连云港市最新公交线路2012年10月1后
- 格式:xls
- 大小:110.50 KB
- 文档页数:60
新浦汽车总站时刻表一、引言新浦汽车总站是新浦区最重要的交通枢纽,连接着周边城市和乡村。
为方便乘客及时了解车次信息,现将新浦汽车总站的时刻表进行详细介绍,以便乘客能够更好地安排行程。
本文将按照目的地分类,介绍每个目的地的汽车班次及发车时间。
二、城市线路1. 城市A- 发车时间:早上7:00、12:00、下午3:00、晚上8:30- 交通工具:大巴车- 行车时间:约2小时- 备注:城市A是新浦区的邻近城市,每天有四个车次往返。
2. 城市B- 发车时间:早上8:30、中午12:30、下午4:00、晚上9:00- 交通工具:大巴车- 行车时间:约3小时- 备注:城市B是新浦区的省会城市,每天有四个车次往返。
3. 城市C- 发车时间:早上9:00、上午10:30、下午2:00、晚上7:00 - 交通工具:大巴车- 行车时间:约4小时- 备注:城市C是新浦区的商业中心,每天有四个车次往返。
三、乡村线路1. 乡村A- 发车时间:早上6:30、上午10:00、下午3:30、晚上8:00 - 交通工具:小巴车- 行车时间:约1小时- 备注:乡村A是新浦区的重要乡镇,每天有四个车次往返。
2. 乡村B- 发车时间:早上7:30、中午12:00、下午4:30、晚上9:30- 交通工具:小巴车- 行车时间:约2小时- 备注:乡村B是离新浦区较远的一个乡镇,每天有四个车次往返。
3. 乡村C- 发车时间:早上8:00、上午11:30、下午5:00、晚上10:00- 交通工具:小巴车- 行车时间:约3小时- 备注:乡村C是景区所在地,每天有四个车次往返。
四、购票方式乘客可以通过以下方式购买车票:1. 网上购票- 乘客可以登录新浦汽车总站的官方网站,选择目的地和出发时间,付款后即可获得电子车票。
2. 窗口购票- 乘客可以到新浦汽车总站的售票窗口,直接购买纸质车票。
3. 电话购票- 乘客可以致电新浦汽车总站的客服热线,告知目的地和出发时间,工作人员将为乘客预订车票,并提供取票方式。
宿迁新辟线路8条以下新辟公交线路于2015年10月18日正式运行。
1、宿迁公交107路(江苏财茂城—支口街)。
线路里程21.5公里,投入车辆16辆,班次平均间隔时间10-15分钟,首班发车时间6:00,末班发车时间19:00。
途径站点:江苏财茂城—江苏财茂城厂区—御水佳园—恒元建材—苏韵服装—双河庭院—宿迁允浩制衣—江苏梦润环境建设—中瓯名城—灭火救援应急中心(宿迁消防)—润园—邻里小区—城中花园—御庭世纪西门—欧洲花园西门—希望城—霸王商城—富康路派出所—楚街南门—交通银行—霸王举鼎—新华书店—京杭大酒店—江苏有线—黄河上院西门—市残联—马陵中学北门—市第一人民医院—启智学校—市看守所—儿童福利院—康堡小区—董坝居委会—双庄镇政府—支口街。
途径道路:江苏财茂城—纺织路—南二路—民便路—吴宿路—振兴路—富康大道—西湖路—发展大道—环城北路—支口街。
2、宿迁公交110路(市实小三棵树分校—华东农业大市场)。
线路里程19公里,投入车辆16辆,班次平均间隔时间12-15分钟,首班发车时间6:00,末班发车时间19:00。
途径站点:市实小三棵树分校—三树新城—三树新城东门—和谐家园—三树中学—市经开区管委会—三树变电所—恒力太湖花园西门—子悦城—上海城—金鼎名府—马赛公馆—华辉新城—青华园—富豪御景城—通成山庄—天星花园—宿迁汽车客运站东门—宿迁汽车客运站—项王小区二期—市财政局—市政府—市技术监督局—大润发超市—金鹰国际—金港花园—宿城区实小—凤凰美地—马陵路—春晓金水湾—江苏玻璃厂—电厂—市农科院—文昌高中—尚阳湖畔—华东农业大市场。
途径道路:市实小三棵树分校—人民大道—洪泽湖路—幸福路—马陵路—运河路—环城北路—华东农业大市场。
3、宿迁公交203路(耿车客运站—京东产业园公交首末站)。
线路里程27公里,投入车辆20辆,班次平均间隔时间10-15分钟,首班发车时间6:00,末班发车时间19:00。
途径站点:耿车客运站—大同村—大同村委会—大同新村—三义村—杨集—三义五组—正红彩印包装—可成科技F区—可成科技—宏运环保—宿城开发区管委会—巨圣实业—鼎峰重钢—苏州外国语学校—碧桂园—金宿华府—汽车配件城—西楚庄园—新城名居—宿城新区实验小学—宿城区市民服务中心—儿童医院—阳光华城—项王小区三期—项王小区二期南门—江苏银行—交通银行—苏果平价店(下行有)—宝龙广场—宝龙城市花园—古城实验小学—东方医院—颐景华庭—项里小区—锦绣江南—珠江医院—宿豫区地税局—东方花园—江山一品—中通名仕嘉园南门—金色家园—京东商城—新新家园东门—京东产业园公交首末站。
连云港市人民政府关于连云港市城市快速道路布局规
划(2015-2030年)的批复
文章属性
•【制定机关】连云港市人民政府
•【公布日期】2017.08.22
•【字号】连政复〔2017〕24号
•【施行日期】2017.08.22
•【效力等级】地方规范性文件
•【时效性】现行有效
•【主题分类】交通运输其他规定
正文
市政府关于连云港市城市快速道路布局规划(2015-2030年)
的批复
连政复〔2017〕24号
市交通局、规划局:
你局联合上报的《关于审批<连云港市城市快速道路布局规划(2015-2030年)>的请示》(连交〔2017〕128号)收悉。
经研究,批复如下:
一、原则同意你局上报的《连云港市城市快速道路布局规划(2015-2030年)》(以下简称规划)。
二、《规划》确定的范围为中心城区范围,包括海州、高新、开发、连云、赣榆、徐圩港区、赣榆港区7个组团。
