深圳大学2007概率论期末考试题B(附答案)
- 格式:doc
- 大小:108.50 KB
- 文档页数:3
概率论期末试题及答案一、选择题(每题2分,共20分)1. 随机事件A的概率为P(A),则其对立事件的概率为:A. P(A) + 1B. 1 - P(A)C. P(A) - 1D. P(A) / 22. 某校有男女生比例为3:2,随机抽取1名学生,该学生是男生的概率为:A. 1/5B. 3/5C. 2/5D. 5/73. 抛一枚均匀硬币两次,至少出现一次正面的概率是:A. 1/2B. 1/4C. 3/4D. 5/84. 设随机变量X服从二项分布B(n, p),若n=15,p=0.4,则P(X=7)是:A. C^7_15 * 0.4^7 * 0.6^8B. C^7_15 * 0.6^7 * 0.4^8C. C^7_15 * 0.4^15D. C^8_15 * 0.4^7 * 0.6^85. 若随机变量Y服从泊松分布,λ=2,则P(Y=1)是:A. e^(-2) * 2B. e^(-2) * 2^2C. e^(-2) * 2^1D. e^(-2) * 2^06. 设随机变量Z服从标准正态分布,则P(Z ≤ 0)是:A. 0.5B. 0.25C. 0.75D. 0.337. 若两个事件A和B相互独立,P(A)=0.6,P(B)=0.7,则P(A∩B)是:A. 0.42B. 0.35C. 0.6D. 0.78. 随机变量X服从均匀分布U(0, 4),则E(X)是:A. 2B. 4C. 0D. 19. 设随机变量X和Y的协方差Cov(X, Y)=-2,则X和Y:A. 正相关B. 负相关C. 独立D. 不相关10. 若随机变量X服从指数分布,λ=0.5,则P(X > 1)是:A. e^(-0.5)B. e^(-1)C. 1 - e^(-0.5)D. 2 - e^(-1)二、填空题(每题3分,共30分)11. 若随机变量X服从参数为θ的概率分布,且P(X=θ)=0.3,P(X=2θ)=0.4,则P(X=3θ)=________。
概率论与数理统计期末考试试题及参考答案一、选择题(每题2分,共20分)1. 设A、B为两个事件,且P(A) = 0.5,P(B) = 0.6,则P(A∪B)等于()A. 0.1B. 0.3C. 0.5D. 0.7参考答案:D2. 设随机变量X的分布函数为F(x),若F(x)是严格单调增加的,则X的数学期望()A. 存在且大于0B. 存在且小于0C. 存在且等于0D. 不存在参考答案:A3. 设X~N(0,1),以下哪个结论是正确的()A. P(X<0) = 0.5B. P(X>0) = 0.5C. P(X=0) = 0.5D. P(X≠0) = 0.5参考答案:A4. 在伯努利试验中,每次试验成功的概率为p,失败的概率为1-p,则连续n次试验成功的概率为()A. p^nB. (1-p)^nC. npD. n(1-p)参考答案:A5. 设随机变量X~B(n,p),则X的二阶矩E(X^2)等于()A. np(1-p)B. npC. np^2D. n^2p^2参考答案:A二、填空题(每题3分,共15分)1. 设随机变量X~N(μ,σ^2),则X的数学期望E(X) = _______。
参考答案:μ2. 若随机变量X、Y相互独立,且X~N(0,1),Y~N(0,1),则X+Y的概率密度函数f(x) = _______。
参考答案:f(x) = (1/√(2πσ^2))exp(-x^2/(2σ^2))3. 设随机变量X、Y相互独立,且X~B(n,p),Y~B(m,p),则X+Y~_______。
参考答案:B(n+m,p)4. 设随机变量X、Y的协方差Cov(X,Y) = 0,则X、Y的相关系数ρ = _______。
参考答案:ρ = 05. 设随机变量X~χ^2(n),则X的期望E(X) = _______,方差Var(X) = _______。
参考答案:E(X) = n,Var(X) = 2n三、计算题(每题10分,共40分)1. 设随机变量X、Y相互独立,且X~N(0,1),Y~N(0,1),求X+Y的概率密度函数f(x)。
《概率论》期末考试试题(B卷答案)《概率论》期末考试试题(B卷答案)考试时间:120分钟(2005年07⽉)班级姓名成绩1.设甲、⼄两⼈在同样条件下各⽣产100天,在⼀天中出现废品的概率分布分别如下:求甲、⼄两⼈⽣产废品的数学期望,⽐较甲、⼄两⼈谁的技术⾼?()A甲好B⼄好C⼀样好D⽆法确定2.某⼚产品的合格率为96%,合格品中⼀级品率为75%。
从产品中任取⼀件为⼀级品的概率是多少?()A 0.72B 0.24C 0.03D 0.013. 任⼀随机事件A的概率P(A)的取值在()A (0,1)B [0,1]C [-1,0]D (0,∞)4.已知P(A)=1,P(B)=0,则()A. A为必然事件,B为不可能事件B. A为必然事件,B不是不可能事件C. A不必为必然事件,B为不可能事件D. A不⼀定是必然事件,B不⼀定是不可能事件5. 设A、B两个任意随机事件,则=AP ()(B)A. P(A)+ P(B)B. P(A)-P(B)+ P(AB)C. P(A)+ P(B)-P(AB)D. P(AB)-P(A)-P(B)6.若已知φA ,且已知P(A)=0,则()B=A.A与B独⽴B. A与B不独⽴C.不⼀定D.只有当φ=A ,φ=B 时,A 、B 才独⽴ 7.已知X ~B (n ,p ),则D (X )=()A.npB.p (1-p )C.n (1-p )D.np (1-p ) 8.设),(~2σµN X ,将X 转化为标准正态分布,转化公式Z =() A. 2σµ-x B.σµ-x C.σµ+x D.µσ-x9. 设),(~2σµN X ,P (a ≤x ≤b )=( ) A.()()a b φφ- B.??--?-σµφσµφa bC.??? ??-+???-σµφσµφa b D.??--? -σµφσµφb a 10. )1,0(~N X ,P (X ≤2)=() A.0.6826 B.0.9545C.0.9973D.0.5 ⼆、多项选择题(3*8=24分)1. 设A 、B 是两个独⽴随机事件,则() A.)()()(B P A P B A P ?= B. )()|(A P B A P = C. )()|(B P A B P = D. )()()(B P A P B A P += E. )()|()(B P B A P B A P ?=2. 离散型随机变量的概率分布具有性质()A P {}i x X ==P i ≥0, i=1,2,3,…,n B{}1x XP n1i i ==∑=C X 取某⼀特定值x i 的概率均为0≤P i ≤1D 离散型随机变量的概率分布表⽰它取值某⼀区间的概率E1Pn1i i=∑=3. 连续性随机变量X 具有性质()A.连续性随机变量通常研究它某⼀特定值的概率B.连续性随机变量X 的取值在(0,1)范围之内C.密度函数f (x )的曲线与实数轴所围成的⾯积等于1D.?∞-=xdx x f X F )()( (-∞<x <∞)E.P{a <x <b}=F (b )-F (a )=?badx x f )(4. 离散型随机变量X 的⽅差D (X )=()A.i ni i p X E x 2)]([∑-B.dx x f X E x )()]([2+∞∞--C.E[X -E (X )]2D.E (X 2)-[E (X )]2E. E[X 2-E (X )] 25. 贝努⼒试验是满⾜下列哪些条件的随机试验() A 每次试验都有两种可能结果B 试验结果对应于⼀个离散型随机变量C 试验可以在相同条件重复进⾏D 每次试验“成功”的概率p 不变,“失败”的概率1-p 也不变E 各次试验的结果相互独⽴6. ⼆项分布的概率分布为P{X =x}=C xn p x (1-p) x 其中()A.n 为试验次数B.p 为⼀次试验“成功”的概率C. ⼀次试验“失败”的概率为1-pD.x 为n 次试验“成功”的次数E.C xn 表⽰从n 个元素中抽取x 个元素的组合7. 已知X ~B (n ,p ),n =6,p =0.6,则P{X >3}=() A. 1-P{X ≤3} B. 1-P{X <3}C. P{X =4}+P{X =5}+P{X =6}D. 1-∑=--30)1(x xn x x n p p CE.0666155624464.06.04.06.04.06.0C C C ++8. 如果向上抛⼀枚硬币100次,出现正⾯10次,反⾯90次,说明() A 硬币的质量不均匀 B 出现正⾯的概率为0.1C 出现正⾯的概率⼩于出现反⾯的D 出现反⾯的频率为0.9E 不能说明任何问题三、填空题(1*6=6分)1. ⼀批产品共10个,其中6个是合格品,4个次品,从这批产品任取3个,其中有次品的概率为___________。
