定西市社会经济发展指标数据:2018年安定通渭陇西渭源临洮漳岷县分县区常住人口自然变动情况统计
- 格式:xls
- 大小:6.00 KB
- 文档页数:2
定西市人民政府办公室印发关于进一步促进消费扩大内需的若干措施的通知文章属性•【制定机关】定西市人民政府办公室•【公布日期】2020.05.14•【字号】定政办发〔2020〕70号•【施行日期】2020.05.14•【效力等级】地方规范性文件•【时效性】现行有效•【主题分类】经济运行正文定西市人民政府办公室印发关于进一步促进消费扩大内需的若干措施的通知各县区人民政府,定西经济开发区管委会,市政府各部门,中央及省属驻定有关单位:《关于进一步促进消费扩大内需的若干措施》已经市政府第88次常务会议同意,现印发给你们,请认真抓好贯彻落实。
定西市人民政府办公室2020年5月14日关于进一步促进消费扩大内需的若干措施为充分发挥消费对促进经济发展的基础性作用,千方百计把疫情防控中被抑制的消费释放出来,把催生的新兴消费壮大起来,让消费更好支撑经济平稳运行,让内需更好拉动经济加快发展,努力实现年初经济社会发展预期目标,根据《关于印发进一步促进消费扩大内需的实施意见和行动计划的通知》(甘政办发〔2020〕41号)精神以及市委、市政府关于促消费稳增长的一揽子政策措施,现就进一步促进消费扩大内需,结合我市实际提出以下工作措施。
一、总体要求以习近平新时代中国特色社会主义思想为指导,全面贯彻党的十九大和十九届二中、三中、四中全会精神,深入落实习近平总书记对甘肃重要讲话和指示精神,坚持新发展理念,做好“六稳”工作,落实“六保”任务,全力拓展存量、创造增量,在疫情防控常态化背景下,实施促进消费增长专项行动,推动商品消费提档升级、服务消费提质扩容、消费环境优化提升、消费预期明显改善,更好发挥投资带动消费效应,多措并举促进消费回升,不断增强对经济增长的拉动力,有效促进经济平稳运行和高质量发展。
二、目标任务坚持消费引领、市场主导、审慎监管、绿色发展基本原则,通过一系列支持政策和工作措施,促进重点区域、重点领域、重点行业、重点企业、重点人群消费加速增长,全面活跃商贸流通,繁荣各类市场,稳定消费预期,稳定社会生活秩序。
2009年甘肃省各市、县主要人口数据
作者:佚名文档来源:本站原创点击数:5934 更新时间:2010-3-4文字控制:[小][大]
甘统字〔2010〕25号
各市、州统计局,各县、区、市统计局:
根据2009年全省人口变动抽样调查结果,参考省公安厅、省人口委人口年报数据,省、市两级统计部门分别对各市、估与推算。
现通报如下:
全省2009年末常住人口为2635.46万人,其中:男性为1351.46万人,占51.28%;女性为1284.00万人,占48.72%;0—15—64岁的人口为1885.93万人,占71.56%;65岁及以上的人口为201.09万人,占7.63%。
全年出生35.12万人,人口人口死亡率为6.71‰,自然增长率为6.61‰。
城镇人口860.48万人,城镇化率为32.65%。
各市、州和县、区、市2009年末常住人口及自然增长情况见附件。
各地对外使用人口数据均以此为准。
2009年全省各市、县主要人口数据。
定西市2011年国民经济和社会发展统计公报2011年,全市上下进一步深入贯彻落实经济工作会议精神,以实现跨越式发展为目标,继续坚持“兴农强工、做大城镇、扩充总量、提升水平”的总体要求,努力克服严重干旱等自然灾害造成的不利影响,着力调结构、转方式、保增长、惠民生、促和谐,经济社会发展呈现增速加快、效益提高、民生改善、社会和谐的良好态势。
一、综合全市通过强化农业基础地位,不断加大工业建设力度,加快发展第三产业,促进了经济总量的较快增长。
2011年,全市实现生产总值186.95亿元,增长12.7%,增速比上年加快2.2个百分点。