三、原则同意《规划》中确定的快速道路类型、布局规划方案和中心城区快速
路节点布局。
四、你局要会同相关职能部门,加强规划控制和监督管理工作,切实保障规划实施。
此复。
连云港市人民政府
2017年8月22日。
线路攻略D1东营-潍坊-安丘-五莲-西湖-岚山-赣榆-连云港(约6小时住宿连云港连岛渔家)。
赴江苏最大的海滨浴场,被誉为“江苏北戴河”的连岛海滨浴场和苏马湾生态园联票50元,同程价45元。
进行各项海滩娱乐活动,畅游大海。
晚上去连岛海鲜一条街品尝地道的鲜活海鲜。
同时,亦可去海滨大道散步,观西大堤和港口夜景。
自驾路线:连云港市区(新浦区华联广场)—海连东路—新墟公路—中山西路—海棠北路—拦海大提—连岛(住宿:连岛渔家,80元/间)D2上午:花果山风景区线路概况:连云港市区(新浦区华联广场)—解放中路(人民东路)——花果山路门票价:淡季(12月1日至2月28日,门票价格50元/人含保险0.5元)旺季(3月1日至11月30日,门票价格100元/人含保险0.5元),旺季同程价90元;其他费用:环保车单程15元,停车场:5-10元,实地感受:景色不错,水帘洞和玉女峰都很有气势,山上的古寺和古树很多,七十二洞,义僧亭,依次游览美人松,楸树林,怪石园,毛公碑,水帘洞等美景,这里峰奇石怪、林木茂盛、青竹滴翠、云海起伏、景色神奇秀丽,充满神话色彩,素有“东海第一胜境”美誉,吴承恩就是取材于此,创作了中国著名的古典神话小说《西游记》(约3-4小时)。
下午渔湾:景区内风光优美,山涧峡谷幽深独特,四季飞瀑不绝,特别是传说中三龙戏水的老龙潭、二龙潭、三龙潭以及龙王三太子睡觉的龙床等景点。
渔湾风景区线路概况:连云港市区(新浦区华联广场)—解放中路(人民东路)—花果山路—经东磊风景区—渔湾风景区门票价30元。
晚上住宿:连云港东海温泉健身会馆(同程豪华双人床房240元/间)。
D3上午:泡温泉游泳(98元/人),退房后去逛东海水晶城,然后返回山东。
详细游程:D1一路高速、国道、省道,路很好跑,中午将近1点下了沿海高速直奔连云港港口(同三高速到连云港境内直接转入连徐高速往港口方向行车,不要进市区),经新墟公路、中山西路、海棠北路看到黄海,远望去,拦海大堤把临近的一块海域划为两半,大海的外面惊涛拍岸,海天相接;堤内波澜不惊,静若处子;海水看上去都是浑浊的,名副其实的黄海;跨过第二亚欧大路桥(从亚洲直通欧洲的铁路,连云港这里是整个路桥的起点)后,就上了西大堤。
城市公交规划方案5.1 原则和思路5.1.1 规划原则一、线路布局原则1、重要节点全覆盖,周边乡镇全连通;2、线路布局合理,符合客流流向;3、与城市总体规划及城市建设相适应;4、以人为本,便利换乘,尊重习惯;5、遵循规范指引,线路指标要满足相关规范标准;6、适度换乘。
二、站点布局原则1、尽可能靠近客流集散点,并与客流主方向同侧;2、有必须的土地资源;3、不宜设置在平面交叉口附近;4、大型首末站尽量沿重要主干道附近布设;5、首末站设施与用地规模应满足服务车辆的发车和候车要求;6、城区新建、改建、扩建时,应优先安排首末站用地。
5.1.2 规划思路在对交通产生源、交通吸引源,规划特征年客流流量流向分布及道路设施现状及发展情况等因素分析基础上,对已有公交线路进行调整、新增、优化,形成总体布局方案。
图5-1 规划思路图5.2 具体方案5.2.1 线网方案以城市发展规划、土地开发、道路网规划和公交发展为背景,以现状调查结果和预测的公交OD分布为依据,以方便居民出行为目的,使公交充分发挥基础产业的作用,达到可持续地发展。
“十二五”期间,台山市城市公交将进行调整,以达到台城街道办所有社区以及行政村均通达公交的目的。
具体线网方案如下:公交线网规划方案5.2.2 车辆配备方案根据台城经济社会现状及发展规划,依据国家有关规范和标准,综合确定台山市的公交发展规模如下:城区(台城街道)到2015年公交车数量达到214标台,公交车万人拥有率达到12标台/万人以上。
各公交线路的车辆配置、发班时间和发车频率如下表所示。
具体车型选择方面,宜根据台山市实际情况,采用大、中、小结合的模式,大通道、主干道上采用大巴,支路和乡村道路宜采用小巴,同时,以绿色环保为发展方向,投入纯电动、混合动力、LNG等节能环保车型。
5.2.3 站场方案一、首末站根据线网布局,规划台山市区公交首末站21个,首末站用地需求将达到20650m2。
首末站规划详细情况如下表所示:2由上表可见,台山市公交首末站的用地面积缺口巨大,实际占地面积不到所需面积的十分之一。
公交线路起讫点及停靠站点1路福裕〔起〕——招商城〔讫〕海虞北路——海虞南路——阜湖路——环城东路——世纪联华——招商东路——招商北路——花园浜路沿途停靠:福裕、谢桥镇〔健康路〕、谢桥转盘〔东方红木〕、谢桥治理区、方浜工业园、新桥路口、江河公司、胜利加油站、常熟老街、勤丰村、建发医药、招商银行、客运站、常熟电信局、常客隆、中国银行、邮政储蓄银行〔玉蕙口腔医院)、第二人民医院、华联宾馆、交通大厦、城市之光〔龙泉宾馆〕、琴川家园、红旗桥、世纪联华、中国男装中心〔长途站〕、天虹服装城、一号桥、花园浜、红旗桥、琴川家园、城市之光〔龙泉宾馆〕、交通大厦、华联宾馆、第二人民医院、邮政储蓄银行〔玉蕙口腔医院)、中国银行、常客隆、常熟电信局、客运站、招商银行、建发医药、勤丰村、常熟老街、胜利加油站、江河公司、新桥路口、方浜工业园、谢桥治理区、谢桥转盘〔东方红木〕、谢桥镇〔健康路〕、福裕福裕至招商城为单向发班,共75班,间隔时间为8—10分钟福裕早班车6:10末班车17:40、招商城早班车6:30末班车18:00投入车辆12辆全程14公里2路常熟老街〔起〕——招商城