反应烷烃在常温下与强酸(如浓硫酸、浓硝酸),强碱(如熔化的氢氧化钠),强氧化剂(如重铬酸钾、高锰酸钾),强还原剂(如锌加盐酸、钠加乙醇)等都不起反应或反应速度很慢。
但在适当的温度、压力和催化剂的作用下可以起反应。
(1) 烷烃的燃烧:烷烃完全燃烧生成二氧化碳和水,同时放出大量的热。
反应的通式为:(2)烷烃的热解:烷烃热解时,碳-碳或碳-氢键断裂,生成含有未配对电子的烷基自由基,烷基自由基的反应活性很高,寿命很短,可发生如下反应: CH 3· + ·CH 2CH 3 → CH 3CH 2CH 3 ·CH 2CH 3 + ·CH 2CH 3 → CH 3CH 3 + CH 2=CH 2(3) 烷烃的卤化C H 2n +2+O 2n CO 2+n+1H 2On 3n +12烷烃的卤化产物通常是混合物。
有机化学烷烃有机化学烷烃是一类简单而又重要的有机化合物,其分子结构中只包含碳和氢原子,通过碳碳单键连接构成链状结构。
烷烃可以分为直链烷烃和支链烷烃两大类,它们在化学性质和应用领域上有着各自的特点。
直链烷烃是指碳原子按直线排列连接而成的烷烃分子,最简单的直链烷烃就是甲烷,其分子中只含有一个碳原子和四个氢原子。
直链烷烃的命名遵循一定的规则,以正己烷为例,其中“正”表示直链结构,“己”表示碳原子数为六,“烷”表示为烷烃。
直链烷烃在燃料领域有着重要的应用,如天然气中的甲烷就是一种常见的直链烷烃。
支链烷烃是指碳原子通过支链连接而成的烷烃分子,最简单的支链烷烃为异丙烷,其分子中含有一个主链和一个支链。
支链烷烃的命名也有一定的规则,以异丙烷为例,其中“异”表示支链结构,“丙”表示碳原子数为三,“烷”表示为烷烃。
支链烷烃在化工工业中有着广泛的应用,如异丙醇可以被用作有机合成中的重要原料。
烷烃的物理性质主要取决于其碳原子数和分子结构,一般来说,碳原子数越多,分子越大,沸点和熔点也越高。
此外,直链烷烃的分子间作用力比支链烷烃要强,因此直链烷烃的沸点和熔点通常也比支链烷烃要高。
在有机合成中,烷烃可以作为重要的中间体参与到各种反应中,如裂解反应、氧化反应、还原反应等。
通过烷烃的反应可以制备出各种重要的有机物,如醇、醛、酮等。
此外,烷烃还可以用作燃料,如汽油、柴油等,为人类生活和工业生产提供能源支持。
总的来说,有机化学烷烃是一类简单而又重要的有机化合物,其在化学性质和应用领域上有着广泛的应用。
通过深入研究烷烃的结构和性质,可以更好地理解有机化学的基础知识,并为有机合成和能源开发提供重要的理论基础。
希望未来能有更多的研究能够深入探讨烷烃的新领域,为人类社会的发展做出更大的贡献。
第六章烷烃Alkanes第一节烷烃Alkanes学习目标Learning objectives■什么是烷烃?■如何给烷烃命名?■烷烃有何特性?大纲参考:3.1.6烷烃是饱和的碳氢化合物;这些化合物仅含有碳-碳和碳-氢单键。
这些化合物是化学性质最不活泼的有机化合物。
它们可被用作燃料和润滑剂,同时也可用作其他多种化合物的起始合成原料。
这意味着它们对于工业很重要。
烷烃的主要来源是原油。
■通式(The general formula)所有链式烷烃的通式是C n H2n+2。
碳氢化合物可能是无分支的链式烷烃、有分支的链式烷烃或环状烷烃。
无分支的链式烷烃(Unbranched chians)例如,戊烷——C5H12:(结构式)(结构简式)通常将无分支的链式烷烃称为“直链”烷烃,但其C-C-C角度为109.50(见3.9小节)。
这意味着碳链实际上并不是直的。
在某种无分支的烷烃中,每个碳原子带有两个氢原子,但末端碳原子除外,其上还有一个多余的氢原子。
有分支的链式烷烃(Branched chains)例如,甲基丁烷——C5H12,这是戊烷的一个异构体:(结构式)(结构简式)环式烷烃(Ring alkanes)环式烷烃的通用分子式为C n H2n,因为在环状烷烃中不需要“末端”氢原子。
■如何给烷烃命名(How to name alkanes)直链烷烃(Straight chain)烷烃名称来自词根,可告诉我们碳原子的数量,同时后缀-ane表示是一种烷烃,见表1。
支链烷烃(branched chain)当你命名一种带有直链的碳氢化合物时,你必须首先找出最长的无分支链——有时还需要一点智慧,见下面的实例。
这里给出了词根名,然后按将前缀:methyl-、ethyl-、propyl-等来命名分支或侧链。
