广东佛山市普通高中2018届高考数学三轮复习冲刺模拟试题(1)含解析
- 格式:doc
- 大小:437.00 KB
- 文档页数:10
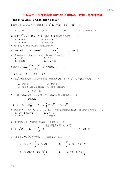
广东省中山市普通高中2017-2018学年高一数学1月月考试题共150分。
时间120分钟。
第Ⅰ卷 (60分)一、选择题(本大题共12个小题,每题5分,共60分;在每个小题给出的四个选项中,只有一项符合要求。
) 1.设{}021>-=x x S {}053>+=x x T 则=⋂T S ( )A.φB. ⎭⎬⎫⎩⎨⎧>21x x C. ⎭⎬⎫⎩⎨⎧<<-2135x x D. ⎭⎬⎫⎩⎨⎧<<-3521x x 2.若集合{}3,2,1=A ,则满足A B A =⋃的集合B 的个数是( )A.1B.2C.7D.83. 下列四组中,)(x f 与)(x g 表示同一函数的是( )Ax x f =)(, 2)(x x g =Bx x f =)(, 2)()(x x g =C2)(x x f =,xx x g 3)(=Dx x f =)(, =)(x g ⎩⎨⎧<-≥)0(,)0(,x x x x4.函数)(x f =2x11+的值域是( ) A.)1,0(B.]1,0(C.)1,0[D.[0,1]5.设)(x f =⎪⎩⎪⎨⎧≥-2)1(log 2e2231-x x x x <,则))2((f f =( )A.0B.1C.2D.36.下列结论正确的是( )A.kx y = (0<k )是增函数B.2x y =是R 上的增函数C. 11-=x y 是减函数 D. 22x y =(x =1,2,3,4,5)是增函数7.若b ax x f +=)(只有一个零点2,则ax bx x g -=2)(的零点是( )A.0,2B.0,21 C.0,21-D.2,21-8.若12822+++=kx kx kx y 定义域为R ,则k 取值范围是( ) A.)1,0[ B. ]1,0[C.]1,0(D. )1,0(9.已知14)(-+=x ax f 图象经过定点P ,则点P 的坐标是( )A.(1,5)B.(1,4)C.(0,4)D.(4,0)10.已知5)2(22+-+=x a x y 在(4,+∞)上是增函数,则a 取值范围是( )A.2-≤aB. 2-≥aC. 6-≤aD. 6-≥a11.已知3log 2=x ,则=-21x( )A.31 B.321C.331 D.42 12. )(x f 满足对任意的实数b a ,都有),()()(b f a f b a f ⋅=+且2)1(=f ,则=++++)2009()2010()5()6()3()4(f(1)f(2)f f f f f f ( ) A.1003B. 2010C.2008D. 1004第Ⅱ卷 (90分)二、填空题(本大题共4小题,每题4分,共16分)13.已知{}2,3,1+=m A ,{}2,3m B =,若B ⊆A ,则m =。
高考数学三轮复习冲刺模拟试题09不等式一、选择题1 .设x,y 满足约束条件⎪⎩⎪⎨⎧≥≥≥≤0y ,0x 0y -x 02-y -x 3,若目标函数z=ax+by(a>0,b>0)的最大值为2,则a 1+b 1的最小值为 ( )A .625 B .38 C .2 D .42 . ,,x y z 均为正实数,且22log x x =-,22log y y -=-,22log zz -=,则( )A .x y z <<B .z x y <<C .z y x <<D .y x z <<3 .设动点),(y x P 满足⎪⎪⎩⎪⎪⎨⎧≥≥≤+≤+00502402y x y x y x ,则y x z 25+=的最大值是( )A .50B .60C .70D .1004 .设3=2a log ,=2b ln ,12=5c -,则( )A .<<a b cB .<<b c aC .<<c a bD .<<c b a5 .9831log ,log 24a b c ===,则,,a b c 的大小关系是( )A .a b c >>B .b a c >>C .a c b >>D .b c a >>6 .已知实数x y ,满足2203x y x y y +≥⎧⎪-≤⎨⎪≤≤⎩,,,则2z x y =-的最小值是( )A .7B .-5C .4D .-77 .若0,,>c b a 且324)(-=+++bc c b a a ,则c b a ++2的最小值为( )A .13-B .13+C .232+D .232-8 .设x ,y 满足⎪⎩⎪⎨⎧≤--≥-≥+22142y x y x y x ,则y x z +=( )A .有最小值2,最大值3B .有最小值2,无最大值C .有最大值3,无最小值D .既无最小值,也无最大值二、填空题9.已知的最小值是5,则z 的最大值是______.10.已知变量x,y 满足约束条件⎪⎩⎪⎨⎧≤-≥+≤142y x y x y ,则y x z +=3的最大值为__________.11.已知函数2()()f x x ax b a b =++∈R ,的值域为[0)+∞,,若关于x 的不等式()f x c <的解集为(6)m m +,,则实数c 的值为 . 12.若关于x 的不等式211+()022n x x -≥对任意*n N ∈在(-,]x λ∈∞上恒成立,则实 常数λ的取值范围是 ; 13.已知132log a =,062b =.,43c =log ,则,,a b c 的大小关系为______________.14.非负实数x,y 满足⎩⎨⎧≤-+≤-+03042y x y x ,则3x y +的最大值为_______.三、解答题15.已知函数f (x )=x 2+2x+a (共10分)(1)当a=21时,求不等式f (x )>1的解集;(4分) (2)若对于任意x ∈[1,+∞),f (x )>0恒成立,求实数a 的取值范围;(6分)参考答案一、选择题 1. C 2. 【答案】A【解析】因为,,x y z 均为正实数,所以22log 1xx =->,即2log 1x <-,所以102x <<。
南海中学2018届高三理科数学考前模拟训练第Ⅰ卷(选择题共60分)一、选择题:本大题共12小题,每小题5分,共60分.在每小题给出的四个选项中,只有一项是符合题目要求的.1.1.已知集合,,若,则实数的取值集合为()A. B. C. D.【答案】D【解析】【分析】先求出集合M={x|x2=1}={﹣1,1},当a=0时,N=∅,成立;当a≠0时,N={},由N⊆M,得或=1.由此能求出实数a的取值集合.【详解】∵集合M={x|x2=1}={﹣1,1},N={x|ax=1},N⊆M,∴当a=0时,N=∅,成立;当a≠0时,N={},∵N⊆M,∴或=1.解得a=﹣1或a=1,综上,实数a的取值集合为{1,﹣1,0}.故选:D.【点睛】本题考查实数的取值范围的求法,考查子集、不等式性质等基础知识,考查运算求解能力,考查函数与方程思想,是基础题.2.2.已知,则()A. B. C. D.【答案】C【解析】【分析】先由题得,再化简,即得解.【详解】由题得,所以.故答案为:C【点睛】(1)本题主要考查三角化简求值,考查同角的关系,意在考查学生对这些知识的掌握水平和计算能力.(2)本题解题的关键是,这里利用了“1”的变式,.3.3.设是公比为的等比数列,则“”是“为递增数列”的()A. 充分而不必要条件B. 必要而不充分条件C. 充分必要条件D. 既不充分也不必要条件【答案】【解析】试题分析:当时,不是递增数列;当且时,是递增数列,但是不成立,所以选D.考点:等比数列视频4.4.如图所示,程序框图的功能是( ).......................................A. 求的前项和B. 求的前项和C. 求的前项和D. 求的前项和【答案】B【解析】【分析】运行程序即可知该程序的功能.【详解】运行程序如下:s=0+n=4,k=2,s=0+,n=6,k=3,所以该程序求得是的前项和.故答案为:B【点睛】(1)本题主要考查程序框图,意在考查学生对该知识的掌握水平.(2)类似这种题目,运行程序即知程序框图的功能.5.5.若实数,满足,,,,则,,的大小关系为()A. B. C. D.【答案】A【解析】【分析】推导出0=log a1<log a b<log a a=1,由此利用对数函数的单调性能比较m,n,l的大小.【详解】∵实数a,b满足a>b>1,m=log a(log a b),,,∴0=log a1<log a b<log a a=1,∴m=log a(log a b)<log a1=0,0<<1,1>=2log a b>.∴m,n,l的大小关系为l>n>m.故答案为:A【点睛】(1)本题主要考查对数函数的单调性,考查实数大小的比较,意在考查学生对这些知识的掌握水平和分析推理能力.(2)对对数函数的单调性的灵活运用是解题的关键.6.6.已知圆锥的高为3,它的底面半径为,若该圆锥的顶点与底面的圆周都在同一个球面上,则这个球的体积等于()A. B. C. D.【答案】B【解析】如图:设球心到底面圆心的距离为,则球的半径为,由勾股定理得解得,故半径,故选7.7.庄严美丽的国旗和国徽上的五角星是革命和光明的象征.正五角星是一个非常优美的几何图形,且与黄金分割有着密切的联系:在如图所示的正五角星中,以,,,,为顶点的多边形为正五边形,且.下列关系中正确的是()A. B.C. D.【答案】A【解析】【分析】利用平面向量的概念、平面向量的加法、减法、数乘运算的几何意义,便可解决问题.【详解】在如图所示的正五角星中,以A,B,C,D,E为顶点的多边形为正五边形,且.在A中,,故A 正确;在B中,,故B错误;在C中,,故C错误;在D中,,若,则,不合题意,故D错误.故答案为:A【点睛】本题以正五角星为载体,考查平面向量的概念及运算法则等基础知识,考查运算求解能力,考查化归与转化思想.8.8.已知,则()A. 123B. 91C. -152D. -120【答案】C【解析】【分析】在已知等式中分别取x=1与x=﹣1,然后作和求得a0+a2+a4+a6,再求出a6,则答案可求.【详解】在(x+2)(2x﹣1)5=a0+a1x+a2x2+a3x3+a4x4+a5x5+a6x6中,取x=1,得a0+a1+a2+a3+a4+a5+a6=3,取x=﹣1,得a0﹣a1+a2﹣a3+a4﹣a5+a6=﹣243,∴2(a0+a2+a4+a6)=﹣240,即a0+a2+a4+a6=﹣120,又,∴a0+a2+a4=﹣152.故答案为:C.【点睛】(1)本题主要考查二项式定理,考查二项式展开式的系数的性质,意在考查学生对这些知识的掌握水平和分析推理计算能力.(2) 二项展开式的系数的性质:对于,.9.9.如图,网格纸上小正方形的边长为1,粗线画出的是某多面体的三视图,则该多面体的表面积为()A. 14B.C.D.【答案】D【解析】还原三视图如下:其表面积为故选10.10.如图,在平面直角坐标系中,质点间隔分钟先后从点出发,绕原点按逆时针方向作角速度为弧度/分钟的匀速圈周运动,则与的纵坐标之差第次达到最大值时,运动的时间为()A. 分钟B. 分钟C. 分钟D. 分钟【答案】A【解析】分析:由题意可得:y N=,y M=,计算y M﹣y N=sin,即可得出.详解:由题意可得:y N=,y M=∴y M﹣y N= y M﹣y N=sin,令sin=1,解得:=2kπ+,x=12k+,k=0,1,2,3.∴M与N的纵坐标之差第4次达到最大值时,N运动的时间=3×12+=37.5(分钟).故选:A.点睛:本题考查了三角函数的图象与性质、和差公式、数形结合方法,考查了推理能力与计算能力,属于中档题.也查到了三角函数的定义的应用,三角函数的定义指的是单位圆上的点坐标和这一点的旋转角之间的关系.11.11.已知双曲线:的右焦点为,左顶点为.以为圆心,为半径的圆交的右支于,两点,的一个内角为,则的离心率为()A. B. C. D.【答案】C【解析】【分析】由题意可得PA⊥PB,又,△APQ的一个内角为60°,即有△PFB为等腰三角形,PF=PA=a+c,运用双曲线的定义和离心率公式,计算即可得到所求.