其中,第一产业增加值52.89亿元,增长5.5%,对经济增长的贡献率为13.24%,拉动经济增长1.68个百分点;第二产业增加值51.8亿元,增长20.7%,对经济增长的贡献率为40.91%,拉动经济增长5.20个百分点;第三产业增加值82.25 亿元,增长13.1%,对经济增长的贡献率为45.85%,拉动经济增长5.82个百分点。
二、农业2011年,全市以转变农业发展方式为主线,积极落实各项强农惠农政策,围绕打造中国“两都”,突出发展旱作农业、特色农业和设施农业,全市农业经济呈现出稳定发展的良好态势。
全年完成农业增加值52.89亿元,增长5.5%。
科技抗旱能力显著提高。
2011年,全市共播种各类农作物845.56万亩,其中粮食作物662.15万亩。
粮食总产量达123.57万吨,较上年增加3.51万吨。
粮食作物中,夏粮134.77万亩,秋粮527.38万亩。
经济作物183.41万亩。
夏秋比为19.4:79.6,粮经比为78.3:21.7。
全市基本形成了高寒区以马铃薯、中药材、蚕豆为主,川水区以蔬菜、各种间套带模式和设施农业为主,干旱区以马铃薯、全膜玉米、各种特色小杂粮为主的区域化种植格局,特色农产品优势产业带逐步形成,农业种植结构趋于合理。
特色优势产业得到大力发展。
全市马铃薯种植323.45万亩,产量60.64万吨。
临洮县简介临洮,古称狄道,位于甘肃省中部,定西市西部,是省会兰州的南大门和兰州一小时经济圈的重要节点。
全县总面积2851平方公里,辖12个镇、6个乡,6个社区、324个村委会,2367个村民小组,年末常驻人口54.07万人,其中农业人口49.83万人。
全县耕地面积108万亩,海拔1730--3670米,年平均气温7℃(最高气温34.6℃,最低气温-29.5℃),年降水量317--760毫米,无霜期80--190天。
近年来,临洮县相继荣获“全国田径之乡”、“中国花木之乡”、“中国民间艺术之乡”、“中国花卉之乡”、“中华诗词之乡”、“全国科技进步先进县”、“全国残疾人工作先进县”、“全国民政工作先进县”、“全国双拥模范县”、“全国科普示范县”等殊荣。
2008年,全县完成生产总值21.31亿元,同比增长14.3%;限额以上工业企业完成增加值2.5亿元,同比增长13.6%;农民人均纯收入达到2316元,净增310元;城镇居民人均可支配收入达到8960元,净增860元;大口径财政收入达到1.5亿元,同比增长23.8%;完成固定资产投资15.54亿元,同比增长65.58%;社会消费品零售总额达到6.4亿元,同比增长21%;粮食总产量达到19.8万吨,净增2.42万吨。
历史文化悠久。
临洮,古称狄道,自古为西北名邑、陇右重镇、古丝绸之路要道,是黄河上游古文化发祥地之一,素有“彩陶之乡”、“文化县”美誉。
迄今建县已有2380多年的历史。
闻名中外的马家窑文化、寺洼文化、辛店文化都因首先发现于境内而得名。
区位优势明显。
临洮县城距兰州市区仅100公里,212等三条国道穿境而过,城乡道路纵横交错,四通八达;兰临高速公路的通车,进一步缩短了临洮到兰州的距离。
随着临罐、康临等高速公路的动工建设,临洮的交通条件将更加便利。
特别是依托中铺便捷的交通区位优势,规划建设了占地14.67平方公里的中铺循环经济示范园区,已有110千伏变电站、远达石油化工机械、三易水泥、生源矿业、融璎蔬菜等5家企业签订建设协议,总投资超过6亿元。
104°12′48″至105°01′06″之间,南北长82.9公里,东西宽73.3公里。
安定区东北及东部邻会宁,东南接通渭,南部与陇西、渭源毗连,西南连临洮,西部至西北与榆中接壤。
地形地势自西南向东北倾斜,地势最高处为西南部高峰乡城门寨,海拔2577.3米;最低处为北部关川河谷地,海拔1671.3米。
城区所在地海拔为1898.7米。
气候属中温带干旱、半干旱区,大陆性季风气候显著。
年平均太阳辐射量141.4千卡/平方厘米,年平均日照2500.1小时。
年均气温6.3℃,极端最高温34.3℃,极端最低气温零下27.1℃。
