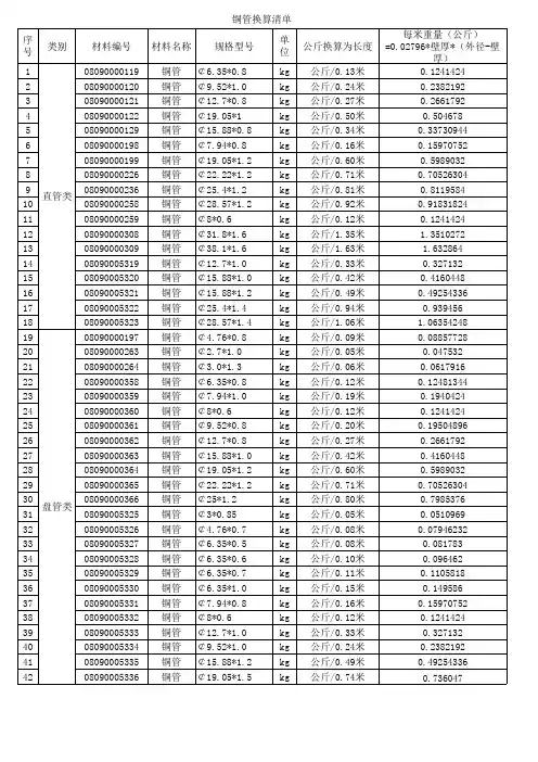
铜管换算表
- 格式:xls
- 大小:25.50 KB
- 文档页数:20
铜管规格尺寸理论重量表
铜管是一种常用的金属材料,用于各种工业和建筑应用。
铜管的规格尺寸和理论重量对于选择合适的铜管非常重要。
以下是一份铜管规格尺寸和理论重量表,供参考使用。
表格
注意事项
- 表中的数据为理论重量,实际重量可能会有轻微差异。
- 铜管的规格和重量会根据不同的制造标准和要求有所不同,
以上数据仅供参考。
- 在选择铜管时,还需考虑其他因素,如长度、材质等。
请注意,以上信息仅供参考,请在实际应用中进行确认和验证。
铜管的壁厚与承压能力之间的关系取决于多个因素,包括铜管的材质、直径、工作温度、管道用途等。
通常,铜管的壁厚越大,其承压能力越高。
以下是一些常见铜管壁厚和承压能力之间的一般对照表,但请注意这只是一些典型值,具体情况可能会因管道规格和用途而有所不同。
以下是根据一些常见铜管规格的一般对照表,单位为公斤/平方厘米(kg/cm²):
- 1/4英寸(6.35毫米)铜管壁厚约为0.035英寸(0.89毫米),承压能力约为200 kg/cm²。
- 3/8英寸(9.53毫米)铜管壁厚约为0.049英寸(1.24毫米),承压能力约为180 kg/cm²。
- 1/2英寸(12.7毫米)铜管壁厚约为0.049英寸(1.24毫米),承压能力约为160 kg/cm²。
- 3/4英寸(19.05毫米)铜管壁厚约为0.065英寸(1.65毫米),承压能力约为150 kg/cm²。
- 1英寸(25.4毫米)铜管壁厚约为0.065英寸(1.65毫米),承压能力约为140 kg/cm²。
- 2英寸(50.8毫米)铜管壁厚约为0.083英寸(2.11毫米),承压能力约为120 kg/cm²。
请注意,这些数值只是一般性的参考值,实际的壁厚和承压能力可能会因铜管的具体材质和制造标准而有所不同。
在实际工程中,应始终根据管道设计和相关标准来选择适当的铜管规格,以确保安全性和可靠性。
最好咨询专业工程师或遵循适用的建筑和管道规范。
一、铜管的每米的单价=(外径—壁厚)*壁厚*0.028*单价(每千克的单价)例如:铜管¢22.2*1.2 58元/KG(要注意单位,有的人报价是按吨报的,按吨的单价要除以1000)此时铜管每米的单价=(22.2-1.2)*1.2*0.028*58=40.9248二、角钢每米的价格=(边宽+边宽—边厚)*边厚*0.00785*每吨的单价/1000(注意后面的单价应该是没千克的单价,单大部分报价都是按吨报的,所以每吨的单价除以1000,就表示没KG的单价,边宽等都是毫米为单位,不用再做换算的)例如角钢3#,3750元/吨请算出每米多少钱?(角钢3#,一般指3#*3,意思是指边宽为30,边厚为3,当然一般默认为等边角钢)此时角钢每米的单价=(30+30-3)*3*0.00785*3750/1000=5.0338注意:等边角钢的型号和其边宽边厚等都有对应的表格,我的空间里都有的三、槽钢的计算价格也是差不多的,前面算出来的都是重量,只要下一个槽钢型号和重量对应表,根据型号找出对应的重量,再用重量乘以每千克的单价即可得出例如槽钢10# 3650元/吨计算出其每米的单价10#槽钢对应的重量是10.007 所以此时槽钢每米的单价=10.007*3650/1000=36.5256(槽钢规格尺寸对应表我空间里也有,可以下载的)四、镀锌管米的单价=(外径—壁厚)*壁厚*0.02466*1.06*每吨的单价/1000(同上道理,每吨的价格要换成每千克的单价哦)例如D20*2.75镀锌管5100元/吨如何换算成每米的单价呢(DN20的镀锌管的外径为26.9,这个也是固定不变的,可以下载一个对应表就可以了)此时镀锌管的每米的单价=(26.9-2.75)*2.75*0.02466*1.06*5100/1000=8.8536其他我也不一一列举了。
常用铜管理论重量表
空调铜管理论重量|空调铜管规格|空调铜管重量
空调铜管理论重量
不同管径的铜管其长度与重量之间的关系如果要精确计算公式:
(D1+D2)*π*d*L*ρ*M/2,
其中:D1-铜管外径,D2-铜管内径,d-铜管壁厚,L-铜管长度,ρ-铜管密度,M-铜管单价,元/KG (Ton);
按以上公式计算很麻烦,而且工程报价不需要这么精确,一般报价都留有裕度。
不同管径铜管的长度与重量之间的大致关系即经验数据列表如下,其中以1米长为单位:
空调铜管理论重量表
暖通空调专区2010-02-28 12:16:14 阅读837 评论1 字号:大中小订阅。