【详解】如图,设左焦点为F1,设圆与x轴的另一个交点为B,∵,△APQ的一个内角为60°∴∠PAF=30°,∠PBF=60°⇒PF=AF=a+c,⇒PF1=3a+c,在△PFF1中,由余弦定理可得.⇒3c2﹣ac﹣4a2=0⇒3e2﹣e﹣4=0⇒,故答案为:C【点睛】(1)本题主要考查双曲线的几何性质,考查余弦定理,意在考查学生对这些知识的掌握水平和分析推理能力.(2) 圆锥曲线的离心率常见的有两种方法:公式法和方程法.12.12.已知函数,,其中为自然对数的底数,若存在实数,使成立,则实数的值为()A. B. C. D.【答案】A【解析】试题分析:由题意得,,即,令,∴,∴在上单调递增,上单调递减,∴,而,当且仅当时,等号成立,∴,故选A.考点:导数的运用.第Ⅱ卷(非选择题共90分)本卷包括必考题和选考题两部分.第13~21题为必考题,每个试题考生都必须作答.第22~23为选考题,考生根据要求作答.二、填空题:本大题共4小题,每小题5分,满分20分.13.13.已知复数满足,则__________.【答案】-4.【解析】【分析】先设z=x+yi,x,y∈R,代入已知等式,即可求出x,y,再求.【详解】设z=x+yi,x,y∈R,所以所以x=0,y=-2,所以.故答案为:-4【点睛】(1)本题主要考查复数的运算和复数相等的概念,意在考查学生对这些知识的掌握水平和计算能力.(2) 复数相等:.14.14.若,满足约束条件,则的最大值为__________.【答案】【解析】【分析】先作出不等式组对应的可行域,再数形结合分析得到函数的最大值.【详解】不等式组对应的可行域如下图所示,设u=2x+y,则y=-2x+u,直线的纵截距为u,当直线y=-2x+u经过点A(2,2)时,直线的纵截距最小,u最小,此时u最小=2×2+2=6,所以的最大值.故答案为:【点睛】(1)本题主要考查线性规划,考查指数函数的单调性,意在考查学生对这些知识的掌握水平和数形结合分析推理能力.(2) 解答线性规划时,要加强理解,不是纵截距最小,就最小,要看函数的解析式,如:,直线的纵截距为,所以纵截距最小时,最大. 15.15.如图在平面四边形中,,则四边形的面积为_____________.【答案】【解析】连接,则,此时,,所以,取中点,连接,则,,,所以.【点睛】本题考查不规则四边形面积的求法,考查余弦定理解三角形.由于四边形是不规则的,所以要将求四边形面积的问题转化为求三角形面积的问题来求解.在连接将四边形分成两个三角形后,利用余弦定理和三角形内角和定理,结合解三角形与三角形面积公式,可求得面积.16.16.过点作抛物线的两条切线,切点分别为,,,分别交轴于,两点,为坐标原点,则与的面积之比为___________.【答案】.【解析】【分析】先求得切点弦的方程为,再求得,,再求出,,即得与的面积之比.【详解】设,,由题得切点弦方程为(过焦点),因为过的切线方程为,令则,同理,所以,又因为,所以与的面积之比为.【点睛】本题主要考查抛物线的几何性质,考查切线方程的求法,考查面积的计算,意在考查学生对这些知识的掌握水平和分析推理能力.三、解答题:本大题共6小题,共70分,解答须写出必要的文字说明、证明过程或演算步骤.17.17.各项均为正数的数列的首项,前项和为,且.(Ⅰ)求的通项公式;(Ⅱ)若数列满足,求的前项和.【答案】(1) .(2) .【解析】【分析】(1)先利用项和公式求得,再求等差数列的通项.(2)利用错位相减法求的前项和.【详解】(Ⅰ)因为,① 所以当时,,②得:,即,因为的各项均为正数,所以,且,所以.由①知,,即,又因为,所以.所以.故,所以数列是首项为,公差为的等差数列.所以.(Ⅱ)由(1)得,所以,所以,③,④,得,当且时,,解得;当时,由③得;综上,数列的前项和【点睛】(1)本题主要考查项和公式,考查等差数列的通项的求法,考查错位相减求和,意在考查学生对这些知识的掌握水平和分析推理计算能力.(2) 数列,其中是等差数列,是等比数列,则采用错位相减法.18.18.如图,在多面体中,是正方形,平面,平面,,点为棱的中点.(Ⅰ)求证:平面平面;(Ⅱ)若,求直线与平面所成的角的正弦值.【答案】(1)见解析.(2) .【解析】【分析】(Ⅰ)先证明平面和平面,即证明平面平面. (Ⅱ)利用向量法求直线与平面所成的角的正弦值.【详解】(Ⅰ)证明:连结,交于点,∴为的中点,∴.∵平面,平面,∴平面.∵都垂直底面,∴.∵,∴为平行四边形,∴.∵平面,平面,∴平面.又∵,∴平面平面.(Ⅱ)由已知,平面,是正方形.∴两两垂直,如图,建立空间直角坐标系.设,则,从而,∴,设平面的一个法向量为,由得.令,则,从而.∵,设与平面所成的角为,则,所以,直线与平面所成角的正弦值为.【点睛】(1)本题主要考查空间直线和平面位置关系的证明,考查直线和平面所成的角的求法,意在考查学生对这些知识的掌握水平和空间想象推理转化能力.(2)直线和平面所成的角的求法:方法一:(几何法)找作(定义法)证(定义)指求(解三角形),其关键是找到直线在平面内的射影作出直线和平面所成的角和解三角形.方法二:(向量法),其中是直线的方向向量,是平面的法向量,是直线和平面所成的角. 19.19.某学校为鼓励家校互动,与某手机通讯商合作,为教师办理流量套餐.为了解该校教师手机流量使用情况,通过抽样,得到位教师近年每人手机月平均使用流量(单位:)的数据,其频率分布直方图如下:若将每位教师的手机月平均使用流量分别视为其手机月使用流量,并将频率为概率,回答以下问题.(Ⅰ) 从该校教师中随机抽取人,求这人中至多有人月使用流量不超过的概率;(Ⅱ) 现该通讯商推出三款流量套餐,详情如下:套餐名称月套餐费(单位:元) 月套餐流量(单位:)这三款套餐都有如下附加条款:套餐费月初一次性收取,手机使用一旦超出套餐流量,系统就自动帮用户充值流量,资费元;如果又超出充值流量,系统就再次自动帮用户充值流量,资费元/次,依次类推,如果当月流量有剩余,系统将自动清零,无法转入次月使用. 学校欲订购其中一款流量套餐,为教师支付月套餐费,并承担系统自动充值的流量资费的,其余部分由教师个人承担,问学校订购哪一款套餐最经济?说明理由.【答案】(1)0.784.(2) 学校订购套餐最经济.【解析】【分析】(Ⅰ)先求得该教师手机月使用流量不超过的概率为.利用互斥事件的概率和独立重复试验的概率求这人中至多有人月使用流量不超过的概率. (Ⅱ)先分别求出三种套餐的期望,再比较它们的大小即得解.【详解】(Ⅰ)由直方图可知,从该校中随机抽取一名教师,该教师手机月使用流量不超过的概率为.设“从该校教师中随机抽取人,至多有人月使用流量不超过”为事件,则.(Ⅱ)依题意,,.当学校订购套餐时,设学校为一位教师承担的月费用为的所有可能取值为,,, 且,,,所以(元)当学校订购套餐时,设学校为一位教师承担的月费用为的所有可能取值为,,且,,所以(元)当学校订购套餐时,设学校为一位教师承担的月费用为的所有可能取值为,且,(元)因为,所以学校订购套餐最经济.【点睛】(1)本题主要考查概率的计算,考查互斥事件的概率和独立重复试验的概率,考查随机变量的期望,意在考查学生对这些知识的掌握水平和分析推理能力.(2)…… 为的均值或数学期望.20.20.已知椭圆的离心率为,过点的直线交椭圆与两点,,且当直线垂直于轴时,.(Ⅰ)求椭圆的方程;(Ⅱ)若,求弦长的取值范围.【答案】(1) .(2) .【解析】试题分析:圆锥曲线中求范围问题的关键是建立求解关于某个变量的目标函数,通过求这个函数的值域确定目标的范围.在建立函数的过程中要根据题目的其他已知条件,把需要的量都用我们选用的变量表示,有时为了运算的方便,在建立关系的过程中也可以采用多个变量,只要在最后结果中把多变量归结为单变量即可,同时要特别注意变量的取值范围.试题解析:(Ⅰ)由已知:,,又当直线垂直于轴时,,所以椭圆过点,代入椭圆:,在椭圆中知:,联立方程组可得:,所以椭圆的方程为:.(Ⅱ)当过点直线斜率为0时,点、分别为椭圆长轴的端点,或,不合题意.所以直线的斜率不能为0.可设直线方程为:,将直线方程代入椭圆得:,由韦达定理可得:,将(1)式平方除以(2)式可得:由已知可知,,,所以,又知,,,解得:.,,.考点:本题主要考查:1.椭圆的标准方程及其性质;2.直线与椭圆的位置关系;3.椭圆中的最值问题.21.21.已知函数.(1)讨论函数的单调性;(2)若且,求证:.【答案】(1)答案见解析;(2)证明见解析.【解析】试题分析:(1)对函数求导,然后分类讨论若时、时和时三种情况,分别给出单调性(2)法一:构造,求导算出最值,构造,利用二阶导数,得,从而得证;法二:利用放缩法当时,得,即,然后再证明;法三:对问题放缩由于,则只需证明,然后给出证明解析:解法一:(1)函数的定义域为,,①若时,则,在上单调递减;②若时,当时,;当时,;当时,.故在上,单调递减;在上,单调递増;③若时,当时,;当时,;当时,.故在上,单调递减;在上,单调递増. (2)若且,欲证,只需证,即证.设函数,则.当时, .故函数在上单调递增.所以.设函数,则.设函数,则.当时,,故存在,使得,从而函数在上单调递增;在上单调递减.当时,,当时,故存在,使得,即当时,,当时,从而函数在上单调递增;在上单调递减.因为,故当时,所以,即.解法二:(1)同解法一.(2)若且,欲证,只需证,即证.设函数,则.当时, .故函数在上单调递增.所以.设函数,因为,所以,所以,又,所以,所以,即原不等式成立.解法三:(1)同解法一.(2)若且,欲证,只需证,由于,则只需证明,只需证明,令,则,则函数在上单调递减,则,所以成立,即原不等式成立.点睛:本题考查了运用导数求含参量函数的单调区间以及恒成立问题,当遇到含参量的题目时需要注意分类讨论,在证明不等式成立的问题上参考答案给出了三种不同证明,大致分为:构造新函数,分别求出其最值,找出沟通桥梁证得结果;或运用放缩法来证明请考生在第22,23,题中任选一题做答,如果多做,则按所做的第一题计分,做答时请写清楚题号.22.22.在直角坐标系中,曲线 (为参数),在以为极点,轴的正半轴为极轴的极坐标系中,曲线.(1)求曲线的普通方程;(2)若曲线上有一动点,曲线上有一动点,求的最小值.【答案】(1);(2).【解析】试题分析:(1)的极坐标方程即,利用极坐标方程与普通方程的关系可得曲线的普通方程为.(2)由(1)可知,圆的圆心为,半径为1. 设曲线上的动点,由动点在圆上可得:.由三角函数的性质可得,则的最小值为.试题解析:(1)由得:.因为,所以,即曲线的普通方程为.(2)由(1)可知,圆的圆心为,半径为1.设曲线上的动点,由动点在圆上可得:.∵当时,,∴.23.23.选修:不等式选讲已知函数.(Ⅰ) 解关于的不等式;(Ⅱ) 若关于的不等式的解集不是空集,求的取值范围.【答案】(1) .(2) .【解析】试题分析:(1)由不等式的性质零点分段可得不等式的解集为.(2)原问题等价于结合绝对值三角不等式的性质可得,当且仅当时等号成立,则的取值范围是. 试题解析:(1),或或或,所以,原不等式的解集为.(2)由条件知,不等式有解,则即可. 由于,当且仅当,即当时等号成立,故.所以,的取值范围是.。