〔讫〕海虞北路-勤丰路—泰山北路—黄河路—新世纪大道—淮河路—衡山路—枫林路—李闸路—环城东路—方塔街—书院街—元和路—招商西路——花园浜路—世纪联华—招商东路—招商西路—元和路—书院街—方塔街—环城东路—李闸路—枫林路—衡山路—长江路—海虞北路沿途停靠:常熟老街、勤丰村、建发医药、海上一品、泰慈村、锦湖花园、润欣花园(世纪大道)、常熟日报社、衡泰花园、顾家上、新加坡花园、如家快捷酒店、漕泾菜场、污水厂、听枫园、国税中心、市政府〔枫林路〕、信泰证券、利明齿科(明日枫林)、大东门、庆福银楼、麦当劳〔街心花园〕、书院街、第一人民医院、甸桥新村、理工学院〔元和校区〕、尚湖中央花园、仁和医院、天虹服装城、一号桥、花园浜、世纪联华、中国男装中心〔长途站〕常熟老街至招商城为单向发班,共48班,间隔时间为10—15分钟常熟老街早班车5:55末班车17:40、招商城早班车6:40末班车18:25投入车辆8辆全程16公里4路红枫苑〔新区医院〕〔起〕——理工学院〔东湖校区〕〔讫〕黄河路——衡山路——珠江路——海虞北路——海虞南路——新颜路——琴湖路——招商东路——新莲路——南三环路——理工学院沿途停靠:新区医院、润欣花园、名都花苑、明珠小区、新加坡花园、如家快捷酒店、漕泾新村、经贸大厦、中国银行、邮政储蓄银行〔玉蕙口腔医院)、第二人民医院、华联宾馆、颜港小学、琴湖新村〔新颜东路〕、琴湖路(常熟惠民医院)、琴湖公园、广播电台、杨家桥、佳和水岸、常熟皮革城、时装中心、招商分局、富通物流、理工学院〔东湖校区〕红枫苑(新区医院)至理工学院为单向发班,共68班,间隔时间为10—15分钟红枫苑(新区医院)早班车5:50末班车20:45、理工学校早班车6:30末班车20:45投入车辆10辆全程12公里5路红枫苑〔新区医院〕〔起〕——理工学院〔东湖校区〕〔讫〕黄河路——海虞北路——长江路——虞山北路——北门大街——书院街——元和路——招商西路——招商南路——商场中路——商场南路沿途停靠:新区医院、润欣花园、名都花苑、泰慈花园〔客运站〕、客运站、五星中队、长江花园、南沙路、长江西路、长江路(锦江之星)、甬江路、梅园宾馆、肝病防治中心、桃源涧、虞山公园、言子墓、博物馆(常熟百盛商场)、书院街、第一人民医院、甸桥新村、理工学院〔元和校区〕、尚湖中央花园、仁和医院、招商南路、仕德伟、服装城、富通物流、理工学院〔东湖校区〕新区医院至理工学院(东湖校区)为单向发班,共57班,间隔时间为10—15分钟新区医院早班车5:55末班车17:35、理工学院(东湖校区)早班车6:40末班车18:15投入车辆9辆全程15公里6路琴枫苑〔起〕——莫城〔讫〕李闸路——环城东路——花园浜路——招商北路——招商南路——苏常公路――莫城东街――东尖路――莫干路沿途停靠:琴枫苑、申大、明珠佳苑、杜家村、李家桥、李闸路〔李闸路〕、利明齿科(明日枫林)、大东门、南京证券〔新颜桥〕、琴川家园、红旗桥、花园浜、一号桥、天虹服装城、招商南路、五号桥、安定、农贸市场、盛豪公司、湖滨商业广场、莫城、莫城东街、莫城卫生院、金天地新村琴枫苑至莫城为单向发班,共60班,间隔时间为10—15分钟琴枫苑早班车5:50末班车17:40、莫城早班车6:30末班车18:25投入车辆9辆全程14公里7路客运站经书院街〔环行〕黄河路——海虞北路——淮河路——华山路——黄河路——虞山北路——北门大街——书院街——环城南路——环城东路——阜湖路——海虞南路——海虞北路夜班线路沿途停靠:客运站、实验小学、实验小学〔黄河路〕、雷允上、欧尚黄河店、明日星城、夏普〔黄河路〕、国际饭店〔黄河路〕、兴福、甬江路、梅园宾馆、肝病防治中心、桃源涧、虞山公园、言子墓、博物馆(常熟百盛商场)、书院街、第一人民医院、善祥商厦、人民桥车站、琴川家园、城市之光〔龙泉宾馆〕、交通大厦、华联宾馆、第二人民医院、邮政储蓄银行〔玉蕙口腔医院)、中国银行、常客隆、常熟电信局、客运站常熟汽车客运站为单向发班,共76班,单向间隔时间为10—15分钟早班车6:00末班车20:45投入车辆6辆全程15公里8路客运站经书院街〔环行〕海虞北路——海虞南路——阜湖路——环城东路——环城南路——书院街——北门大街——虞山北路——黄河路——华山路——淮河路——海虞北路夜班线路沿途停靠:客运站、常熟电信局、常客隆、中国银行、邮政储蓄银行〔玉蕙口腔医院)、第二人民医院、华联宾馆、交通大厦、城市之光〔龙泉宾馆〕、琴川家园、人民桥车站、善祥商厦、第一人民医院、书院街、博物馆(常熟百盛商场)、言子墓、虞山公园、桃源涧、肝病防治中心、梅园宾馆、甬江路、兴福、国际饭店〔黄河路〕、夏普〔黄河路〕、明日星城、欧尚黄河店、雷允上、实验小学、客运站常熟汽车客运站为单向发班,共76班,单向间隔时间为10—15分钟早班车6:05末班车20:45投入车辆6辆全程15公里9路高新技术产业园〔起〕——理工学院〔东湖校区〕〔讫〕合丰——北三环——虞山北路——北门大街——书院街——元和路——招商西路——招商南路——安定街——南三环路沿途停靠:理工学院〔东湖校区〕、南三环路、安定、五号桥、招商南路、仁和医院、尚湖中央花园、理工学院〔元和校区〕、甸桥新村、第一人民医院、书院街、博物馆(常熟百盛商场)、言子墓、虞山公园、桃源涧、肝病防治中心、梅园宾馆、甬江路、兴福、国际饭店、外国语学校、联盟小区、三峰、北三环0路、林场工业园、合丰村、合丰菜场、雪龙电器、中江公司、金华路站、重机厂高新产业园至理工学院为对发班,共57.5班,间隔时间为10—15分钟理工学校早班车5:55末班车17:45高新技术产业园早班车6:10末班车17:45投入车辆9辆全程15公里10路古里〔起〕——湖甸〔讫〕文学街——建材市场——东