六十甲子天克地冲表
- 格式:pdf
- 大小:31.63 KB
- 文档页数:2
六十甲子日时辰吉凶神煞速查(2016-11-24 13:52:50)己丑日时局》正冲癸未杀在东。
的呼丁未。
胎神占门厕外正北。
甲子时冲戊午杀在南,神占踝。
六合。
大进。
罗纹交贵。
乙丑时冲己未杀在东,神占头。
唐符。
日建。
不遇。
朱雀。
丙寅时冲庚申杀在北,神耳目。
喜神。
金匮。
国印。
天兵。
丁卯时冲辛酉杀在西,神占面。
天赦。
宝光。
天德。
黄道。
戊辰时冲壬戌杀在南,神占颈。
时居日贵。
六戊。
白虎。
己巳时冲癸亥杀在东,神占乳。
三合。
帝旺。
玉堂。
大退。
庚午时冲甲子杀在北,神占胸。
禄贵。
交驰。
贪狼。
地兵。
辛未时冲乙丑杀在西,神占腹。
日破。
大凶。
诸事。
勿用。
壬申时冲丙寅杀在南,神占心。
司命。
贵人。
左辅。
路空。
癸酉时冲丁卯杀在东,神占膝。
三合。
长生。
天贼。
路空。
甲戌时冲戊辰杀在北,神占腰。
青龙。
进贵。
武曲。
日刑。
乙亥时冲己巳杀在西,神占股。
明堂。
木星。
驿马。
不遇。
己卯日时局》正冲癸酉杀在西。
的呼丁亥己亥。
胎神占大门外正西。
甲子时冲戊午杀在南,神占踝。
贵人。
大进。
司命。
五合。
乙丑时冲己未杀在东,神占头。
唐符。
武曲。
勾陈。
不遇。
丙寅时冲庚申杀在北,神耳目。
喜神。
青龙。
天兵。
狗食。
丁卯时冲辛酉杀在西,神占面。
天赦。
日建。
明堂。
黄道。
戊辰时冲壬戌杀在南,神占颈。
武曲。
天刑。
六戊。
雷兵。
己巳时冲癸亥杀在东,神占乳。
驿马。
帝旺。
朱雀。
大退。
庚午时冲甲子杀在北,神占胸。
金匮。
日禄。
福德。
地兵。
辛未时冲乙丑杀在西,神占腹。
三合。
天德。
福星。
宝光。
壬申时冲丙寅杀在南,神占心。
罗纹交贵。
旬空。
路空。
癸酉时冲丁卯杀在东,神占膝。
日时正冲。
诸事勿用。
甲戌时冲戊辰杀在北,神占腰。
天地合格。
天牢。
黑道。
乙亥时冲己巳杀在西,神占股。
三合。
木星。
左辅。
不遇。
己巳日时局》正冲癸亥杀在东。
的呼甲辰己未。
胎神占门床外正南。
甲子时冲戊午杀在南,神占踝。
贵人。
大进。
贪狼。
白虎。
乙丑时冲己未杀在东,神占头。
三合。
玉堂。
唐符。
不遇。
丙寅时冲庚申杀在北,神耳目。
天官。
喜神。
天克地冲详解(有表格)天克地冲:什么叫做天克地冲?天克地冲就是天⼲五⾏被克,地⽀五⾏被冲。
⽐如甲⼦逢庚午就是天克地冲,天⼲庚⾦克甲⽊,地⽀⼦午相冲。
丁卯逢癸⾣就是天克地冲,天⼲癸⽔克丁⽕,地⽀卯⾣相冲。
天⼲五⾏:甲、⼄属⽊,丙、丁属⽕,戊、⼰属⼟,庚、⾟属⾦,壬、癸属⽔。
天⼲相克:甲⼄⽊克戊⼰⼟,丙丁⽕克庚⾟⾦,戊⼰⼟克壬癸⽔,庚⾟⾦克甲⼄⽊,壬癸⽔克丙丁⽕。
⼗⼆地⽀五⾏:⼦属⽔,丑属⼟,寅卯属⽊,⾠属⼟,巳午属⽕,未属⼟,申⾣属⾦,戌属⼟,亥属⽔。
地⽀相冲:⼦午相冲,丑未相冲,寅申相冲,卯⾣相冲,⾠戌相冲,巳亥相冲。
按照命理学来说,在预测实践中对天克地冲的表现⼀直⾮常重视。
事实证明,天克地冲,因为同时牵扯到天⼲、地⽀的变动,因此⼀般都是会有明显吉与凶事象的年份。
那么,是吉,还是凶呢?情况不能⼀概⽽论,要看冲克以后的结果是对⽤神有利,还是对忌神有利,从⽽来判断吉凶。
特别是当年流年的太岁,是⾮常重要的,因为太岁掌⼀年⼤权,对于当年吉凶祸福有相当⼤的决定权。
⽉⽇天冲地克,在⼋字中是常见的事,⼀般没有明显的害处。
可能会出现⾃⼰和妻⼦与⽗母不和谐的现象。
其实,事在⼈为,合与不合,还在于双⽅的态度。
天⼲:甲⼄丙丁戊⼰庚⾟壬癸甲⼄地⽀:⼦丑寅卯⾠巳午未申⾣戌亥天⼲克:甲⼄⽊克戊⼰⼟,丙丁⽕克庚⾟⾦,戊⼰⼟克壬癸⽔,庚⾟⾦克甲⼄⽊,壬癸⽔克丙丁⽕。
地⽀冲:是⼦午相冲,丑未相冲,寅申相冲,卯⾣相冲,⾠戌相冲,巳亥相冲。
天⼲和五合:甲⼰合⼟,⼄庚合⾦,丙⾟合⽔,丁壬合⽊,戊癸合⽕。
天⼲和四冲:甲庚相冲,⼄⾟相冲、丙壬相冲、丁癸相冲。
天⼲和六神:甲⼄为主管喜庆、酒⾊的青龙;丙丁是主管⽂书、⼝⾆的朱雀;戊是主管忧虑、牢狱的勾陈;⼰是主管虚惊、怪异、虚诈的螣蛇;庚⾟是主管⾎光、丧服、凶暴的⽩虎;壬癸是主管匪盗、暗昧、狡诈的⽞武。
天⼲和⼈体:甲是头和胆,⼄是肩和肝,丙是额和⼩肠,丁是齿⾆和⼼,戊是胃和肋胁,⼰是脸和脾,庚是筋和⼤肠,⾟是胸和肺,壬是胫和膀胱,癸是⾜、肾和精⼦。
六十甲子刑冲克害生比和命学精华《武陵出版社?梁湘润》1[甲子]甲子天比地比:甲子。
甲子天克地比:戊子。
甲子克天地比:庚子。
甲子天比地合:甲申、甲辰。
甲子天克地合:戊申、戊辰。
甲子克天地合:庚申、庚辰。
甲子天比地冲:甲午。
甲子天克地和:己丑。
甲子克天地和:辛丑。
甲子天比地刑:甲午。
甲子天克地冲:戊午。
甲子克天地冲:庚午。
甲子天合地和:己丑。
甲子天克地刑:戊午、己酉、甲子克天地刑:庚午、辛酉、甲子天合地刑:己酉、己卯。
己卯。
辛卯。
甲子天生地比:丙子。
甲子生天地比:壬子。
甲子生天地和:癸丑。
甲子天生地合:丙申、丙辰。
甲子生天地合:壬申、壬辰。
甲子生天地冲:壬午。
甲子天生地和:丁丑。
甲子天生地刑:丙午、丁酉、甲子生天地刑:壬午、癸酉、甲子天生地冲:丙午。
丁卯。
癸卯。
1[甲子]01. 天合地合:己丑。
02. 天合地冲: 03. 天合地刑:己卯。
04. 天比地合:甲申、甲辰。
05. 天比地冲:甲午。
06. 天比地刑: 07. 天克地冲:戊午。
08. 克天地冲:庚午。
09. 天生地冲:丙午。
10. 生天地冲:壬午。
11. 天生地合:丁丑。
12. 生天地合:癸丑。
13. 天生地刑:丁卯。
14. 生天地刑: 15. 地比天克:戊子。
16. 地比克天:庚子。
17. 地比天合: 18. 天克地刑:辛卯。
19. 克天地刑: 20. 伏吟 :甲子。
21. 返吟 :庚午。
22. 空亡 :戌、亥。
23. 冲空 :辰、巳。
[甲日主]01. 亥时:四柱带乙则差。
子时:通月贵命。
午时:祖业难存。
02. 酉时:秋生者,贵。
丑时:家财有损。
未时:象成高命。
03. 申时:见壬则漂另。
寅时:通月富命。
申时:劳碌辛勤。
04. 午时:秋生者,祖业不靠。
卯时:不托祖业。
酉时:通月富贵。
05. 卯时:难承祖荫。
辰时: 戌时:失令难保双亲。
06. 戌时:秋生者,双亲难靠。
巳时:多有进退。
亥时:破损财基。
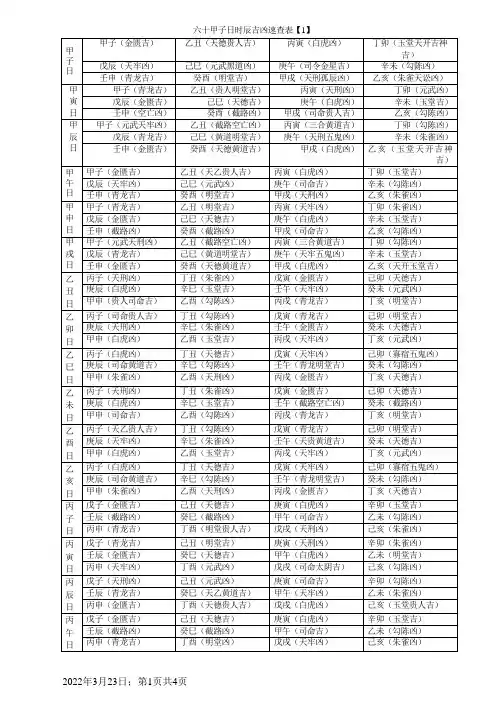
六十甲子日吉凶时辰甲子日甲子(金匮吉)乙丑(天德贵人吉)丙寅(白虎凶)丁卯(玉堂天开吉神吉)戊辰(天牢凶)己巳(元武黑道凶)庚午(司命金星吉)辛未(勾陈凶)壬申(青龙吉)癸酉(明堂吉)甲戌(天刑孤辰凶)乙亥(朱雀天讼凶)甲寅日甲子(青龙吉)乙丑(贵人明堂吉)丙寅(天刑凶)丁卯(元武凶)戊辰(金匮吉)己巳(天德吉)庚午(白虎凶)辛未(玉堂吉)壬申(空亡凶)癸酉(截路凶)甲戌(司命贵人吉)乙亥(勾陈凶)甲辰日甲子(元武天牢凶)乙丑(截路空亡凶)丙寅(三合黄道吉)丁卯(勾陈凶)戊辰(青龙吉)己巳(黄道明堂吉)庚午(天刑五鬼凶)辛未(朱雀凶)壬申(金匮吉)癸酉(天德黄道吉)甲戌(白虎凶)乙亥(玉堂天开吉神吉)甲午日甲子(金匮吉)乙丑(天乙贵人吉)丙寅(白虎凶)丁卯(玉堂吉)戊辰(天牢凶)己巳(元武凶)庚午(司命吉)辛未(勾陈凶)壬申(青龙吉)癸酉(明堂吉)甲戌(天刑凶)乙亥(朱雀凶)甲申日甲子(青龙吉)乙丑(明堂吉)丙寅(天牢凶)丁卯(朱雀凶)戊辰(金匮吉)己巳(天德吉)庚午(白虎凶)辛未(玉堂吉)壬申(截路凶)癸酉(截路凶)甲戌(司命吉)乙亥(勾陈凶)甲戌日甲子(元武天刑凶)乙丑(截路空亡凶)丙寅(三合黄道吉)丁卯(勾陈凶)戊辰(青龙吉)己巳(黄道明堂吉)庚午(天牢五鬼凶)辛未(玉堂吉)壬申(金匮吉)癸酉(天德黄道吉)甲戌(白虎凶)乙亥(天开玉堂吉)乙丑日丙子(天刑凶)丁丑(朱雀凶)戊寅(金匮吉)己卯(天德吉)庚辰(白虎凶)辛巳(玉堂吉)壬午(天牢凶)癸未(元武凶)甲申(贵人司命吉)乙酉(勾陈凶)丙戌(青龙吉)丁亥(明堂吉)乙卯日丙子(司命贵人吉)丁丑(勾陈凶)戊寅(青龙吉)己卯(明堂吉)庚辰(天刑凶)辛巳(朱雀凶)壬午(金匮吉)癸未(天德吉)甲申(白虎凶)乙酉(玉堂吉)丙戌(天牢凶)丁亥(元武凶)乙巳日丙子(白虎凶)丁丑(天德吉)戊寅(天牢凶)己卯(寡宿五鬼凶)庚辰(司命黄道吉)辛巳(勾陈凶)壬午(青龙明堂吉)癸未(勾陈凶)甲申(朱雀凶)乙酉(天刑凶)丙戌(金匮吉)丁亥(天德吉)乙未日丙子(天刑凶)丁丑(朱雀凶)戊寅(金匮吉)己卯(天德吉)庚辰(白虎凶)辛巳(玉堂吉)壬午(截路空亡凶)癸未(截路凶)甲申(司命吉)乙酉(勾陈凶)丙戌(青龙吉)丁亥(明堂吉)乙酉日丙子(天乙贵人吉)丁丑(勾陈凶)戊寅(青龙吉)己卯(明堂吉)庚辰(天牢凶)辛巳(朱雀凶)壬午(天贵黄道吉)癸未(天德吉)甲申(白虎凶)乙酉(玉堂吉)丙戌(天牢凶)丁亥(元武凶)乙亥日丙子(白虎凶)丁丑(天德吉)戊寅(天牢凶)己卯(寡宿五鬼凶)庚辰(司命黄道吉)