高考数学三轮复习冲刺模拟试题01集合一、选择题1 .已知集合,,则( ) A .B .C .D .2 .设集合{1}A x x a x R =-<∈,,B={x|1<x<5,x ∈R},若A ⋂B=φ,则实数a 的取值范围是( )A .{a|0≤a ≤6}B .{a|a ≤2,或a ≥4}C .{a|a ≤0,或a ≥6}D .{a|2≤a ≤4}3 .已知集合2A ={|log<1},B={x|0<<c}x x x,若=A B B ,则c 的取值范围是( )A .(0,1]B .[1,+)∞C .(0,2]D .[2,+)∞二、填空题4 .若不等式4+-2+1x m x≥对一切非零实数x 均成立,记实数m 的取值范围为M .已知集合{}=A x x M ∈,集合{}2=--6<0B x R x x ∈,则集合=A B ___________.5 .设集合是A={32|()=83+6a f x xax x -是(0,+∞)上的增函数},5={|=,[-1,3]}+2B y y x x ∈,则()R A B ð= ;6.试题)己知集合222{|28},{|240}xxA xB x x mx -=<=+-<, 若{|11},{|43}A B x x A B x x =-<<=-<<,则实数m 等于__________ .7 .设集合{}1,R A x x a x =-<∈,{}15,R B x x x =<<∈,若∅=B A ,则实数a 取值范围是___________.三、解答题8 .已知={()|1},B={()|3,0x 3}2A x,y y =-x+mx -x,y x+y =≤≤,若A B ⋂是单元素集,求实数m的取值范围.参考答案一、选择题 1. 【答案】B【解析】{(3)0}{03}P x x x x x =-<=<<,={2}{22}Q x x x x <=-<<,所以{02}(0,2)P Q x x =<<=,选B.2. 【答案】C【解析】{1}{11}A x x a x R x a x a =-<∈==-<<+,,因为=A B φ,所以有15a -≥或11a +≤,即6a ≥或0a ≤,选C.3. 【答案】D【解析】2{log 1}{01}A x x x x =<=<<.因为A B B =,所以A B ⊆.所以1c ≥,即[1,)+∞,选B.二、填空题4. {}-1<3x x ≤; 5. 【答案】(,1)(4,)-∞+∞【解析】2()=2466f 'x x ax -+,要使函数在(0,)+∞上是增函数,则2()=24660f 'x x ax -+>恒成立,即14a x x <+,因为144x x +≥=,所以4a ≤,即集合{4}A a a =≤.集合5={|=,[-1,3]}+2B y y x x ∈{15}y x =≤≤,所以{14}A B x x ⋂=≤≤,所以()=R A B ð(,1)(4,)-∞+∞.6. 【答案】32222{|28}{|230}{13}x xA x x x x x x -=<=--<=-<<,因为{|11},{|43}AB x x A B x x =-<<=-<<,所以由数轴可知{|41}B x x =-<<,即4,1-是方程2240x mx +-=的两个根,所以4123m -+=-=-,解得32m =。
2018年佛山市高考模拟考试数 学本试卷分第Ⅰ卷(选择题)和第Ⅱ卷(非选择题)两部分,共4页.满分150分.考试用时120分钟.注意事项:1. 答卷前,考生务必用黑色字迹的钢笔或签字笔将自己的姓名和考生号填写在答题卡上.用2B 铅笔将答题卡试卷类型(A )填涂在答题卡上.在答题卡右上角的“试 室号”和“座位号”栏填写试室号、座位号,并用2B 铅笔将相应的试室号、座 位号信息点涂黑.2. 选择题每小题选出答案后,用2B 铅笔把答题卡上对应题目的答案标号涂黑,如需改动,用橡皮擦干净后,再选涂其他答案,答案不能答在试卷上.3. 非选择题必须用黑色字迹钢笔或签字笔作答,答案必须写在答题卡各题目指定区域内相应位置上;如需改动,先划掉原来的答案,然后再写上新的答案;不准使 用铅笔和涂改液.不按以上要求作答的答案无效.4. 考生必须保持答题卡的整洁,考试结束后,将试卷和答题卡一并交回.参考公式: 如果事件A 、B 互斥,那么P (A +B )=P (A )+P (B ).如果事件A 、B 相互独立,那么P (A ·B )=P (A )·P (B ).第Ⅰ卷 选择题(共50分)一、选择题:本题共10小题,每小题5分,共50分.在每小题给出的四个选项中,有且只有一个是正确的.1. 不等式5|2|1<+<x 的解集是( ).A .)3,1(-B .)1,3(-∪)7,3(C . )3,7(--D .)3,7(--∪)3,1(-2. 向量a = (1,2),b = (x ,1),c = a + b ,d = a - b ,若c //d ,则实数x 的值等于( ).A .21 B .21- C .61 D . 61- 3. 已知下列命题(其中b a ,为直线,α为平面):① 若一条直线垂直于平面内无数条直线,则这条直线与这个平面垂直; ② 若一条直线平行于一个平面,则垂直于这条直线的直线必垂直于这个平面; ③ 若α//a ,α⊥b ,则b a ⊥; ④ 若b a ⊥,则过b 有唯一α与a 垂直. 上述四个命题中,真命题是( ).A .①,②B .②,③C .②,④D .③,④ 4. 已知ααcos sin 2=,则ααα2cos 12sin 2cos ++的值是( ).A .3B .6C .12D .235. 下列各组命题中,满足“‘p 或q ’为真、‘p 且q ’为假、‘非p ’为真”的是( ).A . p :φ=0; q :φ∈0.B . p :在△ABC 中,若B A 2cos 2cos =,则B A =;q :x y sin =在第一象限是增函数. C . p :),(2R b a ab b a ∈≥+;q :不等式x x >||的解集是)0,(-∞.D . p :圆1)2()1(22=-+-y x 的面积被直线1=x 平分;q :椭圆13422=+y x 的一条准线方程是4=x . 6. 若x x f 2)(=的反函数为)(1x f-,且4)()(11=+--b f a f ,则ba 11+的最小值是( ). A .1 B .21 C .31 D .417. 设复数2)1(11i iiz -+-+=,则7)1(z +的展开式(按z 升幂排列)的第5项是( ).A .35B .i 35-C .21-D .i 218. 设动点A , B (不重合)在椭圆14416922=+y x 上,椭圆的中心为O ,且0=⋅,则O 到弦AB 的距离OH 等于( ).A .320 B .415 C .512 D .1549. 函数)(x f 对R y x ∈,都有)()()(y x f y f x f +=⋅.若21)1(=f ,)()(*N n n f a n ∈=,则数列{}n a 的前n 项和n S 的极限是( ).A .0B .1C .21D .210.某大楼共有20层,有19人在第1层上了电梯,他们分别要到第2层至第20层,每层1人.电梯只在中间某一层停1次,可知电梯在第3层停的话,则第3层下的人最 满意,其中有1人要下到第2层,有17人要从第3层上楼,就不太满意了.假设乘客 每向下走一层的不满意度为1,向上走一层的不满意度为2,所有的不满意度之和为S , 为使S 最小,则电梯应当停在( ).A .第12层B .第13层C .第14层D .第15层第Ⅱ卷 非选择题(共100分)二.填空题:本大题共4小题,每小题5分,共20分.11.已知⎩⎨⎧≥+<=)1(ln )1(2)(x a x x xx f 是R 上的连续函数,则=a .12.已知⎪⎩⎪⎨⎧≤-+≤--≥-+,063,02,02y x y x y x 则y x u 2+=的最大值是 ,22y x v +=的最小值是 .13.设A ={1, 2, 3, 4, 5, 6},B ={1, 3, 5, 7, 9}, 集合C 是从A ∪B 中任取2个元素组成的集合,则CA ∩B 的概率是____________.14、观察下列的图形中小正方形的个数,则第n 个图中有 个小正方形.三.解答题:本大题共6小题,共80分.解答应写出文字说明,证明过程或演算步骤.15.(本小题满分12分)已知函数)sin()(ϕω+=x A x f (0,0>>ωA )的图象在y 轴右侧的第一个最高点为)2,2(M ,与x 轴在原点右侧的第一个交点为)0,6(N .(1) 求函数)(x f 的解析式;(2) 函数)(x f 的图象是由x y sin =的图象通过怎样的变换而得到的? 16.(本小题满分12分)下表为某班英语及数学成绩的分布.学生共有50人,成绩分为5个档次,如表中所示 英语成绩为5分、数学成绩为4分的学生有3人。
高三第三次模拟考试(三模)试卷理科数学注意事项:1.答题前,先将自己的姓名、准考证号填写在试题卷和答题卡上,并将准考证号条形码粘贴在答题卡上的指定位置。
2.选择题的作答:每小题选出答案后,用2B 铅笔把答题卡上对应题目的答案标号涂黑,写在试题卷、草稿纸和答题卡上的非答题区域均无效。
3.非选择题的作答:用签字笔直接答在答题卡上对应的答题区域内。
写在试题卷、草稿纸和答题卡上的非答题区域均无效。
4.考试结束后,请将本试题卷和答题卡一并上交。
第Ⅰ卷一、选择题:本大题共12小题,每小题5分,在每小题给出的四个选项中,只有一项是符合题目要求的.1.已知R 为实数集,集合{}2230A x x x =--≥,则R A =ð( ) A .()1,3-B .[]1,3-C .()3,1-D .[]3,1-2.复数10i13iz =+(其中i 为虚数单位),z 为z 的共轭复数,则下列结论正确的是( ) A .3i z =-+ B .3i z =- C .13i z =-D .13i z =-+3.已知实数x ,y 满足02x x y x y ≥⎧⎪≤⎨⎪+≥⎩,则2z x y =+的最小值是( )A .0B .1C .2D .34.已知等比数列{}n a 的前n 项和为n S ,则“10a >”是“20170S >”的( ) A .充分不必要条件 B .必要不充分条件 C .充分必要条件D .既不充分也不必要条件5.已知3tan 44πα⎛⎫+= ⎪⎝⎭,则2cos 4πα⎛⎫-= ⎪⎝⎭( )A .725B .925C .1625D .24256.某几何体的三视图如图所示,则该几何体的表面积为( )A .483π-B .283π-C .24π-D .24π+7.若将函数()cos 26f x x π⎛⎫=+ ⎪⎝⎭的图象向左平移ϕ(0ϕ>)个单位,所得图象关于原点对称,则ϕ最小时,tan ϕ=( ) A.B.C.D8.现行普通高中学生在高一升高二时面临着选文理科的问题,学校抽取了部分男、女学生意愿的一份样本,制作出如下两个等高堆积条形图:根据这两幅图中的信息,下列哪个统计结论是不.正确的( ) A .样本中的女生数量多于男生数量B .样本中有理科意愿的学生数量多于有文科意愿的学生数量C .样本中的男生偏爱理科D .样本中的女生偏爱文科此卷只装订不密封班级 姓名 准考证号 考场号 座位号9.运行如图所示的程序框图,输出i 和S 的值分别为( ) A .2,15B .2,7C .3,15D .3,710.直角ABC V 中,AD 为斜边BC 边的高,若1AC =uuu r ,3AB =uu u r ,则CD AB ⋅=uu u r uu u r( ) A .910B .310C .310-D .910-11.已知双曲线Γ:22221x y a b-=(0a >,0b >)的一条渐近线为l ,圆C :()228x a y -+=与l 交于A ,B 两点,若ABC V 是等腰直角三角形,且5OB OA =uu u r uu r(其中O 为坐标原点),则双曲线Γ的离心率为( )AB .CD 12.设函数()32f x ax bx cx d =+++(0a ≠)满足()()()1322f f f +=,现给出如下结论:①若()f x 是()0,1上的增函数,则()f x 是()3,4的增函数; ②若()1a f ⋅≥()3a f ⋅,则()f x 有极值;③对任意实数0x ,直线()()()0012y c a x x f x =--+与曲线()y f x =有唯一公共点. 其中正确结论的个数为( ) A .0B .1C .2D .3第Ⅱ卷二、填空题:本大题共4小题,每小题5分.13.若直线y kx =与曲线x y x e -=+相切,则k =____________.14.有3女2男共5名志愿者要全部分到3个社区去参加志愿服务,每个社区1到2人,甲、乙两名女志愿者需到同一社区,男志愿者到不同社区,则不同的分法种数为____________.15.已知点()4,0A ,抛物线C :22y px =(04p <<)的准线为l ,点P 在C 上,作PH l ⊥于H ,且PH PA =,120APH ∠=︒,则p =__________.16.某沿海四个城市A 、B 、C 、D 的位置如图所示,其中60ABC ∠=︒,135BCD ∠=︒,80AB =n mile ,40BC =+n mile ,CD =n mile ,D 位于A 的北偏东75︒方向.