三环——青墩塘路——海虞南路——里颜港——方塔街——西门大街——湖甸沿途停靠:古里敬老院、古里镇政府、古里卫生院、古里中学、银河北路、湖口站、钱仓站、新泾站、新桥站、红星美凯龙、拆车厂、建材市场〔东〕、建材市场、东三环、机驾培训中心、荷花村、市公安局、青墩塘加油站、交家电大卖场、印象城购物中心、第二人民医院、华联宾馆、农工商超市、里颜港、庆福银楼、麦当劳〔街心花园〕、石梅广场、市一中、甸桥、甸新路、盛家浜、山湖苑、湖甸古里至湖甸为双向发班,共63班,间隔时间为10—15分钟早班车6:15末班车17:20投入车辆12辆全程17公里11路名流世纪〔起〕——金枫花园〔讫〕通港路——黄河路——殿山路——长江路——衡山路——昭文路——泰山南路——青墩塘路——海虞南路——阜湖路——环城东路——花园浜路—招商北路—招商西路——沪宜公路——金枫花园沿途停靠:名流世纪、新通润、新龙腾工业园、红枫苑、协和、世纪大道〔东〕、兴裕园、新加坡花园、如家快捷酒店、漕泾菜场、污水厂、博隆家居、青墩塘加油站、交家电大卖城、印象城购物中心、第二人民医院、华联宾馆、交通大厦、城市之光〔龙泉宾馆〕、琴川家园、人民桥车站、善祥商厦、甸桥新村、理工学院〔元和校区〕、尚湖中央花园、金枫花园世纪名流至元和客运站为单向发班,共50班,间隔时间为10—15分钟世纪名流早班车6:00末班车17:40元和客运站早班车6:45末班车17:45投入车辆9辆全程16公里101路于家浜〔起〕——高新技术产业园〔讫〕朝阳路――大连路――阳光大道――东山路——联丰路——北三环路——报慈南北路——环城东路——花园浜路——招商东路—新莲路——商场中路——招商南路——安定街——南三环路――沪宜公路沿途停靠:于家浜站、颜巷、建华、斜桥水厂、制药机械厂、南浜、南三环、安定、五号桥、仕德伟、国际服装城、时装中心、中国男装中心〔长途站〕、天虹服装城、一号桥、花园浜、红旗桥、琴川家园、南京证券〔新颜桥〕、大东门、环城北路、菱塘新村、报慈新村、第五人民医院、报慈北路、博爱门诊部、常福菜场、夏普、麦芝西柏、联丰路、徐州路、高新技术产业园、中江公司、金华路站、长城轴承、达富电脑南站、大连路、青岛路、达富电脑北站于家浜至达富北站为双向发班,共91班,间隔时间为8--12分钟达富北站、于家浜早班车6:00末班车20:45投入车辆18辆全程22公里102路花溪新村〔起〕——高新技术产业园〔讫〕荡墩路——琴湖路——青墩塘路——海虞北路——珠江路——虞山北路——北三环路——东山路——泰州路沿途停靠:花溪小区、荡墩路、佳和水岸、杨家桥、广播电台、琴湖公园、琴湖路(常熟惠民医院)、琴湖新村、青墩塘加油站、交家电大卖城、印象城购物中心、邮政储蓄银行〔玉蕙口腔医院)、中国银行、体育馆〔珠江路〕、珠江路、金麟饭店(李家桥)、第五人民医院〔珠江路〕、梅园宾馆、甬江路、兴福、国际饭店、外国语学校、联盟小区、三峰、常熟开关制造有限公司、富士电机、中江公司、金华路站、重机厂花溪新村至高新产业园为单向发班,共39.5班,间隔时间为10—20分钟花溪新村早班车6:00末班车17:30、高新产业园早班车6:40末班车17:45投入车辆6辆全程15公里104路建材市场〔国际汽配城〕环行建材市场——青墩塘路——琴湖路——新颜东路——里颜港——方塔街——书院街——元和路——招商西路——招商东路——琴湖路——新颜东路——富康路——金山路——富春江路——黄山路——204国道——建材市场沿途停靠:夜班线路建材市场、东三环、机驾培训中心、荷花村、市公安局、琴湖新村、琴湖新村〔新颜东路〕、颜港小学、农工商超市、里颜港、庆福银楼、麦当劳〔街心花园〕、书院街、第一人民医院、甸桥新村、理工学院〔元和校区〕、尚湖中央花园、仁和医院、中国男装中心〔长途站〕、常熟皮革城、佳和水岸、杨家桥、广播电台、琴湖公园、琴湖路(常熟惠民医院)、湖苑新村、东明医院〔新颜东路〕、锦荷佳苑、锦荷佳苑二区、金山菜场、锦绣苑(金山苑)、富春江路、交警大队、禧徕乐家居、禧徕乐家居〔东〕、国际汽配城〔东南医院〕、新桥站、红星美凯龙、拆车厂、建材市场〔东〕、建材市场汽配城(建材市场〕单向环行,共60班,间隔时间为10—15分钟早班车6:00末班车20:45投入车辆6辆全程22公里105路建材市场〔国际汽配城〕环行建材市场——204国道——黄山路——富春江路——金山路——富康路——新颜东路——琴湖路——招商东路——招商西路——元和路——书院街——方塔街——里颜港——新颜路——琴湖路——青墩塘路——建材市场沿途停靠:夜班线路建材市场、建材市场〔东〕、拆车厂、红星美凯龙、新桥站、国际汽配城〔东南医院〕、禧徕乐家居〔东〕、禧徕乐家居、交警大队、富春江路、锦绣苑(金山苑)、金山菜场、锦荷佳苑二区、锦荷佳苑、东明医院〔新颜东路〕、湖苑新村、琴湖路(常熟惠民医院)、琴湖公园、广播电台、杨家桥、佳和水岸、常熟皮革城、中国男装中心〔长途站〕、仁和医院、尚湖中央花园、理工学院〔元和校区〕、甸桥新村、第一人民医院、书院街、麦当劳〔街心花园〕、庆福银楼、里颜港、农工商超市、颜港小学、琴湖新村〔新颜东路〕、琴湖新村、市公安局、荷花村、机驾培训中心、东三环、建材市场汽配城(建材市场〕单向环行,共60班,间隔时间为10—15分钟早班车6:00末班车20:45投入车辆6辆全程22公里108路市一中〔起〕——东南开发区〔讫〕西门大街——方塔街——里颜港——海虞南路——新颜东路——富康路——香榭路——富兴路——东三环路——新安江路——金麟路——金门路——银环路——东南大道沿途停靠:市一中、石梅广场、麦当劳〔街心花园〕、庆福银楼、里颜港、农工商超市、颜港小学、琴湖新村〔新颜东路〕、湖苑新村、东明医院〔新颜东路〕、