辛巳(勾陈凶)壬午(青龙明堂吉)癸未(勾陈凶)甲申(朱雀凶)乙酉(天刑凶)丙戌(金匮吉)丁亥(天德吉)丙子日戊子(金匮吉)己丑(天德吉)庚寅(白虎凶)辛卯(玉堂吉)壬辰(截路凶)癸巳(截路凶)甲午(司命吉)乙未(勾陈凶)丙申(青龙吉)丁酉(明堂贵人吉)戊戌(天刑凶)己亥(朱雀凶)丙寅日戊子(青龙吉)己丑(明堂吉)庚寅(天刑凶)辛卯(朱雀凶)壬辰(金匮吉)癸巳(天德吉)甲午(白虎凶)乙未(明堂吉)丙申(天牢凶)丁酉(元武凶)戊戌(司命太阴吉)己亥(勾陈凶)丙辰日戊子(天刑凶)己丑(元武凶)庚寅(司命吉)辛卯(勾陈凶)壬辰(青龙吉)癸巳(天乙黄道吉)甲午(天牢凶)乙未(朱雀凶)丙申(金匮吉)丁酉(天德贵人吉)戊戌(白虎凶)己亥(玉堂贵人吉)丙午日戊子(金匮吉)己丑(天德吉)庚寅(白虎凶)辛卯(玉堂吉)壬辰(截路凶)癸巳(截路凶)甲午(司命吉)乙未(勾陈凶)丙申(青龙吉)丁酉(明堂凶)戊戌(天牢凶)己亥(朱雀凶)丙申日戊子(青龙吉)己丑(明堂吉)庚寅(天刑凶)辛卯(朱雀凶)壬辰(金匮吉)癸巳(天德吉)甲午(白虎凶)乙未(玉堂吉)丙申(天牢凶)丁酉(元武凶)戊戌(司命吉)己亥(勾陈凶)丙戌日戊子(天牢凶)己丑(元武凶)庚寅(司命吉)辛卯(勾陈凶)壬辰(天乙贵人吉)癸巳(贵人明堂吉)甲午(天刑凶)乙未(朱雀凶)丙申(金匮吉)丁酉(天德吉)戊戌(白虎凶)己亥(玉堂吉)丁丑日庚子(天刑凶)辛丑(朱雀凶)壬寅(金匮吉)癸卯(天德吉)甲辰(白虎凶)乙巳(玉堂吉)丙午(天牢凶)丁未(元武凶)戊申(司命吉)己酉(勾陈凶)庚戌(青龙吉)辛亥(明堂贵人吉)丁卯日庚子(司命吉)辛丑(勾陈凶)壬寅(青龙天贵吉)癸卯(明堂吉)甲辰(天刑凶)乙巳(朱雀凶)丙午(金匮吉)丁未(天德贵人吉)戊申(白虎凶)己酉(玉堂贵人吉)庚戌(天牢凶)辛亥(元武凶)丁巳日庚子(白虎凶)辛丑(玉堂吉)壬寅(截路凶)癸卯(截路凶)甲辰(司命玉堂吉)乙巳(勾陈凶)丙午(青龙吉)丁未(明堂吉)戊申(天刑凶)己酉(朱雀凶)庚戌(金匮吉)辛亥(天德贵人吉)丁未日庚子(天刑凶)辛丑(朱雀凶)壬寅(金匮吉)癸卯(天德吉)甲辰(白虎凶)乙巳(玉堂吉)丙午(天牢凶)丁未(元武凶)戊申(司命吉)己酉(勾陈凶)庚戌(青龙吉)辛亥(明堂贵人吉)丁酉日庚子(司命黄道吉)辛丑(勾陈凶)壬寅(天贵青龙吉)癸卯(天乙明堂吉)甲辰(天刑凶)乙巳(朱雀凶)丙午(金匮吉)丁未(天德吉)戊申(白虎凶)己酉(玉堂贵人吉)庚戌(天牢凶)辛亥(元武凶)丁亥日庚子(白虎凶)辛丑(玉堂吉)壬寅(截路凶)癸卯(截路空亡凶)甲辰(司命黄道吉)乙巳(勾陈凶)丙午(青龙吉)丁未(明堂吉)戊申(天刑凶)己酉(朱雀凶)庚戌(金匮吉)辛亥(天德吉)戊子日壬子(金匮吉)癸丑(天德吉)甲寅(白虎凶)乙卯(玉堂吉)丙辰(天牢凶)丁巳(元武凶)戊午(司命吉)己未(勾陈凶)庚申(青龙吉)辛酉(明堂吉)壬戌(天刑凶)癸亥(朱雀凶)戊寅日庚子(青龙吉)辛丑(明堂吉)壬寅(天刑凶)癸卯(朱雀凶)甲辰(金匮吉)乙巳(天德吉)丙午(白虎凶)丁未(玉堂吉)戊申(天牢凶)己酉(朱雀凶)庚戌(司命吉)辛亥(勾陈凶)戊辰日庚子(天牢凶)辛丑(元武凶)壬寅(司命吉)癸卯(勾陈凶)甲辰(青龙吉)乙巳(明堂吉)丙午(天刑凶)丁未(朱雀凶)戊申(金匮吉)己酉(天德六合吉)庚戌(白虎凶)辛亥(玉堂吉)戊午日壬子(金匮吉)癸丑(天德吉)甲寅(白虎凶)乙卯(玉堂吉)丙辰(天牢凶)丁巳(元武凶)戊午(司命吉)己未(勾陈凶)庚申(青龙吉)辛酉(明堂吉)壬戌(天刑凶)癸亥(朱雀凶)戊申日庚子(青龙吉)辛丑(天官吉)壬寅(天刑凶)癸卯(朱雀凶)甲辰(金匮吉)乙巳(天德吉)丙午(天牢凶)丁未(天乙贵人吉)戊申(天牢凶)己酉(勾陈凶)庚戌(司命吉)辛亥(勾陈凶)戊戌日庚子(截路凶)辛丑(截路凶)壬寅(天乙明堂吉)癸卯(勾陈凶)甲辰(青龙吉)乙巳(明堂吉)丙午(截路凶)丁未(朱雀凶)戊申(金匮吉)己酉(天德吉)庚戌(白虎凶)辛亥(玉堂吉)己丑日甲子(天寡孤辰凶)乙丑(朱雀凶)丙寅(金匮福神吉)丁卯(天德吉)戊辰(白虎凶)己巳(天德吉)庚午(空亡凶)辛未(元武凶)壬申(司命吉)癸酉(截路凶)甲戌(青龙吉)乙亥(勾陈凶)己卯日甲子(司命吉)乙丑(勾陈凶)丙寅(青龙吉)丁卯(明堂吉)戊辰(天刑凶)己巳(朱雀凶)庚午(贵人吉)辛未(天德吉)壬申(截路凶)癸酉(玉堂吉)甲戌(天牢凶)乙亥(元武凶)己巳日甲子(白虎凶)乙丑(玉堂吉)丙寅(天牢凶)丁卯(元武凶)戊辰(司命吉)己巳(勾陈凶)庚午(青龙吉)辛未(明堂吉)壬申(截路凶)癸酉(截路空亡凶)甲戌(金匮吉)乙亥(天德吉)己未日甲子(天刑凶)乙丑(朱雀凶)丙寅(金匮吉)丁卯(天德吉)戊辰(白虎凶)己巳(玉堂吉)庚午(天牢凶)辛未(元武凶)壬申(司命吉)癸酉(截路凶)甲戌(青龙吉)乙亥(明堂吉)己酉日甲子(天乙贵人吉)乙丑(勾陈凶)丙寅(青龙吉)丁卯(明堂吉)戊辰(天刑凶)己巳(朱雀凶)庚午(金匮吉)辛未(天德吉)壬申(截路凶)癸酉(司命吉)甲戌(天牢凶)乙亥(元武凶)己亥日甲子(白虎凶)乙丑(玉堂吉)丙寅(天牢凶)丁卯(朱雀凶)戊辰(司命吉)己巳(勾陈凶)庚午(青龙吉)辛未(玉堂吉)壬申(截路凶)癸酉(截路凶)甲戌(金匮吉)乙亥(天德吉)庚子日丙子(金匮吉)丁丑(天德贵人吉)戊寅(白虎凶)己卯(玉堂吉)庚辰(天牢凶)辛巳(元武凶)壬午(司命吉)癸未(截路凶)甲申(青龙吉)乙酉(明堂吉)丙戌(天刑凶)丁亥(朱雀凶)庚寅日丙子(青龙吉)丁丑(明堂吉)戊寅(天刑凶)己卯(朱雀凶)庚辰(金匮吉)辛巳(天德吉)壬午(空亡凶)癸未(福德天官吉)甲申(天牢凶)乙酉(元武凶)丙戌(黄道吉)丁亥(勾陈凶)庚辰日丙子(天牢凶)丁丑(元武凶)戊寅(司命金匮吉)己卯(勾陈凶)庚辰(青龙吉)辛巳(明堂吉)壬午(天刑凶)癸未(朱雀凶)甲申(天寡凶)乙酉(天德吉)丙戌(白虎凶)丁亥(玉堂吉)庚午日丙子(金匮吉)丁丑(天德吉)戊寅(白虎凶)己卯(玉堂吉)庚辰(天牢凶)辛巳(元武凶)壬午(司命吉)癸未(截路凶)甲申(青龙吉)乙酉(明堂吉)丙戌(天寡天刑凶)丁亥(朱雀凶)庚申日丙子(青龙吉)丁丑(明堂贵人吉)戊寅(天刑凶)己卯(朱雀凶)庚辰(金匮吉)辛巳(天德吉)壬午(青龙吉)癸未(玉堂金匮吉)甲申(天牢凶)乙酉(元武凶)丙戌(司命吉)丁亥(勾陈凶)庚戌日丙子(天牢凶)丁丑(元武凶)戊寅(司命吉)己卯(勾陈凶)庚辰(青龙吉)辛巳(明堂吉)壬午(截路凶)癸未(截路凶)甲申(金匮吉)乙酉(天德吉)丙戌(白虎凶)丁亥(玉堂吉)辛丑日戊子(天刑天牢凶)己丑(朱雀凶)庚寅(金匮吉)辛卯(天德三合吉)壬辰(截路凶)癸巳(天官福星吉)甲午(黑煞凶)乙未(元武天牢凶)丙申(司命喜神吉)丁酉(勾陈凶)戊戌(青龙吉)己亥(明堂三合吉)辛卯日戊子(司命吉)己丑(勾陈凶)庚寅(青龙贵人吉)辛卯(明堂吉)壬辰(截路空亡凶)癸巳(截路凶)甲午(金匮吉)乙未(天德吉)丙申(白虎凶)丁酉(玉堂吉)戊戌(天牢凶)己亥(元武凶)辛巳日戊子(白虎凶)己丑(玉堂吉)庚寅(天牢凶)辛卯(元武凶)壬辰(贵人黄道吉)癸巳(截路凶)甲午(天乙贵人吉)乙未(明堂吉)丙申(天刑凶)丁酉(朱雀凶)戊戌(金匮吉)己亥(朱雀凶)辛未日戊子(天刑天牢凶)己丑(朱雀凶)庚寅(金匮吉)辛卯(天德三合吉)壬辰(截路凶)癸巳(天官贵人吉)甲午(黑煞凶)乙未(元武凶)丙申(司命喜神吉)丁酉(勾陈凶)戊戌(青龙吉)己亥(明堂三合吉)辛酉日戊子(司命吉)己丑(勾陈凶)庚寅(青龙贵人吉)辛卯(明堂吉)壬辰(截路凶)癸巳(截路凶)甲午(金匮吉)乙未(天德吉)丙申(白虎凶)丁酉(玉堂吉)戊戌(天牢凶)己亥(元武凶)辛亥日戊子(白虎凶)己丑(玉堂吉)庚寅(天牢凶)辛卯(元武凶)壬辰(司命吉)癸巳(勾陈凶)甲午(青龙吉)乙未(勾陈凶)丙申(天刑凶)丁酉(朱雀凶)戊戌(金匮吉)己亥(天德吉)壬子日庚子(金匮吉)辛丑(天德吉)壬寅(截路凶)癸卯(玉堂吉)甲辰(天牢凶)乙巳(元武凶)丙午(司命吉)丁未(勾陈凶)戊申(青龙吉)己酉(明堂吉)庚戌(天刑凶)辛亥(朱雀凶)壬寅日庚子(青龙吉)辛丑(明堂吉)壬寅(天刑凶)癸卯(截路凶)甲辰(金匮吉)乙巳(天乙贵人吉)丙午(白虎凶)丁未(玉堂吉)戊申(天牢凶)己酉(元武凶)庚戌(司命吉)辛亥(勾陈凶)壬辰日庚子(天牢凶)辛丑(元武凶)壬寅(司命吉)癸卯(截路凶)甲辰(青龙吉)乙巳(天乙贵人吉)丙午(天刑凶)丁未(朱雀凶)戊申(金匮吉)己酉(天乙贵人吉)庚戌(白虎凶)辛亥(天德吉)壬午日庚子(金匮吉)辛丑(天德吉)壬寅(截路凶)癸卯(贵人吉)甲辰(天牢凶)乙巳(截路凶)丙午(司命吉)丁未(勾陈凶)戊申(青龙吉)己酉(明堂吉)庚戌(天牢凶)辛亥(朱雀凶)壬申日庚子(青龙吉)辛丑(明堂吉)壬寅(天刑凶)癸卯(截路凶)甲辰(金匮吉)乙巳(天乙贵人吉)丙午(白虎凶)丁未(玉堂吉)戊申(天牢凶)己酉(元武凶)庚戌(司命吉)辛亥(勾陈凶)壬戌日庚子(天刑凶)辛丑(元武凶)壬寅(司命吉)癸卯(截路凶)甲辰(青龙吉)乙巳(明堂吉)丙午(天牢凶)丁未(朱雀凶)戊申(金匮吉)己酉(天德吉)庚戌(白虎凶)辛亥(玉堂吉)癸丑日壬子(截路凶)癸丑(截路凶)甲寅(金匮吉)乙卯(天德吉)丙辰(白虎凶)丁巳(玉堂吉)戊午(天刑天牢凶)己未(元武凶)庚申(司命吉)辛酉(勾陈凶)壬戌(青龙吉)癸亥(明堂吉)癸卯日壬子(司命吉)癸丑(天寡孤辰凶)甲寅(青龙吉)乙卯(贵人吉)丙辰(天刑凶)丁巳(朱雀黑道凶)戊午(金匮福德吉)己未(勾陈凶)庚申(白虎凶)辛酉(玉堂吉)壬戌(天牢凶)癸亥(黑道凶)癸巳日壬子(截路凶)癸丑(天乙玉堂吉)甲寅(天牢凶)乙卯(元武凶)丙辰(司命吉)丁巳(勾陈凶)戊午(青龙吉)己未(明堂吉)庚申(天刑凶)辛酉(朱雀凶)壬戌(金匮吉)癸亥(天德吉)癸未日壬子(截路凶)癸丑(截路凶)甲寅(金匮吉)乙卯(天德吉)丙辰(白虎凶)丁巳(玉堂吉)戊午(天牢凶)己未(元武凶)庚申(司命吉)辛酉(勾陈凶)壬戌(青龙吉)癸亥(明堂吉)癸酉日壬子(司命吉)癸丑(天寡孤辰凶)甲寅(青龙吉)乙卯(贵人吉)丙辰(天刑凶)丁巳(朱雀黑道凶)戊午(金匮福德吉)己未(天德吉)庚申(白虎凶)辛酉(玉堂吉)壬戌(天牢凶)癸亥(黑道凶)癸亥日壬子(截路凶)癸丑(玉堂吉)甲寅(天牢凶)乙卯(元武凶)丙辰(司命吉)丁巳(勾陈凶)戊午(青龙吉)己未(明堂吉)庚申(天刑凶)辛酉(朱雀凶)壬戌(金匮吉)癸亥(天德吉)。