最后,添加编号,以表明侧链与哪个碳原子相连。
例如下面两种碳氢化合物相同,尽管乍一看它们似乎是不同的。
在以上两个结构图中,最长的未分支链(红色)为五个碳原子,因此其词根为pentane。
仅有一个碳原子构成的侧链,因此其应命名为methyl-。
该侧链与3号碳原子相连,因此其名称应为3-甲基戊烷(3-methylpentane)。
■结构(Structure)异构现象(Isomerism)甲烷、乙烷和丙烷没有异构体,但其后面的烷烃,随着分子中碳原子的数量增加,其可能出现的异构体数量也会增加。
例如,丁烷有四个碳原子,就有两种异构体,而戊烷则有三种异构体。
戊烷甲基丁烷2,2-双甲基丙烷异构体的数量随碳链长度增加而快速增加。
葵烷(C10H22)有75种异构体,而C30H62的异构体则超过4百万种。
表1前六种烷烃的名称■物理特性(Physical properties)极性(polarity)大多数烷烃均是非极性的,因为碳原子的电负性(2.5)和氢原子的电负性(2.1)相似,见3.3小节。
因此,这些分子之间仅有的分子间作用力是很弱的范德华力;分子越大,范德华力越强。
沸点(Boiling point)这种逐渐增加的分子间作用力就是烷烃的沸点随碳链长度增加而增高的原因。
在室温下,较短的链式烷烃为气体。
有五个碳原子的戊烷,是一种液体,其沸点很低,为309K(36℃)。
然后当烷烃的碳链达到18个碳原子的长度时,烷烃在室温下为固体,看起来与蜡相似。
与相同碳原子数的直链烷烃相比,支链烷烃的熔点较低。
这是因为直链烷烃不能像支链烷烃那样能够紧密包裹在一起,因此范德华力的作用不再有效。
溶解性(Solubility)烷烃不溶于水。
这是因为,水分子通过氢键保持在一起,而氢键的强度远大于在烷烃分子间起作用的范德华力。
但是,烷烃却能与其他相对无极性的液体混合在一起。
■烷烃如何反应(How alkanes react)烷烃的化学性质相对不活泼。
他们具有很强的碳-碳键和碳-氢键。
他们不与酸、碱、氧化剂和还原剂反应。
但是,它们却能燃烧,在合适条件下,能与卤素反应。
在充分供氧的情况下,它们能燃烧并形成二氧化碳和水(或在供氧不足的情况下,形成一氧化碳和水)。
图1 液化气是丙烷和丁烷和混合物。
极地探险使用丙烷含量较高的特殊混合气体,因为丁烷在低于272K温度下为液体。
图2 碳链长度增加对烷烃物理特性的影响问题小结Summary questions1 给烷烃CH3CH2CH(CH3)CH3命名并画出其结构式。
2 画出2-甲基己烷的结构式和结构简式。
3 给2-甲基己烷的一个异构体命名,该异构体为直链。
4 在问题3中,两种异构体中哪个的熔点更高?并解释之。
第二节原油的分馏Fractional distillation of crude oil学习目标Learning objectives■原油的来源是什么?■在工业规模上,如何将原油分离为有用的组分?大纲参考3.1.6目前,原油是全世界有机化合物的主要来源。
我们将原油称为化石燃料,因为它是千百万年前深埋在地下的植物和动物尸骨在高温高压下发生降解而形成的。
由于原油形成非常缓慢,这种资源无法有效再生。
多数情况下,原油是烷烃的混合物,包括未分支的和分支的烷烃。
来源不同的原油,其组分也不一样。
表1中给出了典型北海石油的组分。
原油还含有少量其他组分,溶解在其中。
这些组分来自形成石油的远古植物和动物的其他元素,例如,某些原油含有硫元素。
当这些原油燃烧时,可产生二氧化硫(SO2)。
这是造成酸雨的原因之一;二氧化硫可与大气中含量很高的氧发生反应,生成三氧化硫。
三氧化硫在与大气中的水反应,就形成了硫酸。
表1典型北海石油的组分产品气体石油石脑油煤油汽油燃油和蜡近似沸点/K 310 310-450 400-490 430-523 590-620 超过620碳链长度1-5 5-10 8-12 11-16 16-24 25+百分比 2 8 10 14 21 45提示Hint现在正在产生原油,但是沉积物的累积是一个十分漫长的过程。
原油的分馏(Fractional distillation of crude oil)为了将原油转化为有用的产品,我们必须将混合物分开。
我们通过加热原油,并收集在不同温度范围内蒸发出来的组分来实现这一目的。
每种组分都是具有相似碳链长度的碳氢化合物组成的混合物,因此,这些组分具有相似的特性,见图1。