现在有一艘轮船从A 出发以50n mile/h 的速度向D 直线航行,60min 后,轮船由于天气原因收到指令改向城市C 直线航行,收到指令时城市C 对于轮船的方位角是南偏西θ度,则sin θ=___________.三、解答题:解答应写出文字说明、证明过程或演算步骤.第17~21题为必考题,每个试题考生都必须作答.第22、23为选考题,考生根据要求作答. (一)必考题:60分,每个试题12分.17.已知数列{}n a 满足11a =,12n n a a +=+,数列{}n b 的前n 项和为n S ,且2n n S b =-. (1)求数列{}n a ,{}n b 的通项公式; (2)设n n n c a b =,求数列{}n c 的前n 项和n T .18.某保险公司针对企业职工推出一款意外险产品,每年每人只要交少量保费,发生意外后可一次性获赔50万元.保险公司把职工从事的所有岗位共分为A、B、C三类工种,根据历史数据统计出三类工种的每赔付频率如下表(并以此估计赔付概率).(1)根据规定,该产品各工种保单的期望利润都不得超过保费的20%,试分别确定各类工种每张保单保费的上限;(2)某企业共有职工20000人,从事三类工种的人数分布比例如图,老板准备为全体职工每人购买一份此种保险,并以(1)中计算的各类保险上限购买,试估计保险公司在这宗交易中的期望利润.19.如图,矩形ABCD中,4AB=,2AD=,E在DC边上,且1DE=,将ADEV沿AE 折到AD E'V的位置,使得平面AD E'⊥平面ABCE.(1)求证:AE BD'⊥;(2)求二面角D AB E'--的余弦值.20.已知椭圆1C:22221x ya b+=(0a b>>)的焦距为4,左、右焦点分别为1F、2F,且1C与抛物线2C:2y x=的交点所在的直线经过2F.(1)求椭圆1C的方程;(2)分别过1F、2F作平行直线m、n,若直线m与1C交于A,B两点,与抛物线2C无公共点,直线n与1C交于C,D两点,其中点A,D在x轴上方,求四边形12AF F D的面积的取值范围.21.设函数()lnxf x ae x x=-,其中Ra∈,e是自然对数的底数.(1)若()f x是()0,+∞上的增函数,求a的取值范围;(2)若22ea≥,证明:()0f x>.请考生在第22、23题中任选一题作答,如果多做,则按所做的第一题记分.作答时用2B 铅笔在答题卡上把所选题目的题号涂黑. 22.选修4-4:坐标系与参数方程在平面直角坐标系xOy 中,曲线1C 40y +-=,曲线2C :cos 1sin x y θθ=⎧⎨=+⎩(θ为参数),以坐标原点O 为极点,x 轴正半轴为极轴,建立极坐标系. (1)求曲线1C ,2C 的极坐标方程;(2)曲线3C :cos sin x t y t αα=⎧⎨=⎩(t 为参数,0t >,02πα<<)分别交1C ,2C 于A ,B 两点,当α取何值时,OB OA取得最大值.23.选修4-5:不等式选讲已知函数()1f x x x a =-++2x --. (1)当1a =时,求不等式()0f x >的解集;(2)设1a >-,且存在[)0,1x a ∈-,使得()00f x ≤,求a 的取值范围.高三第三次模拟考试(三模)试卷理科数学一、选择题 1-5:ABCCB 6-10:CBDCA 11、12:DD二、填空题 13.1e -14.1215.8516三、解答题:解答应写出文字说明、证明过程或演算步骤.第17~21题为必考题,每个试题考生都必须作答.第22、23为选考题,考生根据要求作答.17.解:(1)因为11a =,12n n a a +-=,所以{}n a 为首项是1,公差为2的等差数列, 所以()112n a n =+-⨯21n =-又当1n =时,1112b S b ==-,所以11b =, 当2n ≥时,2n n S b =-…①112n n S b --=-…② 由①-②得1n n n b b b -=-+,即112n n b b -=, 所以{}n b 是首项为1,公比为12的等比数列,故112n n b -⎛⎫= ⎪⎝⎭.(2)由(1)知1212n n n n n c a b --==,则 011322n T =++2152122n n --++L ①12n T =121322+++L 1232122n n n n ---+② ①-②得01112222n T =++222++L 122122n n n ---1112=+++212122n n n --+-=L 11121211212n n n ---+--2332nn +=- 所以12362n n n T -+=-18.解:(1)设工种A 的每份保单保费为a 元,设保险公司每单的收益为随机变量X ,则X 的分布列为保险公司期望收益为51110EX a ⎛⎫=-+ ⎪⎝⎭()451501010a -⨯⨯5a =-根据规则50.2a a -≤ 解得 6.25a ≤元,设工种B 的每份保单保费为b 元,赔付金期望值为45501021010⨯⨯=元,则保险公司期望利润为10b -元,根据规则100.2b b -≤,解得12.5b ≤元,设工种C 的每份保单保费为c 元,赔付金期望值为4450105010⨯=元,则保险公司期望利润为50c -元,根据规则500.2c c -≤,解得62.5c ≤元. (2)购买A 类产品的份数为2000060%12000⨯=份, 购买B 类产品的份数为2000030%6000⨯=份, 购买C 类产品的份数为2000010%2000⨯=份,企业支付的总保费为12000 6.25⨯+600012.5⨯+200062.5275000⨯=元, 保险公司在这宗交易中的期望利润为27500020%55000⨯=元.19.解:(1)连接BD 交AE 于点O ,依题意得2AB ADDA DE==,所以Rt ABD V :Rt DAE V , 所以DAE ABD ∠=∠,所以90AOD ∠=︒,所以AE BD ⊥, 即OB AE ⊥,OD AE '⊥,又OB OD O '=∩,OB ,D '⊂平面OBD '. 所以AE ⊥平面OBD '.又1BD ⊂平面OBD ',所以AE BD '⊥. (2)因为平面AD E '⊥平面ABCE , 由(1)知,OD '⊥平面ABCE ,以O 为原点,建立空间直角坐标系O xyz -如图所示. 在Rt AD E 'V中,易得OD '=OA =OE =所以A ⎫⎪⎭,B ⎛⎫ ⎪⎝⎭,D ⎛' ⎝,则AB ⎛⎫= ⎪⎝⎭uu u r,0,BD ⎛'= ⎝uuu r ,设平面ABD '的法向量()1,,n x y z =u r ,则1100n AB n BD ⎧⋅=⎪⎨'⋅=⎪⎩u r uu u r u r uuu r,即0x y y z ⎧=⎪⎪⎨⎪=⎪⎩,解得24x y z y =⎧⎨=⎩,令1y =,得()12,1,4n =u r,显然平面ABE 的一个法向量为()20,0,1n =u u r.所以121212cos ,n n n n n n ⋅=u r u u ru r u u r u r u ur ==D AB E '--.20.解:(1)依题意得24c =,则1F ,2F . 所以椭圆1C 与抛物线2C的一个交点为(P , 于是12a PF=24PF +=,从而a = 又222a b c =+,解得2b =所以椭圆1C 的方程为22184x y +=.(2)依题意,直线m 的斜率不为0,设直线m :2x ty =-,由22x ty y x =-⎧⎨=⎩,消去x 整理得220y ty -+=,由()280t ∆=--<得28t <. 由22228x ty x y =-⎧⎨+=⎩,消去x 整理得()222440t y ty +--=, 设()11,A x y ,()22,B x y ,则12242t y y t +=+,12242y y t =-+,2y==m 与n间的距离d =2F 到m 的距离),由椭圆的对称性知,四边形ABCD 为平行四边形, 故1212AF F D ABCD S S ==12=, [)1,3s =∈,则12AF F DS===∈, 所以四边形12AF F D的面积的取值范围为.21.解:(1)()()e 1ln x f x a x '=-+,()f x 是()0,+∞上的增函数等价于()0f x '≥恒成立. 令()0f x '≥,得1ln e x x a +≥,令()1ln exxg x +=(0x >).以下只需求()g x 的最大值. 求导得()1e 1ln x g x x x -⎛⎫'=-- ⎪⎝⎭,令()11ln h x x x =--,()2110h x x x'=--<,()h x 是()0,+∞上的减函数, 又()10h =,故1是()h x 的唯一零点,当()0,1x ∈,()0h x >,()0g x '>,()g x 递增; 当()1,x ∈+∞,()0h x <,()0g x '<,()g x 递减; 故当1x =时,()g x 取得极大值且为最大值()11eg =, 所以1e a ≥,即a 的取值范围是1,e ⎡⎫+∞⎪⎢⎣⎭.(2)()0f x >⇔e ln 0xa x x->.令()e ln x a F x x x =-(0x >),以下证明当22ea ≥时,()F x 的最小值大于0. 求导得()()21e 1x a x F x x x -'=-()211e xa x x x⎡⎤=--⎣⎦. ①当01x <≤时,()0F x '<,()()1F x F ≥e 0a =>;②当1x >时,()()21a x F x x -'=()e 1x x a x ⎡⎤-⎢⎥-⎣⎦,令()()e 1xx G x a x =--, 则()e xG x '=()2101a x +>-,又()222e G a=-2e 20a a -=≥, 取()1,2m ∈且使()2e 1m a m >-,即22e 1e 1a m a <<-,则()()e 1m m G m a m =--22e e 0<-=,因为()()20G m G <,故()G x 存在唯一零点()01,2x ∈,即()F x 有唯一的极值点且为极小值点()01,2x ∈,又()0000e ln x a F x x x =-,且()()0000e 01x x G x a x =-=-,即()000e 1x x a x =-,故()0001ln 1F x x x =--,因为()()0201101F x x x '=--<-,故()0F x 是()1,2上的减函数. 所以()()02F x F >=1ln 20->,所以()0F x >. 综上,当22ea ≥时,总有()0f x >. 22.解:(1)因为cos x ρθ=,sin y ρθ=,222x y ρ+=,1Ccos sin 40θρθ+-=,2C 的普通方程为()2211x y +-=,即2220x y y +-=,对应极坐标方程为2sin ρθ=. (2)曲线3C 的极坐标方程为θα=(0ρ>,02πα<<)设()1,A ρα,()2,B ρα,则1ρ=22sin ρα=,所以21OB OA ρρ==)12sin sin 4ααα⨯+)12cos 214αα=-+12sin 2146πα⎡⎤⎛⎫=-+ ⎪⎢⎥⎝⎭⎣⎦, 又02πα<<,52666πππα-<-<, 所以当262ππα-=,即3πα=时,OB OA 取得最大值34. 23.解:(1)当1a =时,不等式即11x x -++20x -->,等价于()11120x x x x ≤⎧⎪⎨-+---->⎪⎩或()111120x x x x -<<⎧⎪⎨-++-->⎪⎩或()()11120x x x x ≥⎧⎪⎨-++-->⎪⎩ 解得1x ≤-或10x -<<或2x >即不等式()0f x >的解集为()(),02,-∞+∞∪.(2)当[),1x a ∈-时,()1f x a x =--,不等式()0f x ≤可化为1a x ≤+, 若存在[)0,1x a ∈-,使得()00f x ≤,则2a <, 所以a 的取值范围为()1,2-.。
佛山一中2018届高三数学三模试题(理含答案)
5 c 佛市第一中学2018高考理科数学模拟题
第I卷
一.选择题(本大题共12小题,每小题5分,共60分.)