锦荷佳苑、锦荷佳苑二区、金山菜场、锦绣苑〔金山苑〕、镇政府、富阳路、香榭路、梦兰村、渠中工业坊、热电厂、职教中心、东渔村、金仓集贸市场、东南管委会、苏锋工业坊市一中至东南开发区为单向发班,共54班,间隔时间为10—15分钟市一中早班车6:05末班车17:40、东南开发区早班车6:45末班车17:55投入车辆9辆全程13公里109路淼泉〔起〕——招商城〔讫〕淼虹路—昭文路—海虞北路—锁澜路—泰引线—北门大街—书院街—环城南路—世纪联华—招商东路—招商北路—花园浜路—招商北路—花园浜路—环城南路—书院街—北门大街—泰引线—锁澜路—海虞北路—昭文路—淼虹路停靠站点:下甲村、荷花村、通润机电、淼泉中学、淼泉镇、淼泉卫生院、淼泉工业园、大虹桥、花桥站、兴隆桥、九里加油站、九里大街、虹桥治理区、世茂中心、博隆家居、香格丽花园、锁澜路、泰安街、引线街、博物馆(常熟百盛商场)、书院街、第一人民医院、善祥商厦、人民桥车站、红旗桥、世纪联华、中国男装中心〔长途站〕、天虹服装城、一号桥、花园浜、红旗桥、人民桥车站、善祥商厦、第一人民医院、书院街、博物馆(常熟百盛商场)、引线街、泰安街、锁澜路、香格丽花园、博隆家居、世茂中心、虹桥治理区、九里大街、九里加油站、兴隆桥、花桥站、大虹桥、淼泉工业园、淼泉卫生院、淼泉镇、淼泉中学、通润机电、荷花村、下甲村淼泉至招商城为双向发班,共65.5班,间隔时间为10—15分钟淼泉早班车6:10末班车17:40、招商城早班车6:15末班车17:40投入车辆11辆全程14公里109B路淼泉〔起〕——招商城〔经净心院〕淼虹路—昭文路—海虞北路—锁澜路—泰引线—北门大街—书院街—环城南路—世纪联华—招商东路—招商北路—花园浜路—招商北路—花园浜路—环城南路—书院街—北门大街—泰引线—锁澜路—海虞北路—昭文路—淼虹路停靠站点:淼泉镇、长浜站、海晏桥、油麻泾站、虹桥砂洗、净心院、大虹桥、花桥站、兴隆桥、九里加油站、九里大街、虹桥治理区、世茂中心、博隆家居、香格丽花园、锁澜路、泰安街、引线街、博物馆(常熟百盛商场)、书院街、第一人民医院、善祥商厦、人民桥车站、红旗桥、世纪联华、中国男装中心〔长途站〕、天虹服装城、一号桥、花园浜、红旗桥、人民桥车站、善祥商厦、第一人民医院、书院街、博物馆(常熟百盛商场)、引线街、泰安街、锁澜路、香格丽花园、博隆家居、世茂中心、虹桥治理区、九里大街、九里加油站、兴隆桥、花桥站、大虹桥、净心院、虹桥砂洗、油麻泾站、海晏桥、长浜站、淼泉镇淼泉至招商城为单向发班,共5班投入车辆1辆全程18公里110路泯泾路口〔起〕——花溪新村〔讫〕琴湖路——世纪联华——环城南路——书院街——北门大街——虞山北路——珠江路——报慈北路—黄河路—衡山路——勤丰路——泰山路——黄河路——通江路沿途停靠:花溪小区、荡墩路、常熟皮革城、世纪联华、红旗桥、人民桥车站、善祥商厦、第一人民医院、书院街、博物馆(常熟百盛商场)、言子墓、虞山公园、桃源涧、肝病防治中心、第五人民医院〔黄河路〕、报慈北路、博爱门诊部、常福菜场、明日星城、欧尚黄河店、雷允上、实验小学〔黄河路〕、泰慈花园〔客运站〕、泰慈苑、锦湖花园、润欣花园、新区医院、泯泾路口、龙腾住宅区、红枫小学、新龙腾工业园、新区医院、润欣花园、锦湖花园、泰慈苑、泰慈花园〔客运站〕、实验小学〔黄河路〕、雷允上、欧尚黄河店、明日星城、常福菜场、博爱门诊部、报慈北路、第五人民医院〔黄河路〕、肝病防治中心、桃源涧、虞山公园、言子墓、博物馆(常熟百盛商场)、书院街、第一人民医院、善祥商厦、人民桥车站、红旗桥、世纪联华、常熟皮革城、荡墩路、花溪小区泯泾路口至花溪新村为单向发班,共49.5班,间隔时间为10—15分钟泯泾路口早班车6:00末班车17:35花溪新村早班车6:00末班车17:35投入车辆9辆全程16公里111路元和客运站〔起〕——沙家浜景区〔讫〕线路走向:沪宜公路、招商西路、招商东路、白雪路、环城路、阜湖路、海虞南路、新颜东路、富康路、香山路、富兴路、金山路、渠东街、东三环路、新安江路、银环路、东南大道、常昆路、金门路、银环路、东南大道、黄山路、香江路、银丰路、东南大道、庐山路、久隆路、南溪路、常昆路、常沙路、芦苇荡路停靠站点:元和客运站、金枫花园、尚湖中央花园、仁和医院、中国男装中心〔长途站〕、世纪联华、红旗桥、琴川家园、阜湖路(龙泉宾馆)、交通大厦、颜港小学、琴湖新村、湖苑新村、东明医院〔新颜东路〕、锦荷佳苑、锦荷幼儿园、明日星洲、富鑫苑、百盛花园、藕渠中学、藕渠、藕渠加油站、渠中工业坊、热电厂、鑫通联钢管、凯悦国际酒店〔常熟花园〕、苏锋工业坊、苏锋村、金仓集贸市场、东南管委会〔银环路〕、东南管委会、职教中心、恩斯克轴承、相互电子站、速技能站、苏州创力、倍思皮具、新联卖场、七彩城站、程氏印染、黄曹站、水产市场、沙家浜镇、沙家浜景区元和客运站至沙家浜景区共49班,间隔时间为10——15分钟元和客运站早班车6:00末班车17:30沙家浜景区早班车6:30末班车17:00投入车辆15辆全程33.5公里112路汽车客运站经省市中〔环行〕沿途停靠:黄河路——报慈南北路——环城北路——北门大街——方塔街——环城东路——城市之光〔龙泉宾馆〕——海虞南路——新颜路——世纪大道——昭文路——衡山路——黄河路夜班线路客运站、实验小学、雷允上、欧尚黄河店、明日星城、常福菜场、博爱门诊部、报慈北路、第五人民医院、报慈新村、菱塘新村、北门大街、虞山公园、言子墓、博物馆(常熟百盛商场)、麦当劳〔街心花园〕、庆福银楼、南京证券〔新颜桥〕、城市之光〔龙泉宾馆〕、交通大厦、颜港小学、琴湖新村〔新颜东路〕、湖苑新村、东明医院〔新颜东路〕、市中、体育中心、省中、世茂中心、博隆家居、污水厂、漕泾菜场、