2007-2008学年第一学期期末考试试卷考试科目:概率论与数理统计 得 分:学生所在系: _________ 姓名 ______________ 学 号:______________________(考期:2008年1月22日,闭卷,可用计算器)一、 (15分)一串0,1数字(独立同分布)组成的序列中1的概率p 代表了某种有用的 信息,由于某种原因需要对其保密。
现对该串数字进行随机加密,对序列中的每一个数字抛 一枚硬币(每次正面出现的概率为〃),若抛出的为正面,则原序列的数字不变,若抛出的 为反面,则原序列中相应的数字由工变成1-工(即0变成1, 1变成0)。
加密后的序列可 以公布,其中1的概率p*可以估计出来。
若知道〃的值,就可以从加密后的序列中的1的频 率为〃*计算出原序列的p,所以〃称为“密钥”。
(1) 现己知p = 0.7 ,如果“密钥” "=0.4,试求p ;(2) 试说明为什么均匀硬币(7 = 0.5)不适合用来加密。
二、 (15 分)设随机变量 X 满足:| X |< 1, P (X = -1) = 1/8, P (X = 1) = 1/4 ,而且, X 在(-1, 1)内任一子区间上取值的概率与该子区间的长度成正比。
试求:(1) X 的概率分布函数F (x ) = P (X < x );(2)X 取负值的概率; (3) X 的数学期望项X )。
三、(20分)二维随机变量(X,F )的密度函数为:(1)试求系数A = ? ; (2) X 与Y 是否独立?(3)试求Z = X + Y 的密度函数心(z );(4) 试求W (X|X + y = l)of(x, y)=(而-(35)3 > 0, > > 0)其他四、(20分)设样本(X“X2,・・・,X〃)抽自正态总体X ~N(", 1),々为未知参数(1)试求0 = P(X>2)的极大似然估计0"(结果可用(D(.)的形式表示);(2)写出日的(1一。
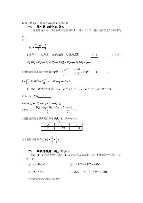
07级《概率论》期末考试试题B 卷及答案一、 填空题(满分15分):1.一部五卷的文集,按任意次序放到书架上,则(1)“第一卷出现在旁边”的概率为 52 。
52!5!422=⨯=p 2.设,)(,)(,)(r AB P q B P p A P ===则=)(B A P r p - 。
性质 r p AB P A P AB A P B A P B A P -=-=-=-=)()()][)()(3.设随机变量ξ的密度函数为() 003,其它⎩⎨⎧>=-x ce x xϕ则c= 3 . 33)(130=⇒===-+∞+∞∞-⎰⎰c c dx e c dx x x ϕ 4. 设ξ、η为随机变量,且D (ξ+η)=7,D (ξ)=4,D (η)=1, 则Cov(ξ,η)= 1 .121472)(),cov(),cov(2)(=--=--+=++=+ηξηξηξηξηξηξD D D D D D 5.设随机变量ξ服从两点分布)1,1(B ,其分布律为则ξ的特征函数为=)(t f ξit e 3132+。
二、 单项选择题(满分15分):1.设.A 、B 、C 为三个事件,用A 、B 、C 的运算关系表示“三个事件恰好一个发生”为( ②. ).① C B A ⋃⋃. ② C B A C B A C B A ++③ ABC -Ω. ④ C B A C B A C B A C B A +++2.设随机变量ξ的分布函数为000)(22<≥⎪⎩⎪⎨⎧+=-x x BAe x F x则其中常数为(① )。
①A=-1,B=1 ②A=1,B=-1 ③ A=1,B=1 ④ A=-1,B =-1BA B e A x F B B e A x F x x x x x x +=+===+==-→→-+∞→+∞→++200222lim )(lim 0lim )(lim 1解得1,1=-=B A3设随机变量ξ的分布列为.,2,1,21)2)1(( ==-=k k P k k kξ则ξE ( ④ ) ①等于1. ② 等于2ln③等于2ln - ④ 不存在445111=⇒==∑∞=C C C i i ∑∑+∞=+∞=+=⋅-11114545)1(i i i i i i i ,由调和级数是发散的知,EX 不存在 4.对于任意两个随机变量ξ与η,下面(④ )说法与0),cov(=ηξ不等价。
深圳⼤学的概率论与数理统计试题(含答案)期末考试试卷参考解答及评分标准开/闭卷闭卷A/B 卷 A2219002801-课程编号 2219002811课程名称概率论与数理统计 _______________ 学分 J ________第⼀部分基本题⼀、选择题(共6⼩题,每⼩题5分,满分30分。
在每⼩题给出的四个选项中,只有⼀个是符合题⽬要求的,把所选项前的字母填在题后的括号内) (每道选择题选对满分,选错0分) 2?假设事件A 与事件B 互为对⽴,则事件A B( ) (A)是不可能事件(B)是可能事件(C) 发⽣的概率为1 (D)是必然事件答:选A ,这是因为对⽴事件的积事件是不可能事件。
3. 已知随机变量X,Y 相互独⽴,且都服从标准正态分布,则 X 2 + Y 2服从()(A)⾃由度为1的2分布 (B)⾃由度为2的2分布(C)⾃由度为1的F 分布(D)⾃由度为2的F 分布答:选B ,因为n 个相互独⽴的服从标准正态分布的随机变量的平⽅和服从⾃由度为 2分布。
4. 已知随机变量X,Y 相互独⽴,X~N(2,4),Y~N(-2,1),则( (A) X+Y~P ⑷ (B) X+Y~U(2,4) (C) X+Y~N(0,5)答:选C ,因为相互独⽴的正态变量相加仍然服从正态分布,D(X+Y)=D(X)+D(Y)=4+1=5,所以有 X+Y~N(0,5)。
5. 样本(X 1,X 2,X 3)取⾃总体 X ,E(X)= < D(X)=-2,则有( )答:选B ,因为样本均值是总体期望的⽆偏估计,其它三项都不成⽴。
6.随机变量X 服从在区间(2,5)上的均匀分布,贝U X 的数学期望E(X)的值为( )(A) 2 (B) 3 (C) 3.5 (D) 4 答:选C ,因为在(a,b)区间上的均匀分布的数学期望为(a+b)/2。
⼆、填空题(共6⼩题,每⼩题5分,满分30分。
把答案填在题中横线上)1. 事件表达式A B 的意思是( ) (A) 事件A 与事件B 同时发⽣ (C)事件B 发⽣但事件A 不发⽣答:选D ,(B) 事件A 发⽣但事件B 不发⽣ (D)事件A 与事件B ⾄少有⼀件发⽣ )(D) X+Y~N(0,3) ⽽ E(X+Y)=E(X)+E(Y)=2-2=0,(A) X 1+X 2+X 3是」的⽆偏估计Y + V + V(B)X1 X2是邛勺⽆偏估计3(C) X ;是⼆2的⽆偏估计(D).宁严2 是■-2的⽆偏估计1.已知P(A)=0.6, P(B|A)=0.3,贝U P(A Q B)= __________答:填 0.18,由乘法公式 P(A B)=P(A)P(B|A)=0.6 0.3=0.18。