1、集合,,则
A B c D
2、记复数的共轭复数为,若,则复数的虚部为
A B c D
3、《张丘建算经》是我国古代内容极为丰富的数学名著,书中有如下问题“今有女不善织,日减功迟,初日织五尺,末日织一尺,今三十织迄,问织几何”其意思为有个女子不善于织布,每天比前一天少织同样多的布,第一天织五尺,最后一天织一尺,三十天织完,问三十天共织布()
A30尺 B90尺 c150尺 D180尺
4、已知命题函数是奇函数,命题函数在上为增函数,则在命题中,真命题是
A B c D
5、已知,则的值为
A B c D
6、如图是某四面体ABcD水平放置时的三视图(图中网格纸的小正方形的边长为1,则四面体ABcD外接球的表面积为()
A B c D
7、程序框图如图所示,该程序运行后输出的S的值是
A2 B- c-3 D
8、平面直角坐标系中,圆c经过原点,点,若圆c的一条弦的中点坐标为,则所在直线的方程为()
A. B c D
9、已知的图像,若有直线与图像的三个相邻交点的横坐标恰。
高考数学三轮复习冲刺模拟试题01时间:120分钟 满分:150分第Ⅰ卷(共60分)一、选择题:本大题共12小题,每小题5分,共60分.在每小题给出的四个选项中,只有一项是符合题目要求的.1.设集合}1,0,1{-=M ,},{2a a N =则使M ∩N =N 成立的a 的值是( ) A .1B .0C .-1D .1或-12.已知i 为虚数单位,则复数ii Z +-=331的虚部为( )A 、1B 、1-C 、iD 、i -3、函数1()lg f x x=的定义域是( ) A 、{}|0,1x x x >≠ B 、{}|0,2x x x >≠ C 、{}|0,x x ≤ D 、{}|0,1x x x ≥≠4右图是2012年在某大学自主招生考试的面试中,七位评委为某考生打出的分数的茎叶统计图,去掉一个最高分和一个最低分后,所剩数据的平均数和方差分别为 ( )A .84,4.84B .84,1.6C .85,1.6D .85,45. 设变量y x ,满足约束条件⎪⎩⎪⎨⎧≤-≥+-≥-+01042022x y x y x ,则目标函数x y z 32-=的最大值为( )A. 8B.9C.2D. 46、三视图如右图的几何体是A .三棱锥B .四棱锥C .四棱台D .三棱台7.阅读如图所示的某一问题的算法的流程图,此流程图反映的算法功能是( ) A.求出c b a ,, 三个数中的最大数 B.求出c b a ,, 三个数中的最小数C.将c b a ,, 按从大到小排列D.将c b a ,, 按从小到大排列8.要得到函数x y 2cos =的图象,可由函数cos(2)3y x π=-的图像( )A .向左平移3π个长度单位 B .向右平移3π个长度单位 C .向左平移6π个长度单位 D .向右平移6π个长度单位9.已知)0,(),0,(21c F c F -为椭圆12222=+by a x 的两个焦点,P 为椭圆上一点且221c PF =⋅,则此椭圆离心率的取值范围是( )A .[3 B .11[,]32C .32D .(0,210.已知焦点(设为F 1,F 2)在x 轴上的双曲线上有一点03(,)2P x,直线y =是双曲线的一条渐近线,当120FP PF ⋅=时,该双曲线的一个顶点坐标是( ) A.B.0)C .(2,0)D .(1, 0)11.函数()x b f x a -=的图象如图,其中a 、b 为常数,则下列结论正确的是( )A .a > 1,b < 0B .a > 1,b> 0C .0 < a < 1,b > 0D .0 < a < 1,b < 012、已知函数1)(+-=mx e x f x的图像为曲线C ,若曲线C 存在与直线x y 21=垂直的切线,则实数m 的取值范围是A 、2≤mB 、2>mC 、21-≤m D 、21->m第Ⅱ卷二.填空题:本大题共4小题,每小题4分。
佛山市2018届普通高中高三教学质量检测(一)数学(理科)本试卷分第Ⅰ卷(选择题)和第Ⅱ卷(非选择题)两部分.满分150分.考试时间120分钟. 注意事项:1.答卷前,考生要务必填写答题卷上的有关项目.2.选择题每小题选出答案后,用2B 铅笔把答案涂在答题卡相应的位置上.3.非选择题必须用黑色字迹的钢笔或签字笔作答,答案必须写在答题卡各题目指定区域内;如需改动,先划掉原来的答案,然后再写上新的答案;不准使用铅笔和涂改液.不按以上要求作答的答案无效.4.请考生保持答题卷的整洁.考试结束后,将答题卷交回.第Ⅰ卷(选择题 共60分)一、选择题:本大题共12小题,每小题5分,满分60分.在每小题给出的四个选项中,只有一项是符合题目要求的.1.复数5122iz i-=+的实部为() A .1- B .0 C .1D .22.已知全集U R =,集合{}0,1,2,3,4A =,{}2|20B x x x =->,则图1中阴影部分表示的集合为( )A .{}0,1,2B .{}1,2 图1C .{}3,4D .{}0,3,43.若变量,x y 满足约束条件0210430y x y x y ≤⎧⎪--≥⎨⎪--≤⎩,则32z x y =-的最小值为( )A .1-B .0C .3D .94.已知x R ∈,则“22x x =+”是“x =的( )A .充分不必要条件B .必要不充分条件C .充要条件D .既不充分也不必要条件5.曲线1:2sin 6C y x π⎛⎫=-⎪⎝⎭上所有点向右平移6π个单位长度,再把得到的曲线上所有点的横坐标变为原来的12,得到曲线2C ,则2C ( )A .关于直线6x π=对称B .关于直线3x π=对称C .关于点,012π⎛⎫ ⎪⎝⎭对称D .关于点,06π⎛⎫⎪⎝⎭对称6.已知1tan 4tan θθ+=,则2cos 4πθ⎛⎫+= ⎪⎝⎭( ) A .12 B .13 C .14 D .157.当5,2m n ==时,执行图2所示的程序框图,输出的S 值为( ) A .20 B .42 C .60 D .1808.某几何体的三视图如图3所示,该几何体的体积为( )A .212B .15C .332D .189.已知()22xxa f x =+为奇函数,()()log 41xg x bx =-+为偶函数,则()f ab =( ) A .174 B .52 C .154- D .32-10.ABC ∆内角,,A B C 的对边分别为,,a b c ,若115,,cos 314a B A π===,则ABC ∆的面积S =( )A B .10 C .D .11.已知三棱锥P ABC -中,侧面PAC ⊥底面ABC ,90BAC ∠=︒,4AB AC ==,PA =PC =P ABC -外接球的表面积为( ) A .24 B .28π C .32π D .36π12.设函数322()32(0)f x x ax a x a =-+≠,若1212,()x x x x <是函数2()()g x f x a x λ=-的两个极值点,现给出如下结论:①若10λ-<<,则12()()f x f x <; ②若02λ<<,则12()()f x f x <; ③若2λ>,则12()()f x f x <; 期中正确的结论的个数为( ) A .0 B .1 C .2 D .3第Ⅱ卷(非选择题 共90分)本卷包括必考题和选考题两部分,第13-21题为必考题,每个试题考生都必须作答.第22-23为选考题,考生根据要求作答.二、填空题:本大共4小题,每小题5分,满分20分.13.设b a c b a λ+=-==),1,1(),2,1(,若c a ⊥,则实数λ的值等于 . 14.已知0a >,()()412ax x -+的展开式中2x 的系数为1,则a 的值为 .15.设袋子中装有3个红球,2个黄球,1个蓝球,规定:取出一个红球得1分,取出一个黄球得2分,取出一个蓝球得3分,现从该袋子中任取(有放回,且每球取得的机会均等)2个球,则取出此2球所得分数之和为3分的概率为 .16.双曲线2222:1(0,0)x y C a b a b-=>>的左、右焦点分别为12,F F ,焦距为2c ,以右顶点A 为圆心,半径为2a c+的圆与过1F 的直线l 相切于点N .设l 与C 的交点为,P Q ,若2PQ PN = ,则双曲线C 的离心率为 .三、解答题:本大题共7小题,共70分,解答须写出文字说明、证明过程或演算步骤. 17.(本题满分12分)已知各项均不为零的等差数列{}n a 的前n 项和为n S ,且满足22,n n S a n R λλ=+∈.(Ⅰ)求λ的值; (Ⅱ)求数列21211n n a a -+⎧⎫⎨⎬⎩⎭的前n 项和为n T .18.(本题满分12分)有甲乙两家公司都愿意用某求职者,这两家公司的具体聘用信息如下:(Ⅰ)根据以上信息,如果你是该求职者,你会选择哪一家公司?说明理由;(Ⅱ)某课外实习作业小组调查了1000名职场人士,就选择这两家公司的意愿做了统计,得到以下数据分布:若分析选择意愿与年龄这两个分类变量,计算得到的2K 的观测值为1 5.5513k ≈.请用统计学知识分析:选择意愿与年龄变量和性别变量中哪一个关联性更大? 附:22()()()()()n ad bc K a b c d a c b d -=++++19.(本题满分12分)如图4,已知四棱锥ABCD P -中,CD AB //,AD AB ⊥,3=AB ,6=CD ,4==AP AD , ︒=∠=∠60PAD PAB .(Ⅰ)证明:顶点P 在底面ABCD 的射影落在BAD ∠的平分线上; (Ⅱ)求二面角C PD B --的余弦值.20.(本题满分12分)已知椭圆1C :22221x y a b+=()00a b >>,的焦点与抛物线2C :2y =的焦点F 重合,且椭圆右顶点P 到F 的距离为3-(Ⅰ)求椭圆1C 的方程;(Ⅱ)设直线l 与椭圆1C 交于A ,B 两点,且满足PA PB ⊥,求PAB ∆面积的最大值.21.(本题满分12分) 已知函数x x a x x f 21ln )()(+-=(其中R a ∈). (Ⅰ)若曲线)(x f y =在点))(,(00x f x 处的切线方程为x y 21=,求a 的值; (Ⅱ)若e a e221<<(e 是自然对数的底数),求证:0)(>x f .请考生在第22,23题中任选一题作答,如果多做,则按所做的第一题计分,作答时请写清楚题号.22.(本题满分10分)选修4-4:坐标系与参数方程选讲在直角坐标系xOy 中,直线l 的参数方程为⎩⎨⎧+==ααsin 2cos t y t x (t 为参数,πα<≤0),曲线C 的参数方程为⎩⎨⎧+==ββsin 22cos 2y x (β为参数),以坐标原点O 为极点,x 轴正半轴为极轴建立极坐标系.(Ⅰ)求曲线C 的极坐标方程;(Ⅱ)设C 与l 交于M ,N 两点(异于原点),求ON OM +的最大值.23.(本题满分10分)选修4-5:不等式选讲 已知函数R a a x x x f ∈-=,)(.(Ⅰ)求1)1()1(>-+f f ,求a 的取值范围;(Ⅱ)若0a >,对(],,x y a ∀∈-∞,都有不等式5()4f x y y a ≤++-恒成立,求a 的取值范围.数学(理科)参考答案一、选择题1-5: BAABD 6-10:CCCDC 11、D 12:B二、填空题13. 5- 14.12 15. 1316.2 三、解答题17.解:(Ⅰ)设等差数列{}n a 的通项为)0(≠+=k b kn a n ,则2)2(2)(1b k kn n a a n S n n ++=+=, 由n a S n n λ+=22可得n b kn b k kn n λ++=++2)()2(即2222)2()2(b n kb n k n b k kn +++=++λ,则⎪⎩⎪⎨⎧=+=+=02222b kb b k k k λ,解得⎪⎩⎪⎨⎧===101λλb k所以1=λ.(Ⅱ)由(Ⅰ)得知n a S n n +=22,当1=n 时,12211+=a a ,得11=a 所以n n d n a a n =-+=-+=11)1(1, 所以)121121(21)12)(12(111212+--=+-=+-n n n n a a n n所以11111111[(1)()()](1)2335212122121n n T n n n n =-+-++-=-=-+++ . 18.解:(Ⅰ)设甲公司与乙公司的月薪分别为随机变量,X Y , 则()60000.470000.380000.290000.17000E X =⨯+⨯+⨯+⨯=,()50000.470000.390000.2110000.17000E Y =⨯+⨯+⨯+⨯=, ()222(60007000)0.4(70007000)0.3(80007000)0.2D X =-⨯+-⨯+-⨯ 22(90007000)0.11000+-⨯=()222(50007000)0.4(70007000)0.3(90007000)0.2D Y =-⨯+-⨯+-⨯ 22(110007000)0.12000+-⨯=,则()()()(),E X E Y D X D Y =<,我希望不同职位的月薪差距小一些,故选择甲公司或我希望不同职位的月薪差距大一些,故选择乙公司;(Ⅱ)因为10.5513 5.024k =>,根据表中对应值,得出“选择意愿与年龄有关系”的结论犯错的概率的上限是0.025,由数据分布可得选择意愿与性别两个分类变量的22⨯列联表:计算221000(5000070000)20006.734600400450550297k -==≈⨯⨯⨯ 2 6.734 6.635k =>,差表知得出结论“选择意愿与性别有关”的犯错误的概率上限为0.01,由0.010.025<,所以与年龄相比,选择意愿与性别关联性更大.19.