六十甲子日吉凶时辰对照表甲子日甲子(金匮吉)乙丑(天德贵人吉)丙寅(白虎凶)丁卯(玉堂天开吉神吉)戊辰(天牢凶)己巳(元武黑道凶)庚午(司令金星吉)辛未(勾陈凶)壬申(青龙吉)癸酉(明堂吉)甲戌(天刑孤辰凶)乙亥(朱雀天讼凶)甲寅日甲子(青龙吉)乙丑(贵人明堂吉)丙寅(天刑凶)丁卯(元武凶)戊辰(金匮吉)己巳(天德吉)庚午(白虎凶)辛未(玉堂吉)壬申(空亡凶)癸酉(截路凶)甲戌(司命贵人吉)乙亥(勾陈凶)甲辰日甲子(元武天牢凶)乙丑(截路空亡凶)丙寅(三合黄道吉)丁卯(勾陈凶)戊辰(青龙吉)己巳(黄道明堂吉)庚午(天刑五鬼凶)辛未(朱雀凶)壬申(金匮吉)癸酉(天德黄道吉)甲戌(白虎凶)乙亥(玉堂天开吉神吉)甲午日甲子(金匮吉)乙丑(天乙贵人吉)丙寅(白虎凶)丁卯(玉堂吉)戊辰(天牢凶)己巳(元武凶)庚午(司命吉)辛未(勾陈凶)壬申(青龙吉)癸酉(明堂吉)甲戌(天刑凶)乙亥(朱雀凶)甲申日甲子(青龙吉)乙丑(明堂吉)丙寅(天牢凶)丁卯(朱雀凶)戊辰(金匮吉)己巳(天德吉)庚午(白虎凶)辛未(玉堂吉)壬申(截路凶)癸酉(截路凶)甲戌(司命吉)乙亥(勾陈凶)甲戌日甲子(元武天刑凶)乙丑(截路空亡凶)丙寅(三合黄道吉)丁卯(勾陈凶)戊辰(青龙吉)己巳(黄道明堂吉)庚午(天牢五鬼凶)辛未(玉堂吉)壬申(金匮吉)癸酉(天德黄道吉)甲戌(白虎凶)乙亥(天开玉堂吉)--------------------------------------------------------------------------乙丑日丙子(天刑凶)丁丑(朱雀凶)戊寅(金匮吉)己卯(天德吉)庚辰(白虎凶)辛巳(玉堂吉)壬午(天牢凶)癸未(元武凶)甲申(贵人司命吉)乙酉(勾陈凶)丙戌(青龙吉)丁亥(明堂吉)乙卯日丙子(司命贵人吉)丁丑(勾陈凶)戊寅(青龙吉)己卯(明堂吉)庚辰(天刑凶)辛巳(朱雀凶)壬午(金匮吉)癸未(天德吉)甲申(白虎凶)乙酉(玉堂吉)丙戌(天牢凶)丁亥(元武凶)乙巳日丙子(白虎凶)丁丑(天德吉)戊寅(天牢凶)己卯(寡宿五鬼凶)庚辰(司命黄道吉)辛巳(勾陈凶)壬午(青龙明堂吉)癸未(勾陈凶)甲申(朱雀凶)乙酉(天刑凶)丙戌(金匮吉)丁亥(天德吉)乙未日丙子(天刑凶)丁丑(朱雀凶)戊寅(金匮吉)己卯(天德吉)庚辰(白虎凶)辛巳(玉堂吉)壬午(截路空亡凶)癸未(截路凶)甲申(司命吉)乙酉(勾陈凶)丙戌(青龙吉)丁亥(明堂吉)乙酉日丙子(天乙贵人吉)丁丑(勾陈凶)戊寅(青龙吉)己卯(明堂吉)庚辰(天牢凶)辛巳(朱雀凶)壬午(天贵黄道吉)癸未(天德吉)甲申(白虎凶)乙酉(玉堂吉)丙戌(天牢凶)丁亥(元武凶)乙亥日丙子(白虎凶)丁丑(天德吉)戊寅(天牢凶)己卯(寡宿五鬼凶)庚辰(司命黄道吉)辛巳(勾陈凶)壬午(青龙明堂吉)癸未(勾陈凶)甲申(朱雀凶)乙酉(天刑凶)丙戌(金匮吉)丁亥(天德吉)--------------------------------------------------------------------------丙子日戊子(金匮吉)己丑(天德吉)庚寅(白虎凶)辛卯(玉堂吉)壬辰(截路凶)癸巳(截路凶)甲午(司命吉)乙未(勾陈凶)丙申(青龙吉)丁酉(明堂贵人吉)戊戌(天刑凶)己亥(朱雀凶)丙寅日戊子(青龙吉)己丑(明堂吉)庚寅(天刑凶)辛卯(朱雀凶)壬辰(金匮吉)癸巳(天德吉)甲午(白虎凶)乙未(明堂吉)丙申(天牢凶)丁酉(元武凶)戊戌(司命太阴吉)己亥(勾陈凶)丙辰日戊子(天刑凶)己丑(元武凶)庚寅(司命吉)辛卯(勾陈凶)壬辰(青龙吉)癸巳(天乙黄道吉)甲午(天牢凶)乙未(朱雀凶)丙申(金匮吉)丁酉(天德贵人吉)戊戌(白虎凶)己亥(玉堂贵人吉)丙午日戊子(金匮吉)己丑(天德吉)庚寅(白虎凶)辛卯(玉堂吉)壬辰(截路凶)癸巳(截路凶)甲午(司命吉)乙未(勾陈凶)丙申(青龙吉)丁酉(明堂凶)戊戌(天牢凶)己亥(朱雀凶)丙申日戊子(青龙吉)己丑(明堂吉)庚寅(天刑凶)辛卯(朱雀凶)壬辰(金匮吉)癸巳(天德吉)甲午(白虎凶)乙未(玉堂吉)丙申(天牢凶)丁酉(元武凶)戊戌(司命吉)己亥(勾陈凶)丙戌日戊子(天牢凶)己丑(元武凶)庚寅(司命吉)辛卯(勾陈凶)壬辰(天乙贵人吉)癸巳(贵人明堂吉)甲午(天刑凶)乙未(朱雀凶)丙申(金匮吉)丁酉(天德吉)戊戌(白虎凶)己亥(玉堂吉)--------------------------------------------------------------------------丁丑日庚子(天刑凶)辛丑(朱雀凶)壬寅(金匮吉)癸卯(天德吉)甲辰(白虎凶)乙巳(玉堂吉)丙午(天牢凶)丁未(元武凶)戊申(司命吉)己酉(勾陈凶)庚戌(青龙吉)辛亥(明堂贵人吉)丁卯日庚子(司命吉)辛丑(勾陈凶)壬寅(青龙天贵吉)癸卯(明堂吉)甲辰(天刑凶)乙巳(朱雀凶)丙午(金匮吉)丁未(天德贵人吉)戊申(白虎凶)己酉(玉堂贵人吉)庚戌(天牢凶)辛亥(元武凶)丁巳日庚子(白虎凶)辛丑(玉堂吉)壬寅(截路凶)癸卯(截路凶)甲辰(司命玉堂吉)乙巳(勾陈凶)丙午(青龙吉)丁未(明堂吉)戊申(天刑凶)己酉(朱雀凶)庚戌(金匮吉)辛亥(天德贵人吉)丁未日庚子(天刑凶)辛丑(朱雀凶)壬寅(金匮吉)癸卯(天德吉)甲辰(白虎凶)乙巳(玉堂吉)丙午(天牢凶)丁未(元武凶)戊申(司命吉)己酉(勾陈凶)庚戌(青龙吉)辛亥(明堂贵人吉)丁酉日庚子(司命黄道吉)辛丑(勾陈凶)壬寅(天贵青龙吉)癸卯(天乙明堂吉)甲辰(天刑凶)乙巳(朱雀凶)丙午(金匮吉)丁未(天德吉)戊申(白虎凶)己酉(玉堂贵人吉)庚戌(天牢凶)辛亥(元武凶)丁亥日庚子(白虎凶)辛丑(玉堂吉)壬寅(截路凶)癸卯(截路空亡凶)甲辰(司命黄道吉)乙巳(勾陈凶)丙午(青龙吉)丁未(明堂吉)戊申(天刑凶)己酉(朱雀凶)庚戌(金匮吉)辛亥(天德吉)--------------------------------------------------------------------------戊子日壬子(金匮吉)癸丑(天德吉)甲寅(白虎凶)乙卯(玉堂吉)丙辰(天牢凶)丁巳(元武凶)戊午(司命吉)己未(勾陈凶)庚申(青龙吉)辛酉(明堂吉)壬戌(天刑凶)癸亥(朱雀凶)戊寅日庚子(青龙吉)辛丑(明堂吉)壬寅(天刑凶)癸卯(朱雀凶)甲辰(金匮吉)乙巳(天德吉)丙午(白虎凶)丁未(玉堂吉)戊申(天牢凶)己酉(朱雀凶)庚戌(司命吉)辛亥(勾陈凶)戊辰日庚子(天牢凶)辛丑(元武凶)壬寅(司命吉)癸卯(勾陈凶)甲辰(青龙吉)乙巳(明堂吉)丙午(天刑凶)丁未(朱雀凶)戊申(金匮吉)己酉(天德六合吉)庚戌(白虎凶)辛亥(玉堂吉)戊午日壬子(金匮吉)癸丑(天德吉)甲寅(白虎凶)乙卯(玉堂吉)丙辰(天牢凶)丁巳(元武凶)戊午(司命吉)己未(勾陈凶)庚申(青龙吉)辛酉(明堂吉)壬戌(天刑凶)癸亥(朱雀凶)戊申日庚子(青龙吉)辛丑(天官吉)壬寅(天刑凶)癸卯(朱雀凶)甲辰(金匮吉)乙巳(天德吉)丙午(天牢凶)丁未(天乙贵人吉)戊申(天牢凶)己酉(勾陈凶)庚戌(司命吉)辛亥(勾陈凶)戊戌日庚子(截路凶)辛丑(截路凶)壬寅(天乙明堂吉)癸卯(勾陈凶)甲辰(青龙吉)乙巳(明堂吉)丙午(截路凶)丁未(朱雀凶)戊申(金匮吉)己酉(天德吉)庚戌(白虎凶)辛亥(玉堂吉)--------------------------------------------------------------------------己丑日甲子(天寡孤辰凶)乙丑(朱雀凶)丙寅(金匮福神吉)丁卯(天德吉)戊辰(白虎凶)己巳(天德吉)庚午(空亡凶)辛未(元武凶)壬申(司命吉)癸酉(截路凶)甲戌(青龙吉)乙亥(勾陈凶)己卯日甲子(司命吉)乙丑(勾陈凶)丙寅(青龙吉)丁卯(明堂吉)戊辰(天刑凶)己巳(朱雀凶)庚午(贵人吉)辛未(天德吉)壬申(截路凶)癸酉(玉堂吉)