大学《概率论与数理统计》期末考试试卷含答案一、填空题(每空 3 分,共 30分)在显著性检验中,若要使犯两类错误的概率同时变小,则只有增加 样本容量 .设随机变量具有数学期望与方差,则有切比雪夫不等式 .设为连续型随机变量,为实常数,则概率= 0 . 设的分布律为,,若绝对收敛(为正整数),则=.某学生的书桌上放着7本书,其中有3本概率书,现随机取2本书,则取到的全是概率书的概率为. 设服从参数为的分布,则=. 设,则数学期望= 7 .为二维随机变量, 概率密度为, 与的协方差的积分表达式为 .设为总体中抽取的样本的均值,则= . (计算结果用标准正态分布的分布函数表X ()E X μ=2()D X σ={}2P X μσ-≥≤14X a {}P X a =X ,{}1,2,k k P X x p k ===2Y X =1n k k k x p ∞=∑n()E Y 21k k k x p ∞=∑17X λpoisson (2)E X 2λ(2,3)YN 2()E Y (,)X Y (,)f x y X Y (,)Cov X Y (())(())(,)d d x E x y E y f x y x y +∞+∞-∞-∞--⎰⎰X N (3,4)14,,X X {}15P X ≤≤2(2)1Φ-()x Φ示)10. 随机变量,为总体的一个样本,,则常数=.A 卷第1页共4页 概率论试题(45分) 1、(8分)题略解:用,分别表示三人译出该份密码,所求概率为 (2分)由概率公式 (4分)(2分) 2、(8分) 设随机变量,求数学期望与方差.解:(1) = (3分) (2) (3分) (2分)(8分) 某种电器元件的寿命服从均值为的指数分布,现随机地取16只,它们的寿命相互独立,记,用中心极限定理计算的近似值(计算结果用标准正态分布的分布函数表示).2(0,)XN σn X X X ,,,21 X221()(1)ni i Y k X χ==∑k 21n σA B C 、、P A B C ()P A B C P ABC P A P B P C ()=1-()=1-()()()1-1-1-p q r =1-()()()()1,()2,()3,()4,0.5XY E X D X E Y D Y ρ=====()E X Y +(23)D X Y -()E X Y +E X E Y ()+()=1+3=4(23)4()9()12ov(,)D X Y D X D Y C X Y -=+-8361244XYρ=+-=-100h i T 161ii T T ==∑{1920}P T ≥()x Φ解: (3分) (5分)(4分)(10分)设随机变量具有概率密度,.(1)求的概率密度; (2) 求概率.解: (1) (1分)A 卷第2页共4页(2分)(2分)概率密度函数 (2分)(2) . (3分) (11分) 设随机变量具有概率分布如下,且.i i ET D T E T D T 2()=100,()=100,()=1600,()=160000{1920}0.8}1P T P ≥=≥≈-Φ(0.8)X 11()0x x f x ⎧-≤≤=⎨⎩,,其它21Y X =+Y ()Y f y 312P Y ⎧⎫-<<⎨⎬⎩⎭12Y Y y F y y F y≤>时()=0,时()=1212,{}{1}()d Y y F yP Y y P X y f x x <≤≤=+≤=()=02d 1x y ==-2()=Y Y y f y F y≤⎧'⎨⎩1,1<()=0,其它3102Y YP Y F F ⎧⎫-<<=-=⎨⎬⎩⎭311()-(-1)=222(,)X Y {}110P X Y X +===(1)求常数; (2)求与的协方差,并问与是否独立?解: (1) (2分)由(2分) 可得 (1分)(2), , (3分) (2分) 由可知与不独立 (1分) 三、数理统计试题(25分)1、(8分) 题略. A 卷第3页共4页 证明:,相互独立(4分) ,(4分),p q X Y (,)Cov X Y X Y 1111134123p q p q ++++=+=,即{}{}{}{}{}101011010033P X Y X P Y X p P X Y X P X P X p +====+========+,,1p q ==EX 1()=2E Y 1()=-3E XY 1()=-6,-CovX Y E XY E X E Y ()=()()()=0..ij i j P P P ≠X Y 222(1)(0,1),(1)X n S N n χσ--22(1)X n S σ-2(1)X t n -(1)X t n -(10分) 题略解:似然函数 (4分)由 可得为的最大似然估计 (2分)由可知为的无偏估计量,为的有偏估计量 (4分) 、(7分) 题略 解: (2分)检验统计量,拒绝域 (2分)而 (1分)因而拒绝域,即不认为总体的均值仍为4.55 (2分)A 卷第4页共4页2221()(,)2n i i x L μμσσ=⎧⎫-=-⎨⎬⎩⎭∑2221()ln ln(2)ln() 222ni i x n n L μπσσ=-=---∑2222411()ln ln 0,022n ni i i i x x L L nμμμσσσσ==--∂∂===-+=∂∂∑∑221111ˆˆ,()n n i i i i x x n n μσμ====-∑∑2,μσ221ˆˆ(),()n nE E μμσσ-==11ˆn i i x n μ==∑μ2211ˆ()ni i x n σμ==-∑2σ01: 4.55: 4.55H H μμ=≠x z =0.025 1.96z z ≥=0.185 1.960.036z ==>0H。
概率论期末考试题及答案一、选择题(每题5分,共20分)1. 以下哪个事件是必然事件?A. 抛硬币正面朝上B. 抛硬币反面朝上C. 抛硬币出现正面或反面D. 抛硬币出现正面和反面2. 假设随机变量X服从正态分布N(μ, σ²),以下哪个选项是正确的?A. μ是X的期望值B. σ²是X的方差C. μ是X的中位数D. σ²是X的期望值3. 假设随机变量X和Y相互独立,以下哪个选项是正确的?A. P(X∩Y) = P(X)P(Y)B. P(X∪Y) = P(X) + P(Y)C. P(X∩Y) = P(X) + P(Y)D. P(X∪Y) = P(X)P(Y)4. 假设随机变量X服从二项分布B(n, p),以下哪个选项是正确的?A. X的期望值是npB. X的方差是np(1-p)C. X的期望值是nD. X的方差是p(1-p)二、填空题(每题5分,共20分)1. 如果随机变量X服从泊松分布,其概率质量函数为P(X=k) =________,其中λ > 0,k = 0, 1, 2, ...2. 假设随机变量X服从均匀分布U(a, b),其概率密度函数为f(x) = ________,其中a < x < b。
3. 假设随机变量X和Y相互独立,且X服从正态分布N(μ, σ²),Y 服从正态分布N(ν, τ²),则Z = X + Y服从正态分布N(μ+ν,________)。
4. 假设随机变量X服从二项分布B(n, p),其期望值E(X) = np,方差Var(X) = ________。
三、解答题(每题30分,共40分)1. 假设随机变量X服从正态分布N(0, 1),求P(-1 < X < 2)。
2. 假设随机变量X服从二项分布B(10, 0.3),求P(X ≥ 5)。
答案:一、选择题1. C2. A3. A4. A二、填空题1. λ^k * e^(-λ) / k!2. 1/(b-a)3. σ² + τ²4. np(1-p)三、解答题1. 根据标准正态分布表,P(-1 < X < 2) = Φ(2) - Φ(-1) =0.9772 - 0.1587 = 0.8185。
2005级本科班概率统计期末考试试卷一、(20分)计算下列各题1.(10分)甲、乙、丙三台车床加工同样的零件,生产出废品的概率分别为0.03, 0.02, 0.04, 现将加工出来的零件混在一起,并且已知甲、乙、丙生产的零件数之比为3:2:1,任取一零件,1)求取出零件为废品的概率。
2)若取出的零件为废品,问是乙车床加工的概率。
2.(10 分)已知R.V . X 的分布函数为(),F x A Barctgx x =+ -∞<<+∞1)求系数,A B . 2)求2Y X =的概率密度。
二、(30分)计算下列各题1.(10分)盒子中装有3只黑球,2只红球和2只白球,在其中任取4 只球,以X 表示取到黑球的只数,以Y 表示取到红球的只数。
求1)(,)X Y 的联合分布律;2)X ,Y 的边缘分布律;3){}2P X Y +≤.2.(12分)二维..(,)R V X Y 联合密度函数为()01(,)0A x y x y f x y +≤≤≤⎧=⎨⎩其他 1)求常数A. 2)求,X Y 的边缘密度函数。
3),X Y 是否独立,为什么?4) 求()E XY .3.(8分)设..,R V X Y 相互独立,其密度函数分别为201()0X x x f x <<⎧=⎨⎩,,其他, 0()0y Y e y f y -⎧>=⎨⎩其他 求Z X Y =+的密度函数。