解:(Ⅰ)设点O 为点P 在底面ABCD 的射影,连接AO PO ,,则PO ⊥底面ABCD , 分别作,OM AB ON AD ⊥⊥,垂足分别为,M N ,连接,PM PN , 因为PO ⊥底面ABCD ,AB ⊂底面ABCD ,所以PO AB ⊥,又OM AB ⊥,OM OP O = ,所以AB ⊥平面,OPM PM ⊂平面OPM , 所以AB PM ⊥,同理AD PN ⊥,即090AMP ANP ∠=∠=,又,PAB PAD PA PA ∠=∠=,所以AMP ANP ∆≅∆, 所以AM AN =,又AO AO =,所以Rt AMO Rt ANP ∆≅∆,所以OAM OAN ∠=∠,所以AO 为BAD ∠的平分线.(Ⅱ)以O 为原点,分别以,,OM ON OP 所在直线为,,x y z 轴, 建立如图所示的空间直角坐标系O xyz -,因为4PA =,所以2AM =,因为,AB AD AO ⊥为BAD ∠的平分线,所以045,2,OAM OM AM AO ∠====PO =则(2,1,0),(2,2,0),(2,4,0)B P D C ---,所以(4,3,0),(0,6,0)DB DP DC ===设平面BPD 的一个法向量为1111(,,)n x y z =,则11111114302220n DB x y n DP x y z ⎧⋅=+=⎪⎨⋅=++=⎪⎩,可取1n =- , 设平面PDC 的一个法向量为2222(,,)n x y z =,则由22211160220n Dc y n DP x y ⎧⋅==⎪⎨⋅=++=⎪⎩,可取21)n =- ,所以121212cos ,n n n n n n ⋅===⋅, 所以二面角B PD C --.20.解:(Ⅰ)设椭圆1C 的半焦距为c ,依题意,可得a b >,且33,1F c a c a b =-=-== ,所以椭圆1C 的方程为2219x y += . (Ⅱ)依题意,可设直线,PA PB 的斜率存在且不为零, 不妨设直线:(3)PA y k x =-,则直线1:(3)PB y x k=--, 联立:22(3)19y k x x y =-⎧⎪⎨+=⎪⎩ 得2222(19)54(819)0k x k x k +-+-=,则2619PA k =+同理可得:222661919k PB k k ==++⋅,所以PAB ∆的面积为:22222222118(1)18(1)32(19)(9)9(1)648k k k k S PA PB k k k k ++===≤=++++, 当且仅当23(1)8k k +=,即43k ±=是面积取得最大值38.21. (Ⅰ)()f x 的定义域为(0,)+∞,()3ln 22a f x x '=-+ , 由题意知00000000121()ln 231ln 22y x y x a x x a x x ⎧=⎪⎪⎪=-+⎨⎪⎪-+=⎪⎩,则0000()ln 0ln 10x a x ax x -=⎧⎪⎨-+=⎪⎩, 解得01,1x a ==或0,1x a a ==,所以1a =.(Ⅱ)令()()3ln 2a g x f x x x '==-+,则()21ag x x x'=+,因为12a e <<()20x ag x x+'=>,即()g x 在(0,)+∞上递增, 以下证明在()g x 区间(,2)2aa 上有唯一的零点0x ,事实上31()ln ln 222222a a a a g a =-+=-,3(2)ln 2ln 2122a g a a a a =-+=+因为12a e <<1()ln 0222a g <-=,1(2)ln(2)102g a e <⋅+=, 由零点的存在定理可知,()g x 在(,2)2aa 上有唯一的零点0x , 所以在区间0(0,)x 上,()()()0,g x f x f x '=<单调递减; 在区间0(,)x +∞上,()()()0,g x f x f x '=>单调递增, 故当0x x =时,()f x 取得最小值00001()()ln 2f x x a x x =-+, 因为0003()ln 02ag x x x =-+=,即003ln 2a x x =-, 所以20000000315()()()222a a f x x a x x x x x =--+=--,即00001()()(2)2af x x a x x =--. 0)(),2,2(00>∴∈x f a a x ,故当e a e221<<时,0)(>x f22.解:(Ⅰ)曲线C 的普通方程为22(2)4x y +-=,化简得224x y y +=,则24sin ρρθ=,所以曲线C 的极坐标方程为24sin ρρθ=. (Ⅱ)由直线l 的参数方程可知,直线l 必过点(0,2),也就是圆C 的圆心,则2MON π∠=,不妨设12(,),(,)2M N πρθρθ+,其中(0,)2πθ∈,则124sin 4sin()4(sin cos )()24OM ON ππρρθθθθθ+=+=++=+=+ ,所以当4πθ=,OM ON +取得最大值为23.解:(Ⅰ)()()11111f f a a +-=--+>,若1a ≤-,则111a a -++>,得21>,即1a ≤-时恒成立, 若11a -<< ,则1(1)1a a --+>,得12a <-,即112a -<<-, 若1a ≥,则(1)(1)1a a ---+>,得21->,即不等式无解, 综上所述,a 的取值范围是1(,)2-∞-.(Ⅱ)由题意知,要使得不等式恒成立,只需()max min5[]4f x y y a ⎡⎤≤++-⎢⎥⎣⎦, 当(,]x a ∈-∞时,()[]22max,()()24a a f x x ax f x f =-+==,因为5544y y a a ++-≥+,所以当5[,]4y a ∈-时,min555444y y a a a ⎡⎤++-=+=+⎢⎥⎣⎦,即2544a a ≤+,解得15a -≤≤,结合0a >,所以a 的取值范围是]5,0(.。
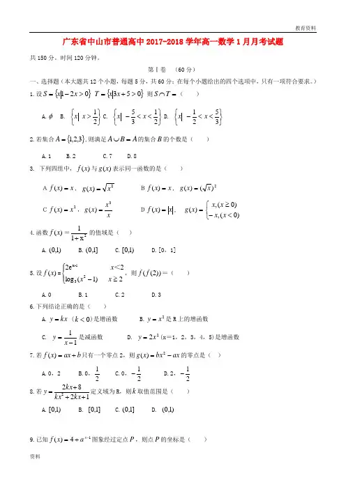
广东省中山市普通高中2017-2018学年高一数学1月月考试题一选择题(本大题共12个小题,每题5分共60分)1.设集合A={x|1<x <4},集合B ={x|2x -2x-3≤0}, 则A ∩(C R B )=( )A .(1,4)B .(3,4) C.(1,3) D .(1,2)∪(3,4) 2.设a =π0.3,b =log π3,c =30,则a ,b ,c 的大小关系是( )A .a >b >cB .b >c >aC .b >a >cD .a >c >b3.下列函数中,既是奇函数又是增函数的为( ) A. 1y x =+ B. 2y x =- C. 1y x=D. ||y x x = 4. 若f (x )=x 2-x +a ,f (-m )<0,则f (m +1)的值为( )A .正数B .负数C .非负数D .与m 有关5.若函数⎩⎨⎧>≤+=1,lg 1,1)(2x x x x x f ,则f(f(10)= ( )A.lg101B.1C.2D.06 设)(x f 是定义在R 上的一个函数,则函数)()()(x f x f x F --=在R 上一定是( )A 奇函数B 偶函数C 既是奇函数又是偶函数D 非奇非偶函数7 已知22(1)()(12)2(2)x x f x x x x x +≤-⎧⎪=-<<⎨⎪≥⎩,若()3f x =,则x 的值是( )A 1B 1或32 C 1,32或 D8.若函数f (x )=(a 2-2a -3)x 2+(a -3)x +1的定义域和值域都为R ,则a 的取值范围是( )A .a =-1或a =3B .a =-1C .a =3D .a 不存在9 下列函数与x y =A 2x y = B xx y 2=x a a y log =10、偶函数)(x f y =在区间[0,4]上单调递减,则有( )A 、)()3()1(ππ->>-f f fB 、)()1()3(ππ->->f f fC 、)3()1()(ππf f f >->-D 、)3()()1(ππf f f >->-11、若函数)(x f 满足)()()(b f a f ab f +=,且n f m f ==)3(,)2.(,则)72(f 的值为( ) A 、n m +B 、n m 23+C 、n m 32+D 、23n m +12.当0<a <1时,函数①y =a |x |与函数②y =log a |x |在区间(-∞,0)上的单调性为( )A .都是增函数B .都是减函数C .①是增函数,②是减函数D .①是减函数,②是增函数二填空题(本大题共4小题,每题4分共16分)13.函数y =(13)x -3x在区间[-1,1]上的最大值为________.14.化简11410104848++的值等于_________15.已知函数f (x )=x 2-2x +2的定义域和值域均为[1,b ],则b =________.16.函数y =lg x +1x -1的定义域为________.三、解答题(本大题共6个题,17-21题每题12分,22题14分共74分,要求写出必要的过程) 17(本小题12分)设A={x }01)1(2{,04222=-+++==+a x a x x B x x ,其中x ∈R,如果A ⋂B=B ,求实数a 的取值范围。
广东省佛山市普通高中学校2018届高三数学4月月考模拟试题满分150分,时间120分钟. 第Ⅰ卷(选择题,共50分)一、选择题:本大题共10小题,每小题5分,共50分.在每小题列出的四个选项中,只有一项是符合题目要求的. 1.已知集合{}1,2,3A =,{}3BA =,{}1,2,3,4,5B A =,则集合B 的子集的个数为A .6 个B .7 个C .8个D .9个 2.命题“2,20x R x x ∃∈-+≥”的否定是A.2,20x R x x ∃∈-+>B.2,20x R x x ∃∈-+<C.2,20x R x x ∀∈-+≥D.2,20x R x x ∀∈-+< 3.已知,αβ表示两个不同的平面,l 为α内的一条直线,则“αβ”是“l β”的A.充分不必要条件B.必要不充分条件C.充要条件D.既不充分也不必要条件 4.函数()2sin f x x x =-的零点个数为A.1B.2C.3D.4 5.不等式2162a bx x b a+<+对任意,(0,)a b ∈+∞恒成立,则实数x 的取值范围是 A. (2,0)- B.(,2)(0,)-∞-+∞ C.(-6.如右图所示,程序框图输出的所有实数对),(y x 所对应的点都在函数A.y =x +1的图象上B.y =2x 的图象上C.y =2x的图象上 D.y =12x -的图象上7.在区间[]0,π上随机取一个数x ,则事件sin cos 1x x +≥“”发生的概率为 A.14 B. 13 C.12 D.238.定义:函数()f x 的定义域为D ,如果对于任意的1x D ∈,存在唯一的2x D ∈,使得c =(其中c 为常数)成立,则称函数()f x 在D 上的几何均值为c . 则下列函数在其定义域上的“几何均值”可以为2的是A.21y x =+B.sin 3y x =+C.x y e =(e 为自然对数的底)D.ln y x =9.已知抛物线240x py(p )=>与双曲线2222100y x (a ,b )a b-=>>有相同的焦点F ,点A是两曲线的一个交点,且AF y ⊥轴,则双曲线的离心率为A.12B1 C1 D.1210. 设,x y 满足约束条件360200,0x y x y x y --≤⎧⎪-+≥⎨⎪≥≥⎩,若目标函数z ax by =+ (0>a ,0>b )的最大值为8,点P 为曲线21(0)3y x x=-<上动点,则点P 到点(,)a b 的最小距离为 A.13 B .0 C.26D .1 第Ⅱ卷(非选择题,共100分)二、填空题: 本大题共7小题,每小题5分,共35分. 请将答案填在答题卡对应题号.......的位置上. 答错位置,书写不清,模棱两可均不得分.11.若53sin =θ,θ为第二象限角,则tan()πθ-= . 12.设复数1a iz i+=+,其中a 为实数,若z 的实部为2,则z 的虚部为 .13.已知正方形ABCD 的边长为1,则=-2 .14.某行业从2013年开始实施绩效工资改革,为了解该行业职工工资收入情况,调查了1000名该行业的职工,并由所得数据画出了如图所示的频率分布直方图,由图可知中位数为________. 现要从这1000人中再用分层抽样的方法抽出100人作进一步调查, 则月收 入在[3500,4000)(元)内应抽出 人.频率/组距第14题图ABPC俯视图主视图第15题图15. 某三棱锥P ABC -的正视图为如图所示边长为2的正三角形,俯视图为等腰直角三角 形, 则三棱锥的表面积是 .16. 挪威数学家阿贝尔,曾经根据阶梯形图形的两种不同分割(如下图),利用它们的面积 关系发现了一个重要的恒等式---阿贝尔公式:11223311222333411()()()()n n n n n n n a b a b a b a b a b b L b b L b b L b b L b --++++=-+-+-++-+则其中:(Ⅰ)3L =______________;(Ⅱ)n L =______________.17.若直线1x my =-与圆22:0C x y mx ny p ++++=交于A 、B 两点,且A 、B 两点关 于直线y x =对称,则实数p 的取值范围为________________.三、解答题:本大题共5小题,共65分。