如家快捷酒店、新加坡花园、明珠小区、泰慈花园〔客运站〕、客运站常熟汽车客运站为单向发班,共66班,单向间隔时间为10—15分钟早班车5:55末班车20:45投入车辆6辆全程19公里113路汽车客运站经省市中〔环行〕黄河路——衡山路——昭文路——世纪大道——新颜路——海虞南路——阜湖路——环城东路——方塔街——北门大街——环城北路——报慈南北路——黄河路夜班线路沿途停靠:客运站、泰慈花园〔客运站〕、明珠小区、新加坡花园、如家快捷酒店、漕泾菜场、污水厂、博隆家居、世茂中心、省中、体育中心、市中、东明医院〔新颜东路〕、湖苑新村、琴湖新村〔新颜东路〕、颜港小学、交通大厦、城市之光〔龙泉宾馆〕、南京证券〔新颜桥〕、庆福银楼、麦当劳〔街心花园〕、博物馆(常熟百盛商场)、言子墓、虞山公园、北门大街、菱塘新村、报慈新村、第五人民医院、报慈北路、博爱门诊部、常福菜场、明日星城、欧尚黄河店、雷允上、实验小学、客运站常熟汽车客运站为单向发班,共66班,单向间隔时间为10—15分钟早班车6:00末班车20:45投入车辆6辆全程19公里114路东南枢纽站〔起〕――虹桥治理区〔讫〕富春江路、香榭路、富阳路、香山路、富康路、新颜东路、海虞南路、泰引线、北门大街、虞山北路、枫林路、李闸路、黄河路、殿山路、九里大街、昭文路、九华山路、闽江东路、昭文路。
连云港市BRT线路B1 线:在海一方公园--海州客运站6:00--24:00B1K线:在海一方公园--火车站6:30--19:30不停新光路、朝阳、猴嘴B1Z线:墟沟购物中心--龙河广场6:30--8:15/16:30--18:00B11线:火车站--花果山景区6:00--20:00银泰花苑、恒瑞制药、亚欧建材城、丁字路、如意集团、宋跳、体育中心、圣湖路、花果山B12线:连云港东站--海州客运站5:50--19:40/6:00--19:20海州实验中学、石棚名居、孔望山、玉带河桥、车管所、客运南站、人才市场、市政府、新华、体育中心、沙河口、朝阳安置小区、朝阳中学、开发区B13线:连云港东站--港口汽车总站5:45--19:40豫苑小区、新光路、石门桥、荷花街、港务局B15线:连云区政府--华盖山庄6:00--19:00胜利湖、西墅、香缇花园、德兰、久和、五羊路、开发区H1线:火车站6:00--20:00银泰花苑、郁州公园、大润发、龙河广场、工商银行、园林管理处、电视台H2线:西城公交总站6:00—20:00幸福路、工商银行、龙河广场、苏欣、武警、中医院常乐新村、矿山院宿舍连云港市旅游公交线路游1线:石鹏山—连岛浴场7:00—19:00鼓楼、孔望山、朝阳桥、武警、苏欣、苍梧小区、花果山景区、开发区、在海一方游2线:火车站—花果山景区6:20—18:00解放桥、捷安快客、万润花园、苍梧、同科、圣湖路游3线:连云港东站—连岛浴场(原33路)6:00—19:00 嘉年华、西园路、购物中心、神州宾馆游5线:海棠—东磊(原111路)5:45—19:00开发区、天山路、范庄、金苏、渔湾连云港市夜班公交线路201线:沃尔玛—磷矿19:20—24:00电视台、幸福家园、义乌、海州客运、锦化202线:朐阳门—新华公交总站20:00—22:00矿山院、中医院、国安商城、第三医院、淮工203线:火车站—职技院20:00—22:00利马、万象后街、中央国际、步行东、三院、淮工205线:园丁小区—港口东(原31路)19:55—23:30连云港市东部公交线路:30路:海棠—龙河客运站(原游1路)7:00—19:00 警备区、光伸、华东城、绿地、国电培训中心、金台公司、通园路口、圣湖路、淮工、三院31路:园丁小区—港口东5:30—19:10医院、购物中心、石门桥、苗岭、隧道北、临海路32路:连云区政府—大巷生活区6:20—18:30警备区、阳光国际、蔚蓝海岸、墟沟小学、石油宾馆33路:港口东—柳河5:50—19:00机械化公司、黄窝、安置小区、高公岛、大坝角34路:海棠—宿城6:00—19:00购物中心、石门桥、隧道北、隧道南35路:海棠—宿城6:00—19:00平山、东港中学、黄崖、核电水厂、大板桥36路:中华公交总站—徐圩新区7:00—18:30海关、西园小区、平山、白果树37路:中华公交总站—黄岭6:00—19:00西园小区北、嘉年华、久和北、新光路、华盖山庄39路:中华公交总站—大港职中6:00—19:00嘉瑞宝、东方医院、园丁北、嘉年华、宝源物流99路:立本农化—德兰国际6:30—19:00天晴、顺天木业、国电中心、五洲半挂车、华东城112路:中华总站—张庄5:50—19:00东方医院、西园路、开发区、范庄、朝阳林场113路:中华总站—板桥安置小区6:00—19:00嘉瑞宝、开发区、罗盖特、云门寺、程圩116路:沃尔玛—云台6:30—18:30苏宁广场、三院、市政府西门、林场、前关村117路:龙河广场—太平村6:30—19:00捷安快客、人民路口、大浦、农场、丁字路118路:海州客运站—苏光小学6:30—18:30义乌、香江、急救、朐山中学、青龙山、沙坑119路:南站—岗埠农场6:00—19:00香溢、高技工、大润发、银泰、火车站、华北桥、四季农贸、高速路口、新浦工业园、包庄。
新浦地区佳连公交:即首班6:00发车,末班:冬季18:30,夏季19:00,发车间隔大致为8至10分钟一班公交1路:起点:西门终点:旺旺家园(原西门-火车站)线路走向:西门经新建西路、幸福路、江化路、海连路、新港城大道、高新路、振兴大道至旺旺家园。
沿途站点:西门、市桥、海州高级中学、第二人民医院、海州批发市场、幸福桥、江化路口、面粉厂、车站小学、粮库宿舍、人民西路口、幸福广场、水表厂、新海花园、华北桥、黄海影剧院、长寿医院、解放路小学、华联、师专附中、二院东区分院、中药学校、自来水公司、凌洲广场、中储公司、高新路口、汉高华威、旺旺家园。