甲戌(天牢凶)乙亥(元武凶)己巳日甲子(白虎凶)乙丑(玉堂吉)丙寅(天牢凶)丁卯(元武凶)戊辰(司命吉)己巳(勾陈凶)庚午(青龙吉)辛未(明堂吉)壬申(截路凶)癸酉(截路空亡凶)甲戌(金匮吉)乙亥(天德己未日甲子(天刑凶)乙丑(朱雀凶)丙寅(金匮吉)丁卯(天德吉)戊辰(白虎凶)己巳(玉堂吉)庚午(天牢凶)辛未(元武凶)壬申(司命吉)癸酉(截路凶)甲戌(青龙吉)乙亥(明堂吉)己酉日甲子(天乙贵人吉)乙丑(勾陈凶)丙寅(青龙吉)丁卯(明堂吉)戊辰(天刑凶)己巳(朱雀凶)庚午(金匮吉)辛未(天德吉)壬申(截路凶)癸酉(司命吉)甲戌(天牢凶)乙亥(元武凶)己亥日甲子(白虎凶)乙丑(玉堂吉)丙寅(天牢凶)丁卯(朱雀凶)戊辰(司命吉)己巳(勾陈凶)庚午(青龙吉)辛未(玉堂吉)壬申(截路凶)癸酉(截路凶)甲戌(金匮吉)乙亥(天德吉)--------------------------------------------------------------------------庚子日丙子(金匮吉)丁丑(天德贵人吉)戊寅(白虎凶)己卯(玉堂庚辰(天牢凶)辛巳(元武凶)壬午(司命吉)癸未(截路凶)甲申(青龙吉)乙酉(明堂吉)丙戌(天刑凶)丁亥(朱雀凶)庚寅日丙子(青龙吉)丁丑(明堂吉)戊寅(天刑凶)己卯(朱雀凶)庚辰(金匮吉)辛巳(天德吉)壬午(空亡凶)癸未(福德天官吉)甲申(天牢凶)乙酉(元武凶)丙戌(黄道吉)丁亥(勾陈凶)庚辰日丙子(天牢凶)丁丑(元武凶)戊寅(司命金匮吉)己卯(勾陈凶)庚辰(青龙吉)辛巳(明堂吉)壬午(天刑凶)癸未(朱雀凶)甲申(天寡凶)乙酉(天德吉)丙戌(白虎凶)丁亥(玉堂吉)庚午日丙子(金匮吉)丁丑(天德吉)戊寅(白虎凶)己卯(玉堂吉)庚辰(天牢凶)辛巳(元武凶)壬午(司命吉)癸未(截路凶)甲申(青龙吉)乙酉(明堂吉)丙戌(天寡天刑凶)丁亥(朱雀凶)丙子(青龙吉)丁丑(明堂贵人吉)戊寅(天刑凶)己卯(朱雀凶)庚辰(金匮吉)辛巳(天德吉)壬午(青龙吉)癸未(玉堂金匮吉)甲申(天牢凶)乙酉(元武凶)丙戌(司命吉)丁亥(勾陈凶)庚戌日丙子(天牢凶)丁丑(元武凶)戊寅(司命吉)己卯(勾陈凶)庚辰(青龙吉)辛巳(明堂吉)壬午(截路凶)癸未(截路凶)甲申(金匮吉)乙酉(天德吉)丙戌(白虎凶)丁亥(玉堂吉)--------------------------------------------------------------------------辛丑日戊子(天刑天牢凶)己丑(朱雀凶)庚寅(金匮吉)辛卯(天德三合吉)壬辰(截路凶)癸巳(天官福星吉)甲午(黑煞凶)乙未(元武天牢凶)丙申(司命喜神吉)丁酉(勾陈凶)戊戌(青龙吉)己亥(明堂三合吉)戊子(司命吉)己丑(勾陈凶)庚寅(青龙贵人吉)辛卯(明堂吉)壬辰(截路空亡凶)癸巳(截路凶)甲午(金匮吉)乙未(天德吉)丙申(白虎凶)丁酉(玉堂吉)戊戌(天牢凶)己亥(元武凶)辛巳日戊子(白虎凶)己丑(玉堂吉)庚寅(天牢凶)辛卯(元武凶)壬辰(贵人黄道吉)癸巳(截路凶)甲午(天乙贵人吉)乙未(明堂吉)丙申(天刑凶)丁酉(朱雀凶)戊戌(金匮吉)己亥(朱雀凶)辛未日戊子(天刑天牢凶)己丑(朱雀凶)庚寅(金匮吉)辛卯(天德三合吉)壬辰(截路凶)癸巳(天官贵人吉)甲午(黑煞凶)乙未(元武凶)丙申(司命喜神吉)丁酉(勾陈凶)戊戌(青龙吉)己亥(明堂三合吉)辛酉日戊子(司命吉)己丑(勾陈凶)庚寅(青龙贵人吉)辛卯(明堂吉)壬辰(截路凶)癸巳(截路凶)甲午(金匮吉)乙未(天德吉)丙申(白虎凶)丁酉(玉堂吉)戊戌(天牢凶)己亥(元武凶)辛亥日戊子(白虎凶)己丑(玉堂吉)庚寅(天牢凶)辛卯(元武凶)壬辰(司命吉)癸巳(勾陈凶)甲午(青龙吉)乙未(勾陈凶)丙申(天刑凶)丁酉(朱雀凶)戊戌(金匮吉)己亥(天德吉)--------------------------------------------------------------------------壬子日庚子(金匮吉)辛丑(天德吉)壬寅(截路凶)癸卯(玉堂吉)甲辰(天牢凶)乙巳(元武凶)丙午(司命吉)丁未(勾陈凶)戊申(青龙吉)己酉(明堂吉)庚戌(天刑凶)辛亥(朱雀凶)壬寅日庚子(青龙吉)辛丑(明堂吉)壬寅(天刑凶)癸卯(截路凶)甲辰(金匮吉)乙巳(天乙贵人吉)丙午(白虎凶)丁未(玉堂吉)戊申(天牢凶)己酉(元武凶)庚戌(司命吉)辛亥(勾陈凶)壬辰日庚子(天牢凶)辛丑(元武凶)壬寅(司命吉)癸卯(截路凶)甲辰(青龙吉)乙巳(天乙贵人吉)丙午(天刑凶)丁未(朱雀凶)戊申(金匮吉)己酉(天乙贵人吉)庚戌(白虎凶)辛亥(天德吉)壬午日庚子(金匮吉)辛丑(天德吉)壬寅(截路凶)癸卯(贵人吉)甲辰(天牢凶)乙巳(截路凶)丙午(司命吉)丁未(勾陈凶)戊申(青龙吉)己酉(明堂吉)庚戌(天牢凶)辛亥(朱雀凶)壬申日庚子(青龙吉)辛丑(明堂吉)壬寅(天刑凶)癸卯(截路凶)甲辰(金匮吉)乙巳(天乙贵人吉)丙午(白虎凶)丁未(玉堂吉)戊申(天牢凶)己酉(元武凶)庚戌(司命吉)辛亥(勾陈凶)壬戌日庚子(天刑凶)辛丑(元武凶)壬寅(司命吉)癸卯(截路凶)甲辰(青龙吉)乙巳(明堂吉)丙午(天牢凶)丁未(朱雀凶)戊申(金匮吉)己酉(天德吉)庚戌(白虎凶)辛亥(玉堂吉)--------------------------------------------------------------------------癸丑日壬子(截路凶)癸丑(截路凶)甲寅(金匮吉)乙卯(天德吉)丙辰(白虎凶)丁巳(玉堂吉)戊午(天刑天牢凶)己未(元武凶)庚申(司命吉)辛酉(勾陈凶)壬戌(青龙吉)癸亥(明堂吉)癸卯日壬子(司命吉)癸丑(天寡孤辰凶)甲寅(青龙吉)乙卯(贵人吉)丙辰(天刑凶)丁巳(朱雀黑道凶)戊午(金匮福德吉)己未(勾陈凶)庚申(白虎凶)辛酉(玉堂吉)壬戌(天牢凶)癸亥(黑道凶)癸巳日壬子(截路凶)癸丑(天乙玉堂吉)甲寅(天牢凶)乙卯(元武凶)丙辰(司命吉)丁巳(勾陈凶)戊午(青龙吉)己未(明堂吉)庚申(天刑凶)辛酉(朱雀凶)壬戌(金匮吉)癸亥(天德吉)癸未日壬子(截路凶)癸丑(截路凶)甲寅(金匮吉)乙卯(天德吉)丙辰(白虎凶)丁巳(玉堂吉)戊午(天牢凶)己未(元武凶)庚申(司命吉)辛酉(勾陈凶)壬戌(青龙吉)癸亥(明堂吉)癸酉日壬子(司命吉)癸丑(天寡孤辰凶)甲寅(青龙吉)乙卯(贵人吉)丙辰(天刑凶)丁巳(朱雀黑道凶)戊午(金匮福德吉)己未(天德吉)庚申(白虎凶)辛酉(玉堂吉)壬戌(天牢凶)癸亥(黑道凶)癸亥日壬子(截路凶)癸丑(玉堂吉)甲寅(天牢凶)乙卯(元武凶)丙辰(司命吉)丁巳(勾陈凶)戊午(青龙吉)己未(明堂吉)庚申(天刑凶)辛酉(朱雀凶)壬戌(金匮吉)癸亥(天德吉)。
六十甲子天克地冲表古代农历与天文的结合古代,人们没有现代科技,但他们对天文学和农历的研究却非常深入。
在古代农业社会中,农历的使用至关重要,因为它帮助人们预测天气和农作物的生长。
与此同时,人们对天文现象的观测和记录也非常重要,他们相信天文学与人类运势有着密切的关联。
这篇文章将探讨六十甲子天克地冲表,以及古代农历与天文的结合。
一、六十甲子天克地冲表六十甲子天克地冲表是中国古代天文学中的一个重要工具。
它是根据天干地支、甲子纪年法以及天干地支对应的六十个名称组成的表格。
这个表格被广泛用于占卜和推测人的运势。
六十甲子天克地冲表的使用非常简单。
在这个表格中,天干和地支的排列有特定的顺序,例如甲子、乙丑、丙寅等等。
通过找到出生年所对应的天干地支,人们可以找到与之相关的命运、性格特点和运势预测。
同时,这个表格也被用于判断两个人的配对是否合适,例如婚姻和事业合作。
二、古代农历与天文的结合在古代中国,农历的使用非常普遍。
农历是根据月相和太阳的运行周期而制定的一种历法。
与阳历(阴历)不同,农历以农作物生长和季节变化为基准。
农历有着精确的时间计算,可以准确预测农作物的生长周期和天气变化。
与农历相伴的,是人们对天文现象的观测和记录。
古代中国人对天体运行的观察非常仔细,他们研究了太阳、月亮和星星的位置和运动规律。
通过这些观测,人们可以推测天气变化、灾害发生以及农作物的丰收。
在古代社会中,农历和天文学所起到的作用是不可忽视的。
这种结合不仅仅是科学研究的成果,更是人们与自然的紧密联系的体现。
三、农历与天文的应用农历与天文的结合在古代中国的各个方面都有广泛的应用。
以下是一些例子:1. 农业:古代农民通过农历来决定什么时候播种、收割和施肥。
他们观察农历中的节气和星星的位置,以确定最佳的农事时间。
2. 禁忌和吉日:农历中的天干地支和六十甲子被认为与人的命运和运势相关。
人们会根据自己的生辰八字来选择适合的日子进行婚嫁、出行和开业等重要活动。