佛山市达标名校2018年高考三月数学模拟试卷一、选择题:本题共12小题,每小题5分,共60分。
在每小题给出的四个选项中,只有一项是符合题目要求的。
1.231+=-ii ( ) A .15i 22-+ B .1522i -- C .5522i + D .5122i - 2.已知三点A(1,0),B(0,3 ),C(2,3),则△ABC 外接圆的圆心到原点的距离为( ) A .53 B .21 C .25D .433.已知底面为正方形的四棱锥,其一条侧棱垂直于底面,那么该四棱锥的三视图可能是下列各图中的( )A .B .C .D .4.已知12,F F 是椭圆和双曲线的公共焦点,P 是它们的-一个公共点,且1223F PF π∠=,设椭圆和双曲线的离心率分别为12,e e ,则12,e e 的关系为( ) A .2212314e e += B .221241433e e += C .2212134e e += D .221234e e +=5.抛物线方程为24y x =,一直线与抛物线交于A B 、两点,其弦AB 的中点坐标为(1,1),则直线的方程为( ) A .210x y --=B .210x y +-=C .210x y -+=D .210x y ---=6.已知抛物线22(0)y px p =>,F 为抛物线的焦点且MN 为过焦点的弦,若||1OF =,||8MN =,则OMN 的面积为( )A .22B.32C .42D .3227.已知实数x 、y 满足约束条件103300x y x y y -+≥⎧⎪--≤⎨⎪≥⎩,则2z x y =+的最大值为( )A .1-B .2C .7D .88.已知命题p :“关于x 的方程240x x a -+=有实根”,若p ⌝为真命题的充分不必要条件为31a m >+,则实数m 的取值范围是( ) A .[)1,+∞B .1,C .(),1-∞D .(],1-∞9.在很多地铁的车厢里,顶部的扶手是一根漂亮的弯管,如下图所示.将弯管形状近似地看成是圆弧,已知弯管向外的最大突出(图中CD )有15cm ,跨接了6个坐位的宽度(AB ),每个座位宽度为43cm ,估计弯管的长度,下面的结果中最接近真实值的是( )A .250cmB .260cmC .295cmD .305cm10.若不等式32ln(1)20a x x x +-+>在区间(0,)+∞内的解集中有且仅有三个整数,则实数a 的取值范围是( ) A .932,2ln 2ln 5⎡⎤⎢⎥⎣⎦B .932,2ln 2ln 5⎛⎫⎪⎝⎭ C .932,2ln 2ln 5⎛⎤⎥⎝⎦D .9,2ln 2⎛⎫+∞⎪⎝⎭11.已知20,()1(0),{|()},{|(())()}a f x ax x x A x f x x B x f f x f x x >=-+>=≤=≤≤,若A B φ=≠则实数a 的取值范围是( ) A .(0,1]B .3(0,]4C .3[,1]4D .[1,)+∞12.已知函数()2ln e x f x x =,若关于x 的方程21[()]()08f x mf x -+=有4个不同的实数根,则实数m 的取值范围为( )A.3(0,)4B.2(0,)2C.23(,)24D.2(,1)2二、填空题:本题共4小题,每小题5分,共20分。
下学期高二数学5月月考试题01满分150分。
用时120分。
第一部分 基础检测(共100分)一、选择题:本大题共10个小题,每小题5分,共50分,在每小题给出的四个选项中,只有一项是符合题目要求的。
1.已知全集U R =,则正确表示集合{1,0,1}M =-和2{|0}N x x x =+=关系的韦恩(Venn )图是 ( )2.已知,a b 是实数,则“00a b >>且”是“00a b ab +>>且”的 ( ) A .充分而不必要条件 B .必要而不充分条件 C .充分必要条件 D .既不充分也不必要条件3.设集合A={x|1<x <4},集合B ={x|2x -2x-3≤0}, 则A∩(C R B )=( )A .(1,4)B .(3,4)C .(1,3)D .(1,2)∪(3,4) 4.已知命题p :∀x 1,x 2∈R ,(f (x 2)-f (x 1))(x 2-x 1)≥0,则⌝p 是( ) A .∃x 1,x 2∈R ,(f (x 2)-f (x 1))(x 2-x 1)≤0 B .∀x 1,x 2∈R ,(f (x 2)-f (x 1))(x 2-x 1)≤0 C .∃x 1,x 2∈R ,(f (x 2)-f (x 1))(x 2-x 1)<0 D .∀x 1,x 2∈R ,(f (x 2)-f (x 1))(x 2-x 1)<05.下列函数中,既是奇函数又是增函数的为( )A .1y x =+B .2y x =- C .1y x= D .||y x x =6.函数1(0,1)x y a a a a=->≠的图象可能是( ) A U NMBM N UC MNU DUN M7.把函数sin(2)6y x π=+的图像向左平移6π个单位,所得图像的函数解析式为( )A .sin(2)3y x π=+B .sin(2)6y x π=- C .sin 2y x = D .cos 2y x =8.实数,a b 满足01a b <<<,则下列不等式正确的是( ) A .baa b <B .bb ab --< C .ab ab --< D .b bb a <9.定义在R 上的函数()f x 满足(6)()f x f x +=.当31x -≤<-时,2()(2)f x x =-+,当13x -≤<时,()f x x =。
2018佛山一中高考文科数学模拟试卷(含答案)
5 c 广东省佛市第一中学--13,选做题14----15考生只能从中选做一题)
11过原点且倾斜角为60度的直线被圆所截得的弦长为
12设复数满足,且,则
13设满足,则的取值范围是
14极坐标方程为与的两个圆的圆心距为
15 如图所示,圆上一点c在直径AB上的射影为D,
cD=4,BD=8,则圆的半径等于
三.解答题
16(12分)掷两枚骰子,记事A为“向上的点数之和为n”
(1)求所有n值组成的集合;
(2)n为何值时事A的概率P(A)最大?最大值是多少?
(3)设计一个概率为05的事(不用证明)
17(12分)如图,有三个并排放在一起的正方形,
(1)求的度数;
(2)求函数
的最大值及取得最大值时候的x值。
18(14分)如图,四面体ABcD中,是BD的中点,cA=cB=cD=BD=2,AB=AD= 。
(1)求证A⊥平面BcD;
(2)求E到平面AcD的距离;
(3)求异面直线AB与cD所成角的余弦值。
19(14分)设函数是定义在上的偶函数,当时,(是实数)。
(1)当时,求f(x)的解析式;
(2)若函数f(x)在(0,1]上是增函数,求实数的取值范围;
(3)是否存在实数,使得当时,f(x)有最大值1
---------------4分。
高考数学三轮复习冲刺模拟试题04考试时间:120分钟满分:150分第Ⅰ卷(共60分)一、选择题:本大题共12小题,每小题5分,共60分.在每小题给出的四个选项中,只有一项是符合题目要求的.1.已知全集U R=,集合{|2A x x=<-或3}x>,2{|340}B x x x=--≤,则集合A B=()A.{|24}x x-≤≤ B.{|34}x x<≤C.{|21}x x-≤≤- D.{|13}x x-≤≤2.已知复数iz+=1,则复数zz+4的共轭复数为()A.i-3 B.i+3 C.i35+ D.i35-3. 函数1cos1tansincos1sin1cos222---+-=xxxxxxy的值域是()A. {}3,1,1-B.{}1,1,3-- C. {}1,3- D. {}3,14. 如图是甲、乙两名篮球运动员某赛季一些场次得分的茎叶图,中间的数字表示得分的十位数,据图可知( )A.甲运动员的最低得分为0分B.乙运动员得分的中位数是29C.甲运动员得分的众数为44D.乙运动员得分的平均值在区间(11,19)内5.设yx,满足约束条件⎪⎩⎪⎨⎧≥≥≥+-≤--,0,0,02,063yxyxyx若目标函数)0,0(>>+=babyaxz的最大值为,12则ba32+的最小值为( ).A625.B38.C311.D4即4a+6b=12,即2a+3b=6,而23232a3b25=a b a b66+++≥(),故可知结论选A.6.在棱长均为2的正四面体A-BCD中,若以三角形ABC为视角正面的三视图中,其左视图的面积是(A3(B26(C2(D)22 AB CD7.运行右图所示的程序框图,则输出的结果是_______.8、函数()sin()(,0)4f x x x Rπωω=+∈>的最小正周期为π,为了得到函数()f x的图象,只要将sin2y x=的图象A.向左平移4π个单位长度 B.向右平移4π个单位长度C.向左平移8π个单位长度 D.向右平移8π个单位长度开始1n=1s=4?n≤s s n=⨯1n n=+s输出结束是否9.过点)1,1(P 的直线l 交圆8:22=+y x O 于B A ,两点,且120=∠AOB ,则直线l 的方程为A .32+-=x yB .2+-=x yC .1+-=x yD .2-=x y10. 设双曲线)0,0(12222>>=-b a by a x 的虚轴长为2,焦距为32,则双曲线的渐近线方程为( )A.x y 2±=B.x y 2±=C.x y 22±= D.x y 21±=11.若方程xx 2)1ln(=+的根在区间))(1,(Z k k k ∈+上,则k 的值为( ) A .1-B .1C .1-或2D .1-或112.设M 是椭圆1162522=+y x 上的一点,1F 、2F 为焦点,621π=∠MF F ,则21F MF ∆ 的面积为( )A .3316 B .)32(16+ C .)32(16- D .16第Ⅱ卷二.填空题:本大题共4小题,每小题4分。
2018届南海区高三文科三模数学题例一、选择题:本大题共12小题,每小题5分,满分60分.在每小题给出的四个选项中,只有一项是符合题目要求的.1.设集合{}|21A x x =-≤≤,{}22|log (23)B x y x x ==--,则AB =A .[2,1)-B .(1,1]-C .[2,1)--D .[1,1)- 2.已知复数z 满足(1i)2z +=,则复数z 的虚部为A .1B .1-C .iD . i -3.已知数列{}n a 是等差数列,其前n 项和为n S ,若3812a a +=,945S =则7a =A. 7B. 8C. 9D. 10 4.函数()11xx f x e x -=++的部分图象大致是( )5.执行右图的程序框图,若输出的5n =,则输入整数p 的最大值是 A .15B .14C .7D .66.函数sin()26x y π=+的图像可以由函数sin 2xy =的图像经过 A .向右平移3π个单位长度得到 B .向右平移6π个单位长度得到 C .向左平移3π个单位长度得到 D .向左平移6π个单位长度得到 7.已知9log 72a =, 2log 2b π=, 2log 2ec =,则实数a , b , c 的大小关系为( )A. c b a >>B. b c a >>C. c a b >>D. b a c >>8.在三棱锥A BCD -中, 1AB AC ==, 2DB DC ==,AD BC =锥A BCD -的外接球的表面积为( )A . πB . 4πC .7πD . 9π 9.设函数()ln(1)ln(1)f x x x =+--,则()f x 是( )A.奇函数,且在(0,1)上是增函数B. 奇函数,且在(0,1)上是减函数A .B D.CC. 偶函数,且在(0,1)上是增函数D. 偶函数,且在(0,1)上是减函数10.1F , 2F 分别是双曲线22221x y a b-=(0a >,0b >)的左右焦点,过1F 的直线与双曲线的左、右两支分别交于点B ,A ,若2ABF ∆为等边三角形,则双曲线的离心率为( )A.B. 4C.D.11.关于圆周率π,数学发展史上出现过许多有创意的求法,如著名的普丰实验和查理斯实验.受其启发,我们也可以通过设计下面的实验来估计π的值:先请120名同学每人随机写下一个,x y 都小于1的正实数对(),x y ,再统计其中,x y 能与1构成钝角三角形三边的数对(),x y 的个数m ,最后根据统计个数m 估计π的值.如果统计结果是m 34=,那么可以估计π的值为A.227B.5317C.5116D.471512.