无霜期141天。
全区正常年降水量400毫米左右,多集中在秋季,蒸发量高达1500多毫米。
位于黄河上中游地区,分属祖厉河流域和渭河流域,其中祖厉河流域占全区总流域面积的99.5%。
主要河流有祖厉河一级支流关川河、西巩河及其二级支流东河、西河和称钩河,以及渭河一级支流秦祁河。
安定区辖2个街道、12个镇、7个乡。
分别为:中华路街道、永定路街道、凤翔镇、内官镇、巉口镇、称钩驿镇、鲁家沟镇、西巩驿镇、宁远镇、李家堡镇、团结镇、香泉回族镇、符家川镇、葛家岔镇、白碌乡、石峡湾乡、新集乡、青岚山乡、高峰乡、石泉乡、杏园乡。
安定区户籍人口453062人(其中农业人口362641人)。
全年出生人口4207人,出生率为9.14‰;死亡人口2551人,死亡率为5.54‰;人口自然增长率3.6‰,计划生育率91.99%。
境内有回族、东乡族、蒙古族、满族、壮族、土族等少数民族分布。
通渭县位于甘肃省中部,定西市东侧,介于东经104°57′~105°38′、北纬34°55′~35°29′之间。
东南、南分别与秦安、甘谷县接壤,西南、西分别与武山、陇西县相邻,西北、北、东北分别与安定区、会宁和静宁县毗邻。
属陇中黄土高原丘陵壑区,多黄土梁、峁和河谷阶地。
地势西北高,东南低,海拔1600米~2200米。
临洮概况—2012.9.24临洮,古称狄道,位于甘肃省中部、定西市西部,地处古丝绸之路要道,是黄河古文化的重要发祥地之一,素有“彩陶之乡”、“文化县”之称。
全县总面积2851平方公里,有18个乡(镇),323个村、6个社区,54万人口。
全县海拔1730-3670米,年平均气温7℃,年降水量317-760毫米,无霜期80-190天。
近年来,相继荣获“全国田径之乡”、“中国花木之乡”、“中国民间艺术之乡”、“中国花卉之乡”、“中华诗词之乡”、“全国双拥模范县”、“全国科技进步先进县”、“全国科普示范县”、“全国残疾人工作先进县”、“全国民政工作先进县”等称号。
2011年,全县完成生产总值36.38亿元、大口径财政收入2.86亿元、限额以上工业企业增加值4.58亿元、固定资产投资50.87亿元,实现社会消费品零售总额10.58亿元,农民人均纯收入和城镇居民人均可支配收入分别为3282元和11955元。
历史文化悠久:临洮自古为西北名邑,陇右重镇。
闻名中外的马家窑文化、寺洼文化、辛店文化都因首先发现于境内而得名。
战国秦长城起首、老子飞升地、汉代古墓群、唐代哥舒翰纪功碑等历史文化遗迹星罗棋布。
自周安王18年(公元前384年)建置狄道县,秦昭王27年(公元前280年)始设陇西郡以来,临洮就长期是郡、府、州、县治所在地,作为中央政权连接西域少数民族的桥头堡,发挥了西部重要政治经济文化中心的作用。
区位优势明显:临洮是省会兰州的南大门,县城距兰州80公里,兰海高速、康临高速和212国道穿境而过,是欧亚大陆桥经济带辐射圈内重点县区、“兰白经济区”内重要节点城市。
水电资源充裕:黄河上游最大的支流――洮河,流经县内9个乡镇115公里,年过境水量46亿立方米,属国家一级保护水系,水能资源可开发蕴藏量达32万千瓦。
已建成和在建水电站达14座,总装机容量达22万千瓦。
产业特色鲜明:依托洮河谷地良好的气候条件和38万亩水浇地,大力发展马铃薯、蔬菜、花木、畜牧等特色优势产业,培育形成了60万亩马铃薯、17万亩蔬菜、3万亩花木种植和600万头(只)畜禽养殖基地,农业产业化经营格局初具雏形。
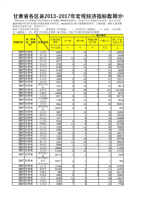
甘肃省各区县2013-2017年宏观经济指标数据分析对(根据国家公开的数据中国县域统计年鉴2014-2018收集整理,并进行多年度数据并表处理,便于各区县
2013-2017年多年宏观经济指标数据分析对比,excel格式方便下载数据再利用。
方便快捷,减轻大量的数
据查找与处理工作,省时省力!)