六十甲子五行相生相克男女婚配表——金、木、水、火、土1924年甲子属金(鼠)1925年乙丑属金(牛)1926年丙寅属火(虎)1927年丁卯属火(兔)1928年戊辰属木(龙)1929年已巳属木(蛇)1930年庚午属土(马)1931年辛未属土(羊)1932年壬申属金(猴)1933年癸酉属金(鸡)1934年甲戌属火(狗)1935年乙亥属火(猪)1936年丙子属水(鼠)1937年丁丑属水(牛)1938年戌寅属土(虎)1939年已卯属土(兔)1940年庚辰属金(龙)1941年辛已属金(蛇)1942年壬午属木(马)1943年癸未属木(羊)1944年甲申属水(猴)1945年乙酉属水(鸡)1946年丙戌属土(狗)1947年丁亥属土(猪)1948年戊子属火(鼠)1949年已丑属火(牛)1950年庚寅属木(虎)1951年辛卯属木(兔)1952年壬辰属水(龙)1953年癸已属水(蛇)1954年甲午属金(马)1955年乙未属金(羊)1956年丙申属火(猴)1957年丁酉属火(鸡)1958年戊戌属木(狗)1959年已亥属木(猪)1960年庚子属土(鼠)1961年辛丑属土(牛)1962年壬寅属金(虎)1963年癸卯属金(兔)1964年甲辰属火(龙)1965年乙巳属火(蛇)1966年丙午属水(马)1967年丁未属水(羊)1968年戊申属土(猴)1969年己酉属土(鸡)1970年庚戌属金(狗)1971年辛亥属金(猪)1972年壬子属木(鼠)1973年癸丑属木(牛)1974年甲寅属水(虎)1975年乙卯属水(兔)1976年丙辰属土(龙)1977年丁巳属土(蛇)1978年戊午属火(马)1979年己未属火(羊)1980年庚申属木(猴)1981年辛酉属木(鸡)1982年壬戌属水(狗)1983年癸亥属水(猪)1984年甲子属金(鼠)1985年乙丑属金(牛)1986年丙寅属火(虎)1987年丁卯属火(兔)1988年戊辰属木(龙)1989年己已属木(蛇)1990年庚午属土(马)1991年辛未属土(羊)1992年壬申属金(猴)1993年癸酉属金(鸡)1994年甲戌属火(狗)1995年乙亥属火(猪)1996年丙子属水(鼠)1997年丁丑属水(牛)男金女金--两金夫妻硬对硬、有女无男守空房、日夜争打语不合、各人各心各白眼男金女木--金木夫妻不多年、整天吵打哭连连、原来二命都有害、半世婚姻守寡缘男金女水--水金夫妻坐高堂、钱财积聚喜洋洋、子女两个生端正、个个聪明学文章男金女火--未有姻缘乱成亲、娶得妻来也是贫、若无子女家财散、金火原来害本命男金女土--金土夫妻好姻缘、吃穿不愁福自然、子孙兴旺家富贵、福禄双全万万年男木女金--夫妻和好宜相交、钱财六畜满山庄、抚养子女姓名扬、木金万贵共一床男木女木--双木夫妻难相合、钱财有多亦克子、原来两木多克害、灾难疯病多加流男木女水--男木女水大吉利、家中财运常进室、常为宝贵重如山、生来儿女披青衫男木女火--木火夫妻大吉昌、此门天定好姻缘、六畜奴作满成行、男女聪明福自隆男木女土--土木夫妻本不宜、灾难疾病来侵之、两合相克各分散、一世孤单昼夜啼男水女金--金水夫妻富高强、钱财积聚百岁长、婚姻和合前程辉、禾仓田宅福寿长男水女木--木水夫妻好姻缘、财宝贵富旺儿郎、朱马禾仓积满院、男女端正学文章男水女水--两水夫妻喜洋洋、儿女聪明家兴旺、姻缘美满福双全、满仓财产好风光男水女火--水火夫妻不相配、在家吃饭在外睡、原因二命相克害、半世姻缘半世愁男水女土--水土夫妻不久存、三六九五见瘟王、两命相克亦难过、别处他乡嫁别克男火女金--金火夫妻克六亲、不知刑元在何身、若是稳有不孝顺、祸及子孙守孤贫男火女木--火木夫妻好婚配、子孙孝顺家业旺、六畜钱粮皆丰盈、一世富贵大吉昌男火女水--水火夫妻虽有情、结啼姻缘亦不深、儿女若是有富贵、到老还是孤独人男火女火--两火夫妻日夜愁、妻离子散泪水流、二命相克宜不聚、四季孤独度春秋男火女土--火土夫妻好相配、高官禄位眼前风、两人合来无克害、儿女聪明永富贵男土女金--土金夫妻很姻缘、两口相爱至百年、内宅平安六畜福、生来女儿均团圆男土女木--土木夫妻意不同、反眼无情相克冲、有食无儿克夫主、半世姻缘家财空男土女水--土水夫妻定有兽、接到家中定有灾、妻离子散各东西、家中冷落财不来男土女火--土火夫妻大昌吉、财粮不愁福寿长、儿女聪明生端正、富贵荣华好时光男土女土--双土夫妻好姻缘、共欢一世福双全、儿女聪明多兴旺、富贵荣华好家园。
六十甲子天克地冲表解读揭开神秘的时间密码在中国传统文化中,时间被赋予了极高的重要性。
人们相信时间的流转和变化可以影响人类的命运和运势,因此推衍出了一套独特的六十甲子天克地冲表。
这个表格被认为揭示了时间的神秘密码,对于了解时间的变迁和预测人类的运势有着重要的指导作用。
六十甲子天克地冲表是由60个天干(甲、乙、丙、丁、戊、己、庚、辛、壬、癸)和60个地支(子、丑、寅、卯、辰、巳、午、未、申、酉、戌、亥)组成的一个周期系统。
每个天干地支的组合都代表着一种时间的状态,也对应着某种特定的属性。
通过研究和解读这个天克地冲表,人们可以探索时间的密码,了解一段时间内不同变化的特点。
首先,六十甲子天克地冲表可以帮助人们预测吉凶祸福。
根据传统观念,不同的天干地支组合意味着不同的运势转变。
比如,“甲子”被认为是一个吉利的组合,象征着新的开始和希望;而“癸亥”则被视为不太顺利的组合,暗示着困难和挑战。
通过对六十甲子天克地冲表的解读,人们可以根据不同天干地支组合来预测某一段时间内的吉凶变化,从而做出相应的调整和安排。
其次,六十甲子天克地冲表还可以用于揭示时间的能量和特征。
根据传统理论,每个天干和地支都有着特定的属性和能量。
比如,“戊午”代表着火的属性,而“壬子”则代表着水的属性。
通过对六十甲子天克地冲表的研究,人们可以了解一段时间内不同属性能量的变化,从而更好地把握时间的特点和机遇。
这对于决策、规划和行动具有重要的指导意义。
此外,六十甲子天克地冲表还可以用于破解个人命盘的秘密。
在中国传统文化中,个人的命运被认为与出生的时间和地点有着紧密的联系。
通过六十甲子天克地冲表,人们可以根据自己的出生时间和地点来找到对应的天干地支组合,进而研究和解读个人命盘中不同时间段的特点和变化。
这有助于人们了解自身的命运走势,从而更好地规划自己的生活和发展。
总之,六十甲子天克地冲表是中国传统文化中独特的时间系统,通过解读这个表格,人们可以揭开时间的神秘密码,了解时间的特点和变迁。
六十甲子日吉凶时辰甲子日甲子(金匮 吉) 乙丑(天德贵人 吉) 丙寅(白虎 凶)丁卯(玉堂天开吉神吉)戊辰(天牢 凶) 己巳(元武黑道 吉) 庚午(司令金星 吉) 辛未(勾陈 凶)壬申(青龙 吉) 癸酉(明堂 吉) 甲戌(天刑孤辰 凶) 乙亥(朱雀天讼 凶)甲寅日甲子(青龙 吉) 乙丑(贵人明堂 吉) 丙寅(天刑 凶)丁卯(元武 凶)戊辰(金匮 吉) 己已(天德 吉) 庚午(白虎 凶) 辛未(玉堂吉)壬申(空亡 凶)癸酉(截路 凶 甲戌(司命贵人 吉) 乙亥(勾陈 凶)甲辰日甲子(元武天牢 凶)乙丑(截路空亡 凶) 丙寅(三合黄道吉) 丁卯(勾陈凶)戊辰(青龙 吉) 己巳(黄道明堂 吉)庚午(天刑五鬼凶) 辛未(朱雀 凶)壬申(金匮 吉) 癸酉(天德黄道 吉) 甲戌(白虎 凶) 乙亥(玉堂天开吉神吉)甲午日甲子(金匮 吉) 乙丑(天乙贵人 吉) 丙寅(白虎 凶) 丁卯(玉堂 吉)戊辰(天牢 凶) 己巳(元武 凶) 庚午(司命 吉) 辛未(勾陈 凶)壬申(青龙 吉) 癸酉(明堂 吉) 甲戌(天刑 凶) 乙亥(朱雀 凶)甲申日甲子(青龙 吉) 乙丑(明堂 吉)丙寅(天牢 凶)丁卯(朱雀 凶)戊辰(金匮 吉) 己巳(天德 吉)庚午(白虎 凶) 辛未(玉堂 吉)壬申(截路 凶) 癸酉(截路 凶) 甲戌(司命 吉)乙亥(勾陈 凶)甲戌日甲子(元武天牢 凶)乙丑(路空亡 凶) 丙寅(三合黄道 吉)丁卯(勾陈 凶)戊辰(青龙 吉) 己巳(黄道明堂 吉) 庚午(天刑五鬼 凶) 辛未(玉堂 吉)壬申(金匮 吉) 癸酉(天德黄道 吉) 甲戌(白虎 凶)乙亥(玉堂天开吉)乙丑日丙子(天刑凶)丁丑(朱雀 凶)戊寅(金匮吉)己卯(天德吉)庚辰(白虎凶)辛巳(玉堂吉)壬午(天牢凶)癸未(元武凶)甲申(贵人司命吉)乙酉(勾陈凶)丙戌(青龙吉)丁亥(明堂吉)乙卯日丙子(司命贵人吉)丁丑(勾陈 凶)戊寅(青龙吉)己卯(明堂吉)庚辰(天刑凶)辛巳(朱雀凶)壬午(金匮吉)癸未(天德吉)甲申(白虎凶)乙酉(玉堂吉)丙戌(天牢凶)丁亥(元武凶)乙巳日丙子(白虎凶)丁丑(天德 吉)戊寅(天牢凶)己卯(寡宿五鬼凶)庚辰(司命黄道吉)辛巳(勾陈凶)壬午(青龙明堂吉)癸未(天德吉)甲申(朱雀凶)乙酉(天刑凶)丙戌(金匮吉)丁亥(天德吉)乙未日丙子(天刑凶)丁丑(朱雀 凶)戊寅(金匮吉己卯(天德吉)庚辰(白虎凶)辛巳(玉堂吉)壬午(截路空亡凶)癸未(截路凶)甲申(司命吉)乙酉(勾陈凶)丙戌(青龙吉)丁亥(明堂吉)乙酉日丙子(天乙贵人吉)丁丑(勾陈 凶)戊寅(青龙吉)己卯(明堂吉)庚辰(天牢凶)辛巳(朱雀凶)壬午(天贵黄道吉)癸未(天德吉)甲申(白虎凶)乙酉(玉堂吉)丙戌(天牢凶)丁亥(元武凶)乙亥日丙子(白虎凶)丁丑(天德 