公交2路:龙河广场—猴嘴首末时间:6:30—18:30起点:龙河广场终点:昌圩湖花园小区线路走向:龙河广场经海连东路、新港城大道、花果山大道、公园路、昌圩湖路至昌圩湖花园小区。
沿途站点:龙河广场、华联、师专附中、自来水公司、凌州广场、中储公司、宋艞、棉花中转库、花果山路、猴嘴、金台实业公司、昌圩湖花园小区。
公交3路:公交总站—磷矿首末时间:5:40—19:00站点:公交总站、淮海工学院、新海中学、港师、苍梧小区、苍梧绿园、三院、振兴大厦、解放路小学、步行中街、百货大楼、解放桥、化轻公司、财经学校、幸福广场、公交公司、矿山院、海州职教中心、幸福桥、批发市场、海州医院、||海州中学、市桥、西门、四院、园林、巴狗庄、锦化、刘顶、西山、桃花涧、磷矿公交4路:火车站—新坝首末时间:6:00—18:30站点:火车站、石油公司、化轻公司、幸福家园、幸福广场、公交公司、矿山院、铸造厂、幸福桥、批发市场、海州医院、海州中学、市桥、西门、四院、园林、锦化、刘顶、西山、桃花涧、磷矿、李圩、飞机场、普安、四里、孙庄、新坝公交5路:龙河广场—磷矿站点:解放路小学、天然居、康缘药厂、朝阳路、纺织机械厂、纱厂、孔望山、朐山、陶湾、岗嘴公交6路:西门——龙河广场首末时间:6:00——19:10站点:西门、四桥、海州医院、批发市场、幸福桥、铸造厂、设计院(矿山设计院)、常乐新村、新孔路、国税局、朝阳桥、中医院、南小区、中级法院、武警支队、瀛州桥、人才市场、博纳花园、苍梧小区、苍梧绿园、三院、振兴大厦、龙河广场公交7路:西门—丁字路首末时间:6:17——18:20起点:西门终点:立本农化(大浦开发区)(原西门-丁字路)线路走向:西门经新建西路、幸福路、解放路、临洪大道至立本农化。
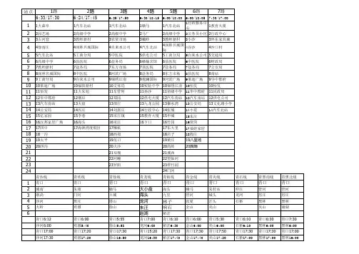
市区公交线路运行信息(一)城市公交一、102路。
起讫点:中青家居广场—湖滨浴场。
首班发车时间6:00,末班发车时间22:00(夏季7月、8月、9月为23:00),间隔15--20分钟。
沿途停靠站点:中青家居广场—恒力太湖花园--祥和名邸—梨园小区—上海城—义乌物流中心—香格里拉东门—兰亭御城—义乌商贸城—万福隆农贸市场—中豪国际星城西门—巴黎都市—金陵名府东门—京杭大酒店—市广电总台—恒大华府西门—运河文化城—运河文化城体育中心—合欢路路口--泽达学院东门—新窑村—新站村—臧圩村--湖滨新城管委会—市软件园—晓店镇政府—夏阳银湖花园—园博园(湖滨浴场)。
途经道路:中青家居广场—发展大道—玉兰路—水杉路—雪松路—湖滨浴场。
二、103路。
起讫点:中青家居广场—湖滨浴场。
首班发车时间6:00,末班发车时间22:00(夏季7月、8月、9月为23:00),车辆间隔10--20分钟。
沿途停靠站点:中青家居广场—恒力太湖花园—祥和名邸—梨园小区—上海城—义乌物流中心—香格里拉南门—马赛公馆—华辉新城—青华园—富豪御景城--通城山庄—天星花园—宿迁汽车客运站东门—霸王举鼎—巴黎都市—金陵名府东门—京杭大酒店—市技术监督局—大润发超市—金鹰国际—马陵公园西门--宿城区运管所—金谷花园—格林上郡—阅湖花园(雪枫公园西门)—雪枫公园北门—宿迁闸--水上交通服务区—井头医院—井头街—井头商业街--双星彩塑—凤凰岭—安顺驾校(上行)--市高等师范学校—广播电视大学—宿迁卫校—外事学院—泽达学院—宿迁第一实小—未来海岸—罗曼园停车场--蓝波湾风情街—中德度假村—威尼斯假日大酒店--中国水城—市湖滨新城管委会—市软件园—园博园主会馆--园博园(湖滨浴场)。
途经道路:中青家居广场—发展大道—汕头路—人民大道—西湖路—发展大道—洪泽湖路—黄河路—嶂山大道—合欢路—环湖大道—玉兰路—水杉路—金桂路—迎春大道—湖滨浴场。
三、106路起讫点:红星凯盛—湖滨浴场,间隔时间15分钟,首班:6:00,末班:19:00。
大港现有公交线路,站点,首末班时间大全,收好不谢点击上面蓝色字“大港人”即可免费关注!“,“大港人”微信平台,一个服务于大港人的微信平台// 昨天发现很多人回复“公交”这个词,感觉有必要把大港所有现在用的公交车来一个集体总结//我感觉下面的内容差不多,要是有丢失了的,请大家提醒一下,从今日起,想查看大港公交,在大港人平台回复“公交”即可查到所有公交了公交547路、945路和946路3条公交线路。
公交547/548路:如上图。
首末班车时间为:大港客运站首班车时间6点30分,末班车时间19点;大港郭庄子首班车时间6点30分,末班车时间19点。
945路:由小王庄客运站至大港北大港农场。
中途设站有:小王庄客运站、小王庄村、西湾河村、西树深村、东树深村、沈清庄村、木业有限公司、十四奶牛厂、北大港农场。
首末班车时间为:小王庄客运站首班车时间6点40分,末班车时间14点30分;大港北大港农场首班车时间8点30分,末班车时间16点20分。
946路:由小王庄客运站至大港陈寨庄村。
中途设站有:小王庄客运站、小王庄村、西湾河村、大庄子桥、北抛庄、东抛庄、徐子楼区、徐庄子村、北和顺村、南和顺村、陈寨庄村。
首末班车时间:小王庄客运站首班车时间6点,末班车时间17点45分;陈寨庄村首班车时间5点45分,末班车时间17点。