三、(20分)计算下列各题1. (10分)设总体X 服从几何分布1{}(1),1,2,x P X x p p x -==-=,其中01p <<是未知参数,12,,,n X X X 是总体X 的容量为n 的样本,12,,,n x x x 为其观测值,求p 的极大似然估计。
2.(10分)已知某种液体存储罐的爆压指标X 服从正态分布2(,)N μσ,抽测7只存储罐,得爆压数据如下:548,549,550,545,550,551,545, 如果2σ未知,问爆压指标均值549μ=是否成立?(0.05)α=附:0.0250.025(6) 2.4469,(7) 2.3646.t t ==四、填空(30分)1.设111(),(),(),324P A P B P AB === 则()_____,P AB =()P A B =___ . 2. 设离散型..R V X 的分布律{},01,k k p P X k bλλ===<<1,2,,k = 则______.b = 3.(,)X B n p ,() 2.4,() 1.44,E X D X ==则____.p =4.,X Y 相互独立,()4,()3,D X D Y ==则(32)________.D X Y -=5.(,)X Y 的密度函数为2221(,)2x y f x y e π+-=,则{P X Y <+< ____________________.=(用标准正态分布函数()x Φ表示) 6.12,,,n X X X 是来自总体(0,6)U 的样本,1001i i Y X ==∑,由切比雪夫不等式{260340}_________.P Y <<≥7.总体212(,),,,,n X N X X X μσ为取自总体X 的样本. 11,ni i X X n ==∑则21()_______.n i i E X X =⎛⎫-= ⎪⎝⎭∑ 8.2,X S 分别是正态总体2(0,)N σ的样本均值和样本方差,样本容量为n ,则统计量22_______.nX S9.总体212(,),,,,n X N X X X μσ为取自总体X 的样本, 若2σ已知,则μ的置信度为1α-的置信区间为 .。
概率论与A 2007~2008学年第一学期《概率论与数理统计A 》期末试题(B )答案一、简单计算(每个题5分,共25分)1. 设B A ,为两事件,且p A P =)(,)()(AB P B A P =,求)(B P . 解:由于)(1)()(B A P B A P B A P -== …………2分 而)()()()(AB P B P A P B A P -+= …………2分 所以)()()()(1)()(AB P AB P B P A P B A P B A P =+--==即1)()(=+B P A P因而p A P B P -=-=1)(1)( …………1分2. 设随机变量X 的分布律为613121201-i p X ,而53-=X Y ,求 Y 的分布函数. 解:由于613121201-i p X ,所以613121158--i p Y …………2分所以Y 的分布函数为 ⎪⎪⎪⎩⎪⎪⎪⎨⎧≥<≤--<≤--<=.1,1,15,65,58,21,8,0)(y y y y y F Y …………3分3. 设总体)4,5(~N X 中随机抽取一容量为25的样本,求样本均值X 落在4.2到5.8之间的概率.解: 由于)4,5(~N X , 所以)254,5(~N X ………2分 所以9544.0129772.01)2(2)8.52.4(=-⨯=-Φ=<<X P………3分4. 设9名足球运动员在比赛前的脉搏(12秒)次数为11 13 12 13 11 12 12 13 11假设脉搏次数X 服从正态分布,12=X , 42=σ,求μ的置信水平为0.95的置信区间. 解:由于12=X , 42=σ,05.0=α,μ的置信区间为),(22n Z X n Z X σσαα+-…………3分即为)3067.13,6933.10(. …………2分5. 设总体X 服从泊松分布,1210,,,X X X 是来自X 的样本,求参数λ的矩估计.解: 由于)(~λP X ,所以λ=)(X E 而∑==101101i i X X …………2分 所以由矩估计的思想得: X X E =)( …………2分参数λ的矩估计为:∑==101101ˆi i X λ …………1分概率论与数理统计A 试题 班级 姓名 学号 第2 页 二、计算题(每题6分,共30分)1. 设离散型随机变量X 的分布函数为 ⎪⎪⎩⎪⎪⎨⎧≥+<≤-<≤--<=.2,,21,32,11,,1,0)(x b a x a x a x x F 且21)2(==X P .(1)求常数b a ,;(2)求X 的分布律. 解: (1)由分布函数的性质得1=+b a ,而且21)2(==X P …………2分 所以21322)32(=-+=--+b a a b a ,则65,61==b a . …………1分 (2)X 的分布律为i X p -112111632 …………3分2. 已知随机变量),1(~),,1(~p B Y p B X ,而Y X ,相互独立. (1)求),max(Y X U =的分布律;(2)求Y X V +=的分布律. 解: 联合分布律: 22)1()1()1()1,1()0,1()1,0()0,0(),(p p p p p p p Y X ij --- …………2分 ),max(Y X U =的分布律为: 22)1(1)1(10p p p U i --- …………2分 Y X V +=的分布律为: 222)(2)1(210p p p p p V i -- …………2分3. 已知随机变量)4,3(~U X ,求X e Y =的概率密度函数. 解:X e Y =的反函数y y h ln )(= …………2分 其概率密度函数为⎪⎩⎪⎨⎧<<='⋅=.,0,,1)())(()(43其它e y e y y h y h f y f X Y …………4分4. 设总体X 服从指数分布,参数为θ,12,,,n X X X 是来自X 的样本,求θ的最大似然估计量.解:由于)(~θe X ,则n X X X ,,,21 是来自总体X 的一个样本, 似然函数为 ∑===-=-∏n i i i x n n i x ee L 11111θθθθ …………3分 而 ∑=--=n i i x n L 11ln ln θθ …………1分 01ln 12=+-=∑=n i i xn d L d θθλ,所以 X =θˆ. …………2分5. 设4321,,,X X X X 是来自正态总体)2,0(2N 的简单随机样本,243221)43()2(X X b X X a Y -+-=,若统计量Y 服从2χ分布,则常数b a ,分别为多少?统计量Y 的自由度为多少?解:由于)100,0(~43)20,0(~24321N X X N X X -- 所以)1,0(~)2(21N X X a - ,所以201=a …………3分 )1,0(~)43(43N X X b -,所以1001=b . …………2分 所以)2(~2χY ,其自由度为2. …………1分概率论与数理统计A 试题 班 姓 学号 第 3 页 三、(9分)设某批产品中,甲、乙、丙三厂生产的产品分别占 %20%,35%,45,各厂的产品的次品率分别为%5%,2%,4,现从中任取一件,(1)求取到的是次品的概率;(2)经检验发现取到的产品是次品,求该产品是甲厂生产的概率. 解:设事件)3,2,1(=i A i 分别表示任取一件产品,该产品来自于甲、乙、丙厂, 设事件B 表示取到的是次品. (1))|()()|()()|()()(332211A B P A P A B P A P A B P A P B P ++= ………2分 05.02.002.035.004.045.0⨯+⨯+⨯= 035.0= ………2分 (2) 514.0035.004.045.0)()|()()|(111=⨯==B P A B P A P B A P ………5分 四、(12分)设随机变量X 的概率密度函数为 ⎪⎩⎪⎨⎧<<-<<=.,0,21,1,10,)(其它x x x x x f (1)求随机变量X 的分布函数;(2)令53+-=X Y ,求XY ρ;(3)判断Y X ,独立性. 