吉)戊寅(天牢凶)己卯(寡宿五鬼凶)庚辰(司命黄道吉)辛巳(勾陈凶)壬午(青龙明堂吉)癸未(勾陈凶)甲申(朱雀凶)乙酉(天刑凶)丙戌(金匮吉)丁亥(天德吉)丙子日戊子(金匮吉)己丑(天德吉)庚寅(白虎凶)辛卯(玉堂吉)壬辰(截路凶癸巳(截路凶)甲午(司命吉)乙未(勾陈凶)丙申(青龙吉)丁酉(明堂贵人吉)戊戌(天刑凶)己亥(朱雀凶)丙寅日戊子(青龙吉)己丑(明堂吉)庚寅(天刑凶)辛卯(朱雀凶)壬辰(金匮吉)癸巳(天德吉)甲午(白虎凶)乙未(明堂吉)丙申(天牢凶)丁酉(元武凶)戊戌(司命太阴吉)己亥(勾陈凶)丙辰日戊子(天刑凶)己丑(元武凶)庚寅(司命吉)辛卯(勾陈凶)壬辰(青龙吉)癸巳(天乙黄道吉)甲午(天牢凶)乙未(朱雀吉)丙申(金匮吉)丁酉(天德贵人吉)戊戌(白虎凶)己亥(玉堂贵人吉)丙午日戊子(金匮吉)己丑(天德吉)庚寅(白虎凶)辛卯(玉堂吉)壬辰(截路凶)癸巳(截路凶)甲午(司命吉)乙未(勾陈凶)丙申(青龙吉)丁酉(明堂吉)戊戌(天牢凶)己亥(朱雀凶)丙申日戊子(青龙吉)己丑(明堂吉)庚寅(天刑凶)辛卯(朱雀凶)壬辰(金匮吉)癸巳(天德吉)甲午(白虎凶)乙未(玉堂吉)丙申(天牢凶)丁酉(元武凶)戊戌(司命吉)己亥(勾陈凶)丙戌日戊子(天牢凶)己丑(元武凶)庚寅(司命吉)辛卯(勾陈凶)壬辰(天乙贵人吉)癸巳(贵人明堂吉)甲午(天刑凶)乙未(朱雀凶)丙申(金匮吉)丁酉(天德吉)戊戌(白虎凶)己亥(玉堂吉)丁丑日庚子(天刑凶)辛丑(朱雀凶)壬寅(金匮吉)癸卯(天德吉)甲辰(白虎凶)乙巳(玉堂吉)丙午(天牢凶)丁未(元武凶)戊申(司命吉)己酉(勾陈凶)庚戌(青龙吉辛亥(明堂贵人吉)丁卯日庚子(司命吉)辛丑(勾陈凶)壬寅(青龙天贵吉)癸卯(明德吉)甲辰(天刑凶)乙巳(朱雀凶)丙午(金匮凶)丁未(天德贵人吉)戊申(白虎吉)己酉(玉堂贵人吉)庚戌(天牢凶)辛亥(元武凶)丁巳日庚子(白虎凶)辛丑(玉堂吉)壬寅(截路凶)癸卯(截路凶)甲辰(司命玉堂吉)乙巳(勾陈凶)丙午(青龙吉)丁未(明堂吉)戊申(天刑凶)己酉(朱雀凶)庚戌(金吉)辛亥(天德贵人吉)丁未日庚子(天刑凶)辛丑(朱雀凶)壬寅(金匮吉)癸卯(天德吉)甲辰(白虎凶)乙巳(玉堂吉)丙午(天牢凶)丁未(元武凶)戊申(司命吉)己酉(勾陈凶)庚戌(青龙吉)辛亥(明堂贵人吉)庚子(司命黄道吉)辛丑(勾陈凶)壬寅(天贵青龙吉)癸卯(天乙明堂吉)甲辰(天刑吉凶)乙巳(朱雀凶)丙午(金匮吉)丁未(天德吉)戊申(白虎凶)己酉(玉堂贵人吉)庚戌(天牢凶)辛亥(元武凶)丁亥日庚子(白虎凶)辛丑(玉堂吉)壬寅(截路凶)癸卯(截路空亡凶)甲辰(司命黄道吉)乙巳(勾陈凶)丙午(青龙吉)丁未(明堂吉)戊申(天刑凶)己酉(朱雀凶)庚戌(金匮吉)辛亥(天吉)戊子日壬子(金匮吉)癸丑(天德吉)甲寅(白虎凶)乙卯(玉堂吉)丙辰(天牢凶)丁巳(元武凶)戊午(司命吉)己未(勾陈凶)庚申(青龙吉)辛酉(明堂吉)壬戌(天刑凶)癸亥(朱雀凶)戊寅日庚子(青龙吉)辛丑(明堂吉)壬寅(天刑凶)癸卯(朱雀凶)甲辰(金匮吉)乙巳(天德吉)丙午(白虎凶)丁未(玉堂吉)戊申(天牢凶)己酉(朱雀凶)庚戌(司命吉)辛亥(勾陈凶)戊辰日庚子(天牢凶)辛丑(元武凶)壬寅(司命吉)癸卯(勾陈凶)甲辰(青龙吉)乙巳(明堂吉)丙午(天刑凶)丁未(朱雀凶)戊申(金匮吉)己酉(天德六合吉)庚戌(白虎凶)辛亥(玉堂吉)戊午日壬子(金匮吉)癸丑(天德吉)甲寅(白虎凶)乙卯(玉堂吉)丙辰(天牢凶)丁巳(元武凶)戊午(司命吉)己未(勾陈凶)庚申(青龙吉)辛酉(明堂吉)壬戌(天刑凶)癸亥(朱雀凶)戊申日庚子(青龙吉)辛丑(天官吉)壬寅(天刑凶)癸卯(朱雀凶)甲辰(金匮吉)乙巳(天德吉)丙午(天牢凶)丁未(天乙贵人吉)戊申(天牢凶)己酉(勾陈凶)庚戌(司命吉)辛亥(勾陈凶)戊戌日庚子(截路凶)辛丑(截路凶)壬寅(天乙明堂吉)癸卯(勾陈凶)甲辰(青龙吉)乙巳(明堂吉)丙午(截路凶)丁未(朱雀凶)戊申(金匮吉)己酉(天德吉)庚戌(白虎凶)辛亥(玉堂吉)己丑日甲子(天寡孤辰凶)乙丑(朱雀凶)丙寅(金匮福神吉)丁卯(天德吉)戊辰(白虎凶)己巳(天德吉)庚午(空亡凶)辛未(元武凶)壬申(司命吉)癸酉(截路凶)甲戌(青龙吉)乙亥(勾陈凶)己卯日甲子(司命 吉) 乙丑(勾陈 凶) 丙寅(青龙 吉) 丁卯(明堂 吉)戊辰(天刑 凶) 己巳(朱雀 凶) 庚午(贵人 吉) 辛未(天德 吉)壬申(截路 凶) 癸酉(玉堂 吉) 甲戌(天牢 凶) 乙亥(元武 凶)甲子(白虎 凶) 乙丑(玉堂 吉) 丙寅(天牢 凶) 丁卯(元武凶)戊辰(司命 吉) 己巳(勾陈 凶) 庚午(青龙 吉) 辛未(明堂 吉)壬申(截路 凶) 癸酉(截路空亡 凶) 甲戌(金匮 吉) 乙亥(天德吉)己未日甲子(天刑凶)乙丑(朱雀凶)丙寅(金匮吉)丁卯(天德吉)戊辰(白虎凶)己巳(玉堂吉)庚午(天牢凶)辛未(元武凶)壬申(司命吉)癸酉(截路凶)甲戌(青龙吉)乙亥(明堂吉)己酉日甲子(天乙贵人 吉) 乙丑(勾陈 凶) 丙寅(青龙 吉) 丁卯(明堂 吉)戊辰(天刑 脉 凶) 己巳(朱雀 凶) 庚午(金匮 吉) 辛未(天德 吉)壬申(截路 凶) 癸酉(司命 吉) 甲戌(天牢 凶) 乙亥(元武 凶)己亥日甲子(白虎 凶) 乙丑(玉堂 吉) 丙寅(天牢 凶) 丁卯(朱雀 凶)戊辰(司命 吉) 己巳(勾陈 凶) 庚午(青龙 吉) 辛未(玉堂 吉)壬申(截路 凶) 癸酉(截路 凶) 甲戌(金匮 吉) 乙亥(天德 吉)庚子日丙子(金匮吉)丁丑(天德贵人 吉)戊寅(白虎凶)己卯(玉堂吉)庚辰(天牢凶)辛巳(元武凶)壬午(司命吉)癸未(截路凶)甲申(青龙吉)乙酉(明堂吉)丙戌(天刑凶)丁亥(朱雀 凶)庚寅日丙子(青龙吉)丁丑(明堂 吉)戊寅(天刑凶)己卯(朱雀 凶)庚辰(金匮吉)辛巳(天德吉)壬午(空亡凶)癸未(福德天官吉)甲申(天牢凶)乙酉(元武凶)丙戌(黄道吉)丁亥(勾陈凶)庚辰日丙子(天牢凶)丁丑(元武 凶)戊寅(司命金匮吉)己卯(勾陈凶)庚辰(青龙吉)辛巳(明堂吉)壬午(天刑凶)癸未(朱雀 凶)甲申(天寡凶)乙酉(天德吉)丙戌(白虎凶)丁亥(玉堂吉)庚午日丙子(金匮吉)丁丑(天德 吉)戊寅(白虎凶)己卯(玉堂吉)庚辰(天牢凶)辛巳(元武凶)壬午(司命吉)癸未(截路凶)甲申(青龙吉)乙酉(明堂吉)丙戌(天寡天刑凶)丁亥(朱雀 凶)庚申日丙子(青龙吉)丁丑(明堂贵人 吉)戊寅(天刑凶)己卯(朱雀 凶)庚辰(金匮吉)辛巳(天德吉)壬午(青龙吉)癸未(玉堂金匮吉)甲申(天牢凶)乙酉(元武凶)丙戌(司命吉)丁亥(勾陈凶)庚戌日丙子(天牢凶)丁丑(元武 凶)戊寅(司命吉)己卯(勾陈凶)庚辰(青龙吉)辛巳(明堂吉)壬午(截路凶)癸未(截路 凶)甲申(金匮吉)乙酉(天德吉)丙戌(白虎凶)丁亥(玉堂吉)辛丑日戊子(天刑天牢凶)己丑(朱雀凶)庚寅(金匮吉)辛卯(天德三合吉)壬辰(截路凶)癸巳(天官福星吉)甲午(黑煞凶)乙未(元武天牢凶)丙申(司命喜神吉)丁酉(勾陈凶戊戌(青龙吉)己亥(明堂三合吉)辛卯日戊子(司命吉)己丑(勾陈凶)庚寅(青龙贵吉)辛卯(明堂吉)壬辰(截路空亡凶)癸巳(截路凶)甲午(金匮吉)乙未(天德吉)丙申(白虎凶)丁酉(玉堂吉)戊戌(天牢凶)己亥(元武凶)辛巳日戊子(白虎凶)己丑(玉堂吉)庚寅(天牢凶)辛卯(元武凶)壬辰(贵人黄道吉)癸巳(截路凶)甲午(天乙贵人吉)乙未(明堂吉)丙申(天刑凶)丁酉(朱雀凶)戊戌(金匮吉)己亥(朱雀凶)辛未日戊子(天刑天牢凶)己丑(朱雀凶)庚寅(金匮吉)辛卯(天德三合吉)壬辰(截路凶)癸巳(天官贵人吉)甲午(黑煞凶)乙未(元武凶)丙申(司命喜神吉)丁酉(勾陈凶)戊戌(青龙吉)己亥(明堂三合吉)辛酉日戊子(司命吉)己丑(勾陈凶)庚寅(青龙贵人吉)辛卯(明堂吉)壬辰(截路凶)癸巳(截路凶)甲午(金匮吉)乙未(天德吉丙申(白虎凶)丁酉(玉堂吉)戊戌(天牢凶)己亥(元武凶)辛亥日戊子(白虎凶)己丑(玉堂吉)庚寅(天牢凶)辛卯(元武凶)壬辰(司命吉)癸巳(勾陈凶)甲午(青龙吉)乙未(勾陈吉)丙申(天刑凶)丁酉(朱雀凶)戊戌(金匮吉)己亥(天德凶)壬子日庚子(金匮吉)辛丑(天德吉)壬寅(截凶)癸卯(玉堂吉)甲辰(天牢凶)乙巳(元武凶)丙午(司命吉)丁未(勾陈凶)戊申(青龙吉)己酉(明堂吉)庚戌(天刑凶)辛亥(朱雀凶)壬寅日庚子(青龙吉)辛丑(明堂 吉)壬寅(天刑凶)癸卯(朱雀 凶)甲辰(金匮吉)乙巳(天乙贵人吉)丙午(白虎凶)丁未(玉堂吉)戊申(天牢凶)己酉(元武凶)庚戌(司命吉)辛亥(勾陈凶)壬辰日庚子(天牢凶)辛丑(元武凶)壬寅(司命吉)癸卯(截路凶)甲辰(青龙吉)乙巳(天乙贵人吉)丙午(天刑凶)丁未(朱雀凶)戊申(金匮吉)己酉(天乙贵人吉)庚戌(白虎凶)辛亥(天德吉)壬午日庚子(金匮吉)辛丑(天德吉)壬寅(截路凶)癸卯(玉堂吉)甲辰(天牢凶)乙巳(截路凶)丙午(司命吉)丁未(勾陈凶)戊申(青龙吉)己酉(明堂吉)庚戌(天牢凶)辛亥(朱雀凶)壬申日庚子(青龙吉)辛丑(明堂 吉)壬寅(天刑凶)癸卯(截路 凶)甲辰(金匮吉)乙巳(天乙贵人吉)丙午(白虎凶)丁未(玉堂吉)戊申(天牢凶)己酉(元武凶)庚戌(司命吉)辛亥(勾陈凶)壬戌日庚子(天刑凶)辛丑(元武凶)壬寅(司命吉)癸卯(截路凶)甲辰(青龙吉)乙巳(明堂吉)丙午(天牢凶)丁未(朱雀凶)戊申(金匮吉)己酉(天德吉)庚戌(白虎凶)辛亥(玉堂吉)癸丑日壬子(截路凶)癸丑(截路凶)甲寅(金匮吉)乙卯(天德吉)丙辰(白虎凶)丁巳(玉堂吉)戊午(天刑天牢凶)己未(元武凶)庚申(司命吉)辛酉(勾陈凶)壬戌(青龙吉)癸亥(明堂吉)癸卯日壬子(司命 