这个过程就称为分馏(fractional distillation),这一过程是在分馏塔(fractionating tower)中完成的。
■首先在加热炉中将原油加热。
■将液体和气体混合物通入一个分离塔,塔顶部(而不是底部)装有冷却器。
■蒸汽通过一系列含有泡罩的收集盘通向塔顶,直至达到一个充分冷却(收集盘的温度低于其沸点)的收集盘。
然后这些气体就被冷凝为液体。
■冷凝在每个收集盘上的液体混合物通过管道被移除。
■碳链较短的碳氢化合物被冷凝在越靠近塔顶部的收集盘中,这个地方的温度更低,因为混合物的沸点更低。
■在塔底部收集到的厚重残留物称为柏油或沥青。
这些材料可用于铺路,由于其供应常常超过了需求,因此往往对这个组分进行深加工,以产生更有价值的产品。
学习建议Study tip学生无需记住各种组分及其沸点,但你应当明白分馏的基本原理。
Gasoline tray:汽油收集盘Rising vapours:上升的蒸汽Gasoline:汽油Kerosene tray:煤油收集盘Kerosene:煤油Descending liquid:下降的液体gases:气体fuel on site:原地点燃gasoline/petrol(naphtha)cars:汽油/汽油(石脑油)小汽车用kerosene/paraffin:煤油/石蜡jet fuel, lighting飞机燃料,照明Diesel oil:柴油Lorries and taxis:卡车和出租车用Vaporized crude oil in:原油在塔中蒸发Lubricating oil and waxes:重油和蜡Candles and engine oil:蜡烛和引擎油Fuel oil:燃油Ships,power stations:船舶和电站Tar/bitumen柏油/沥青Roads and roofing:铺路和屋顶防水图1 原油的分馏高度为40米)中通过分馏作用被分离为各种组分。
石化厂的规模各不相同,但典型石化厂每年能处理三百五十万吨原油。
提示Hint分馏是一个物理过程,因此分子内没有共价键断裂。
在蒸发过程中,只有分子间的范德华力被破坏,而在冷凝时又会重新形成。
问题小结Summary questions1、画出己烷的分子式和结构式。
2、在表1中,在所命名的原油组分中,哪一种最可能是己烷?3、什么是分馏,它与蒸馏有何区别?第三节工业裂解Industrial cracking学习目标Learning objectives■ 什么是裂解?■ 热裂解的条件和产物是什么?■ 催化裂解的条件和产物是什么?■进行热裂解的经济原因是什么?大纲参考:3.1.6原油通过分馏作用得到的石脑油组分,在石油和化学工业方面有巨大需求。
碳链较长的组分作用不大,因此其经济价值较低。
大多数原油中的长链组分比想要的短链组分多,而石脑油组分往往不够多。
与碳链较长的物质相比,碳链较短的产品在经济上更有价值。
为满足对碳链较短的碳氢化合物的需求,需要将较长碳链的组分裂解为碳链较短(裂化的)的产品。
这可得到两种有用的结果:1、可产生更有用的碳链较短的产品,尤其是石油。
2、某些产物为烯烃,这种产物的反应性较烷烃强。
需要注意的是,石油主要是烷烃的混合物,含有四至十二个碳原子。
烯烃可用作化工原料(这意味着它可以为工业提供起始合成物料,可用于生产不同的物质)并可转化为多种别的化合物,包括多聚物和从油漆至药物等多种产品。
乙烯很可能是最重要的烯烃,这是合成聚乙烯的起始物料。
烷烃的反应性很差,需要很苛刻的条件才能使其降解。
有很多方式可使其发生裂解。
■热裂解(Thermal cracking)这种反应是将烷烃加热到700-1200K的温度,在高压下(高达7000kPa)。
碳-碳键断裂,其断裂方式为两个碳原子夺得共价键电子对中的一个电子。
因此,最初就产生了两条较短的碳链,每条碳链的一个末端碳原子带有一个未配对的电子。
这些片段被称为自由基。
自由基是反应性很高的中间产物,能以各种方式反应,形成多种较短的碳链分子。
由于没有足够的氢原子来产生两种烷烃,因此新的碳链必须含有一个碳碳双键,于是就形成了一种烯烃:自由基-黑点表示未配对的电子图2热裂解学习建议Study tip学生应明白裂解的经济意义。
图1从原油中获得的各种产品任何数量的碳-碳键均可断裂,而碳链不一定是从中间断开。
也可产生氢原子。
热裂解倾向于产生高比例的烯烃。