解: ⎰∞-=x X dt t f x F )()( ………2分 ⎪⎪⎪⎩⎪⎪⎪⎨⎧≥<≤+-=-+<≤=≤=⎰⎰⎰.2,1,21,121,10,2,0,0211020x x x x dt t tdt x x tdt x x x …………6分(2)由于53+-=X Y ,根据相关系数的性质,易得1-=XY ρ.………2分(3)由于01≠-=XY ρ,所以Y X ,不独立.………2分五、(12分) 设随机变量),(Y X 在区域G 上服从均匀分布,G 为y 轴,x 轴与直线13+-=x y 所围城的区域. (1)求),(Y X 的联合概率密度及边 缘概率密度;(2)求)2(≤+Y X P .解: (1) 由题意知⎩⎨⎧∈=.,0;),(,6),(其它G y x y x f (2)分 ⎰+∞∞-=dy y x f x f X ),()(⎪⎩⎪⎨⎧<<+-==⎰+-.,0;310,6186130其它x x dy x ………4分⎰+∞∞-=dx y x f y f Y ),()(⎪⎩⎪⎨⎧<<+-==⎰--.,0;10,226310其它y y dx y………4分(2) 1),()2(==≤+⎰⎰Gdxdy y x f Y X P………2分概率论与数理统计A 试题 班级 姓 学 第 4 页 六、(12分)设421,,,X X X 是来自正态总体),(2σμN 的样本.其中σμ,未知,设有估计量)(31)(6143211X X X X T +++= 43212743X X X X T +-+= 421343X X X T +-= (1) 指出321,,T T T 中哪个是μ的无偏估计; (2) 在上述μ的无偏估计中指出哪一个较为有效. 解:由于μ=+++=)(31)(61)(43211EX EX EX EX T E ………2分 μ=+-+=43212743)(EX EX EX EX T E ………2分 0434213=+-=EX EX EX ET ………2分 所以21,T T 是μ的无偏估计. ………1分 (2) 243211185)(91)(361)(σ=+++=DX DX DX DX T D ………2分 2432127549169)(σ=+++=DX DX DX DX T D ………2分 因为)()(21T D T D <,所以1T 比2T 更有效. ……1分 95.0)65.1(=Φ, 975.0)96.1(=Φ, 9772.0)2(=Φ, 8413.0)1(=Φ, 017.36)25(2025.0=χ, 42.36)24(2025.0=χ。
2007级概率论与数理统计试卷A 卷参考答案一、 1. C注释:由“A ⊂B 成立”得P(A)=P(AB)()()(|)()()P AB P A P A B P B P B ==故 2. C 3. B 注释:参考课本86页 4.B 2sin 1A xdx π=⎰注释: ?5.6. B A 项参见课本64页,D 项参见课本86页二、 1. 2 注释:若X 服从Poisson 分布,则EX=λ,DX=λ。
(课本84页) 2. 12 注释:cov(X,Y)= r XY DX DY ⋅⋅。
(参考课本86页)3. 1/5 注释:运用等比求和公式S=1(1)1n a q q--4. 38.4 注释:22()(),(,),,E D E B n p E np D npq ξξξξξξ=+==对于5.p(x)=,00,0x e x x λλ-⎧>⎨≤⎩,211,E D ξξλλ==6. 0.2 注释:类似2006级试卷填空题第6题7.2/5三、(1)1/20; (2)14/15注释:(1)P(A)=224431078910C C C ,表示从、、、这四个数中选两个;(2)B =“三个号码中既含4又含6” 四、(1)C=4; (2)112()-20{1}41-3e ;xx y P dx e dy ξη--++<==⎰⎰(3)222__02__0(),()0_____00_____0()()(,),x y e x e y p x p y x y p x p y p x y ξηξηξη--⎧⎧≥≥==⎨⎨<<⎩⎩⋅=因故与独立?(4)22220022112,2221()41124x x E x e dx E x e dx D E E E D ξηξηξξξξξηη+∞+∞--=⋅==⋅==-===⎰⎰与独立,所以cov(,)=0故同理,,五、 0.9979 注释:运用全概率公式,类似2006级试卷第三题 六、 0.9525100(100,0.9),))85{85)1)1( 1.67)(1.67)0.9525X X B P X ⨯⨯≈Φ-Φ≥≈-Φ=-Φ-=Φ=注释:设这个部件中没有损坏部件数为, 则服从二项分布且有______EX=np=1000.9=90,DX=npq=900.1=9由拉普拉斯定理,b-EX a-EXP{a<X<b}((DX DX故至少须有个部件工作的概率为:85-90(9七、M=160,X ⨯⨯⨯≈⨯⨯≥≥≤≥≤注释:设出事人数为则有X B(5000000,0.0003)EX=50000000.0003=1500,DX=50000000.00030.99971500若要以99%的概率保证保险公司在此项保险中获得60万元以上的利润,则P{5000000M (1-40%)-X 300000600000}99%得P{X 10M-2}99%X-150010M-2-1500故需满足P{15001}99%99% 2.33159.22,160M M ≥Φ≥≈Φ≥=50010M-2-1500即()()1500解得故八、(1)课本98页辛欣大数定理(2)22222n 11221222211()0(1)()0()()[()]()211_____0(1)()()211,2,3,,()()0112)()2n n n n n n n k n k k k n n k k E n n n n nD E E E n n n n nk E E n n D n nn nξξξξξξξξξξξ++==+==⋅-+⋅+-⋅==-==⋅-+⋅+-⋅===⋅⋅⋅====⋅=∑∑∑由于令则______________________ D(由契比雪夫2n 0,2()|}1lim ()|}1}n n n n n E n E εξξεεξξεξ→∞>-<≥--<=不等式,对任意的有________________P{|故有P{|即{服从大数定律2008年概率论与数理统计试卷A 卷参考答案一、1.D 1(1)()X uu uP X u P σσ-+-≤+=≤注释:=1()σΦ2.C 注释:参考课本第8页3.A 注释:连续型随机变量在某一个点上的概率取值为零,故A 正确 ?B 项是否正确4.B 注释:参考课本86页5.A 二、 1. 1.33(或者填13591024) 2.25 注释:参考课本86页 3. 0.25 4. (X+Y )~B(7,p)注释:E(X)=3p,E(Y)=4p,故E(X+Y)=E(X)+E(Y)=3p+4p=7p;D(X)=3p(1-p),D(Y)=4p(1-p)且X 、Y 独立,故D(X+Y)=D(X)+D(Y)= 3p(1-p)+ 4p(1-p)设(X+Y )~B(n,P),则有E(X+Y)=7p=nPD(X+Y)=3p(1-p)+4p(1-p)=nP(1-P)⎧⎨⎩解得n=7,P=p 5. 2/52215041()5b 4(2)41(54)0,1 4.112555X f x ac X X X X P dx dx =∆=-=-⨯⨯-≥≤≥=+=⎰⎰的密度函数为方程有实根,则必须满足即或者故方程有实根的概率6. 0.3522(35)112(35),9322242{24}0.15,{}0.15333200.1532233202222}33333E X EX D X DX DX X P X P X σσσσσσσσσσσσσσ+==+===---<<=<<=ΦΦ=-ΦΦ----<=ΦΦΦ由得由得因故所以()-()所以()-()=0.3P{X<0}=P{()=[1-()-()]/2______=[1-0.3]/2=0.35?7. 