吉) 癸丑(天寡孤辰 凶) 甲寅(青龙 吉) 乙卯(明堂吉)丙辰(天刑 凶) 丁巳(朱雀黑道 凶) 戊午(金匮福德 吉) 己未(勾陈凶)庚申(白虎 凶)辛酉(玉堂 吉) 壬戌(天牢 凶) 癸亥(黑道 凶)癸已日壬子(截路 凶) 癸丑(天乙玉堂 吉) 甲寅(天牢 凶) 乙卯(元武凶)丙辰(司命 吉) 丁巳(勾陈 凶) 戊午(青龙 吉) 己未(明堂 吉)庚申(天刑 凶) 辛酉(朱雀 凶) 壬戌(金匮 吉) 癸亥(天德 吉)癸未日壬子(截路凶)癸丑(截路凶)甲寅(金匮吉)乙卯(天德吉)丙辰(白虎凶)丁巳(玉堂吉)戊午(天牢凶)己未(元武凶)庚申(司命吉)辛酉(勾陈凶)壬戌(青龙吉)癸亥(明堂吉)癸酉日壬子(司命 吉) 癸丑(天寡孤辰 凶) 甲寅(青龙 吉) 乙卯(贵人 吉)丙辰(天刑 凶) 丁巳(朱雀黑道 凶) 戊午(金匮福德 吉) 己未(天德吉)庚申(白虎 凶) 辛酉(玉堂 吉) 壬戌(天牢 凶) 癸亥(黑道 凶)癸亥日壬子(截路凶)癸丑(玉堂吉)甲寅(天牢凶)乙卯(元武凶)丙辰(司命吉)丁巳(勾陈凶)戊午(青龙吉)己未(明堂吉)庚申(天刑凶)辛酉(朱雀凶)壬戌(金匮吉)癸亥(天德吉。
六十日防克六甲日死者甲子日:亡者殃起一仗八尺,男化青气落在西南未地,女化青气落东南辰地,死尸不僵,眼不合,口不开,内妨三口,外妨东北一口。
忌辛未人,又妨东三家。
镇用白杨木人三个,青绢八寸,东北方埋之大吉。
甲戌日:亡者殃起一丈四尺,男化青气落西南未地。
女化白气落东北丑地,内外妨二口,忌甲子生人,又妨北四家。
镇用赤桐木人二个,长五寸,入相镇之大吉。
甲申日:亡者殃起一丈六尺,男化青气落西南未地,女化白气落东北丑地,不出三十日,内妨小儿一口,内呼壬戊辰人,呼戊申年生人,又妨西二家。
镇法:用纸人一个,扔井中大吉。
甲寅日:亡者殃起一丈六尺,男化青气落西南未地,女化青气落西南未地,不出九十日,内妨三口,忌乙未年生人,又妨东三家东南二家,杀男子。
镇用古城上做泥人三个,埋月空方大吉。
甲辰日:亡者殃起一丈四尺,男化青气落西南未地,女化黄气落东南辰地。
口眼不合,不出九十日,内妨二口,外妨东南二口,忌壬辰人,又妨东一家,北一家。
镇用杨木人二个,埋东南十字路口大吉。
甲午日:亡者殃起一丈八尺,男化青气落西南未地,女化红气落西北戌地,内外无妨,又妨南二家。
六乙日死者乙丑日:亡者殃起一丈六尺,男化青气落西南未地,女化黄气落西南未地,三十日内妨三口,外妨正南二口。
忌丁丑人,又妨西三家。
镇用杨木人三个,纸人二个,埋月空方大吉。
乙卯日:亡者殃起一丈四尺,男化青气落东南辰地,女化黑气落东南辰地,内外无妨,忌甲子人,又妨北一甲,犯重复。
乙亥日:亡者殃起一丈而尺,男化青气落西南未地,女化黑气落东南辰地,死者口眼不合,不出六十日,内妨三口,外妨正北一家,忌乙未人,又妨东二家,西二家,犯重复。
镇用大德土做人二个清布三尺,一同埋于地下。
小鸡一个,内盛甘草,桑木;岁德土做人五个,入棺大吉。
乙酉日:亡者殃起一丈四尺,男化青气落西南未地,女化白气落东北丑地,口眼不合,不出八十日,内妨一口,外妨正南一口,忌内子人,呼丙戌相,又妨东三家,犯重复。
镇用枣木人一个,朱砂一钱,埋酉地。
六十甲子日吉凶时辰对照表展开全文六十甲子日吉凶时辰对照表甲子日甲子(金匮吉)乙丑(天德贵人吉)丙寅(白虎凶)丁卯(玉堂天开吉神吉)戊辰(天牢凶)己巳(元武黑道凶)庚午(司令金星吉)辛未(勾陈凶)壬申(青龙吉)癸酉(明堂吉)甲戌(天刑孤辰凶)乙亥(朱雀天讼凶)甲寅日甲子(青龙吉)乙丑(贵人明堂吉)丙寅(天刑凶)丁卯(元武凶)戊辰(金匮吉)己巳(天德吉)庚午(白虎凶)辛未(玉堂吉)壬申(空亡凶)癸酉(截路凶)甲戌(司命贵人吉)乙亥(勾陈凶)甲辰日甲子(元武天牢凶)乙丑(截路空亡凶)丙寅(三合黄道吉)丁卯(勾陈凶)戊辰(青龙吉)己巳(黄道明堂吉)庚午(天刑五鬼凶)辛未(朱雀凶)壬申(金匮吉)癸酉(天德黄道吉)甲戌(白虎凶)乙亥(玉堂天开吉神吉) 甲午日甲子(金匮吉)乙丑(天乙贵人吉)丙寅(白虎凶)丁卯(玉堂吉)戊辰(天牢凶)己巳(元武凶)庚午(司命吉)辛未(勾陈凶)壬申(青龙吉)癸酉(明堂吉)甲戌(天刑凶)乙亥(朱雀凶)甲申日甲子(青龙吉)乙丑(明堂吉)丙寅(天牢凶)丁卯(朱雀凶)戊辰(金匮吉)己巳(天德吉)庚午(白虎凶)辛未(玉堂吉)壬申(截路凶)癸酉(截路凶)甲戌(司命吉)乙亥(勾陈凶)甲戌日甲子(元武天刑凶)乙丑(截路空亡凶)丙寅(三合黄道吉)丁卯(勾陈凶)戊辰(青龙吉)己巳(黄道明堂吉)庚午(天牢五鬼凶)辛未(玉堂吉)壬申(金匮吉)癸酉(天德黄道吉)甲戌(白虎凶)乙亥(天开玉堂吉)乙丑日丙子(天刑凶)丁丑(朱雀凶)戊寅(金匮吉)己卯(天德吉)庚辰(白虎凶)辛巳(玉堂吉)壬午(天牢凶)癸未(元武凶)甲申(贵人司命吉)乙酉(勾陈凶)丙戌(青龙吉)丁亥(明堂吉)乙卯日丙子(司命贵人吉)丁丑(勾陈凶)戊寅(青龙吉)己卯(明堂吉)庚辰(天刑凶)辛巳(朱雀凶)壬午(金匮吉)癸未(天德吉)甲申(白虎凶)乙酉(玉堂吉)丙戌(天牢凶)丁亥(元凶)乙巳日丙子(白虎凶)丁丑(天德吉)戊寅(天牢凶)己卯(寡宿五鬼凶)庚辰(司命黄道吉)辛巳(勾陈凶)壬午(青龙明堂吉)癸未(勾陈凶)甲申(朱雀凶)乙酉(天刑凶)丙戌(金匮吉)丁亥(天德吉)乙未日丙子(天刑凶)丁丑(朱雀凶)戊寅(金匮吉)己卯(天德吉)庚辰(白虎凶)辛巳(玉堂吉)壬午(截路空亡凶)癸未(截路凶)甲申(司命吉)乙酉(勾陈凶)丙戌(青龙吉)丁亥(明堂吉)乙酉日丙子(天乙贵人吉)丁丑(勾陈凶)戊寅(青龙吉)己卯(明堂吉)庚辰(天牢凶)辛巳(朱雀凶)壬午(天贵黄道吉)癸未(天德吉)甲申(白虎凶)乙酉(玉堂吉)丙戌(天牢凶)丁亥(元武凶)乙亥日丙子(白虎凶)丁丑(天德吉)戊寅(天牢凶)己卯(寡宿五鬼凶)庚辰(司命黄道吉)辛巳(勾陈凶)壬午(青龙明堂吉)癸未(勾陈凶)(朱雀凶)乙酉(天刑凶)丙戌(金匮吉)丁亥(天德吉)丙子日戊子(金匮吉)己丑(天德吉)庚寅(白虎凶)辛卯(玉堂吉)壬辰(截路凶)癸巳(截路凶)甲午(司命吉)乙未(勾陈凶)丙申(青龙吉)丁酉(明堂贵人吉)戊戌(天刑凶)己亥(朱雀凶)丙寅日戊子(青龙吉)己丑(明堂吉)庚寅(天刑凶)辛卯(朱雀凶)壬辰(金匮吉)癸巳(天德吉)甲午(白虎凶)乙未(明堂吉)丙申(天牢凶)丁酉(元武凶)戊戌(司命太阴吉)己亥(勾陈凶)丙辰日戊子(天刑凶)己丑(元武凶)庚寅(司命吉)辛卯(勾陈凶)壬辰(青龙吉)癸巳(天乙黄道吉)甲午(天牢凶)乙未(朱雀凶)丙申(金匮吉)丁酉(天德贵人吉)戊戌(白虎凶)己亥(玉堂贵人吉)丙午日戊子(金匮吉)己丑(天德吉)庚寅(白虎凶)辛卯(玉堂吉)壬辰(截路凶)癸巳(截路凶)甲午(司命吉)乙未(勾陈凶)丙申(青龙吉)丁(明堂凶)戊戌(天牢凶)己亥(朱雀凶)丙申日戊子(青龙吉)己丑(明堂吉)庚寅(天刑凶)辛卯(朱雀凶)壬辰(金匮吉)癸巳(天德吉)甲午(白虎凶)乙未(玉堂吉)丙申(天牢凶)丁酉(元武凶)戊戌(司命吉)己亥(勾陈凶)丙戌日戊子(天牢凶)己丑(元武凶)庚寅(司命吉)辛卯(勾陈凶)壬辰(天乙贵人吉)癸巳(贵人明堂吉)甲午(天刑凶)乙未(朱雀凶)丙申(金匮吉)丁酉(天德吉)戊戌(白虎凶)己亥(玉堂吉)丁丑日庚子(天刑凶)辛丑(朱雀凶)壬寅(金匮吉)癸卯(天德吉)甲辰(白虎凶)乙巳(玉堂吉)丙午(天牢凶)丁未(元武凶)戊申(司命吉)己酉(勾陈凶)庚戌(青龙吉)辛亥(明堂贵人吉)丁卯日庚子(司命吉)辛丑(勾陈凶)壬寅(青龙天贵吉)癸卯(明堂吉)甲辰(天刑凶)乙巳(朱雀凶)丙午(金匮吉)丁未(天德贵人吉)戊申(白虎凶)己酉(玉堂贵人吉)庚戌(天牢凶)辛亥(元武凶)丁巳日戊子(青龙吉)己丑(明堂吉)庚寅(天刑凶)辛卯(朱雀凶)壬辰(金匮吉)癸巳(天德吉)甲午(白虎凶)乙未(玉堂吉)丙申(天牢凶)丁酉(元武凶)戊戌(司命吉)己亥(勾陈凶)丙戌日戊子(天牢凶)己丑(元武凶)庚寅(司命吉)辛卯(勾陈凶)壬辰(天乙贵人吉)癸巳(贵人明堂吉)甲午(天刑凶)乙未(朱雀凶)丙申(金匮吉)丁酉(天德吉)戊戌(白虎凶)己亥(玉堂吉)丁丑日庚子(天刑凶)辛丑(朱雀凶)壬寅(金匮吉)癸卯(天德吉)甲辰(白虎凶)乙巳(玉堂吉)丙午(天牢凶)丁未(元武凶)戊申(司命吉)己酉(勾陈凶)庚戌(青龙吉)辛亥(明堂贵人吉)丁卯日庚子(司命吉)辛丑(勾陈凶)壬寅(青龙天贵吉)癸卯(明堂吉)甲辰(天刑凶)乙巳(朱雀凶)丙午(金匮吉)丁未(天德贵人吉)戊申(白虎凶)己酉(玉堂贵人吉)庚戌(天牢凶)辛亥(元武凶)丁巳日庚子(白虎凶)辛丑(玉堂吉)壬寅(截路凶)癸卯(截路凶)甲辰(司命玉堂吉)乙巳(勾陈凶)丙午(青龙吉)丁未(明堂吉)戊申(天刑凶)己酉(朱雀凶)庚戌(金匮吉)辛亥(天德贵人吉)丁未日庚子(天刑凶)辛丑(朱雀凶)壬寅(金匮吉)癸卯(天德吉)甲辰(白虎凶)乙巳(玉堂吉)丙午(天牢凶)丁未(元武凶)戊申(司命吉)己酉(勾陈凶)庚戌