提供了各区县每个年度的:一、基本情况(8个指标),二、综合经济(10指标),三、农业、工业及投
资(10指标),四、教育卫生和社会保障(6个指标)共34个宏观经济指标对比数据
分析对比表
各种社会福利收养性单位床
床
170
253
220
290
244
427
330
262
60
500
200
269
985
2152
660
400
559
120
640
326
356
219
126
393
426
189
77
435
217
1336
180
310
50
50
410
259
198
192
186
190
282。
2018年梅州国民经济和社会发展统计公报一、综合年末常住人口437.88万人,其中城镇人口221.09万人,城镇人口占常住人口的比重为50.49%。
全市人口出生率为12.71‰,死亡率为5.37‰,自然增长率为7.33‰。
年末户籍人口为548.29万人。
据初步核算,2018年全市实现地区生产总值1110.21亿元,比上年增长2.4%,其中:第一产业增加值196.17亿元,增长4.9%;第二产业增加值356.72亿元,增长1.5%;第三产业增加值557.32亿元,增长2.1%。
三次产业的结构比例由2017年的17.5:33.3:49.2调整到2018年的17.7:32.1:50.2,其中:第一产业比重比上年上升0.2个百分点,第三产业比重比上年上升1.0个百分点。
在第三产业中,批发和零售业增长5.1%,住宿和餐饮业增长1.7%,金融业增长5.6%,房地产业下降0.1%。
现代服务业增加值278.43亿元,增长1.8%;生产性服务业增加值190.73亿元,增长9.3%;民营经济增加值691.68亿元,增长3.5%;县域地区生产总值(不含市辖区)684.14亿元,占全市比重为61.6%,增长2.2%。
全市人均地区生产总值25367元,增长2.1%。
2018年,梅州居民消费价格比上年上涨1.7%(见表1)。
分类别看,食品烟酒类价格下跌0.3%,衣着类价格上涨1.4%,居住类价格上涨2.6%,生活用品及服务类价格上涨0.7%,交通和通信类价格上涨0.5%,教育文化和娱乐类价格上涨1.7%,医疗保健类价格上涨6.6%,其他用品和服务类价格下跌0.1%。
商品零售价格比上年上涨1.4%。
全市工业生产者出厂价格比上年上涨3.1%。
全年城镇新增就业2.58万人,就业困难人员实现再就业0.25万人。
年末城镇实有登记失业人员1.3万人,城镇登记失业率2.27%,比上年末下降0.18%。
全年地方财政一般预算收入97.09亿元,下降10.6%;其中,税收收入69.56亿元,下降5.4%。
渭源县概况自然环境:渭源县位于定西地区西南部。
地处陇中,北靠定西、临洮,东接陇西,南连漳县,西与卓尼、临潭、康乐少数民族地区毗邻。
总土地面积2065平方公里,耕地面积80万亩。
全境属陇西以西黄土高原边缘与西秦岭北坡区,地势西南高、东北低,地形以山地为主,平均海拔2910米。
气候属半干旱、半湿润,年平均降雨量523.5毫米,年平均气温5.7℃,全年无霜期135天,常有风、雪、霜、冻灾害。
县政府驻地清源镇。
行政区划:辖16个乡镇,217个村民委员会。
人口情况:乡镇总户数7.68万户,乡镇总人口32.83万人,乡镇从业人员16.17万人。
六通情况:217个村全部通电、通邮、通公路,165个村通电话,17个村通自来水。
文教卫生:有医院、卫生院22所,医生771人,病床523张。
有各类学校283所,教师2829人,在校学生67967人。
经济指标:2004年,限额以上工业总产值5731万元,农业总产值(现价)47685万元,农民人均纯收入1615元,农作物总播种面积81.30万亩,粮食作物播种面积61.20万亩,粮食总产量110161吨,财政总收入2711万元,财政支出17390万元。
名优特产:洋芋、蚕豆、当归、党参、红芪、黄芪、秦艽、蕨菜、松花、卧龙头。
旅游景点:灞陵桥、莲峰山、首阳山、天井峡、太白山、鸟鼠同穴、秦长城、双石门。
【清源镇】自然环境:清源镇是县政府所在地,总土地面积22.67万亩,耕地面积6.22万亩,平均海拔2200米,年平均气温5.7℃,平均降水量543.7毫米,全年无霜期142天。
行政区划:辖2个居民委员会,,25个村民委员会。