相关 三、四、1__1___30.3_0.5_0.2(1)0.310.530.20.8X EX -⎛⎫⎪⎝⎭=-⨯+⨯+⨯= 五、10022201____02(1)()1___021____02()11_0211(2)(510)1)(2211(322_____012xx xx x x x e x f x e x e x F x e x P X e ex e dx x e dx EX x e dx x ---∞--∞-∞⎧≤⎪⎪=⎨⎪>⎪⎩⎧≤⎪⎪=⎨⎪->⎪⎩-<<=--⋅+⋅===⋅+⋅⎰⎰⎰0+0由题意故()EX=2021211___[22][22(2x x x x e dxx e xe e x DX EX ∞--∞=-++-=-=⎰+2EX)?六、2220001(0.005,0.035)0.0050.03510.02,(0.0350.005)0.000075212a 1(,),,())2120.0250.02520005020000{50}{i ii i i i i ii X i X U EX DX b X U a b EX DX b a Y X Y Y P Y P =+===-=+==-=<⨯=-⨯<=∑设为第台机床生产的次品率(注:对于均匀分布有设总次品率若要满足这批产品的平均次品率小于,则.025020000.02}(25.8)20000.00007520000.000075-⨯<=Φ⨯⨯A=B =B =B =B B B B (B )|)0.50.9|)0.540.83P A ⨯⨯⨯⋅⨯====甲乙丙乙甲丙甲甲甲甲设“取出的产品是正品”; 取出的产品是甲厂生产的” 取出的产品是乙厂生产的” 取出的产品是丙厂生产的”则P(A)=P(A )+P(A )+P(A ) =0.50.9+0.30.8+0.20.7=0.83P(A )P(A B P(B P(A)P(A)?试卷中没有给出(25.8)Φ的值,且直观上感觉(25.8)Φ的值太大了,故不能肯定题中的做法是否可行 七、____,0_______2________()0__________2________()0__________22(2)0,0a b a b aba x ab y b a x ax ab y by bEX x dx EY y dy a b ππππππ--=⎧-≤≤-≤≤⎪⎨⎪⎩⎧-≤≤⎪=⎨⎪⎩⎧-≤≤⎪=⎨⎪⎩=⋅==⋅=⎰⎰椭圆X Y (1)S 1故(x,y)的联合密度函数f(x,y)=ab其它X 的边缘密度函数f 其它Y 的边缘密度函数f 其它222222222222,2424,3344()25,()4335332(3),22()()a b a b a b EX x dx EY y dy a b a b DX EX EX DY EY EY a b a x a b y b x y a b πππππππππππ--=⋅==⋅==-===-====-≤≤-≤≤⋅=⋅≠⎰⎰X Y 解得,时,1f f ,故X与Y不独立ab八、555511___________5()1(1)(x z z Z dx ze dx e e F z z e ----≤⋅≤≤=-=-=--⋅-⎰⎰1z 1z的分布函数F(z)=P{Z z}=1-P(Z>z)=1-P{min(X,Y)>z}_______________=1-P(X>z,Y>z)=1-P(X>z)P(Y>z)当z 0时,P(X>z)=P(Y>z)=1故F(z)=1-1=0当0<z 1时,P(X>z)=P(Y>z)=故555555)z 1()1010__________________0()1(1)()__0_____________________0()65_______010_____________________1z z z e F z z F z z e e z f z e ze e z z ------>=-=≤⎧⎪=--⋅-≤⎨⎪⎩≤⎧⎪=--<≤⎨⎪>⎩当时,P(X>z)=0故所以0<z 11__________________z>12009年2学分参考答案一、解:设i A ={第i 枚弹道导弹击沉航空母舰},i B ={第i 枚弹道导弹击伤航空母舰} i C ={第i 枚弹道导弹没有击中航空母舰},i =1,2,3,4 D ={发射4枚弹道导弹能击沉航空母舰}()31=i A P ,()21=i B P ,()61=i C P ,i =1,2,3,4 43214321432143214321B C C UC C B C UC C C B UC C C C UB C C C C D =()()()()()()434432143214321432143216132161461=⨯⎪⎭⎫ ⎝⎛⨯+⎪⎭⎫ ⎝⎛=++++=B C C C P C B C C P C C B C P C C C B P C C C C P D P()()461311-=-=D P D P = 0.99 二、解:(1)A ={同花顺(5张同一花色连续数字构成)}()55255236)413(4C C A P =-⨯=(只要说明顺子的构成,分子40也算对) (2)A ={3张带一对(3张数字相同、2张数字相同构成)}()5522411234113C C C C C A P = (3)A ={3张带2散牌(3张数字相同、2张数字不同构成)}()552141421234113C C C C C C A P = 三、解:(1)设A ={被查后认为是非危险人物}, B ={过关的人是非危险人物},则()()()()()B A P B P B A P B P A P +=9428.005.004.098.096.0=⨯+⨯=()()()()998.0==A PB A P B P A B P(2)设需要n 道卡,每道检查系统是相互独立的,则Ci={第i 关危险人物被误认为非危险人物},{}n n C C P 05.01= ,所以999.005.01≥-n ,05.0ln 0001.0ln ≥n ,即1005.0ln 0001.0ln +⎥⎦⎤⎢⎣⎡=n =[3.0745]+1 = 4 四、解:当1=a 时,1=Y ,则()⎩⎨⎧>≤=1110y y y F Y当10<<a 时,当0≤y 时,()()0=<=y Y P y F Y ,()()0==dyy dF y f Y Y 当0>y 时,()()()y a X P y a P y F XY ln ln <=<=()⎪⎭⎫ ⎝⎛>=a y X P y F Y ln ln ⎪⎭⎫⎝⎛Φ-=⎪⎭⎫ ⎝⎛≤-=a y a y X P ln ln 1ln ln 1()()222)ln ln (21ln 1σμπσ--⋅-==a yY Y e a y dy y dF y f当1>a 时,当0≤y 时,()()0=<=y Y P y F Y ,()()0==dyy dF y f Y Y 当0>y 时,()⎪⎭⎫ ⎝⎛<=a y X P y F Y ln ln ⎪⎭⎫⎝⎛Φ=a y ln ln ()()222)ln ln (21ln 1σμπσ--⋅==a yY Y e a y dy y dF y f五、解:(1)E(X+Y)=6.0315.0314.0213.0103.0101.0114.023=+--=⨯+⨯+⨯+⨯+⨯--⨯--=b a b a174.015.014.013.012.003.002.001.014.0=++=+++++++++b a b a 联立解得:17.0=a ,09.0=b(2)X 的概率分布函数:-2-110.17 0.23 0.06 0.54(3)E(XY)=8.015.0214.0112.0114.0117.02=⨯+⨯+⨯-⨯+⨯六、解:95.01.0≥⎭⎬⎫⎩⎨⎧<-p n m P ,因()()1,0~1N np p p n m-- ()()95.011.01≥⎪⎪⎭⎪⎪⎬⎫⎪⎪⎩⎪⎪⎨⎧-<--n p p n p p p n m P ,()96.111.0975.0=≥-u np p ?不是u0.95吗?