(青龙吉)辛亥(明堂贵人吉)庚子(司命黄道吉)辛丑(勾陈凶)壬寅(天贵青龙吉)癸卯(天乙明堂吉)甲辰(天刑凶)乙巳(朱雀凶)丙午(金匮吉)丁未(天德吉)戊申(白虎凶)己酉(玉堂贵人吉)庚戌(天牢凶)辛亥(元武凶)丁亥日庚子(白虎凶)辛丑(玉堂吉)壬寅(截路凶)癸卯(截路空亡凶)甲辰(司命黄道吉)乙巳(勾陈凶)丙午(青龙吉)丁未(明堂吉)戊申(天刑凶)己酉(朱雀凶)庚戌(金匮吉)辛亥(天德吉)戊子日壬子(金匮吉)癸丑(天德吉)甲寅(白虎凶)乙卯(玉堂吉)丙辰(天牢凶)丁巳(元武凶)(司命吉)己未(勾陈凶)庚申(青龙吉)辛酉(明堂吉)壬戌(天刑凶)癸亥(朱雀凶)戊寅日壬子(青龙吉)癸丑(明堂吉)甲寅(天刑凶)乙卯(朱雀凶)丙辰(金匮吉)丁巳(天德吉)戊午(白虎凶)己未(玉堂吉)庚申(天牢凶)辛酉(朱雀凶)壬戌(司命吉)癸亥(勾陈凶)戊辰日壬子(天牢凶)癸丑(元武凶)甲寅(司命吉)乙卯(勾陈凶)丙辰(青龙吉)丁巳(明堂吉)戊午(天刑凶)己未(朱雀凶)庚申(金匮吉)辛酉(天德六合吉)壬戌(白虎凶)癸亥(玉堂戊午日壬子(金匮吉)癸丑(天德吉)甲寅(白虎凶)乙卯(玉堂吉)丙辰(天牢凶)丁巳(元武凶)戊午(司命吉)己未(勾陈凶)庚申(青龙吉)辛酉(明堂吉)壬戌(天刑凶)癸亥(朱雀凶)戊申日庚子(青龙吉)辛丑(天官吉)壬寅(天刑凶)癸卯(朱雀凶)甲辰(金匮吉)乙巳(天德吉)丙午(天牢凶)丁未(天乙贵人吉)戊申(天牢凶)己酉(勾陈凶)庚戌(司命吉)辛亥(勾陈凶)戊戌日壬子(截路凶)癸丑(截路凶)甲寅(天乙明堂吉)乙卯(勾陈凶)丙辰(青龙吉)丁巳(明堂吉)戊午(截路凶)己未(朱雀凶)庚申(金匮吉)幸酉(天德吉)壬戌(白虎凶)癸亥(玉堂吉)己丑日甲子(天寡孤辰凶)乙丑(朱雀凶)丙寅(金匮福神吉)丁卯(天德吉)戊辰(白虎凶)己巳(天德吉)庚午(空亡凶)辛未(元武凶)壬申(司命吉)癸酉(截路凶)甲戌(青龙吉)乙亥(勾陈凶)己卯日甲子(司命吉)乙丑(勾陈凶)丙寅(青龙吉)丁卯(明堂吉)戊辰(天刑凶)己巳(朱雀凶)庚午(贵人吉)辛未(天德吉)壬申(截路凶)癸酉(玉堂吉)甲戌(天牢凶)乙亥(元武凶)己巳日甲子(白虎凶)乙丑(玉堂吉)丙寅(天牢凶)丁卯(元武凶)戊辰(司命吉)己巳(勾陈凶)庚午(青龙吉)辛未(明堂吉)壬申(截路凶)癸酉(截路空亡凶)甲戌(金匮吉)乙亥(天德吉)己未日甲子(天刑凶)乙丑(朱雀凶)丙寅(金匮吉)丁卯(天德吉)戊辰(白虎凶)己巳(玉堂吉)庚午(天牢凶)辛未(元武凶)壬申(司命吉)癸酉(截路凶)甲戌(青龙吉)乙亥(明堂吉)己酉日甲子(天乙贵人吉)乙丑(勾陈凶)丙寅(青龙吉)丁卯(明堂吉)戊辰(天刑凶)己巳(朱雀凶)庚午(金匮吉)辛未(天德吉)壬申(截路凶)癸酉(司命吉)甲戌(天牢凶)乙亥(元武凶)己亥日甲子(白虎凶)乙丑(玉堂吉)丙寅(天牢凶)丁卯(朱雀凶)戊辰(司命吉)己巳(勾陈凶)庚午(青龙吉)辛未(玉堂吉)壬申(截路凶)癸酉(截路凶)甲戌(金匮吉)乙亥(天德吉)庚子日丙子(金匮吉)丁丑(天德贵人吉)戊寅(白虎凶)己卯(玉堂吉)庚辰(天牢凶)辛巳(元武凶)壬午(司命吉)癸未(截路凶)甲申(青龙吉)乙酉(明堂吉)丙戌(天刑凶)丁亥(朱雀凶)庚寅日丙子(青龙吉)丁丑(明堂吉)戊寅(天刑凶)己卯(朱雀凶)庚辰(金匮吉)辛巳(天德吉)壬午(空亡凶)癸未(福德天官吉)甲申(天牢凶)乙酉(元武凶)丙戌(黄道吉)丁亥(勾陈凶)庚辰日丙子(天牢凶)丁丑(元武凶)戊寅(司命金匮吉)己卯(勾陈凶)庚辰(青龙吉)辛巳(明堂吉)壬午(天刑凶)癸未(朱雀凶)甲申(天寡凶)乙酉(天德吉)丙戌(白虎凶)丁亥(玉堂吉)庚午日丙子(金匮吉)丁丑(天德吉)戊寅(白虎凶)己卯(玉堂吉)庚辰(天牢凶)辛巳(元武凶)壬午(司命吉)癸未(截路凶)甲申(青龙吉)乙酉(明堂吉)丙戌(天寡天刑凶)丁亥(朱雀凶)庚申日丙子(青龙吉)丁丑(明堂贵人吉)戊寅(天刑凶)己卯(朱雀凶)庚辰(金匮吉)辛巳(天德吉)壬午(青龙吉)癸未(玉堂金匮吉)甲申(天牢凶)乙酉(元武凶)丙戌(司命吉)丁亥(勾陈凶)庚戌日丙子(天牢凶)丁丑(元武凶)戊寅(司命吉)己卯(勾陈凶)庚辰(青龙吉)辛巳(明堂吉)壬午(截路凶)癸未(截路凶)甲申(金匮吉)乙酉(天德吉)丙戌(白虎凶)丁亥(玉堂吉)辛丑日戊子(天刑天牢凶)己丑(朱雀凶)庚寅(金匮吉)辛卯(天德三合吉)壬辰(截路凶)癸巳(天官福星吉)甲午(黑煞凶)乙未(元武天牢凶)丙申(司命喜神吉)丁酉(勾陈凶)戊戌(青龙吉)己亥(明堂三合吉)辛卯日戊子(司命吉)己丑(勾陈凶)庚寅(青龙贵人吉)辛卯(明堂吉)壬辰(截路空亡凶)癸巳(截路凶)甲午(金匮吉)乙未(天德吉)丙申(白虎凶)丁酉(玉堂吉)戊戌(天牢凶)己亥(元武凶)辛巳日戊子(白虎凶)己丑(玉堂吉)庚寅(天牢凶)辛卯(元武凶)壬辰(贵人黄道吉)癸巳(截路凶)甲午(天乙贵人吉)乙未(明堂吉)丙申(天刑凶)丁酉(朱雀凶)戊戌(金匮吉)己亥(朱雀凶)辛未日戊子(天刑天牢凶)己丑(朱雀凶)庚寅(金匮吉)辛卯(天德三合吉)壬辰(截路凶)癸巳(天官贵人吉)甲午(黑煞凶)乙未(元武凶)丙申(司命喜神吉)丁酉(勾陈凶)戊戌(青龙吉)己亥(明堂三合吉)辛酉日戊子(司命吉)己丑(勾陈凶)庚寅(青龙贵人吉)辛卯(明堂吉)壬辰(截路凶)癸巳(截路凶)甲午(金匮吉)乙未(天德吉)丙申(白虎凶)丁酉(玉堂吉)戊戌(天牢凶)己亥(元武凶)辛亥日戊子(白虎凶)己丑(玉堂吉)庚寅(天牢凶)辛卯(元武凶)壬辰(司命吉)癸巳(勾陈凶)甲午(青龙吉)乙未(勾陈凶)丙申(天刑凶)丁酉(朱雀凶)戊戌(金匮吉)己亥(天德吉)壬子日庚子(金匮吉)辛丑(天德吉)壬寅(截路凶)癸卯(玉堂吉)甲辰(天牢凶)乙巳(元武凶)丙午(司命吉)丁未(勾陈凶)戊申(青龙吉)己酉(明堂吉)庚戌(天刑凶)辛亥(朱雀凶)壬寅日庚子(青龙吉)辛丑(明堂吉)壬寅(天刑凶)癸卯(截路凶)甲辰(金匮吉)乙巳(天乙贵人吉)丙午(白虎凶)丁未(玉堂吉)戊申(天牢凶)己酉(元武凶)庚戌(司命吉)辛亥(勾陈凶)庚子(天牢凶)辛丑(元武凶)壬寅(司命吉)癸卯(截路凶)甲辰(青龙吉)乙巳(天乙贵人吉)丙午(天刑凶)丁未(朱雀凶)戊申(金匮吉)己酉(天乙贵人吉)庚戌(白虎凶)辛亥(天德吉)壬午日庚子(金匮吉)辛丑(天德吉)壬寅(截路凶)癸卯(贵人吉)甲辰(天牢凶)乙巳(截路凶)丙午(司命吉)丁未(勾陈凶)戊申(青龙吉)己酉(明堂吉)庚戌(天牢凶)辛亥(朱雀凶)壬申日庚子(青龙吉)辛丑(明堂吉)壬寅(天刑凶)癸卯(截路凶)甲辰(金匮吉)乙巳(天乙贵人吉)丙午(白虎凶)丁未(玉堂吉)戊申(天牢凶)己酉(元武凶)庚戌(司命吉)辛亥(勾陈凶)壬戌日庚子(天刑凶)辛丑(元武凶)壬寅(司命吉)癸卯(截路凶)甲辰(青龙吉)乙巳(明堂吉)丙午(天牢凶)丁未(朱雀凶)戊申(金匮吉)己酉(天德吉)庚戌(白虎凶)辛亥(玉堂吉)癸丑日壬子(截路凶)癸丑(截路凶)甲寅(金匮吉)乙卯(天德吉)丙辰(白虎凶)丁巳(玉堂吉)戊午(天刑天牢凶)己未(元武凶)庚申(司命吉)辛酉(勾陈凶)壬戌(青龙吉)癸亥(明堂癸卯日壬子(司命吉)癸丑(天寡孤辰凶)甲寅(青龙吉)乙卯(贵人吉)丙辰(天刑凶)丁巳(朱雀黑道凶)戊午(金匮福德吉)己未(勾陈凶)庚申(白虎凶)辛酉(玉堂吉)壬戌(天牢凶)癸亥(黑道凶)癸巳日壬子(截路凶)癸丑(天乙玉堂吉)甲寅(天牢凶)乙卯(元武凶)丙辰(司命吉)丁巳(勾陈凶)戊午(青龙吉)己未(明堂吉)庚申(天刑凶)辛酉(朱雀凶)壬戌(金匮吉)癸亥(天德吉)癸未日壬子(截路凶)癸丑(截路凶)甲寅(金匮吉)乙卯(天德吉)丙辰(白虎凶)丁巳(玉堂吉)戊午(天牢凶)己未(元武凶)庚申(司命吉)辛酉(勾陈凶)壬戌(青龙吉)癸亥(明堂吉)癸酉日壬子(司命吉)癸丑(天寡孤辰凶)甲寅(青龙吉)乙卯(贵人吉)丙辰(天刑凶)丁巳(朱雀黑道凶)戊午(金匮福德吉)己未(天德吉)庚申(白虎凶)辛酉(玉堂吉)壬戌(天牢凶)癸亥(黑道凶)癸亥日壬子(截路凶)癸丑(玉堂吉)甲寅(天牢凶)乙卯(元武凶)丙辰(司命吉)丁巳(勾陈凶)戊午(青龙吉)己未(明堂吉)庚申(天刑凶)辛酉(朱雀凶)壬戌(金匮吉)癸亥(天德吉)。
六十甲子天克地冲表
说明: 1、天克地冲:就是天干相克,地支相冲.
2、下表规律:“逢七克、冲”例如甲子被庚午克冲 ,甲与庚相隔顺序是7,子与午相隔也是7 .?
序号 1 2 3 4 5 6 7
天干甲乙丙丁戊己庚
地支子丑寅卯辰巳午
六甲六乙六丁六丙六戊六己六庚六辛六壬六癸
天克地冲甲子乙丑丁卯丙寅戊辰己巳庚午辛未壬申癸酉庚午辛未壬申癸酉甲戌乙亥丙子丁丑戊寅己卯
天克地冲甲戌乙亥丙子丁丑戊寅己卯庚辰辛巳壬午癸未庚辰辛巳壬午癸未甲申乙酉丙戍丁亥戊子己丑
天克地冲甲申乙酉丙戌丁亥戊子己丑庚寅辛卯壬辰癸巳庚寅辛卯壬辰癸巳甲午乙未丙申丁酉戊戌己亥
天克地冲甲午乙未丙申丁酉戊戌己亥庚子辛丑壬寅癸卯庚子辛丑壬寅癸卯甲辰乙巳丙午丁未戊申己酉
天克地冲甲辰乙巳丙午丁未戊申己酉庚戌辛亥壬子癸丑庚戍辛亥壬子癸丑甲寅乙卯丙辰丁巳戊午己未
天克地冲甲寅乙卯丙辰丁己戊午己未庚申辛酉壬戌癸亥庚申辛酉壬戌癸亥甲子乙丑丁卯丙寅戊辰己巳。