已知函数1()(31)(4)x f x x emx m e +=++?,若有且仅有两个整数使得()0f x £,则实数m 的取值范围是A. 5,2e ⎛⎤ ⎥⎝⎦B. 258,23e e ⎡⎫--⎪⎢⎣⎭C. 218,23e ⎡⎫--⎪⎢⎣⎭D. 54,2e e ⎡⎫--⎪⎢⎣⎭二、填空题:本大共4小题,每小题5分,满分20分.13.设变量,x y 满足约束条件10220220x y x y x y +-≥⎧⎪-+≥⎨⎪--≤⎩, 则32z x y =-的最大值为14.函数()2xf x e =的图象在点()()0,0f 处的切线方程为 .15.某学校开展了丰富多彩的社团文化活动,甲,乙,丙三位同学在被问到是否参加过街舞社,动漫社,器乐社这三个社团时,甲说:我参加过的社团比乙多,但没有参加过动漫社; 乙说:我没有参加过器乐社;丙说:我们三个人都参加过同一个社团,由此判断乙参加过的社团为__________.16.已知等边ABC ∆边长为4,O 为其内一点,且4730OA OB OC ++=,则AOB ∆的面积为三、解答题:共70分.解答须写出文字说明、证明过程或演算步骤.第17~21题为必考题,每个试题考生都必须作答.第22、23题为选考题,考生根据要求作答. (一)必考题:共60分. 17.(本小题满分12分)在ABC ∆中,角C B A ,,对边分别为c b a ,,,)cos cos cos 2A b B a C c +=(, (Ⅰ)求角C ;(Ⅱ)如图,点D 在边BC 的延长线上,且CD BC AC 2==, 7=AD ,求BAD ∠sin 的值.18.(本小题满分12分)如图, DC ⊥平面ABC , //EB DC , 22AC BC EB DC ====,120ACB ∠=︒, Q 为AB 的中点.(Ⅰ)证明: CQ ⊥平面ABE ; (Ⅱ)求多面体ACED 的体积;19.(本小题满分12分)在平面直角坐标系xOy 中,动点M到定点F的距离和它到定直线x =记动点M 的轨迹为Ω. (Ⅰ) 求Ω的方程;(Ⅱ)设过点(0,2)-的直线l 与Ω相交于A ,B 两点,当AOB ∆的面积为1时,求AB .20.(本小题满分12分)对某地区儿童的身高与体重的一组数据,我们用两种模型①y bx a =+,②dx y ce =拟合,得A到回归方程分别为()10.248.81y x =-,()20.0221.70x ye =,作残差分析,如表:(Ⅰ)求表中空格内的值;(Ⅱ)根据残差比较模型①,②的拟合效果,决定选择哪个模型;(Ⅲ)残差大于1kg 的样本点被认为是异常数据,应剔除,剔除后对(Ⅱ)所选择的模型重新建立回归方程.(结果保留到小数点后两位) 附:对于一组数据()()()1122,,,,,n n x y x y x y ,其回归直线y bx a =+的斜率和截距的最小二乘法估计分别为 ()()()121nii i nii xx y yb xx==--=-∑∑,a y bx =-.参考数据425))((61=--∑=i iiyy x x ,∑==-5121720)84(i ix21.(本小题满分12分)(1)若0a ³,函数()f x 的极大值为3e,求实数a 的值; (2)若对任意的0a ³,()ln f x b x £在[)2,x ∈+∞上恒成立,求实数b 的取值范围.(二)选考题:共10分,请考生在第22、23题中任选一题作答.如果多做,则按所做的第一题计分.22.(本小题满分10分)选修4-4:坐标系与参数方程e e在直角坐标系xOy 中,曲线1C :2cos sin x y ϕϕ=+⎧⎨=⎩(ϕ为参数),在以O 为极点,x 轴正半轴为极轴的极坐标系中,曲线2C :ρθ=.(1)求1C 与2C 交点的极坐标(0ρ≥,02θ≤<π);(2)若点P 在1C 上,点Q 在2C 上,且PQ 过极点,求PQ 的最大值.23.(本小题满分10分)选修4-5:不等式选讲已知函数()21f x x =+,()g x x a =+. (1)当0a =时,解不等式()()f x g x ≥;(2)若存在x ∈R ,使()()f x g x ≤成立,求实数a 的取值范围.2018届南海区高三文科数学题例参考答案一.选择题:每小题5分,共60分10.解:如右图,设AB x =,由双曲线的定义可知:12BF a =,4x a =在12BF F D 中,22204416224cos120c a a a a =+-创则e =11.由题意,120对都小于1的正实数对,满足,面积为1,两个数能与1构成钝角三角形三边的数对,满足且,,面积,因为统计两数能与1构成钝角三角形的数对的个数,所以,所以.12. 【解析】由()0f x ≤得: ()1310x x e mx +++≤,即()131x mx x e +≤-+设()g x mx=,()()131x h x x e +=-+()()()11133134x x x h x e x e x e +++⎡⎤=-+=-+⎣⎦'+由()0h x '>可得()340x -+>,即43x <-由()0h x '<可得()340x -+<,即43x >-当43x =-时,函数()h x 取得极大值 在同一平面直角坐标系中作出()y h x =, ()y g x =的大致图象如图所示: 当0m ≥时,满足()()g x h x ≤的整数解超过两个,不满足条件 当0m <时,要使()()g x h x ≤的整数解只有两个,则需满足()()()()22{ 33h g h g -≥--<-,即1252{ 83e m e m--≥-<-,解得252{ 83m e m e≥-<- 即25823m e e -≤<- 即实数m 的取值范围为258[ 23e e ⎫--⎪⎭,二.填空题:每小题5分,共20分13. 3 14. 220x y -+= 15. 街舞社16.715. 由已知,甲没参加过动漫社,乙没有参加过器乐社,而三个人都参加过同一个社团,则三人都参加过的社团为街舞社;又甲参加过的社团比乙多,则只可能为甲参加过两个社团,乙参加过一个,故乙参加过的社团为街舞社。
高考数学三轮复习冲刺模拟试题05考试时间:120分钟满分:150分第Ⅰ卷(共60分)一、选择题:本大题共12小题,每小题5分,共60分.在每小题给出的四个选项中,只有一项是符合题目要求的.1.设P ={y|y=-x 2+1,x ∈R},Q ={y| y=2x,x ∈R },则A.P ⊆ QB. Q ⊆ PC. C R P ⊆ QD. Q ⊆ C R P2. 设a 是实数,且复数()13a iZ i+-=在复平面内对应的点在第三象限,则a 的取值范围为 A .{}3a a > B .{}3a a < C .{}3a a ≥- D . {}3a a <-坐标都小于零,即a-3<0,a<3,选B3.函数()()2log 1f x x =+的定义域是( )A .()1,+∞B .()1,-+∞C .[1,)+∞D .[1,)-+∞4. 某校 1 000名学生的高中数学学业水平考试成绩的频率分布直方图如图所示.规定错误!未找到引用源。
90分为优秀等级,则该校学生优秀等级的人数是( )A. 错误!未找到引用源。
B. 错误!未找到引用源。
C. 错误!未找到引用源。
D. 错误!未找到引用源。
5.设变量x ,y 满足:34,2y x x y x ≥⎧⎪+≤⎨⎪≥-⎩则z=|x-3y|的最大值为A .8B .3C .134D .92则对于目标函数z=x-3y ,当直线经过A (-2,2)时, z=|x-3y|,取到最大值,Z max =8.故选:A .6.某三棱锥的侧视图和俯视图如图所示,则该三棱锥的体积为 ( )A .43B .83C .123D .2437、如图所示程序图运行的结果是( )序输出的结果为10.8.在△ABC 中,AB AC =1,B =30°,则△ABC 的面积等于( )9、直线032=--y x 与圆9)3()2(22=++-y x 交于E 、F 两点,则∆EOF (O 是原点)的面积为 A 、23 B 、43 C 、52 D 、55610.已知抛物线22y px =的焦点F 与双曲线2213y x -=的右焦点重合,抛物线的准线与x 轴的交点为K ,点A 在抛物线上且|||AK AF =,则AFK ∆的面积为( )A .4B .8C .16D .3211.函数)10(1||log )(<<+=a x x f a 的图象大致为( )12. 过双曲线22221(0,0)x y a b a b -=>>的左焦点)0)(0,(>-c c F ,作圆:2224a x y += 的切线,切点为E ,延长FE 交双曲线右支于点P ,若1()2OE OF OP =+,则双曲线的离心率为第Ⅱ卷二.填空题:本大题共4小题,每小题4分。
广东佛山市普通高中2018届高考数学三轮复习冲刺
模拟试题01
时间:120分钟 满分:150分
第Ⅰ卷(共60分)
一、选择题:本大题共12小题,每小题5分,共60分.在每小题给出的四个选项中,只有一项是符合题目要求的.
1.设集合}1,0,1{-=M ,},{2a a N =则使M ∩N =N 成立的a 的值是( ) A .1
B .0
C .-1
D .1或-1
2.已知i 为虚数单位,则复数i
i Z +-=
331的虚部为( )
A 、1
B 、1-
C 、i
D 、i -
3、函数1
()lg f x x
=
的定义域是( ) A 、{}|0,1x x x >≠ B 、{}|0,2x x x >≠ C 、{}|0,x x ≤ D 、{}|0,1x x x ≥≠
4右图是2012年在某大学自主招生考试的面试中,七位评委为某考生打出的分数的茎叶统计图,去掉一个最高分和一个最低分后,所剩数据的平均数和方差分别为 ( )
A .84,4.84
B .84,1.6
C .85,1.6
D .85,4
5. 设变量y x ,满足约束条件⎪⎩
⎪
⎨⎧≤-≥+-≥-+01042022x y x y x ,则目标函数x y z 32-=的最大值为( )
A. 8
B.9
C.2
D. 4
6、三视图如右图的几何体是
A .三棱锥
B .四棱锥
C .四棱台
D .三棱台
7.阅读如图所示的某一问题的算法的流程图,此流程图反映的算法功能是( ) A.求出c b a ,, 三个数中的最大数 B.求出c b a ,, 三个数中的最小数
C.将c b a ,, 按从大到小排列
D.将c b a ,, 按从小到大排列
8.要得到函数x y 2cos =的图象,可由函数cos(2)3
y x π
=-的图像( )
A .向左平移3
π
个长度单位 B .向右平移
3
π
个长度单位 C .向左平移
6
π
个长度单位 D .向右平移
6
π
个长度单位
9.已知)0,(),0,(21c F c F -为椭圆122
22=+b
y a x 的两个焦点,P 为椭圆上一点且
221c PF PF =⋅,则此椭圆离心率的取值范围是( )
A .
B .11[,]32
C .2
D .(0,
2
10.已知焦点(设为F 1,F 2)在x 轴上的双曲线上有一点03
(,)2
P x
,直线y =是双曲线的一条渐近线,当120FP PF ⋅=时,该双曲线的一个顶点坐标是
( ) A
.
B
.
C .(2,0)
D .(1, 0)
11.函数()x b f x a -=的图象如图,其中a 、b 为常数,则下列结论正确的是( )
A .a > 1,b < 0
B .a > 1,b
> 0
C .0 < a < 1,b > 0
D .0 < a < 1,b < 0
12、已知函数1)(+-=mx e x f x 的图像为曲线C ,若曲线C 存在与直线x y 2
1
=垂直的切线,则实数m 的取值范围是
A 、2≤m
B 、2>m
C 、21-
≤m D 、2
1->m
第Ⅱ卷
二.填空题:本大题共4小题,每小题4分。
13.若直线y x b =-与曲线2cos ,
sin x y θθ=+⎧⎨=⎩
([0,2)θπ∈)有两个不同的公共点,则实数
b 的取值范围为____________;
15. 5000辆汽车经过某一雷达测速区, 其速度频率分布直方图如右图所示,则时速超过70km/h 的汽车数量为
16、下面有五个命题:
①函数y=sin 4
x-cos 4
x 的最小正周期是π. ②终边在y 轴上的角的集合是{a|a=
Z k k ∈π
,2
|. ③在同一坐标系中,函数y=sinx 的图象和函数y=x 的图象有三个公共点. ④把函数.2sin 36
)32sin(3的图象得到的图象向右平移x y x y =π
π+= ⑤函数.0)2
sin(〕上是减函数,在〔ππ
-=x y 。
其中真命题的序号是 (写出所有)
三、解答题:解答应写出文字说明,证明过程或演算步骤。
17.(本题满分12分)
(1
(2
的取值范围.
18.(本小题满分12分) ,选200只老鼠做试验,将这200只老鼠随机地分成两组,每组100只,其中一组注射药物
),
称为
),
(单位
的频率
分布表、频率分布直方图分别如下:
几只?
(2)在(Ⅰ)的条件下,间上的老鼠放在一起观察,几天后,从中抽取两只抽血化验,1只
被抽中的概率.
本小题满分12分)
(本小题共12分)
如图,
中点,
分)
(1)
值;
(2)
取值范围.
(14
为坐标原点)
(1求AB所在直线方程。