()()p p n -≥16.192;因为()4/11≤-p p ,取()4/6.192≥n =96.04即97=n七、解:(1)二维随机变量(X,Y)的联合概率密度:⎩⎨⎧<<<<=others by a x ab y x f ,00,0,/1),( 边缘概率密度:⎩⎨⎧<<=others a x a x f X ,00,/1)(,⎩⎨⎧<<=others by b y f Y ,00,/1)((2)36)12/1(,12)12/1(22====b DY a DX ,312,12==b a (3)随机变量X 与Y 相互独立,因为)()(),(y f x f y x f Y X =八、解: 3330||33||33||||)(||)(||)()|(|t ct E x dF tx x dF t x x dF t P x t x t x ==≤≤=>⎰⎰⎰≥>>ξξ 九、解:(1)dx Axydy dxdy y x f ⎰⎰⎰⎰⎪⎭⎫ ⎝⎛=+∞∞-+∞∞-1010),(4A ==1,A =4 (2)P(X<0.4,Y<1.3)=16.044.0010=⎪⎭⎫ ⎝⎛⎰⎰dx xydyX(3)⎰⎰⎪⎭⎫ ⎝⎛=++10104dx xydy e Eesy tx sYtX ⎰⎰⎪⎪⎭⎫ ⎝⎛-⎪⎪⎭⎫ ⎝⎛=10101014dx dy e s sye x e sy sytx ⎪⎪⎭⎫ ⎝⎛+-⎪⎪⎭⎫ ⎝⎛+-=2222114t t e t e s s e s e t t s s (4)32410102=⎪⎭⎫ ⎝⎛=⎰⎰dx ydy x EX ,214101032=⎪⎭⎫ ⎝⎛=⎰⎰dx ydy x EX ()91942122=-=-=EX EX DX ,()=XY E 944101022=⎪⎭⎫ ⎝⎛⎰⎰dx dy y x ()0323294,=⨯-=⋅-=EY EX EXY Y X Cov十、解:(1)设ξ表示该观众答对题数, ,2,1,0=ξ 则第ξ+1次解答答错(即首次出错)。
概率论期末考试试题和答案### 概率论期末考试试题#### 第一部分:选择题(每题2分,共20分)1. 事件A和事件B是互斥的,如果P(A)=0.3,P(B)=0.4,那么P(A∪B)的值是:A. 0.1B. 0.3C. 0.7D. 0.52. 若随机变量X服从参数为λ的泊松分布,那么P(X=k)的表达式是:A. \( e^{-\lambda}\lambda^k / k! \)B. \( \lambda^k / e^{\lambda} \)C. \( e^{-k}\lambda^k / k! \)D. \( k! / \lambda^k e^{\lambda} \)3. 以下哪个不是随机变量的期望值的性质?A. 线性B. 非负性C. 可加性D. 可分解性4. 两个事件A和B独立,如果P(A)=0.6,P(B)=0.5,那么P(A∩B)的值是:A. 0.3B. 0.5C. 0.6D. 0.35. 随机变量X和Y的协方差Cov(X,Y)表示的是:A. X和Y的平均值B. X和Y的方差C. X和Y的线性相关性D. X和Y的独立性6. 如果随机变量X服从标准正态分布,那么P(X<0)的值是:A. 0.5B. 0.3C. 0.7D. 0.257. 以下哪个是大数定律的表述?A. 随机变量的期望值等于其观察值的平均值B. 随机变量的方差随着观察次数的增加而减小C. 随机变量的观察值的平均值随着观察次数的增加而趋于稳定D. 随机变量的观察值的方差随着观察次数的增加而趋于稳定8. 以下哪个是中心极限定理的结论?A. 独立同分布的随机变量之和的分布趋近于正态分布B. 独立同分布的随机变量之差的分布趋近于正态分布C. 独立同分布的随机变量之积的分布趋近于正态分布D. 独立同分布的随机变量之比的分布趋近于正态分布9. 以下哪个是马尔可夫链的性质?A. 状态转移概率只依赖于当前状态B. 状态转移概率只依赖于初始状态C. 状态转移概率只依赖于最终状态D. 状态转移概率依赖于所有历史状态10. 以下哪个是贝叶斯定理的应用?A. 根据先验概率和似然函数计算后验概率B. 根据后验概率和先验概率计算似然函数C. 根据似然函数和后验概率计算先验概率D. 根据先验概率和后验概率计算似然函数#### 第二部分:简答题(每题10分,共30分)1. 解释什么是条件概率,并给出一个实际的例子。
考试课程: 班级: 姓名: 学号: ------------------------------------------------- 密 ---------------------------------- 封 ----------------------------- 线 ---------------------------------------------------------第 1 页(共 2 页)1)求b a ,应知足的条件;2)假设X 与Y 彼此独立,求b a ,的值。
7已知持续型随机变量),(Y X 的概率密度函数⎪⎩⎪⎨⎧≤≤≤≤=其它情况00,404),(x y x Axy y x f ,求:1)常数A ;2)边缘概率密度)(y f Y 。
8 设n X X X ,,,21⋅⋅⋅是来自整体X 的样本,整体X 的概率密度函数为⎪⎩⎪⎨⎧<<+=其它情况010)1(),(x x x f βββ,其中β未知,且1->β。
求 1)β的矩估量量;2)β的极大似然估量量。
三 应用题(每题8分,共16分)1 已知某种材料的抗压强度),(~2σμN X ,现随机地抽取9个试件进行抗压实验(单位Pa 510),测得样本均值50.457=x ,样本方差2222.35=s 。
已知2230=σ,求整体均值μ的95%的置信区间。
(注:8331.1)9(,2622.2)9(,645.1,96.105.0025.005.0025.0====t t z z )2某中电子元件要求其寿命不得低于10小时,今在生产的一批元件中随机抽取25件,测得其寿命的平均值为小时,样本标准差为小时,设元件寿命整体服从正态散布,问在显著水平05.0=α下这批元件是不是合格?(注:0639.2)24(,7081.1)25(,7109.1)24(025.005.005.0===t t t ,0595.2)25(025.0=t )四 证明题(共6分)设n X X X ,,,21⋅⋅⋅是来自整体X 的一个样本,设μ=EX ,2σ=DX ,其中∑==n i i X n X 11,212)(11∑=--=n i i X X n S ,证明:22)(σ=S E 。
概率论期末考试题及答案概率论是一门研究随机现象及其规律性的数学分支。
以下是一套概率论期末考试题及答案,供参考。
一、选择题(每题2分,共20分)1. 事件A和事件B是互斥的,P(A)=0.3,P(B)=0.4,那么P(A∪B)等于多少?A. 0.1B. 0.7C. 0.35D. 0.6答案:B2. 抛一枚均匀的硬币两次,求正面朝上的次数为1的概率。
A. 0.25B. 0.5C. 0.75D. 1答案:B3. 随机变量X服从参数为λ的泊松分布,求P(X=1)。
A. λB. λe^(-λ)C. e^(-λ)D. 1/λ答案:B4. 某工厂有5台机器,每台机器正常工作的概率都是0.9,求至少有3台机器正常工作的概率。
A. 0.999B. 0.99C. 0.95D. 0.9答案:C5. 一个骰子连续抛掷两次,求点数之和为7的概率。
A. 1/6B. 1/3C. 5/36D. 2/9答案:C二、填空题(每题2分,共10分)6. 随机变量X服从正态分布N(μ, σ²),其密度函数的峰值出现在X=______。
答案:μ7. 假设事件A和B相互独立,P(A)=0.6,P(B)=0.5,则P(A∩B)=______。
答案:0.38. 某随机试验中,事件A发生的概率为0.2,事件B发生的概率为0.3,且P(A∪B)=0.4,则P(A∩B)=______。
答案:0.19. 连续型随机变量X的分布函数F(x)=1-e^(-λx),其中λ>0,当x≥0时,X服从______分布。
答案:指数10. 假设随机变量X服从二项分布B(n, p),求其期望E(X)=______。
答案:np三、简答题(每题10分,共30分)11. 简述什么是条件概率,并给出条件概率的公式。
答案:条件概率是指在某个事件已经发生的条件下,另一个事件发生的概率。
条件概率的公式为P(A|B) = P(A∩B) / P(B),其中 P(A|B) 表示在事件B发生的条件下事件A发生的概率,P(A∩B) 是事件A和B 同时发生的概率,P(B) 是事件B发生的概率。
深圳大学期末考试试卷参考解答及评分标准
命题人(签字) 审题人(签字) 年 月 日 题号 一 二 三 四 五 六 七 八 九 十 基本题总分
附加题
得分
评卷人
第一部分 基本题
一、选择题(共6小题,每小题5分,满分30分。
在每小题给出的四个选项中,只有一个是符合题目要求的,把所选项前的字母填在题后的括号内)(每道选择题选对满分,选错0分)