人口情况:乡镇总户数12678户,乡镇总人口48078人,乡镇从业人员24414人。
六通情况:16个村全部通电、通邮、通公路、通电话,3个村通自来水、通有线电视。
文教卫生:有医院、卫生院1所,医生9人,病床20张。
各类学校34所,教师359人,在校学生6852人。
竭诚为您提供优质文档/双击可除甘肃陇西的调查报告篇一:陇西县留守儿童调查报告论文陇西县留守儿童调查报告甘肃省定西市陇西县地处甘肃中部,自然条件恶劣,经济条件落后,苦甲天下。
近年来劳务输出成为农民经济收入的一大渠道。
随着大量农民工进城务工,农村留守儿童教育问题成为一大难题,本课题组针对这一现象对实验小学、紫来学校、种和小学留守儿童教育现状、家庭生活等进行了摸底、走访座谈、问卷调查。
总结了一些教育方法,积累了一些教育经验,探讨一些存在的问题。
一、留守儿童形成的原因1.由于经济条件的落后,大量农民工进入到条件相对优越的城市打工,在消费比较昂贵的大城市农民工没有条件带子女去那儿享受优越的教育资源,只能留在原地,成为留守儿童。
2.条件艰苦的农村,由于随着经济条件的相对好转,在外地打工时接受先进的思想,对孩子的教育更加重视,他们本着再苦也不能苦孩子的思想,千方百计把孩子转入相对比较优越的中小城市,在小县城租住房子由祖父或祖母管理,成为新出现的流动留守儿童。
3.随着改革开放的深入,人们的思想观念更加开放,青壮年在外打工的过程中与外地的青年人结婚,而且生育了孩子,把孩子留在老家,产生了留守儿童。
留守儿童的形成给教育带来极大地的挑战,这一特殊群体的教育问题越来越引起人们的关注。
二、我校课题组对留守儿童调查情况篇二:陇西房产市场调研报告陇西县房地产市场调研报告陇西项目工作组20XX年8月目录第一章、城市经济环境篇一、城市概况二、宏观经济三、总结第二章、城市房地产市场篇一、土地市场二、房产市场三、陇西市场结论第一章、城市经济环境篇一、城市概况整体基本解决温饱的目标,农村贫困面下降到2.8%,3个村达到小康标准。
陇西又是古丝绸之路和新亚欧大路桥的必经之地,面积2408平方公里,人口49.8万人。
她以悠久的历史彪炳于华夏文明史册,一直为历代郡、州、府治所在地,一度成为陇右政治、经济、文化、军事中心和甘肃省最早的省会。
这里钟灵毓秀,人文荟萃。
2017年甘肃省各州市人口数据统计据中商产业研究院大数据库显示,2016年末甘肃省常住人口2609.95万人,比上年增加10.4万人。
其中,城镇人口数量为1166.39万人,占总人口的44.69%,乡村人口1443.56万人,占2016年常住人口总数的55.31%。
乡村与城镇人口占总人口差距为10.62%,同2015年差距13.62%缩小了3%,说明甘肃省的城人口乡发展逐渐往均衡方向发展。
相对2015年城镇人口占总人口的43.19%,2016年城镇化水平不断提高。
从2010-2016年甘肃省常住人口变动情况来看,整体上甘肃省人口处于平缓增长状态,2016年人口自然增长率为6%.数据来源:甘肃省统计局、中商产业研究院整理分地区来看,甘肃省各省市常住人口数量最多的前三个地区是兰州市、天水市一级定西市,2016年末常住人口分别为370.55万人、332.3万人、278.98万人。
从城乡人口差距来看,兰州市作为首府城市,经济条件较为发达,但是城镇化水平较低,城乡人口比例尚不足3:1.人口数量排名第二的天水市,在城镇和乡村人口上分布较为均匀,城镇化水平较为提高。
数据来源:甘肃省统计局、中商产业研究院整理2016年甘肃省人口出生率有所下降。
出生率12.18‰,比上年下降了0.18个千分点。
死亡率6.18‰,比上一年提高0.03个千分点。
整体看来,2010-2016年甘肃省自然增长率有所增长,2010-2015六年间自然增长率一直保持微弱的上涨趋势,到了2016年出生率的减少以及死亡率的增加导致其自然增长率首次出现下降了0.21个千分点。
数据来源:甘肃省统计局、中商产业研究院整理中商产业研究院简介中商产业研究院是深圳中商情大数据股份有限公司下辖的研究机构,研究范围涵盖智能装备制造、新能源、新材料、新金融、新消费、大健康、“互联网+”等新兴领域。
公司致力于为国内外企业、上市公司、投融资机构、会计师事务所、律师事务所等提供各类数据服务、研究报告及高价值的咨询服务。