130:(会展中心公交站-大港公交站)郊区线会展中心公交站06:10-18:40|大港公交站06:10-18:40 票价起步2元,全程5元(空调车),无人售票,城市卡有效,月票无效,老人卡无效1会展中心公交站2万科金域蓝湾3万通国际新城4泰达足球场(北海路) 5枫叶学校(北海路) 6滨海伊势丹7阳光银座8腾飞路9泰达会馆(黄海路) 10新华路11东大街12塘沽外滩公园13和平路14二中心小学15坨地16新桥里17海晶南园18环亚公司19警备化物流20铁锚桥21盐场实验厂22琦晟储运23奥林匹克博物馆24官港森林公园25官港26世纪花园27福绣园西门28老客29兴盛里30世纪广场[世纪大道] 31胜利街(迎宾超市) 32四化里33大港八中34六合里35福安里36滨海学院东门37大港学苑路38大港公交站161路:(西站公交站(C1站台)-大港老客运站)西站公交站05:30-18:00|大港老客运站05:30-18:00 票价起步2元,全程6元,无人售票,IC卡有效,月票无效,老人卡无效1西站公交站(C1站台) 2小伙巷3新三条石大街4估衣街5鼓楼6慎益大街7南市旅馆街8升安大街9海光寺10六里台11七里台12八里台13天塔14苍穹道15环湖西里16体育宾馆17王兰庄18高庄子19九十五中学20梨园头21大寺22芦北口23红旗村24青泊洼25小孙庄[西青] 26大侯庄27王稳庄28西兰坨29东兰坨30王台31东台子32万家码头33中塘34黄房子35双闸36中塘镇政府37大港四中38张港子村39十九顷40大安桥41罗马广场42大港实验中学43四化建44胜利街(迎宾超市) 45世纪广场[世纪大道] 46晨晖里47阳春里48兴盛里49大港老客运站186:(天津站(天津站A1站台)-大港老客运站)天津站05:30-19:30|大港老客运站05:30-19:00 票价起步4元,全程6元(空调车),无人售票,IC卡有效,月票无效,老人卡无效1天津站(天津站A1站台) 2口腔医院3曲阜道4海河中学(解放南路) 5小刘庄6围堤道7江水道8周庄子9大寺东10贾庄子11龙顺园12南里八口13赛达世纪大道14团洼15领域路16部队农场17白万公路18南八里台工业园区19南八里台[津港公路] 20津南区政府21北义心庄22老左营23光明村24潘家洼25西小站26黄家台27大安桥28安达桥29罗马广场30石化路(西环路)31石化总厂32石化社区医院33六合里34振业里(迎宾街) 35振兴路36重阳里37春港花园38南开大学滨海学院39天津外国语大学滨海外事学院40世纪花园41大港老客运站522:(大港公交站-大港客运站)市区线大港公交站07:00-19:00|大港客运站07:00-19:00 票价2元(空调车),无人售票,城市卡有效,月票无效,老人卡有效1大港公交站2大港学苑3农村教育培训中心4国土资源与房屋管理学院5医科大学临床学院6板桥农场7学府路8天津外国语大学滨海外事学院9春港花园10重阳里11世纪广场[世纪大道] 12胜利街(迎宾超市) 13四化里东门14开元里北门15双安里16大港公园17兴旺里18凯旋苑西门19大港财政局20老客运站21上古林(小古林饭庄) 22古林里23科林公司24贝壳堤(古海岸遗迹博物馆) 25大港客运站523:(海天园-海天园)海天园06:15-19:30|海天园06:15-19:30 票价2元(空调车),无人售票,城市卡有效,月票无效,老人卡有效1海天园2福津园3福港园4福润园5福泽园6大港一中7福绣园8福绣园西门9大港东环路10春晖北里11晨晖北里12重阳里13世纪广场[世纪大道] 14胜利街(迎宾超市) 15四化里16前程里[石化路] 17石化菜市场18大港支队19石化总厂20荣华里21石化社区医院22八栋楼23胜利里24胜利里南门25大港一小26振华里27兴慧里28兴德里(大港医院) 29凯旋苑30永明里31冷冻厂32福绣园33大港一中34福泽园35福润园36福港园37福津园38海天园523轻纺城专线:郊区线福津园07:50、18:30 票价2元(空调车),无人售票,城市卡有效,月票无效,老人卡有效1福津园2海滨三号酒店3家纺城4轻纺城公交站5华恒包装6夏翔物流7综合服务中心8轻纺大道9福津园524:(会展中心公交站-油田客运总站(大港三号院客运站))郊区线会展中心公交站06:30-18:00|油田客运总站06:30-18:00 票价起步2元,全程6元(空调车),无人售票,城市卡有效,月票无效,老人卡无效1会展中心公交站2万科金域蓝湾3万通国际新城4泰达二小5泰丰家园北门6开泰科技园7百合路(百和路) 8北洋集装箱9顶益食品10梅兰日兰11金江路12丹江路13宝山道14康乐园15贻丰园16宏达公寓17洋货市场18邮电大厦19二中心小学20坨地21新桥里22海晶南园23环亚公司24庄房村25琦晟储运26奥林匹克博物馆27官港森林公园28官港29海邻里30古林街社区服务中心31福锦园32福润园33福泽园34大港一中35上古林(小古林饭庄) 36古林里37科林公司38老上古林39大港客运站40解放村41大港电厂42二号院43大港石化公司44炼油厂45油田客运总站(大港三号院客运站)545:(轻纺城公交站-轻纺城公交站)市区线轻纺城公交站;(区间)海川园07:00-19:00|轻纺城公交站;(区间)海川园07:00-19:00 票价2元(空调车),无人售票,城市卡有效,月票无效,老人卡有效1轻纺城公交站2综合服务中心3海川园4海景园5海润园6海通园7汇德8古林街社区服务中心9福锦园10泰达港湾11晨晖北里东门12晨晖北里13重阳里14世纪广场[世纪大道] 15胜利街(迎宾超市) 16四化里17大港八中18八栋楼19开元里南门20七邻里21大港公园北门22大港二中23兴盛里24老客运站25福绣园26大港一中27福泽园28福满园29福源花园30汇丰园31海滨园32综合服务中心33轻纺城公交站546路,由大港大学城至大港医院,线路长度7.5公里,单程运营时间30分。