1. 如果事件A 与事件B 满足A B =∅, 则 ( ) (A) 事件A 与事件B 互不相容 (B) 事件A 与事件B 相互独立 (C) 事件A 与事件B 为相容事件 (D) 事件A 与事件B 互为对立事件 答:选A ,由互不相容事件的定义可知。
2. 假设事件A 与事件B 互为对立,则( ) (A) P (A )P (B )=P (A B ) (B) A B =∅ (C) P (A )+P (B )>1 (D) P (B )=1-P (A ) 答:选D ,由加法定理得。
3. 已知随机变量X 1,X 2,X 3相互独立,且都服从标准正态分布,令123
3
X X X X ++=,则
222123()()()X X X X X X -+-+-服从 ( ) (A) 自由度为3的χ2分布 (B) 自由度为2的χ2分布 (C) 自由度为3的F 分布 (D) 自由度为2的F 分布 答:选B ,由n 个相互独立服从标准正态分布的样本X 1, ,X n 满足221()~(1)
n
i i X X n χ=--∑可得。
4. 已知随机变量X ~N (2,4),Y =2X -4, 则( ) (A) Y ~N (2,8) (B) Y ~N (2,16) (C) Y ~N (0,8) (D) Y ~N (0,16) 答:选D ,因E (Y )=2E (X )-4=0, D (Y )=D (2X )=4D (X )=16。
5. 样本(X 1,X 2,X 3)取自总体X ,E (X )=μ, D (X )=σ2, 则有( )
(A) X 1+X 2-X 3是μ的无偏估计 (B) 123
2X X X ++是μ的无偏估计
(C) 22
X 是σ2
的无偏估计
(D) 2
1233X X X ++⎛⎫ ⎪
⎝⎭
是σ2的无偏估计 答:选A ,因E (X 1+X 2-X 3)=E (X 1)=E (X )。
6. 随机变量X 服从在区间(0,1)上的均匀分布,Y =2X +1则( ) (A) Y 服从在区间(0,2)上的均匀分布 (B) Y 服从在区间(1,2)上的均匀分布 (C) Y 服从在区间(1,3)上的均匀分布 (D) Y 服从在区间(2,3)上的均匀分布 答:选C ,由均匀分布的性质可知。
二、填空题(共6小题,每小题5分,满分30分。
把答案填在题中横线上) 1. 两封信随机地投入四个邮筒,则前两个邮筒内没有信的概率是_______
答:填0.25或14,根据古典概型,所求概率2221
44
==。
_____________ ________
学院 专业 姓名 学号
( 密 封 线 内 不 答 题 ) ………………………………………密………………………………………………封………………………………………线………………………………
2. 一批产品中,一、二、三等品率分别为0.8、0.16、0.04,若规定一、二等品为合格品,则产品的合格率为______
答:填0.96,因一、二等品的互不相容性,合格率是一等品率与二等品率之和。
3. 电灯泡使用寿命在1000小时以上的概率为0.2,则3个灯泡在使用1000小时后,最多只有一个坏了的概率为______
答:填0.104,因为3个灯泡使用1000小时后坏的数目X ~b (3,0.2),由二项分布公式算得P {X ≤1}=0.104。
4. 已知随机变量X ~N (2,4),Y =2X +3, 则P {Y >7}= _______
答:填0.5,因为E (Y )=E (2X +3)=2E (X )+3=7, 则正态分布大于均值的概率总为0.5。
5. 假设X ~b (10, 0.4)(二项分布), Y ~N (1, 6), X 与Y 相互独立,则D (X +Y )=________ 答:填8.4,因D (X )=10⨯0.4⨯0.6=2.4, 由X 与Y 相互独立知D (X +Y )=D (X )+D (Y )=2.4+6=8.4。
6. 已知随机变量X 的概率密度函数为2,01,()0,,x x f x <<⎧=⎨⎩其它则P {X <0.5}=________
答:填0.25,因0.50
()d 0.25f x x =⎰。
三、一个机床有1/3的时间加工零件A ,其余时间加工零件B ,加工零件A 时,停机的概率
是0.3,加工零件B 时,停机的概率是0.4,求这个机床停机的概率。
(10分) 解:设事件C 为“加零件A ”,D 为“机床停机”,则根据全概率公式有
()()(|)()(|)
12
0.30.40.36733
P D P C P D C P C P D C =+=⨯+⨯= 四、已知100个产品中有10个次品,求任意取出的5个产品中次品数的期望值。
(10分)
解:定义随机变量X i , i =1,2,3,4,5,如果取出的第i 个产品为次品,则X i 取1,否则取0,因此X i 服从0-1分布,P {X i =1}=10/100=0.1, 则E (X i )=0.1, i =1,2,3,4,5. 任意取出5个产品中的次品数X =X 1+X 2+X 3+X 4+X 5,因此
E (X )=E (X 1)+E (X 2)+E (X 3)+E (X 4)+E (X 5)=5⨯0.1=0.5
五、两个随机变量X 与Y ,已知D (X )=25, D (Y )=36, ρXY =0.4, 计算D (X +Y )与D (X -Y )。
(10分) 解:由题意得cov(X ,Y )=5⨯6⨯0.4=12
D (X +Y )=D (X )+D (Y )+2cov(X ,Y )=25+36+24=85 D (X -Y )=D (X )+D (Y )-2cov(X ,Y )=25+36-24=37
六、打包机装糖入包,每包标准重为100kg 。
每天开工后,要检验所装糖包的总体期望值是否合乎标准(100kg)。
某日开工后,测得9包糖重如下(单位:kg): 99.3 98.7 100.5 101.2 98.3 99.7 99.5
102.1 100.5
打包机装糖的包重服从正态分布,问该打包机工作是否正常(α=0.05)? (须给出严格的假设检验计算过程,不能够乱猜) (10分)
解:首先给出待检假设H 0:μ=100,计算出样本均值为99.98x =,样本标准差为s =1.212, 样本容量n =9, 查t 分布表得t 0.025(8)=2.306, 计算出统计量1000.023
0.0501.212/9
x t s --⨯=
==- 因为|t |=0.05< t 0.025(8)=2.306, 因此接受原假设H 0,即认为打包机工作是正常的。
附:标准正态分布函数表2
2
1()e
d 2u x
x u π
-
-∞
Φ=
⎰
Φ(x )
0.9 0.95 0.975 0.99
x
1.281551 1.644853 1.959961
2.326342
t 分布表P {t (n )>t α(n )}=α α N
0.1 0.05 0.025 8 1.3968 1.8595 2.3060 9 1.3830 1.8331 2.2622 10
1.3722
1.8125
2.2281
第二部分 附加题
附加题1 设离散型随机变量X~P (λ),又设x 1,x 2, ,x n 是X 的一组样本观测值,求参数λ的最大似然估计值。
(15分) 解:因总体X 的分布率为{}e (0,1,2,)!
k
P X k k k λλ-==
= 则似然函数L 为
1
e !
i
x
n
i i L x λλ-==∏
1
1
ln ln ln !n
n
i i i i L n x x λλ===-+-∑∑
令 1
d ln 10d n i i L n x λλ==-+=∑
解得λ的最大似然估计值为:1
1ˆn
i
i x x n λ===∑。
附加题2 证明事件在一次试验中发生次数的方差不超过1/4。
(15分)
证:任何事件在一次试验中发生次数X ~b (1,p ),p 是一次试验中事件发生的概率。
因此将方差描述为p 的函数g (p )=D (X )=p (1-p )=p -p 2, 因此
d 12d g
p p
=- (1)
22
d 20d g
p
=-< (2)
为求函数g (p )的极值,令
d 120d g
p p
=-=,解得当12p =时g (p )取得极值,而由(2)式知g (p )
在此处取得最大值1
14
2g ⎛⎫= ⎪⎝⎭,所以D (X )=g (p )≤14。